(整理)基本求导积分公式81281
- 格式:doc
- 大小:244.50 KB
- 文档页数:10
常用的求导积分公式及解法 1.基本求导公式⑴ 0)(='C (C 为常数)⑵ 1)(-='n n nx x ;一般地,1)(-='αααx x 。
特别地:1)(='x ,x x 2)(2=',21)1(x x-=',xx 21)(='。
⑶ x x e e =')(;一般地,)1,0( ln )(≠>='a a a a a x x 。
⑷ x x 1)(ln =';一般地,)1,0( ln 1)(log ≠>='a a ax x a 。
2.求导法则 ⑴ 四则运算法则设f (x ),g (x )均在点x 可导,则有:(Ⅰ))()())()((x g x f x g x f '±'='±; (Ⅱ))()()()())()((x g x f x g x f x g x f '+'=',特别)())((x f C x Cf '='(C 为常数); (Ⅲ))0)(( ,)()()()()())()((2≠'-'='x g x g x g x f x g x f x g x f ,特别21()()()()g x g x g x ''=-。
3.微分 函数()y f x =在点x 处的微分:()dy y dx f x dx ''== 4、 常用的不定积分公式(1) ⎰⎰⎰⎰⎰+==+=+=-≠++=+c x dx x x dx x c x xdx c x dx C x dx x 43,2,),1( 11433221αααα;(2) C x dx x +=⎰||ln 1; C e dx e x x +=⎰; )1,0( ln ≠>+=⎰a a C aa dx a x x; (3)⎰⎰=dx x f k dx x kf )()((k 为常数) 5、定积分()()|()()bb a af x dx F x F b F a ==-⎰⑴⎰⎰⎰+=+bab abadx x g k dx x f k dx x g k x f k )()()]()([2121⑵ 分部积分法设u (x ),v (x )在[a ,b ]上具有连续导数)(),(x v x u '',则⎰⎰-=bab abax du x v x v x u x dv x u )()()()()()(6、线性代数 特殊矩阵的概念(1)、零矩阵 ,000022⎥⎦⎤⎢⎣⎡=⨯O (2)、单位矩阵⎥⎥⎥⎥⎦⎤⎢⎢⎢⎢⎣⎡=100010001 n I 二阶,100122⎥⎦⎤⎢⎣⎡=⨯I (3)、对角矩阵⎥⎥⎥⎥⎦⎤⎢⎢⎢⎢⎣⎡=n a a a A 000000021 (4)、对称矩阵⎥⎥⎥⎦⎤⎢⎢⎢⎣⎡---==752531212,A a a ji ij (5)、上三角形矩阵⎥⎥⎥⎥⎦⎤⎢⎢⎢⎢⎣⎡=nn n n a a a a a a A 000022211211 下三角形矩阵⎥⎥⎥⎥⎦⎤⎢⎢⎢⎢⎣⎡=n a a a A 000000021 (6)、矩阵转置⎥⎥⎥⎥⎦⎤⎢⎢⎢⎢⎣⎡=nn n n n n a a a a a a a a a A 212222111211转置后⎥⎥⎥⎥⎦⎤⎢⎢⎢⎢⎣⎡=nn n nn n T a a a a a a a a a A 2122212121116、矩阵运算 ⎥⎦⎤⎢⎣⎡++++=⎥⎦⎤⎢⎣⎡+⎥⎦⎤⎢⎣⎡=+h d g c f b e a h g f ed c b a B A ⎥⎦⎤⎢⎣⎡++++=⎥⎦⎤⎢⎣⎡⎥⎦⎤⎢⎣⎡=dh cf dg ce bh af bg ae h gf ed c b a AB 7、MATLAB 软件计算题例6 试写出用MATLAB 软件求函数)e ln(2x x x y ++=的二阶导数y ''的命令语句。
一.根本初等函数求导公式之五兆芳芳创作(1) 0)(='C (2) 1)(-='μμμx x(3) x x cos )(sin ='(4) x x sin )(cos -='(5)x x 2sec )(tan =' (6)x x 2csc )(cot -=' (7) x x x tan sec )(sec ='(8) x x x cot csc )(csc -='(9)a a a xx ln )(=' (10) (e )e x x'=(11)a x x a ln 1)(log ='(12)x x 1)(ln =',(13)211)(arcsin x x -='(14)211)(arccos x x --='(15)21(arctan )1x x '=+(16)21(arccot )1x x '=-+函数的和、差、积、商的求导法例 设)(x u u =,)(x v v =都可导,则(1) v u v u '±'='±)( (2) u C Cu '=')((C 是常数)(3) v u v u uv '+'=')((4) 2v v u v u v u '-'='⎪⎭⎫ ⎝⎛反函数求导法例若函数)(y x ϕ=在某区间y I 内可导、单调且0)(≠'y ϕ,则它的反函数)(x f y =在对应区间x I 内也可导,且)(1)(y x f ϕ'='或dy dxdx dy 1=复合函数求导法例 设)(u f y =,并且)(x u ϕ=)(u f 及)(x ϕ都可导,则复合函数)]([x f y ϕ=的导数为dy dy du dx du dx =或()()y f u x ϕ'''=二、根本积分表(1)kdx kx C =+⎰ (k 是常数)(2)1,1x x dx C μμμ+=++⎰(1)u ≠-(3)1ln ||dx x C x=+⎰(4)2tan 1dxarl x C x =++⎰ (5)arcsin x C =+(6)cos sin xdx x C =+⎰(7)sin cos xdx x C =-+⎰(8)21tan cos dx x C x=+⎰(9)21cot sin dx x C x=-+⎰(10)sec tan sec x xdx x C =+⎰(11)csc cot csc x xdx x C =-+⎰ (12)x x e dx e C =+⎰(13)ln xxa a dx C a=+⎰,(0,1)a a >≠且(14)shxdx chx C =+⎰ (15)chxdx shx C =+⎰(16)2211tan xdx arc C a x a a=++⎰(17)2211ln ||2x a dx C x a a x a-=+-+⎰(18)sinxarc C a=+(19)ln(x C =+(20)ln |x C =++(21)tan ln |cos |xdx x C =-+⎰ (22)cot ln |sin |xdx x C =+⎰ (23)sec ln |sec tan |xdx x x C =++⎰ (24)csc ln |csc cot |xdx x x C =-+⎰注:1、从导数根本公式可得前15个积分公式,(16)-(24)式后几节证.2、以上公式把x 换成u 仍成立,u 是以x 为自变量的函数.3、温习三角函数公式:2222sin cos 1,tan 1sec ,sin 22sin cos ,x x x x x x x +=+==21cos 2cos 2xx +=,21cos 2sin 2xx -=. 注:由[()]'()[()]()f x x dx f x d x ϕϕϕϕ=⎰⎰,此步为凑微分进程,所以第一类换元法也叫凑微分法.此办法是很是重要的一种积分法,要运用自如,务必熟记根本积分表,并掌握罕有的凑微分形式及“凑”的技能. 小结:1经常使用凑微分公式。
24个基本求导公式求导公式:1、f(x)=a的导数,f'(x)=0,a为常数。
即常数的导数等于0;这个导数其实是一个特殊的幂函数的导数。
就是当幂函数的指数等于1的时候的导数。
可以根据幂函数的求导公式求得。
2、f(x)=x^n的导数,f'(x)=nx^(n-1),n为正整数。
求导公式1、f'(x)=lim(h->0)[(f(x+h)-f(x))/h]。
即函数差与自变量差的商在自变量差趋于0时的极限,就是导数的定义。
其它所有基本求导公式都是由这个公式引出来的。
包括幂函数、指数函数、对数函数、三角函数和反三角函数。
2、f(x)=a的导数,f'(x)=0,a为常数。
即常数的导数等于0;这个导数其实是一个特殊的幂函数的导数。
就是当幂函数的指数等于1的时候的导数。
可以根据幂函数的求导公式求得。
3、f(x)=x^n的导数,f'(x)=nx^(n-1),n为正整数。
即系数为1的单项式的导数,以指数为系数,指数减1为指数。
这是幂函数的指数为正整数的求导公式。
4、f(x)=x^a的导数,f'(x)=ax^(a-1),a为实数。
即幂函数的导数,以指数为系数,指数减1为指数。
5、f(x)=a^x的导数,f'(x)=a^xlna,a>0且a不等于1。
即指数函数的导数等于原函数与底数的自然对数的积。
6、f(x)=e^x的导数,f'(x)=e^x。
即以e为底数的指数函数的导数等于原函数。
7、f(x)=log_ax的导数,f'(x)=1/(xlna),a>0且a不等于1。
即对数函数的导数等于1/x与底数的自然对数的倒数的积。
8、f(x)=lnx的导数,f'(x)=1/x,即自然对数函数的导数等于1/x。
9、(sinx)'=cosx,即正弦的导数是余弦。
10、(cosx)'=-sinx,即余弦的导数是正弦的相反数。
11、(tanx)'=(secx)^2,即正切的导数是正割的平方。
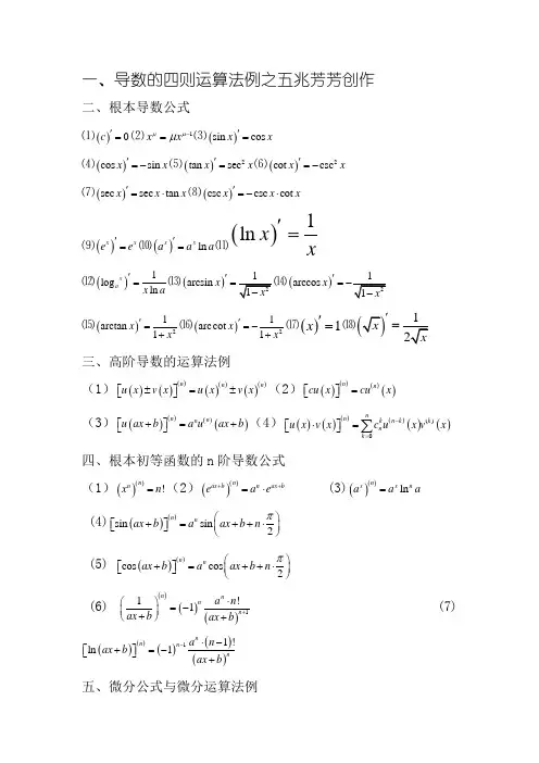
一、导数的四则运算法例之五兆芳芳创作二、根本导数公式⑴()0c '=⑵1x x μμμ-=⑶()sin cos x x '=⑷()cos sin x x '=-⑸()2tan sec x x '=⑹()2cot csc x x '=- ⑺()sec sec tan x x x '=⋅⑻()csc csc cot x x x '=-⋅⑼()xxe e '=⑽()ln xxa a a '=⑾()1ln x x '=⑿()1log ln x a x a '=⒀()arcsin x '=⒁()arccos x '=⒂()21arctan 1x x '=+⒃()21arc cot 1x x '=-+⒄()1x '=⒅'=三、高阶导数的运算法例 (1)()()()()()()()n n n u x v x u x v x ±=±⎡⎤⎣⎦(2)()()()()n n cu x cu x =⎡⎤⎣⎦(3)()()()()n n nu ax b a uax b +=+⎡⎤⎣⎦(4)()()()()()()()0nn n k k k n k u x v x c u x v x -=⋅=⎡⎤⎣⎦∑四、根本初等函数的n 阶导数公式 (1)()()!n nxn =(2)()()n ax bn ax bea e++=⋅ (3)()()ln n xx n aa a =(4)()()sin sin 2nnax b a ax b n π⎛⎫+=++⋅⎡⎤ ⎪⎣⎦⎝⎭(5) ()()cos cos 2nn ax b a ax b n π⎛⎫+=++⋅⎡⎤ ⎪⎣⎦⎝⎭(6)()()()11!1n n nn a n ax b ax b +⋅⎛⎫=- ⎪+⎝⎭+ (7)()()()()()11!ln 1n n n na n axb ax b -⋅-+=-⎡⎤⎣⎦+五、微分公式与微分运算法例⑴()0d c =⑵()1d x x dx μμμ-=⑶()sin cos d x xdx =⑷()cos sin d x xdx =-⑸()2tan sec d x xdx =⑹()2cot csc d x xdx =- ⑺()sec sec tan d x x xdx =⋅⑻()csc csc cot d x x xdx =-⋅ ⑼()x x d e e dx =⑽()ln x x d a a adx =⑾()1ln d x dx x=⑿()1logln x a d dx x a =⒀()arcsin d x =⒁()arccos d x =⒂()21arctan 1d x dx x =+⒃()21arc cot 1d x dx x =-+ 六、微分运算法例⑴()d u v du dv ±=±⑵()d cu cdu =⑶()d uv vdu udv =+⑷2u vdu udvd v v-⎛⎫= ⎪⎝⎭七、根本积分公式⑴kdx kx c =+⎰⑵11x x dx c μμμ+=++⎰⑶ln dx x c x =+⎰⑷ln xxa a dx c a=+⎰⑸x x e dx e c =+⎰⑹cos sin xdx x c =+⎰ ⑺sin cos xdx x c =-+⎰⑻221sec tan cos dx xdx x c x==+⎰⎰ ⑼221csc cot sin xdx x c x ==-+⎰⎰⑽21arctan 1dx x c x=++⎰ ⑾arcsin x c =+八、下列经常使用凑微分公式九、分部积分法公式⑴形如n ax x e dx ⎰,令n u x =,ax dv e dx = 形如sin n x xdx ⎰令n u x =,sin dv xdx = 形如cos n x xdx ⎰令n u x =,cos dv xdx =⑵形如arctan n x xdx ⎰,令arctan u x =,n dv x dx = 形如ln n x xdx ⎰,令ln u x =,n dv x dx =⑶形如sin ax e xdx ⎰,cos ax e xdx ⎰令,sin ,cos ax u e x x =均可.。
一.基本初等函数求导公式(1) 0)(='C(2) 1)(-='μμμx x(3) x x cos )(sin ='(4) x x sin )(cos -='(5)x x 2sec )(tan =' (6)x x 2csc )(cot -=' (7) x x x tan sec )(sec ='(8) x x x cot csc )(csc -='(9)a a a x x ln )(='(10) (e )e xx '=(11)a x x a ln 1)(log ='(12)x x 1)(ln =',(13)211)(arcsin x x -=' (14)211)(arccos x x --=' (15)21(arctan )1x x '=+(16)21(arccot )1x x '=-+函数的和、差、积、商的求导法则 设)(x u u =,)(x v v =都可导,则(1) v u v u '±'='±)( (2) u C Cu '=')((C 是常数)(3) v u v u uv '+'=')((4) 2v v u v u v u '-'='⎪⎭⎫ ⎝⎛反函数求导法则若函数)(y x ϕ=在某区间y I 内可导、单调且0)(≠'y ϕ,则它的反函数)(x f y =在对应区间xI 内也可导,且)(1)(y x f ϕ'=' 或 dy dx dx dy 1=复合函数求导法则设)(u f y =,而)(x u ϕ=且)(u f 及)(x ϕ都可导,则复合函数)]([x f y ϕ=的导数为dy dy du dx du dx =或()()y f u x ϕ'''=二、基本积分表(1)kdx kx C =+⎰ (k 是常数)(2)1,1x x dx C μμμ+=++⎰ (1)u ≠- (3)1ln ||dx x C x =+⎰(4)2tan 1dxarl x C x=++⎰ (5)arcsin x C =+⎰(6)cos sin xdx x C =+⎰ (7)sin cos xdx x C =-+⎰(8)21tan cos dx x C x =+⎰(9)21cot sin dx x C x=-+⎰(10)sec tan sec x xdx x C =+⎰ (11)csc cot csc x xdx x C =-+⎰ (12)x x e dx e C =+⎰(13)ln xxa a dx C a=+⎰,(0,1)a a >≠且 (14)shxdx chx C =+⎰ (15)chxdx shx C =+⎰(16)2211tan xdx arc C a x a a =++⎰(17)2211ln ||2x adx C x a a x a-=+-+⎰(18)sinxarc C a=+⎰(19)ln(x C =+(20)ln |x C =+⎰(21)tan ln |cos |xdx x C =-+⎰ (22)cot ln |sin |xdx x C =+⎰ (23)sec ln |sec tan |xdx x x C =++⎰(24)csc ln |csc cot |xdx x x C =-+⎰注:1、从导数基本公式可得前15个积分公式,(16)-(24)式后几节证。
基本求导积分公式812811.基本求导公式⑴«Skip Record If...»(C为常数)⑵«Skip Record If...»;一般地,«Skip Record If...»。
特别地:«Skip Record If...»,«Skip Record If...»,«Skip Record If...»,«Skip Record If...»。
⑶«Skip Record If...»;一般地,«Skip Record If...»。
⑷«Skip Record If...»;一般地,«Skip Record If...»。
2.求导法则⑴四则运算法则设f(x),g(x)均在点x可导,则有:(Ⅰ)«Skip Record If...»;(Ⅱ)«Skip Record If...»,特别«Skip Record If...»(C为常数);(Ⅲ)«Skip Record If...»,特别«Skip Record If...»。
3.微分函数«Skip Record If...»在点x处的微分:«Skip Record If...»4、常用的不定积分公式(1)«Skip Record If...»;(2)«Skip Record If...»;«Skip Record If...»;«Skip Record If...»;(3)«Skip Record If...»(k为常数)5、定积分«Skip Record If...»⑴«Skip Record If...»⑵分部积分法设u(x),v(x)在[a,b]上具有连续导数«Skip Record If...»,则«Skip Record If...»6、线性代数特殊矩阵的概念(1)、零矩阵«Skip Record If...»(2)、单位矩阵«Skip Record If...»二阶«Skip Record If...»(3)、对角矩阵«Skip Record If...»(4)、对称矩阵«Skip Record If...»(5)、上三角形矩阵«Skip Record If...»下三角形矩阵«Skip Record If...»(6)、矩阵转置«Skip Record If...»转置后«Skip Record If...»6、矩阵运算«Skip Record If...»«Skip Record If...»7、MATLAB软件计算题例6试写出用MATLAB软件求函数«Skip Record If...»的二阶导数«Skip Record If...»的命令语句。
积分导数公式
积分导数公式是微积分中常用的一个重要公式,它表示了函数的导数与原函数的关系。
具体地说,若函数f(x)在区间[a,b]上连续且可导,则其在该区间内的积分与其在该区间内的导数有如下关系:∫[a,b]f'(x)dx = f(b) - f(a)
其中,积分号“∫”表示对x进行积分,f'(x)表示函数f(x)的导函数,即导数,dx表示积分变量,f(b)和f(a)分别表示函数f(x)在区间[a,b]两端的取值。
积分导数公式的意义在于,它让我们能够通过对函数的导数进行积分,得出原函数在该区间内的取值。
这对于解决很多实际问题具有重要的应用价值,因此积分导数公式也是微积分学习中的一个核心内容。
f'(c) = 0f'(x^n) = nx^(x-1)f'(1/x) = -1/x^2f'(√x) = 1/2√xf'(㏑x) = 1/xf'(㏒ax) = 1/x㏑a (a为底)f'(a^x) = a^x * ㏑af'(e^x) = e^xf'(sinx) = cosxf'(cosx) = -sinxf'(tanx) = (sec^2)x = 1/(cos^2)xf'(cotx) = -(csc^2)x = -1/(sin^2)xf'(secx) = cesx * tanxf'(cscx) = -cscx * cotxf'(arcsinx) = 1/√(1-x^2)f'(arccosx) = -1/√(1-x^2)f'(arctanx) = 1/1+x^2在推导的过程中有这几个常见的公式需要用到:1.y=f[g(x)],y'=f'[g(x)]•g'(x)『f'[g(x)]中g(x)看作整个变量,而g'(x)中把x看作变量』2.y=u/v,y'=u'v-uv'/v^23.y=f(x)的反函数是x=g(y),则有y'=1/x'证:1.显而易见,y=c是一条平行于x轴的直线,所以处处的切线都是平行于x的,故斜率为0。
用导数的定义做也是一样的:y=c,⊿y=c-c=0,lim⊿x→0⊿y/⊿x=0。
2.这个的推导暂且不证,因为如果根据导数的定义来推导的话就不能推广到n为任意实数的一般情况。
在得到 y=e^x y'=e^x和y=lnx y'=1/x这两个结果后能用复合函数的求导给予证明。
3.y=a^x,⊿y=a^(x+⊿x)-a^x=a^x(a^⊿x-1)⊿y/⊿x=a^x(a^⊿x-1)/⊿x如果直接令⊿x→0,是不能导出导函数的,必须设一个辅助的函数β=a^⊿x-1通过换元进行计算。
基本的导数和积分公式基本的导数和积分公式是微积分的基础,它们是在求解导数和积分时经常使用的公式集合。
这些公式涉及到各种函数的导数和积分,如常数函数、幂函数、指数函数、对数函数、三角函数等。
下面我将介绍一些常见的基本导数和积分公式。
1.常数函数:f(x)=C,其导数为f'(x)=0,其中C为常数;积分:∫f(x)dx= Cx + K,其中K为积分常数。
1.幂函数:f(x)=x^n,其中n为常数;导数:f'(x) = nx^(n-1);积分(n ≠ -1):∫x^n dx = (1/(n+1))x^(n+1) + K;积分(n = -1):∫x^(-1) dx = ln,x, + K。
1.指数函数:f(x)=a^x,其中a为常数且a>0;导数:f'(x) = a^x * ln(a);积分:∫a^xdx = (1/ln(a)) * a^x + K。
1. 自然对数函数:ln(x),其中x>0;导数:(ln(x))' = 1/x;积分:∫(1/x) dx = ln,x, + K。
2. 一般对数函数:log_a(x),其中x>0且a>0且a≠1;导数:(log_a(x))' = (1/(xln(a)));积分:∫(1/(xln(a))) dx = log_a,x, + K。
1. 正弦函数:sin(x);导数:(sin(x))' = cos(x);积分:∫cos(x) dx = sin(x) + K。
2. 余弦函数:cos(x);导数:(cos(x))' = -sin(x);积分:∫sin(x) dx = -cos(x) + K。
3. 正切函数:tan(x);导数:(tan(x))' = sec^2(x);积分:∫sec^2(x) dx = tan(x) + K。
4. 余切函数:cot(x);导数:(cot(x))' = -csc^2(x);积分:∫csc^2(x) dx = -cot(x) + K。
常用求导与定积分公式常用的求导公式有:1. 常数规则:对于常数C,有d/dx(C) = 0。
2. 幂函数规则:对于任意实数n,有d/dx(x^n) = nx^(n-1)。
特别地,d/dx(x^1) = 13. 指数函数规则:对于任意实数a,有d/dx(a^x) = ln(a) * a^x。
4. 对数函数规则:对于任意正实数a,有d/dx(log_a(x)) = 1 / (x * ln(a))。
5. 三角函数规则:对于三角函数sin(x)和cos(x),有d/dx(sin(x)) = cos(x)和d/dx(cos(x)) = -sin(x)。
6. 乘法规则:对于两个可导函数f(x)和g(x),有d/dx(f(x) *g(x)) = f'(x) * g(x) + f(x) * g'(x)。
7. 商法则:对于两个可导函数f(x)和g(x),有d/dx(f(x) / g(x)) = (f'(x) * g(x) - f(x) * g'(x)) / g(x)^28. 复合函数规则:对于两个可导函数f(x)和g(x),有d/dx(f(g(x))) = f'(g(x)) * g'(x)。
常用的定积分公式有:1. 常数积分规则:对于常数C和可导函数f(x),有∫f(x) dx =F(x) + C,其中F'(x) = f(x)。
2. 幂函数积分规则:对于实数n不等于-1和可导函数f(x),有∫x^n dx = (x^(n+1)) / (n+1) + C。
3. 指数函数的积分规则:对于底数为a的指数函数和可导函数f(x),有∫a^x dx = (a^x) / ln(a) + C。
4. 对数函数的积分规则:对于底数为a的对数函数和可导函数f(x),有∫(1 / x) dx = ln,x, + C。
5. 三角函数的积分规则:对于三角函数sin(x)和cos(x)以及可导函数f(x),有∫sin(x) dx = -cos(x) + C和∫cos(x) dx = sin(x) + C。
导数、微分、积分公式总结【导数】(1)(u ± v)′=u′±v′(2)(u v)′=u′v+ u v′(记忆方法:u v + u v ,分别在“u”上、“v”上加′)(3)(c u)′= c u′(把常数提前)╭u╮′u′v- u v′(4)│——│=———————( v ≠ 0 )╰v╯v²【关于微分】左边:d打头右边:dx置后再去掉导数符号′即可【微分】设函数u=u(x),v=v(x)皆可微,则有:(1)d(u ± v)= du ± dv(2)d(u v)= du·v + u·dv╭u╮du·v - u·dv(3)d│——│=———————( v ≠ 0 )╰v╯v²(5)复合函数(由外至里的“链式法则”)dy——=f′(u)·φ′(x)dx其中y =f(u),u =φ′(x)(6)反函数的导数:1[ fˉ¹(y)]′=—————f′(x)其中,f′(x)≠ 0【导数】注:【】里面是次方的意思(1)常数的导数:(c)′=0(2)x的α次幂:╭【α】╮′【α -1】│x│=αx╰╯(3)指数类:╭【x】╮′【x】│a│=alna(其中a >0 ,a ≠ 1)╰╯╭【x】╮′【x】│e│=e╰╯(4)对数类:╭╮′1 1│logx│=——log e=———(其中a >0 ,a ≠ 1)╰a╯x a xlna1(lnx)′=——x(5)正弦余弦类:(sinx)′=cosx(cosx)′=-sinx【微分】注:【】里面是次方的意思(1)常数的微分:dC =0(2)x的α次幂:【α】【α -1】dx=αxdx(3)指数类:【x】【x】da=alnadx(其中a >0 ,a ≠ 1)【x】【x】de=edx(4)对数类:1 1dlogx=——log e=———dx(其中a >0 ,a ≠ 1)a x a xlna1dlnx =——dxx(5)正弦余弦类:dsinx =cosxdxdcosx =-sinxdx【导数】(6)其他三角函数:1(tanx)′=————=sec²xcos²x1(cotx)′=-————=-csc²xsin²x(secx)′=secx·tanx(cscx)′=-cscx·cotx(7)反三角函数:1(arcsinx)′=———————(-1 <x <1)/ ̄ ̄ ̄ ̄ ̄√1-x²1(arccosx)′=-———————(-1 <x <1)/ ̄ ̄ ̄ ̄ ̄√1-x²1(arctanx)′=—————1+x²1(arccotx)′=-—————1+x²【微分】(6)其他三角函数:1dtanx =————=sec²xdxcos²x1dcotx =-————=-csc²xdxsin²xdsecx =secx·tanxdxdcscx =-cscx·cotx dx(7)反三角函数:1darcsinx =———————dx(-1 <x <1)/ ̄ ̄ ̄ ̄ ̄√1-x²1darccosx =-———————dx(-1 <x <1)/ ̄ ̄ ̄ ̄ ̄√1-x²1darctanx =—————dx1+x²1darccotx =-—————dx1+x²导数的应用(一)——中值定理特殊形式【拉格朗日中值定理】—————→【罗尔定理】【拉格朗日中值定理】如果函数y =f(x)满足:(1)在闭区间〔a ,b〕上连续;(2)在开区间(a ,b)上可导。
f'(c) = 0f'(x^n) = nx^(x-1)f'(1/x) = -1/x^2f'(√x) = 1/2√xf'(㏑x) = 1/xf'(㏒ax) = 1/x㏑a (a为底)f'(a^x) = a^x * ㏑af'(e^x) = e^xf'(sinx) = cosxf'(cosx) = -sinxf'(tanx) = (sec^2)x = 1/(cos^2)xf'(cotx) = -(csc^2)x = -1/(sin^2)xf'(secx) = cesx * tanxf'(cscx) = -cscx * cotxf'(arcsinx) = 1/√(1-x^2)f'(arccosx) = -1/√(1-x^2)f'(arctanx) = 1/1+x^2在推导的过程中有这几个常见的公式需要用到:1.y=f[g(x)],y'=f'[g(x)]•g'(x)『f'[g(x)]中g(x)看作整个变量,而g'(x)中把x看作变量』2.y=u/v,y'=u'v-uv'/v^23.y=f(x)的反函数是x=g(y),则有y'=1/x'证:1.显而易见,y=c是一条平行于x轴的直线,所以处处的切线都是平行于x的,故斜率为0。
用导数的定义做也是一样的:y=c,⊿y=c-c=0,lim⊿x→0⊿y/⊿x=0。
2.这个的推导暂且不证,因为如果根据导数的定义来推导的话就不能推广到n为任意实数的一般情况。
在得到 y=e^x y'=e^x和y=lnx y'=1/x这两个结果后能用复合函数的求导给予证明。
3.y=a^x,⊿y=a^(x+⊿x)-a^x=a^x(a^⊿x-1)⊿y/⊿x=a^x(a^⊿x-1)/⊿x如果直接令⊿x→0,是不能导出导函数的,必须设一个辅助的函数β=a^⊿x-1通过换元进行计算。
f'(c) = 0f'(x^n) = nx^(x-1)f'(1/x) = -1/x^2f'(√x) = 1/2√xf'(㏑x) = 1/xf'(㏒ax) = 1/x㏑a (a为底)f'(a^x) = a^x * ㏑af'(e^x) = e^xf'(sinx) = cosxf'(cosx) = -sinxf'(tanx) = (sec^2)x = 1/(cos^2)xf'(cotx) = -(csc^2)x = -1/(sin^2)xf'(secx) = cesx * tanxf'(cscx) = -cscx * cotxf'(arcsinx) = 1/√(1-x^2)f'(arccosx) = -1/√(1-x^2)f'(arctanx) = 1/1+x^2在推导的过程中有这几个常见的公式需要用到:1.y=f[g(x)],y'=f'[g(x)]•g'(x)『f'[g(x)]中g(x)看作整个变量,而g'(x)中把x看作变量』2.y=u/v,y'=u'v-uv'/v^23.y=f(x)的反函数是x=g(y),则有y'=1/x'证:1.显而易见,y=c是一条平行于x轴的直线,所以处处的切线都是平行于x的,故斜率为0。
用导数的定义做也是一样的:y=c,⊿y=c-c=0,lim⊿x→0⊿y/⊿x=0。
2.这个的推导暂且不证,因为如果根据导数的定义来推导的话就不能推广到n为任意实数的一般情况。
在得到 y=e^x y'=e^x和y=lnx y'=1/x这两个结果后能用复合函数的求导给予证明。
3.y=a^x,⊿y=a^(x+⊿x)-a^x=a^x(a^⊿x-1)⊿y/⊿x=a^x(a^⊿x-1)/⊿x如果直接令⊿x→0,是不能导出导函数的,必须设一个辅助的函数β=a^⊿x-1通过换元进行计算。
一、导数的四则运算法则之有琴礁磷创作二、基本导数公式⑴()0c '=⑵1x x μμμ-=⑶()sin cos x x '=⑷()cos sin x x '=-⑸()2tan sec x x '=⑹()2cot csc x x '=- ⑺()sec sec tan x x x '=⋅⑻()csc csc cot x x x '=-⋅⑼()x x e e '=⑽()ln x x a a a '=⑾()1ln x x '=⑿()1log ln x a x a '=⒀()arcsin x '=⒁()arccos x '=⒂()21arctan 1x x '=+⒃()21arccot 1x x '=-+⒄()1x '=⒅'=三、高阶导数的运算法则 (1)()()()()()()()n n n u x v x u x v x ±=±⎡⎤⎣⎦(2)()()()()n n cu x cu x =⎡⎤⎣⎦(3)()()()()n n nu ax b a uax b +=+⎡⎤⎣⎦(4)()()()()()()()0nn n k k k n k u x v x c u x v x -=⋅=⎡⎤⎣⎦∑ 四、基本初等函数的n 阶导数公式 (1)()()!n nxn =(2)()()n ax bn ax bea e++=⋅ (3)()()ln n xx n aa a =(4)()()sin sin 2n n ax b a ax b n π⎛⎫+=++⋅⎡⎤ ⎪⎣⎦⎝⎭(5) ()()cos cos 2n n ax b a ax b n π⎛⎫+=++⋅⎡⎤ ⎪⎣⎦⎝⎭(6)()()()11!1n n nn a n ax b ax b +⋅⎛⎫=- ⎪+⎝⎭+ (7)()()()()()11!ln 1n n n na n axb ax b -⋅-+=-⎡⎤⎣⎦+五、微分公式与微分运算法则⑴()0d c =⑵()1d x x dx μμμ-=⑶()sin cos d x xdx =⑷()cos sin d x xdx =-⑸()2tan sec d x xdx =⑹()2cot csc d x xdx =- ⑺()sec sec tan d x x xdx =⋅⑻()csc csc cot d x x xdx =-⋅ ⑼()x x d e e dx =⑽()ln x x d a a adx =⑾()1ln d x dx x=⑿()1logln x a d dx x a =⒀()arcsin d x =⒁()arccos d x = ⒂()21arctan 1d x dx x =+⒃()21arccot 1d x dx x=-+ 六、微分运算法则⑴()d u v du dv ±=±⑵()d cu cdu =⑶()d uv vdu udv =+⑷2u vdu udvd v v-⎛⎫= ⎪⎝⎭七、基本积分公式⑴kdx kx c =+⎰⑵11x x dx c μμμ+=++⎰⑶ln dxx c x=+⎰ ⑷ln xxa a dx c a=+⎰⑸x x e dx e c =+⎰⑹cos sin xdx x c =+⎰ ⑺sin cos xdx x c =-+⎰⑻221sec tan cos dx xdx x c x==+⎰⎰ ⑼221csc cot sin xdx x c x ==-+⎰⎰⑽21arctan 1dx x c x=++⎰⑾arcsin x c =+八、下列经常使用凑微分公式九、分部积分法公式⑴形如n ax x e dx ⎰,令n u x =,ax dv e dx = 形如sin n x xdx ⎰令n u x =,sin dv xdx = 形如cos n x xdx ⎰令n u x =,cos dv xdx =⑵形如arctan n x xdx ⎰,令arctan u x =,n dv x dx = 形如ln n x xdx ⎰,令ln u x =,n dv x dx =⑶形如sin ax e xdx ⎰,cos ax e xdx ⎰令,sin ,cos ax u e x x =均可。
1.基本求导公式⑴ 0)(='C (C 为常数)⑵ 1)(-='n nnxx ;一般地,1)(-='αααxx 。
特别地:1)(='x ,x x 2)(2=',21)1(x x -=',xx 21)(='。
⑶ x x e e =')(;一般地,)1,0( ln )(≠>='a a a a a xx 。
⑷ x x 1)(ln =';一般地,)1,0( ln 1)(log ≠>='a a ax x a 。
2.求导法则 ⑴ 四则运算法则设f (x ),g (x )均在点x 可导,则有:(Ⅰ))()())()((x g x f x g x f '±'='±; (Ⅱ))()()()())()((x g x f x g x f x g x f '+'=',特别)())((x f C x Cf '='(C 为常数);(Ⅲ))0)(( ,)()()()()())()((2≠'-'='x g x g x g x f x g x f x g x f ,特别21()()()()g x g x g x ''=-。
3.微分 函数()y f x =在点x 处的微分:()dy y dx f x dx ''== 4、 常用的不定积分公式(1) ⎰⎰⎰⎰⎰+==+=+=-≠++=+c x dx x x dx x c x xdx c x dx C x dx x 43,2,),1( 11433221αααα; (2) C x dx x+=⎰||ln 1; C e dx e xx +=⎰; )1,0( ln ≠>+=⎰a a C a a dx a x x ; (3)⎰⎰=dx x f k dx x kf )()((k 为常数) 5、定积分()()|()()bb a af x dx F x F b F a ==-⎰⑴⎰⎰⎰+=+bab abadx x g k dx x f k dx x g k x f k )()()]()([2121⑵ 分部积分法设u (x ),v (x )在[a ,b ]上具有连续导数)(),(x v x u '',则⎰⎰-=bab abax du x v x v x u x dv x u )()()()()()(6、线性代数特殊矩阵的概念(1)、零矩阵 ,000022⎥⎦⎤⎢⎣⎡=⨯O (2)、单位矩阵⎥⎥⎥⎥⎦⎤⎢⎢⎢⎢⎣⎡=100010001 n I 二阶,100122⎥⎦⎤⎢⎣⎡=⨯I (3)、对角矩阵⎥⎥⎥⎥⎦⎤⎢⎢⎢⎢⎣⎡=n a a a A 000000021 (4)、对称矩阵⎥⎥⎥⎦⎤⎢⎢⎢⎣⎡---==752531212,A a a ji ij (5)、上三角形矩阵⎥⎥⎥⎥⎦⎤⎢⎢⎢⎢⎣⎡=nn n n a a a a a a A 000022211211下三角形矩阵⎥⎥⎥⎥⎦⎤⎢⎢⎢⎢⎣⎡=n a a a A 000000021 (6)、矩阵转置⎥⎥⎥⎥⎦⎤⎢⎢⎢⎢⎣⎡=nn n n n n a a a a a a a a a A 212222111211转置后⎥⎥⎥⎥⎦⎤⎢⎢⎢⎢⎣⎡=nn n nn n T a a a a a a a a a A 2122212121116、矩阵运算 ⎥⎦⎤⎢⎣⎡++++=⎥⎦⎤⎢⎣⎡+⎥⎦⎤⎢⎣⎡=+h d g c f b e a h g f ed c b a B A ⎥⎦⎤⎢⎣⎡++++=⎥⎦⎤⎢⎣⎡⎥⎦⎤⎢⎣⎡=dh cf dg ce bh af bg ae h gf ed c b a AB 7、MATLAB 软件计算题例6 试写出用MATLAB 软件求函数)e ln(2x x x y ++=的二阶导数y ''的命令语句。
解:>>clear;>>syms x y;>>y=log(sqrt(x+x^2)+exp(x)); >>dy=diff(y,2)例:试写出用MATLAB 软件求函数)e ln(xx y +=的一阶导数y '的命令语句。
>>clear;>>syms x y;>>y=log(sqrt(x)+exp(x)); >>dy=diff(y)例11 试写出用MATLAB 软件计算定积分⎰21d e 13x xx 的命令语句。
解:>>clear;>>syms x y;>>y=(1/x)*exp(x^3);>>int(y,1,2)例 试写出用MATLAB 软件计算定积分x xx d e 13的命令语句。
解:>>clear;>>syms x y;>>y=(1/x)*exp(x^3); >>int(y)MATLAB 软件的函数命令运算符号典型例题例1 设某物资要从产地A 1,A 2,A 3调往销地B 1,B 2,B 3,B 4,运输平衡表(单位:吨)和运价表(单位:百元/吨)如下表所示:运输平衡表与运价表(1)用最小元素法编制的初始调运方案,(2)检验上述初始调运方案是否最优,若非最优,求最优调运方案,并计算最低运输总费用。
解:用最小元素法编制的初始调运方案如下表所示:运输平衡表与运价表找空格对应的闭回路,计算检验数:11λ=1,12λ=1,22λ=0,24λ=-2已出现负检验数,方案需要调整,调整量为1 调整后的第二个调运方案如下表:求第二个调运方案的检验数:11λ=-1已出现负检验数,方案需要再调整,调整量为2 调整后的第三个调运方案如下表:运输平衡表与运价表求第三个调运方案的检验数:12λ=2,14λ=1,22λ=2,23λ=1,31λ=9,33λ=12所有检验数非负,故第三个调运方案最优,最低运输总费用为:2×3+5×3+1×1+3×8+6×4+3×5=85(百元)例2 某物流公司下属企业经过对近期销售资料分析及市场预测得知,该企业生产的甲、乙、丙三种产品,均为市场紧俏产品,销售量一直持续上升经久不衰。
今已知上述三种产品的单位产品原材料消耗定额分别为4公斤、4公斤和5公斤;三种产品的单位产品所需工时分别为6台时、3台时和6台时。
另外,三种产品的利润分别为400元/件、250元/件和300元/件。
由于生产该三种产品的原材料和工时的供应有一定限制,原材料每天只能供应180公斤,工时每天只有150台时。
1.试建立在上述条件下,如何安排生产计划,使企业生产这三种产品能获得利润最大的线性规划模型。
2. 写出用MATLAB 软件计算该线性规划问题的命令语句。
解:1、设生产甲、乙、丙三种产品分别为x 1件、x 2件和x 3件,显然x 1,x 2,x 3≥0线性规划模型为⎪⎩⎪⎨⎧≥≤++≤++++=0150636180544300250400max 321321321321x x x x x x x x x x x x S ,,2.解上述线性规划问题的语句为: >>clear;>>C=-[400 250 300]; >>A=[4 4 5;6 3 6]; >>B=[180;150]; >>LB=[0;0;0];>>[X,fval,exitflag]=linprog(C,A,B,[],[],LB)例3已知矩阵⎥⎦⎤⎢⎣⎡-=⎥⎥⎥⎦⎤⎢⎢⎢⎣⎡--=⎥⎦⎤⎢⎣⎡-=2101111412210101C B A ,,,求:T C AB + 解:⎥⎦⎤⎢⎣⎡-=⎥⎦⎤⎢⎣⎡-+⎥⎦⎤⎢⎣⎡-=⎥⎦⎤⎢⎣⎡-+⎥⎥⎥⎦⎤⎢⎢⎢⎣⎡--⎥⎦⎤⎢⎣⎡-=+3612201116012101111412210101C AB 例4 设y =(1+x 2)lnx ,求:y '解:xx x x x x x x y 2221ln 2))(ln 1(ln )1(++='++'+='例5 设xy x+=1e ,求:y '解:22)1(e )1()1(e )1()e (x x x x x y xx x +=+'+-+'='例7 某厂生产某种产品的固定成本为2万元,每多生产1百台产品,总成本增加1万元,销售该产品q 百台的收入为R (q )=4q -0.5q 2(万元)。
当产量为多少时,利润最大?最大利润为多少?解:产量为q 百台的总成本函数为:C (q )=q +2利润函数L (q )=R (q )-C (q )=-0.5q 2+3q -2 令ML (q )=-q +3=0 得唯一驻点 q =3(百台) 故当产量q =3百台时,利润最大,最大利润为 L (3)=-0.5×32+3×3-2=2.5(万元) 例8 某物流企业生产某种商品,其年销售量为1000000件,每批生产需准备费1000元,而每件商品每年库存费为0.05元,如果该商品年销售率是均匀的,试求经济批量。
解:库存总成本函数qq q C 100000000040)(+=令01000000000401)(2=-='qq C 得定义域内的唯一驻点q =200000件。
即经济批量为200000件。
例9 计算定积分:⎰+10d )e 3(x x x解:25e 3)e 321(d )e 3(|10210-=+=+⎰x xx x x例10 计算定积分:⎰+312d )2(x xx解:3ln 2326|)|ln 231(d )2(|313312+=+=+⎰x x x x x教学补充说明1. 对编程问题,要记住函数e x,lnx ,x 在MATLAB 软件中相应的命令函数exp(x),log(x),sqrt(x);2 对积分问题,主要掌握积分性质及下列三个积分公式:c x a x x a a++=+⎰111d (a ≠-1) c x x x +=⎰e d e c x x x +=⎰||ln d 17. 记住两个函数值:e 0=1,ln1=0。
模拟试题一、单项选择题:(每小题4分,共20分)1. 若某物资的总供应量( C )总需求量,可增设一个虚销地,其需求量取总供应量与总需求量的差额,并取各产地到该销地的单位运价为0,则可将该不平衡运输问题化为平衡运输问题。
(A) 等于 (B) 小于 (C) 大于 (D) 不超过2.某物流公司有三种化学原料A 1,A 2,A 3。