2012年绍兴上虞市公务员招考面试成绩公布
- 格式:xls
- 大小:66.00 KB
- 文档页数:20
公 告
2012年嘉善县各级机关考试录用公务员面试工作已于今日结束,现将总成绩及列入体检人员名单公告如下:
招考单位:嘉善县公安局 职位:派出所民警2 名额:9
说明:
1、2012年嘉善县各级机关考试录用公务员总成绩为笔试总成绩除以4与面试成绩除以2之和,
面试合格分为60分,面试成绩不到60分者,不计算总成绩,自然淘汰。
2、各职位按总成绩从高分到低分的排列次序,按招考名额1:1的比例确定体检、考察对象。
体检或考察不合格的,依次递补。
3、请列入体检人员于4月24日下午14:00-16:30携带近期二寸免冠照片1张、身份证、笔试准考证和体检费用230元,到嘉善县人才市场管理办公室(原嘉善县人才交流中心,嘉善县魏塘街道车站北路97号)领取《体检通知》。
附:列入体检人员名单
中共嘉善县委组织部
嘉善县人力资源和社会保障局
二O一二年四月二十一日列入体检人员名单
第 11 页,共 11 页。
本文部分内容来自网络整理,本司不为其真实性负责,如有异议或侵权请及时联系,本司将立即删除!== 本文为word格式,下载后可方便编辑和修改! ==201X上虞中考分数线篇一:201X年浙江省上虞市中考分数线普通高中最低录取分数线职业中专最低录取分数线201X年上虞市普通高中最低录取分数线[ 作者:lmj 来源:未知更新时间:201X-6-24 浏览次数:6190 ]201X年上虞市普通高中最低录取分数线提醒:请上线考生于6月30日—7月1日到原毕业初中学校领取高中入学通知书,7月2日—3日到录取学校办理入学手续。
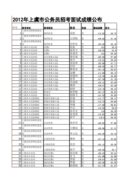
201X年上虞市职业中专录取分数线篇二:201X年上虞市公务员招考面试成绩公布201X年上虞市公务员招考面试成绩公布序号报考单位报考职位姓名性别笔试成绩折分面试成绩折分总成绩名次 1 上虞市纪律检查委员会案件检查宋钦男 142.92 35.73 79.58 39.79 75.52 1* 2 上虞市纪律检查委员会案件检查王琲恪男 136.62 34.16 76.57 38.29 72.44 2 3 上虞市纪律检查委员会案件检查甘梓良男 133.85 33.46 75.61 37.81 71.27 3 4 上虞市人民法院法警1 张航男 134 33.50 77.73 38.87 72.37 1* 5 上虞市人民法院法警1 俞伟卫男 126.38 31.60 78.64 39.32 70.92 2 6 上虞市人民法院法警1 朱建光男 121 30.25 70.72 35.36 65.61 3 7 上虞市人民法院法官预备人选1 龚佳斌男 150.65 37.66 80.11 40.06 77.72 1* 8 上虞市人民法院法官预备人选1 黄丹男 140.31 35.08 82.72 41.36 76.44 2* 9 上虞市人民法院法官预备人选1 麦海勇男 138.96 34.74 78.41 39.21 73.95 3 10 上虞市人民法院法官预备人选1 冯伟男 135.08 33.77 79.51 39.76 73.53 4 11 上虞市人民法院法官预备人选1 黎荣杰男 134.15 33.54 76.19 38.10 71.63 5 13 上虞市人民法院法官预备人选2 金穗女 141.69 35.42 84.54 42.27 77.69 1* 12 上虞市人民法院法官预备人选2 袁丽鸣女 142.35 35.59 82.27 41.14 76.72 2* 15 上虞市人民法院法官预备人选2 张琴女137.85 34.46 80.42 40.21 74.67 3 17 上虞市人民法院法官预备人选2 吴凌霞女 128.12 32.03 79.34 39.67 71.70 4 16 上虞市人民法院法官预备人选2 姚琪女 129.04 32.26 72.48 36.24 68.50 5 14 上虞市人民法院法官预备人选2 柏婷女 140.46 35.12 0.00 0.00 35.12 6 18 上虞市人民法院档案员杨利铭男 157.27 39.32 85.24 42.62 81.94 1* 19 上虞市人民法院档案员张晓飞女 121.38 30.35 81.29 40.65 70.99 2 26 上虞市人民检察院检察官预备人选孙瑜女 141.77 35.44 89.14 44.57 80.01 1* 25 上虞市人民检察院检察官预备人选赵晶女 142.73 35.68 86.38 43.19 78.87 2* 20 上虞市人民检察院检察官预备人选李媛女 147.65 36.91 80.10 40.0576.96 3* 24 上虞市人民检察院检察官预备人选叶沁男 143.58 35.9081.89 40.95 76.84 4* 22 上虞市人民检察院检察官预备人选张幸女女 145 36.25 80.56 40.28 76.53 5* 23 上虞市人民检察院检察官预备人选朱斐斐女 143.92 35.98 71.58 35.79 71.77 6 21 上虞市人民检察院检察官预备人选欧平男 145.5 36.38 0.00 0.00 36.38 7 27 上虞市经济和信息化局企业管理倪芳芳女 150.62 37.66 83.06 41.53 79.19 1* 28 上虞市经济和信息化局企业管理王雅琼女 136.96 34.24 80.00 40.00 74.24 2 29 上虞市经济和信息化局企业管理李文达男 132.58 33.15 78.04 39.02 72.17 3 30 上虞市经济和信息化局计算机管理傅钟男 134.12 33.53 84.09 42.0575.58 1* 32 上虞市经济和信息化局计算机管理范芸女 132.12 33.0380.83 40.42 73.45 2 31 上虞市经济和信息化局计算机管理祝平男 133.58 33.40 77.77 38.89 72.28 3 33 上虞市公安局基层民警1 张庆海男 135.23 33.81 83.93 41.97 75.77 1* 34 上虞市公安局基层民警1 沈飞男 131.96 32.99 78.48 39.24 72.23 2* 35 上虞市公安局基层民警1 李铭男 129.54 32.39 77.83 38.92 71.30 3* 37 上虞市公安局基层民警1 罗毅男 123.38 30.85 79.82 39.91 70.76 4* 36 上虞市公安局基层民警1 陈炳统男124.27 31.07 78.77 39.39 70.45 5 39 上虞市公安局基层民警1 王佳荣男118.58 29.65 79.84 39.92 69.57 6 38 上虞市公安局基层民警1 叶佳伟男122.88 30.72 74.84 37.42 68.14 7 40 上虞市公安局基层民警1 姚泽民男107.5 26.88 72.27 36.14 63.01 8 41 上虞市公安局基层民警2 田飞蝶女132.85 33.21 75.31 37.66 70.87 1*43 上虞市公安局基层民警2 叶青女 113.77 28.44 73.85 36.93 65.37 346 上虞市公安局基层民警3 张辉男 143.31 35.83 81.53 40.77 76.59 1*47 上虞市公安局基层民警3 朱明男 142.69 35.67 78.72 39.36 75.03 2*48 上虞市公安局基层民警3 王磊男 139.85 34.96 79.26 39.63 74.59 3* 52 上虞市公安局基层民警3 马金国男 138.46 34.62 79.73 39.87 74.484* 58 上虞市公安局基层民警3 寿镇威男 134.42 33.61 80.54 40.2773.88 5* 56 上虞市公安局基层民警3 陶涵男 136.62 34.16 79.35 39.68 73.83 6* 44 上虞市公安局基层民警3 罗铮杰男 147.88 36.97 73.2236.61 73.58 7* 53 上虞市公安局基层民警3 王佳明男 138.12 34.53 77.86 38.93 73.46 8* 45 上虞市公安局基层民警3 朱荣坤男 144.38 36.10 74.55 37.28 73.37 9* 49 上虞市公安局基层民警3 俞华斌男139.27 34.82 77.06 38.53 73.35 10* 55 上虞市公安局基层民警3 王军男137.35 34.34 77.34 38.67 73.01 11* 50 上虞市公安局基层民警3 应浩良男 139 34.75 75.60 37.80 72.55 12* 59 上虞市公安局基层民警3 王栋男132.35 33.09 78.81 39.41 72.49 13* 63 上虞市公安局基层民警3 李江峰。
2012年舟山市市级机关考试录用公务员面试成绩、总成绩及入围体检人员名单公布
各位考生:
2012年舟山市市级机关考试录用公务员面试成绩已经揭晓,根据招考公告及相关规定,现将面试成绩、总成绩及入围体检人员名单予以公布(见附件),并将体检事宜通知如下:
1、请入围体检人员随带本人身份证、近期免冠2寸彩照一张,于2012年4月23日(星期一)下午3:00准时到舟山市人力资源和社会保障局三楼会议室集中开会,并填写体检表和领取《体检通知书》,要求必须本人参加,不得委托他人;
2、具体体检时间详见《体检通知书》;
3、入围体检人员请保持通讯工具畅通,以便随时能与您取得联系。
附件:面试成绩、总成绩及入围体检人员名单
中共舟山市委组织部舟山市人力资源和社会保
障局
2012年4月22日
附件:面试成绩、总成绩及入围体检人员名单
2012年舟山市市级机关(含定海、普陀省垂直单位)总成绩
及入围体检人员名单公示。
2012年衢州市市级机关考试录用公务员笔试、面试成绩折合总分人员名单公布表根据省委组织部、省人力资源和社会保障厅、省公务员局《关于印发〈浙江省各级机关2012年考试录用公务员工作实施方案〉的通知》(浙人社发〔2011〕366号)、《关于公布2012年全省各级机关考试录用公务员笔试合格分数线的通知》(浙人社发〔2012〕106号)和市委组织部、市人力资源和社会保障局《关于印发〈衢州市各级机关2012年考试录用公务员工作实施方案〉的通知》(衢市人社公〔2011〕276号)精神,根据全省统一折合分计算方法,总成绩=笔试总成绩÷4+面试成绩÷2。
现将2012年衢州市市级机关考试录用公务员笔试、面试成绩折合总分公示如下:报考单位:衢州市市委统战部报考单位:衢州市档案局报考单位:衢州市中级人民法院报考单位:衢州市教育局报考单位:衢州市公安局报考单位:衢州市民政局报考单位:衢州市司法局基层所报考单位:衢州市人力社保局报考单位:衢州市国土局报考单位:衢州市文物局报考单位:衢州市卫生局报考单位:衢州市食品药品监督管理局柯城分局报考单位:衢州市审计局报考单位:衢州市地税局衢江分局报考单位:衢州市工商局报考单位:衢州市综合执法局下属支队报考单位:衢州市能源监察支队报考单位:衢州市就业局报考单位:衢州市社保局报考单位:衢州市畜牧兽医局报考单位:衢州市农机管理站报考单位:衢州市文化行政执法支队报考单位:衢州市卫生监督所报考单位:衢州市质量技术监督稽查支队报考单位:衢州市企调队报考单位:衢州市民政行政执法支队中共衢州市委组织部衢州市人力资源和社会保障局二〇一二年四月二十三日。
2012年上半年湖州市市属事业单位招考⾯试⼈员公⽰名单已出,请⼴⼤考⽣及时查看。
按照《关于印发<湖州市市属事业单位招聘⼯作⼈员暂⾏办法>的通知》(湖委办〔2004〕9号)有关规定和《2012年上半年湖州市市属事业单位招聘启事》的安排,现将2012年上半年湖州市市属事业单位招考⾯试⼈员名单进⾏公⽰,公⽰时间:2012年9⽉15⽇⾄2012年9⽉18⽇。
⾯试具体安排详见9⽉19⽇相关公告。
序号姓名性别准考证号报考单位报考岗位成绩排名1杨⼩莉⼥00501013713湖州市残疾⼈劳动服务管理中⾏政管理74.51⼼2陆惠成男00501013606湖州市残疾⼈劳动服务管理中⾏政管理732⼼3杨仲亮男00501013715湖州市残疾⼈劳动服务管理中⾏政管理703⼼4钱学森男00501021421滨湖街道经济建设服务中⼼公共安全监管7015华茂男00501020713滨湖街道经济建设服务中⼼公共安全监管6426沈振宇男00501021817滨湖街道经济建设服务中⼼公共安全监管60.537李彦军⼥00501021011太湖旅游度假区下属事业单位公共安全监管70.518沈程晨男00501021603太湖旅游度假区下属事业单位公共安全监管69.529沈峰男00501021607太湖旅游度假区下属事业单位公共安全监管63.5310张振男00501023126太湖旅游度假区下属事业单位公共安全监管63411严袆红⼥00501022629太湖旅游度假区下属事业单位公共安全监管63412吴敏杰男00501022410太湖旅游度假区下属事业单位公共安全监管62613杨淦⽅男00501012128湖州市发展规划研究院⼯程咨询80114赖凌锋男00501011911湖州市发展规划研究院⼯程咨询73215彭川男00501012005湖州市发展规划研究院⼯程咨询72316沈晓菊⼥00501012019湖州市发展规划研究院⼯程咨询71417杨俊慧男00501012129湖州市发展规划研究院⼯程咨询70518刘红超男00501011920湖州市发展规划研究院⼯程咨询70519王时东男00501012229湖州市发展规划研究院规划研究65120蒋枫⼥00501012228湖州市发展规划研究院规划研究57221向常胜男00501012230湖州市发展规划研究院规划研究49322李刚男00501011202湖州市审判保障服务中⼼⽂秘76123翟青⼥00501011611湖州市审判保障服务中⼼⽂秘74224陆海英⼥00501011223湖州市审判保障服务中⼼⽂秘73325沈昕⼥00501011320湖州市审判保障服务中⼼⽂秘73326姚鑫⼥00501011529湖州市审判保障服务中⼼⽂秘73327沈龙男00501014520湖州市⼟地储备中⼼织⾥分中国⼟资源管理1691⼼28丁伟跃男00501014505湖州市⼟地储备中⼼织⾥分中国⼟资源管理1672⼼29徐志诚男00501014529湖州市⼟地储备中⼼织⾥分中国⼟资源管理1672⼼30龚⽟泉男00501014920湖州市⼟地储备中⼼织⾥分中国⼟资源管理260.51⼼31沈哲⼥00501014924湖州市⼟地储备中⼼织⾥分中国⼟资源管理2572⼼32马宝平男00501014922湖州市⼟地储备中⼼织⾥分中国⼟资源管理2563⼼33施黎黎⼥00501011407湖州市⼟地储备中⼼织⾥分中国⼟资源管理372.51⼼34汪燕萍⼥00501011423湖州市⼟地储备中⼼织⾥分中国⼟资源管理3712⼼35李昱⼥00501011212湖州市⼟地储备中⼼织⾥分中国⼟资源管理370.53⼼36施晓枫⼥00501011408湖州市⼟地储备中⼼织⾥分中国⼟资源管理370.53⼼37王利光⼥00501013530湖州市城市规划设计研究院规划设计75138孙启邦男00501013529湖州市城市规划设计研究院规划设计69239蔡剑青男00501013528湖州市城市规划设计研究院规划设计59371140陈正男00501014125湖州市城市规划设计研究院建筑给排⽔设计71141俞锋男00501014127湖州市城市规划设计研究院建筑给排⽔设计42余果男00501014126湖州市城市规划设计研究院建筑给排⽔设672计43王强男00501014124湖州市城市规划设计研究院建筑结构设计59144王静⼥00501014123湖州市城市规划设计研究院建筑结构设计52245黄德才男00501014122湖州市城市规划设计研究院建筑结构设计23346么贵忠男00501014128湖州市城市规划设计研究院建筑暖通设计65147张海君男00501014130湖州市城市规划设计研究院建筑暖通设计29248杨丹男00501010804湖州市房产管理中⼼计算机49149姚丽⼥00501010813湖州市房产管理中⼼计算机49150费晓春男00501010208湖州市房产管理中⼼计算机472序号姓名性别准考证号报考单位报考岗位成绩排名51⽑珮亭⼥00501012421湖州市环境卫⽣管理处法律71152王美芳⼥00501012530湖州市环境卫⽣管理处法律70253王忠男00501012606湖州市环境卫⽣管理处法律70254陆芳芳⼥00501012415湖州市环境卫⽣管理处法律70255陆明鸿男00501011927湖州市环境卫⽣管理处⼯民建69156朱银莉⼥00501012225湖州市环境卫⽣管理处⼯民建64257王伟男00501012104湖州市环境卫⽣管理处⼯民建633 58王未罗男00501014621湖州市环境卫⽣管理处环境⼯程591 59施华标男00501014618湖州市环境卫⽣管理处环境⼯程502 60吴奔男00501014623湖州市环境卫⽣管理处环境⼯程48361邱新锋男00501012011湖州市建设⼯程质量(安全)监督站建设⼯程质量或安全监督管理79162谈国斌男00501012025湖州市建设⼯程质量(安全)监督站建设⼯程质量或安全监督管理72263李建良男00501011913湖州市建设⼯程质量(安全)监督站建设⼯程质量或安全监督管理71364陆正浩⼥00501021209凤凰街道公共安全监督管理中⼼公共安全监管711 65钱威男00501021419凤凰街道公共安全监督管理中⼼公共安全监管67.52 66赵俊男00501023213凤凰街道公共安全监督管理中⼼。
2009年上虞市各级机关招考公务员⾯试⼊围⼈员名单准考证号姓名报考单位报考职位总分名次***********朱凌法院财会131.51***********沈洁颖法院财会121.12***********徐洁法院财会118.23***********张天翔检察院法警116.11***********章⼦卿检察院法警1162***********章程检察院法警112.43***********张溢锋检察院法警111.94***********俞炳泉检察院法警1095***********陈时光检察院法警107.96***********曹永才发改局经济管理137.21***********傅苏丽发改局经济管理123.32***********姚⽟娥发改局经济管理119.73***********朱慧钰经贸局财会116.91***********罗斐颖经贸局财会115.92***********⾕丹丹经贸局财会109.53***********陈姗珊经贸局企业管理1361***********章正伟经贸局企业管理127.42***********梁义国经贸局企业管理123.53***********陈钰萍民政局财会113.11***********赵益伟民政局财会111.52***********张珊洁民政局财会108.13***********陈赛民政局社会事务管理111.81***********周萍民政局社会事务管理110.92***********赵婧民政局社会事务管理106.23***********章江飞司法局社区矫正1191***********⾦旦司法局社区矫正117.72***********朱青青司法局社区矫正113.43***********贾珊珊审计局审计1151***********陈凤波审计局审计109.62***********邵晶晶审计局审计107.63***********王伟地税局财税管理1121.91***********沈彩君地税局财税管理1119.52***********杨帅地税局财税管理1119.23***********裘佳露地税局财税管理2119.51***********杨淑妍地税局财税管理2117.52***********张军地税局财税管理2116.43***********徐钫琴地税局计算机管理135.31***********姜志军地税局计算机管理132.22***********沈铃君地税局计算机管理125.53***********钱露晗地税局计算机管理123.34***********曹彬彬地税局计算机管理122.65***********钱勇勇地税局计算机管理121.96***********陈海英地税局法律113.31***********郭杰地税局法律110.12***********陈刚强地税局法律108.53***********许秀云⼯商局⼯商巡查119.81***********⾕晶⼯商局⼯商巡查118.82***********杜磊⼯商局⼯商巡查117.43***********章桂芳⼯商局⼯商巡查115.84***********孟萍⼯商局⼯商巡查115.35***********⾦澄澄⼯商局⼯商巡查112.36***********景建良⼯商局⼯商巡查112.36***********王⽴锋⼯商局⼯商巡查112.36***********张叶飞质监局特种设备监管119.21***********孟国刚质监局特种设备监管116.52***********康鹏飞质监局特种设备监管115.33***********骆涵党史研究室⽂秘125.51***********屠美娟党史研究室⽂秘119.92***********管桠桠党史研究室⽂秘117.23***********蒋明档案局综合信息管理1291***********章洁丽档案局综合信息管理120.62 ***********阮丽萍档案局综合信息管理117.33 ***********谭科质监⼤队法律117.61***********倪敏质监⼤队法律116.32***********徐浩锋质监⼤队法律1153***********陈⼀青百官街道办⽂秘136.41***********胡晚霞百官街道办⽂秘122.12***********叶承龙百官街道办⽂秘1173***********程⾦彪曹娥街道办村镇规划115.71 ***********陈杰曹娥街道办村镇规划109.42 ***********沈卫锋曹娥街道办村镇规划105.33 ***********潘艳根东关街道办村镇规划113.51 ***********徐思佳东关街道办村镇规划112.12 ***********卞兆明东关街道办村镇规划105.33 ***********胡建锋乡镇农业技术137.51***********李芳乡镇农业技术131.22***********黄磊乡镇农业技术119.93***********王晓国乡镇农业技术119.64***********秦淼英乡镇农业技术117.75***********章宗光乡镇农业技术116.96***********潘书丽乡镇法律123.71***********谭圩钰乡镇法律121.32***********相东乡镇法律120.93***********王泽锋乡镇法律117.54***********连静蓉乡镇法律116.55***********沈萍乡镇法律116.36***********张燕乡镇村镇规划136.91***********王凉乡镇村镇规划132.62***********俞柏炎乡镇村镇规划126.23***********钱熠乡镇村镇规划1244***********朱嗣杰乡镇村镇规划123.45***********袁⼩媛乡镇村镇规划120.36***********胡晓峰乡镇村镇规划119.87***********曹⽂良乡镇村镇规划1198***********顾⽴军乡镇村镇规划116.79***********祝君萍乡镇村镇规划116.510***********胡国富乡镇村镇规划115.811***********叶春花乡镇村镇规划115.112***********徐浙锋乡镇村镇规划114.813***********袁潮乡镇村镇规划114.514***********⾦泽耀乡镇村镇规划11415***********郑华良乡镇村镇规划113.416***********奕国顺乡镇村镇规划113.217***********邵特峰乡镇村镇规划112.818***********刘翔乡镇村镇规划111.619***********吴佳薇乡镇村镇规划111.520***********赵洪军乡镇村镇规划111.321***********陈波乡镇村镇规划11122***********俞麒麒乡镇村镇规划110.523***********吕国庆乡镇村镇规划110.424***********王指明乡镇村镇规划109.825***********池焕明乡镇村镇规划109.726***********黄江晖乡镇村镇规划109.726***********王祝平乡镇村镇规划109.328***********刘盈军乡镇村镇规划109.229***********陆俊锋乡镇村镇规划109.130***********马赛春乡镇⽂秘127.61***********吴勇乡镇⽂秘1252***********项晶晶乡镇⽂秘1252***********傅佳欣乡镇⽂秘121.34***********郑苗苗乡镇⽂秘1215***********钟笑笑乡镇⽂秘120.96***********华洪湖乡镇⽂秘119.87***********陈丽娜乡镇⽂秘119.68***********李春苗乡镇⽂秘118.59***********罗宁宁乡镇⽂秘118.210***********经飒乡镇⽂秘117.211***********李杰明乡镇⽂秘11712***********朱⽅军乡镇⽂秘116.913***********俞锡芳乡镇⽂秘116.214***********刘晨乡镇⽂秘115.915***********王杰乡镇经济管理128.51***********⽀天乡镇经济管理127.12***********陈⾦梅乡镇经济管理125.13***********倪芳芳乡镇经济管理124.74***********魏颖英乡镇经济管理1245***********郦⼀鸣乡镇经济管理123.86***********郑诚乡镇经济管理120.87***********严⽴锋乡镇经济管理119.38***********陈美娣乡镇经济管理1199***********周晓芳乡镇经济管理1199***********丁勉乡镇经济管理118.911***********徐晓清乡镇经济管理118.212***********王莹超乡镇经济管理11813***********范青乡镇经济管理117.514***********陈美容乡镇经济管理117.315***********朱黎丽乡镇经济管理117.315***********沈雁飞乡镇劳动保障120.21***********俞园乡镇劳动保障119.72***********王瑜乡镇劳动保障115.43***********赵颖乡镇劳动保障115.34***********刘⽟蓥乡镇劳动保障113.85***********夏超乡镇劳动保障113.46***********罗灿良乡镇乡镇公务员128.51***********杨芳乡镇乡镇公务员127.32***********蒋莎乡镇乡镇公务员1253***********余丹乡镇乡镇公务员1244***********郑祥乡镇乡镇公务员123.85***********⽅骁乡镇乡镇公务员122.96***********胡碧云乡镇乡镇公务员1207***********罗吉飞乡镇乡镇公务员119.28***********葛淑芬乡镇乡镇公务员119.19***********章祺辉法院法官预备⼈选135.51***********聂平法院法官预备⼈选128.52***********潘志刚法院法官预备⼈选124.33***********胡晶晶法院法官预备⼈选122.44***********王琳法院法官预备⼈选122.44***********盛林燕法院法官预备⼈选122.16***********沈智强法院法官预备⼈选121.57***********张亚丽法院法官预备⼈选120.68***********屈继伟法院法官预备⼈选120.49***********李运福法院法官预备⼈选120.110***********戴莲法院法官预备⼈选11911***********⽜永帅法院法官预备⼈选118.712***********孔敏法院法官预备⼈选118.213***********滕玲玲法院法官预备⼈选117.814***********陈建法院法官预备⼈选117.615***********闫利峰法院法官预备⼈选117.116***********杨军法院法官预备⼈选11717***********王⼴涛法院法官预备⼈选116.818***********周新苗乡镇乡镇(⾯向村⼲部)1271 ***********徐琛乡镇乡镇(⾯向村⼲部)126.72 ***********谭迪飞乡镇乡镇(⾯向村⼲部)124.63***********吕⾦凤乡镇乡镇(⾯向村⼲部)122.94 ***********阮楚荣乡镇乡镇(⾯向村⼲部)1215 ***********齐国龙乡镇乡镇(⾯向村⼲部)113.36 ***********冯卫明乡镇乡镇(⾯向村⼲部)107.77 ***********吴晓祥乡镇乡镇(⾯向村⼲部)105.68 ***********张卫星乡镇乡镇(⾯向村⼲部)1039 ***********严国太乡镇乡镇(⾯向村⼲部)102.410 ***********⾼飞乡镇乡镇(⾯向村⼲部)102.311 ***********王维根乡镇乡镇(⾯向村⼲部)102.311。
绍兴市直事业单位2012年度第二批新增工作人员拟录用人员名单公示编号 招考单位招考职位准考证号姓名性别1 绍兴市市财税档案中心 工作人员 00600015623 陈妙琪 女2 曹娥江大闸管理局 技术岗位(一)00600010412 赵俞斌 男3 曹娥江大闸管理局 技术岗位(二)00600010317 钟俊 男4 绍兴高新技术产业开发区建筑工程质量安全监督站 工作人员 00600011508 章子南 男5 绍兴高新技术产业开发区建筑工程质量安全监督站工作人员 00600011428 张劲虎 男6 绍兴高新技术产业开发区建筑工程质量安全监督站工作人员 00600011425 金鑫 男7 绍兴高新技术产业开发区现代服务业发展中心 工作人员 00600011725 陈宇敏 男8 绍兴滨海新城科技创业中心 经济管理 00600010624 毛启超 男9 绍兴滨海新城科技创业中心 经济管理 00600010702 徐学超 女10 绍兴滨海新城科技创业中心 经济管理 00600010701 胡鸿斌 男11 绍兴市救助站 财务人员 00600012530 鲁芳芳 女12 绍兴市社会福利有奖募捐委员会办公室 工作人员 00600014612 柴芳草 女13 绍兴市环境监测中心站 环境现场监测 00600012111 任曼 女14 绍兴市环境监测中心站 环境现场监测 00600012218 马文姣 女15 绍兴市环境监测中心站 环境综合研究管理 00600012315 姚苗钧 男16 绍兴市环境监测中心站 环境综合研究管理 00600012420 叶潞洁 女17 绍兴市环境监测中心站 实验室分析 00600012516 孔维泽 男18 绍兴市特种设备检测院 承压类检验检测00600015928 马吉 男19 绍兴市特种设备检测院 承压类检验检测00600015917 杨建涛 男20 绍兴市特种设备检测院 机电类检验检测00600016013 应法明 男21 绍兴市特种设备检测院 机电类检验检测00600016002 赵勇 男22 绍兴市质量技术监督检测院 检验、检定员一00600010209 俞超华女23 绍兴市质量技术监督检测院检验、检定员一00600010203 成豪 男24 绍兴市质量技术监督检测院检验、检定员一00600010216 王晓东 男25 绍兴市质量技术监督检测院检验、检定员二00600010115 沈庆丰 男26 绍兴市质量技术监督检测院检验、检定员二00600010126 许丹丹 女27 绍兴滨海新城社会事业服务中心 安全质监 00600010717 林钢 男28 绍兴滨海新城社会事业服务中心工程管理 00600010721 陈少伟 男29 绍兴滨海新城社会事业服务中心工程预决算 00600010728 王永胜 男30 绍兴滨海新城社会事业服务中心会计 00600010803 赵其 男31 绍兴滨海新城社会事业服务中心劳动监察仲裁 00600010810 方卉 女32 绍兴滨海新城社会事业服务中心民政残联 00600010903 倪燕 女33 绍兴滨海新城社会事业服务中心社会保障 00600010912 杜狄超 男34 绍兴滨海新城社会事业服务中心投资审计 00600011112 朱伟 男35 绍兴滨海新城社会事业服务中心文秘 00600011215 王宇飞 女36 绍兴滨海新城社会事业服务中心 行政综合 00600011418 郑燕 女37 绍兴市仲裁委员会办公室 办案秘书 00600010128 王海燕 女38 绍兴市旅游形象推广中心 工作人员 00600012619 何若愚 女39 绍兴市人民政府驻京联络处经济服务中心工作人员 00600012713 李佳炯 女40 绍兴市政府土地储备中心 工作人员一 00600016121 金剑 男41 绍兴市政府土地储备中心 工作人员二 00600016104 高莎莎 女42 绍兴市体育运动学校 会计 00600016017 金玲 女43 市属学校(一初镜湖校区、元培分部、昌安实验学校、永和中学) 校医00600016229 杨再娇 女44 文理学院 美术学院实验员00600016303 王振光 男45 绍兴文理学院附属医院 检验人员 00600016226 徐遴 男46 稽山街道社区卫生服务中心 财务人员 00600010518 王哲行 男47 绍兴市第七医院 病案统计人员 00600011927 周月江 男48 绍兴市第七医院 心理咨询师 00600012002 叶菁 女49 绍兴市第五医院(编制为绍兴市医学学会办公室事业编制)放射医(技)师00600012009 高俊 男50 绍兴市第五医院(编制为绍兴市医学学会办公室事业编制)妇产科医生 00600012014 陈燕 女51 绍兴市第五医院(编制为绍兴市医学学会办公室事业编制)护士 00600012019 李祖磊 女52 绍兴市第五医院(编制为绍兴市医学学会办公室事业编制)护士 00600012015 汪洁静 女53 绍兴市第五医院(编制为绍兴市医学学会办公室事业编制)检验人员 00600012026 林萍 女54 绍兴市中心血站 护士 00600016206 蒋玲玲 女55 绍兴市中医院 B超医生 00600016210 魏杲 女56 绍兴市中医院 B超医生 00600016214 郭平波 女57 绍兴市中医院 信息科工作人员00600016216 边杭锋 男58 绍兴市中医院 中药剂人员 00600016222 孟烨 女59 绍兴市中医院 中药剂人员 00600016225 徐洪良 男注:绍兴市第五医院(编制为绍兴市医学学会办公室事业编制)耳鼻喉科医生岗位因第一名放弃录用需等后面一名补检考察后再办理相关录用手续。