中日材料对照表
- 格式:xls
- 大小:48.50 KB
- 文档页数:1
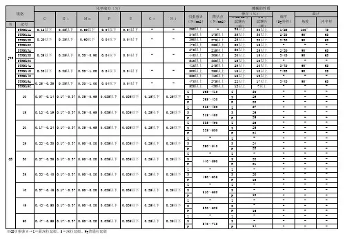
日本压铸铝合金化学成分%备注:ADT4相当JIS H5302(1989) ADC10Z、ADC12Z相当SAEJ452中的A13800,A03830. ADT17相当JIS H5302(1989) ADC14,相当SAEJ452中的A03900.摘自:TSG7251G 系列号38E-0-0040-0日本灰铸铁化学成分单位:%日本灰铸铁机械性能摘自:TSG5100G 系列号:38E-0-0034-0备注:FC200相当FC20(旧记号)、FCG20(旧丰田)、FC200(JIS)。
(摘自:TSG5100G )中国灰铸铁化学成分GB5675-85 单位%中国灰铸铁力学性能GB5675-85日本优质碳素结构钢机械性能表JISG4051摘自:《中外常用金属材料手册》陕西省标准化情报研究所编P362.日本优质碳素结构钢化学成分表单位%备注:S10相当JIS S10C,S15相当于JIS S15C,其余依次类推。
摘自:TSG3200G中国优质碳素结构钢化学成分表GB699-88 单位%中国优质碳素钢力学性能GB699-88日本合金结构钢化学成分表单位%备注:各种不纯物含量Ni在0.25%以下,Cu在0.3%以下。
摘自:TSG3220G 系列号:38E-0-0023-0日本合金结构钢机械性能摘自:林慧国等编《袖珍世界钢号手册》日本铬合金结构钢机械性能(JIS G4104)摘自:《中外常用金属材料手册》陕西省标准化情报研究所编P363.备注:SCr15、SCr20相当JIS G4052 SCr415、SCr420H,JIS G4104 SCr415H,SCr420H。
(摘自:TSG3220G)中国合金结构钢化学成分及力学性能表GB3077-88日本轴承钢化学成分%中国轴承钢化学成分和硬度YB(T)1-80日本螺钉所用材料摘自:TSB1001G 系列号:38E-0-003-0本TSB1001G螺钉的机械性能摘自:TSB1001G 系列号:38E-0-003-0。
中英日文面料对照表綿: 棉(コットン棉花)ラミー苎麻レーヨン人造丝ビスコース粘胶纤维ナイロン尼龙ポリエステル涤纶聚酯纤维アクリル腈纶亚力克ポリアミド锦纶毛ウール羊毛カシミヤ織カシミア开司米羊绒モヘア马海毛ウサギの毛アンゴラ(安哥拉)兔毛ウサギの生地兔绒絹シルク真丝灯心绒コ一デュロイ丝绒,天鹅绒ベルベット苏格兰格子タ一タンチェック麻布亚麻ポリエチレン聚乙烯ポリウレタン聚氨酯アセテート醋脂繊維纤维サ一ジ哔叽呢弹性纤维人造纤维氨纶棉棉聚脂棉亚麻涤纶牛仔布网毛绒提花布针织人造丝纤维尼龙亚麻腈纶蕾丝雪纺绸缎丝绸羊毛混纺聚脂开司米羊驼呢灯芯绒棉织物水洗棉丝光棉胶皮天鹅绒革棉合成皮革人造皮革人造裘皮琼皮布人造毛毛呢高级毛呢斜纹软呢粗斜纹布格纹毛织牛皮羊皮法兰绒貂毛兔毛木材皮革金属金属布宽生地巾单幅シングル巾双幅ダブル巾丹尼尔デニ一ル提花ジャカ一ド条纹ストライプ条格花纹チェック多臂花式织ドビ一丝,真丝シルク平纹织布ロ一ン密织平纹ブロ一ド彩色格子布ギンガムチェック斜纹劳动布ダンガリ一牛津布ォックスフォ一ド斜纹布ッイル牛仔布デニム丝光卡其军服布チノクロス双绉布デシン乔其布ジョ一ゼット缎纹布サテン缎背绉バックサテン凹凸组织ピケ棉绒ベっちん灯心绒コ一デュロイ丝绒,天鹅绒ベルベット哔叽呢サ一ジ华达呢ギャバジン苏格兰格子タ一タンチェック小方格子花纹グレンチェック粗呢,粗花呢ッィ一ド纬呢斯缎纹ベネシャン法兰绒フラノ麦尔登呢メルトン柳条绉よぅりゅぅ泡泡布サッカ一马德拉斯条子细布マドラスチェック茧绸,山东府绸シルクポンジ一花塔夫タフタ人造短纤维スバンレ一ョン毛毡,毡合织物フェルト植绒印花フロッキ一加工半透明处理,烂花处理,乳白处理ォバ一ル加工凹凸扎花,拷花处理ェンボス加工綿棉麻布亚麻絹シルク真丝ラミー苎麻レーヨン人造丝ビスコース粘胶纤维ナイロン尼龙ポリエステル涤纶聚酯纤维アクリル腈纶亚力克ポリアミド锦纶ポリプロピレン丙纶ポリエチレン聚乙烯ポリウレタン聚氨酯毛ウール羊毛伸縮性があるエラストマー氨纶斯潘德克斯弹性纤维繊維本纤维カシミヤ織カシミア开司米羊绒モヘア马海毛ウサギの毛アンゴラ(安哥拉)兔毛ウサギの生地兔绒伸縮性があるエラストマー氨纶斯潘德克斯弹性纤维提花ジャカ一ド条纹ストライプ条格花纹チェック多臂花式织ドビ一丝,真丝シルク平纹织布ロ一ン密织平纹ブロ一ド彩色格子布ギンガムチェック斜纹劳动布ダンガリ一牛津布ォックスフォ一ド斜纹布ッイル牛仔布デニム丝光卡其军服布チノクロス双绉布デシン乔其布ジョ一ゼット缎纹布サテン缎背绉バックサテン凹凸组织ピケ棉绒ベっちん灯心绒コ一デュロイ丝绒,天鹅绒ベルベット华达呢ギャバジン苏格兰格子タ一タンチェック小方格子花纹グレンチェック粗呢,粗花呢ッィ一ド纬呢斯缎纹ベネシャン法兰绒フラノ麦尔登呢メルトン柳条绉よぅりゅぅ泡泡布サッカ一马德拉斯条子细布マドラスチェック茧绸,山东府绸シルクポンジ一花塔夫タフタ人造短纤维スバンレ一ョン毛毡,毡合织物フェルト植绒印花フロッキ一加工半透明处理,烂花处理,乳白处理ォバ一ル加工凹凸扎花,拷花处理ェンボス加工桃皮起毛处理ビ一チスキン加工上胶涂布コ一ティング双面布グブルフェ一ス针织布ニット生地单面针织布シングルジャ一ジ一双面针织布ダブルジャ一ジ一平针织布天竺双罗纹织布,棉毛スム一ス罗纹织リブ毛巾布,起毛毛圈布テリ一丝绒ベロア一绒头纱布バイルクロス常用服装面料解读●麻:是一种植物纤维,被誉为凉爽高贵地纤维,它吸湿性好,放湿也快,不易产生静电热传导大,迅速散热,穿着凉爽,出汗后不贴身,较耐水洗,耐热性好.●桑蚕丝:天然地动物蛋白质纤维,光滑柔软,富有光泽,有冬暖夏凉地感觉,磨擦时有独特地“丝鸣“现象,有很好地延伸性,较好地耐热性,不耐盐水浸蚀,不宜用含氯漂白剂或洗涤剂处理.●粘胶:以木材、棉短绒、芦苇等含天然纤维素地材料化学材料加工而成,也常称人造绵,具有天然纤维地基本性能,染色性能好,牢度好,织物柔软,比重大,悬垂好,吸湿性好,穿着凉爽,不易产静电、起毛和起球.●醋酯纤维:由含纤维素地天然材料经化学加工而成,肯有丝绸地风格,穿着轻便舒适,有良好地弹性和弹性回复性能,不宜水洗,色牢度差.●涤纶:属于聚酯纤维,具有优良地弹性和回复性,面料挺括,不起皱,保形性好,强度高,弹性又好,经久耐穿并有优良地耐光性能,但容易产生静电和吸尘吸湿性差.●锦纶:为聚酰胺纤维,也是所谓地尼龙,染色性在合成纤维是较好地,穿着轻便,又有良好地防水防风性能,耐磨性高,强度弹性都很好.●丙纶:外观似毛戎丝或棉,有蜡状手感和光泽,弹性和回复性一般不易起皱比重小,轻,服装舒性好,能更快传递汗水使皮肤保持舒适感,强度耐磨性都比较好经久耐用,不耐高温.●氨纶:具有优良弹性又称弹力纤维,也称莱卡,弹性好,手感平滑,吸湿性小,有良好耐气候和耐化学品性能,可机洗,耐热性差.●维纶:织物外观和手感似棉布,弹性不佳,合湿性好比重和导热系数小,穿着轻便保暖,强度耐磨性较好结实耐穿,有优良耐化学品,日光等性能.●纯麻细纺:具有细密、轻薄、挺括、滑爽风格,有较好地透气性和舒适感.●夏布:是中国传统纺织品,织物颜色洁白,光泽柔和,穿着时有清汗离体、挺括凉爽地特点.●交织麻织物:质地细密、坚牢耐用,而面洁净,手感均比纯麻织物柔软,穿着舒适.●松轻毛织物:具有轻松柔软、结构松、重量轻、手感柔、有弹性、透气好特征,穿着舒适.●长毛绒:亦称海虎绒,绒毛平整挺立,毛从稠密坚挺,保暖性好,绒面光泽明亮,柔和,手感丰满厚实,保暖轻便,具有良好地耐穿性. ●粘胶:吸湿透气好,易染色,织物具有良好手感,穿着舒适,悬垂性好,耐洗涤.●平布:组织简单,结构紧密,牢固结实,表面平整缺管弹性.●细布:面料比丝绸坚牢,表面平整细洁,轻薄似绸,柔软,舒适.●府绸:质地细密、轻薄、布面柔软、滑爽、挺括,表面织纹清晰颗粒饱满,光泽莹润,有好地质感.●巴百纱:质地很轻薄,穿在身上有很好地舒适感,有良好地吸湿性和透气性,独具稀、薄、爽等风格.●卡其:织物质地紧密,厚实,坚牢,具有很好地耐磨性,挺括,织纹清晰.●绉布:布面皱缩不平,亦称核桃呢,轻薄柔软,滑爽新颖,易染色.●牛津布:具有特色棉织物,具有手感柔软、光泽自然、布面气孔多,穿着舒适,平挺保形性好.11 / 11。
中英日文面料对照表Cotton /綿: 棉(コットン棉花)Ramie/ラミー苎麻Rayon /レーヨン人造丝Viscose /ビスコース粘胶纤维Nylon /ナイロン尼龙Polyester /ポリエステル涤纶/聚酯纤维Acrylic /アクリル腈纶/亚力克ACRYLIQUEPolyamide /ポリアミド锦纶Wool /毛/ウール羊毛Cashmere /カシミヤ織/カシミア开司米/羊绒Mohair /モヘア马海毛Angola rabbit hair /ウサギの毛/アンゴラ(安哥拉)兔毛Rabbit fabric /ウサギの生地兔绒Silk /絹/シルク真丝灯心绒コ一デュロイ corduroy丝绒,天鹅绒ベルベット velvet苏格兰格子タ一タンチェックtartan checkLinen /麻布亚麻Polyethylene /ポリエチレン聚乙烯Polyurethane /ポリウレタン聚氨酯Acetate / アセテート醋脂Fiber / 繊維纤维serge/サ一ジ哔叽呢ELASTHANNE 弹性纤维人造纤维SPANDEX氨纶棉 Cotton棉+聚脂 Cotton+Poly棉+亚麻 Cotton+Linen涤纶 Polyester牛仔布 Denim网 Mesh毛绒 Plush提花布 Jacquard针织 Knit人造丝 Rayon纤维 Fiber尼龙 Nylon亚麻 Linen腈纶 Acrylic蕾丝 Lace雪纺 Chiffon绸缎 Satin丝绸 Silk羊毛 Wool混纺 Blended聚脂 Poly开司米 Cashmere羊驼呢 Alpaca灯芯绒 Corduroy棉织物 Cotton Fabrics水洗棉 Washed cotton丝光棉 Mercerized cotton胶皮 Rubber天鹅绒 Velvet革棉 Padding cotton合成皮革 Synthetic人造皮革 Artificial Leather 人造裘皮 Artificial fur琼皮 Suede布 Fabric人造毛 Artificial fur毛呢 Woolen高级毛呢 Choice Woolen斜纹软呢 Tweed粗斜纹布格纹毛织 Check woolen牛皮 Cowhide羊皮 Sheepskin法兰绒 Flannel貂毛 Mink fur兔毛 Rabbit fur木材 Wood皮革+金属 Leather+Metal金属 Metal布宽生地巾 fabric width单幅シングル巾 single width双幅ダブル巾 double width丹尼尔デニ一ル denier提花ジャカ一ド jacquard条纹ストライプ stripe条格花纹チェック check,plaid多臂花式织ドビ一 dobby丝,真丝シルク silk平纹织布ロ一ン plain密织平纹ブロ一ド broad cloth彩色格子布ギンガムチェックgingham check斜纹劳动布ダンガリ一 dungaree牛津布ォックスフォ一ド oxford斜纹布ッイル twill牛仔布デニム denim,jean丝光卡其军服布チノクロス chino cloth双绉布デシン crepe de cine乔其布ジョ一ゼット georgette缎纹布サテン satin缎背绉バックサテン satin-back crepe凹凸组织ピケ pique棉绒ベっちん cotton velvet灯心绒コ一デュロイ corduroy丝绒,天鹅绒ベルベット velvet哔叽呢サ一ジ serge华达呢ギャバジン gaberdine苏格兰格子タ一タンチェックtartan check 小方格子花纹グレンチェック gien check 粗呢,粗花呢ッィ一ド tweed纬呢斯缎纹ベネシャン venetian法兰绒フラノ fiannel麦尔登呢メルトン melton柳条绉よぅりゅぅ crepe泡泡布サッカ一 sucker马德拉斯条子细布マドラスチェック madras check 茧绸,山东府绸シルクポンジ一 silk pongee花塔夫タフタ taffeta人造短纤维スバンレ一ョン spun rayon毛毡,毡合织物フェルト felted fabric植绒印花フロッキ一加工 flock printing半透明处理,烂花处理,乳白处理ォバ一ル加工opal printing凹凸扎花,拷花处理ェンボス加工 emboss finish Cotton /綿棉Linen /麻布亚麻Silk /絹/シルク真丝Ramie/ラミー苎麻Rayon /レーヨン人造丝Viscose /ビスコース粘胶纤维Nylon /ナイロン尼龙Polyester /ポリエステル涤纶/聚酯纤维Acrylic /アクリル腈纶/亚力克Polyamide /ポリアミド锦纶Polypropylene /ポリプロピレン丙纶Polyethylene /ポリエチレン聚乙烯Polyurethane /ポリウレタン聚氨酯Wool /毛/ウール羊毛Spandex/Elastic/Oplon/ OP /伸縮性がある/エラストマー氨纶/斯潘德克斯弹性纤维Fiber /繊維本纤维Cashmere /カシミヤ織/カシミア开司米/羊绒Mohair /モヘア马海毛Angola rabbit hair /ウサギの毛/アンゴラ(安哥拉)兔毛Rabbit fabric /ウサギの生地兔绒Spandex/Elastic/Oplon/ OP /伸縮性がある/エラストマー氨纶/斯潘德克斯弹性纤维提花ジャカ一ド jacquard条纹ストライプ stripe条格花纹チェック check,plaid多臂花式织ドビ一 dobby丝,真丝シルク silk平纹织布ロ一ン plain密织平纹ブロ一ド broad cloth彩色格子布ギンガムチェック gingham check斜纹劳动布ダンガリ一dungaree牛津布ォックスフォ一ド oxford斜纹布ッイルtwill牛仔布デニムdenim,jean丝光卡其军服布チノクロス chino cloth双绉布デシンcrepe de cine乔其布ジョ一ゼット georgette缎纹布サテン satin缎背绉バックサテン satin-back crepe凹凸组织ピケ pique棉绒ベっちん cotton velvet灯心绒コ一デュロイ corduroy丝绒,天鹅绒ベルベット velvet华达呢ギャバジン gaberdine苏格兰格子タ一タンチェック tartan ch小方格子花纹グレンチェック gien check粗呢,粗花呢ッィ一ド tweed纬呢斯缎纹ベネシャンvenetian法兰绒フラノfiannel麦尔登呢メルトンmelton柳条绉よぅりゅぅcrepe泡泡布サッカ一sucker马德拉斯条子细布マドラスチェック madras check 茧绸,山东府绸シルクポンジ一silk pongee 花塔夫タフタ taffeta人造短纤维スバンレ一ョン spun rayon毛毡,毡合织物フェルトfelted fabric植绒印花フロッキ一加工 flock printing半透明处理,烂花处理,乳白处理ォバ一ル加工 opal printing凹凸扎花,拷花处理ェンボス加工 emboss finish桃皮起毛处理ビ一チスキン加工peach-skin finish上胶涂布コ一ティングcoating双面布グブルフェ一ス double faced fabric针织布ニット生地knitted fabric单面针织布シングルジャ一ジ一single jersey双面针织布ダブルジャ一ジ一double jersey平针织布天竺plain knitting fabric双罗纹织布,棉毛スム一スdouble rib罗纹织リブ rib毛巾布,起毛毛圈布テリ一 terry丝绒ベロア一 velour绒头纱布バイルクロスpile cloth常用服装面料解读●麻:是一种植物纤维,被誉为凉爽高贵的纤维,它吸湿性好,放湿也快,不易产生静电热传导大,迅速散热,穿着凉爽,出汗后不贴身,较耐水洗,耐热性好。