高频电子线路课后习题答案(第五版)张肃文。
- 格式:pdf
- 大小:4.02 MB
- 文档页数:23
【最新整理,下载后即可编辑】高频电子第五版(pF)).(L C H)(.QR则L Ω取R Δf f Q (kHz)Δf MHz解:f..159101*********1159********10010100101010121010990101211362620603670036700=⨯⨯⨯⨯===⨯⨯⨯====⨯⨯===⨯-⨯==--ωμω时,产生并联谐振。
C L 或ωC L )当(时,产生串联谐振。
C L 或ωC L )当(时,产生并联谐振。
C L 或ωC L )当解:(22021101220211012202110111311211123======-ωωωR R C L R )LC ωL(j ωR )LC ωLR(j ωC L R C j ωR L j ωR )C j ωL)(R j ω(R 证明:Z =+=-+-++=+++++=-2112111133220020020000)()()()()())()()()())318010404501053514321121535100160512405354501605151431223202222μH .C C L 故采用后一个不合理舍去pF -得C C C 由pF得C C C 由解:=⨯+⨯⨯⨯⨯='+==+=⨯+=+=⨯+--ω。
L C C ’()()()()mV V Q V V mA .R V I μH ..C L ..R C 解:Q-Sm Com Lom -om om --21210121220510111210100105114321121251010010511432115330312260200126000=⨯⨯====⨯===⨯⨯⨯⨯===⨯⨯⨯⨯⨯⨯==-ωω()()()()()()Ωj ..j .C jR Z Ω.....Q LQ L R pFC pF .L C C C C .V V Q μH .C 解:L X X X X X X X S C 7967471020010143217471747100102531014321052102531014322001001025310143211100101025310100101432116312606666000626200122620-=⨯⨯⨯⨯-=-==⨯⨯⨯⨯-⨯⨯⨯⨯=-==→=⨯⨯⨯⨯==+⋅====⨯⨯⨯⨯==------ωωωωω()()()。
高频电子第五版(pF)).(L C H)(.QR则L Ω取R Δf f Q (kHz)Δf MHz解:f..159101*********11591014321010010100101010121010990101211362620603670036700=⨯⨯⨯⨯===⨯⨯⨯====⨯⨯===⨯-⨯==--ωμω时,产生并联谐振。
C L 或ωC L )当(时,产生串联谐振。
C L 或ωC L )当(时,产生并联谐振。
C L 或ωC L )当解:(22021101220211012202110111311211123======-ωωωR R C L R )LC ωL(j ωR )LC ωLR(j ωC L R C j ωR L j ωR )C j ωL)(R j ω(R 证明:Z =+=-+-++=+++++=-2112111133220020020000)()()()()())()()()())318010404501053514321121535100160512405354501605151431223202222μH .C C L 故采用后一个不合理舍去pF -得C C C 由pF得C C C 由解:=⨯+⨯⨯⨯⨯='+==+=⨯+=+=⨯+--ω。
L C C ’()()()()mV V Q V V mA .R V I μH ..C L ..R C 解:Q-Sm Com Lom -om om --21210121220510111210100105114321121251010010511432115330312260200126000=⨯⨯====⨯===⨯⨯⨯⨯===⨯⨯⨯⨯⨯⨯==-ωω()()()()()()Ωj ..j .C jR Z Ω.....Q LQ L R pF C pF .L C C C C .V V Q μH .C 解:L X X X X X X X S C 7967471020010143217471747100102531014321052102531014322001001025310143211100101025310100101432116312606666000626200122620-=⨯⨯⨯⨯-=-==⨯⨯⨯⨯-⨯⨯⨯⨯=-==→=⨯⨯⨯⨯==+⋅====⨯⨯⨯⨯==------ωωωωω()()()。
高频电子线路张肃文第五版答案【篇一:高频电子线路期末考试精华版张肃文第四版】第一章绪论一、填空题1.无线通信系统一般由信号源、__________、__________、___________、输出变换器五部分组成。
2.人耳能听到的声音的频率约在__________到__________的范围内。
(20hz、20khz )3.调制有_________、__________、_________三种方式。
(调幅、调频、调相)4.无线电波在空间的传播方式有________、_________、__________三种。
(地波、天波、直线波)二、简答或作图题1.画出无线通信调幅发射机原理框图,并说明各部分的作用,同时画出波形示意图和频谱示意图。
2. 画出超外差接收机方框图,并说明各部分的作用,同时画出波形示意图和频谱示意图。
3.在接收设备中,检波器的作用是什么?试画出检波器前后的信号波形。
4.通信系统由哪些部分组成?各组成部分的作用是什么?答:通信系统由输入、输出变换器,发送、接收设备以及信道组成。
输入变换器将要传递的声音或图像消息变换为电信号(基带信号);发送设备将基带信号经过调制等处理,并使其具有足够的发射功率,再送入信道实现信号的有效传输;信道是信号传输的通道;接收设备用来恢复原始基带信号;输出变换器将经过处理的基带信号重新恢复为原始的声音或图像。
第三章选频网络1、串联谐振和并联谐振的特征,以及失谐时表现出的特性。
如:lc回路并联谐振时,回路_阻抗___最大,且为纯__电阻__。
当所加信号频率高于并联谐振回路谐振频率时,回路失谐,此时,回路呈容性,电流超前电压。
2、由于信号源内阻或负载电阻的影响,将使谐振回路的品质因数q,选频特性,通频带。
3、课后题 3.5 4、课后题 3.6 5、课后题 3.7 6、课后题 3.9 7、课后题 3.13有一耦合回路如图,已知f?f?1mhz,????1k??,r1?r2?20?,??1010212试求:1)回路参数l1、l2、c1、c2和m;2)图中a 、b两端的等效谐振阻抗zp; 3)初级回路的等效品质因数q1’; 4)回路的通频带bw;解:由已知条件可知两个回路的参数是全同c1=c2,q1=q2 ;的,即l1=l2,1)由得:?1000l1?l2??h?159?h6?02??1011c?c??f?159pf12262?6 (2??10)?159?10?0l又由于发生临界耦合时 (?0m)2?r1r2因此???0lm?1r1r2?120?20h?3.18?h6(1000)2zab?zp?rp????25k?r1?rf140?1?1000?2540?23)初级回路的等效品质因数为q1?r1?rf14)初级回路本身的品质因数为?1000q1?1??5020因此可得出通频带为: r1f01062?f0.7?2?2?hz?28.3khzq1508.图2-18所示电路为一等效电路,其中l=0.8uh,q0=100,c=5pf,c1=20pf,c2 =20pf,r=10k?,rl =5k?,试计算回路的谐振频率、谐振电阻。
高频电子线路〔用于学习之间交流,不得用于出版等商业用处!〕第2章习题答案2-1某一并联谐振回路的谐振频率f 0=1MHz ,要求对990kHz 的干扰信号有足够的衰减,问该并联回路应如何设计?解 为了有效滤除990kHz 的干扰信号,应使它位于通频带之外。
假设取BW 0.7=20kHz ,那么由通频带与回路Q 值之间的关系有502010007.00===BW f Q因此应设计Q >50的并联谐振回路。
2-2试定性分析题图2-2所示的电路在什么情况下呈现串联谐振或并联谐振状态。
解 题图2-2〔a 〕中L 1C 1或L 2C 2之一呈并联谐振状态,那么整个电路即为并联谐振状态。
假设L 1C 1与L 2C 2呈现为容抗,那么整个电路可能成为串联谐振。
题图2-2〔b 〕只可能呈现串联谐振,不可能呈现并联谐振状态。
题图2-2〔c 〕只可能呈现并联谐振,不可能呈现串联谐振状态。
2-3有一并联回路,其电感、电容支路中的电阻均为R 。
当C L R =时〔L 和C 分别为电感和电容支路的电感值和电容值〕,试证明回路阻抗Z 与频率无关。
解 ()()()⎪⎭⎫ ⎝⎛-++⎪⎪⎭⎫⎝⎛-+⎪⎭⎫ ⎝⎛+=⎪⎭⎫⎝⎛-++⎪⎭⎫ ⎝⎛-+=C L j R R C R LR j C L R R C j R L j R C j R L j R Z abωωωωωωωω11121112212121 要想使Z ab 在任何频率下,都呈现纯阻性,就必须使分子与分母的相角相等,亦即必须有2121121R R C L CL R R C R LR +-==-ωωωω 上式化简得C R C L LR C L 2122222-=⎪⎪⎭⎫ ⎝⎛-ω 要使上式在任何频率下都成立,必有0222=-LR C L 或 C L R =2 0212=-C R C L 或 CL R =1 因此最后得CLR R ==212-4有一并联回路在某频段内工作,频段最低频率为535kHz ,最高频率为1605kHz 。
高频电子第五版(pF)).(L C H)(.QR则L Ω取R Δf f Q (kHz)Δf MHz解:f..159101*********11591014321010010100101010121010990101211362620603670036700=⨯⨯⨯⨯===⨯⨯⨯====⨯⨯===⨯-⨯==--ωμω时,产生并联谐振。
C L 或ωC L )当(时,产生串联谐振。
C L 或ωC L )当(时,产生并联谐振。
C L 或ωC L )当解:(22021101220211012202110111311211123======-ωωωR R C L R )LC ωL(j ωR )LC ωLR(j ωC L R C j ωR L j ωR )C j ωL)(R j ω(R 证明:Z =+=-+-++=+++++=-2112111133220020020000)()()()()())()()()())318010404501053514321121535100160512405354501605151431223202222μH .C C L 故采用后一个不合理舍去pF -得C C C 由pF得C C C 由解:=⨯+⨯⨯⨯⨯='+==+=⨯+=+=⨯+--ω。
L C C ’()()()()mV V Q V V mA .R V I μH ..C L ..R C 解:Q-Sm Com Lom -om om --21210121220510111210100105114321121251010010511432115330312260200126000=⨯⨯====⨯===⨯⨯⨯⨯===⨯⨯⨯⨯⨯⨯==-ωω()()()()()()Ωj ..j .C jR Z Ω.....Q LQ L R pFC pF .L C C C C .V V Q μH .C 解:L X X X X X X X S C 7967471020010143217471747100102531014321052102531014322001001025310143211100101025310100101432116312606666000626200122620-=⨯⨯⨯⨯-=-==⨯⨯⨯⨯-⨯⨯⨯⨯=-==→=⨯⨯⨯⨯==+⋅====⨯⨯⨯⨯==------ωωωωω()()()。
(pF)).(L C H)(.QR则L Ω取R Δf f Q (kHz)Δf MHz解:f..159101*********11591014321010010100101010121010990101211362620603670036700=⨯⨯⨯⨯===⨯⨯⨯====⨯⨯===⨯-⨯==--ωμω时,产生并联谐振。
C L 或ωC L )当(时,产生串联谐振。
C L 或ωC L )当(时,产生并联谐振。
C L 或ωC L )当解:(22021101220211012202110111311211123======-ωωωR R C L R )LC ωL(j ωR )LC ωLR(j ωC L R C j ωR L j ωR )C j ωL)(R j ω(R 证明:Z =+=-+-++=+++++=-2112111133220020020000)()()()()())()()()())318010404501053514321121535100160512405354501605151431223202222μH .C C L 故采用后一个不合理舍去pF -得C C C 由pF得C C C 由解:=⨯+⨯⨯⨯⨯='+==+=⨯+=+=⨯+--ω。
L C C ’()()()()mV V Q V V mA .R V I μH ..C L ..R C 解:Q-Sm Com Lom -om om --21210121220510111210100105114321121251010010511432115330312260200126000=⨯⨯====⨯===⨯⨯⨯⨯===⨯⨯⨯⨯⨯⨯==-ωω()()()()()()Ωj ..j .C jR Z Ω.....Q LQ L R pF C pF .L C C C C .V V Q μH .C 解:L X X X X X X X S C 7967471020010143217471747100102531014321052102531014322001001025310143211100101025310100101432116312606666000626200122620-=⨯⨯⨯⨯-=-==⨯⨯⨯⨯-⨯⨯⨯⨯=-==→=⨯⨯⨯⨯==+⋅====⨯⨯⨯⨯==------ωωωωω()()()。
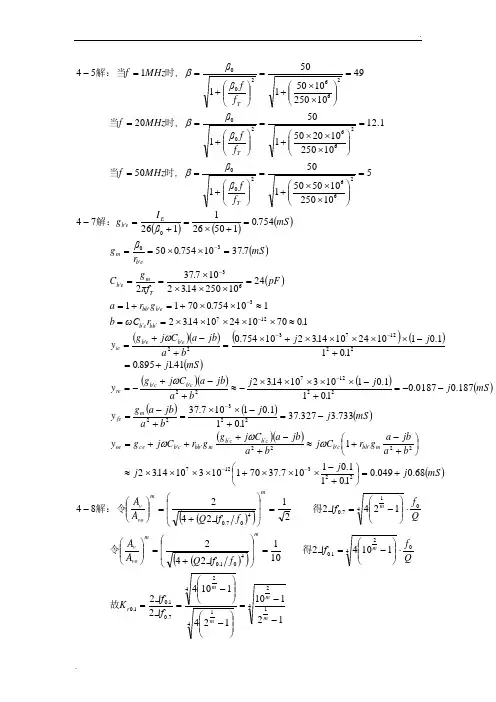
5102501050501501时,5012.1102501020501501时,20491025010501501时,154266200266200266200=⎪⎪⎭⎫⎝⎛⨯⨯⨯+=⎪⎪⎭⎫ ⎝⎛+===⎪⎪⎭⎫ ⎝⎛⨯⨯⨯+=⎪⎪⎭⎫ ⎝⎛+===⎪⎪⎭⎫ ⎝⎛⨯⨯+=⎪⎪⎭⎫ ⎝⎛+==-T T T f f ββMHz f f f ββMHz f f f ββMHz f βββ当当解:当()()()()()()()()()()()()()()()()()()()()mS j .j .j b a jb a g r C j b a jb a C j g g r C j g y mS j .j b a jb a g y mS j .j .j b a jb a C j g y mS .j ..j .j b a jb a C j g y ..r ωC b .g r a pF ..πf g C mS ..r βg mS .βI g m b b c b c b c b m b b c b ce oe m fe c b cb re e b e b ieb b e b e b b b T m eb eb m E eb 68.0049.01011.01107.377011031014321733.3327.371011.01107.37187.00187.01011.0110310143241189501011.01102410143210754.010701024101432110754070112410250143210737273710754050754015026112674223127222222322221272222127322127363300+=⎪⎭⎫ ⎝⎛+-⨯⨯⨯+⨯⨯⨯⨯≈⎪⎭⎫⎝⎛+-+≈+-+++=-=+-⨯⨯=+-=--=+-⨯⨯⨯⨯⨯-≈+-+-=+=+-⨯⨯⨯⨯⨯+⨯=+-+=≈⨯⨯⨯⨯⨯==≈⨯⨯+=+==⨯⨯⨯⨯===⨯⨯===+⨯=+=---''''''--''--''-''-''-'-''ωωωωω解:()()()()4124142701010042104010041704070121101241104221104210124212422124284--=⎪⎪⎭⎫⎝⎛-⎪⎪⎭⎫⎝⎛-==⋅⎪⎪⎭⎫ ⎝⎛-==⎪⎪⎭⎫⎝⎛+=⎪⎪⎭⎫ ⎝⎛⋅⎪⎪⎭⎫ ⎝⎛-==⎪⎪⎭⎫⎝⎛+=⎪⎪⎭⎫⎝⎛-m mm m ...r m .m.mvo v m .m.mvo v Δf Δf K Q f Δf f ΔfQ A A Qf Δf f Δf Q A A 故得令得解:令()()()()()()()()()1103101045952110830081020010286021830082501020025010237952258854tan 2tan 431100316116570316107102316104107102105228113151312312105228104525025052281028604110200411023723710410010710211250205250205943326662262621222206070666022632162626222166001345213231>>⨯⨯+⨯+⨯⨯⨯=+'++=⨯⨯+⨯=+='-=--=+==⎪⎭⎫⎝⎛-=⎪⎪⎭⎫ ⎝⎛-==⨯===⨯⨯⨯⨯⨯⨯======⨯⨯⨯⨯===⨯⨯+⨯⨯+⨯=++==⨯⨯⨯⨯⨯========-----------------∑-...y y ξg g g g S μS ....p g p g g ..ξ..Q Q K MH ...Q f Δf ..π.L ωg Q ..A A ....g y p p A μS ..g p g p g g μS ..πL Q ωg .N N p .N N p refe L oe ie s ie p L oo re fe L Z L .ΣL vo po Σfevo ie oe p p ϕϕ解:()()()()()()()()()()()()()()()()()()()()7221698266804238225025668042479479610444454782122259044546104422610441222565197445412212243822502578213445410158010410710143222782115802438303015801503008203010037010370104107101432100111104444447070707041707041704147044436260070222122222156600..-.A A ..A A ....f ΔΔf A A kHz ...Δf f ΔkHz .Δf f ΔkHz ..Δf Δf ..A A kHz ....f Lg ωΔf .....g y p p A mS .......g p g p R g g mS ...L ωQ g vovo vo vo..vo vo......vo vo .fevo ie oe p p =='-=='='=⨯='='=-=-'=-='=⨯-=⋅-=====⨯⨯⨯⨯⨯⨯⨯===+⨯⨯===⨯+⨯++=+++==⨯⨯⨯⨯⨯⨯==---∑∑∑-解:()()()()不能满足解:9.1K 522106250110511432121625011830500114r0.1122620221<=⨯⨯⨯⨯⨯===⨯+=+=--∑∑μH ....C πf L pF ..C p C C oe()74.73.05.24.364.265.2144220=⨯+==-refe S vo C y A ω解:()()()()()()()16391060104652226010491010041046527410492104057451311491001010001046521062057451349100101000104652102010044057451310001004410001205137311860731187311811810100010465211174103070612312120632112332020223612361012222236112563423612231201.K kH .Q f Δf πg C ωQ ..g y p p A μS π...Q C ωg p g μS πQ C ωg g pF ..C p C C pF C C C .L L L L μH πC ωL .r Z L.L fevo i o i o ==⨯⨯===⨯⨯⨯⨯⨯===⨯⨯⨯⨯⨯===∴=⨯⨯⨯⨯+⨯⨯⎪⎭⎫ ⎝⎛=+==⨯⨯⨯⨯+⨯=+==⨯⎪⎭⎫⎝⎛+=+==+=+==⨯+⨯+=++==⨯⨯⨯⨯==----------,则。
绪论 选频网络练习题一、选择题1、在调谐放大器的LC 回路两端并上一个电阻R ,可以 C 。
A .提高回路的Q 值B .提高谐振频率C .加宽通频带D .减小通频带2、在高频放大器中,多用调谐回路作为负载,其作用不包括 ( D )A .选出有用频率B .滤除谐波成分C .阻抗匹配D .产生新的频率成分3、并联谐振回路的通频带是指其输出电压下降到谐振电压的 所对应的频率范围,用7.02f ∆表示。
( D )A 、1/2B 、1/3C 、1/3D 、1/24、LC 并联谐振回路具有选频作用。
回路的品质因数越高,则 ( A )A 、回路谐振曲线越尖锐,选择性越好,但通频带越窄。
B 、回路谐振曲线越尖锐,选择性越好,通频带越宽。
C 、回路谐振曲线越尖锐,但选择性越差,通频带越窄。
D 、回路谐振曲线越尖锐,但选择性越差,通频带越宽。
5、地波传播时,传播的信号频率越高,损耗 。
( B )A 、越小B 、越大C 、不变D 、无法确定6、并联谐振回路谐振时,电纳为零,回路总导纳为 。
( B )A .最大值B .最小值C .零D .不能确定7、谐振回路与晶体管连接时,常采用部分接入方式实现阻抗匹配,控制品质因数以达到对通频带和选择性的要求,图示电路中Is 信号源的接入系数s p 为 。
( D )s iA .12L LB .21L LC .112L L L +D .212L L L +8、电路与上题同,晶体管基极与谐振回路的接入系数L p 为 。
( C )A .12C CB .21C C C .112C C C +D .212C C C +9、考虑信号源内阻和负载后,LC 选频回路的通频带变 ,选择性变 。
( D )A 、小、好B 、大、好C 、小、差D 、大、差10、LC组成并联谐振回路,谐振频率LCfoπ21=,把它串接在电路中,就能阻止频率为多少的信号通过。
( A )A.不为of B.of C.大于of D.小于of11、如图所示,将负载LR等效到ab两端LR'= 。
高频电子第五版(张肃文)注意:3-1是2-1祝学习进步(pF)).(L C H)(.QR则L Ω取R Δf f Q (kHz)Δf MHz解:f..159101*********1159********10010100101010121010990101211362620603670036700=⨯⨯⨯⨯===⨯⨯⨯====⨯⨯===⨯-⨯==--ωμω时,产生并联谐振。
C L 或ωC L )当(时,产生串联谐振。
C L 或ωC L )当(时,产生并联谐振。
C L 或ωC L )当解:(22021101220211012202110111311211123======-ωωωR R C L R )LC ωL(j ωR )LC ωLR(j ωC L R C j ωR L j ωR )C j ωL)(R j ω(R 证明:Z =+=-+-++=+++++=-2112111133220020020000 )()()()()())()()()())318010404501053514321121535100160512405354501605151431223202222μH .C C L 故采用后一个不合理舍去pF -得C C C 由pF得C C C 由解:=⨯+⨯⨯⨯⨯='+==+=⨯+=+=⨯+--ω。
L C C ’()()()()m V V Q V V m A .R V I μH ..C L ..R C 解:Q-Sm Com Lom -om om --21210121220510111210100105114321121251010010511432115330312260200126000=⨯⨯====⨯===⨯⨯⨯⨯===⨯⨯⨯⨯⨯⨯==-ωω()()()()()()Ωj ..j .C jR Z Ω.....Q LQ L R pFC pF .L C C C C .V V Q μH .C 解:L X X X X X X X S C 7967471020010143217471747100102531014321052102531014322001001025310143211100101025310100101432116312606666000626200122620-=⨯⨯⨯⨯-=-==⨯⨯⨯⨯-⨯⨯⨯⨯=-==→=⨯⨯⨯⨯==+⋅====⨯⨯⨯⨯==------ωωωωω()()()。