广州大学土木工程研究生考试复试
- 格式:doc
- 大小:29.00 KB
- 文档页数:6
师弟师妹们:你们好!过完一个快乐的春节,新的任务又来了!在这里,首先是恭喜大家顺利通过初试,获得了复试的资格,进复试了也可以说几乎接近梦想成真了!剩下的大家只要鼓最后一把劲,按部就班的复习,一般就不会出很大意外了,但是大家千万不要掉以轻心,否则功亏一篑。
下面大致跟大家说下复试相关方面的问题:广大复试主要分为几部分:(以下任何一门不得低于60分)1、专业课笔试(具体科目招生目录就有)2、专业课面试(到时候分专业进行,我们为大家准备了一些历年常见问题)3、专业英语笔试(考试形式不是很稳定,但是应该是作文+翻译的两种题型,具体翻译考一段话翻译还是多个单句翻译说不好)4、英语面试(一般是进去之后与老师对几句话,除了聊聊基本信息还可能问你一些常见的问题,我们也已经做了总结;然后看一份英文论文的一段口头翻译,老师现场打分)还有一些温馨提示:1、及时关注学校出的任何通知,过来带好要求带的一切证件。
2、来复试尽量提前一两天来,定好房间安顿下来,复试一般需要一个周左右时间,住的地方除了学校推荐的学校的招待所外(相对较贵),还可以住在北亭村中(百余家旅社,离学校很近)。
3、交通路线:(建议坐地铁,当然熟悉的话公交也很方便的)广州火车站下车的同学路线:出站往左走100m找地铁口,5号线到车陂南转4号线到大学城北下车,A出口往回走50m,坐经过广大公交车。
广州东站下车的同学的路线:3号线北延段至体育西路转3号线至珠江新城转5号线至车陂南转4号线至大学城北,A出口,再往回走50m,坐经过广大的公交车。
广州南站(高铁站)的同学直接做“番52路”公交车直达广大,55分钟,票价4元。
其他汽车站的同学大家自己查询!当然,具体路线大家还可以百度地图哦!一、近几年学硕和专硕专业课面试试题整理1、介绍你的毕业设计,设计内容及流程等2、大学里学过哪些课程,哪些课程比较感兴趣,哪些课程学的比较好3、哪个大学什么专业毕业的,家乡是哪里的4、什么是虚功原理?什么是虚位移?为什么这么叫?5、结构力学中时候如何固定刚片的?6、高层有几种结构形式?7、结构力学的基本假定是什么?8、说下什么叫斜压破坏、斜拉破坏、剪压破坏?各自的特点描述以及属于什么破坏类型(都是脆性破坏)9、汶川地震房子为什么损坏如此严重,分析你认为的原因10、拿一个矿泉水瓶问你,如果在瓶子的两端作用一个扭矩,求它的应力?给你纸写出应力(正应力、切应力)公式,如果作用一个弯矩,写出相应的公式。
攻读2014年广州大学土木工程学院研究生攻略1.广州大学土木工程学院简介与概况广州大学土木工程学院拥有一支实力雄厚的教学、科研队伍,形成了老中青结合、综合素质高、教学科研能力强的学科人才体系。
全院教职工150余人,其中中国工程院院士1人,正高职称41人,副高职称59人,博士学位教师67人,博士、硕士生导师70余人,国家学科专业指导委员会顾问、委员5人,并长期聘请国内外著名专家50余人作为客座教授或兼职教授。
广州大学土木工程学院的前身为成立于1984年的华南建设学院西院土木工程系。
2000年经国家教育部批准,华南建设学院西院合并入新组建的广州大学,土木类的专业经过整合后组建成立土木工程学院。
土木工程学院设有建筑工程系、交通土建工程系、地下建筑工程系、建筑设备工程系、市政工程系、工程力学系六个系及实验室,设有工程材料研究所等7个研究机构。
土木工程学院的防灾减灾工程及防护工程为广东省重点学科、市政工程、供热供燃气通风及空调工程、桥梁与隧道工程为广东省重点(扶持)学科。
土木工程学院近5年来,承担国家、省部级项目110多项,工程技术服务项目400多项,科研经费1.1亿,发表论文900多篇,出版专著19部,主编教材48部,主编参编国际、国家技术规程规范16部,获国家、省部级科研奖励17项。
土木工程学院现有“减震控制与结构安全”省部共建国家重点实验室培育基地、“工程抗震减震与结构安全”和“珠江三角洲水质安全与保护”省部共建教育部重点实验室、“建筑节能与应用技术”和“地震工程与应用技术”广东省重点实验室、“隔震减震控制与抗震”广东省高校工程技术研究中心。
为培养学生的实践能力和创新精神,建立了包括广州市建筑集团、广州市机电安装有限公司、深圳市水务(集团)有限公司等设施完善、满足实践教学要求的实习基地22个。
土木工程学院现有土木工程专业、建筑环境与设备工程专业、给水排水工程专业、交通工程专业等4个本科专业。
其中,土木工程、建筑环境与设备工程、给水排水工程3个专业均通过了建设部专业教育评估;土木工程专业、给水排水专业为教育部高等学校特色专业建设点,土木工程、给水排水工程专业为广东省名牌专业,建筑环境与设备工程专业为广州市名牌专业,现有国家教学团队1个,国家精品课程2门,省市精品课程11门,近5年获国家、省级教学成果奖4项。
广州大学结构力学真题答案、题库、复试真题各位学弟学妹:大家好,我是广州大学土木工程学院的研究生。
2011年,在一群热心的有志之士的商议下,由我负责建立了一个考研QQ 群:广州大学土木工程考研(155705234)。
因为本人也是考研过来人,深知考研学生的迷惘,特别是对于外校的考生,信息和资料的不对称是很严重的,所以特地建了此群,给大家提供一个交流平台和信息来源,希望能给大家带来帮助。
也希望所有群员互相勉励,共同进步。
争取广大见!本群帮助了很多届的学生了,会一直更新,延续使用。
欢迎大家加入。
大家的支持就是我们前进的动力。
本群共享了一些广州大学土木工程结构力学真题、真题答案、题库、笔记、视频课件、复试真题、复试攻略等重要的备考资料;群文件还上传了每年广州大学土木工程学院各专业考研录取人数和分数的一些信息。
对于已经决定报考广大的同学和还在犹豫是否要报广大的同学都有一个很好的帮助和指导。
下面先为大家解答一下大家报广大最关心的问题:一、最最最关心的问题:广州大学值不值得考?实力怎样?广州大学本科土木工程专业,2016年全国排名第30。
大家可以百度搜索“2016土木工程专业大学排名”。
硕士防灾减灾工程及防护专业全国排名第20。
各专业排名大家都可以百度搜索。
全国985类院校34所,可以看出,广大土木专业比部分985土木专业还好。
土木学院现有中国工程院院士1人,教授49人,副教授63人,博士、硕士生导师70余人。
设有1个博士后流动站,6个二级学科博士点(也就是说大家研究生所报考的专业基本都有博士点)。
师资配备雄厚。
在广东省土木论实力和名气,除了华工基本就是广大了。
而且广大属于广州市重点扶持的学校,发展潜力很大。
我们都是见证广大这几年飞跃发展的人。
今年,广大土木学院招收硕士研究生300人,从招生人数之多,也可以看出广大的火爆和受欢迎的程度。
所以,广大是广东地区除985以外,土木专业实力最强最值得报的学校。
二、最最关心的问题:广州大学研究生毕业就业如何?广大土木研究生近几年的就业整体还不错,有不少学生毕业近了广东顶级大型设计院(如广东省设计院、广州市设计院、广州市政设计院等)、知名房地产(恒大、万科、富力、碧桂园等),大型施工单位(中铁、中建,广州市一建等),或者其他一些事业单位(高校)。
土木工程学院2015年攻读研究生招生专业目录广州大学土木工程学院拥有土木工程一级学科博士后流动站,土木工程一级学科博士点(含6个二级学科),一级学科硕士点(含6个二级学科),以及工程力学、建筑与土木工程领域硕士点。
我院有5个实验中心、1个研究中心、9个研究所。
学院现有教职工近200人,其中中国工程院士1人、教授51人、副教授70人、博士82人、国家学科专业指导委员会顾问及委员5人,聘请国内外着名专家60余人为客座教授或兼职教授。
在校研究生近700人,本科生近2000人。
有国家特色专业2个、广东省攀峰重点学科、省名牌专业2个、省重点学科4个、国家精品课程2门、省重点课程3门、部优秀课程3门、教育部重点实验室2个、省重点实验室2个,近几年主持973项目、国家自然科学基金重点及面上科研项目180余项,出版专着、教材70余部,发表学术论文600余篇。
广州大学土木工程学科带头人周福霖教授为中国工程院院士、博士生导师、广州大学土木工程学院名誉院长。
担任国际减震学会(ASSISi)主席、联合国工发组织(UNIDO)隔震技术顾问、国际地震工程学会(IAEE)单位成员代表、国际桥梁与结构工程学会(IABSE)成员、中国建筑学会抗震防灾分会常务理事和结构减震控制专业委员会主任委员、中国工程院土木建筑水利学部常委、国家汶川地震专家委员会委员、广东省土木建筑学会副理事长、广州市科协主席。
曾主持过中国国家科学基金研究项目、美国国家科学基金项目、中美科技合作项目、联合国工发组织(UNIDO)科学技术研究开发项目等11项。
曾担任联合国工发组织(UNIDO)隔震技术顾问,主持联合国工业发展组织(UNIDO)隔震国际学术会及中-美国际隔震减震控制学术会议,并担任会议学术委员会执行主席。
近年来,出版着作5部,发表论文近200篇,曾获得建设部劳动模范、广东省五一劳动奖章获得者、广东省有突出贡献专家、省优秀教师、广东省首届“南粤创新奖”、广州十大优秀留学回国人员、市模范教师等多个光荣称号。
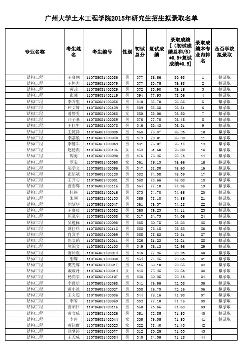
结构工程:2012年广州大学土木工程学院研究生初试复试综合排名岩土工程:2012年广州大学土木工程学院研究生初试复试综合排名防灾减灾:2012年广州大学土木工程学院研究生初试复试综合排名建筑与土木工程:2012年广州大学土木工程学院研究生初试复试综合排名工程力学:桥梁与隧道工程:2012年广州大学土木工程学院研究生初试复试综合排名供热、供燃气、通风及空调工程:2012年广州大学土木工程学院研究生初试复试综合排名市政工程:2012年广州大学土木工程学院研究生初试复试综合排名8徐宏平市政工程仲恺农业工程学院给水排水工程77.62 32070.81 是9易丹市政工程湖南城市学院给水排水工程73.69 33770.55 是10邓杰市政工程华中科技大学文华学院给水排水工程75.04 32770.22 是11熊伟市政工程华中科技大学文华学院给水排水工程68.09 36170.1512陈森茂市政工程广州大学给水排水工程74.50 31468.6513黄文昌市政工程南昌航空大学给水排水工程72.41 31767.9114何俊市政工程华中科技大学文华学院给水排水工程68.53 33467.6715戴先水市政工程江西理工大学给水排水工程68.15 32366.3816龚超市政工程湖南城市学院给水排水工程60.75 35565.8817庞梦舟市政工程华中科技大学文华学院给水排水工程71.41 29765.41[文档可能无法思考全面,请浏览后下载,另外祝您生活愉快,工作顺利,万事如意!]。
2019广州大学考研各专业参考书目汇总
——广州大学各专业考研指定教材是什么?
广州大学每年都有指定大部分专业的参考书,找不到自己专业参考书目的同学可以登入鸿知广大考研网查看广州大学的考试大纲,或者点击鸿知广大考研网免费向广州大学研一研二学长学姐或考研老师咨询。
同时鸿知广大考研网还提供广大考研真题答案,需要的同学可以点击预览。
2018年广州大学考研各专业参考书汇总全文详细内容请打开链接地址查看:
/news/details.aspx?id=1534
2018年广州大学土木工程学院考研招生专业目录及参考书目
此内容由鸿知广大考研网发布。
2019年广州大学考研复试攻略专题——广州大学考研复试怎么准备复试可以说是每个考研er最担心的一环,在经过残酷的初试筛选后,往往复试还暗藏杀机,即便是初试高分的考生也不能掉以轻心,因为复试逆袭的情况每年都在发生。
复试中考生最担忧的莫过于面试环节了,对于一个还未踏入社会的学生而言,面试环节让考生给予考生的陌生感会带来许多的焦虑和压力。
鸿知广大考研网()带各位考生一起来看看考研的报考流程需要注意哪些问题吧。
考生们还可以登入鸿知广大考研网,免费向广大研一研二的学长学姐提问。
鸿知广大考研网还提供海量广大考研真题答案(/kaoyan/)点击了解详情。
关于广州大学复试:考研初试结束后,多数考生都在焦急地等待着初试成绩公布。
在这段时间里,考生应该尽早进入到复试的备考准备阶段。
首当其冲的自然同时,同学们应尽快复习巩固考研英语口语与听力可以先温习专业课的初试教材,并着手学习复试的专业课教材,同时结合往届鸿知广大考研网地址链接:广大考研真题答案地址链接:/kaoyan/广州大学考研复试分数线:初试成绩公布后,许多考生便开始担心“我这个成绩能不能进广大的复试呢?”在复试名单公布前,不是什么事都做不了,考生可根据往年广州大学复试分数线作为参考,事先做好预估和规划。
以下为广州大学2018年考研复试分数线:推荐阅读:2018广州大学考研应用心理专硕复试经验2018广州大学考研中国史复试经验2018广州大学考研新闻传播复试经验鸿知广大考研网地址链接:广大考研真题答案地址链接:/kaoyan/广州大学考研复试调剂常识:>>>关于考研复试:第一,考研复试是在全国初试成绩基本要求公布后,各招生单位根据招生计划和考生的考试情况再确定一个复试分数线,确定之后会及时通知满足复试条件的考生来参加复试。
复试时间,一般会集中在3月下旬至4月下旬。
复试主要内容包括英语口语、专业基础课,还有专业技能的考核以及心理素质等,其中英语口语和专业方面的考核应引起考生的高度重视。
广州大学硕士研究生招生复试办法(2010年9月修订)为了做好我校硕士生的复试工作,根据《教育部关于加强硕士研究生招生复试工作的指导意见》(教学〔2006〕4号),遵循公平、公正、公开的原则,结合我校的实际情况,特制定本办法。
一、组织管理(一)成立学校和学院(包括中心、所,以下简称学院)两级研究生招生工作领导小组。
(二)各学院应组成不少于3人的研究生招生工作领导小组,由学院主管研究生教育的行政领导担任组长,一般要求有1名学院党委(总支)负责人作为成员。
(三)各学院应根据本办法的要求,制定本单位具体的复试工作细则,并组织实施。
各单位的复试工作细则必须在复试前一周向考生公布,同时报研究生处招生办公室备案。
(四)各学院要以二级学科、专业为单位成立复试小组。
复试小组由以导师为主体的教学、科研人员组成,一般不少于5人,并设立组长1名。
组长应对复试的各个环节负责。
复试小组负责确定复试具体程序、内容和评分标准,负责实施复试工作。
复试小组下设秘书1名,由本专业助教或助教以上职称的教学、科研人员担任,负责复试记录和协助安排有关事宜。
复试记录要做到详尽规范,并妥存备查。
(五)各招生学院在复试前,应组织参与复试的教师熟悉复试工作的基本规范,掌握招生政策,增强复试教师的责任感。
对考生进行复试时,要严格执行复试程序和复试标准,保证复试质量。
(六)各学院研究生招生工作领导小组应认真履行对本单位研究生招生工作的领导职责,并对本单位考生的复试录取结果负责。
对于参加复试而未被录取的考生就复试结果提出的质疑,招生学院应认真向考生做出必要的解释。
二、复试办法(一)复试名单的确定1.各学科复试基本分数线由学校根据有关政策和各学科的具体情况划定。
2.初试成绩符合我校复试基本要求者,由招生学院以二级学科、专业按总分从高到低的顺序确定本学科、专业参加复试的考生名单。
3.参加复试的考生人数,原则上应为本学院(专业)招生规模的130%左右,具体比例由各学院根据本单位的学科、专业特点及生源情况确定。
2019广州大学考研各专业参考书目汇总
——广州大学各专业考研指定教材是什么?
广州大学每年都有指定大部分专业的参考书,找不到自己专业参考书目的同学可以登入鸿知广大考研网查看广州大学的考试大纲,或者点击鸿知广大考研网免费向广州大学研一研二学长学姐或考研老师咨询。
同时鸿知广大考研网还提供广大考研真题答案,需要的同学可以点击预览。
2018年广州大学考研各专业参考书汇总全文详细内容请打开链接地址查看:
/news/details.aspx?id=1534
2018年广州大学土木工程学院考研招生专业目录及参考书目
此内容由鸿知广大考研网发布。
师弟师妹们:你们好!过完一个快乐的春节,新的任务又来了!在这里,首先是恭喜大家顺利通过初试,获得了复试的资格,进复试了也可以说几乎接近梦想成真了!剩下的大家只要鼓最后一把劲,按部就班的复习,一般就不会出很大意外了,但是大家千万不要掉以轻心,否则功亏一篑。
下面大致跟大家说下复试相关方面的问题:广大复试主要分为几部分:(以下任何一门不得低于60分)1、专业课笔试(具体科目招生目录就有)2、专业课面试(到时候分专业进行,我们为大家准备了一些历年常见问题)3、专业英语笔试(考试形式不是很稳定,但是应该是作文+翻译的两种题型,具体翻译考一段话翻译还是多个单句翻译说不好)4、英语面试(一般是进去之后与老师对几句话,除了聊聊基本信息还可能问你一些常见的问题,我们也已经做了总结;然后看一份英文论文的一段口头翻译,老师现场打分)还有一些温馨提示:1、及时关注学校出的任何通知,过来带好要求带的一切证件。
2、来复试尽量提前一两天来,定好房间安顿下来,复试一般需要一个周左右时间,住的地方除了学校推荐的学校的招待所外(相对较贵),还可以住在北亭村中(百余家旅社,离学校很近)。
3、交通路线:(建议坐地铁,当然熟悉的话公交也很方便的)广州火车站下车的同学路线:出站往左走100m找地铁口,5号线到车陂南转4号线到大学城北下车,A出口往回走50m,坐经过广大公交车。
广州东站下车的同学的路线:3号线北延段至体育西路转3号线至珠江新城转5号线至车陂南转4号线至大学城北,A出口,再往回走50m,坐经过广大的公交车。
广州南站(高铁站)的同学直接做“番52路”公交车直达广大,55分钟,票价4元。
其他汽车站的同学大家自己查询!当然,具体路线大家还可以百度地图哦!一、近几年学硕和专硕专业课面试试题整理1、介绍你的毕业设计,设计内容及流程等2、大学里学过哪些课程,哪些课程比较感兴趣,哪些课程学的比较好3、哪个大学什么专业毕业的,家乡是哪里的4、什么是虚功原理?什么是虚位移?为什么这么叫?5、结构力学中时候如何固定刚片的?6、高层有几种结构形式?7、结构力学的基本假定是什么?8、说下什么叫斜压破坏、斜拉破坏、剪压破坏?各自的特点描述以及属于什么破坏类型(都是脆性破坏)9、汶川地震房子为什么损坏如此严重,分析你认为的原因10、拿一个矿泉水瓶问你,如果在瓶子的两端作用一个扭矩,求它的应力?给你纸写出应力(正应力、切应力)公式,如果作用一个弯矩,写出相应的公式。
11、给你一张纸,写出一个2×2的矩阵。
(崔院长跟数学有不解之缘,哈哈)12、为什么有最小配筋率的要求,为什么有最高配筋率的要求?13、你的毕业设计是几类场地,设防烈度是多少,结构是如何构造起来的?14、地震的含义,地震的种类,地震波的类型及特点15、计算弹性体所用的假设有哪些?16、钢筋与混凝土的粘结力构成(注意光圆钢筋和带肋钢筋的区别)17、单向板和双向板的定义和区别18、给你一张纸,写出科氏加速度(理论力学中,去查查)19、钢结构的优缺点总结20、有个很有趣的事,叫做“蚂蚁行军”,蚂蚁走过的路线是曲线,在坐标轴上他做的功怎么计算?曲线上面一部分是什么?(做的功就是曲线与X轴和原点之间的面积,后面问题不是很明白,反正是积分的简单问题,大家不要把数学全忘了,注意复习一下就好了)21、问了一个排架的问题,注意复习一下排架相关内容22、土力学中桩基的问题,推荐大家复习张力霆第二版《土力学与地基基础》23、给你笔和纸,画出两层或者三层框架在水平均布荷载下的弯矩图,在水平荷载作用下的弯矩图24、竖向荷载作用下求框架的内力时,用什么方法?水平荷载下用什么方法计算?建议不仅要知道方法的名字,还要知道具体的步骤。
25、钢结构在地震中是如何比混凝土结构更具有抗震优势的?26、混凝土板要不要配箍筋?为什么?27、在这个房间内,找出你看到的构件的联系?说明传力路径28、高层顶楼的楼梯口是怎么设计的?29、理论力学、材料力学和结构力学之间的联系是什么?30、为什么选择土木工程?(问女生的哦)31、T型梁翼缘bf’如何取值?实际工程上怎么计算bf’?32、柱子为什么要对称配筋?33、弹性模量如何测定?34、消能梁是什么东西,你知道么?(不知道的百度啊)35、抗震设计的2阶段,3水准是什么?36、混凝土适筋梁的受力特性,说下破坏的过程37、轴压比的定义和限值38、毕业设计有没有考虑抗震?怎么考虑的?39、框架在风和地震作用下,内力分别怎么求?40、结构设计的基本原则(强柱弱梁、强剪弱弯、强节点强锚固)41、给你一张纸画一个弯矩图,是能看出来的,不用计算42、说说你的毕业设计内力组合是怎么做的?43、什么是最不利设计?分项系数是什么?44、大小偏心破坏是什么破坏?哪个有利?45、为什么要附加偏心距?46、第一、二类T型梁如何区分?(记住判别公式)47、小震不坏、中震可修、大震不倒你是怎么理解的?48、什么是滞回曲线?(不知道的可以百度百科啊)49、底部剪力法、反弯点和分层法的使用条件以及各自的用途50、鞭梢效应(百度),如何考虑鞭梢效应?(抗震课本中有的,大家可以找)51、圈梁和构造柱的布置位置及其作用提示:这些问题都是高频问题,大家要认真准备好,带着这些问题去看课本,一定要把每个问题的答案自己做出来,答案要完整要具体,相信这些问题可以带来你更大的收获!二、近几年学硕和专硕英语口语面试试题整理基本交流:1、介绍你自己2、介绍你的家乡3、介绍你的家庭情况4、你为什么选择土木工程?5、你为什么考研?6、你为什么选择广州大学?(奉承就好了,嘿嘿)7、你来广州,她给你的感受是什么?广州大学呢?8、介绍你的本科学校9、你的梦想是什么?10、你的读研计划11、你的兴趣爱好12、选择广大,你要如何实现你的梦想?专业英语面试:1、钢筋混凝土怎么读?2、请你说下荷载是怎么传递的温馨提示:1、这些问题是英语提的,回答也是英语回答哦!建议大家先做好答案,然后背下来,这样才会流利对答。
2、英语面试形式经常有变化,其中2013年是读一本杂志或报纸中文章的一段,并翻译,这种考法很难,基本无解哦。
3、专业英语的问题很不好收集,大家很多进去就没有弄懂,出来当然也不晓得是什么问题,大家背背专业单词准备一下。
三、英语笔试2012年英语笔试作文题目:要求180字,以下三篇任选一篇(1、为什么选择土木工程 2、为什么考研究生 3、你的研究生学习计划),2012年还有笔试其他题目,比四级还简单,没有什么担心的。
2013年英语笔试:时间30分钟,一段专业英语的翻译(蛮有难度的)+一篇作文(为什么选择广州大学),时间很紧的,动作要快,不能仔细琢磨。
两年的考法变化很大,你也不要太担心,英语几乎没卡人的。
近两年的真题的很难弄到,附上2011年的试卷大家复习体会一下。
见附件1。
四、专业课笔试专业课笔试科目:岩土工程:①土力学,②基础工程结构工程、防灾减灾工程及防护工程:①混凝土结构设计原理,②钢结构设计原理,③地基基础市政工程:①给水排水管道工程,②水质工程学Ⅰ(给水工程),③水质工程学Ⅱ(排水工程)供热、供燃气、通风及空调工程:①空气调节,②建筑环境学桥梁与隧道工程:①混凝土结构设计原理,②交通工程,③桥梁工程,④路基路面工程工程力学:①理论力学,②结构动力学,③弹性力学,④有限元基础建筑与土木工程:复试内容与学术型对应专业的复试内容相同。
其中土木工程专业复试内容与学术型结构工程专业的复试内容相同。
温馨提示:复试笔试不难,只要把我们的资料做好做懂了,应付考试足够了,你要有足够的信心!我们的给的资料主要是各科的广大本科期末考试试卷和一些题库,大家觉得要复习扎实就可以把这些试卷全部做了,然后记住,考试题目基本上就在里面了。
题目见附件2。
有考混凝土原理的专业,混凝土的复习就是重点,以前广大只考混凝土。
比如结构工程专业的复试,2013年试卷混凝土一百分占70分,而且钢结构只有填空题,地基基础只有五个简答题,我们附上2011年和2012年的混凝土复试真题,见附件3.最后,再给大家说几点注意:1、有很多人问我,我多少分,能上不?希望大吗?这个问题,很难回答,谁也说不准,我能知道的就是,往年都是只要上了国家线,就能来复试(今年如果有变我们会在群里第一时间通知);复试谁用心准备,谁上的几率就越大。
复试占最后录取总成绩的50%,所以复试很重要,不容忽视。
2、毕业设计最好还是要做,毕业设计很重要,而且设计到很多专业知识,做毕业设计相当于就是复习了一些专业课。
面试的时候,还有找导师的时候,考官或导师都会问你一些关于你的毕业设计的问题的。
如果实在没时间做也要详细了解一下过程,具体的计算可以不算但思路要清楚,面试的时候或见导师的时候,问到你,不要说忙于复习没做,要能把设计的思路及一些技术问题熟练的描述出来。
这样才能给面试官或导师留下好印象。
3、关于选导师,首先你手上要有名单,给出链接。
2012年广州大学专业型硕士研究生指导教师资格通过名单:.cn/web/yjsc/39?p_p_id=weblist_INSTANCE_Dr0c&p_p_lifecycle=0&p_p_stat e=maximized&p_p_mode=view&p_p_col_id=column-3&p_p_col_count=1&_weblist _INSTANCE_Dr0c_groupId=26507&_weblist_INSTANCE_Dr0c_articleId=5934616,这里可以看到(注意导师的招生专业方向,不要联系错了)。
大家从里面选几个比较感兴趣一点的老师,然后在问我他们的详细情况,我可以帮你从自己选的导师里面推荐较好的,及给你介绍他们的实际情况,毕竟上面写的较虚。
(不要自己不去选,完全让我推荐,我不是对广大土木学院100多个老师都了如指掌,不能为所有同学量身定做指定一个老师,如果最后他自己不喜欢那个导师,那岂不是要怪我?每个人都想报项目多的名师,但是那样的导师报的人肯定很多,而且分数要求也很高,不是谁都能选上的。
)选好后可以电话、短信或邮件联系他们。
(有些老师上面没有电话的,我可以帮忙问到)打电话的话,最好12点至13点打,其他时间导师都很忙。
发信息或邮件的话,可以简单介绍一下自己的情况,报上考分,并表明想报他的研究生就可以了。
优先考虑先发邮件,邮件能说的清楚一点。
发邮件,最好不要在WORD上写好后添加附件,所有内容直接在邮件上写。
添加附加有的老师不会下载下来看,添加附件会增加老师的工作量。
复试之前联系导师是有好处的,可以增加面试是导师对你的印象分,被选上的几率也比复试后联系大。
一个同学可以同时联系2-3个导师。