最实用的开关电源变压器计算方法与步骤
- 格式:pdf
- 大小:2.83 MB
- 文档页数:30
开关电源高频变压器计算开关电源是一种将交流电转换为直流电的电源设备,广泛应用于各种电子设备中。
而高频变压器则是开关电源中的关键组件之一,用于实现电压的变换和隔离。
本文将从开关电源和高频变压器的工作原理、计算方法以及应用领域等方面进行介绍。
一、开关电源的工作原理开关电源通过不断开关的方式将输入的交流电转换为高频的脉冲电流,再经过整流、滤波等环节得到稳定的直流电。
其主要由输入端的滤波电容、整流桥、开关管、变压器、输出端的滤波电容和稳压电路等组成。
其中,开关管的开关频率决定了开关电源的工作频率,一般为几十kHz到几百kHz不等。
二、高频变压器的工作原理高频变压器是开关电源中的关键元件,主要用于实现输入端与输出端的电压变换和隔离。
其工作原理基于电磁感应定律,通过输入端的脉冲电流在变压器的磁场作用下产生电磁感应,从而实现电压的变换。
高频变压器通常由高导磁率的铁芯和绕组组成,绕组的匝数比决定了输入端与输出端的电压变换比。
三、高频变压器的计算方法在设计高频变压器时,需要根据具体的输入输出电压要求和功率需求进行计算。
一般来说,高频变压器的计算主要包括以下几个方面:1. 输入电压和输出电压:根据实际需求确定输入端和输出端的电压值。
2. 输入功率和输出功率:根据实际需求确定输入端和输出端的功率值。
3. 变压器的变比:根据输入端和输出端的电压值计算变压器的变比,即输入匝数与输出匝数的比值。
4. 变压器的铁芯截面积:根据输入功率和开关频率计算变压器的铁芯截面积,以满足工作时的磁通密度要求。
5. 绕组的匝数和线径:根据变压器的变比和输入、输出功率计算绕组的匝数和线径,以满足工作时的电流和功率要求。
四、开关电源和高频变压器的应用领域开关电源和高频变压器广泛应用于各种电子设备中,包括电脑、手机、通信设备、工控设备、医疗仪器等。
其优势在于体积小、效率高、稳定性好,能够满足现代电子设备对电源的高要求。
总结:开关电源和高频变压器作为现代电子设备中不可或缺的组件,通过将交流电转换为直流电并实现电压变换和隔离,为电子设备提供了稳定的电源供应。
开关电源高频变压器AP法计算方法开关电源的高频变压器在设计和计算时,常采用AP法(Amplitude and Phase Method),即幅相法。
该方法可以使计算过程更简洁,且准确度较高。
以下是使用AP法计算开关电源高频变压器的方法及步骤。
1.确定设计要求:- 输入电压:Vin- 输出电压:Vout- 输出功率:Pout- 输入频率:Fin- 输出频率:Fout-漏感相对占空比:D-反馈变压器线匝比:Np/Ns2.计算输出电流:输出电流Iout = Pout / Vout3.计算输入电流:输入电流Iin = Pout / Vin4.计算变压器线圈匝数:输入线圈匝数Np = Ns * Vin / Vout5.设计漏感:选择适当的漏感系数k,一般为0.3到1之间。
漏感Lp = k * (Np)^2 / Fin6.计算变压器参考电流:变压器参考电流Ir = Iout * Vin / Vout7.计算变压器参考电压:变压器参考电压Ur = Vout * (1 - D) * (Ns / Np)8.计算变压器的磁链:变压器的磁链Br = Ur / (Fout * A)其中,A为变压器的有效截面积,可根据铁心截面积和线圈层数来计算。
9.根据设计选取合适的磁芯材料:根据计算得到的磁链值Br,选择合适的磁芯材料,常见的磁芯材料有硅钢片、氧化锌和磁性体等。
10.计算变压器的磁芯截面积:由所选磁芯材料的B-H曲线,可以得到磁芯的饱和磁感应强度Bs,通过Ur和Fout的大小关系判断是否选择合适的磁芯尺寸。
11.计算变压器的线圈电流密度:线圈电流密度Jc=Ir/Ap其中,Ap为变压器的有效截面积。
12.计算变压器的线圈匝数:输出线圈匝数Ns = Ap * Jc / (2 * Iout)13.计算输入电压的有效值:输入电压的有效值Vin_rms = Vin / sqrt(2)14.计算输入电流的有效值:输入电流的有效值Iin_rms = Iin / sqrt(2)15.计算变压器的有效值电流密度:有效值电流密度J_rms = Iin_rms / Ap16.计算输入线圈匝数:输入线圈匝数Np = Ap * J_rms / (2 * Iin_rms)17.验证设计结果:使用计算得到的变压器参数进行实际设计和模拟验证,根据设计要求进行调整。
RCC方式电源变压器设计计算方法在RCC設計中,一般先設定工作頻率,如為50K,然後設定工作DUTY在90V入力,最大輸出時為0.5假設設計一功率為12V/1A1. 最大輸出電流為定格電流的1.2~1.4倍,取1.3倍.2. 出力電力Pout = V out × Iout = 12V×1.3A = 15.6W3. 入力電力Pin = Pout/∩=22.3W(RCC效率∩一般設在65%~75% , 取70%)4. 入力平均電流Iin=Pin/Vdc(INmin)=22.3/85*1.2=0.22( Vin(DCmin) = Vac(Inmin)×1.2)5. T=1/swF=1/50K=20uS Ton=Toff=10uS6. Ipk=Iin入力平均電流*2/DUTY=0.22*2/0.5=0.887. 一次側電感量Lp=Vin(DCmin)*Ton/Ipk=102*10/0.88=1159uH取1160uH8. 選擇磁芯,根据磁芯規格,選擇EI28. Ae=0.85CM^2 動作磁通=2000~2800取2000(當然,這是很保守的作法)9. Np=Ipk*Lp*K/Ae*▲Bm=(0.88*1160*100)/(0.85*2000)=60Ts10. Ns=(Vout+Vf)*Np/Vin(DCmin)=7.6 取8Ts11. 輔助電壓取5V(電晶體) 如功率管使用MOSFET則應設為11V12. Vin(DCmin)/Np=Vb/Nb----Nb=2.94 取3Ts故變壓器的構造如下:Lp=1160uHNp=60TsNs=7TsNb=3Ts以上采用三明治繞法:三明治繞法詳解:所謂三明治就是夾層繞法,因結構如同三明治一樣,所以叫三明治繞法.通常會有兩種繞法:1. 一次側平均法,就是a.最底層繞上一半的圈數,b.然後再繞二次側,c.再繞一次側的另一半.d.再繞Vcc. 最常用的做法還會在二次側上下兩層各加一銅箔或繞線屏蔽.在小功率上會起到Y電容的效果,所以說在小功率上有些人說可以不用Y電容,其實在整體成本上沒有太大的差別.2. 屏蔽繞法, 就是a.最底層繞上與二次相同的圈數,b.然後再繞二次側,c.再繞一次側的其它圈數.d.再繞Vcc. 這種方式很少加屏蔽.當然還有很多種不同的配對方式.但基本原理是一樣的.三明治的真正用意就是減小漏感,人為的在一次與二次之間加上一個寄生電容.用三明治繞法不可以短路为什么?(短路指输出短路保护) 设计参数选取有问题。
输入交流电压:85~264V AC输入频率:50 HZ输出直流电压:5.0 V输出直流电流:0.75 A输出功率: 3.75 W开关频率:60KHZ电源效率:80%输入最大功率:4.7W计算步骤如下:1. 确定开关管和输出整流二极管开关管13003耐压: Vce=700V输出整流二极管SB240:反向压降VD=40V正向导通压降VF=0.5V2. 计算变压器匝比N考虑开关器件电压应力的余量(Typ.=20%)开关ON :0.8VD > Vin(max)/N+Vo 即:0.8*40>264*1.4/N+5开关OFF :0.8 Vce >N*(Vo+VF )+Vin(max) 即:0.8*700>N*5.5+264*1.4 由以上两式可得:14 < N < 34 N 取中心值243. 确定最低输入电压和最大占空比3.1 输入滤波电容:3.75W*2.5U/W=9.4UF3.2 最低输入电压(tc 取3ms)Vin(min)= Cin tc T Pin Vac )2*(*22min)2(--=6310*4.910*)3220(*7.4*22)120(----=86V3.3 最低输入电压,最大功率时,最大占空比DmaxDmax=min )(*)(*Vin VF Vo N VF Vo N +++=86)5.05(*24)5.05(*24+++=0.6 4. 计算初级临界电流均值和峰值4.1 BCM 模式下,最小输入电压时的平均输入电流 Iin-avg=min*31Vin Pin =867.4*31=0.018A 4.2 变压器初级临界电流峰值△ Ip1=Ipk1=max *2D avg Iin -=6.0018.0*2=0.06A5. 最大导通时间及初级电感量5.1 Tonmax=Ts*Dmax=fs1*Dmax=310*601*0.6=10us 5.2 Lp=1m ax m in*Ipk Ton Vin =06.010*10*866=14.33mH。
半桥式开关电源变压器参数计算方法1. 输入电压(Vin):即待转换的电源电压,常用交流电压,如220V交流电。
2. 输出电压(Vout):即转换后的电源电压,可以是交流电也可以是直流电。
3. 输出电流(Iout):即变压器输出的电流大小。
4.开关频率(f):开关频率是指开关器件开关的次数,通常以kHz 为单位。
5.变压器功率(P):变压器的功率是变压器所能处理的电能大小,即输入电压乘以输出电流。
下面以一个实际计算的案例来详细介绍半桥式开关电源变压器的参数计算方法:假设我们需要设计一个输入电压为220V,输出电压为12V,输出电流为5A的半桥式开关电源变压器。
第一步是计算变压器的功率。
根据上述参数,变压器的功率P=Vout×Iout=12V×5A=60W。
第二步是选择开关频率。
开关频率的选择取决于应用的特定需求,一般在几十kHz到几百kHz之间。
假设我们选择开关频率为50kHz。
第三步是计算变压器的绕组比。
绕组比定义了变压器输入与输出端的电压比。
在半桥式开关电源中,绕组比通常为1:1、所以输入电压与输出电压相等,即Vin=Vout。
第四步是计算变压器的变比。
变比(N)定义了输入和输出的绕组匝数之比,从而决定了电压的变化。
根据绕组比为1:1,我们有N=Vin/Vout=220V/12V=18.33第五步是计算变压器的一次侧电感。
一次侧电感(Lp)决定了变压器的电流特性。
一般来说,如果开关频率较高,则需要较小的电感值。
根据经验公式,计算一次侧电感为Lp=10×(Vin/Vout)²/f=10×(220V/12V)²/50kHz=0.029H。
第六步是计算变压器的二次侧电感。
二次侧电感(Ls)是指变压器绕组与输出端的电感。
一般来说,为了防止输出电压的波动,二次侧电感应比一次侧电感大。
根据经验公式,计算二次侧电感为Ls=10×(Vin/Vout)²/f=10×(220V/12V)²/50kHz=0.029H。
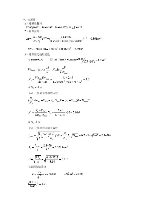
一,变压器(1)选磁性材料PC40(100℃,Bs=0.39T ,Br=0.055T) 取B =0.2T(2)磁芯型号AP= 1.14311.1()'pin k Bf = 1.143411.160()0.3610.950.1140.275103cm ⨯=⨯⨯⨯⨯ AP ’=441.28 1.08 1.380.36cm cm ⨯=> 选EE40(3)计算原边绕组匝数令Dmax=0.45 则Ton (max )=DmaxT=630.45610(7510)-=⨯⨯ min maxP P B B Vin N Ae N Ae T Ton == min max 43410.459.61.28100.27510P Vin Ton N Ae B -⨯===⨯⨯⨯⨯⨯ 取P N =10匝(4)计算副边绕组的匝数min max max ()()(1)s fwd o O fwd pN Vin V V D T V V D T N --=+- min max 121107.046410.45o fwds p V VN N Vin D ++==⨯=⨯取s N =7匝(5)计算原边电流有效值0.75 2.3479s prms pN I I A N ===⨯=22.34790.52184.5prmsp I A mm j ===0.815D === 考虑到集肤效应0.273mm δ== 20.546D δ≤= 20.815() 3.010.47=(6)计算副边线径5 3.354srms I I A ====0.974D ==考虑到集肤效应20.974() 4.290.47= 所以取副边为0.47mm 的漆包线五股并绕 (7)计算电感的阈值,线径与匝数令10%0.5oc on I I A ≤= ()11(1)22O fwd oc l V V I i D T L+==- min ()(1)()(1)22O fwd O fwd oc oc V V D TV V D T L I I +-+-=≥max min min ()()(1)s fwd O o fwd pN Vin V V D T V V D T N --=+- min max 121100.326577p o fwd B V V D N Vin N ++=⨯=+ 3(121)(10.326)11720.157510L H μ+-≥=⨯⨯⨯⨯ 5.5Lpk oc o I I I A =+=选取pc40磁性材料(100℃ Bs=0.39T Ur=230) 241.1434410()0.4784500.60.25ppk LI AP cm cm ⨯==⨯⨯选EE40 41.28 1.08 1.380.478AP cm =⨯=>645.51171020.111.28100.25lpk L E m LI N A B --⨯⨯===⨯⨯取21匝 5Lrmsn I I A ≈= 5 1.1114.5L A == 1.189L D == 21.189() 3.140.67=(8)驱动变压器的计算 11()(1)m m m V DT V V D T =-- 1(1)m m V D V =-取m V =16v 得1(min)(10.45)168.8m V V =-⨯= 13 1.58.8Sp N N ==原边30匝,副边45匝 用EE25 线径为0.21mm。
原边电感量:Lp =(Dmax * Vindcmin)/ (fs * ΔIp)开关管耐压:Vmos =Vindcmax+开关管耐压裕量(一般用150V)+Vf*反激电压(Vf)的计算: Vindcmin * Dmax = Vf *(1- Dmax)原边与副边的匝比:Np / Ns = Vf / Vout原边与副边的匝比:Np / Ns = (Vdcmin * Dmax)/ [Vout * (1-Dmax)]原边电流:[1/2 * (Ip1 + Ip2)] * Dmax * Vindcmin = Pout / η磁芯:AwAe = (Lp * Ip2^2 * 10^4 / Bw * Ko * Kj) *原边匝数:Np = (Lp * Ip^2 * 10^4 )/ (Bw * Ae)气隙:lg = π * Np^2 * Ae * 10^-8 / LpLp:原边电感量, 单位:H`Vindcmin:输入直流最小电压,单位:VDmax:最大占空比: 取值~Fs:开关频率 (或周期T),单位:HzΔIp:原边电流变化量,单位:AVmos:开关管耐压,单位:VVf:反激电压:即副边反射电压,单位:VNp:原边匝数,单位:T)Ns:副边匝数,单位:T)Vout:副边输出电压,单位:Vη:变压器的工作效率Ae:磁芯截面积,单位:cm²《Ip2:原边峰值电流,单位:ABw:磁芯工作磁感应强度,单位:T 取值~Ko:窗口有效用系数,根据安规的要求和输出路数决定,一般为~Kj:电流密度系数,一般取395A/ cm²(或取500A/cm²)Lg:气隙长度,单位:cm变压器的亿裕量一般取150V什么是反激电压假定原副边的匝比为n,在原边开关管截止时,开关管的高压端电压为Vin(dc)+nVo, nVo即为反激到原边的电压。
在反激电源的工作原理中,原边开关管截止时,变压器能量传递,次级二极管导通,次级绕组两端的电压,会“折射”到原边(用同名端对电位),叠加在开关管高压端。
开关电源变压器的计算一、开关电源变压器设计的基本原理1.输出功率的计算输出功率是决定变压器尺寸和设计的重要参数。
通常,输出功率可以通过以下公式计算:Pout = Vout * Iout其中,Pout为输出功率,Vout为输出电压,Iout为输出电流。
根据实际应用需求,可以确定输出功率。
2.输入电压范围的确定输入电压范围是指变压器能够工作的最小和最大输入电压。
根据实际应用需求和电网电压标准,可以确定输入电压范围。
3.输出电压的计算根据实际应用需求,可以确定输出电压。
输出电压主要由两个因素决定:输入电压和变压器变比。
可以根据以下公式计算输出电压:Vout = Vin * N2 / N1其中,Vout为输出电压,Vin为输入电压,N2为输出绕组匝数,N1为输入绕组匝数。
4.变压器的体积和重量的计算根据输入电压、输出功率和输出电压,可以计算变压器的体积和重量。
变压器的体积和重量主要由以下因素决定:输出功率、变压器结构和材料等。
二、开关电源变压器设计的步骤1.确定输出功率和输出电压。
2.计算输入电压范围。
3.根据输出电压计算变压器变比。
4.根据输入和输出电压、输出功率计算变压器的体积和重量。
5.根据实际应用需求选取合适的变压器结构和材料。
6.进行变压器的电磁设计和热设计。
7.进行变压器的样品制作和测试。
三、开关电源变压器设计中需要注意的问题在开关电源变压器设计中,需要注意以下问题:1.尽可能提高变压器的效率。
通过选择合适的材料、合理设计变压器结构和优化磁路设计,可以提高变压器的效率。
2.确保变压器的温升不超过允许的范围。
通过合理选择材料和冷却措施,可以有效控制变压器的温升。
3.考虑变压器的损耗。
变压器的损耗主要包括铜损耗和铁损耗。
合理选择导线截面积和变压器材料,可以降低损耗。
4.考虑变压器的磁导弹性。
变压器的磁导弹性是指在变压器工作时,磁导率随磁场强度的变化情况。
选择合适的铁芯材料和设计合理的磁路,可以降低磁导弹性对变压器性能的影响。
开关电源高频变压器计算方法开关电源的高频变压器是将输入电压转换为所需的输出电压的重要组成部分。
它通过高频变换的方式实现高效的能量转换,广泛应用于电子设备中。
高频变压器的设计计算方法主要包括两个方面:核心参数的选择和线圈参数的计算。
首先,选择合适的核心材料和尺寸。
核心材料具有一定的磁导率和饱和磁感应强度,核心尺寸则决定了变压器的功率和体积。
常用的核心材料有铁氧体、磁性粉末等。
选材时需要考虑到工作频率、变压器功率和尺寸等因素。
通常情况下,铁氧体具有较高的磁导率和饱和磁感应强度,适合高功率和高频率应用。
对于线圈参数的计算,首先需要确定变压器的变比,即输入电压与输出电压的比值。
根据变比关系可以计算出变压器的匝数比,即一边的匝数与另一边的匝数的比值。
线圈的匝数选择是根据匝数比和变压器的额定功率决定的,一般情况下,使用更细的线条,匝数更多的线圈,可以提高输出压缩。
同时,还需要考虑到线圈的直径、绕线方式和绝缘层等因素。
其次,根据变压器的功率和工作频率,计算出线圈的电流和电压。
功率P1等于输入电流I1与输入电压U1的乘积,功率P2等于输出电流I2与输出电压U2的乘积。
然后,根据选定的核心材料的饱和磁感应强度,计算出变压器的磁通,进而可计算出变压器的感应电势。
最后,根据上述参数计算出线圈的匝数N,根据线圈的直径和形状计算出线圈的尺寸,根据变压器的额定功率计算出线圈的截面积,根据线圈的长度和材料的电阻率计算出线圈的电阻。
当上述参数计算完成后,还需要进行电磁特性仿真和电路参数优化,以确保变压器的性能与设计要求相符。
总之,开关电源高频变压器的计算方法涉及到核心参数的选择和线圈参数的计算。
通过合理的设计和优化,可以实现高效、稳定的能量转换。
开关电源中变压器副边电压计算方法
开关电源中,变压器作为一个重要的元件,扮演着将输入电压转换为需要的输出电压的关键角色。
变压器副边电压的计算方法对于电源设计来说尤为重要。
在开关电源中,变压器的副边电压取决于主边电压、变比和负载情况。
以下是计算变压器副边电压的方法:
1. 确定主边电压:主边电压是指将电源连接到变压器主边的电压值。
可以通过测量电源输出电压或根据设计需求来确定。
2. 确定变比:变比是指变压器主边和副边之间的电压比值。
可以通过变压器的规格参数来获取,通常以数字形式表示为"N:1"或"1:N"。
3. 计算副边电压:根据变比和主边电压,可以使用下列公式计算副边电压:
副边电压 = 主边电压 / 变比
例如,如果主边电压为12V,变比为2:1,那么副边电压为12V / 2 = 6V。
4. 考虑负载:在计算副边电压时,还需要考虑负载情况。
负载是指连接到变压器副边的电路或设备。
根据负载的电流要求,可以计算出变压器副边电压的最终数值。
需要注意的是,这只是一个基本的计算方法,并且在实际设计中可能还需要考虑其他因素,如电源效率、电压波动等。
因此,在实际应用中,建议与相关专业人士一起进行电源设计,以确保得到准确和可靠的结果。
总结起来,计算开关电源中变压器副边电压的方法包括确定主边电压,确定变比,并使用副边电压计算公式计算。
在计算过程中,要考虑负载情况,并根据设计需求和专业指导进行调整。
这样可以确保电源设计的效果和安全性。
几种开关电源变压器设计计算方法
开关电源变压器设计计算方法有多种,根据输入和输出电压、电流、效率等参数的不同,可以选择不同的设计方法。
下面介绍几种常见的开关电源变压器设计计算方法。
1.均压系数法:
均压系数法是一种常见的设计方法,适用于输出电压稳定、负载变化较小的情况。
计算步骤如下:
1)确定输入和输出电压、电流;
2)选择变压器的变压比和绕组匝数;
3)根据电流传输比,计算输入和输出绕组的截面积和电流;
4)根据磁通密度,计算变压器的磁芯截面积;
5)计算变压器的工作频率和磁通密度。
2.欧姆法:
欧姆法是一种比较精确的设计方法,适用于需求较高的应用场景。
计算步骤如下:
1)确定输入和输出电压、电流,以及允许的电压降;
2)根据欧姆定律和功率关系,计算输入和输出绕组的电阻;
3)根据电流传输比,计算输入和输出绕组的导线截面积;
4)根据磁通密度,计算变压器的磁芯截面积;
5)计算变压器的工作频率和磁通密度。
3.饱和系数法:
饱和系数法是一种适用于高频开关电源设计的方法,可以有效降低开
关电源的损耗和杂散辐射。
计算步骤如下:
1)确定输入和输出电压、电流,以及允许的饱和电流;
2)根据输入和输出电流计算变压器的有效电流;
3)根据输入电流和变压比,计算输入和输出绕组的有效导线截面积;
4)根据磁通密度,计算变压器的磁芯截面积;
5)计算变压器的工作频率和磁通密度。
以上是几种常见的开关电源变压器设计计算方法。
在实际设计中,还
需要考虑变压器的损耗、绝缘、温升等因素,并结合具体的应用要求进行
优化和调整。
最实用的开关电源变压器计算方法与步骤
一、计算步骤
1.输入电压等级、额定功率
首先,计算开关电源变压器需要的额定功率,一般选择为负载额定功率的115%到125%的范围,以适应负载的变化,计算出额定电压等级,并明确负载类型和开关电源变压器的工作模式(单相,两相,三相)。
2.明确变压器的分布系统
根据用户的负载性质,及时的调整负载的分布,改变和优化负载的分布,减少开关电源变压器的变压率,并考虑开关电源变压器的效率。
3.变压器的台数计算
根据负载的分布,计算每个变压器的台数,通常认为,变压器的负载总量应该是用额定负载的100%至115%范围内,以满足用户要求的负载状态,选择合适的开关电源变压器,以满足用户的要求。
4.确定电压比
根据计算的变压器台数,以及电压等级,确定电压变比,理想的情况下,电压变比应尽量小于或等于6:1
5.确定绕组接线结构
根据计算出来的电压变比以及绕组参数,确定绕组的接线结构,一般情况下,开关电源变压器的绕组的接线结构主要有双Y结构、三Y结构、U结构和T结构,选择最合适的绕组接线结构。
1:线径的计算:一般铜线截面积每平方mm取值5安培电流。
(高频取4.95,低频取3.5.)公式1:。
公式2:。
r=半径。
例题:假设铜线半径是1mm.3.141×1=3.141×5A=15.705A电流。
15.7A.=2.0mm铜线直径。
2: 峰值功率计算。
Pout = (Vout+Vf) Iout 1.23:初级峰值电流计算:IPmax =IPmin = KIP1K为脉动电流,取值:0.4.4:输入电流公式:÷PF=Pin÷Vin=Iin。
3:肖特基的取值计算。
肖特基一般取输出电流的2-3倍。
匝比一般是10比1输出峰值电压的计算:〈(Vin(max)×)+80V〉÷n + Vout=峰值电压。
〈〔最大输入电压×〕+80V〉÷匝比+输出电压。
例题:以输出5V为例:〈〔最大输入电压264V×1.414〕+80V〉÷匝比10+输出电压5V。
峰值电压等于==50.32V./*****************************************************************/开关变压器计算步骤:P-初级,S-次级,D-占空比,n匝比,L-电感量,f频率,η-效率, K-脉动电流。
T-时间,ON-开,NP-初级匝数,IP 峰值电流。
AE-磁芯截面积,查磁芯表。
Bm-磁通密度。
单位-高斯。
/******************************************************************* 要求:输入电压《85-265V》。
最大占空比0.45左右。
根据IC资料选择。
η-效率。
0.75Vout-输出电压。
5VIout-输出电流。
2Af –开关频率。
100KIC方案,选择7535. 10W/******************************************************************** 1:估算初级输入电流:I in÷PF=Pin÷Vin=Iin。
变压器计算公式变压器是一种将交流电能从一个电路传递到另一个电路的电气设备。
而开关电源是一种以开关器件(如晶体管、二极管)为控制元件,进行频繁的开关操作来调节输入电源的电压、电流和功率的电源。
本文将介绍变压器和开关电源的相关计算公式。
1.变压器计算公式:变压器的计算公式主要包括变压器的变比计算、输入/输出电压和电流的关系、功率的计算以及绕组的电阻和电容的计算等。
(1)变比计算:变压器的变比一般用一个转向比或变比来表示,即:\(\frac{{N_1}}{{N_2}} = \frac{{V_1}}{{V_2}} =\frac{{I_2}}{{I_1}}\)其中,\(N_1\)、\(N_2\)分别表示一次侧和二次侧的匝数;\(V_1\)、\(V_2\)分别表示一次侧和二次侧的电压;\(I_1\)、\(I_2\)分别表示一次侧和二次侧的电流。
(2)输入/输出电压和电流的关系:\(V_1 \cdot I_1 = V_2 \cdot I_2\)即一次侧的输入功率等于二次侧的输出功率。
(3)功率的计算:变压器的功率可以通过输入/输出电压和电流的关系来计算,即:\(P_1 = V_1 \cdot I_1\)\(P_2 = V_2 \cdot I_2\)其中,\(P_1\)、\(P_2\)分别表示一次侧和二次侧的功率。
(4)绕组的电阻和电容的计算:绕组的电阻可以通过测量绕组长度、截面积和材料的导电率来计算。
绕组的电容可以通过绕组的长度、半径和材料的介电常量来计算。
2.开关电源计算公式:开关电源的计算公式包括输入电压和电流的计算、开关元件的计算和功率因数的计算等。
(1)输入电压和电流的计算:开关电源的输入电压可以通过公式计算,即:\(V_{in} = \frac{{V_{out}}}{{D}}\)其中,\(V_{in}\) 表示输入电压,\(V_{out}\) 表示输出电压,\(D\) 表示占空比。
输入电流可以通过输入功率和输入电压之间的关系来计算,即:\(I_{in} = \frac{{P_{in}}}{{V_{in}}}\)其中,\(I_{in}\) 表示输入电流,\(P_{in}\) 表示输入功率。
几种开关电源变压器设计计算方法开关电源变压器是一种电力转换装置,用于将交流电转换为需要的电压或电流。
它是开关电源的核心部分之一、在开关电源的设计中,变压器的设计计算非常重要。
下面介绍几种开关电源变压器设计计算方法。
1.变压器的变比设计计算方法:变压器的变比决定了输出电压的大小。
在开关电源设计中,根据需要的输出电压和输入电压,可以计算出变压器的变比。
变压器的变比计算公式如下:变比=输出电压/输入电压2.变压器的功率计算方法:变压器的功率决定了能够输出的最大功率。
在开关电源设计中,需要根据负载的功率要求和开关管的功率能力来计算变压器的功率。
变压器的功率计算公式如下:功率=输出电压×输出电流3.变压器的绕组计算方法:变压器的绕组计算主要是计算变压器的线圈的匝数和截面积。
在开关电源设计中,需要根据变压器的功率、频率和工作温度来计算绕组的截面积。
变压器的绕组计算公式如下:匝数=(磁通×动铁面积)/(磁压×磁路长度)4.变压器的损耗计算方法:变压器的损耗是指在工作过程中的能量损失。
在开关电源设计中,需要计算变压器的铜损和铁损。
变压器的铜损可以通过计算绕组的电阻和负载电流来获取。
变压器的铁损可以通过计算磁铁和磁路的磁滞损耗和涡流损耗来获得。
变压器的损耗计算公式如下:铜损=绕组电阻×负载电流^2铁损=磁滞损耗+涡流损耗5.变压器的有效值计算方法:变压器的有效值是指输入和输出电压的平均值。
在开关电源设计中,需要计算变压器的有效值来确定电压的稳定性。
变压器的有效值计算公式如下:有效值=峰值/根号2综上所述,开关电源变压器的设计计算方法主要包括变比计算、功率计算、绕组计算、损耗计算和有效值计算等方面。
通过合理的设计计算,可以确保开关电源变压器的性能和稳定性,进而提高开关电源的工作效率。