高频电子线路课后题
- 格式:doc
- 大小:960.50 KB
- 文档页数:14
⾼频电⼦线路1-7课后习题第⼀章思考题1.通信系统基本组成框图及各部分作⽤?1.信号源:在实际的通信电⼦线路中传输的是各种电信号,为此,就需要将各种形式的信息转变成电信号。
2.发送设备:将基带信号变换成适合信道传输特性的信号。
3.传输信道:信号从发送到接收中间要经过传输信道,⼜称传输媒质。
不同的传输信道有不同的传输特性。
(有线信道,⽆线信道)4.收信装置:收信装置是指接收设备输出的电信号变换成原来形式的信号的装置。
(还原声⾳的喇叭,恢复图象的显像管)5.接收设备:接收传送过来的信号,并进⾏处理,以恢复发送端的基带信号。
2.为什么⽆线电传播要⽤⾼频?(⽆线电通信为什么要进⾏调制?)低频信号传输时对发射天线的要求较⾼,不易实现。
同时对于相同频率的信号,发射时如果没有⽤⾼频调制的话,也⽆法接收和区分信号。
通过⾼频调制,可以实现以下⼏⽅⾯⽬的:A.便于进⾏⽆线传播,具体可从传播距离,抗⼲扰,⽆线信道特性等⽅⾯⼊⼿深⼊.B.便于进⾏频分复⽤,区分不同的业务类型或⽤户,即FDMA.C.从天线的⾓度出发,天线的尺⼨与发射频率的波长正相关.3.⽆线电发射机和超外差式接收机框图及各⾼频单元电路的作⽤?画出波形。
调制:将原始信号“装载”到⾼频振荡中的⽅法有好⼏种,如调频、调幅、调相等。
电视中图象是调幅,伴⾳是调频。
⼴播电台中常⽤的⽅法是调幅与调频1、⾼频放⼤:接收到有⼲扰的⾼频⼩信号,将该信号进⾏初步选择放⼤,并抑制其他⽆⽤信号。
2、混频器:将收到的不同载波频率转为固定的中频。
3、中频放⼤:主选择放⼤,具有较强的增益和滤波功能。
第三章习题讲解1、并联谐振回路外加信号频率等于回路谐振频率时回路呈( C )(A)感性(B)容性(C)阻性(D)容性或感性3、LC回路串联谐振时,回路阻抗最⼩,且为纯电阻。
4、LC回路并联谐振时,回路电阻最⼤,且为纯电阻。
5、LC回路的品质因数Q值愈⼩,其选频能⼒愈强。
(错)答:以串联震荡回路的品质因数为例:Q值不同即损耗R不同时,对曲线有很⼤影响,Q值⼤曲线尖锐,选择性好,Q值⼩曲线钝,选择性差。
第二章选频网络注意:①有部分答案有差异;②3-1题是2-1题;③只有计算题答案和部分问答题;④答案不齐全。
(pF)).(L C H)(.QR L ΩR Δf f Q (kHz)Δf MHz:f ..159101*********11591014321010010100101010121010990101211362620603670036700=××××===×××====××===×−×==−−ωµω, .C L ωC L ) (, .C L ωC L ) ( , .C L ωC L ) :(22021101220211012202110111311211123======−ωωωR R C L R )LCωL(jωR )LC ωLR(jωC L R C jωR L jωR )C jωL)(R jω(R :Z =+=−+−++=+++++=−2112111133220020020000)()()()()())()()()())318010404501053514321121535100160512405354501605151431223202222μH .C C LpF - C C CpFC C C:=×+××××=′+==+=×+=+=×+−−ω。
L C C ’()()()()mV V Q V V mA .R V I μH ..C L ..R C :Q -Sm Com Lom -om om --21210121220510111210100105114321121251010010511432115330312260200126000=××====×===××××===××××××==−ωω()()()()()()Ωj ..j .C j R Z Ω.....Q L Q L R pF C pF .L C C C C .V V Q μH .C :L X X X X X X X S C 7967471020010143217471747100102531014321052102531014322001001025310143211100101025310100101432116312606666000626200122620−=××××−=−==××××−××××=−==→=××××==+⋅====××××==−−−−−−ωωωωω()()().21kΩ0.5R,R , 0.5Q Q , f 22f 2Δ320105105552310023100101501052220105010514321173000.70.7660036700012620电阻所以应并上=′=′∆×=′=××−××===××===×××××==−−.f Δf Q ξΔf f Q μH ..C ω :L .∑===−g QCωΔf f C πf C πΔf :..070007022483()()()()()()()()MHz ...Q f Δf .....L ωR Q kΩ..R C C C C R R R kΩ..C LQ R MHz ....LC πf pF .C C C C C C C :C L .L P i P i 4812281064122281080106411432108858855202020209201092010202010801006411031810801432121318202020202020593607066302211021261201260102102=×===××××××===×⎠⎞⎜⎝⎛++=⎟⎟⎠⎞⎜⎜⎝⎛++==×+××===××××===++++=++++=−−∑∑−−−−)))RZ 30Z 20Z 1123f1f1f1===−解:)()()()())()()()()()()))())()()()()()()Ω.j .j ..Z M Z j ..j C L j R Z pF .L C kHz .R ρf Q f Δf .R R L Q kΩC R R L Z Ω..R M Z μH ..ηR M pF .L C C μH .ρL L :f .f f f P 8437680100201018310143210020101771014321101591014322011771015910950143211522810201022224252020101591014323251015920201015920201018310143221831014322011591015910143211159101432101133266222011126662*********2322022361100706611101112611112662201160116261201216301121−=+××××==+=⎟⎠⎞⎜⎝⎛××××−××××+=⎟⎟⎠⎞⎜⎜⎝⎛′−+==×××××=′=′=××====+××××=+==××+×=+==××××===×××===××××====××===−−−−−−−−−−ωωωωωωωωω()100101410222002010159105010159153367.00111236=×=∆==→=∴=Ω=××××==−−−f f Q M R R C R L R f P ∵解:)()()()()()()()))013.02001122211222005101001032510102402051010010205101011632207.067101671012671120126722011=×−×+=⋅−+=∆=××===×==Ω=+××=+=Ω=×==−−−−−Q f f R L Q R M k R RL R R M R :f ab f ηηωωηωω5.75.22303021103001010112118.111020*********.325.22115.2225.111030010101121117323320012302332=−=′−=→=⎟⎟⎠⎞⎜⎜⎝⎛××+=⎟⎟⎠⎞⎜⎜⎝⎛∆+==××××××===′→=⎟⎟⎠⎞⎜⎜⎝⎛××′+=⎟⎟⎠⎞⎜⎜⎝⎛∆′+=−−Q Q Q Q f f Q I I C Q R Q Q f f Q I I :ω()⎩⎨⎧==→⎪⎪⎩⎪⎪⎨⎧+==−μL μH L CL L ω C L ω :12537511218321212第三章高频小信号放大器5102501050501501 ,5012.1102501020501501 ,20491025010501501 ,154266200266200266200=⎟⎟⎠⎞⎜⎜⎝⎛×××+=⎟⎟⎠⎞⎜⎜⎝⎛+===⎟⎟⎠⎞⎜⎜⎝⎛×××+=⎟⎟⎠⎞⎜⎜⎝⎛+===⎟⎟⎠⎞⎜⎜⎝⎛××+=⎟⎟⎠⎞⎜⎜⎝⎛+==−TT T f f ββMHz f f f ββMHz f f f ββMHz f βββ当当解:当()()()()()()()()()()()()()()()()()()()()mS j .j .j b a jb a g r C j b a jb a C j g g r C j g y mS j .j b a jb a g y mS j .j .j b a jb a C j g y mS .j ..j .j b a jb a C j g y ..r ωC b .g r a pF ..πf g C mS ..r βg mS .βI g m b b c b c b c b m b b c b ce oe m fe c b c b re e b e b ieb b e b e b b b T m eb eb m E e b 68.0049.01011.01107.377011031014321733.3327.371011.01107.37187.00187.01011.0110310143241189501011.01102410143210754.010701024101432110754070112410250143210737273710754050754015026112674223127222222322221272222127322127363300+=⎟⎠⎞⎜⎝⎛+−×××+××××≈⎟⎠⎞⎜⎝⎛+−+≈+−+++=−=+−××=+−=−−=+−×××××−≈+−+−=+=+−×××××+×=+−+=≈×××××==≈××+=+==××××===××===+×=+=−−−′′′′′′−−′′−−′′−′′−′′−′−′′ωωωωω解:()()()()4124142701010042104010041704070121101241104221104210124212422124284−−=⎟⎟⎠⎞⎜⎜⎝⎛−⎟⎟⎠⎞⎜⎜⎝⎛−==⋅⎟⎟⎠⎞⎜⎜⎝⎛−==⎟⎟⎠⎞⎜⎜⎝⎛+=⎟⎟⎠⎞⎜⎜⎝⎛⋅⎟⎟⎠⎞⎜⎜⎝⎛−==⎟⎟⎠⎞⎜⎜⎝⎛+=⎠⎞⎜⎜⎝⎛−m mm m ...r m .m.m vo v m .m.mvo v Δf Δf K Q f Δf f ΔfQ A A Q f Δf f Δf Q A A 故得令得解:令()()()()()()()()()1103101045952110830081020010286021830082501020025010237952258854tan 2tan 431100316116570316107102316104107102105228113151********5228104525025052281028604110200411023723710410010710211250205250205943326662262621222206070666022632162626222166001345213231>>××+×+×××=+′++=××+×=+=′−=−−=+==⎟⎠⎞⎜⎝⎛−=⎟⎟⎠⎞⎜⎜⎝⎛−==×===××××××======××××===××+××+×=++==×××××========−−−−−−−−−−−−−−−−−∑−...y y ξg g g g S μS ....p g p g g ..ξ..Q Q K MH ...Q f Δf ..π.L ωg Q ..A A ....g y p p A μS ..g p g p g g μS ..πL Q ωg .N N p .N N p refe L oe ie s ie p L oo re fe L Z L .ΣL vo po Σfe vo ie oe p p ϕϕ解:()()()()()()()()()()()()()()()()()()()()7221698266804238225025668042479479610444454782122259044546104422610441222565197445412212243822502578213445410158010410710143222782115802438303015801503008203010037010370104107101432100111104444447070707041707041704147044436260070222122222156600..-.A A ..A A ....f ΔΔf A A kHz ...Δf f ΔkHz .Δf f ΔkHz ..Δf Δf ..A A kHz ....f Lg ωΔf .....g y p p A mS .......g p g p R g g mS ...L ωQ g vo vo vo vo ..vo vo ......vo vo .fe vo ie oe p p ==′−==′=′=×=′=′=−=−′=−=′=×−=⋅−=====×××××××===+××===×+×++=+++==××××××==−−−∑∑∑−解:()()()()不能满足解:9.1K 522106250110511432121625011830500114r0.1122620221<=×××××===×+=+=−−∑∑μH ....C πf L pF ..C p C C oe ()74.73.05.24.364.265.2144220=×+==−refeS vo C y A ω解:()()()()()()()163910601046522260104910100410465274104921040574513114910010100010465210620574513491001010001046521020100440574513100010044100012051373118607311873118118101000104652111741030706123121206321123320202236123601012222236112563423612231201.K kH .Q f Δf πg C ωQ ..g y p p A μS π...Q C ωg p g μS πQ C ωg g pF ..C p C C pF C C C .L L L L μH πC ωL .r Z L .L fe vo i o i o ==××===×××××===×××××===∴=××××+××⎟⎠⎞⎜⎝⎛=+==××××+×=+==×⎟⎠⎞⎜⎝⎛+=+==+=+==×+×+=++==××××==−−−−−−−−−−,则。
高频电子线路习题集第一章 绪论1-1 画出无线通信收发信机的原理框图,并说出各部分的功用。
答:上图是一个语音无线电广播通信系统的基本组成框图,它由发射部分、接收部分以及无线信道三大部分组成。
发射部分由话筒、音频放大器、调制器、变频器(不一定必须)、功率放大器和发射天线组成。
低频音频信号经放大后,首先进行调制后变成一个高频已调波,然后可通过变频,达到所需的发射频率,经高频功率放大后,由天线发射出去。
接收设备由接收天线、高频小信号放大器、混频器、中频放大器、解调器、音频放大器、扬声器等组成。
由天线接收来的信号,经放大后,再经过混频器,变成一中频已调波,然后检波,恢复出原来的信息,经低频功放放大后,驱动扬声器。
话筒扬声器1-2 无线通信为什么要用高频信号?“高频”信号指的是什么?答:高频信号指的是适合天线发射、传播和接收的射频信号。
采用高频信号的原因主要是:(1)频率越高,可利用的频带宽度就越宽,信道容量就越大,而且可以减小或避免频道间的干扰;(2)高频信号更适合电线辐射和接收,因为只有天线尺寸大小可以与信号波长相比拟时,才有较高的辐射效率和接收效率,这样,可以采用较小的信号功率,传播较远的距离,也可获得较高的接收灵敏度。
1-3无线通信为什么要进行凋制?如何进行调制?答:因为基带调制信号都是频率比较低的信号,为了达到较高的发射效率和接收效率,减小天线的尺寸,可以通过调制,把调制信号的频谱搬移到高频载波附近;另外,由于调制后的信号是高频信号,所以也提高了信道利用率,实现了信道复用。
调制方式有模拟调调制和数字调制。
在模拟调制中,用调制信号去控制高频载波的某个参数。
在调幅方式中,AM普通调幅、抑制载波的双边带调幅(DSB)、单边带调幅(SSB)、残留单边带调幅(VSSB);在调频方式中,有调频(FM)和调相(PM)。
在数字调制中,一般有频率键控(FSK)、幅度键控(ASK)、相位键控(PSK)等调制方法。
绪论思考题1.无线通信系统由哪几部分组成,各部分起什么作用?答:无线通信系统由发射设备、传输媒质和接收设备构成,其中发送设备包括变换器、发射机和发射天线三部分;接收设备包括接收天线、接收机和变换器三部分;传输媒质为自由空间。
信息源发出需要传送的信息,由变换器将这些要传送的声音或图像信息变换成相应的电信号,然后由发射机把这些电信号转换成高频振荡信号,发射天线再将高频振荡信号转换成无线电波,向空间发射。
无线电波经过自由空间到达接收端,接收天线将接收到的无线电波转换成高频振荡信号,接收机把高频振荡信号转换成原始电信号,再由变换器还原成原来传递的信息(声音或图像等),送给受信者,从而完成信息的传递过程。
2.无线通信中为什么要进行调制与解调?它们的作用是什么?答:在无线通信的发射部分,如果把声音或图像等低频信号直接以电磁波形式从天线辐射出去,则存在下述两个问题:①无法制造合适尺寸的天线,②无法选择所要接收的信号。
因而,要实现无线通信,首先必须让各电台发射频率不同的高频振荡信号,再把要传送的信号“装载”到这些频率不同的高频振荡信号上,经天线发射出去。
这样既缩短了天线尺寸,又避免了相互干扰。
调制的作用就是把待传送的信号“装载”到高频振荡信号上。
在无线通信接收设备中,必须把空间传来的电磁波接收下来,选出所需的已调波信号,并把它还原为原来的调制信号,以推动输出变换器,获得所需的信息。
这个过程需要解调来完成。
解调的作用就是从高频已调波中“取出”原调制信号。
3.示意画出超外差式调幅收音机的原理框图,简要叙述其工作原理。
答:工作原理:接收天线接收从空间传来的电磁波并感生出微小的高频信号,高频放大器从中选择出所需的信号并进行放大,得到高频调幅波信号u 1(t ),高频放大器通常由一级或多级具有选频特性的小信号谐振放大器组成。
本地振荡器(又称本机振荡器)产生高频等幅振荡信号u 2(t ),它比u 1(t )的载频高一个中间频率,简称中频。
高频电子线路习题集第一章 绪论1-1 画出无线通信收发信机的原理框图,并说出各部分的功用。
答:上图是一个语音无线电广播通信系统的基本组成框图,它由发射部分、接收部分以及无线信道三大部分组成。
发射部分由话筒、音频放大器、调制器、变频器(不一定必须)、功率放大器和发射天线组成。
低频音频信号经放大后,首先进行调制后变成一个高频已调波,然后可通过变频,达到所需的发射频率,经高频功率放大后,由天线发射出去。
接收设备由接收天线、高频小信号放大器、混频器、中频放大器、解调器、音频放大器、扬声器等组成。
由天线接收来的信号,经放大后,再经过混频器,变成一中频已调波,然后检波,恢复出原来的信息,经低频功放放大后,驱动扬声器。
话筒扬声器1-2 无线通信为什么要用高频信号?“高频”信号指的是什么?答:高频信号指的是适合天线发射、传播和接收的射频信号。
采用高频信号的原因主要是:(1)频率越高,可利用的频带宽度就越宽,信道容量就越大,而且可以减小或避免频道间的干扰;(2)高频信号更适合电线辐射和接收,因为只有天线尺寸大小可以与信号波长相比拟时,才有较高的辐射效率和接收效率,这样,可以采用较小的信号功率,传播较远的距离,也可获得较高的接收灵敏度。
1-3无线通信为什么要进行凋制?如何进行调制?答:因为基带调制信号都是频率比较低的信号,为了达到较高的发射效率和接收效率,减小天线的尺寸,可以通过调制,把调制信号的频谱搬移到高频载波附近;另外,由于调制后的信号是高频信号,所以也提高了信道利用率,实现了信道复用。
调制方式有模拟调调制和数字调制。
在模拟调制中,用调制信号去控制高频载波的某个参数。
在调幅方式中,AM普通调幅、抑制载波的双边带调幅(DSB)、单边带调幅(SSB)、残留单边带调幅(VSSB);在调频方式中,有调频(FM)和调相(PM)。
在数字调制中,一般有频率键控(FSK)、幅度键控(ASK)、相位键控(PSK)等调制方法。
高频电子线路第五版课后习题答案高频电子线路第五版课后习题答案高频电子线路是电子工程中的一个重要分支,其研究的是高频电路的设计、分析和优化。
在学习高频电子线路的过程中,课后习题是巩固知识、提高技能的重要方式。
本文将为大家提供高频电子线路第五版课后习题的答案,希望对大家的学习有所帮助。
第一章:基础知识1. 什么是高频电子线路?高频电子线路是指工作频率在几十千赫兹(kHz)到几百千赫兹(MHz)之间的电子线路。
它主要应用于无线通信、雷达、卫星通信等领域。
2. 高频电子线路的特点有哪些?高频电子线路的特点包括信号失真小、传输损耗小、耦合效应显著、传输线效应显著、元器件参数变化大等。
3. 什么是S参数?S参数是描述高频电子线路中信号传输和反射特性的参数。
S参数包括S11、S12、S21和S22四个参数,分别表示输入端反射系数、传输系数、输出端反射系数和逆传输系数。
第二章:传输线1. 什么是传输线?传输线是一根用于传输高频信号的导线。
常见的传输线有平行线、同轴电缆和微带线等。
2. 传输线的特性阻抗有哪些?传输线的特性阻抗包括平行线的特性阻抗、同轴电缆的特性阻抗和微带线的特性阻抗等。
3. 传输线的特性阻抗如何计算?平行线的特性阻抗可以通过导线间距、导线半径和介质介电常数等参数计算得到。
同轴电缆的特性阻抗可以通过内外导体半径和介质介电常数等参数计算得到。
微带线的特性阻抗可以通过导线宽度、介质厚度和介质介电常数等参数计算得到。
第三章:射频二极管1. 什么是射频二极管?射频二极管是一种特殊的二极管,其工作频率在几十千赫兹(kHz)到几百千赫兹(MHz)之间。
射频二极管具有快速开关速度和低噪声等特点。
2. 射频二极管的工作原理是什么?射频二极管的工作原理是基于PN结的电子流动和载流子的注入与抽取。
当正向偏置时,电子从N区域流向P区域,形成电流;当反向偏置时,电子不能流动,形成电流截止。
3. 射频二极管的主要参数有哪些?射频二极管的主要参数包括最大工作频率、最大直流电流、最大反向电压、最大功率损耗和最大噪声系数等。
1、关于LC并联谐振回路中的感性和容性,以下哪个正确()。
A、当外加信号源频率小于谐振频率时,呈感性,电流相位超前电压B、当外加信号源频率小于谐振频率时,呈容性,电压相位超前电流C、当外加信号源频率大于谐振频率时,呈感性,电压相位超前电压D、当外加信号源频率大于谐振频率时,呈容性,电流相位超前电压很遗憾你答错了!正确答案为:D2、并联谐振回路外加信号频率等于回路谐振频率时回路呈()A、感性B、容性C、阻性D、容性或感性很遗憾你答错了!正确答案为:C3、关于高频电子线路,下列说法正确的是()A、大多工作在高频、非线性状态B、元器件的特性与低频时相同C、只能用分布参数分析D、只包含高频信号很遗憾你答错了!正确答案为:A4、关于LC并联谐振回路叙述正确的是()A、并联谐振回路固有频率随外加信号频率的升高而升高B、并联谐振回路固有频率随外加信号频率的升高而降低C、当外加信号频率与LC并联谐振回路固有频率相等时,回路阻抗最小D、当外加信号频率与LC并联谐振回路固有频率相等时,回路阻抗最大很遗憾你答错了!正确答案为:D5、LC并联谐振回路谐振时A、回路电压最大B、回路电流最大C、回路电流最小D、并联谐振也称为电压谐振很遗憾你答错了!正确答案为:A6、在由二极管组成的单相桥式电路中,若一只二极管断路,则()A、与之相邻的一只二极管将被烧坏B、电路仍能输出单相半波信号C、其它三只管子相继损坏D、电路不断输出信号恭喜你答对了!正确答案为:B7、关于线性电路和非线性电路,如下说法中不正确的是()。
A、含有非线性元件的电路一定是非线性电路B、线性电路中,电阻元件、电感元件、电容元件的元件参数一定是常数C、线性电路一定含有两个以上的激励源D、很遗憾你答错了!正确答案为:C8、单频调制时,调频波的最大频偏Δf m正比于()A、UΩB、uΩ(t)C、ΩD、UΩ/Ω很遗憾你答错了!正确答案为:A9、某调频波,其调制信号频率F=1kHz,载波频率为10.7MHz,最大频偏Δf m=10kHz,若调制信号的振幅不变,频率加倍,则此时调频波的频带宽度为()。
高频电子线路课后答案问题一:什么是高频电子线路?高频电子线路是指工作频率在几十千赫兹到几十千兆赫兹范围内的电子线路。
高频电子线路广泛应用于无线通信系统、雷达系统、卫星通信系统等领域中。
由于高频电子线路的工作频率较高,因此其设计和分析相对复杂。
在高频电子线路中,传输线、滤波器、功率放大器等组件起着重要的作用。
问题二:高频电子线路的设计难点有哪些?1.信号传输线路的设计:高频信号的传输线路有很大的特殊性。
首先,由于高频信号的波长较短,如果信号线长度相比波长较长,那么传输线路将表现出传输特性的变化。
其次,电磁波在高频下存在反射、干扰等问题,因此需要采取合适的传输线设计进行匹配和衰减。
2.高频信号滤波器的设计:在高频电子线路中,滤波器在信号的处理和传输中起着至关重要的作用。
高频信号滤波器的设计需要考虑频率响应曲线的形状、通带内的损耗、滤波器的尺寸等因素。
3.高频功率放大器的设计:在高频电子线路中,功率放大器通常需要提供大功率输出。
然而,高频信号的功率放大器设计面临着一些技术难题,如非线性失真的抑制、工作稳定性的保证等。
问题三:高频电子线路中常用的组件有哪些?高频电子线路中常用的组件包括:1.传输线:高频传输线通常采用微带线、同轴电缆等形式。
传输线的设计需要考虑阻抗匹配、功率传输、衰减等因素。
2.滤波器:高频电子线路中常用的滤波器包括低通滤波器、高通滤波器、带通滤波器和带阻滤波器等。
滤波器的设计目标是在一定频率范围内有选择性地通过或抑制信号。
3.放大器:在高频电子线路中,功率放大器通常采用晶体管、集成电路等形式。
功率放大器的设计需要考虑功率输出、线性度、效率等因素。
4.混频器:混频器广泛应用于调频(FM)广播、无线通信系统等领域中。
混频器的设计需要考虑频率转换、能量转移、相位失配等因素。
问题四:高频电子线路的仿真和测试方法有哪些?高频电子线路的仿真和测试是设计和验证的重要环节。
常用的方法包括:1.仿真软件:如ADS、CST Microwave Studio等,可以对高频电子线路进行电磁仿真、参数优化、频率响应分析等。
高频电子线路第二版课后答案第一章:高频电子线路基础知识1.1 什么是高频电子线路?高频电子线路是指工作频率在数百千赫兹(MHz)到几百吉赫兹(GHz)之间的电子线路。
它通常涉及到射频(Radio Frequency)和微波(Microwave)信号的传输和处理。
1.2 高频电子线路的特点有哪些?•高频信号具有短波长和高频率的特点,需要特殊的设计和制造技术。
•高频电子线路的工作频率范围广,要求具有较宽的频带宽度。
•高频电子线路对线路布局和组件的电特性要求较高,需要考虑信号传输的延迟和衰减等因素。
•高频电子线路需要较好的抗干扰和抗干扰能力,以保证信号的可靠传输。
1.3 高频信号的特性及其参数有哪些?高频信号的特性主要包括以下几个方面:•频率:频率是指高频信号在单位时间内的振荡次数,单位为赫兹(Hz)。
•波长:波长是指高频信号波动一个周期的距离,其与频率之间有确定的关系,单位为米(m)。
•幅度:幅度是指高频信号在峰值和谷值之间的振荡范围。
•相位:相位是指高频信号在时间上相对于一个参考点的偏移。
不同的相位可以表示不同的信号状态。
1.4 高频电子线路的常用组件有哪些?高频电子线路常用的组件包括:•电阻器:用于限制电流流过的器件。
•电容器:用于存储电荷和调节电压的器件。
•电感器:用于储存和释放磁能的器件。
•二极管:用于整流和检波的器件。
•晶体管:用于放大和开关的器件。
•滤波电路:用于滤除干扰信号的电路。
•放大器:用于放大信号的电子元件。
第二章:高频电子线路分析方法2.1 S参数分析方法S参数(Scattering Parameters)是一种用于分析高频电子线路的常用方法。
S参数描述了输入和输出端口之间的电压和电流之间的关系。
S参数分析方法的基本步骤包括:1.定义输入和输出端口。
2.测量S参数矩阵。
3.使用S参数矩阵计算各种电路参数,如增益、插入损耗、反射系数等。
2.2 Y参数分析方法Y参数(Admittance Parameters)也是一种常用的高频电子线路分析方法。
高频电子线路习题集第一章 绪论1-1 画出无线通信收发信机的原理框图,并说出各部分的功用。
答:上图是一个语音无线电广播通信系统的基本组成框图,它由发射部分、接收部分以及无线信道三大部分组成。
发射部分由话筒、音频放大器、调制器、变频器(不一定必须)、功率放大器和发射天线组成。
低频音频信号经放大后,首先进行调制后变成一个高频已调波,然后可通过变频,达到所需的发射频率,经高频功率放大后,由天线发射出去。
接收设备由接收天线、高频小信号放大器、混频器、中频放大器、解调器、音频放大器、扬声器等组成。
由天线接收来的信号,经放大后,再经过混频器,变成一中频已调波,然后检波,恢复出原来的信息,经低频功放放大后,驱动扬声器。
话筒扬声器1-2 无线通信为什么要用高频信号?“高频”信号指的是什么?答:高频信号指的是适合天线发射、传播和接收的射频信号。
采用高频信号的原因主要是:(1)频率越高,可利用的频带宽度就越宽,信道容量就越大,而且可以减小或避免频道间的干扰;(2)高频信号更适合电线辐射和接收,因为只有天线尺寸大小可以与信号波长相比拟时,才有较高的辐射效率和接收效率,这样,可以采用较小的信号功率,传播较远的距离,也可获得较高的接收灵敏度。
1-3无线通信为什么要进行凋制?如何进行调制?答:因为基带调制信号都是频率比较低的信号,为了达到较高的发射效率和接收效率,减小天线的尺寸,可以通过调制,把调制信号的频谱搬移到高频载波附近;另外,由于调制后的信号是高频信号,所以也提高了信道利用率,实现了信道复用。
调制方式有模拟调调制和数字调制。
在模拟调制中,用调制信号去控制高频载波的某个参数。
在调幅方式中,AM普通调幅、抑制载波的双边带调幅(DSB)、单边带调幅(SSB)、残留单边带调幅(VSSB);在调频方式中,有调频(FM)和调相(PM)。
在数字调制中,一般有频率键控(FSK)、幅度键控(ASK)、相位键控(PSK)等调制方法。
绪论 选频网络练习题一、选择题1、在调谐放大器的LC 回路两端并上一个电阻R ,可以 C 。
A .提高回路的Q 值B .提高谐振频率C .加宽通频带D .减小通频带2、在高频放大器中,多用调谐回路作为负载,其作用不包括 ( D )A .选出有用频率B .滤除谐波成分C .阻抗匹配D .产生新的频率成分3、并联谐振回路的通频带是指其输出电压下降到谐振电压的 所对应的频率范围, 用7.02f ∆表示。
( D )A 、1/2B 、1/3C 、1/3D 、1/24、LC 并联谐振回路具有选频作用。
回路的品质因数越高,则 ( A )A 、回路谐振曲线越尖锐,选择性越好,但通频带越窄。
B 、回路谐振曲线越尖锐,选择性越好,通频带越宽。
C 、回路谐振曲线越尖锐,但选择性越差,通频带越窄。
D 、回路谐振曲线越尖锐,但选择性越差,通频带越宽。
5、地波传播时,传播的信号频率越高,损耗 。
( B )A 、越小B 、越大C 、不变D 、无法确定6、并联谐振回路谐振时,电纳为零,回路总导纳为 。
( B )A .最大值B .最小值C .零D .不能确定7、谐振回路与晶体管连接时,常采用部分接入方式实现阻抗匹配,控制品质因数以达到对通频带和选择性的要求,图示电路中Is 信号源的接入系数s p 为 。
( D )s iA .12L LB .21L LC .112L L L +D .212L L L +8、电路与上题同,晶体管基极与谐振回路的接入系数L p 为 。
( C )A .12C CB .21C C C .112C C C +D .212C C C +9、考虑信号源内阻和负载后,LC 选频回路的通频带变 ,选择性变 。
( D )A 、小、好B 、大、好C 、小、差D 、大、差10、LC 组成并联谐振回路,谐振频率LC f o π21=,把它串接在电路中,就能阻止频率为多少的信号通过。
( A ) A . 不为o f B .o f C .大于o f D .小于o f11、如图所示,将负载L R 等效到ab 两端L R '= 。
第2章 小信号选频放大器2.1填空题(1)LC 并联谐振回路中,Q 值越大,其谐振曲线越尖锐,通频带越窄,选择性越好。
(2)LC 并联谐振回路谐振时,回路阻抗为最大且为纯电阻,高于谐振频率时间阻抗呈容性,低于谐振频率时间阻抗感性。
(3)小信号谐振放大器的负载采用谐振回路,工作在甲类状态,它具有选频作用。
(4)集中选频放大器由集成宽带放大器和集中选频滤波器组成,其主要优点是接近理想矩形的幅频特性,性能稳定可靠,调整方便。
2.2 已知并联谐振回路的1μH,20pF,100,L C Q ===求该并联回路的谐振频率0f 、谐振电阻p R 及通频带0.7BW 。
[解] 90-6120.035610Hz 35.6MHz 2π2π102010f LCH F-===⨯=⨯⨯6312640.71010022.4k 22.361022.36k 201035.610Hz35.610Hz 356kH z100p HR Q Ff BW Q ρρ--===Ω=⨯Ω=Ω⨯⨯===⨯=2.3 并联谐振回路如图P2.3所示,已知:300pF,390μH,100,C L Q ===信号源内阻s 100k ,R =Ω负载电阻L 200k ,R =Ω求该回路的谐振频率、谐振电阻、通频带。
[解] 0465kHz 2π2π390μH 300PFf LC≈==⨯0.70390μH100114k Ω300PF////100k Ω//114.k Ω//200k Ω=42k Ω42k Ω371.14k Ω390μH/300 PF/465kHz/37=12.6kHzp e s p Lee e R Q R R R R R Q BWf Q ρρ===========2.4 已知并联谐振回路的00.710MHz,C=50pF,150kHz,f BW ==求回路的L 和Q 以及600kHz f ∆=时电压衰减倍数。
如将通频带加宽为300 kHz ,应在回路两端并接一个多大的电阻? [解] 6262120115105μH (2π)(2π1010)5010L H f C --===⨯=⨯⨯⨯⨯630.7101066.715010fQBW⨯===⨯223622600101166.78.11010poU fQfU••⎛⎫⎛⎫∆⨯⨯=+=+=⎪ ⎪⨯⎝⎭⎝⎭当0.7300kHzBW=时630.74612101033.33001033.31.061010.6k2π2π10105010eee efQBWQR Qf Cρ-⨯===⨯====⨯Ω=Ω⨯⨯⨯⨯g而471266.72.131021.2k2π105010pR Qρ-===⨯Ω=Ω⨯⨯⨯g由于,pepRRRR R=+所以可得10.6k21.2k21.2k21.2k10.6ke pp eR RRR RΩ⨯Ω===Ω-Ω-Ω2.6并联谐振回路如图P2.6所示。
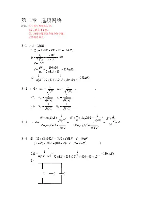
第2章 选频网络1.有一并联回路在某频段内工作,频段最低频率为535kHz ,最高频率为1605kHz 。
现有两个可变电容器,一个电容器的最小电容量为12pF ,最大电容量为100pF ;另一个电容器的最小电容量为15pF ,最大电容量为450pF 。
试问:1)应采用哪一个可变电容器,为什么?2)回路电感应等于多少?3)绘出实际的并联电路图。
(答案:1)选15450pF pF 的电容;2)180H μ)2.给定串联谐振回路的001.5,100,f MHz C pF ==谐振时电阻Ω=5R 。
试求0Q 和0L 。
又若信号源电压振幅1sm V mV =,求谐振时回路中的电流0I 以及回路元件上的电压0L m V 和0C m V 。
(答案:0212.2Q =;0112.6L H μ=;00.2I mA =; 00212.2L m C m V V mV ==)3.串联回路如图1所示。
信号源频率01f MHz =,电压振幅0.1sm V V =。
将11端短接,电容C 调到100pF 时谐振。
此时,电容C 两端的电压为10V 。
如11端开路再串接一阻抗X Z (电阻与电容串联),则回路失谐,C 调到200pF时重新谐振,总电容两端电压变为 2.5sm V V =。
试求线圈的电感量L 、回路品质因数0Q 值以及未知阻抗X Z 。
(答案:253L H μ=;0100Q =;47.7X R =Ω;200X C pF =) 图14.给定并联谐振回路的MHz f 50=,pF C 50=,通频带kHz f 15027.0=∆。
试求电感L 、品质因数0Q 以及对信号源频率为MHz 5.5时的失调。
又若把7.02f ∆加宽至kHz 300,应在回路两端再并联上一个阻值多大的电阻?(答案:20L H μ=;033.3Q =;6.36ξ=;21L R k =Ω)5.并联谐振回路如图2所示。
已知通频带7.02f ∆,电容C 。