公司理财 第12章_风险资本成本和资本预算
- 格式:ppt
- 大小:640.58 KB
- 文档页数:40
第一章导论1. 公司目标:为所有者创造价值公司价值在于其产生现金流能力。
2. 财务管理的目标:最大化现有股票的每股现值。
3. 公司理财可以看做对一下几个问题进行研究:1. 资本预算:公司应该投资什么样的长期资产。
2. 资本结构:公司如何筹集所需要的资金。
3. 净运营资本管理:如何管理短期经营活动产生的现金流。
4. 公司制度的优点:有限责任,易于转让所有权,永续经营。
缺点:公司税对股东的双重课税。
第二章会计报表与现金流量资产 = 负债 + 所有者权益(非现金项目有折旧、递延税款)EBIT(经营性净利润) = 净销售额 - 产品成本 - 折旧EBITDA = EBIT + 折旧及摊销现金流量总额CF(A) = 经营性现金流量 - 资本性支出 - 净运营资本增加额 = CF(B) + CF(S)经营性现金流量OCF = 息税前利润 + 折旧 - 税资本性输出 = 固定资产增加额 + 折旧净运营资本 = 流动资产 - 流动负债第三章财务报表分析与财务模型1. 短期偿债能力指标(流动性指标)流动比率 = 流动资产/流动负债(一般情况大于一)速动比率 = (流动资产 - 存货)/流动负债(酸性实验比率)现金比率 = 现金/流动负债流动性比率是短期债权人关心的,越高越好;但对公司而言,高流动性比率意味着流动性好,或者现金等短期资产运用效率低下。
对于一家拥有强大借款能力的公司,看似较低的流动性比率可能并非坏的信号2. 长期偿债能力指标(财务杠杆指标)负债比率 = (总资产 - 总权益)/总资产 or (长期负债 + 流动负债)/总资产权益乘数 = 总资产/总权益 = 1 + 负债权益比利息倍数 = EBIT/利息现金对利息的保障倍数(Cash coverage radio) = EBITDA/利息3. 资产管理或资金周转指标存货周转率 = 产品销售成本/存货存货周转天数= 365天/存货周转率应收账款周转率 = (赊)销售额/应收账款总资产周转率 = 销售额/总资产 = 1/资本密集度4. 盈利性指标销售利润率 = 净利润/销售额资产收益率ROA = 净利润/总资产权益收益率ROE = 净利润/总权益5. 市场价值度量指标市盈率 = 每股价格/每股收益EPS 其中EPS = 净利润/发行股票数市值面值比 = 每股市场价值/每股账面价值企业价值EV = 公司市值 + 有息负债市值 - 现金EV乘数 = EV/EBITDA6. 杜邦恒等式ROE = 销售利润率(经营效率)x总资产周转率(资产运用效率)x权益乘数(财杠)ROA = 销售利润率x总资产周转率7. 销售百分比法假设项目随销售额变动而成比例变动,目的在于提出一个生成预测财务报表的快速实用方法。
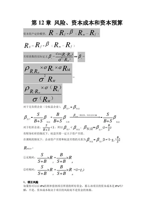
第12章 风险、资本成本和资本预算资本资产定价模型,R =R f +β(R m -Rf )R S =R f +β(R m -Rf )βi =对于无负债企业(全权益企业),ββ权益资产=βββββSB SS B BSB S +++=−−−−−−−−→−+=权益一般较低,因此近似为负债权益资产负债对于杠杆企业,1<+SB S,所以ββ权益资产<,)1(SB +=ββ权益资产有财务杠杆的情况下,权益贝塔一定大于资产贝塔。
在课税的情况下,企业资产贝塔和权益贝塔的关系为]-11[SBt C )(资产权益+=ββRWACC:①无税时:RB S B R B S S BS ⨯+⨯++②有税时:)1(t R BS B R B S S C BS-⨯+⨯+⨯+1.项目风险如果你可以以6%的利率借到项目所需的所有资金,那么该项目的资本成本是6%吗? 解:不是。
资本成本取决于项目的风险而不是资金的来源。
2.加权资本成本和税收为何我们对债务使用税后成本,而对权益却没有要求?解:利息是可以免税的,所以权益成本在税前和税后是没有区别的。
3.使用SML估算权益资本成本如果你使用股票贝塔和证券市场线来计算项目的折现率,你所需要设定的前提条件是什么?解:SML为:R=R f+β(R m-R f)需要假定新项目的风险和整个企业的风险是相同的,并且企业完全是股权融资(无负债,无杠杠企业)。
4.使用SML估算权益资本成本使用SML计算权益资本成本的优势是什么?劣势是什么?使用SML所需要的其他先决条件有哪些? SML所需要的所有的变量都是可得的吗?哪些变量是需要估算的?进行这些估算的方法有哪些?解:使用SML计算权益资本成本的优势是:SML模型明确了证券的相关风险,比DCF(折现现金流)适用范围更广泛,因为SML对该公司的股息没有任何假设。
主要缺点是:①SML三个参数(无风险利率、市场的预期回报率和β)必须估计;②方法基本上采用历史信息来估算这些参数。
罗斯《公司理财》重点知识整理上课讲义罗斯《公司理财》重点知识整理第一章导论1. 公司目标:为所有者创造价值公司价值在于其产生现金流能力。
2. 财务管理的目标:最大化现有股票的每股现值。
3. 公司理财可以看做对一下几个问题进行研究:1. 资本预算:公司应该投资什么样的长期资产。
2. 资本结构:公司如何筹集所需要的资金。
3. 净运营资本管理:如何管理短期经营活动产生的现金流。
4. 公司制度的优点:有限责任,易于转让所有权,永续经营。
缺点:公司税对股东的双重课税。
第二章会计报表与现金流量资产 = 负债 + 所有者权益(非现金项目有折旧、递延税款)EBIT(经营性净利润) = 净销售额 - 产品成本 - 折旧EBITDA = EBIT + 折旧及摊销现金流量总额CF(A) = 经营性现金流量 - 资本性支出- 净运营资本增加额 = CF(B) + CF(S)经营性现金流量OCF = 息税前利润 + 折旧 - 税资本性输出 = 固定资产增加额 + 折旧净运营资本 = 流动资产 - 流动负债第三章财务报表分析与财务模型1. 短期偿债能力指标(流动性指标)流动比率 = 流动资产/流动负债(一般情况大于一)速动比率 = (流动资产 - 存货)/流动负债(酸性实验比率)现金比率 = 现金/流动负债流动性比率是短期债权人关心的,越高越好;但对公司而言,高流动性比率意味着流动性好,或者现金等短期资产运用效率低下。
对于一家拥有强大借款能力的公司,看似较低的流动性比率可能并非坏的信号2. 长期偿债能力指标(财务杠杆指标)负债比率 = (总资产 - 总权益)/总资产 or (长期负债 + 流动负债)/总资产权益乘数 = 总资产/总权益 = 1 + 负债权益比利息倍数 = EBIT/利息现金对利息的保障倍数(Cash coverage radio) = EBITDA/利息3. 资产管理或资金周转指标存货周转率 = 产品销售成本/存货存货周转天数 = 365天/存货周转率应收账款周转率 = (赊)销售额/应收账款总资产周转率 = 销售额/总资产 = 1/资本密集度4. 盈利性指标销售利润率 = 净利润/销售额资产收益率ROA = 净利润/总资产权益收益率ROE = 净利润/总权益5. 市场价值度量指标市盈率 = 每股价格/每股收益EPS 其中EPS = 净利润/发行股票数市值面值比 = 每股市场价值/每股账面价值企业价值EV = 公司市值+ 有息负债市值- 现金EV乘数= EV/EBITDA6. 杜邦恒等式ROE = 销售利润率(经营效率)x总资产周转率(资产运用效率)x权益乘数(财杠)ROA = 销售利润率x总资产周转率7. 销售百分比法假设项目随销售额变动而成比例变动,目的在于提出一个生成预测财务报表的快速实用方法。
第一章导论1. 公司目标:为所有者创造价值公司价值在于其产生现金流能力。
2. 财务管理的目标:最大化现有股票的每股现值。
3. 公司理财可以看做对一下几个问题进行研究:1. 资本预算:公司应该投资什么样的长期资产。
2. 资本结构:公司如何筹集所需要的资金。
3. 净运营资本管理:如何管理短期经营活动产生的现金流。
4. 公司制度的优点:有限责任,易于转让所有权,永续经营。
缺点:公司税对股东的双重课税。
"第二章会计报表与现金流量资产 = 负债 + 所有者权益(非现金项目有折旧、递延税款)EBIT(经营性净利润) = 净销售额 - 产品成本 - 折旧EBITDA = EBIT + 折旧及摊销现金流量总额CF(A) = 经营性现金流量 - 资本性支出 - 净运营资本增加额 = CF(B) + CF(S)经营性现金流量OCF = 息税前利润 + 折旧 - 税资本性输出 = 固定资产增加额 + 折旧[净运营资本 = 流动资产 - 流动负债第三章财务报表分析与财务模型1. 短期偿债能力指标(流动性指标)流动比率 = 流动资产/流动负债(一般情况大于一)速动比率 = (流动资产 - 存货)/流动负债(酸性实验比率)现金比率 = 现金/流动负债流动性比率是短期债权人关心的,越高越好;但对公司而言,高流动性比率意味着流动性好,或者现金等短期资产运用效率低下。
对于一家拥有强大借款能力的公司,看似较低的流动性比率可能并非坏的信号>2. 长期偿债能力指标(财务杠杆指标)负债比率 = (总资产 - 总权益)/总资产 or (长期负债 + 流动负债)/总资产权益乘数 = 总资产/总权益 = 1 + 负债权益比利息倍数 = EBIT/利息现金对利息的保障倍数(Cash coverage radio) = EBITDA/利息3. 资产管理或资金周转指标存货周转率 = 产品销售成本/存货存货周转天数= 365天/存货周转率@应收账款周转率 = (赊)销售额/应收账款总资产周转率 = 销售额/总资产 = 1/资本密集度4. 盈利性指标销售利润率 = 净利润/销售额资产收益率ROA = 净利润/总资产权益收益率ROE = 净利润/总权益5. 市场价值度量指标\市盈率 = 每股价格/每股收益EPS 其中EPS = 净利润/发行股票数市值面值比 = 每股市场价值/每股账面价值企业价值EV = 公司市值 + 有息负债市值 - 现金EV乘数 = EV/EBITDA6. 杜邦恒等式ROE = 销售利润率(经营效率)x总资产周转率(资产运用效率)x权益乘数(财杠)ROA = 销售利润率x总资产周转率7. 销售百分比法】假设项目随销售额变动而成比例变动,目的在于提出一个生成预测财务报表的快速实用方法。
第一章导论1. 公司目标:为所有者创造价值,公司价值在于其产生现金流能力。
2. 财务管理的目标:最大化现有股票的每股现值。
3. 公司理财可以看做对一下几个问题进行研究:1. 资本预算:公司应该投资什么样的长期资产。
2. 资本结构:公司如何筹集所需要的资金。
3. 净运营资本管理:如何管理短期经营活动产生的现金流。
4. 公司制度的优点:有限责任,易于转让所有权,永续经营。
缺点:公司税对股东的双重课税。
第二章会计报表和现金流量资产= 负债+ 所有者权益(非现金项目有折旧、递延税款)EBIT(经营性净利润)= 净销售额-产品成本-折旧EBITDA = EBIT + 折旧及摊销现金流量总额CF(A) = 经营性现金流量-资本性支出-净运营资本增加额= CF(B) + CF(S)经营性现金流量OCF = 息税前利润+ 折旧-税资本性输出= 固定资产增加额+ 折旧净运营资本= 流动资产-流动负债第三章财务报表分析和财务模型1. 短期偿债能力指标(流动性指标)流动比率= 流动资产/流动负债(一般情况大于一)速动比率= (流动资产-存货)/流动负债(酸性实验比率)现金比率= 现金/流动负债流动性比率是短期债权人关心的,越高越好;但对公司而言,高流动性比率意味着流动性好,或者现金等短期资产运用效率低下。
对于一家拥有强大借款能力的公司,看似较低的流动性比率可能并非坏的信号2. 长期偿债能力指标(财务杠杆指标)负债比率= (总资产-总权益)/总资产or (长期负债+ 流动负债)/总资产权益乘数= 总资产/总权益= 1 + 负债权益比利息倍数= EBIT/利息现金对利息的保障倍数(Cash coverage radio) = EBITDA/利息3. 资产管理或资金周转指标存货周转率= 产品销售成本/存货存货周转天数= 365天/存货周转率应收账款周转率= (赊)销售额/应收账款总资产周转率= 销售额/总资产= 1/资本密集度4. 盈利性指标销售利润率= 净利润/销售额资产收益率ROA = 净利润/总资产权益收益率ROE = 净利润/总权益5. 市场价值度量指标市盈率= 每股价格/每股收益EPS其中EPS = 净利润/发行股票数市值面值比= 每股市场价值/每股账面价值企业价值EV = 公司市值+ 有息负债市值-现金EV乘数= EV/EBITDA6. 杜邦恒等式ROE = 销售利润率(经营效率)x总资产周转率(资产运用效率)x权益乘数(财杠)ROA = 销售利润率x总资产周转率7. 销售百分比法假设项目随销售额变动而成比例变动,目的在于提出一个生成预测财务报表的快速实用方法。