概率论与数理统计第四版第四章
- 格式:docx
- 大小:12.19 KB
- 文档页数:2
概率论与数理统计第四版第四章
《概率论与数理统计(第四版)》是2008年高等教育出版社出版的图书,作者是盛骤、谢式千、潘承毅。
《概率论与数理统计》是普通高等教育“十一五”国家级规划教材,在2001年出版的《概率论与数理统计》(第三版)的基础上增订而成。
本次修订新增的内容有:在数理统计中应用Excel,bootstrap方法,户值检验法,箱线图等;同时吸收了国内外优秀教材的优点对习题的类型和数量进行了调整和充实。
《概率论与数理统计》是普通高等教育“十一五”国家级规划教材,在2001年出版的《概率论与数理统计》(第三版)的基础上增订而成。
本次修订新增的内容有:在数理统计中应用Excel,bootstrap方法,户值检验法,箱线图等;同时吸收了国内外优秀教材的优点对习题的类型和数量进行了调整和充实。
《概率论与数理统计》主要内容包括概率论、数理统计、随机过程三部分,每章附有习题;同时涵盖了《全国硕士研究生入学统一考试数学考试大纲》的所有知识点。
《概率论与数理统计》可作为高等学校工科、理科(非数学专业)各专业的教材和研究生入学考试的参考书,也可供工程技术人员、科技工作者参考。
第四章随机变量的数字特征
1 数学期望
2 方差
3 协方差及相关系数
4 矩、协方差矩阵。
定理2的结果用于计算卡方分布的期望值和方差。
解:让定理2 xedx 4成为随机变量。
尝试证明定理5。
证明:因为,让定理1让总体x服从[0,b]上的均匀分布,并且B是未知的。
尝试找到未知样本值(1.3、0.6、1.7、2.2、0.3、1.1)以找到未知样本,即样本,尝试进行分析:X的概率密度是给定样本值的概率密度,要求使用尽可能小的值,并且最大值应为(相对于给定样本值,如果可能的话)。
最大似然估计方法用于估计总体的未知参数,并且总体θ的概率密度是lnln的样本。
(1)样本方差s的无偏估计。
(2)对于任何α,它也是λ的无偏估计。
解决方案:(1)无偏估计原因。
(2)因为x 是λ的无偏估计,所以它也是λ的无偏估计。
11.对于已知平方差的正常总体,要使总体置信区间的平均值不大于给定正数l的样本大小n是多少?当已知总体的置信区间为-3.0%时,正常解的置信区间为-3.0%,并且已知总体的置信区间为-0.9%。
总体平均值的95%置信区间为315.5%。
因此,正常总体平均值的95%置信区间是样本值,而正常总体平均值的95%置信区间为(-2.751,3.501)。
质量指标数据如下:0.143、0.142、0.143、0.137批次:0.140、0.142、0.136、0.138、0.140。
测试数据独立且未知。
尝试找出95%的置信区间,是否可以认为这两个批次的产品质量存在显着差异?样本值0023的95%置信区间为(-0.002,0.006)。
14.某种容量为100的电子管的寿命样本的标准偏差为45。
给出了这些管的寿命种群(设置为正常种群)的标准偏差σ的95%置信区间。
因为05的95%置信区间为(1566.212747.74),所以标准偏差的95%置信区间为(39.58,52.42)。
15.为了检查两名工人的生产技能的稳定性,在一天中从他们的产品中选择了容量分别为25和15的两个样本,样本的方差计算如下。
让这两个样本来自正常总体,并尝试找到方差。
概率论与数理统计(第四版)习题答案全概率论与数理统计习(第四版)题解答第一章 随机事件及其概率·样本空间·事件的关系及运算一、任意抛掷一颗骰子,观察出现的点数。
设事件A 表示“出现偶数点”,事件B 表示“出现的点数能被3整除”.(1)写出试验的样本点及样本空间;(2)把事件A 及B 分别表示为样本点的集合;(3)事件B A AB B A B A ,,,,分别表示什么事件?并把它们表示为样本点的集合.解:设i ω表示“出现i 点”)6,,2,1( =i ,则(1)样本点为654321,,,,,ωωωωωω;样本空间为}.,,,,,{654321ωωωωωω=Ω (2)},,{642ωωωA =; }.,{63ωωB =(3)},,{531ωωωA =,表示“出现奇数点”;},,,{5421ωωωωB =,表示“出现的点数不能被3整除”;},,,{6432ωωωωB A =⋃,表示“出现的点数能被2或3整除”;}{6ωAB =,表示“出现的点数能被2整除且能被3整除”;},{B A 51ωω= ,表示“出现的点数既不能被2整除也不能被3整除”二、写出下列随机试验的样本空间及各个事件中的样本点:(1)同时掷三枚骰子,记录三枚骰子的点数之和.A —“点数之和大于10”,B —“点数之和小于15”.(2)一盒中有5只外形相同的电子元件,分别标有号码1,2,3,4,5.从中任取3只,A —“最小号码为1”.解:(1) 设i ω表示“点数之和等于i ”)18,,4,3( =i ,则},,,{1843ωωω =Ω;},,,{181211ωωωA =;}.,,,{1443ωωωB =(2) 设ijk ω表示“出现号码为k j i ,,”);5,,2,1,,(k j i k j i ≠≠= ,则},,,,,,,,,{345245235234145135134125124123ωωωωωωωωωω=Ω }.,,,,,{145135134125124123ωωωωωωA =三、设C B A ,,为三个事件,用事件之间的运算表示下列事件: (1) A 发生, B 与C 都不发生; (2) C B A ,,都发生;(3) C B A ,,中至少有两个发生; (4) C B A ,,中至多有两个发生. 解:(1) C B A ;(2) ABC ;(3) ABC C AB C B A BC A ⋃⋃⋃或CA BC AB ⋃⋃(4) BC A C B A C AB C B A C B A C B A C B A ⋃⋃⋃⋃⋃⋃或C B A ⋃⋃或.ABC四、一个工人生产了n 个零件,以i A 表示他生产的第 i 个零件是合格品(n i ≤≤1).用i A 表示下列事件:(1)没有一个零件是不合格品; (2)至少有一个零件是不合格品; (3)仅有一个零件是不合格品;(4)至少有一个零件不是不合格品. 解:(1) n A A A 21;(2) n A A A 21或n A A A ⋃⋃⋃ 21; (3) n n n A A A A A A A A A 212121⋃⋃⋃ (4) n A A A ⋃⋃⋃ 21或.21n A A A第二章 概率的古典定义·概率加法定理一、电话号码由七个数字组成,每个数字可以是0,1,2,…,9中的任一个数(但第一个数字不能为0),求电话号码是由完全不同的数字组成的概率.解:基本事件总数为611011011011011011019109⨯=C C C C C C C 有利事件总数为456789214151617181919⨯⨯⨯⨯⨯=C C C C C C C 设A 表示“电话号码是由完全不同的数字组成”,则0605.0109456789)(62≈⨯⨯⨯⨯⨯⨯=A P 二、把十本书任意地放在书架上,求其中指定的三本书放在一起的概率.解:基本事件总数为!101010=A 指定的三本书按某确定顺序排在书架上的所有可能为!777=A 种;这三本书按确定的顺序放在书架上的所以可能的位置共818=C 种;这三本书的排列顺序数为!333=A ;故有利事件总数为!3!8!38!7⨯=⨯⨯(亦可理解为)3388P P设A 表示“指定的三本书放在一起”,则067.0151!10!3!8)(≈=⨯=A P三、为了减少比赛场次,把二十个队任意分成两组(每组十队)进行比赛,求最强的两个队被分在不同组内的概率.解:20个队任意分成两组(每组10队)的所以排法,构成基本事件总数1020C ;两个最强的队不被分在一组的所有排法,构成有利事件总数91812C C 设A 表示“最强的两队被分在不同组”,则526.01910)(102091812≈==C C C A P四、某工厂生产的产品共有100个,其中有5个次品.从这批产品中任取一半来检查,求发现次品不多于1个的概率.解:设i A 表示“出现的次品为i 件”)5,4,3,2,1,0(=i ,A 表示“取出的产品中次品不多于 1个”,则 .10A A A ⋃=因为V A A =10,所以).()()(10A P A P A P +=而0281.0979942347)(5010050950≈⨯⨯⨯==C C A P 1529.09799447255)(501004995151≈⨯⨯⨯⨯==C C C A P故 181.01529.00281.0)(=+≈A P五、一批产品共有200件, 其中有6件废品.求 (1) 任取3件产品恰有1件是废品的概率; (2) 任取3件产品没有废品的概率; (3) 任取3件产品中废品不少于2件的概率. 解:设A 表示“取出的3件产品中恰有1件废品”;B 表示“取出的3件产品中没有废品”;C 表示“取出的3件产品中废品不少于2件”,则 (1) 0855.019819920019319418)(3200219416≈⨯⨯⨯⨯==C C C A P (2) 912.0198199200192193194)(32003194≈⨯⨯⨯⨯==C C B P(3) 00223.019819920012019490)(3200019436119426≈⨯⨯⨯⨯=+=C C C C C C P六、设41)( ,0 ,31)()()(======BC P P(AC)P(AB)C P B P A P .求A , B , C 至少有一事件发生的 概率.解:因为0==P(AC)P(AB),所以V AC V AB ==,,从而V C AB =)(可推出0)(=ABC P设D 表示“A , B , C 至少有一事件发生”,则C B A D ⋃⋃=,于是有)()()()()()()()()(ABC P CA P BC P AB P C P B P A P C B A P D P +---++=⋃⋃=75.04341313131==-++=第三章 条件概率与概率乘法定理·全概率公式与贝叶斯公式一、设,6.0)|(,4.0)(,5.0)(===B A P B P A P 求)|(,)(B A A P AB P . 解:因为B A AB B B A A +=+=)(,所以)()()(B A P AB P A P +=,即14.06.0)4.01(5.0)()()()()()(=⨯--=-=-=B A P B P A P B A P A P AB P68.074.05.036.0)4.01(5.05.0)()()()()()]([)|(≈=--+=-+==B A P B P A P A P B A P B A A P B A A P二、某人忘记了电话号码的最后一个数字,因而他随意地拨号,求他拨号不超过两次而接通所需电话的概率.若已知最后一个数字是奇数,那么此概率是多少? 解:设A 表示“第一次拨通”,B 表示“第二次拨通”,C 表示“拨号不超过两次而拨通”(1)2.0101101)()()(19111101911011=+=⋅+=+=C C C C C C A B P A P C P(2)4.05151)()()(2511141511=+=+=+=A A A A A A B P A P C P三、两台车床加工同样的零件,第一台出现废品的概率是0.03,第二台出现废品的概率是0.02.加工出来的零件放在一起,并且已知第一台加工的零件比第二台加工的零件多一倍.(1)求任意取出的零件是合格品的概率;(2)如果任意取出的零件是废品,求它是第二台车床加工的概率. 解:设i A 表示“第i 台机床加工的零件”)2,1(=i ;B 表示“出现废品”;C 表示“出现合格品”(1))()()()()()()()(22112121A C P A P A C P A P C A P C A P C A C A P C P +=+=+= 973.0)02.01(31)03.01(32≈-⨯+-⨯=(2)25.002.03103.03202.031)()()()()()()()()(22112222=⨯+⨯⨯=+==A B P A P A B P A P A B P A P B P B A P B A P四、猎人在距离100米处射击一动物,击中的概率为0.6;如果第一次未击中,则进行第二次射击,但由于动物逃跑而使距离变为150米;如果第二次又未击中,则进行第三次射击,这时距离变为200米.假定击中的概率与距离成反比,求猎人三次之内击中动物的概率.解:设i A 表示“第i 次击中”)3,2,1(=i ,则由题设,有1006.0)(1kA P ==,得60=k ,从而有4.015060150)(2===k A P ,.3.020060200)(3===k A P设A 表示“三次之内击中”,则321211A A A A A A A ++=,故有)()()()()()()(321211A P A P A P A P A P A P A P ++=832.03.0)4.01()6.01(4.0)6.01(6.0=⨯-⨯-+⨯-+= (另解)设B 表示“猎人三次均未击中”,则168.0)3.01)(4.01)(6.01()(=---=B P故所求为 832.0)(1)(=-=B P B P五、盒中放有12个乒乓球,其中有9个是新的.第一次比赛时从其中任取3个来用,比赛后仍放回盒中.第二次比赛时再从盒中任取3个,求第二次取出的都是新球的概率. 解:设i A 表示“第一次取得i 个新球”)3,2,1,0(=i ,则2201)(312330==C C A P 22027)(31219231==C C C A P 220108)(31229132==C C C A P 22084)(31239033==C C C A P 设B 表示“第二次取出的都是新球”,则312363123731238312393022084220108220272201)()()(C C C C C C C C A B P A P B P i i i ⋅+⋅+⋅+⋅==∑=146.0532400776161112208444722010855142202755212201≈=⋅+⋅+⋅+⋅=第四章 随机事件的独立性·独立试验序列一、一个工人看管三台车床,在一小时内车床不需要工人照管的概率:第一台等于0.9,第二台等于0.8,第三台等于0.7.求在一小时内三台车床中最多有一台需要工人照管的概率. 解:设i A 表示“第i 台机床不需要照管”)3,2,1(=i ,则9.0)(1=A P 8.0)(2=A P 7.0)(3=A P再设B 表示“在一小时内三台车床中最多有一台需要工人照管”,则321321321321A A A A A A A A A A A A B +++= 于是有)()()()()()()()()()()()()(321321321321A P A P A P A P A P A P A P A P A P A P A P A P B P +++= )7.01(8.09.07.0)8.01(9.07.08.0)9.01(7.08.09.0-⨯⨯+⨯-⨯+⨯⨯-+⨯⨯=902.0=.(另解)设i B 表示“有i 台机床需要照管”)1,0(=i ,B 表示“在一小时内三台车床中最多有一台需要工人照管”,则10B B B +=且0B 、1B 互斥,另外有 504.07.08.09.0)(0=⨯⨯=B P398.0)7.01(8.09.07.0)8.01(9.07.08.0)9.01()(1=-⨯⨯+⨯-⨯+⨯⨯-=B P 故902.0398.0504.0)()()()(1010=+=+=+=B P B P B B P B P .二、电路由电池a 与两个并联的电池b 及c 串联而成.设电池c b a ,,损坏的概率分别是0.3、0.2、0.2,求电路发生间断的概率. 解:设1A 表示“a 损坏”;2A 表示“b 损坏”;3A 表示“c 损坏”;则3.0)(1=A P 2.0)()(32==A P A P 又设B 表示“电路发生间断”,则321A A A B += 于是有)()()()()(321321321A A A P A A P A P A A A P B P -+=+=)()()()()()(321321A P A P A P A P A P A P -+=328.02.02.03.02.02.03.0=⨯⨯-⨯+=.三、三个人独立地去破译一个密码,他们能译出的概率分别为51、31、41,求能将此密码译出的概率.解:设A 表示“甲能译出”;B 表示“乙能译出”;C 表示“丙能译出”,则51)(=A P 31)(=B P 41)(=C P设D 表示“此密码能被译出”,则C B A D ⋃⋃=,从而有)()()()()()()()()(ABC P CA P BC P AB P C P B P A P C B A P D P +---++=⋃⋃=)()()()()()()()()()()()(C P B P A P A P C P C P B P B P A P C P B P A P +---++= 6.0413151415141513151413151=⨯⨯+⨯-⨯-⨯-++=. (另解)52)411)(311)(511()()()()()(=---===C P B P A P C B A P D P ,从而有6.053521)(1)(==-=-=D P D P四、甲、乙、丙三人同时对飞机进行射击,三人的命中概率分别为7.0,5.0,4.0.飞机被一人击中而被击落的概率为2.0,被两人击中而被击落的概率为6.0,若三人都击中,则 飞机必被击落.求飞机被击落的概率. 解:设1A 表示“甲命中”;2A 表示“乙命中”;3A 表示“丙命中”;则4.0)(1=A P5.0)(2=A P 7.0)(3=A P 设i B 表示“i 人击中飞机” )3,2,1,0(=i ,则09.0)7.01)(5.01)(4.01()())(()()(3213210=---===A P A P A P A A A P B P)()(3213213211A A A A A A A A A P B P ++=)()()(321321321A A A P A A A P A A A P ++=)()()()()()()()()(321321321A P A P A P A P A P A P A P A P A P ++=36.07.0)5.01)(4.01()7.01(5.0)4.01()7.01)(5.01(4.0=⨯--+-⨯⨯-+--⨯=)()(3213213212A A A A A A A A A P B P ++= )()()(321321321A A A P A A A P A A A P ++=)()()()()()()()()(321321321A P A P A P A P A P A P A P A P A P ++=41.07.0)5.01)(4.01()7.01(5.0)4.01()7.01)(5.01(4.0=⨯--+-⨯⨯-+--⨯=14.07.05.04.0)()()()()(3213213=⨯⨯===A P A P A P A A A P B P 设A 表示“飞机被击落”,则由题设有0)(0=B A P 2.0)(1=B A P 6.0)(2=B A P 1)(3=B A P故有458.0114.06.041.02.036.0009.0)()()(30=⨯+⨯+⨯+⨯==∑=i i i B A P B P A P .五、某机构有一个9人组成的顾问小组,若每个顾问贡献正确意见的概率都是0.7,现在该机构内就某事可行与否个别征求每个顾问的意见,并按多数人意见作出决策,求作 出正确决策的概率.解:设i A 表示“第i 人贡献正确意见”,则7.0)(=i A P )9,,2,1( =i .又设m 为作出正确意见的人数,A 表示“作出正确决策”,则)9()8()7()6()5()5()(99999P P P P P m P A P ++++=≥=+⋅⋅+⋅⋅+⋅⋅=277936694559)3.0()7.0()3.0()7.0()3.0()7.0(C C C 9991889)7.0()3.0()7.0(⋅+⋅⋅+C C+⋅⋅+⋅⋅+⋅⋅=273645)3.0()7.0(36)3.0()7.0(84)3.0()7.0(126918)7.0()3.0()7.0(9+⋅⋅+0403.01556.02668.02668.01715.0++++= 901.0=.六、每次试验中事件A 发生的概率为p ,为了使事件A 在独立试验序列中至少发生一次的概率不小于p ,问至少需要进行多少次试验? 解:设做n 次试验,则n p A P A P )1(1}{1}{--=-=一次都不发生至少发生一次要p p n ≥--)1(1,即要p p n -≤-1)1(,从而有.1)1(log )1(=-≥-p n p 答:至少需要进行一次试验.第五章离散随机变量的概率分布·超几何分布·二项分布·泊松分布一、一批零件中有9个合格品与3个废品.安装机器时从这批零件中任取1个.如果每次取出的废品不再放回去,求在取得合格品以前已取出的废品数的概率分布.解:设X表示“在取得合格品以前已取出的废品数”,则X的概率分布为即亦即二、自动生产线在调整以后出现废品的概率为p.生产过程中出现废品时立即进行调整.求在两次调整之间生产的合格品数的概率分布.解:设X表示“在两次调整之间生产的合格品数”,且设=1,则ξ的概率分布为q-p三、 已知一批产品共20个,其中有4个次品.(1)不放回抽样.抽取6个产品,求样品中次品数的概率分布;(2)放回抽样.抽取6个产品,求样品中次品数的概率分布. 解:(1)设X 表示“取出的样本中的次品数”,则X 服从超几何分布,即X 的概率函数为)4,3,2,0()(6206164===-x CCC x X P x x从而X 的概率分布为即(2)设X 表示“取出的样本中的次品数”,则X 服从超几何分布,即X 的概率函数为)6,5,4,3,2,0()2.01()2.0()(66=-==-x C x X P xxx从而X 的概率分布为即四、 电话总机为300个电话用户服务.在一小时内每一电话用户使用电话的概率等于0.01,求在一小时内有4个用户使用电话的概率(先用二项分布计算,再用泊松分布近似计算,并求相对误差). 解:(1)用二项分布计算)01.0(=p168877.0)01.01()01.0()1()4(2964430029644300≈-=-==C p p C ξP(2)用泊松分布计算)301.0300(=⨯==np λ168031355.0!43)4(34≈==-e ξP 相对误差为.5168877.0168031355.0168877.000≈-=δ五、 设事件A 在每一次试验中发生的概率为0.3,当A 发生次数不少于3次时,指示灯发出信号.现进行了5次独立试验,求指示灯发出信号的概率. 解:设X 表示“事件A 发生的次数”,则3.0)(==p A P ,5=n ,).3.0,5(~B X 于是有)5()4()3()3(=+=+==≥X P X P X P X P5554452335)1()1(p C p p C p p C +-+-=16308.000243.002835.01323.0≈++≈(另解) )2()1()0(1)3(1)3(=-=-=-=<-=≥X P X P X P X P X P 32254115505)1()1()1(11p p C p p C p p C ------=16308.0≈六、 设随机变量X 的概率分布为2, 1, ,0 , !)(===k k ak X P kλ;其中λ>0为常数,试确定常数a .解:因为∑∞===01)(k k X P ,即∑∞==01!k kk λa ,亦即1=λae ,所以.λe a -=第六章 随机变量的分布函数·连续随机变量的概率密度一、 函数211x +可否是连续随机变量X 的分布函数?为什么?如果X 的可能值充满区间: (1)(∞+∞- ,);(2)(0,∞-). 解:(1)设211)(x x F +=,则1)(0<<x F因为0)(lim =-∞→x F x ,0)(lim =+∞→x F x ,所以)(x F 不能是X 的分布函数.(2)设211)(x x F +=,则1)(0<<x F 且0)(lim =-∞→x F x ,1)(lim 0=-→x F x因为)0( 0)1(2)('22<>+-=x x x x F ,所以)(x F 在(0,∞-)上单增.综上述,故)(x F 可作为X 的分布函数.二、函数x x f sin )(=可否是连续随机变量X 的概率密度?为什么?如果X 的可能值充满区间:(1)⎥⎦⎤⎢⎣⎡2,0π; (2)[]π,0; (3)⎥⎦⎤⎢⎣⎡23,0π. 解:(1)因为⎥⎦⎤⎢⎣⎡∈2,0πx ,所以sin )(≥=x x f ;又因为1cos )(2020=-=⎰ππx dx x f ,所以当⎥⎦⎤⎢⎣⎡∈2,0πx时,函数x x f sin )(=可作为某随机变量X 的概率密度.(2)因为[]πx ,0∈,所以0sin )(≥=x x f ;但12cos )(00≠=-=⎰ππx dx x f ,所以当[]πx ,0∈时,函数x x f sin )(=不可能是某随机变量X 的概率密度.(3)因为⎥⎦⎤⎢⎣⎡∈23,0πx ,所以x x f sin )(=不是非负函数,从而它不可能是随机变量X 的概率密度.二、 一批零件中有9个合格品与3个废品.安装机器时从这批零件中任取1个.如果每次取出的废品不再放回去,求在取得合格品以前已取出的废品数的分布函数,并作出分布函数的图形. 解:设X 表示“取出的废品数”,则X 的分布律为⎪⎪⎪⎩⎪⎪⎪⎨⎧>≤<≤<≤<≤=3,132,22021921,222110,430,0)(x x x x x x F四、(柯西分布)设连续随机变量X 的分布函数为+∞<<∞-+=x x B A x F ,arctan )(.求:(1)系数A 及B ;(2)随机变量X 落在区间)1 ,1(-内的概率;(3) X 的概率密度.解:(1) 由0)2()(lim =-⋅+=-∞→πB A x F x ,12)(lim =⋅+=-∞→πB A x F x ,解得.1,21πB A == 即)( ,arctan 121)(+∞<<-∞+=x x πx F . (2).21)]1arctan(121[]1arctan 121[)1()1()11(=-+-+=--=<<-ππF F X P(3) X 的概率密度为)1(1)()(2x x F x f +='=π.五、(拉普拉斯分布)设随机变量X 的概率密度为+∞<<∞-=-x Ae x f x,)(.求:(1)系数A ;(2)随机变量X 落在区间)1,0(内的概率;(3)随机变量X 的分布函数.解:(1) 由1)(⎰+∞∞-=dx x f ,得1220⎰⎰+∞∞-+∞--===A dx e A dx Ae xx,解得21=A ,即有).( ,21)(+∞<<-∞=-x e x f x(2)).11(21)(2121)()10(101010ee dx e dx xf X P x x -=-===<<--⎰⎰(3) 随机变量X 的分布函数为⎪⎩⎪⎨⎧>-≤===-∞--∞-⎰⎰21102121)()(x e x e dx e dx x f x F x xx xx .第七章 均匀分布·指数分布·随机变量函数的概率分布一、公共汽车站每隔5分钟有一辆汽车通过.乘客到达汽车站的任一时刻是等可能的.求乘客候车时间 不超过3分钟的概率.解:设随机变量X 表示“乘客的候车时间”,则X 服从]5,0[上的均匀分布,其密度函数为⎩⎨⎧∉∈=]5,0[,0]5,0[,51)(x x x f 于是有.6.053)()30(3===≤≤⎰dx x f X P二、已知某种电子元件的使用寿命X (单位:h)服从指数分布,概率密度为⎪⎩⎪⎨⎧≤>=-.0,0;0,8001)(800x x e x f x任取3个这种电子元件,求至少有1个能使用1000h 以上的概率. 解:设A 表示“至少有1个电子元件能使用1000h 以上”;321A 、A 、A 分别表示“元件甲、乙、丙能使用1000h 以上”.则287.08001)1000()()()(4510008001000800321≈=-==>===-∞+-∞+-⎰e e dx e X P A P A P A P xx)()()()()()()()()(321313221321321A A A P A A P A A P A A P A P A P A P A A A P A P +---++=⋃⋃=638.0287.0287.03287.0332≈+⨯-⨯=(另解)设A 表示“至少有1个电子元件能使用1000h 以上”.则287.08001)1000(4510008001000800≈=-==>-∞+-∞+-⎰e e dx e X P xx从而有713.01)1000(1)1000(45≈-=>-=≤-eX P X P ,进一步有 638.0713.01)]1000([1)(33≈-≈≤-=X P A P三、(1) 设随机变量X 服从指数分布)(λe .证明:对于任意非负实数s 及t ,有).()(t X P s X t s X P ≥=≥+≥这个性质叫做指数分布的无记忆性.(2) 设电视机的使用年数X 服从指数分布)10(.e .某人买了一台旧电视机,求还能使用5年以上的概率.解:(1)因为)(~λe X ,所以R x ∈∀,有xe x F λ--=1)(,其中)(x F 为X 的分布函数.设t s X A +≥=,t X B ≥=.因为s 及t 都是非负实数,所以B A ⊂,从而A AB =.根据条件概率公式,我们有)(1)(1)()()()()()()()(s X P t s X P s X P t s X P B P A P B P AB P B A P s X t s X P <-+<-=≥+≥====≥+≥tst s e e e λλλ--+-=----=]1[1]1[1)(. 另一方面,我们有tt e e t F t X P t X P t X P λλ--=--=-=≤-=<-=≥)1(1)(1)(1)(1)(.综上所述,故有)()(t X P s X t s X P ≥=≥+≥. (2)由题设,知X 的概率密度为⎩⎨⎧≤>=-.,;,0001.0)(1.0x x e x f x设某人购买的这台旧电视机已经使用了s 年,则根据上述证明的(1)的结论,该电视机还能使用5年以上的概率为6065.01.0)()5()5(5.051.051.05≈=-===≥=≥+≥-∞+-∞+-∞+⎰⎰e e dx e dx x f X P s X s X P x x.答:该电视机还能使用5年以上的概率约为6065.0. 四、 设随机变量X 服从二项分布)4.0 ,3(B ,求下列随机变量函数的概率分布: (1)X Y 211-=;(2)2)3(2X X Y -=.解:X 的分布律为(1)X Y 211-=的分布律为(2)2)3(2X X Y -=的分布律为即五、设随机变量X 的概率密度为⎪⎩⎪⎨⎧≤>+=.0,0;0,)1(2)(2x x x x f π求随机变量函数X Y ln =的概率密度.解:因为)()()(ln )()(yXyYe F e X P y X P y Y P y F =<=<=<= 所以随机变量函数X Y ln =的概率密度为)( )1(2)()()()(2''+∞<<-∞+====y e e e e f e e F y F y f yyyyyyXYY π,即)( )1(2)(2+∞<<-∞+=y e e y f y yY π.第八章 二维随机变量的联合分布与边缘分布一、把一颗均匀的骰子随机地掷两次.设随机变量X 表示第一次出现的点数,随机变量Y 表示两次出现点数的最大值,求二维随机变量),(Y X 的联合概率分布及Y 的边缘概率分布.解:二维随机变量),(Y X 的联合概率分布为Y的边缘概率分布为二、设二维随机变量(X ,Y )的联合分布函数)3arctan )(2arctan (),(yC x B A y x F ++=. 求:(1)系数A 、B 及C ;(2)(X ,Y )的联合概率密度:(3)边缘分布函数及边缘概率密度. 解:(1)由0)0,(,0),0(,1),(=-∞=∞-=∞+-∞F F F ,得⎪⎪⎪⎩⎪⎪⎪⎨⎧=-=--=++0)2(0)2)(0(1)2)(2(πB AC πC B A πC πB A 解得2πC B ==,.12πA =(2)因为)3arctan 2)(2arctan 2(1),(2yx y x F ++=πππ,所以(X ,Y )的联合概率密度为.)9)(4(6),(),(222"y x y x F y x f xy ++==π(3)X 及Y 的边缘分布函数分别为xxxXx dx x dy y x f dx x F ∞-∞-∞-+∞∞-=+==⎰⎰⎰2arctan 1)4(2),()(2ππ2arctan 121x π+=yxy Y ydy y dx y x f dy x F ∞-∞-∞-+∞∞-=+==⎰⎰⎰3arctan1)9(3),()(2ππ3arctan 121y π+=X 及Y 的边缘概率密度分别为⎰⎰⎰+∞+∞∞-+∞∞-++⋅=++==0222222)9(1)4(112)9)(4(6),()(dy y x dy y x dy y x f x f X ππ)4(2)3arctan 31()4(1122022x y x +=+⋅=∞+ππ⎰⎰⎰+∞+∞∞-+∞∞-++=++==022222241)9(12)9)(4(6),()(dxx y dx y x dx y x f y f Y ππ)9(3)2arctan 21()9(122022y x y +=+=∞+ππ三、设),(Y X 的联合概率密度为⎩⎨⎧>>=+-.,00;0,,Ae ),(3y)(2x 其它y x y x f求:(1)系数A ;(2)),(Y X 的联合分布函数;(3)X及Y 的边缘概率密度;(4)),(Y X落在区域R :632 ,0 ,0<+>>y x y x 内的概率. 解:(1)由1),(=⎰⎰+∞∞-+∞∞-dy dx y x f ,有1610032==⎰⎰∞+∞+--A dy e dx e A yx,解得.6=A (2)),(Y X 的联合分布函数为⎪⎩⎪⎨⎧>>==⎰⎰⎰⎰--∞-∞-其它0,06),(),(0032y x dy e dx e dy y x f dx y x F x yy x xy⎩⎨⎧>>--=--其它00,0)1)(1(32y x e e y x(3)X 及Y 的边缘概率密度分别为⎩⎨⎧≤>=⎪⎩⎪⎨⎧≤>==-+∞--∞+∞-⎰⎰020006),()(2032x x ex x dye e dy y xf x f xy x X⎩⎨⎧≤>=⎪⎩⎪⎨⎧≤>==-+∞--∞+∞-⎰⎰030006),()(3032y y ex x dxe e dx y xf y f yy x Y(4)⎰⎰⎰⎰---==∈x y xRdye dx edxdy y x f R Y X P 322033026),(}),{( 6306271)(2---⎰-=-=e dx e e x四、设二维随机变量),(Y X 在抛物线2x y =与直线2+=x y 所围成的区域R 上服从均匀分布.求:(1) ),(Y X 的联合概率密度;(2) 概率)2(≥+Y X P . 解:(1) 设),(Y X 的联合概率密度为⎩⎨⎧∉∈=.),(, 0;),(,),(R y x R y x C y x f 则由129)322()2(21322122212==-+=-+==--+-⎰⎰⎰⎰⎰Cx x x C dx x x C dy dx C Cdxdy x x R解得92=C .故有⎪⎩⎪⎨⎧∉∈=.),(, 0;),(,92),(R y x R y x y x f(2) ⎰⎰⎰⎰⎰⎰++-≥++==≥+x x x x y x dydx dy dx dxdy y x f Y X P 2212210229292),()2(⎰⎰-++=21210)2(92292dx x x xdx481.02713)322(92922132102≈=-++=x x x x .第九章 随机变量的独立性·二维随机变量函数的分布一、 设X 与Y 是两个相互独立的随机变量,X 在]1,0[上服从均匀分布,Y 的概率密度为⎪⎩⎪⎨⎧≤>=-.0,0;0,21)(2y y e y f yY求 (1) ),(Y X 的联合概率密度; (2) 概率)(X Y P ≥. 解: (1)X 的概率密度为⎩⎨⎧∉∈=)1,0(,0)1,0(,1)(x x x f X,),(Y X 的联合概率密度为(注意Y X ,相互独立)⎪⎩⎪⎨⎧><<==-其它,00,10,21)()(),(2y x e y f x f y x f yY X(2)dxedx edy e dx dxdy y x f X Y P x xyxyxy ⎰⎰⎰⎰⎰⎰-∞+-∞+-≥=-===≥102102212)(21),()(7869.0)1(2221122≈-=-=--e ex二、 设随机变量X 与Y 独立,并且都服从二项分布:.,,2 ,1 ,0 ,)(;,,2 ,1 ,0 ,)(212211n j q p C j p n i q p C i p j n j j n Y in i i n X====--证明它们的和Y X Z +=也服从二项分布. 证明: 设j i k +=, 则ik n i k i k n ki i n i i n ki Y X Z q p C q p C i k P i P k Z P k P +---=-=∑∑=-===22110)()()()(∑=-+=ki kn n k in i n q p C C 02121)(由k nm ki ik nk m C C C +=-=∑0, 有 kn nki in i n C C C21210+==∑. 于是有),,2,1,0( )(212121n n k q p C k P k n n k in n Z +==-++由此知Y X Z +=也服从二项分布.三、设随机变量X 与Y 独立,并且X 在区间[0,1]内服从均匀分布,Y 在区间[0,2]内服从辛普森分布:⎪⎩⎪⎨⎧><≤<-≤≤=.20 0,;2 1 ,2;10 ,)(y y y y y y y f Y 或求随机变量Y X Z +=的概率密度.解: X 的概率密度为 ⎩⎨⎧∉∈=]1,0[,0]1,0[,1)(x x y f ξ. 于是),(Y X 的联合概率密度为⎪⎩⎪⎨⎧≤<≤≤-≤≤≤≤=. 0,2 1,10 ,210,10,),(其它当当y x y y x y y x fYX Z +=的联合分布函数为}),{(}{}{)(D y x P z Y X P z Z P z F Z∈=≤+=≤=,其中D 是z y x ≤+与),(y x f 的定义域的公共部分.故有⎪⎪⎪⎩⎪⎪⎪⎨⎧≤<+-≤<-+-≤≤><=3229321212331023,00)(222z z z z z z z zz z z F Z从而随机变量Y X Z +=的概率密度为⎪⎪⎩⎪⎪⎨⎧≤<-≤<+-≤≤><=3232132103,00)(z z z z z z z z z f Z三、 电子仪器由六个相互独立的部件ijL (3,2,1;2,1==j i )组成,联接方式如右图所示.设各个部件的使用寿命ijX 服从相同的指数分布)(λe ,求仪器使用寿命的概率密度.解: 由题设,知ij X 的分布函数为⎩⎨⎧≤>-=-0,00,1x x e F x X ij λ 先求各个并联组的使用寿命)3,2,1( =i Y i 的分布函数.因为当并联的两个部件都损坏时,第i 个并联组才停止工作,所以有)3,2,1(),m ax (21==i Y i i i ξξ从而有)3,2,1( =i Y i 的分布函数为⎩⎨⎧≤>-==-0,00,)1()(221y y e F F y F y X X Y i i i λ设Z "仪器使用寿命".因为当三个并联组中任一个损坏时,仪器停止工作.所以有),,min(321Y Y Y Z =.从而有Z 的分布函数为⎩⎨⎧≤>---=⎩⎨⎧≤>----=-0,00,])1(1[10,00)],(1)][(1)][(1[1)(32321z z e z z z F z F z F z F z Y Y Y Z λ故Z 的概率密度为⎩⎨⎧≤>--=---0,00,)2)(1(6)(23z z e e e z f z z z Z λλλλ第十章 随机变量的数学期望与方差一、 一批零件中有9个合格品与3个废品.安装机器时从这批零件中任取一个.如果取出的废品不再放回去,求在取得合格品以前已取出的废品数的数学期望、方差与标准差.解:设X 表示“在取得合格品以前已取出的废品数”,则X 的概率分布为即于是有1103322013220924491430=⨯+⨯+⨯+⨯=EX 即3.0004.03041.02205.0175.00≈⨯+⨯+⨯+⨯=EX 2X 的分布为即于是有229220192209444914302=⨯+⨯+⨯+⨯=EX 即4091.0004.09041.04205.0175.002≈⨯+⨯+⨯+⨯=EX从而有3191.013310042471)11033(229)(222≈=-=-=EX EX DX 565.03191.0≈==DX Xσ二、 对某一目标进行射击,直至击中为止.如果每次射击命中率为p ,求射击次数的数学期望及方差. 解:设X 表示“第i 次击中”),2,1( =i ,则X 的分布为于是有p q p q q p q p iq p ipq EX i ii i i i 1)1()1()(211111=-='-='===∑∑∑∞=∞=-∞=- 2X于是有pp p p q q p q p q q p pqi EX i i i ii i 122)1()1()(])([223111122-=-=-+='=''==∑∑∑∞=∞=∞=-进一步有pp p p p EX EX DX 11)1(12)(22222-=--=-=三、设离散型随机变量X 的概率函数为,,2,1,21]2)1([ ==-=k k X P kk k问X 的数学期望是否存在?若存在,请计算)(X E ;若不存在,请解释为什么.解:因为∑∑∑∑∞=∞=∞=∞=-=⋅-=-=-==1111)1(212)1(]2)1([2)1()(k kkk k kkkk kki iik k k X P k x X P x 不绝对收敛,所以ξ没有数学期望. 四、设随机变量X 的概率密度为⎪⎩⎪⎨⎧≥<-=.1, 0;1,11)(2x x x x f π 求数学期望)(X E 及方差)(X D . 解:011)()(112=-⋅==⎰⎰-+∞∞-dx xx dx x xf X E πdxx x dx xx dx x f x X D ⎰⎰⎰-=-⋅==-∞+∞-1022112221211)()(πππ21]arcsin 2112[2102=+--=x x x π五、(拉普拉斯分布)设随机变量X 的概率密度为)( ,21)(+∞<<-∞=-x e x f x.求数学期望)(X E 及方差)(X D . 解:021)(===⎰⎰+∞∞--+∞∞-dx xe dx x xf EX x2!2)3(21)(0222==Γ====⎰⎰⎰+∞-+∞∞--+∞∞-dx e x dx e x dx x f x DX x x(分部积分亦可)第十一章 随机变量函数的数学期望·关于数学期望与方差的定理一、设随机变量X 服从二项分布)4.0,3(B ,求2)3(X X Y -=的数学期望及方差. 解:X 的概率分布为Y 的概率分布为2Y 的分布为于是有72.072.0128.00=⨯+⨯=EY72.072.0128.002=⨯+⨯=EY2016.0)72.0(72.0)(222=-=-=EY EY DY二、过半径为R 的圆周上一点任意作这圆的弦,求所有这些弦的平均长度.解:在圆周上任取一点O ,并通过该点作圆得直径OA .建立平面直角坐标系,以O 为原点,且让OA 在x 轴的正半轴上.通过O 任作圆的一条弦OB ,使OB 与x 轴的夹角为θ,则θ服从]2,2[ππ-上的均匀分布,其概率密度为 ⎪⎩⎪⎨⎧-∉-∈=]2,2[,0]2,2[,1)(ππθππθπθf .弦OB 的长为]2,2[cos 2)(ππθθθ-∈=R L ,故所有弦的平均长度为⎰⎰-∞+∞-⋅==22cos 21)()()]([ππθθπθθθθd R d L f L EπθπθθπππRR d R4sin 4cos 42020===⎰.三、一工厂生产的某种设备的寿命X (以年计)服从指数分布,概率密度为⎪⎩⎪⎨⎧≤>=-. 0,0 ; 0 ,41)(4x x e x f x工厂规定,出售的设备若在售出一年之内损坏可予以调换.若工厂售出一台设备赢利100元,调换一台设备厂方需花费300元.试求厂方出售一台设备的平均净赢利. 解:由题设,有⎰⎰---∞--=-===<14110441141)()1(e e dx e dx x f X P x x进而有 41)1(1)1(-=<-=≥e X P X P 设Y 表示“厂方出售一台设备获得的净赢利”,则Y 的概率分布为从而有64.33200300100)1(200414141≈-⨯=⨯+-⨯-=---e e e EY答:厂方出售一台设备获得的平均净赢利约为64.33元.四、设随机变量nX X X ,,21相互独立,并且服从同一分布,数学期望为μ,方差为2σ.求这些随机变量的算术平均值∑==ni iX nX 11的数学期望与方差. 解:因为μ=)(i X E ,2)(σ=i X D ,且随机变量nX X X,,21相互独立.所以有μμ=====∑∑∑∑====ni n i i ni i n i i n X E n X E n X n E X E 11111)(1)(1)1()(,nn X D n X D n X n D X D ni ni in i i n i i 2122121211)(1)(1)1()(σσ=====∑∑∑∑====.五、一民航送客车载有20位旅客自机场开出,沿途有10个车站可以下车,到达一个车站时如没有旅客下车就不停车.假设每位旅客在各车站下车是等可能的,且各旅客是否下车相互独立.求该车停车次数的数学期望.解: 设iX 表示"第i 站的停车次数" (10,,2,1 =i ). 则iX 服从"10-"分布. 其中⎩⎨⎧=站有人下车若在第站无人下车若在第i i X i,1,0 于是iX 的概率分布为设∑==ni iX X 1, 则X 表示沿途停车次数, 故有]})10110(1[1)10110(0{10)(2020101101--⨯+-⨯===∑∑==i i i i EX X E EX748.8)9.01(1020≈-=即停车次数的数学期望为748.8.第十二章 二维随机变量的数字特征·切比雪夫不等式与大数定律一、 设二维随机变量),(Y X 的联合概率密度为()(). 1,222++=y x Ay x f求:(1)系数A ;(2)数学期望)(X E 及)(Y E ,方差)(X D 及)(Y D ,协方差),cov(Y X . 解: (1) 由⎰⎰+∞∞-+∞∞-=1),(dxdy y x f . 有()()⎰⎰⎰⎰∞+∞-∞+∞-∞+==+=++11120022222A dr r rd A dxdy y x A πθπ解得, π1=A .(2)()11),()(222⎰⎰⎰⎰∞+∞-∞+∞-∞+∞-∞+∞-=++==dx y xxdy dxdy y x xf X E π.由对称性, 知)(=Y E .⎰⎰+∞∞-+∞∞-==-=dxdy y x f x EX EX X E X D ),(])[()(222()⎰⎰∞+∞-∞+∞-++=dxy xx dy 222211π()()+∞=+++=+-+=+=∞+∞+∞+⎰⎰⎰022022220223]11)1ln([1)1(211r r dr r r r r dr r r d πθπ同理, 有 +∞=)(Y D .)()])([(),cov(XY E EY Y Ex X E Y X =--=⎰⎰+∞∞-+∞∞-=dxdy y x xyf ),(()011),(222⎰⎰⎰⎰∞+∞-∞+∞-∞+∞-∞+∞-=++==dx y x xydy dxdy y x xyf π.二、 设二维随机变量),(Y X 的联合概率密度为⎩⎨⎧<<<=其它.,0;10,,1),(x x y y x f求(1) ),cov(Y X ;(2) X 与Y 是否独立,是否相关,为什么?解: (1) 因为 ⎰⎰⎰⎰⎰====-∞+∞-∞+∞-121322),(dx x dy xdx dxdy y x xf EX xx0),(1===⎰⎰⎰⎰-+∞∞-+∞∞-xx ydy dx dxdy y x yf EY 0),()(1===⎰⎰⎰⎰-+∞∞-+∞∞-xxydy xdx dxdy y x xyf XY E所以有])32[()])([(),cov(Y X E EY Y EX X E Y X -=--=⎰⎰+∞∞-+∞∞-=dxdyy x xyf ),(10==⎰⎰-xxydy xdx .(2) 当)1,0(∈x 时,有⎰⎰+∞∞--===xdy dy y x f x f x xX 2),()(; 当)1,0(∉x 时,有0)(=x f X.即⎩⎨⎧∉∈=)1,0(0)1,0(2)(X x x x x f同理有 ⎩⎨⎧∉+∈-=⎪⎩⎪⎨⎧∉∈=⎰⎰-)1,0(1)1,0(1)1,0()1,0()(11Y x y x y x dx x dx y f y y 因为),()()(y x f y f x f Y X ≠, 所以X 与Y 不是独立的.又因为0),cov(=Y X , 所以X 与Y 是不相关的.三、 利用切比雪夫不等式估计随机变量X 与其数学期望)(X E 的差的绝对值大于三倍标准差 )(X σ的概率.解:91)3()3(2=≤>-ξξξξξD DD E P .四、为了确定事件A 的概率,进行10000次重复独立试验.利用切比雪夫不等式估计:用事件A在10000次试验中发生的频率作为事件A 的概率的近似值时,误差小于0.01的概率.解:设ξ表示“在10000次试验中事件A 的次数”,则)5.0,10000(~B ξ且有50005.010000=⨯==np E ξ 2500)5.01(5.010000=-⨯⨯==npq D ξ 于是有npq p npq p np m P p n m P 22)01.0(1)01.0(1)01.0()01.0(-=-≥<-=<- 75.025.011=-=-=pq五、 样检查产品质量时,如果发现次品多于10个,则认为这批产品不能接受.应该检查多少 个产品,可使次品率为10%的一批产品不被接受的概率达到0.9?解:设ξ表示“发现的次品件数”,则)1.0,(~n B ξ,现要求.nn ξE 1.0= n ξD 09.0=要使得9.0)10(=>ξP ,即9.0)10(=≤<n ξP ,因为9.0)10(=≤<n ξP ,所以)3.01.03.01.03.01.010()10(nn n n n ξn n P ξD ξE n ξD ξE ξξD ξE P -≤-<-=-≤-<-)3.01.010()3()33.01.03.01.010(1,01,0nn n n n n ξn n P --≈≤-<-=ΦΦ 1)3.0101.0()3(1,01,0--+nn n ΦΦ (德莫威尔—Laplace 定理) 因为10>n ,所以53>n ,从而有1)3(1,0≈n Φ,故9.0)3.0101.0(1,0≈-nn Φ.查表有8997.0)28.1(1,0=Φ,故有28.13.0101.0≈-nn ,解得.146≈n答:应该检查约146个产品,方可使次品率为10%的一批产品不被接受的概率达到0.9.第十三章 正态分布的概率密度、分布函数、数学期望与方差一、 设随机变量X 服从正态分布)2,1(2N ,求(1))8.56.1(<≤-X P ;(2))56.4(≥X P .解:(1) )4.2213.1()8.416.2()8.56.1(<-≤-=<-≤-=<≤-X P X P X P8950.09032.019918.0)]3.1(1[)4.2()3.1()4.2(1,01,01,01,0=+-=--=--=ΦΦΦΦ(2) )78.12178.2(1)56.4(1)56.4(<-<--=<-=≥X P X P X P)]78.2(1)78.1(1)]78.2()78.1([11,01,01,01,0ΦΦΦΦ-+-=---=.0402.09973.09625.02=--二、 已知某种机械零件的直径X (mm )服从正态分布)6.0,100(2N .规定直径在2.1100±(mm )之间为合格品,求这种机械零件的不合格品率.解:设p 表示这种机械零件的不合格品率,则)2.1100(1)2.1100(≤--=>-=X P X P p .而)26.01002()6.02.16.01006.02.1()2.1100(≤-≤-=≤-≤-=≤-X P X P X P 1)2(2)]2(1[)2()2()2(-Φ=Φ--Φ=-Φ-Φ= 9544.019772.02=-⨯= 故0456.09544.01=-=p .三、测量到某一目标的距离时发生的误差X (m)具有概率密度3200)20(22401)(--=x ex f π求在三次测量中至少有一次误差的绝对值不超过30m 的概率.解:三次测量中每次误差绝对值都超过30米可表为}30{}30{}30{>⋃>⋃>=ξξξD 第三次第二次第一次因为)40,20(~2N ξ,所以由事件的相互独立性,有31,01,033)]25.0(1)25.1([})3030{(})30{()(ΦΦ-+-=>+-<=>=ξξP ξP D P 13025.05069.0)8944.05987.02(33≈=--= 于是有86975.013025.01)(1}30{=-=-=<D P P 米至少有一次绝对值三次测量中ξ.四、设随机变量),(~2σμN X ,求随机变量函数Xe Y =的概率密度(所得的概率分布称为对数正态分布). 解:由题设,知X 的概率密度为)(21)(222)(+∞<<-∞=--x ex f x X σμσπ从而可得随机变量Y 的分布函数为)()()(y e P y Y P y F XY≤=≤=.当0≤y 时,有0)(=y F Y ;此时亦有0)(='y F Y. 当0>y 时,有dx ey X P y F yx Y⎰∞---=≤=ln 2)(2221)ln ()(σμσπ. 此时亦有222)(ln 21)(σμσπ--='y Yeyy F .从而可得随机变量Y 的概率密度为⎪⎩⎪⎨⎧>≤=--.0,21;0,0)(222)(ln y e yy y f y Y σμσπ五、设随机变量X 与Y 独立,),(~211σμN X ,),(~222σμN Y ,求: (1) 随机变量函数bY aX Z +=1的数学期望与方差,其中a 及b 为常数;(2) 随机变量函数XY Z =2的数学期望与方差.解:由题设,有211)(,)(σμ==X D X E ;222)(,)(σμ==Y D Y E .从而有 (1)211)()()()()()(μμb a Y bE X aE bY E aX E bY aX E Z E +=+=+=+=; 222212221)()()()()()(σσb a Y D b X D a bY D aX D bY aX D Z D +=+=+=+=. (2)212)()()()(μμ===Y E X E XY E Z E ;)()()()()()()()(22222222Y E X E Y E X E XY E Y X E XY D Z D -=-== )()()]()()][()([2222Y E X E Y E Y D X E X D -++= )()()()()()(22X E Y D Y E X D Y D X D ++= 212222212221μσμσσσ++=.第十四章二维正态分布·正态随机变量线性函数的分布中心极限定理一、设二维随机变量),(Y X 服从二维正态分布,已知0)()(==Y E X E ,16)(=X D ,25)(=Y D ,并且12),cov(=Y X ,求),(Y X 的联合概率密度.。
第四章 随机变量的数字特征1.(1)在下列句子中随机地取一个单词,以X表示取到的单词所包含的字母个数,写出X的分布律并求E(X).“T H E GIRL P U T ON H ER BEA U T IF U L RED H A T”.(2)在上述句子的30个字母中随机地取一个字母,以Y表示取到的字母所在单词所包含的字母数,写出Y的分布律并求E(Y).(3)一人掷骰子,如得6点则掷第2次,此时得分为6+第二次得到的点数;否则得分为他第一次掷得的点数,且不能再掷,求得分X的分布律及E(X).解(1)随机试验属等可能概型.所给句子共8个单词,其中含2个字母,含4个字母,含9个字母的各有一个单词,另有5个单词含3个字母,所以X的分布律为X2349p k18581818数学期望E(X)=2×18+3×58+4×18+9×18=154.(2)随机试验属等可能概型,Y的可能值也是2,3,4,9.样本空间S由各个字母组成,共有30个样本点,其中样本点属于Y=2的有2个,属于Y=3的有15个,属于Y=4的有4个,属于Y=9的有9个,所以Y的分布律为Y2349p k2301530430930数学期望 E(Y)=2×230+3×1530+4×430+9×930=7315.(3)分布律为X12345789101112p k1616161616136136136136136136E(X)=1×16+2×16+3×16+4×16+5×16+7×136+8×136+9×136 +10×136+11×136+12×136=4912.2.某产品的次品率为0畅1,检验员每天检验4次.每次随机地取10件产品进行检验,如发现其中的次品数多于1,就去调整设备.以X表示一天中调整设备的次数,试求E(X).(设诸产品是否为次品是相互独立的.)解先求检验一次,决定需要调整设备的概率.设抽检出次品件数为Y,则Y~b(10,0畅1).记需调整设备一次的概率为p,则p=P{Y>1}=1-P{Y=0}-P{Y=1}=1-0畅910-101·0畅99·0畅1=0畅2639.又因各次检验结果相互独立,故X~b(4,0畅2639).X的分布律为X01234p k(1-p)44p(1-p)36p2(1-p)24p3(1-p)p4于是E(X)=1×4p(1-p)3+2×6p2(1-p)2+3×4p3(1-p)+4×p4=4p=4×0畅2639=1畅0556.以后将会知道若X~b(n,p),则E(X)=n p.3.有3只球,4个盒子,盒子的编号为1,2,3,4.将球逐个独立地,随机地放入4个盒子中去.以X表示其中至少有一只球的盒子的最小号码(例如X=3表示第1号,第2号盒子是空的,第3个盒子至少有一只球),试求E(X).解法(i) 由于每只球都有4种放法,由乘法原理共有43=64种放法.其中3只球都放在4号盒中的放置法仅有1种,从而P{X=4}=164.又{X=3}表示事件“1,2号盒子都是空的,而3号盒子不空”.因1,2号盒子都空,球只能放置在3,4号两个盒子中,共有23种放置法,但其中有一种是3只球都放在4号盒子中,即3号盒子是空的,这不符合X=3的要求需除去,故有P{X=3}=23-164=764.88概率论与数理统计习题全解指南同理可得P {X =2}=33-2364=1964,P {X =1}=43-3364=3764.因此E (X )=钞4k =1kP {X =k }=2516.注:P {X =1}也可由1-(P {X =4}+P {X =3}+P {X =2})求得.解法(ii ) 以A i (i =1,2,3,4)记事件“第i 个盒子是空盒”.{X =1}表示事件“第一个盒子中至少有一只球”,因此{X =1}=A —1,故P {X =1}=P (A —1)=1-P (A 1)=1-343=3764.(因第一个盒子为空盒,3只球的每一只都只有3个盒子可以放,故P (A 1)=(3/4)3.){X =2}表示事件“第一个盒子为空盒且第二个盒子中至少有一只球”,因此{X =2}=A 1A —2.故P {X =2}=P (A 1A —2)=P (A —2A 1)P (A 1)=(1-P (A 2A 1))P (A 1)=1-233343=1964.(因在第一个盒子是空盒的条件下,第二个盒子也是空盒,则3只球都只有2个盒子可以放,故P (A 2A1)=233.)类似地,P {X =3}=P (A 1A 2A —3)=P (A —3A 1A 2)P (A 2A 1)P (A 1)=1-123233343=764,P {X =4}=1-3764-1964-764=164,因此,E (X )=钞4k =1kP {X =k }=2516.解法(iii ) 将球编号.以X 1,X 2,X 3分别记1号,2号,3号球所落入的盒子的号码数.则X 1,X 2,X 3都是随机变量,记X =min {X 1,X 2,X 3},按题意,本题需要求的是98第四章 随机变量的数字特征E(X)=E[min{X1,X2,X3}].因X1,X2,X3具有相同的分布律X j1234p k14141414因而X1,X2,X3具有相同的分布函数F(z)=0,z<1,14,1≤z<2,24,2≤z<3,34,3≤z<4,1,z≥4.于是X=min{X1,X2,X3}的分布函数为:F min(z)=1-[1-F(z)]3=1-(1-0)3=0,z<1,1-1-143=3764,1≤z<2,1-1-243=5664,2≤z<3,1-1-343=6364,3≤z<4,1-(1-1)3=1,z≥4.X=min{X1,X2,X3}的分布律为X1234p k37641964764164得E(X)=2516.4.(1)设随机变量X的分布律为P X=(-1)j+13j j=23j,j=1,2,…,说明X的数学期望不存在.(2)一盒中装有一只黑球,一只白球,作摸球游戏,规则如下:一次从盒中随机摸一只球,若摸到白球,则游戏结束;若摸到黑球放回再放入一只黑球,然后再09概率论与数理统计习题全解指南从盒中随机地摸一只球.试说明要游戏结束的摸球次数X的数学期望不存在.解(1)因级数钞∞j=1(-1)j+13j j P X=(-1)j+13j j=钞∞j=1(-1)j+13j j·23j=2钞∞j=1(-1)j+1j不绝对收敛,按定义X的数学期望不存在.(2)以A k记事件“第k次摸球摸到黑球”,以A k记事件“第k次摸球摸到白球”,以C k表示事件“游戏在第k次摸球时结束”,k=1,2,….按题意C k=A1A2…A k-1A —k,P(C k)=P(A —k|A1A2…A k-1)P(A k-1|A1A2…A k-2)…P(A2|A1)P(A1).P{X=1}=P(A —1)=12,P{X=2}=P(A1A —2)=P(A —2|A1)P(A1)=13·12,P{X=3}=P(A1A2A —3)=P(A —3|A1A2)P(A2|A1)P(A1)=14·23·12=14·13,X=k时,盒中共k+1只球,其中只有一只是白球,故P{X=k}=P(A1…A k-1A —k)=P(A —k A1A2…A k-1)P(A k-1A1A2…A k-2)…P(A2A1)P(A1)=1k+1·k-1k·k-2k-1·…·23·12=1k+1·1k.若E(X)存在,则它应等于钞∞k=1kP{X=k}.但钞∞k=1kP{X=k}=钞∞k=1k·1k+1·1k=钞∞k=11k+1=∞,故X的数学期望不存在.5.设在某一规定的时间间隔里,某电气设备用于最大负荷的时间X(以min 计)是一个随机变量,其概率密度为f(x)=115002x,0≤x≤1500,-115002(x-3000),1500<x≤3000,0,其他.19第四章 随机变量的数字特征求E (X ).解按连续型随机变量的数学期望的定义,有E (X )=∫∞-∞x f (x )d x =∫0-∞x f (x )d x +∫15000x f (x )d x +∫30001500x f (x )d x +∫∞3000x f (x )d x=∫0-∞x ·0d x +∫15000x ·x15002d x +∫30001500x ·-(x -3000)15002d x +∫∞3000x ·0d x=115002x 3315000+1150023000×x 22-x3330001500=1500(min ).6.(1)设随机变量X 的分布律为X -202p k0畅40畅30畅3求E (X ),E (X 2),E (3X 2+5).(2)设X ~π(λ),求E 1X +1.解(1)X 的分布律为X -202p k0畅40畅30畅3E (X )=(-2)×0畅4+0×0畅3+2×0畅3=-0畅2.由关于随机变量函数的数学期望的定理,知E (X 2)=(-2)2×0畅4+02×0畅3+22×0畅3=2畅8,E (3X 2+5)=[3(-2)2+5]×0畅4+[3(0)2+5]×0畅3+[3(22)+5]×0畅3=13畅4.如利用数学期望的性质,则有E (3X 2+5)=3E (X 2)+5=3×2畅8+5=13畅4.(2)因X ~π(λ),故P {X =k }=λke -λk !.29概率论与数理统计习题全解指南E1X+1=钞∞k=01k+1P{X=k}=钞∞k=01k+1λk e-λk!=钞∞k=0λk e-λ(k+1)!=e-λλ钞∞k=0λk+1(k+1)!=e-λλ钞∞j=1λjj!=e-λλ钞∞j=0λjj!-1=e-λλ(eλ-1)=1λ(1-e-λ).7.(1)设随机变量X的概率密度为f(x)=e-x,x>0,0,x≤0.求(i)Y=2X;(ii)Y=e-2X的数学期望.(2)设随机变量X1,X2,…,X n相互独立,且都服从(0,1)上的均匀分布(i)求U=max{X1,X2,…,X n}的数学期望,(ii)求V=min{X1,X2,…,X n}的数学期望.解(1)由关于随机变量函数的数学期望的定理,知(i)E(Y)=E(2X)=∫∞-∞2x f(x)d x=2∫0-∞x·0d x+∫∞0x e-x d x=2-x e-x∞0+∫∞0e-x d x=-2e-x∞0=2;(ii)E(Y)=E(e-2X)=∫∞0e-2x·e-x d x=∫∞0e-3x d x=-13e-3x∞0=13.(2)因X i~U(0,1),i=1,2,…,n,X i的分布函数为F(x)=0, x<0,x, 0≤x<1,1, x≥1.因X1,X2,…,X n相互独立,故U=max{X1,X2,…,X n}的分布函数为F U(u)=0, u<0,u n, 0≤u<1,1, u≥1.U的概率密度为f U(u)=nun-1, 0<u<1,0, 其他.E(U)=∫∞-∞u f U(u)d u=∫10u·nu n-1d u=n∫10u n d u=n n+1.39第四章 随机变量的数字特征V =min {X 1,X 2,…,X n }的分布函数为F V (v )=0, v <0,1-(1-v )n, 0≤v <1,1, v ≥1.V 的概率密度为f V (v )=n (1-v )n -1, 0<v <1,0, 其他.E (V )=∫∞-∞v f V (v )d v =∫10vn (1-v )n -1d v=-v (1-v )n10+∫10(1-v )nd v=-(1-v )n +1n +110=1n +1.8.设随机变量(X ,Y )的分布律为X Y 123-10畅20畅10畅000畅10畅00畅310畅10畅10畅1(1)求E (X ),E (Y ).(2)设Z =Y X,求E (Z ).(3)设Z =(X -Y )2,求E (Z ).解由关于随机变量函数的数学期望E [g (X ,Y )]的定理,得(1)E (X )=钞3i =1钞3j =1x i p i j=1·(0畅2+0畅1+0畅1)+2·(0畅1+0+0畅1)+3·(0+0畅3+0畅1)=2. E (Y )=钞3j =1钞3i =1y j p i j=(-1)·(0畅2+0畅1+0)+0·(0畅1+0+0畅3)+1·(0畅1+0畅1+0畅1)=0.(2)E (Z )=EYX=-11P {X =1,Y =-1}+-12P {X =2,Y=-1} +-13P {X =3,Y =-1}49概率论与数理统计习题全解指南 +01P {X =1,Y =0}+02P {X =2,Y =0} +03P {X =3,Y =0}+11P {X =1,Y =1} +12P {X =2,Y =1}+13P {X =3,Y =1}=-0畅2-0畅05+0畅1+0畅05+0畅13=-115.(3)E (Z )=E [(X -Y )2]=钞3j =1钞3i =1(x i -y j )2p i j=22×0畅2+32×0畅1+42×0+12×0畅1+22×0 +32×0畅3+02×0畅1+12×0畅1+22×0畅1=5.注:(i )可先求出边缘分布律,然后求出E (X ),E (Y ).(ii )在(3)中可先算出Z =(X -Y )2的分布律Z 0149p k0畅10畅20畅30畅4然后求得E (Z )=钞4k =1z k p k =5.题4畅9图9.(1)设随机变量(X ,Y )的概率密度为f (x ,y )=12y 2,0≤y ≤x ≤1,0,其他.求E (X ),E (Y ),E (XY ),E (X 2+Y 2).(2)设随机变量X ,Y 的联合密度为f (x ,y )=1ye -(y +x /y ), x >0,y >0,0, 其他,求E (X ),E (Y ),E (XY ).解(1)各数学期望均可按照E [g (X ,Y )]=∫∞-∞∫∞-∞g (x ,y )f (x ,y )d x d y 计算.因f (x ,y )仅在有限区域G :{(x ,y ) 0≤y ≤x ≤1}内不为零,故各数学期望均化为G (如题4畅9图)上相应积分的计算.E (X )=∫∞-∞∫∞-∞x f (x ,y )d x d y =∫∫Gx ·12y 2d x d y=∫10d x ∫x012x y 2d y =45.59第四章 随机变量的数字特征E(Y)=∫∫G y·12y2d x d y=∫10d x∫x012y3d y=35.E(XY)=∫∫G x y·12y2d x d y=∫10d x∫x012x y3d y=12.E(X2+Y2)=∫∫G(x2+y2)12y2d x d y=∫10d x∫x012(x2y2+y4)d y=1615.(2)E(X)=∫∞-∞∫∞-∞x f(x,y)d x d y=∫∞0∫∞0x y e-(y+x y)d x d y=-∫∞0e-y∫∞0x e-x/y d(-x y)d y=-∫∞0e-y x e-x/y∞0-∫∞0e-x/y d x d y=∫∞0e-y y d y=1.E(Y)=∫∞0∫∞0e-(y+x/y)d x d y=∫∞0e-y∫∞0e-x/y d x d y=∫∞0e-y[-y e-x/y]∞0d y=∫∞0e-y y d y=1.E(XY)=∫∞-∞∫∞-∞x y f(x,y)d x d y=∫∞0∫∞0x e-(y+x/y)d x d y=∫∞0e-y[∫∞0x e-x/y d x]d y.而 ∫∞0x e-x/y d x=-y∫∞0x e-x/y d(-x y)=y2,故 E(XY)=∫∞0y2e-y d y=Γ(3)①=2.10.(1)设随机变量X~N(0,1),Y~N(0,1)且X,Y相互独立.求E X2X2+Y2.(2)一飞机进行空投物资作业,设目标点为原点O(0,0),物资着陆点为(X,Y),X,Y相互独立,且设X~N(0,σ2),Y~N(0,σ2),求原点到点(X,Y)间距离的数学期望.解(1)由对称性知E X2X2+Y2=EY2X2+Y2.69概率论与数理统计习题全解指南①Γ函数:Γ(α)=∫∞0xα-1e-x d x,α>0,它具有性质:Γ(α+1)=αΓ(α),α>0,Γ(1)=1,Γ(12)=π,Γ(n+1)=nΓ(n)=n!(n为正整数).而EX2X2+Y2+EY2X2+Y2=E(1)=1,故EX2X2+Y2=12.(2)记原点到点(X,Y)的距离为R,R=X2+Y2,由题设(X,Y)的密度函数为f(x,y)=12πσe-x2/(2σ2)·12πσe-y2/(2σ2)=12πσ2e-x2+y22σ2, -∞<x<∞, -∞<y<∞.E(R)=E(X2+Y2)=∫∞-∞∫∞-∞x2+y212πσ2e-(x2+y2)/(2σ2)d x d y.采用极坐标E(R)=∫2π0dθ∫∞0r2πσ2e-r2/(2σ2)r d r=2π∫∞012πσ2r2e-r2/(2σ2)d r=1σ2∫∞0r2e-r2/(2σ2)d r=-∫∞0r d(e-r2/(2σ2))=-r e-r2/(2σ2)∞0+∫∞0e-r2/(2σ2)d r=12∫∞-∞e-r2/(2σ2)d r=1212πσ∫∞-∞e-r2/(2σ2)d r2πσ=12×1×2πσ=σπ2.11.一工厂生产的某种设备的寿命X(以年计)服从指数分布,概率密度为f(x)=14e-x/4,x>0,0, x≤0.工厂规定,出售的设备若在售出一年之内损坏可予以调换.若工厂售出一台设备赢利100元,调换一台设备厂方需花费300元.试求厂方出售一台设备净赢利的数学期望.解一台设备在一年内调换的概率为p=P{X<1}=∫1014e-x/4d x=-e-x/410=1-e-1/4.以Y记工厂售出一台设备的净赢利值,则Y具有分布律Y100100-300p k e-1/41-e-1/4故有E(Y)=100×e-1/4-200(1-e-1/4)=300e-1/4-200=33畅64(元).12.某车间生产的圆盘直径在区间(a,b)服从均匀分布,试求圆盘面积的数学期望.解设圆盘直径为X,按题设X具有概率密度f X(x)=1b-a,a<x<b,0,其他,故圆盘面积A=14πX2的数学期望为E14πX2=∫b a14πx21b-a d x=π12(b-a)x3ba=π12(b2+ab+a2).13.设电压(以V计)X~N(0,9).将电压施加于一检波器,其输出电压为Y=5X2,求输出电压Y的均值.解由X~N(0,9),即有E(X)=0,D(X)=9.E(Y)=E(5X2)=5E(X2)=5{D(X)+[E(X)]2}=5(9+0)=45(V).另法 X的概率密度为f X(x)=132πe-x2/18, -∞<x<∞.E(Y)=E(5X2)=5E(X2)=5∫∞-∞x232πe-x2/18d x=5×932π-x e-x2/18∞-∞+∫∞-∞e-x2/18d x=4532π∫∞-∞e-x2/18d x=45∫∞-∞f X(x)d x=45×1=45(V).14.设随机变量X1,X2的概率密度分别为f1(x)=2e-2x,x>0,0,x≤0, f2(x)=4e-4x,x>0,0,x≤0.(1)求E(X1+X2),E(2X1-3X22).(2)又设X1,X2相互独立,求E(X1X2).解若X服从以θ为参数的指数分布,其概率密度为f(x)=1θe-x/θ,x>0,0,其他,则E(X)=∫∞-∞x f(x)d x=∫∞0x1θe-x/θd x,令u=xθ,得到 E(X)=θ∫∞0u e-u d u=θΓ(2)=θΓ(1)=θ,E(X2)=∫∞-∞x2f(x)d x=∫∞0x21θe-x/θd x=θ2∫∞0u2e-u d u=θ2Γ(3) (其中u=xθ)=θ2·2Γ(2)=θ2·2Γ(1)=2θ2,故E(X1)=12,E(X2)=14,E(X22)=2(14)2=18,于是(1)由数学期望的性质,有E(X1+X2)=E(X1)+E(X2)=34,E(2X1-3X22)=2E(X1)-3E(X22)=58.(2)因X1,X2相互独立,由数学期望的性质,有E(X1X2)=E(X1)E(X2)=12×14=18.15.将n只球(1~n号)随机地放进n个盒子(1~n号)中去,一个盒子装一只球.若一只球装入与球同号的盒子中,称为一个配对.记X为总的配对数,求E(X).解引入随机变量X i=1, 若第i号球装入第i号盒子中,0, 若第i号球未装入第i号盒子中,i=1,2,…,n,则总的配对数X可表示成X=X1+X2+…+X n.显然P{X i=1}=1n, i=1,2,…,n.X i的分布律为X i01p k1-1n1n即有E(X i)=1n,i=1,2,…,n,于是E (X )=E (X 1+X 2+…+X n )=E (X 1)+E (X 2)+…+E (X n )=1.16.若有n 把看上去样子相同的钥匙,其中只有一把能打开门上的锁,用它们去试开门上的锁.设取到每只钥匙是等可能的.若每把钥匙试开一次后除去,试用下面两种方法求试开次数X 的数学期望.(1)写出X 的分布律.(2)不写出X 的分布律.解(1)以A k (k =1,2,…,n )表示事件“第k 次试开是成功的”.{X =k }表示前k -1次所取的钥匙均未能打开门,而第k 次所取的钥匙能将门打开.即有P {X =k }=P (A —1A —2…A —k -1A k )=P (A —1A —2…A —k -1)P (A k A —1A —2…A —k -1)=P (A —1A —2…A —k -2)P (A —k -1A —1A —2…A —k -2)P (A k A —1A —2…A —k -1)=…=P (A —1)P (A —2A —1)P (A —3A —1A —2)…P (A k A —1A —2…A —k -1)=n -1n ·n -2n -1·…·n -k +1n -k +2·1n -k +1=1n,X 的分布律为P {X =k }=1n, k =1,2,…,n ,故E (X )=钞nk =1kP {X =k }=钞nk =1k ·1n =1n钞nk =1k=1n ·n (n +1)2=n +12.(2)引入随机变量X k 如下:X 1=1,X k =1, 前k -1次试开均未成功,0, 前k -1次中有一次试开成功,k =2,3,…,n ,则X =X 1+X 2+…+X n .沿用(1)中的记号,则有E (X 1)=1,E (X k )=1×P {X k =1}=1×P (A —1A —2…A —k -1)=P (A —1)P (A —2A —1)…P (A —k -1A —1A —2…A —k -2)=n -1n ·n -2n -1·…·n -(k -1)n -(k -2)=n -k +1n, k=2,3,…,n.故有E(X)=1+钞nk=2E(X k)=1+钞nk=2n-k+1n=n+12.17.设X为随机变量,C是常数,证明D(X)<E[(X-C)2],对于C≠E(X).(由于D(X)=E[[X-E(X)]2],上式表明E[(X-C)2]当C=E(X)时取到最小值.)证 E[(X-C)2]=E(X2-2CX+C2)=E(X2)-2CE(X)+C2=E(X2)-[E(X)]2+{[E(X)]2-2CE(X)+C2}=D(X)+(E(X)-C)2≥D(X).等号仅当C=E(X)时成立.18.设随机变量X服从瑞利分布,其概率密度为f(x)=xσ2e-x2(2σ2),x>0,0,x≤0,其中σ>0是常数.求E(X),D(X).解E(X)=∫∞-∞x f(x)d x=∫∞0x xσ2e-x2(2σ2)d x.令u=x2(2σ2),得到E(X)=2σ∫∞0u1/2e-u d u=2σΓ(32)=2σ12Γ(12)①=π2σ.E(X2)=∫∞-∞x2f(x)d x=∫∞0x2xσ2e-x2(2σ2)d x.令u=x2(2σ2),得到E(X2)=2σ2∫∞0u e-u d u=2σ2Γ(2)=2σ2,故D(X)=E(X2)-(E(X))2=2σ2-π2σ2=4-π2σ2.19.设随机变量X服从Γ分布,其概率密度为f(x)=1βαΓ(α)xα-1e-x/β,x>0,0,x≤0,①参见96页注.其中α>0,β>0是常数.求E(X),D(X).解E(X)=∫∞-∞x f(x)d x=∫∞0xβαΓ(α)xα-1e-x/βd x令u=xββΓ(α)∫∞0uαe-u d u=βΓ(α)Γ(α+1)=βΓ(α)αΓ(α)=αβ. Ε(X2)=∫∞-∞x2f(x)d x=∫∞0x2βαΓ(α)xα-1e-x/βd x令u=x/ββ2Γ(α)∫∞0uα+1e-u d u=β2Γ(α)Γ(α+2)=β2Γ(α)(α+1)αΓ(α)=α(α+1)β2. D(X)=α(α+1)β2-(αβ)2=αβ2.20.设随机变量X服从几何分布,其分布律为P{X=k}=p(1-p)k-1, k=1,2,…,其中0<p<1是常数.求E(X),D(X).解E(X)=钞∞n=1nP{X=n}=钞∞n=1n p(1-p)n-1=p钞∞n=1n(1-p)n-1=p1[1-(1-p)]2=1p.这是因为11-x=1+x+x2+…+xk+…, x<1,两边对x求导,就有1(1-x)2=1+2x+3x2+…+kxk-1+…,x<1.(A)又E[X(X+1)]=钞∞n=1n(n+1)P{X=n}=p钞+∞n=1n(n+1)(1-p)n-1.将上述(A)式两边关于x求导,就有2(1-x)3=1·2+2·3x+…+(k-1)·kxk-2+…, x<1,由此知E[X(X+1)]=p2[1-(1-p)]3=2p2故D(X)=E(X2)-[E(X)]2=E[X(X+1)-X]-[E(X)]2=E [X (X +1)]-E (X )-[E (X )]2=2p 2-1p -1p 2=1-pp2.21.设长方形的长(以m 计)X ~U (0,2),已知长方形的周长(以m 计)为20.求长方形面积A 的数学期望和方差.解长方形的长为X ,周长为20,所以它的面积A 为A =X (10-X ).现在X ~U (0,2),X 的概率密度为f X (x )=12,0<x <2,0,其他,所以E (A )=E [X (10-X )]=∫20x (10-x )·12d x =52x 2-16x 320=263=8畅67,E (A 2)=E [X 2(10-X )2]=∫20x 2(10-x )2·12d x =12∫20(100x 2-20x 3+x 4)d x =144815=96畅53,D (A )=E (A 2)-[E (A )]2=144815-2632=21畅42.22.(1)设随机变量X 1,X 2,X 3,X 4相互独立,且有E (X i )=i ,D (X i )=5-i ,i =1,2,3,4.设Y =2X 1-X 2+3X 3-12X 4.求E (Y ),D (Y ).(2)设随机变量X ,Y 相互独立,且X ~N (720,302),Y ~N (640,252),求Z 1=2X +Y ,Z 2=X -Y 的分布,并求概率P {X >Y },P {X +Y >1400}.解(1)E (Y )=E 2X 1-X 2+3X 3-12X 4=2E (X 1)-E (X 2)+3E (X 3)-12E (X 4)=2×1-2+3×3-12×4=7.因X 1,X 2,X 3,X 4相互独立,故有D (Y )=D 2X 1-X 2+3X 3-12X 4=4D (X 1)+D (X 2)+9D (X 3)+14D (X 4)=4×4+3+9×2+14×1=37畅25.(2)因X,Y相互独立,且X~N(720,302),Y~N(640,252),故Z1=2X+Y,Z2=X-Y均服从正态分布,且E(Z1)=E(2X+Y)=2E(X)+E(Y)=2×720+640=2080,D(Z1)=D(2X+Y)=4D(X)+D(Y)=4×302+252=4225,E(Z2)=E(X-Y)=E(X)-E(Y)=720-640=80,D(Z2)=D(X-Y)=D(X)+D(Y)=302+252=1525,故有Z1~N(2080,4225), Z2~N(80,1525).P{X>Y}=P{X-Y>0}=P{Z2>0}=1-P{Z2≤0}=1-Φ0-801525=Φ(2畅0486)=0畅9798.又X+Y~N(E(X)+E(Y),D(X)+D(Y)),即X+Y~N(1360,1525).故P{X+Y>1400}=1-P{X+Y≤1400}=1-Φ1400-13601525=1-Φ(1畅02)=1-0畅8461=0畅1539.23.五家商店联营,它们每两周售出的某种农产品的数量(以kg计)分别为X1,X2,X3,X4,X5.已知X1~N(200,225),X2~N(240,240),X3~N(180,225),X4~N(260,265),X5~N(320,270),X1,X2,X3,X4,X5相互独立.(1)求五家商店两周的总销售量的均值和方差.(2)商店每隔两周进货一次,为了使新的供货到达前商店不会脱销的概率大于0.99,问商店的仓库应至少储存多少千克该产品?解以Y记五家商店该种产品的总销售量,即Y=X1+X2+X3+X4+X5.(1)按题设X i(i=1,2,3,4,5)相互独立且均服从正态分布,即有E(Y)=钞5i=1E(X i)=200+240+180+260+320=1200,D (Y )=钞5i =1D (Y i )=225+240+225+265+270=1225.(2)设仓库应至少储存n kg 该产品,才能使该产品不脱销的概率大于0畅99,按题意,n 应满足条件P {Y ≤n }>0畅99.由于Y ~N (1200,352),故有P {Y ≤n }=PY -120035≤n -120035=Φn -120035,因而上述不等式即为Φn -120035>0畅99=Φ(2畅33),从而n -120035>2畅33,故应有n >1200+2畅33×35=1281畅55,即需取n =1282kg 畅24.卡车装运水泥,设每袋水泥重量X (以kg 计)服从N (50,2.52),问至多装多少袋水泥使总重量超过2000的概率不大于0畅05.解设至多能装运n 袋水泥,各袋水泥的重量分别为X 1,X 2,…,X n ,则X i ~N (50,2畅52), i =1,2,…,n ,故卡车所装运水泥的总重量为W =X 1+X 2+…+X n .按题意n 需满足P {W >2000}≤0畅05.对于像这样的实际问题,认为X 1,X 2,…,X n 相互独立是适宜的,此时E (W )=50n , D (W )=2畅52n ,于是W ~N (50n ,2畅52n ).从而P {W >2000}=1-Φ2000-50n2畅5n,即n 应满足Φ2000-50n2畅5n ≥0畅95=Φ(1畅645).故应有2000-50n2畅5n≥1畅645,解得n ≤6畅2836,从而n ≤39畅483.故n 至多取39,即该卡车至多能装运39袋水泥,方能使超过2000kg 的概率不大于0畅05.(在这里我们指出,若设W =nX ,其中X ~N (50,2畅52)而去求出n ≈37,那就犯错误了,为什么?)25.设随机变量X ,Y 相互独立,且都服从(0,1)上的均匀分布.(1)求E (XY ),E (X /Y ),E [ln (XY )],E [|Y -X |].(2)以X ,Y 为边长作一长方形,以A ,C 分别表示长方形的面积和周长,求A 和C 的相关系数.解(1)X ,Y 的概率密度都是f (x )=1, 0<x <1,0, 其他.E (XY )=E (X )E (Y )=12×12=14.E X Y不存在(因∫10∫10xyd x d y发散).题4畅25图E [ln (XY )]=∫10∫10(ln x +ln y )d x d y =2∫10∫10(ln x )d x d y=-2.E (|Y -X |) =簇D|y -x |d x d y (如题4畅25图D =D 1∪D 2) =2簇D 1(y -x )d x d y =2∫10∫1x(y -x )d y d x =13.(2)A =XY ,C =2(X +Y ),Cov (A ,C )=E (AC )-E (A )E (C ).AC =2X 2Y +2XY 2,E (X 2)=E (Y 2)=D (X )+(E (X ))2=112+14=13.E (AC )=2E (X 2Y )+2E (XY 2)=2E (X 2)E (Y )+2E (X )E (Y 2)=2×13×12+2×12×13=23.Cov (A ,C )=E (AC )-E (A )E (C )=23-[E (X )E (Y )×2(E (X )+E (Y ))]=23-12×12×212+12=16.D (A )=E (X 2Y 2)-[E (X )E (Y )]2=E (X 2)E (Y 2)-(12×12)2=(13)2-(14)2=7144.D (C )=D (2X +2Y )=D (2X )+D (2Y )=4×112+4×112=23.故 ρAC =Cov (A ,C )D (A )D (C )=16/7144×23=67.26.(1)设随机变量X 1,X 2,X 3相互独立,且有X 1~b 4,12,X 2~b 6,13,X 3~b 6,13,求P {X 1=2,X 2=2,X 3=5},E (X 1X 2X 3),E (X 1-X 2),E (X 1-2X 2).(2)设X ,Y 是随机变量,且有E (X )=3,E (Y )=1,D (X )=4,D (Y )=9,令Z =5X -Y +15,分别在下列3种情况下求E (Z )和D (Z ).(i )X ,Y 相互独立,(ii )X ,Y 不相关,(iii )X 与Y 的相关系数为0.25.解(1)P {X 1=2,X 2=2,X 3=5}=P {X 1=2}P {X 2=2}P {X 3=5}.因P {X 1=2}=421221-124-2=42124,P {X 2=2}=621321-136-2=62132234,P {X 3=5}=651351-136-5=6513523,故 P {X 1=2,X 2=2,X 3=5}=P {X 1=2}·P {X 2=2}·P {X 3=5}=0.00203E (X 1X 2X 3)=E (X 1)E (X 2)E (X 3)=(4×12)(6×13)(6×13)=8.E (X 1-X 2)=E (X 1)-E (X 2)=2-2=0.E (X 1-2X 2)=E (X 1)-2E (X 2)=-2.(2)对于E (Z ),在(i ),(ii ),(iii )三种情况下都有E (Z )=E (5X -Y +15)=5E (X )-E (Y )+15=15-1+15=29.对于D (Z ),(i )X ,Y 独立,则D (5X -Y +15)=D (5X -Y )=D (5X )+D (-Y )=25D (X )+D (Y )=25×4+9=109.(ii)X,Y不相关,即Cov(X,Y)=0,D(Z)=109.(iii)ρX Y=0畅25,则Cov(X,Y)=D(X)D(Y)ρX Y=2×3×0畅25=1畅5,D(5X-Y+15)=D(5X-Y)=25D(X)+D(Y)-10Cov(X,Y)=100+9-10×1畅5=94畅27.下列各对随机变量X和Y,问哪几对是相互独立的?哪几对是不相关的.(1)X~U(0,1),Y=X2.(2)X~U(-1,1),Y=X2.(3)X=cos V,Y=sin V,V~U(0,2π).若(X,Y)的概率密度为f(x,y),(4)f(x,y)=x+y 0<x<1,0<y<1,0, 其他.(5)f(x,y)=2y, 0<x<1,0<y<1,0, 其他.解 (1)E(X)=12,E(Y)=E(X2)=∫10x2d x=13,E(XY)=E(X3)=∫10x3d x=14.Cov(X,Y)=E(XY)-E(X)E(Y)=14-12×13≠0.故X,Y不相互独立,也不是不相关的.(2)E(X)=0,E(Y)=E(X2)=∫1-112x2d x=13,E(XY)=E(X3)=∫1-112x3d x=0.Cov(X,Y)=E(XY)-E(X)E(Y)=0-0=0.故X,Y不相互独立,但不相关.(3)E(X)=∫2π012πcos v d v=0,E(Y)=∫2π012πsin v d v=0,E(XY)=E(sin V cos V)=12E(sin2V)=12∫2π012πsin2v d v=0,Cov(X,Y)=E(XY)-E(Z)E(Y)=0-0×0=0,故X,Y不相互独立,但不相关.(4)f(x,y)=x+y, 0<x<1, 0<y<1,0, 其他.f X(x)=∫10(x+y)d y=x+12, 0<x<1,0, 其他,f Y(y)=y+12, 0<y<1,0,其他.f(x,y)与f X(x)f Y(y)在平面上不几乎处处相等,X,Y不相互独立.E(X)=∫10x(x+12)d x=712, E(Y)=712,E(XY)=∫10∫10x y(x+y)d x d y=13.Cov(X,Y)=E(XY)-E(X)E(Y)≠0.故X,Y不是不相关的,因而一定也是不相互独立的.(5)f(x,y)=2y, 0<x<1, 0<y<1,0, 其他,f X(x)=1, 0<x<1,0, 其他, f Y(y)=2y, 0<y<1,0, 其他.f(x,y)=f X(x)f Y(y)对于任意x,y成立.故X,Y相互独立,因此X,Y也是不相关的.28.设二维随机变量(X,Y)的概率密度为f(x,y)=1π,x2+y2≤1,0,其他.试验证X和Y是不相关的,但X和Y不是相互独立的.证 E(X)=∫∞-∞∫∞-∞x f(x,y)d x d y=簇x2+y2≤1xπd x d y=1π∫1-1d y∫1-y2-1-y2x d x=0.同样 E(Y)=∫∞-∞∫∞-∞y f(x,y)d x d y=簇x2+y2≤1yπd x d y=0,而 E(XY)=∫∞-∞∫∞-∞x y f(x,y)d x d y=簇x2+y2≤1x yπd x d y=1π∫1-1y d y∫1-y2-1-y2x d x=0,从而E(XY)=E(X)E(Y),这表明X,Y是不相关的.又f X(x)=∫∞-∞f(x,y)d y=∫1-x 2-1-x21πd y=2π1-x2,-1<x<1,0,其他.同样f Y(y)=2π1-y2,-1<y<1,0,其他.显然f X(x)f Y(y)≠f(x,y),故X,Y不是相互独立的.29.设随机变量(X,Y)的分布律为XY -101-11818180180181181818验证X和Y是不相关的,但X和Y不是相互独立的.证 先求出边缘分布律如下:X-101p k382838Y-101p k382838易见P{X=0,Y=0}=0≠P{X=0}P{Y=0},故X,Y不是相互独立的.又知X,Y具有相同的分布律,且有E(X)=E(Y)=(-1)×38+1×38=0.又 E(XY)=钞3j=1钞3i=1x i y j p i j=(-1)(-1)×18+(-1)×1×18+1×(-1)×18+1×1×18=0,即有E(XY)=E(X)E(Y),故X,Y是不相关的.30.设A 和B 是试验E 的两个事件,且P (A )>0,P (B )>0,并定义随机变量X ,Y 如下:X =1, 若A 发生,0, 若A不发生, Y =1, 若B 发生,0, 若B不发生.证明若ρX Y =0,则X 和Y 必定相互独立.解X ,Y 的分布律分别为X 01p kP (A —)P (A )Y 01p kP (B —)P (B )由X ,Y 的定义,XY 只能取0,1两个值,且P {XY =1}=P {X =1,Y =1}=P (AB ),于是得XY 的分布律为XY 01p k1-P (AB )P (AB )即得 E (X )=P (A ),E (Y )=P (B ),E (XY )=P (AB ).由假设ρX Y =0,得E (XY )=E (X )E (Y ),即P (AB )=P (A )P (B ),故知A 与B 相互独立.从而知A 与B —、A —与B 、A —与B —也相互独立,于是 P {X =1,Y =1}=P (AB )=P (A )P (B )=P {X =1}P {Y =1}, P {X =1,Y =0}=P (AB —)=P (A )P (B —)=P {X =1}P {Y =0}, P {X =0,Y =1}=P (A —B )=P (A —)P (B )=P {X =0}P {Y =1}, P {X =0,Y =0}=P (A —B —)=P (A —)P (B —)=P {X =0}P {Y =0},故X ,Y 相互独立.题4畅31图31.设随机变量(X ,Y )具有概率密度f (x ,y )=1,y <x ,0<x <1,0,其他.求E (X ),E (Y ),Cov (X ,Y ).解注意到f (x ,y )只在区域G :{(x ,y ) y <x ,0<x <1}(题4畅31图)上不等于零,故有E (X )=∫∞-∞∫∞-∞x f (x ,y )d x d y =簇Gx d x d y=∫10d x ∫x-xx d y =∫102x 2d x =23,E(Y)=∫∞-∞∫∞-∞y f(x,y)d x d y=簇G y d x d y=∫10d x∫x-x y d y=0,E(XY)=∫∞-∞∫∞-∞x y f(x,y)d x d y=簇G x y d x d y=∫10d x∫x-x x y d y=0,Cov(X,Y)=E(XY)-E(X)E(Y)=0.32.设随机变量(X,Y)具有概率密度f(x,y)=18(x+y),0≤x≤2,0≤y≤2,0,其他.求E(X),E(Y),Cov(X,Y),ρX Y,D(X+Y).解注意到f(x,y)只在区域G:{(x,y) 0<x<2,0<y<2}上不等于零,故有E(X)=∫∞-∞∫∞-∞x f(x,y)d x d y=∫20d x∫20x8(x+y)d y=∫20x8(x y+12y2)20d x=∫20x4(x+1)d x=76,E(X2)=∫∞-∞∫∞-∞x2f(x,y)d x d y=∫20d x∫20x28(x+y)d y=18∫20x2(x y+12y2)20d x=14∫20(x3+x2)d x=53,E(XY)=∫∞-∞∫∞-∞x y f(x,y)d x d y=∫20d x∫20x y8(x+y)d y=14∫20(x2+4x3)d x=43.由x,y在f(x,y)的表达式中的对称性(即在表达式f(x,y)中将x和y互换,表达式不变),得知E(Y)=E(X)=76, E(Y2)=E(X2)=53,且有D(Y)=D(X)=E(X2)-[E(X)]2=53-(76)2=1136.而 Cov(X,Y)=E(XY)-E(X)E(Y)=43-4936=-136,ρX Y=Cov(X,Y)D(X)D(Y)=-111,D(X+Y)=D(X)+D(Y)+2Cov(X,Y)=59.33.设随机变量X~N(μ,σ2),Y~N(μ,σ2),且设X,Y相互独立,试求Z1=αX+βY和Z2=αX-βY的相关系数(其中α,β是不为零的常数).解法(i) Cov(Z1,Z2)=Cov(αX+βY,αX-βY)=α2Cov(X,X)-αβCov(X,Y)+αβCov(Y,X)-β2Cov(Y,Y)=α2D(X)-β2D(Y)=(α2-β2)σ2,而 D(Z1)=D(αX+βY)=α2D(X)+β2D(Y)+2Cov(αX,βY)=(α2+β2)σ2,D(Z2)=D(αX-βY)=α2D(X)+β2D(Y)-2Cov(αX,βY)=(α2+β2)σ2,故ρZ1Z2=(α2-β2)σ2D(Z1)D(Z2)=α2-β2α2+β2.解法(ii) Cov(Z1,Z2)=E(Z1Z2)-E(Z1)E(Z2)=E(α2X2-β2Y2)-[αE(X)+βE(Y)][αE(X)-βE(Y)]=α2E(X2)-β2E(Y2)-{α2[E(X)]2-β2[E(Y)]2}=α2{E(X2)-[E(X)]2}-β2{E(Y2)-[E(Y)]2}=α2D(X)-β2D(Y)=(α2-β2)σ2. D(Z1)=D(αX+βY)=α2D(X)+β2D(Y)=(α2+β2)σ2, D(Z2)=D(αX-βY)=α2D(X)+β2D(Y)=(α2+β2)σ2,故ρZ1Z2=(α2-β2)σ2D(Z1)D(Z2)=α2-β2α2+β2.34.(1)设随机变量W=(aX+3Y)2,E(X)=E(Y)=0,D(X)=4,D(Y)=16,ρXY=-0畅5.求常数a使E(W)为最小,并求E(W)的最小值.(2)设随机变量(X,Y)服从二维正态分布,且有D(X)=σ2X,D(Y)=σ2Y.证明当a2=σ2Xσ2Y时,随机变量W=X-aY与V=X+aY相互独立.解(1)E(W)=E[(aX+3Y)2]=a2E(X2)+6aE(XY)+9E(Y2),E(X2)=D(X)+[E(X)]2=4,E(Y2)=D(Y)+[E(Y)]2=16,E(XY)=Cov(X,Y)+E(X)E(Y)=ρX YD(X)D(Y)=-4,故E(W)=4a2-24a+144=4(a-3)2+108,故当a=3时E(W)取最小值,min{E(W)}=108.(2)因为(X,Y)是二维正态变量,而W与V分别是X,Y的线性组合,故由n维正态随机变量的性质3°知(W,V)也是二维正态变量.现在a2=σ2Xσ2Y,故知有Cov(W,V)=Cov(X-aY,X+aY)=Cov(X,X)-a2Cov(Y,Y)=σ2X-a2σ2Y=0,即知W与V不相关.又因(W,V)是二维正态变量,故知W与V是相互独立的.35.设随机变量(X,Y)服从二维正态分布,且X~N(0,3),Y~N(0,4),相关系数ρX Y=-14,试写出X和Y的联合概率密度.解因μ1=μ2=0,σ1=3,σ2=2,ρ=-14,故X和Y的联合概率密度为f(x,y)=143π1-116exp-12(1-116)x23+x y43+y24=135πexp-815x23+x y43+y24.36.已知正常男性成人血液中,每一毫升白细胞数平均是7300,均方差是700.利用切比雪夫不等式估计每毫升含白细胞数在5200~9400之间的概率p.解以X表示每毫升含白细胞数,由题设E(X)=μ=7300, D(X)=σ=700而概率p=P{5200<X<9400}=P{-2100<X-7300<2100}=P{X-7300<2100}.在切比雪夫不等式P{X-μ<ε}≥1-σ2ε2中,取ε=2100,此时1-σ2ε2=1-700221002=89,即知p=P{X-7300<2100}≥89.37.对于两个随机变量V,W,若E(V2),E(W2)存在,证明[E(V W)]2≤E(V2)E(W2).(A)这一不等式称为柯西施瓦茨(Cauchy‐Sch warz)不等式.证若E(V2)=0,则P{V=0}=1(因E(V2)=D(V)+(E(V))2=0,得D(V)=0且E(V)=0,由方差性质4°即得P{V=0}=1).由此P{V W=0}=1,因此,E(V W)=0,此时不等式(A)得证.同样对于E(W2)=0时,不等式(A)也成立.以下设E(V2)>0,E(W2)>0.考虑实变量t的函数:q(t)=E[(V+tW)2]=E(V2)+2tE(V W)+t2E(W2).因为对于任意t,E[(V+tW)2]≥0,E(W2)>0,故二次三项式q(t)的判别式:Δ=4[E(V W)]2-4E(V2)E(W2)≤0,即有[E(V W)]2≤E(V2)E(W2).38.中位数.对于任意随机变量X,满足以下两式P{X≤x}≥12, P{X≥x}≤12的x称为X的中位数,记为x12或M.它是反映集中位置的一个数字特征.中位数总是存在,但可以不唯一.画出X的分布函数F(x)的图.如果F(x)连续,那么x12是方程F(x)=12的解(如题4畅38图(1)),如果F(x)有跳跃点(见题4畅38图(2)),用垂直于横轴的线段联结后,得一连续曲线,它与直线y=12的交点的横坐标即为x12.由于交点可以不唯一,故可以有许多x12.题4畅38图(1)设X的概率密度为f(x)=2e-2x, x≥0,0, 其他.试求X的中位数M.(2)设X服从柯西分布,其概率密度为f(x)=bπ[(x-a)2+b2], b>0.试求X的中位数M.解 设F(x)为分布函数.(1)M应满足F(M)=12.即 12=F(M)=P{X≤M}=∫M02e-2x d x=-e-2x M0=1-e-2M,故 e-2M=12, e2M=2,得 M=12ln2.此即为所求的中位数.(2)由 12=F(M)=P{X≤M}=∫M-∞bπ[(x-a)2+b2]d x=1πarctan x-a b M-∞=1πarctan M-a b+12,得 M-a=0,即知中位数M=a.另外,易知X的概率密度函数f(x)的图形关于直线x=a是对称的.即知P{X≤a}=∫a-∞f(x)d x=12.故中位数为M=a.。
第四章随机变量的数字特征4.1 数学期望习题1设随机变量X服从参数为p的0-1分布,求E(X).解答:依题意,X的分布律为X01P1-p p由E(X)=∑i=1∞xipi,有E(X)=0⋅(1-p)+1⋅p=p.习题2袋中有n张卡片,记有号码1,2,…,n.现从中有放回抽出k张卡片来,求号码之和X的期望.分析:.解答:设Xi表示第i次取得的号码,则X=∑i=1kXi,且P{Xi=m}=1n,其中m=1,2,⋯,n,i=1,2,⋯,k,故E(Xi)=1n(1+2+⋯+n)=n+12,i=1,2,⋯,k,从而E(X)=∑i=1kE(Xi)=k(n+1)2.习题3某产品的次品率为0.1,检验员每天检验4次. 每次随机地抽取10件产品进行检验,如发现其中的次品数多于1,就去调整设备. 以X表示一天中调整设备的次数,试求E(X)(设诸产品是否为次品是相互独立的).解答:X的可能取值为0,1,2,3,4,且知X∼b(4,p),其中p=P{调整设备}=1-C101×0.1×0.99-0.910≈0.2639,所以E(X)=4×p=4×0.2639=1.0556.习题4据统计,一位60岁的健康(一般体检未发生病症)者,在5年之内仍然活着和自杀死亡的概率为p(0<p<1,p为已知),在5年之内非自杀死亡的概率为1-p,保险公司开办5年人寿保险,条件是参加者需交纳人寿保险费a元(a已知),若5年内非自杀死亡,公司赔偿b元(b>a),应如何确定b才能使公司可期望获益,若有m人参加保险,公司可期望从中收益多少?解答:令X=“从一个参保人身上所得的收益”,由X的概率分布为=-115.(3)E(Z)=E[(X-Y)2]=∑i∑j(xi-yj)2pij=(1-(-1))2×0.2+(1-0)2×0.1+(1-1)2×0.1+32×0.1+22×0.0+12×0.1+42×0.0+32×0.3+22×0.1=5.也可以利用期望的性质求E(Z),得E[(X-Y)2]=E(X2-2XY+Y2)=E(X2)-2E(XY)+E(Y2)=(12×0.4+22×0.2+32×0.4)-2[-1×0.2+1×0.1+(-2)×0.1+2×0.1+(-3)×0.0+3×0.1]+(-1)2×0.3+12×0.3=5.习题12设(X,Y)的概率密度为f(x,y)={12y2,0≤y≤x≤10,其它,求E(X),E(Y),E(XY),E(X2+Y2).解答:如右图所示.E(X)=∫-∞+∞∫-∞+∞xf(x,y)dxdy=∫01dx∫0xx⋅12y2dy=45,E(Y)=∫-∞+∞∫-∞+∞yf(x,y)dxdy=∫01dx∫0xy⋅12y2dy=35,E(XY)=∫-∞+∞∫-∞+∞xyf(x,y)dxdy=∫01dx∫0xxy⋅12y2dy=12,E(X2+Y2)=∫-∞+∞∫-∞+∞(x2+y2)f(x,y)dxdy=∫01dx∫0x(x2+y2)⋅12y2dy=23+615=1615.习题13设X和Y相互独立,概率密度分别为ϕ1(x)={2x,0≤x≤10,其它,ϕ2(y)={e-(y-5),y>50,其它,求E(XY).解答:解法一由独立性.E(XY)=E(X)⋅E(Y)=∫01x⋅2xdx∫0+∞ye-(y-5)dy=23×6=4.解法二令z=y-5,则E(XY)=E(X)⋅E(Y)=∫01x⋅2xdx⋅E(z+5)=23×(1+5)=4.4.2 方差习题1设随机变量X服从泊松分布,且P(X=1)=P(X=2),求E(X),D(X).解答:由题设知,X的分布律为P{X=k}=λkk!e-λ(λ>0)由P{X=1}=P{X=2},得λ11!e-λ=λ22!e-λ,即λ=0(舍去),λ=2.所以E(X)=2,D(X)=2.习题2下列命题中错误的是().(A)若X∼p(λ),则E(X)=D(X)=λ;(B)若X服从参数为λ的指数分布,则E(X)=D(X)=1λ;(C)若X∼b(1,θ),则E(X)=θ,D(X)=θ(1-θ);(D)若X服从区间[a,b]上的均匀分布,则E(X2)=a2+ab+b23.解答:应选(B).E(X)=1λ,D(X)=1λ2.习题3设X1,X2,⋯,Xn是相互独立的随机变量,且都服从正态分布N(μ,σ2)(σ>0),则ξ¯=1n∑i=1nξi服从的分布是¯.解答:由多维随机变量函数的分布知:有限个相互独立的正态随机变量的线性组合仍然服从正态分布,且E(X¯)=μ,D(X¯)=σ2n.习题4若Xi∼N(μi,σi2)(i=1,2,⋯,n),且X1,X2,⋯,Xn相互独立,则Y=∑i=1n(aiXi+bi)服从的分布是 .解答:应填N(∑i=1n(aiμi+bi),∑i=1nai2σi2).由多维随机变量函数的分布知:有限个相互独立的正态随机变量的线性组合仍然服从正态分布,且E(Y)=∑i=1n(aiμi+bi),D(Y)=∑i=1nai2σi2.习题5设随机变量X服从泊松分布,且3P{X=1}+2P{X=2}=4P{X=0},求X的期望与方差.解答:设X∼N(1,2),Y服从参数为3的(泊松)分布,且X与Y独立,求D(XY).解答:\becauseD(XY)=E(XY)2-E2(XY)=E(X2Y2)-E2(X)2(Y),又\becauseE(X2Y2)=∫-∞+∞∫-∞+∞x2y2f(x,y)dxdy=∫-∞+∞x2fX(x)dx∫-∞+∞y2fY(y)dy =E(X2)E(Y2),∴D(XY)=E(X2)E(Y2)-E2(X)E2(Y)=[D(X)+E2(X)][D(Y)+E2(Y)]-E2(X)E2(Y)=D(X)D(Y)+D(X)E2(Y)+D(Y)E2(X)=2×3+2×32+3×12=27.习题9设随机变量X1,X2,X3,X4相互独立,且有E(Xi)=i,D(Xi)=5-i,i=1,2,3,4,又设Y=2X1-X2+3X3-12X4,求E(Y),D(Y).解答:E(Y)=E(2X1-X2+3X3-12X4)=2E(X1)-E(X2)+3E(X3)-12E(X4)=2×1-2+3×3-12×4=7,D(Y)=4D(X1)+D(X2)+9D(X3)+14D(X4)=4×4+3+9×2+14×1=37.25.习题105家商店联营,它们每两周售出的某种农产品的数量(以kg计)分别为X1,X2,X3,X4,X5.已知X1∼N(200,225),X2∼N(240,240),X3∼N(180,225),X4∼N(260,265),X5∼N(320,270),X1,X2,X3,X4,X5相互独立.(1)求5家商店两周的总销售量的均值和方差;(2)商店每隔两周进货一次,为了使新的供货到达前商店不会脱销的概率大于0.99,问商店的仓库应至少储存该产品多少千克?解答:(1)设总销售量为X,由题设条件知X=X1+X2+X3+X4+X5,于是E(X)=∑i=15E(Xi)=200+240+180+260+320=1200,D(X)=∑i=15D(X i)=225+240+225+265+270=1225.(2)设商店的仓库应至少储存y千克该产品,为使P{X≤y}>0.99,求y.由(1)易知,X∼N(1200,1225),P{X≤y}=P{X-≤y-=Φ(y-)>0.99.查标准正态分布表得y-=2.33,y=2.33×1225+1200≈1282(kg).习题11设随机变量X1,X2,⋯,Xn相互独立,且都服从数学期望为1的指数分布,求Z=min{X1,X2,⋯,Xn}的数学期望和方差.解答:Xi(i=1,2,⋯,n)的分布函数为F(x)={1-e-x,x>00,其它,Z=min{X1,X2,⋯,Xn}的分布函数为FZ(z)=1-[1-F(z)]n={1-e-nz,z>00,其它,于是E(Z)=∫0∞zne-nzdz=-ze-nz∣0∞+e-nzdz=1n,而E(Z2)=∫0∞z2ne-nzdz=2n2,于是D(Z)=E(Z2)-(E(Z))2=1n2.4.3 协方差与相关系数习题1设(X,Y)服从二维正态分布,则下列条件中不是X,Y相互独立的充分必要条件是().(A)X,Y不相关;(B)E(XY)=E(X)E(Y);(C)cov(X,Y)=0;(D)E(X)=E(Y)=0.解答:应选(D)。
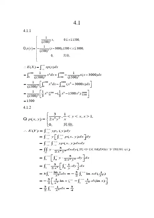
4.14.1.1()221,01500,(1500)1(3000),15003000,(1500)0,x x p x x x ⎧≤≤⎪⎪⎪=--<≤⎨⎪⎪⎪⎩其他. 1500300022201500150030002220150031500323000015002()()11(3000)(1500)(1500)1(3000)(1500)111|(1500)|(1500)331500E X xp x dxx dx x x dx x dx x x dx x x x +∞-∞∴==+--⎡⎤=--⎢⎥⎣⎦⎡⎤=--⎢⎥⎣⎦=⎰⎰⎰⎰⎰4.1.23231,,1,2(,)0,.y x x x y x p x y ⎧<<>⎪=⎨⎪⎩其他1132321313211122()()(,)(,)3()232312ln 313ln ()2311ln |(l 2x x Y Dx x E Y yp y dyy p x y dx dy yp x y dxdyy dxdy D x y y dy dx x y dy dx x y x dx xd x x x d x x +∞-∞+∞+∞-∞-∞+∞+∞-∞-∞+∞+∞+∞+∞+∞∴=⎡⎤=⎢⎥⎣⎦==⋅⎡⎤=⋅⎢⎥⎣⎦⎡⎤=⎢⎥⎣⎦==-=--⎰⎰⎰⎰⎰⎰⎰⎰⎰⎰⎰⎰⎰其中区域如下图所示131n )31324x dx x +∞+∞⎡⎤⎢⎥⎣⎦==⎰⎰132431242162151111()(,)1323112311()4311()431()|45343()455x Dx E p x y dxdy XYxy dxdy xy x y dy dx x y x dxx x dx x x x x +∞+∞-∞-∞+∞+∞+∞--+∞=∂=⋅⎡⎤=⎢⎥⎣⎦=--=--=--+=-⨯-=⎰⎰⎰⎰⎰⎰⎰⎰4.1.3()10.4+20.230.42E X ∴=⨯⨯+⨯= ()10.300.410.30E Y =-⨯+⨯+⨯=(2)由(X,Y )的联合分布列得YZ=的分布列为 ()10.1()0.110.10.10.122315E Z ∴=-⨯+-⨯+⨯+⨯+⨯=-(3)由(X,Y )的联合分布列得2()Z X Y =-的分布列为()00.110.240.390.45E Z ∴=⨯+⨯+⨯+⨯=4.1.421200140()()(,)(,)12()=43445X DxE X xp x dxx p x y dy dx xp x y dxdyxy dxdy D x y dy dxx dx +∞-∞+∞+∞-∞-∞+∞+∞-∞-∞=⎡⎤=⎢⎥⎣⎦==⎡⎤⎢⎥⎣⎦==⎰⎰⎰⎰⎰⎰⎰⎰⎰⎰其中区域如下图所示31300140()(,)12()34335DxE Y yp x y dxdyy dxdy D y dy dxx dx +∞+∞-∞-∞==⎡⎤=⎢⎥⎣⎦==⎰⎰⎰⎰⎰⎰⎰其中区域如上图所示31300150()(,)12()34132DxE XY xyp x y dxdyxy dxdy D x y dy dxx dx +∞+∞-∞-∞==⎡⎤=⎢⎥⎣⎦==⎰⎰⎰⎰⎰⎰⎰其中区域如上图所示2222222224112240000115500()()(,)()12()12124312124522163515DDDx xE X Y x y p x y dxdyx y y dxdy D x y dxdy y dxdyx y dy dx y dy dxx dx x dx +∞+∞-∞-∞+=+=+=+⎡⎤⎡⎤=+⎢⎥⎢⎥⎣⎦⎣⎦=+=+=⎰⎰⎰⎰⎰⎰⎰⎰⎰⎰⎰⎰⎰⎰其中区域如上图所示4.1.510101201323()1500{1500}2000{2000}2500{2500}3000{3000}1500{1}2000{12}2500{23}3000{3}11150020001010112500300010101500(x xx xE Y P Y P Y P Y P Y P X P X P X P X e dx e dxe dx e dx--+∞--=⋅=+⋅=+⋅=+⋅==⋅≤+⋅<≤+⋅<≤+⋅>=⋅+⋅+⋅+⋅=⋅⎰⎰⎰⎰3311111010551010311105101)2000()2500()30001500500()ee e eeeeee----------+⋅-+⋅-+⋅=+++4.1.6(1) 11202022002020()()2()|11|22X x x x x x x E X xp x dx xe dx xd e xe e dx e dxe +∞-∞+∞-+∞-+∞-+∞-+∞--+∞===-⎡⎤=--⎢⎥⎣⎦==-=⎰⎰⎰⎰⎰224040440040()()4()|14X x x x x x E X xp x dx xe dx xd e xe e dx e dx +∞-∞+∞-+∞-+∞-+∞-+∞-===-⎡⎤=--⎢⎥⎣⎦==⎰⎰⎰⎰⎰1212113()()()244E X X E X E X ∴+=+=+= 22222402402442004040()()4()|()2142111248X x x x x x xE X x p x dxx e dxx d e x e e d x xe dxxe dx +∞-∞+∞-+∞-+∞-+∞-+∞-+∞-===-⎡⎤=--⎢⎥⎣⎦===⨯=⎰⎰⎰⎰⎰⎰ 221212(23)2()3()11523288E X X E X E X ∴-=-=⨯-⨯=(2) 1X 与2X 独立1212111()()()248E X X E X E X ∴==⨯=4.1.7(1)X 的所有可能取值为1,2,3,,.n设i A 表示事件“第i 次试开时打开了锁”(1,2,3,,i n = ) 则1121211231213121{1}()111{2}()()(|)1{3}()()(|)(|)1211121{}P X P A nn P X P A A P A P A A n n nP X P A A A P A P A A P A A A n n n n n n P X n n===-===⋅=⋅=-===⋅⋅--=⋅⋅=--==1111()1231(123)1(1)122E X n n n n n n nn n n n ∴=⋅+⋅+⋅++⋅=++++++=⋅= (2)由题意知X 取1到n 每个数字的机会是均等的,由数学期望的含义知,X 取值的平均位量为12n +,即1()2n E X +=. 4.1.8设X 表示一周内机器发生故障的次数,则~(5,0.2)X B . 设Y 表示获取的利润,由题意知:0=101=52=03=-2X Y X Y X Y X Y ===≥时,时,时,时,514332445555()10{10}5{5}0{0}-2{-2}=10{0}5{1}(2){3}10(0.8)50.2(0.8)(2)(0.20.80.20.80.2)5.20896E Y P Y P Y P Y P Y P X P X P X C C C ∴=⋅=+⋅=+⋅=+⋅=⋅=+⋅=+-⋅≥=⋅+⋅⋅⋅+-⋅++≈()4.24.2.1~(,)() 2.4()(1) 1.44X B n p E X np D X np p ∴===-= 以上两式联立解得6,0.4n p ==4.2.2222222222222222202200202202()()()|22x x x x x x t t t t E X xp x dx xx e dx xd exe e dx edxe dtdt dt σσσσσσσ+∞-∞-+∞-+∞--+∞+∞-+∞=+∞-+∞-+∞--∞==⋅=-⎡⎤=--⎢⎥⎢⎥⎣⎦======⎰⎰⎰⎰⎰⎰⎰⎰令又222222222222222202222002202220()()()|()()2|2x x x x x x E X x p x dx xx e dxx d ex e e d x ed x eσσσσσσσσσ+∞-∞-+∞-+∞--+∞+∞-+∞-+∞==⋅=-⎡⎤=--⎢⎥⎢⎥⎣⎦==-=⎰⎰⎰⎰⎰222224()()[()]2)2D XE X E X πσσ-∴=-=-=4.2.31111()(1)(1)k k k k E X k p p p k p ∞∞--===⋅-=-∑∑设111()k k S x kx∞-==∑,则'11()()k k S x x∞==∑当1x <时,11k k x x x∞==-∑ ∴当1x <时,'121()()1(1)x S x x x ==-- 01011p p <<∴<-<∴令1x P =-则11211(1)(1)k k S p k p p∞-=-=-=∑ 12221211111()(1)()(1)(1)k k k k E X p S p p p pE X k p p p k p ∞∞--==∴=⋅-=⋅==-=-∑∑又设21'211()()k k k k S x kxkx ∞∞-====∑∑设13111()()kk k k S x kxx kx xS x ∞∞-=====∑∑又12()(1)xS x x =-(当1x <时) []''23231()()(1)(1)x xS x S x x x ⎡⎤+∴===⎢⎥--⎣⎦令1x p =-则232(1)p S p p--=()2222(1)pE X p S p p -∴=⋅-=[]22222211()()()p pD XE X E X p p p--∴=-=-= 4.2.4~(0,2)X U 1()1,()3E X D X ∴==而2(10)10A X X X X =-=-[]222()(10)10()()10()()()1261018.6733E A E X X E X E X E X D X E X ∴=-=-=--=--=≈[]()22222222202432202()()()26(10)()3126(10)()2312620100()23164002640()53321.42D AE A E A E X X x x dx x x x dx =-⎡⎤=--⎣⎦=-⋅-=-+-=-+-≈⎰⎰ 4.2.5(1)1234,,,X X X X 相互独立,12341232Y X X X X =-+-123412341()(23)212()()3()()2121233427E Y E X X X X E X E X E X E X ∴=-+-=-+-=⨯-+⨯-⨯= 123412341()(23)214()()9()()414(51)(52)9(53)(54)437.25D Y D X X X X D X D X D X D X =-+-=+++=⨯-+-+⨯-+⨯-= (2) 2~(720,30)X N ,2~(640,25)Y N22()720,()30,()640,()25E X D X E Y D Y ∴====又122,Z X Y Z X Y =+=-∴12,Z Z 也服从正态分布且1()(2)2()()2080E Z E X Y E X E Y =+=+=2()()()()80E Z E X Y E X E Y =-=-=21()(2)4()()65D Z D X Y D X D Y =+=+= 2()()()()1525D Z D X Y D X D Y =-=+=212~(2080,65),~(80,1525)Z N Z N ∴222{}{0}{0}1{0}1(0)10.9798Z P X Y P X Y P Z P Z F >=->=>=-≤=-=-Φ=Φ≈令3Z X Y =+则3()()()()7206401360E Z E X Y E X E Y =+=+=+=223()()()()30251525D Z D X Y D X D Y =+=+=+= 3~(1360,1525)Z N ∴333{1400}{1400}1{1400}1(1400)110.1539Z P X Y P Z P Z F ∴+>=>=-≤=-=-Φ=-Φ≈4.2.6(),X Y 的联合密度函数2,(,),(,)0,x y D p x y ∈⎧=⎨⎩其他.其中D 如下图所示.()()()()()222222()22()2()4D D D D D X Y E X Y E X Y x y dxdy x y dxdy D x y dxdy x y dxdy ⎡⎤+=+-+⎡⎤⎣⎦⎣⎦⎡⎤=+⋅-+⋅⎢⎥⎣⎦⎡⎤=+-+⎢⎥⎣⎦⎰⎰⎰⎰⎰⎰⎰⎰ 其中区域如上图所示 又()()()222112201123022112(1)331112DD x x y dxdy x xy y dxdy x xy y dy dxx x dx -+=++⎡⎤=++⎢⎥⎣⎦⎡⎤=++-⎢⎥⎣⎦=⎰⎰⎰⎰⎰⎰⎰()()1101121101201()|21()223x Dx x y dxdy x y dy dx xy y dx x x dx --⎡⎤+=+⎢⎥⎣⎦⎡⎤=+⎢⎥⎣⎦=+=⎰⎰⎰⎰⎰⎰211211161()24()1236918D X Y ∴+=⋅-⋅=-= 4.2.7(1)由题意知:1234512345()200,()240,()180,()260,()320;()225,()240,()225,()265,()270E X E X E X E X E X D X D X D X D X D X ==========5511()()1200i i i i E X E X ==∴==∑∑又125,,,X X X 相互独立5511()()1225i i i i D X D X ==∴==∑∑.(2)设至少储存x 千克产品. 由(1)知51~(1200,1225)ii XN =∑511200{}()0.9935i i x P X x =-∴<=Φ=Φ>∑12002.3335x -∴> 1281.55x ∴>,即1282x ≥∴商店的仓库应至少储存1282千克该产品.4.34.3.1由(),X Y 的分布列知X,Y ,XY 的分布列分别为()0,()0,()0E X E Y E XY ∴===(,)()()()0Cov X Y E XY E X E Y ∴=-= 即X 和Y 不相关.又1{1,1}8P X Y =-=-=,而9{1}{1}64P X P Y =-⋅=-= {1,1}{1}{1}P X Y P X P Y ∴=-=-≠=-⋅=-∴X 和Y 不是相互独立的.4.3.2由题意知X,Y 的分布列分别为()()E X P A ∴=,()()E Y P B =又即(){1}{1,1}()E XY P XY P X Y P AB ======、0,(,)0XY Cov X Y ρ==即 ()()()()()E XY E X E Y P A P B ==()()()P AB P A P B ∴=∴A,B 独立.,,A B A B A B ∴与与与也独立.()()(){11}{1}{1}()()(){10}{1}{0}()()(){01}{0}{1}()()(){00}{0}{0}P AB P A P B P X Y P X P Y P AB P A P B P X Y P X P Y P AB P A P B P X Y P X P Y P AB P A P B P X Y P X P Y ∴=====⋅======⋅======⋅======⋅=即,即,即,即,∴X,Y 独立.4.3.322002220()(,)()()1()81(22)81()476DE X xp x y dxdyx x y dxdy D x x y dy dx x x dx x x dx +∞+∞-∞-∞==+⎡⎤=+⎢⎥⎣⎦=+=+=⎰⎰⎰⎰⎰⎰⎰⎰其中区域如上图所示同理7()6E Y =又22200220()(,)()()1()814()4343DE XY xyp x y dxdyxy x y dxdy D x xy y dy dx x x dx +∞+∞-∞-∞==+⎡⎤=+⎢⎥⎣⎦=+=⎰⎰⎰⎰⎰⎰⎰其中区域如上图所示2471(,)()()()()3636Cov X Y E XY E X E Y ∴=-=-=- 而222222002202320()(,)()()1()81(22)81()453DE X x p x y dxdyx x y dxdy D x x y dy dxx x dx x x dx +∞+∞-∞-∞==+⎡⎤=+⎢⎥⎣⎦=+=+=⎰⎰⎰⎰⎰⎰⎰⎰其中区域如上图所示同理25()3E Y =[][]2222225711()()()()36365711()()()()3636D XE X E X D Y E Y E Y ∴=-=-==-=-=1111XY ρ-∴===-()()()2cov(,)111112()36363659D X Y D X D Y X Y +=++=++⋅-= 4.3.4222~(,),~(,)()()X N Y N D X D Y μσμσσ∴==[][][]{}[]{}12121222222222222222222222222(,)()()()()()()()()()()()()()()()()()Cov Z Z E Z Z E Z E Z E X Y E X Y E X Y E X E Y E X E Y E XE X E Y E Y D X D Y αβαβαβαβαβαβαβαβσ∴=-=--+⋅-=--+=---=-=-X,Y 独立 ∴,X Y αβ也独立222221222222()()()()()()()()()()D Z D X Y D X D Y D Z D X Y D X D Y αβαβαβσαβαβαβσ∴=+=+=+=-=+=+122222222Z Z αβραβ-∴===+ 4.3.5 (1)[]22()0,()4()()()4E X D X E X D X E X ==∴=+=同理:由()0,()16E Y D Y ==知2()16E Y = 又0.5XY ρ=-()cov(,)()()cov(,)(0.5)244XY E XY X Y E X E Y X Y ρ∴=+===-⋅⋅=-2222222222()[(3)](69)()6()9()4241444(636)4(3)108E W E aX Y E a X aXY Y a E X aE XY E Y a a a a a ∴=+=++=++=-+=-+=-+∴3a =时,()E W 最小,此时()E W =108.(2)证: (,)X Y 服从二维正态分布,X Y ∴均服从正态分布又,W X aY V X aY =-=+,W V ∴也服从正态分布∴当0WV ρ=时,,W V 独立又WV ρ=∴当(,)0Cov W V =时,,W V 独立而[][]2222222222222(,)()()()()()()()()()()()()X YCov W V E WV E W E V E X a Y E X aY E X aY E X a E Y E X a E Y D X a D Y a σσ=-=---⋅+=--+=-=- ∴当2220XYa σσ-=即222XYa σσ=时,,W V 独立.。
概率论与数理统计第四版第四章《概率论与数理统计(第四版)》是2008年高等教育出版社出版的图书,作者是盛骤、谢式千、潘承毅。
《概率论与数理统计》是普通高等教育“十一五”国家级规划教材,在2001年出版的《概率论与数理统计》(第三版)的基础上增订而成。
本次修订新增的内容有:在数理统计中应用Excel,bootstrap方法,户值检验法,箱线图等;同时吸收了国内外优秀教材的优点对习题的类型和数量进行了调整和充实。
《概率论与数理统计》是普通高等教育“十一五”国家级规划教材,在2001年出版的《概率论与数理统计》(第三版)的基础上增订而成。
本次修订新增的内容有:在数理统计中应用Excel,bootstrap方法,户值检验法,箱线图等;同时吸收了国内外优秀教材的优点对习题的类型和数量进行了调整和充实。
《概率论与数理统计》主要内容包括概率论、数理统计、随机过程三部分,每章附有习题;同时涵盖了《全国硕士研究生入学统一考试数学考试大纲》的所有知识点。
《概率论与数理统计》可作为高等学校工科、理科(非数学专业)各专业的教材和研究生入学考试的参考书,也可供工程技术人员、科技工作者参考。
第四章:通过数学特征可以快速把握和理解随机变量,而不像看到复杂的分布函数那样一脸茫然。
一、数学期望E(x)数学期望表示随机变量取值的集中程度,是类似平均值的一个量,它是唯一的,因为对一个随机试验,当样本空间确定后,随机事件的概率也确定了,由概率的唯一性可得到期望的唯一性。
但是你做一系列试验,得到某随机变量的平均值可能与理论上的E(X)不同,为什么?因为你做的具体试验是用频率来代替的概率,是用频率加权平均值来代替的概率加权平均。
所以我们在实际中得到的平均值都是统计意义上的均值。
数学期望在实际中的应用非常多,它可以进行投资决策,用期望来判断哪个方案的获利期望大;它可以用来进行分组优化,比如可以优化抽检方案,判断哪种方案所需资源最少。
总之这些应用都要计算理论上的平均值,用数据来支撑我们的决策,而不是一时的赌博!二、方差D(X)方差代表着随机变量取值的离散程度,当两个随机变量的数学期望相同时,再进一步的对比就要使用方差了,比如血压的比较,投资方案的选取,是要稳健型,还是要激进型?比如仪器的比较,测量数据稳定了好。
第四章2.[二] 某产品的次品率为0.1,检验员每天检验4次。
每次随机地抽取10件产品进行检验,如果发现其中的次品数多于1,就去调整设备,以X 表示一天中调整设备的次数,试求E (X)。
(设诸产品是否是次品是相互独立的。
)解:设表示一次抽检的10件产品的次品数为ξP =P (调整设备)=P (ξ>1)=1-P (ξ≤1)= 1-[P (ξ=0)+ P (ξ=1)]查二项分布表1-0.7361=0.2639.因此X 表示一天调整设备的次数时X ~B (4, 0.2639). P (X =0)=÷÷øöççèæ04×0.26390×0.73614 =0.2936.P (X =1)=÷÷øöççèæ14×0.26391×0.73613=0.4210, P (X =2)= ÷÷øöççèæ24×0.26392×0.73612=0.2264. P (X =3)=÷÷øöççèæ34×0.26393×0.7361=0.0541, P (X =4)= ÷÷øöççèæ44×0.2639×0.2639×0.73610.73610=0.0049.从而从而E (X )=np =4×=4×0.2639=1.0556 0.2639=1.05563.[三] 有3只球,4只盒子,盒子的编号为1,2,3,4,将球逐个独立地,随机地放入4只盒子中去。
概率论:概率论,是研究随机现象数量规律的数学分支。
随机现象是相对于决定性现象而言的,在一定条件下必然发生某一结果的现象称为决定性现象。
例如在标准大气压下,纯水加热到100℃时水必然会沸腾等。
随机现象则是指在基本条件不变的情况下,每一次试验或观察前,不能肯定会出现哪种结果,呈现出偶然性。
例如,掷一硬币,可能出现正面或反面。
随机现象的实现和对它的观察称为随机试验。
随机试验的每一可能结果称为一个基本事件,一个或一组基本事件统称随机事件,或简称事件。
典型的随机试验有掷骰子、扔硬币、抽扑克牌以及轮盘游戏等。
事件的概率是衡量该事件发生的可能性的量度。
虽然在一次随机试验中某个事件的发生是带有偶然性的,但那些可在相同条件下大量重复的随机试验却往往呈现出明显的数量规律。
概率论与数理统计(第四版):《概率论与数理统计(第四版)》是由盛骤、谢式千、潘承毅编,高等教育出版社于2008年出版的普通高等教育“十一五”国家级规划教材。
该书可作为高等学校工科、理科(非数学专业)各专业的教材和研究生入学考试的参考书,也可供工程技术人员、科技工作者参考。
全书共十四章,内容包括概率论、数理统计、随机过程三部分,涵盖了《全国硕士研究生入学统一考试数学考试大纲》的所有知识点。
成书过程:《概率论与数理统计(第四版)》在第三版的基础上增订而成,修订新增的有关在数理统计中应用Excel软件的内容由浙江大学于渤教授编写,由浙江大学范大茵教授审阅。
修订时吸收了其他教材优点,对习题的类型和数量进行了修订。
2006年8月,该书入选教育部普通高等教育“十一五”国家级规划教材;2008年6月,由高等教育出版社出版。
内容简介:《概率论与数理统计(第四版)》主要内容包括概率论、数理统计、随机过程三部分,每章附有习题;同时涵盖了《全国硕士研究生入学统一考试数学考试大纲》的所有知识点;新增了在数理统计中应用Excel、bootstrap方法、[WTBX]p[WTBZ]值检验法、箱线图等内容。
概率论与数理统计(第四版)(2008年高等教育出版社出版书籍):
《概率论与数理统计(第四版)》是由盛骤、谢式千、潘承毅编,高等教育出版社于2008年出版的普通高等教育“十一五”国家级规划教材。
该书可作为高等学校工科、理科(非数学专业)各专业的教材和研究生入学考试的参考书,也可供工程技术人员、科技工作者参考。
全书共十四章,内容包括概率论、数理统计、随机过程三部分,涵盖了《全国硕士研究生入学统一考试数学考试大纲》的所有知识点。
成书过程:
修订过程
《概率论与数理统计(第四版)》在第三版的基础上增订而成,修订新增的有关在数理统计中应用Excel软件的内容由浙江大学于渤教授编写,由浙江大学范大茵教授审阅。
修订时吸收了其他教材优点,对习题的类型和数量进行了修订。
2006年8月,该书入选教育部普通高等教育“十一五”国家级规划教材;2008年6月,由高等教育出版社出版。
内容简介:
《概率论与数理统计(第四版)》主要内容包括概率论、数理统计、随机过程三部分,每章附有习题;同时涵盖了《全国硕士研究生入学统一考试数学考试大纲》的所有知识点;新增了在数
理统计中应用Excel、bootstrap方法、[WTBX]p[WTBZ]值检验法、箱线图等内容。
第四章随机变量的数字特征
数学期望
方差
协方差及相关系数
矩、协方差矩阵。