常用三极管参数大全
- 格式:xls
- 大小:195.00 KB
- 文档页数:36
常用三极管型号参数大全(1)常用三极管型号参数大全(2)时间:2008-6-15 9:21:41 被阅:401次作者:无2N2222 NPN 4A 高频放大60V0.8A0.5W25/200NSβ=452N2222A NPN 小铁高频放大75V0.6A0.625W300MHZ2N2369 NPN 4A 开关40V0.5A0.3W800MHZ2N2907 NPN 4A 通用60V0.6A0.4W26/70NSβ=2002N3055 NPN 12 功率放大100V15A115W2N3440 NPN 6 视放开关450V1A1W15MHZ2N3773 NPN 12 音频功放开关160V16A150W COP 2N6609 2N3904 NPN 21E 通用60V0.2Aβ=100-4002N3906 PNP 21E 通用40V0.2Aβ=100-4002N5401 PNP 21E 视频放大160V0.6A0.625W100MHZ2N5551 NPN 21E 视频放大160V0.6A0.625W100MHZ2N5685 NPN 12 音频功放开关60V50A300W2N6277 NPN 12 功放开关180V50A250W2N6609 PNP 12 音频功放开关160V15A150W COP 2N37732N6678 NPN 12 音频功放开关650V15A175W15MHZ2N6718 NPN 小铁音频功放开关100V2A2W50MHZ3DA87A NPN 6 视频放大100V0.1A1W3DG6A NPN 6 通用15V20mA0.1W100MHz3DG6B NPN 6 通用20V20mA0.1W150MHz3DG6C NPN 6 通用20V20mA0.1W250MHz3DG6D NPN 6 通用30V20mA0.1W150MHz3DG12C NPN 7 通用45V0.3A0.7W200MHz3DK2B NPN 7 开关30V30mA0.2W3DK4B NPN 7 开关40V0.8A0.7W3DK7C NPN 7 开关25V50mA0.3W3DD15D NPN 12 电源开关300V5A50W3DD102C NPN 12 电源开关300V5A50W3522V 5.2V稳压管录像机用A634 PNP 28E 音频功放开关40V2A10WA708 PNP 6 NF/S 80V0.7A0.8W•发表于 2009-08-03 09:06:06引用 1 楼• C5132 NPN BCE 彩行1500V16A50WC5144 NPN BCE 大屏彩行1700V20A200WC5148 NPN BCEC5149 NPN BCE 高速高频行管1500V8A50W(带阻)C5198 NPN BCE 功放开关140V10A100WC5200 NPN BCE 功放开关230V15A150W /A1943 原C ...• C5132 NPN BCE 彩行1500V16A50WC5144 NPN BCE 大屏彩行1700V20A200WC5148 NPN BCEC5149 NPN BCE 高速高频行管1500V8A50W(带阻)C5198 NPN BCE 功放开关140V10A100WC5200 NPN BCE 功放开关230V15A150W /A1943 原C5207 NPN BCE 彩行1500V10A50W 原C5243 NPN BCE 彩行1700V15A200W 原C5244 NPN BCE 彩行1700V15A200WC5249 NPN BCEC5250 NPN BCE 开关1000V7A100W 原C5251 NPN BCE 彩行1500V12A50W 原C5252 NPN BCE 彩行1500V15A100W 原C5294 NPN BCEC5296 NPN BCE 开关管25"--34" 大屏彩显电源管C5297 NPN BCE 开关管25"--34" 大屏彩显电源管C5331 NPN BCE 大屏彩显行管1500V15A180WC5423 NPN BCED40C NPN ECB 对讲机用40V0.5A40W75MHZ(达林顿)D325 NPN BCE 功放开关50V3A25WD385 NPN 11 达林顿功放100V7A30WD400 NPN 21 通用25V1A0.75WD401 NPN 28 音频功放开关200V2A20WD415 NPN 29 音频功放开关120V0.8A5WD438 NPN 21 通用500V1A0.75W100MHzD547 NPN 大铁功放开关600V50A400WD560 NPN BCE 达林顿功放150V5A30WD600K NPN 29 音频功放开关120V1A8W130MHZD637 NPN 39E 通用60V0.1A150MHZ **** {#F&w._ @ CD667 NPN 21 视频放大120V1A0.9W140MHZ/B647D669 NPN 29 视频放大180V1.5A1W140MHZ/D669D718 NPN 30 音频功放开关120V8A80W /B668 ` H i D774 NPN 39B 通用100V1A1W /B734D789 NPN 21 音频输出100V1A0.9WD820 NPN 12 彩行1500V5A50WD870 NPN 12 彩行1500V5A50W RRRRD880 NPN 28 音频功放开关60V3A10WD882 NPN 29 音频功放开关40V3A30WD884 NPN 28 音频功放开关330V7A40WD898 NPN 12 彩行1500V3A50WD951 NPN 12 彩行1500V3A65WD965 NPN 21 音频40V5A0.75WD966 NPN 21 音频40V5A1WD985 NPN 29 功放150V1.5A10W 5j*G9LD986 NPN 29 功放150V1.5A10WD1025 NPN 28 达林顿功放200V8A50WD1037 NPN BCE 音频功放开关150V30A180WD1047 NPN 30 音频功放开关160V12A100W /B817D1071 NPN 28 功放300V6A40WD1163A NPN 28 行偏转用350V7A40W60MHzD1175 NPN 12 行偏转用1500V5A100W β=15D1273 NPN 28 音频功放80V3A40W50MHZβ=15D13025V0.5A0.5W200MHZD1397 NPN BCE 开关1500V3.5A50W3MHzD1398 NPN BCE 开关1500V5A50W3MHzD1403 NPN 28B 彩行1500V6A120WD1403 NPN 28B 彩行1500V6A120WD1415 NPN 28B 功放电源开关100V7A40Wβ=6000 达林顿D1416 NPN 28B 功放电源开关80V7A40Wβ=6000(达林顿)D1426 NPN 28B 彩行1500V3.5A80Wβ=12D1427 NPN 28B 彩行1500V5A80Wβ=12 D1428 NPN 28B 彩行1500V6A80Wβ=12 RRRRD1431 NPN 28B 彩行1500V5A80Wβ=20D1433 NPN 28B 彩行1500V7A80Wβ=20D1439 NPN BCE 彩行1500V3A80Wβ=8D1541 NPN 28B 彩行1500V3A80Wβ=20D1545 NPN 28B 彩行1500V5A50Wβ=20D1547 NPN BCE 彩行1500V7A80Wβ=20D1554 NPN BCE 彩行1500V3.5A80Wβ=12D1555 NPN BCE 彩行1500V5A80Wβ=12D1556 NPN BCE 彩行1500V6A80Wβ=12 D1559 NPN BCE 达林顿功放100V20A100Wβ=5000/B1079 D1590 NPN 28 达林顿功放150V8A25W β=15000D1632 NPN 28B 彩行1500V4A70WD1640 NPN 29 达林顿功放120V2A1.2W β=4000-40000D1651 NPN SP 彩行1500V5A60W3MHZD1710 NPN BCE 彩行1500V5A50WD1718 NPN 28C 音频功放180V15A3.5W20MHZD1762 NPN BCE 音频功放开关60V3A25W90MHZ /B1185D1843 NPN BCE 低噪放大50V1A1WD1849 NPN 50A 彩行1500V7A120WD1850 NPN 50A 彩行1500V7A120WD1859 NPN 50A 音频80V0.7A1W120MHZD1863 NPN 50A 音频120V1A1W100MHZD1877 NPN 30 彩行1500V4A50W(带阻尼)D1879 NPN 30 彩行1500V6A60W(带阻尼)D1887 NPN 30 彩行1500V10A70WD1930 NPN 21 达林顿达林顿100V2A1.2Wβ=1000D1975 NPN 53A 音频功放180V15A150W B1317 D1978 NPN 21 达林顿120V1.5A0.9Wβ=30000D1980 NPN 61B 达林顿100V2A10Wβ=1000-10000 |D1981 NPN ECB 达林顿100V2A1WD1993 NPN 45B 音频低噪55V0.1A0.4WD1994A NPN ECB 音频驱动60V1A1WD1997 NPN 45B 激励管40V3A1.5W100MHZD2008 NPN ECB 音频功放80V1A1.2WD2012 NPN BCE 音频功放60V3A2W3MHZD2136 NPN ECB 功放80V1A1.2WD2155 NPN 53A 音频功放180V15A150WD2256 NPN 46 达林顿功放120V25A125Wβ=2000-20000D2334 NPN 28B 彩行1500V5A80WD2335 NPN BCE 彩行1500V7A100W 1ED2349 NPN BCE 大屏彩显行管D2374 NPN BCED2375 NPN BCED2388 NPN EBC 达林顿90V3A1.2WD2445 NPN BCE 彩行1500V12.5A120WD2498 NPN BCE 彩行1500V6A50WD2588 NPN BCE 点火器用DK55 NPN BEC 开关400V4A60WBC307 PNP 21a 通用50V0.2A0.3WBC327 PNP CBE 低噪音频50V0.8A0.625W COM BC337BC337 NPN 21a 音频激励低噪50V0.8A0.625W COM BC327BC338 NPN 21a 通用激励50V0.8A0.6BC546 NPN 21a 通用80V0.2A0.5WBC547 NPN CBE 通用50V0.2A0.5W300MHZBD135 NPN 29 音频功放45V1.5A12.5WBD136 PNP 29 音频功放45V1.5A12.5WBD137 NPN 29 音频功放60V1.5A12.5WBD138 PNP 29 音频功放60V1.5A12.5wBD139 PNP 29 音频功放80V1.5A12.5WBD237 NPN 29 音频功放100V2A25WBD238 PNP 29 音频功放100V2A25WBD243 NPN 28 音频功放45V6A65WBD244 PNP 28 音频功放45V6A65WBD681 NPN 29 达林顿功放100V4A40WBD682 NPN 29 达林顿功放100V4A40WBF458 NPN 29 视放250V0.1A10WBU208A NPN 12 彩行1500V5A12.5WBU208D NPN 12 彩行1500V5A12.5W (带阻尼) *BBU323 NPN 28 达林顿功放450V10A125WBU406 NPN 28 行管400V7A60WBU508A NPN 28 行管1500V7.5A75WBU508A NPN 28 行管1500V7.5A75WBU508D NPN 28 行管1500V7.5A75W (带阻尼)BU806 NPN 28 功放400V8A60W DAR-LBU932R NPN 12 功放500V15A150WA715C PNP 29 音频功放开关35V2.5A10W160MHZA733 PNP 21 通用50V0.1A180MHZA741 PNP 4A781 PNP 39B 开关20V0.2A A928 PNP ECB 通用20V1A0.25WA933 PNP 21 Uni 50V0.1A140MHzA940 PNP 28 音频功放开关150V1.5A25W4MHZ /C2073A950 PNP 21 通用30V0.8A0.6WA966 PNP 21 音频激励输出30V1.5A0.9W COP:C2236A968 PNP 28 音频功放开关160V1.5A25W100MHZ /C2238 |350V2A15WA1012 PNP 28 音频功率放60V5A2A1013 PNP 21 视频放大160V1A0.9WA1015 PNP 21 通用60V0.15A0.4W8MHZA1020 PNP 21 音频开关50V2A0.9WA1123 PNP 21 低噪放大150V0.05A0.75WA1162 PNP 21d 通用贴片50V0.15A0.15WA1216 PNP BCE 功放开关180V17A200W20MHZ /2922A1220 PNP 29 音频功放开关120V1.5A20W150MHZ/C2690A1265 PNP BCE 功放开关140V10A100W30MHZ /C3182A1295 PNP BCE 功放开关230V17A200W30MHZ /C3264A1301 PNP BCE 功放开关160V10A100W30MHZ /C3280A1302 PNP BCE 功放开关200V15A150W30MHZ /C3281 A1358 ? PNP 高频120V1A10W120MHZ A1444 PNP BCE 高速电源开关100V15A30W80MHZA1494 PNP BCE 功放开关200V17A200W20MHZ /C3858A1516 PNP BCE 功放开关180V12A130W25MHZA1668 PNP 28B 电源开关200V2A25W20MHZA1785 PNP BCE 驱动400V1A1W/120V1A0.9W140MH 0UzA1941 PNP BCE 功放开关140V10A100WCOP:5198A1943 PNP BCE 功放开关230V15A150W /C5200A1988 PNP 30 功放开关B449 PNP 12 功放开关50V3.5A22.5W 锗管B631K PNP 29 音频功放开关120V1A8W130MHZ /D600KB647 PNP 21 通用120V1A0.9W140MHZ /D667B649 PNP 29 视放180V1.5A1W /D669B669 PNP 28 达林顿功放70V4A40WB673 PNP 28 达林顿功放100V7A40WB675 PNP 28 达林顿功放60V7A40WB688 PNP BCE 音频功放开关120V8A80W /D718B734 PNP 39B 通用60V1A1W /D774B744 PNP 21 通用30V0.1A0.25WB772 PNP 29 音频功放开关40V3A10WB774 PNP 21 通用30V0.1A0.25WB817 PNP 30 功放开关160V12A100W /D1047B834 PNP 28 功放开关60V3A30WB937A PNP 功放开关60V2A35B1020 PNP 28 功放开关达林顿100V7A40Wβ=6000B1079 PNP 30 达林顿功放100V20A100Wβ=5000/D1559B1185 PNP 28B 功放开关60V3A25W 70MHZ /D1762 |B1238 PNP ECB 功放开关80V0.7A1W 100MHZB1240 PNP 39B 功放开关40V2A1W100HZB1243 PNP 39B 功放开关40V3A1W70HZB1316 PNP 54B 驱动功放达林顿100V2A10Wβ=15000 |B1317 PNP BCE 音频功放180V15A150W COP1975 B1335 PNP 28 音频功放低噪80V4A30W 12MHZ B1375 PNP BCE 音频功放60V3A2W9MHZB1400 PNP 28B 达林顿功放120V6A25W β=1000-20000B1429 PNP BCE 功放开关180V15A150WB1494 PNP BCE 达林顿功放120V25A120Wβ=2000-20000C106 NPN EBC 音频功放开关60V1.5A15WC380 NPN 21 高频放大35V0.03A250MHZC458 NPN 21 通用30V0.1A230MHzC536 NPN 21 通用40V0.1A180MHZC752 NPN 21 通用30V0.1A300MHzC815 NPN 21 通用60V0.2A0.25WC828 NPN 21 通用45V0.05A0.25WC900 NPN 21 低噪放大30V0.03A100MHZC943 NPN 4A 通用60V0.2A200MHZC945 NPN 21 通用50V0.1A0.5W250MHZC1008 NPN 6 通用80V0.7A0.8W50MHZC1162 NPN 29 音频功放开关35V1.5A10WC1213 NPN 39B 监视器专用35V0.5A0.4WC1222 NPN 21 低噪放大60V0.1A100MHZC1494 ? NPN 40A 发射36V6A PQ=40W/175MHZC1507 NPN 28 视放300V0.2A15WC1674 NPN 21 HF/ZF 30V0.02A600MHzC1815 NPN 2• C1942 NPN 12 彩行1500V3A50W 8F$YL0Z @ B4P cC1959 NPN 21 通用30V0.4A0.5W300MHzC1970 NPN 28 手机发射40V0.6A PQ=1.3W/175MHZC1971 NPN 28A 手机发射35V2.0A PQ=7.0W/175MHZC1972 NPN 28A 手机发射35V3.5A P ...••C1942 NPN 12 彩行1500V3A50W 8F$YL0Z @ B4P cC1959 NPN 21 通用30V0.4A0.5W300MHzC1970 NPN 28 手机发射40V0.6A PQ=1.3W/175MHZC1971 NPN 28A 手机发射35V2.0A PQ=7.0W/175MHZC1972 NPN 28A 手机发射35V3.5A PQ=15W/175MHZC2012 NPN 21 HF 30V0.03A200MHZC2027 NPN 12 行管1500V5A50WC2036C2068 NPN 28E 视频放大300V0.05A1.5W80MHZC2073 NPN 28 功率放大150V1.5A25W4MHZ /A940C2078 NPN 28 音频功放开关80V3A10W150MHZC2120 NPN 21 通用30V0.8A0.6WC2228 NPN 21 视频放大160V0.05A0.75WC2230 NPN 21 视频放大200V0.1A0.8WC2233 NPN 28 音频功放开关200V4A40WC2236 NPN 21 通用30V1.5A0.9W /A966C2238 NPN 28 音频功放开关160V1.5A25W100MHZ /A968 50V0.2A0.3W200MHZ C2335 NPN 28 视频功放500V7A40WC2373 NPN 28 功放200V7.5A40WC2383 NPN 21 视频开关160V1A0.9W /A1015C2443 NPN 大铁功放开关600V50A400WC2481 NPN 29 音频功放开关150V1.5A20WC2482 NPN 21 视频放大300V0.1A0.9WC2500 NPN 21 通用30V2A0.9W150MHZC2594 NPN 29 音频功放开关40V5A10WC2611 NPN 29 视频放大300V0.1A1.25WC2625 NPN 30 音频功放开关450V10A80W 180V0.1A8WC2688 NPN 29 视放管300V0.2A10W80MHZC2690 NPN 29 音频功放开关120V1.2A20W150MHZ/A1220PC2751 NPN BCE 电源开关500V15A120Wβ=40C2837 NPN 30 音频功放开关150V10A100WC2898 NPN 28 音频功放开关500V8A50W QC2922 NPN 43 音频功放开关180V17A200W50MHZ /A1216C3026 NPN 12 开关管1700V5A50Wβ=20C3030 NPN BCE 开关管达林顿900V7A80Wβ=15C3039 NPN 28 电源开关500V7A50Wβ=40C3058 NPN 12 开关管600V30A200W β=C3148 NPNC2500 NPN 21 通用30V2A0.9W150MHZC2594 NPN 29 音频功放开关40V5A10WC2611 NPN 29 视频放大300V0.1A1.25WC2625 NPN 30 音频功放开关450V10A80WC2682 NPN 29 NF/Vid 180V0.1A8WC2688 NPN 29 视放管300V0.2A10W80MHZC2690 NPN 29 音频功放开关120V1.2A20W150MHZ/A1220PC2751 NPN BCE 电源开关500V15A120Wβ=40C2837 NPN 30 音频功放开关150V10A100WC2898 NPN 28 音频功放开关500V8A50WC2922 NPN 43 音频功放开关180V17A200W50MHZ /A1216C3026 NPN 12 开关管1700V5A50Wβ=20C3030 NPN BCE 开关管达林顿900V7A80Wβ=C3039 NPN 28 电源开关500V7A50Wβ=40C3058 NPN 12 开关管600V30A200W β=15C3148 NPN 28 电源开关900V3A40Wβ=15C3150 NPN 28 电源开关900V3A50Wβ=15C3153 NPN 30 电源开关900V6A100Wβ=15C3182 NPN 30 功放开关140V10A100Wβ=95/A1265C3198 NPN 21 高频放大60V0.15A0.4W130MHZC3262 NPN BCE 达林顿功放800V10A100WC3264 NPN BCE PA功放开关230V17A200Wβ=170/A1295C3280 NPN 30 音频功放开关160V12A120Wβ=100C3281 NPN 30 音频功放开关200V15A150W30MHZβ=100C3300 NPN 30 音频功放开关100V15A100W β=600C3310 NPN 28C 电源开关500V5A40W β= 20C3320 NPN 28C 电源开关500V15A80W β= 15C3355 NPN 21F 高频放大20V0.1A6500MHZC3358 NPN 40B 高频放大20V0.1A7000MHZ C3457 NPN BCE 电源开关1100V3A50Wβ=12 C3460 NPN BCE 电源开关1100V6A100Wβ=12C3466 NPN BCE 电源开关1200V8A120Wβ=10C3505 NPN 28B 电源开关900V6A80W β=20C3527 NPN BCE 电源开关500V15A100Wβ=13C3528 NPN BCE 电源开关500V20A150Wβ=13C3595 NPN 29 射频30V0.5A1.2Wβ=90C3679 NPN BCE 电源开关900V5A100W6MHZC3680 NPN BCE 电源开关900V7A120W6MHZC3688 NPN BCE 彩行1500V10A150WC3720 NPN BCE 彩行1200V10A200WC3783 NPN BCE 高压高速开关900V5A100WC3795 NPN BCE 高压高速开关900V5A2W8MHzC3807 NPN BCE 低噪放大30V2A1.2W260MHZC3858 NPN BCE 功放开关200V17A200W20MHZ /A1494C3866 NPN BCE 高压高速开关900V3A40WC3873 NPN BCE 高压高速开关500V12A75W30MHZC3886 NPN BCE 开关行管1400V8A50W8MHZC3893 NPN 28B 行管1400V8A50W8MHC3907 NPN 28B 功放开关180V12A130W30MHZ wC3953 NPN 29 视放120V0.2A1.3W 4000MHZC3987 NPN 28 达林顿50V3A20W β=1000C3995 NPN BCE 行管1500V12A180W 34寸C3997 NPN BCE 行管1500V15A250WC3998 NPN BCE 行管1500V25A250WC4024 NPN BCE 功放开关100V10A35W 24MHZC4038 NPN BCE 门电路50V0.1A0.3W180MHZC4059 NPN BCE 高速开关600V15A130W 0.5/2.2USC4106 NPN BCE 电源开关500V7A50W20MHZ?C4111 NPN BCE 开关行管1500V10A150WC4119 NPN BCE 微波炉开关1500V15A250WC4231 NPN 50C 音频功放800V2A30WC4237 NPN BCE 高压高速开关1000V8A120W30MHZC4242 NPN BCE 高压高速开关450V7A40WC4288 NPN BCE 行管1400V12A200W8MHZC4297 NPN BCE 电源开关500V12A75W10MHZC4429 NPN BCE 电源开关1100V8A60WC4517 NPN BCE 音频功放550V3A30W6MHZC4532 NPN BCE !] O K.[ B%@*XC4582 NPN 28b 电源开关600V15A7ON4673 NPN BCEON4873 NPN BCEC4706 NPN BCE 电源开关900V14A130W6MHzC4742 NPN 46 彩行1500V6A50W(带阻尼)C4745 NPN 46 彩行1500V6A50WC4747 NPN 46 彩行1500V10A50WC4769 NPN BCE 微机行管1500V7A60W(带阻尼)C4913 NPN BCE 大屏视放管2000V0.2A35W C4924 NPN BCE 音频功放800V10A70WC4927 NPN BCE 行管1500V8A50WC4927 NPN BCE SONY29"行管1500V8A50W 原装C4941 NPN BCE 行管1500V6A65W 500/380NSC4953 NPN BCE 500V2A25WC5020 NPN BCE 彩行1000V7A100WC5068 NPN BCE 彩行1500V10A50WC5086 NPN BCE 彩行1500V10A50WC5088 NPN BCE 彩行1500V10A50WC5129 NPN BCE 彩显行管1500V8A50W(带阻)1 通用60V0.15A0.4W8MHZC1855 NPN 21f HF/ZF 20V0.02A550MHzC1875 NPN 12 彩行1500V3.5A50WC190•发表于 2009-08-03 09:06:06引用 1 楼• C5132 NPN BCE 彩行1500V16A50WC5144 NPN BCE 大屏彩行1700V20A200WC5148 NPN BCEC5149 NPN BCE 高速高频行管1500V8A50W(带阻)C5198 NPN BCE 功放开关140V10A100WC5200 NPN BCE 功放开关230V15A150W /A1943 原C ...••C5132 NPN BCE 彩行1500V16A50WC5144 NPN BCE 大屏彩行1700V20A200WC5148 NPN BCEC5149 NPN BCE 高速高频行管1500V8A50W(带阻)C5198 NPN BCE 功放开关140V10A100WC5200 NPN BCE 功放开关230V15A150W /A1943 原C5207 NPN BCE 彩行1500V10A50W 原C5243 NPN BCE 彩行1700V15A200W 原C5244 NPN BCE 彩行1700V15A200WC5249 NPN BCEC5250 NPN BCE 开关1000V7A100W 原C5251 NPN BCE 彩行1500V12A50W 原C5252 NPN BCE 彩行1500V15A100W 原C5294 NPN BCEC5296 NPN BCE 开关管25"--34" 大屏彩显电源管C5297 NPN BCE 开关管25"--34" 大屏彩显电源管C5331 NPN BCE 大屏彩显行管1500V15A180WC5423 NPN BCED40C NPN ECB 对讲机用40V0.5A40W75MHZ(达林顿)D325 NPN BCE 功放开关50V3A25WD385 NPN 11 达林顿功放100V7A30WD400 NPN 21 通用25V1A0.75WD401 NPN 28 音频功放开关200V2A20WD415 NPN 29 音频功放开关120V0.8A5WD438 NPN 21 通用500V1A0.75W100MHzD547 NPN 大铁功放开关600V50A400WD560 NPN BCE 达林顿功放150V5A30WD600K NPN 29 音频功放开关120V1A8W130MHZD637 NPN 39E 通用60V0.1A150MHZ **** {#F&w._ @ CD667 NPN 21 视频放大120V1A0.9W140MHZ/B647D669 NPN 29 视频放大180V1.5A1W140MHZ/D669D718 NPN 30 音频功放开关120V8A80W /B668 ` H i D774 NPN 39B 通用100V1A1W /B734D789 NPN 21 音频输出100V1A0.9WD820 NPN 12 彩行1500V5A50WD870 NPN 12 彩行1500V5A50W RRRRD880 NPN 28 音频功放开关60V3A10WD882 NPN 29 音频功放开关40V3A30WD884 NPN 28 音频功放开关330V7A40WD898 NPN 12 彩行1500V3A50WD951 NPN 12 彩行1500V3A65WD965 NPN 21 音频40V5A0.75WD966 NPN 21 音频40V5A1WD985 NPN 29 功放150V1.5A10W 5j*G9LD986 NPN 29 功放150V1.5A10WD1037 NPN BCE 音频功放开关150V30A180WD1047 NPN 30 音频功放开关160V12A100W /B817D1071 NPN 28 功放300V6A40WD1163A NPN 28 行偏转用350V7A40W60MHzD1175 NPN 12 行偏转用1500V5A100W β=15D1273 NPN 28 音频功放80V3A40W50MHZβ=15D13025V0.5A0.5W200MHZD1397 NPN BCE 开关1500V3.5A50W3MHzD1398 NPN BCE 开关1500V5A50W3MHzD1403 NPN 28B 彩行1500V6A120WD1403 NPN 28B 彩行1500V6A120WD1415 NPN 28B 功放电源开关100V7A40Wβ=6000 达林顿D1416 NPN 28B 功放电源开关80V7A40Wβ=6000(达林顿)D1426 NPN 28B 彩行1500V3.5A80Wβ=12D1427 NPN 28B 彩行1500V5A80Wβ=12 D1428 NPN 28B 彩行1500V6A80Wβ=12 RRRRD1431 NPN 28B 彩行1500V5A80Wβ=20D1433 NPN 28B 彩行1500V7A80Wβ=20D1439 NPN BCE 彩行1500V3A80Wβ=8D1541 NPN 28B 彩行1500V3A80Wβ=20D1545 NPN 28B 彩行1500V5A50Wβ=20D1547 NPN BCE 彩行1500V7A80Wβ=20D1554 NPN BCE 彩行1500V3.5A80Wβ=12D1555 NPN BCE 彩行1500V5A80Wβ=12D1556 NPN BCE 彩行1500V6A80Wβ=12 D1559 NPN BCE 达林顿功放100V20A100Wβ=5000/B1079 D1590 NPN 28 达林顿功放150V8A25W β=15000D1632 NPN 28B 彩行1500V4A70WD1640 NPN 29 达林顿功放120V2A1.2W β=4000-40000D1651 NPN SP 彩行1500V5A60W3MHZD1710 NPN BCE 彩行1500V5A50WD1718 NPN 28C 音频功放180V15A3.5W20MHZD1762 NPN BCE 音频功放开关60V3A25W90MHZ /B1185D1843 NPN BCE 低噪放大50V1A1WD1849 NPN 50A 彩行1500V7A120WD1850 NPN 50A 彩行1500V7A120WD1859 NPN 50A 音频80V0.7A1W120MHZD1863 NPN 50A 音频120V1A1W100MHZD1877 NPN 30 彩行1500V4A50W(带阻尼)D1879 NPN 30 彩行1500V6A60W(带阻尼)D1887 NPN 30 彩行1500V10A70WD1930 NPN 21 达林顿达林顿100V2A1.2Wβ=1000D1975 NPN 53A 音频功放180V15A150W B1317 D1978 NPN 21 达林顿120V1.5A0.9Wβ=30000D1980 NPN 61B 达林顿100V2A10Wβ=1000-10000 |D1981 NPN ECB 达林顿100V2A1WD1993 NPN 45B 音频低噪55V0.1A0.4WD1994A NPN ECB 音频驱动60V1A1WD1997 NPN 45B 激励管40V3A1.5W100MHZD2012 NPN BCE 音频功放60V3A2W3MHZD2136 NPN ECB 功放80V1A1.2WD2155 NPN 53A 音频功放180V15A150WD2256 NPN 46 达林顿功放120V25A125Wβ=2000-20000D2334 NPN 28B 彩行1500V5A80WD2335 NPN BCE 彩行1500V7A100W 1ED2349 NPN BCE 大屏彩显行管D2374 NPN BCED2375 NPN BCED2388 NPN EBC 达林顿90V3A1.2WD2445 NPN BCE 彩行1500V12.5A120WD2498 NPN BCE 彩行1500V6A50WD2588 NPN BCE 点火器用DK55 NPN BEC 开关400V4A60WBC307 PNP 21a 通用50V0.2A0.3WBC327 PNP CBE 低噪音频50V0.8A0.625W COM BC337BC337 NPN 21a 音频激励低噪50V0.8A0.625W COM BC327BC338 NPN 21a 通用激励50V0.8A0.6BC546 NPN 21a 通用80V0.2A0.5WBC547 NPN CBE 通用50V0.2A0.5W300MHZBD135 NPN 29 音频功放45V1.5A12.5WBD136 PNP 29 音频功放45V1.5A12.5WBD137 NPN 29 音频功放60V1.5A12.5WBD138 PNP 29 音频功放60V1.5A12.5wBD139 PNP 29 音频功放80V1.5A12.5WBD237 NPN 29 音频功放100V2A25WBD238 PNP 29 音频功放100V2A25WBD243 NPN 28 音频功放45V6A65WBD244 PNP 28 音频功放45V6A65WBD681 NPN 29 达林顿功放100V4A40WBD682 NPN 29 达林顿功放100V4A40WBF458 NPN 29 视放250V0.1A10WBU208A NPN 12 彩行1500V5A12.5WBU208D NPN 12 彩行1500V5A12.5W (带阻尼) *BBU323 NPN 28 达林顿功放450V10A125WBU406 NPN 28 行管400V7A60WBU508A NPN 28 行管1500V7.5A75WBU508A NPN 28 行管1500V7.5A75WBU508D NPN 28 行管1500V7.5A75W (带阻尼)BU806 NPN 28 功放400V8A60W DAR-LBU932R NPN 12 功放500V15A150W6 NPN •发表于 2009-08-03 09:06:06引用 1 楼• BU1508DX NPN 28 开关功放BU2506DX NPN 30 开关功放1500V7A50W /600NSBU2508AF NPN 30 开关功放700V8A125W /6BU2508AX NPN 30 开关功放700V8A125W /600NSBU2508DF NPN 30 开关功放700V8A125W/600NS(带阻尼)lBU2 ...••BU1508DX NPN 28 开关功放BU2506DX NPN 30 开关功放1500V7A50W /600NSBU2508AF NPN 30 开关功放700V8A125W /6BU2508AX NPN 30 开关功放700V8A125W /600NSBU2508DF NPN 30 开关功放700V8A125W/600NS(带阻尼)lBU2508DX NPN 30 开关功放1500V8A50W/600NS(带阻尼)BU2520AF NPN 30 开关功放800V10A150W 1/50BU2520AX NPN 30 开关功放1500V10A150W 1/500NSBU2520DF NPN 30 开关功放800V10A150W1/500NS(带阻)BU2520DX NPN 30 开关功放1500V10A50W/600NS (带阻)BU2522AF NPN 30 开关功放1500V11A150W /350NS BU2522AX NPN 30 开关功放1500V11A150W /3BU2525AF NPN 30 开关功放1500V12A150W /35BU2525AX NPN 30 开关功放1500V12A150W /350NSBU2527AF NPN 30 开关功放1500V15A150WBU2532AW NPN 30 开关功放1500V15A150W(大屏)BUH515 NPN BCE 行管1500V10A80WBUH515D NPN BCE 行管1500V10A80W(带阻尼)BUS13A NPN 12 开关功放1000V15A175 BUS14A NPN 12 开关功放1000V30A250W BUT11A NPN 28 开关功放1000V5A100W %j+} G-lU+F BUT12A NPN 28 开关功放450V10A125WBUV26 NPN 28 音频功放开关90V14A65W /250nsBUV28A NPN 28 音频功放开关225V10A65W /250nsBUV48A NPN 30 音频功放开关450V15A150WBUW13A NPN 30 功放开关1000V15A150WBUX48 NPN 12 功放开关850V15A125W 8BUX84 NPN 30 功放开关800V2A4BUX98A NPN 12 功放开关400V30A210W5MHZDTA114 PNP 10K-10K 160V0.6A0.625W(带阻)DTC143 NPN 录像机用4.7K-4.7KHPA100 NPN BCE 大屏彩显行管21#HPA150 NPN BCE 大屏彩显行管21#HSE830 PNP BCE 音频功放80V115W1MHZHSE838 NPN BCE 音频功放80V115W1MHZ COP/MJ4502MN650 NPN BCE 行管1500V6A80WMJ802 NPN 12 音频功放开关90V30A200WMJ2955 PNP 12 音频功放开关60V15A115WMJ3055 NPN 12 音频功放开关60V15A115W MJ4502 PNP 12 音频功放开关90V30A200W COP/MJMJ10012 NPN 12 达林顿400V10A175WMJ10015 NPN 12 电源开关400V50A200WMJ10016 NPN 12 电源开关500V50A200W MJ10025 12 电源开关850V20A250WMJ11032 NPN 12 电源开关120V50A300WMJ11033 PNP 12 电源开关120V50A300WMJ13333 NPN 12 电源开关400V20A175WMJ15024 NPN 12 音频功放开关400V16A250W4MHZ(原25.00)MJ15025 PNP 12 音频功放开关400V16A250W4MHZ(原25.00)MJE340 NPN 29 视放300V0.5A20WMJE350 PNP 29 视放300V0.5A20WMJE2955T PNP BCE 音频功放开关60V1075W2MHZMJE3055T NPN BCE 音频功放开关70V1075W2MHZMJE5822 PNP BCE 音频功放开关500V8AMJE9730 NPN BCE 8gU or4U }MJE13003 NPN 29 功放开关400V1.5A14WMJE13005 NPN 28 功放开关400V4A60W "u:OzMJE13007 NPN 28 功放开关1500V2.5A60WSE800TIP31C NPN BCE 功放开关100V3A40W3MHZ TIP32C PNP BCE 功放开关100V3A40W3MHZ TIP35C NPN 30 音频功放开关100V25A125W3MHZTIP36C PNP 30 音频功放开关100V25A125W3MHZTIP41C NPN 30 音频功放开关100V6A65W3MHZTIP42C PNP 30 音频功放开关100V6A65W3MHZTIP102 NPN 28 音频功放开关100V8A2W wwTIP105 28 音频功放开关TIP122 NPN 28 音频功放开关100V8A65W TIP127 PNP 28 音频功放开关100V8A65W DARL TIP137 PNP 28 音频功放开关100V8A70W DARLTIP142 NPN 30 音频功放开关100V10A125W DAR-LTIP142大NPN 30 音频功放开关100V10A125W DAR-LTIP147 PNP 30 音频功放开关100V10A125W DAR-L 0TIP147大PNP 30 音频功放开关100V10A125W DAR-L 0TIP152 电梯用TL431 21 电压基准源UGN3120 SGO 霍尔开关UGN3144 SGO 霍尔开关60MIAL1 电磁/微波炉1000V60A300WT30G40 NPN BCE 大功率开关管400V30A300W5609 COML:56105610 COML:56099626 NPN21 通用三极系列。
玉林万顺达电脑芯片级维修资料 2010-07-20整理玉林万顺达电脑芯片级维修资料 2010-07-20整理玉林万顺达电脑芯片级维修资料 2010-07-20整理玉林万顺达电脑芯片级维修资料 2010-07-20整理玉林万顺达电脑芯片级维修资料 2010-07-20整理玉林万顺达电脑芯片级维修资料 2010-07-20整理玉林万顺达电脑芯片级维修资料 2010-07-20整理玉林万顺达电脑芯片级维修资料 2010-07-20整理玉林万顺达电脑芯片级维修资料 2010-07-20整理玉林万顺达电脑芯片级维修资料 2010-07-20整理玉林万顺达电脑芯片级维修资料 2010-07-20整理玉林万顺达电脑芯片级维修资料 2010-07-20整理玉林万顺达电脑芯片级维修资料 2010-07-20整理玉林万顺达电脑芯片级维修资料 2010-07-20整理玉林万顺达电脑芯片级维修资料 2010-07-20整理玉林万顺达电脑芯片级维修资料 2010-07-20整理玉林万顺达电脑芯片级维修资料 2010-07-20整理玉林万顺达电脑芯片级维修资料 2010-07-20整理玉林万顺达电脑芯片级维修资料 2010-07-20整理玉林万顺达电脑芯片级维修资料 2010-07-20整理玉林万顺达电脑芯片级维修资料 2010-07-20整理玉林万顺达电脑芯片级维修资料 2010-07-20整理玉林万顺达电脑芯片级维修资料 2010-07-20整理玉林万顺达电脑芯片级维修资料 2010-07-20整理玉林万顺达电脑芯片级维修资料 2010-07-20整理玉林万顺达电脑芯片级维修资料 2010-07-20整理玉林万顺达电脑芯片级维修资料 2010-07-20整理玉林万顺达电脑芯片级维修资料 2010-07-20整理玉林万顺达电脑芯片级维修资料 2010-07-20整理玉林万顺达电脑芯片级维修资料 2010-07-20整理。
三极管的相关参数三极管是一种重要的电子器件,广泛应用于电子电路中的放大、开关、斩波等功能。
它具有许多关键参数,下面将详细介绍三极管的相关参数。
1. 最大集电极电流(ICmax):三极管可以承受的最大集电极电流。
超过这个电流极限,三极管可能会损坏。
2. 最大集电极-基极电压(VCEOmax):三极管可以承受的最大集电极到基极的电压。
超过这个电压极限,三极管可能发生击穿。
3. 最大功耗(PDmax):三极管可以承受的最大功耗。
超过这个功耗极限,三极管可能会过热,导致故障。
4. 最大集电极-发射极电压(VCESmax):三极管可以承受的最大集电极到发射极的电压。
超过这个电压极限,三极管可能发生击穿。
5.最大集电极电流放大倍数(hFE):三极管的集电极电流与基极电流之间的比例关系。
它表示三极管的放大能力,通常在工作区域内具有较高的值。
6. 饱和区(Saturation Region):当三极管的基极电流足够大时,集电极-发射极间的电压达到最低值,此时三极管工作在饱和区。
7. 切断区(Cut-off Region):当三极管的基极电压较低时,集电极-发射极间的电压达到最高值,此时三极管工作在切断区。
8. 属性(Transconductance):三极管的输入特性之一,它是指集电极电流变化与基极-发射极电压变化之比,常用单位是毫安每伏特(mA/V)。
9. 剪切频率(Cut-off Frequency):三极管的输出特性之一,它是指在特定放大倍数下,三极管的功耗输出能力降低到原来的一半所对应的频率。
10. 输入电阻(Input Resistance):三极管的输入电阻,也称为基极电阻,是指输入端电压与输入端电流之比。
11. 输出电阻(Output Resistance):三极管的输出电阻,是指输出端电压与输出端电流之比。
12. 射极电阻(Emitter Resistance):三极管的发射极电阻,是指发射极电压与发射极电流之比。
三极管参数代换大全三极管是一种电子器件,常用于放大电路和开关电路中。
在进行电路设计和实际应用中,需要根据具体的使用要求选择合适的三极管参数。
本文将介绍三极管的常用参数以及它们的代换方法,供读者参考。
1.三极管的主要参数三极管的主要参数包括:最大集电极电流(ICmax)、最大集电极电压(VCEmax)、最大功耗(Pmax)、最大封装温度(Tjmax)、增益(hFE)、截止频率(ft)等。
- 最大集电极电流(ICmax):表示三极管可承受的最大电流,超过此值可能会损坏。
一般可以通过电路实际所需的工作电流来选择合适的三极管。
- 最大集电极电压(VCEmax):表示三极管可承受的最大集电极与发射极之间的电压,超过此值可能会损坏。
在实际应用中,需要保证电路工作点的集电极电压在此范围内。
- 最大功耗(Pmax):表示三极管可承受的最大功耗,超过此值可能会导致过热损坏。
在实际应用中,需要根据电路工作条件和环境温度选择合适的三极管。
- 最大封装温度(Tjmax):表示三极管可承受的最高结温,超过此值可能会损坏。
在实际应用中,需要根据电路工作条件和散热措施选择合适的三极管。
-增益(hFE):表示三极管的电流放大倍数,即集电极电流与基极电流的比值。
增益越大,放大器的放大效果越好。
在实际应用中,需要根据放大电路的要求选择合适的增益。
- 截止频率(ft):表示三极管的高频特性,即对高频信号的放大能力。
一般情况下,截止频率越高,三极管的高频性能越好。
在设计高频电路时,需要选择具有较高截止频率的三极管。
2.三极管的参数代换方法在实际应用中,有时我们需要替换款三极管,但是找不到完全相同的型号。
这时就需要进行参数代换。
下面是一些常用的参数代换方法。
- 最大集电极电流(ICmax):一般情况下,可以选择具有更大ICmax的三极管替代。
注意,ICmax不能太小,否则可能无法满足电路要求。
- 最大集电极电压(VCEmax):一般情况下,可以选择具有更大VCEmax的三极管替代。
常用三极管参数一、开关晶体管型号极性 Ic Pcm VCEO VCBO (A) (W) (V) (V)D13003 NPN 1.5 40 400 700D13004 NPN 4 75 400 600D13005 NPN 4 75 400 700D13006 NPN 8 80 400 600D13007 NPN 8 80 450 700D13008 NPN 12 100 300 600D13009 NPN 12 100 400 700二、功放对管型号极性 Ptot lc VCBO(W) (A) (V)2SA1216 PNP 200 -20 -1802SC2922 NPN 200 20 1802SA1301 PNP 120 -12 -1602SC3280 NPN 120 12 1602SA1302 PNP 150 -15 -2002SC3281 NPN 150 15 2002SA1492 PNP 130 -15 -1802SC3856 NPN 130 15 2002SA1494 PNP 200 -20 -2002SC3858 NPN 200 20 2002SA1694 PNP 80 -8 -1602SC4467 NPN 80 8 1602SA1695 PNP 100 -10 -2002SC4468 NPN 100 10 2002SA1941 PNP 100 -10 -1402SC5198 NPN 100 10 1402SA1943 PNP 150 -15 -2002SC5200 NPN 150 15 2002SA1962 PNP 130 -15 -2002SC5242 NPN 130 15 2002SC1579 NPN 150 15 4002SC1580 NPN 150 15 5002SC2761 NPN 200 15 4002SD1037 NPN 100 12 1402SD1047 NPN 100 12 1602SB688 PNP 80 -10 -1202SD718 NPN 80 10 1202SB817 PNP 100 -12 -1402SD1047 NPN 100 12 1402SA1106 PNP 100 -10 -1402SC2581 NPN 100 10 2002SA1215 PNP 150 -4 -1602SC2921 NPN 150 15 160三、超声波用晶体管型号极性 Ptot lc Vceo(W) (A) (V)BUX24 NPN 350 20 400-450 BUX98A NPN 250 30 450 BUS14A NPN 250 30 450-1000BUX48A NPN 200 20 800-1200BUS13A NPN 175 15 450-1000BU508A NPN 125 8 800-1500BUV48A NPN 150 15 450-1000四、NPN硅特大功率三极管型号极性 lc Pcm Vceo Vcbo(A) (W) (V) (V)3DF50C NPN 50 500 200 2503DD5686 NPN 50 300 200 2502SC1435 NPN 40 300 600 800-12002SC2445 NPN 30 250 300/200 400/3002SC3990 NPN 35 250 800/500 900/6002SC1437 NPN 50 200 230 2302SC2921 NPN 50 200 160 2002SC2147 NPN 50 200 400 6002SC431(….6) NPN 30 200 150-300 180-500 2SC1136 NPN 30 200 200/150 200/1502SC1138 NPN 30 200 800/400 800/4002SC1139 NPN 30 200 600/300 600/3002SC1300(.02) NPN 30 200 500/250 500/250 2SC2128 NPN 30 200 200 2002SC3858 NPN 20 200 200 2502SC2507 NPN 20 200 500/400 500/4002SC2922 NPN 17 200 180 2002SC3281 NPN 15 200 200 2802SC1145 NPN 20 175 700/400 700/4002SC3455 NPN 25 160 800/500 800/5002SC5200 NPN 15 150 230 2802SC1140(..1) NPN 15 150 800/400 800/400器件型号极性 lc Pcm Vceo Vcbo(A) (W) (V) (V)2SC806A NPN 10 125 700 7002SC1142 NPN 10 125 800/400 800/4002SC2751 NPN 15 120 500 5002SC1322 NPN 15 100 250 2802SC1079 NPN 12 100 150 2002SC2304 NPN 12 100 500/400 500/4002SC1469A NPN 10 100 500/400 500/400 2SC407(..12) NPN 10 100 150-300 150-300 2SC102 NPN 7 100 200 2002SC1764 NPN 12 80 65 1502SC2303 NPN 10 100 500/400 500/4002SC1477 NPN 9 100 230 2802SC902 NPN 10 75 150 2002SC1403A NPN 8 70 180 2302SC1463 NPN 4 70 450 5502SC1051(L) NPN7 60 200 2302SC4122 NPN 7 60 1500/800 1500/8002SC768(..771) NPN 10 50 60-250 100-350 2SC758(..760) NPN 8 50 100-280 200-350 2SC270 NPN 5 50 270 3802SC862 NPN 5 50 650 700五、PNP硅特大功率三极管器件型号极性 lc(A) Pcm(W) Vceo (V)Vcbo(V) 3CD5684 PNP -50 300 -230 -2802SA1494 PNP -30 250 -200 -2502SA1109 PNP -10 200 -180 -2002SA1117 PNP -17 200 -200 -2502SA1493 PNP -15 200 -200 -2502SA1216 PNP -15 200 -180 -2002SA1215 PNP -17 200 -160 -20022SA1295 PNP -17 200 -230 -2502SA909 PNP -15 150 -200 -2502SA1043 PNP -30 150 -120 -1502SA1047 PNP -15 150 -160 -2002SA1943 PNP -15 150 -230 -2502SA1294 PNP -15 130 -230 -2502SA1003 PNP -12 120 -150 -2002SA1065 PNP -10 120 -150 -2002SA1072(…3) PNP -15 120 -160 -2002SA1187 PNP -12 120 -150 -2002SA1227(A) PNP -12 120 -160 -2002SA491 PNP -10 100 -140 -2002SA679 PNP -12 100 -120 -1502SA1695 PNP -10 100 -140 -1602SA1042 PNP -15 100 -70 -1002SA1007 PNP -10 100 -150 -1502SA1180 PNP -10 100 -180 -2002SA751 PNP -7 80 -130 -1502SA982 PNP -8 80 -140 -1602SA1672 PNP -10 80 -140 -1602SA1673 PNP -15 80 -180 -2002SA1672 PNP -8 75 -120 -1502SA745A PNP -8 70 -120 -1502SA1292 PNP -15 70 -80 -1002SA626 PNP -5 60 -80 -1002SA627 PNP -5 60 -100 -1202SA649 PNP -7 60 -150 -2002SC1513 PNP -15 60 -100 -1202SA1746 PNP -12 60 -70 -1002SA757 PNP -7 60 -120 -1502SA656(A) PNP -7 50 -130 -1502SA739 PNP -3 50 -400 -4502SA756 PNP -6 50 -100 -120六、3DD系列特大功率三极管器件型号 Pcm Icm Vceo Vcbo 塑封外型DF50C 500W 50A 200V 250V TO-3PⅢCF50C 500W -50A -200V -250V TO-3PⅢ3DD5686 300W 50A 200V 250V TO-3PⅡ 3CD5684 300W -50A -200V -250V TO-3PⅡ 3CF5 50W -5A -250V -250V TO-2203CF7 75W -7A -250V -250V TO-2203CF10 100W -10A 0-250V -250V TO-3P3CF15 150W -15A -250V -250V TO-3PⅡ3CF20 200W -20A -250V -250V TO-3PⅡ3CD6 50W -5A -300V TO-2203CD8 100W -10A -300V TO-3PⅡ3CD9 150W -15A -300V TO-3PⅡ3CD4399 200W -30A -60V -60V TO-3PⅡ 3CD5884 200W -25A -80V -80V TO-3PⅡ 3CD6609 150W 16A -140V -80V TO-3PⅡ3CD4352 125W 16A -140V -140V TO-3PⅡ3CD5880 160W 15A -80V -80V TO-3PⅡ3CD15002 200W 15A -140V -140V TO-3PⅡ3CD1618 200W 20A -160V -180V TO-3PⅡ3CD15004 250W 20A -140V -160V TO-3PⅡ3DF5 50W 5A 50-300V 80-450V TO-2203DF7 75W 7.5A 50-300V 80-450V TO-2203DF10 100W 10A 50-300V 80-450V TO-3PⅡ 3DF15 150W 15A 50-300V 80-450V TO-3PⅡ 3DF20 200W 20A 50-300V 80-450V TO-3PⅡ 3DF30 300W 30A 50-300V 80-450V TO-3PⅢ 3DF50 500W 50A 50-300V 80-450V TO-3PⅢ 3DF105 50W 3A 200-800V 300-1500V TO-220 3DD6 50W 3-5A 50-600V TO-2203DD7 75W 3.5-7.5A 50-600V TO-2203DD8 100W 5-10A 50-600V TO-3PⅡ3DD9 150W 7.5-15A 50-600V TO-3PⅡ3DD10 200W 10-20A 50-600V TO-3PⅡ3DD11 300W 15-30A 50-600V TO-3PⅡ3DD63 50W 7.5A 30-230V TO-2203DD67 75W 10A 30-230V TO-2203DD69 100W 15A 30-230V TO-3PⅡ3DD70 100W 9A 30-230V TO-3PⅡ3DD71 150W 20A 30-230V TO-3PⅡ3DD72 150W 14A 30-230V TO-3PⅡ3DD73 200W 25A 30-230V TO-3PⅡ3DD101 50W 5A 100-300V 150-350V TO-220 3DD104 50W 3A 200-800V 300-1500V TO-220 3DD162 50W 7.5A 50-400V 80-600V TO-2203DD164 75W 10A 50-400V 80-600V TO-2203DD165 100W 10A 50-400V 80-600V TO-3PⅡ3DD167 150W 15A 50-400V 80-600V TO-3PⅡ3DD168 150W 15A 50-400V 80-600V TO-3PⅡ3DD170 200W 20A 50-400V 80-600V TO-3PⅡ3DD173 250W 25A 50-400V 80-600V TO-3PⅡ3DD175 300W 30A 50-400V 80-600V TO-3PⅡ3DD259 50W 3.5A 300-800V 50-1500V TO-2203DD262 75W 5A 300-800V 50-1500V TO-2203DD265 100W 7A 300-800V 50-1500V TO-3PⅡ3DD268 150W 10A 300-800V 50-1500V TO-3PⅡ3DD271 200W 15A 300-800V 50-1500V TO-3PⅡ3DD275 300W 20A 300-800V 50-1500V TO-3PⅡ3DD4342 125W 16A 140V 140V TO-3PⅡ3DD5038 140W 20A 150V 150V TO-3PⅡ3DD3716 150W 10A 80V 100V TO-3PⅡ3DD3773 150W 16A 140V 160V TO-3PⅡ3DD5882 160W 15A 80V 80V TO-3PⅡ3DD15001 200W 15A 140V 140V TO-3PⅡ3DD5886 200W 25A 80V 80V TO-3PⅡ3DD6338 200W 25A 100V 120V TO-3PⅡ3DD5302 200W 30A 60V 60V TO-3PⅡ3DD1618 250W 20A 160V 180V TO-3PⅡ3DD15003 250W 20A 140V 160V TO-3PⅡ七、MOSFET 场效应管参数型号 PD (W) ID (A) V(BR)DSS (V) 管脚排列PIN ARRAY 封装形式IRF150 150 40 100 GDS TO-204AEIRF250 150 30 200 GDS TO-204AEIRF460 300 21 500 GDS TO-204AE IRF540 150 28 100 GDS TO-220AB IRF630 75 9 200 GDS TO-220ABIRF640 125 18 200 GDS TO-220AB IRF730 74 5.5 400 GDS TO-220ABIRF740 125 10 400 GDS TO-220AB IRF830 74 4.5 500 GDS TO-220ABIRF840 125 8 500 GDS TO-220ABIRF1404 200 162 40 GDS TO-220AB IRF1405 330 169 55 GDS TO-220AB IRF3205 200 80-110 55 GDS TO-220AB IRFP40 150 40 40 GDS TO-220AB IRFP450A 190 14 500 GDS TO-220AB IRF9640 125 -11 -200 GDS TO-220AB IRFZ44 190 50 60 GDS TO-220AB IRFZ48 45 40 55 GDS TO-220AB IRFP064 300 70 60 GDS TO-247AC IRFP150 200 40 100 GDS TO-3PIRFP250 190 30 200 GDS TO-247AC IRFP450 190 14 500 GDS TO-247AC IRFP460 280 20 500 GDS TO-247AC IRFPE40 150 5.5 800 GDS TO-247AC2N60 64 2.4 600 GDS TO-220AB3N60 75 3 600 GDS TO-220AB3N90 25 3 900 GDS TO-220AB4N60 106 4.4 600 GDS TO-220F6N60 125 6 600 GDS TO-220AB10N10 75 10 100 GDS TO-220AB10N60 180 11 600 GDS TO-220AB40N50 500 40 500 GDS TO-247AC 50N06 125 50 60 GDS TO-22060N06 150-250 60 60 GDS TO-220AB 60N100 176 60 1000 GDS TO-3PL70N06 250 70 60 GDS T0220AB75N75 300 75 75 GDS TO-3P100N10 450 100 100 GDS TO-3P。
常用三极管参数大全三极管是一种常见的半导体器件,主要用于放大电流和控制电流的流动。
下面是一些常用的三极管参数的详细介绍。
1. 最大电流 (Ic max):这是三极管能够承受的最大电流。
当超过这个电流时,三极管可能会被烧毁。
2. 最大电压 (Vce max):这是三极管的最大耐压能力,也就是能够承受的最大电压。
当超过这个电压时,三极管可能会发生击穿。
3.放大倍数(β):也叫直流电流放大因子,表示输入电流和输出电流之间的比例关系。
β值越大,放大效果越好。
一般来说,普通的低功率三极管的β值在20到100之间。
4. 饱和电流 (Icsat):当三极管被正确偏置并处于饱和状态时,电流的最大值。
一般来说,这个值应该小于最大电流的一半。
5.收集极电阻(Rc):也叫输出电阻,表示三极管作为放大器时,输出端所呈现的电阻值。
一般来说,Rc越大,输出电阻越大。
6.音频频带宽度(fT):这是三极管的最高工作频率。
对于放大高频信号,fT应该足够高,以保持信号的完整性。
7.噪声系数(NF):表示三极管产生的噪音的大小。
通常用分贝(dB)为单位表示,值越小表示噪音越小。
8. 输入电阻 (Rin):表示对输入信号的阻力。
一般来说,输入电阻应该足够大,以避免对信号源的影响。
9. 输出电阻 (Rout):表示三极管的输出端对外部电路的负载能力。
一般来说,输出电阻应该足够小,以避免对外部电路的影响。
10.温度系数(TC):表示三极管参数对温度变化的敏感程度。
一般来说,温度系数越小,三极管的性能越稳定。
除了上述常用的参数外,三极管还有很多其他参数,如频率响应、输入/输出电容、功率耗散、失真等等。
这些参数在不同的应用场合中具有不同的重要性。
总的来说,了解三极管的参数对于选择合适的器件、设计电路以及优化电路性能至关重要。
不同的应用需要关注的参数也有所不同,需要根据具体情况进行选择和权衡。
常用三极管数据三极管是一种常用的电子元件,广泛应用于电子电路中的放大、开关和稳压等功能。
在设计和选择电子电路时,了解常用三极管的数据是非常重要的。
下面将介绍几种常用的三极管,并提供相应的数据。
1. NPN型三极管NPN型三极管是一种常见的晶体管,具有以下特点:- 极性:NPN型三极管有三个引脚,分别是发射极(Emitter)、基极(Base)和集电极(Collector)。
- 最大集电极电流(IC max):通常以毫安(mA)为单位,表示三极管能够承受的最大集电极电流。
- 最大集电极-基极电压(VCE max):通常以伏特(V)为单位,表示三极管能够承受的最大集电极-基极电压。
- 最大功耗(P max):通常以瓦特(W)为单位,表示三极管能够承受的最大功耗。
- 放大倍数(hFE):表示三极管的放大能力,一般以无量纲的倍数表示。
2. PNP型三极管PNP型三极管是另一种常见的晶体管,与NPN型三极管相比,其极性相反,具有以下特点:- 极性:PNP型三极管的极性与NPN型三极管相反,发射极为P型,基极为N 型,集电极为P型。
- 最大集电极电流(IC max):与NPN型三极管类似,表示三极管能够承受的最大集电极电流。
- 最大集电极-基极电压(VCE max):与NPN型三极管类似,表示三极管能够承受的最大集电极-基极电压。
- 最大功耗(P max):与NPN型三极管类似,表示三极管能够承受的最大功耗。
- 放大倍数(hFE):与NPN型三极管类似,表示三极管的放大能力。
3. 常见三极管型号和数据下面列举几种常见的三极管型号及其数据,供参考:- 2N3904 NPN型三极管:- IC max:200mA- VCE max:40V- P max:625mW- hFE:100-300- 2N3906 PNP型三极管:- IC max:200mA- VCE max:40V- P max:625mW- hFE:100-300- BC547 NPN型三极管:- IC max:100mA- VCE max:45V- P max:500mW- hFE:200-800- BC557 PNP型三极管:- IC max:100mA- VCE max:45V- P max:500mW- hFE:200-800这些是常见的三极管型号和数据,实际应用中还有许多其他型号的三极管可供选择。
常用三极管数据三极管是一种常用的电子元件,广泛应用于电子电路中。
三极管的性能参数对于电路设计和性能优化起着至关重要的作用。
本文将介绍常用的三极管数据,匡助读者更好地了解三极管的特性和应用。
一、三极管的基本参数1.1 饱和电流(Icmax):三极管在饱和状态下的最大电流。
1.2 最大功耗(Pdmax):三极管能够承受的最大功率。
1.3 最大耗散功率(Ptotmax):三极管在特定工作条件下的最大耗散功率。
二、三极管的电压参数2.1 饱和压降(Vcesat):三极管在饱和状态下的最小集电极-发射极压降。
2.2 截止电压(Vceoff):三极管在截止状态下的最大集电极-发射极电压。
2.3 最大工作电压(Vceo):三极管能够承受的最大集电极-发射极电压。
三、三极管的频率参数3.1 最大工作频率(fmax):三极管能够正常工作的最大频率。
3.2 放大带宽积(ft):三极管的频率特性参数,代表其频率响应能力。
3.3 最小输入电容(Cib):三极管的输入电容,影响其高频性能。
四、三极管的尺寸参数4.1 封装类型:三极管的封装形式,如TO-92、TO-220等。
4.2 尺寸:三极管的外形尺寸,包括长度、宽度和高度。
4.3 引脚罗列:三极管引脚的罗列方式,影响其安装和连接方式。
五、三极管的特性参数5.1 峰值增益(hfe):三极管的电流放大倍数。
5.2 输入电阻(Rbe):三极管的输入电阻,影响其输入信号的损耗。
5.3 输出电阻(Rce):三极管的输出电阻,影响其输出信号的负载能力。
总结:三极管的性能参数包括基本参数、电压参数、频率参数、尺寸参数和特性参数。
了解三极管的数据可以匡助工程师在电路设计和选型时做出更合理的选择,提高电路的性能和稳定性。
希翼读者通过本文的介绍,对三极管的数据有更全面的了解。
常用三极管参数
三极管是一种重要的电子器件,具有很多参数需要理解和掌握,以下是常用的三极管参数(按字母顺序排序):
1. β(放大倍数):β是指集电极电流与基极电流之比,也称放大倍数。
它表示三极管输入信号(基极电流)与输出信号(集电极电流)之间的比例关系,通常在几十至几百之间。
2. BVCEO(集电极-发射极正向最大电压):BVCEO是指在基极开路时,允许集电极与发射极之间的正向最大电压。
超过这个电压,三极管可能会损坏。
4. hFE(直流放大倍数):hFE是指当三极管工作于直流工作点时,集电极电流与基极电流之比。
它表示三极管的放大倍数,通常在几十至几百之间。
hFE还可以分为直流增益和交流增益两种。
5. ICBO(集电极漏电流):ICBO是指当三极管的基极开路时,集电极与发射极之间的漏电流。
ICBO的大小通常很小,一般在几十到几百纳安范围内。
6. ICER(集电极饱和区内的反向击穿电压):ICER是指在集电极-发射极之间施加反向电压时,当三极管处于饱和区时,可以承受的最大反向电压。
8. VBE(基极-发射极电压):VBE是指当三极管正常工作时,基极与发射极之间的电压。
通常在0.6V至0.8V之间,但具体取决于三极管的型号和工作温度。
三极管参数需要根据具体的应用情况选择,合理使用参数能够提高电路的性能和可靠性。
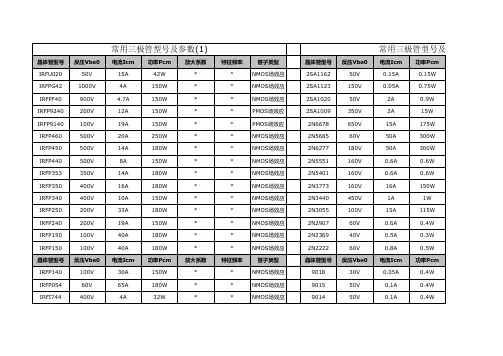
IRFU02050V15A42W**NMOS场效应IRFPG421000V4A150W**NMOS场效应IRFPF40900V 4.7A150W**NMOS场效应IRFP9240200V12A150W**PMOS场效应IRFP9140100V19A150W**PMOS场效应IRFP460500V20A250W**NMOS场效应IRFP450500V14A180W**NMOS场效应IRFP440500V8A150W**NMOS场效应IRFP353350V14A180W**NMOS场效应IRFP350400V16A180W**NMOS场效应IRFP340400V10A150W**NMOS场效应IRFP250200V33A180W**NMOS场效应IRFP240200V19A150W**NMOS场效应IRFP150100V40A180W**NMOS场效应IRFP140100V30A150W**NMOS场效应IRFP05460V65A180W**NMOS场效应IRFI744400V4A32W**NMOS场效应IRFI730400V4A32W**NMOS场效应IRFD9120100V1A1W**NMOS场效应IRFD12380V 1.1A1W**NMOS场效应IRFD120100V 1.3A1W**NMOS场效应IRFD11360V0.8A1W**NMOS场效应IRFBE30800V 2.8A75W**NMOS场效应IRFBC40600V 6.2A125W**NMOS场效应IRFBC30600V 3.6A74W**NMOS场效应IRFBC20600V 2.5A50W**NMOS场效应IRFS9630200V 6.5A75W**PMOS场效应IRF9630200V 6.5A75W**PMOS场效应IRF9610200V1A20W**PMOS场效应IRF954160V19A125W**PMOS场效应IRF953160V12A75W**PMOS场效应IRF9530100V12A75W**PMOS场效应IRF840500V8A125W**NMOS场效应IRF830500V 4.5A75W**NMOS场效应IRF740400V10A125W**NMOS场效应IRF730400V 5.5A75W**NMOS场效应IRF720400V 3.3A50W**NMOS场效应IRF640200V18A125W**NMOS场效应IRF630200V9A75W**NMOS场效应IRF610200V 3.3A43W**NMOS场效应IRF54180V28A150W**NMOS场效应IRF540100V28A150W**NMOS场效应IRF530100V14A79W**NMOS场效应IRF440500V8A125W**NMOS场效应IRF230200V9A79W**NMOS场效应IRF130100V14A79W**NMOS场效应BUZ20100V12A75W**NMOS场效应BUZ11A50V25A75W**NMOS场效应BS17060V0.3A0.63W**NMOS场效应2SC4582600V15A75W**NPN2SC4517550V3A30W**NPN2SC44291100V8A60W**NPN2SC4297500V12A75W**NPN2SC42881400V12A200W**NPN2SC4242450V7A40W**NPN2SC4231800V2A30W**NPN2SC41191500V15A250W**NPN2SC41111500V10A250W**NPN2SC4106500V7A50W*20MHZ NPN2SC4059600V15A130W**NPN2SC403850V0.1A0.3W*180MHZ NPN2SC4024100V10A35W**NPN2SC39981500V25A250W**NPN2SC39971500V15A250W**NPN2SC398750V3A20W1000*NPN(达林顿) 2SC3953120V0.2A 1.3W*400MHZ NPN2SC3907180V12A130W*30MHZ NPN2SC38931400V8A50W*8MHZ NPN2SC38861400V8A50W*8MHZ NPN2SC3873500V12A75W*30MHZ NPN2SC3866900V3A40W**NPN2SC3858200V17A200W*20MHZ NPN2SC380730V2A 1.2W*260MHZ NPN2SC3783900V5A100W**NPN2SC37201200V10A200W**NPN2SC3680900V7A120W**NPN2SC3679900V5A100W**NPN2SC359530V0.5A 1.2W90*NPN2SC3527500V15A100W13*NPN2SC3505900V6A80W12*NPN2SC34601100V6A100W12*NPN2SC34571100V3A50W12*NPN2SC335820V0.15A**7000MHZ NPN2SC335520V0.15A**6500MHZ NPN2SC3320500V15A80W**NPN2SC3310500V5A40W20*NPN2SC3300100V15A100W**NPN2SC185520V0.02A0.25W*550MHZ NPN2SC1507300V0.2A15W**NPN2SC149436V6A40W*175MHZ NPN2SC122260V0.1A0.25W*100MHZ NPN2SC116235V 1.5A10W**NPN2SC100880V0.7A0.8W*50MHZ NPN2SC90030V0.03A0.25W*100MHZ NPN2SC82845V0.05A0.25W**NPN2SC81560V0.2A0.25W**NPN2SC38035V0.03A0.25W**NPN2SC10660V 1.5A15W**NPN2SB1494120V25A120W**PNP(达林顿)2SB1429180V15A150W**PNP2SB1400120V6A25W1000-20000*PNP(达林顿)2SB137560V3A2W**PNP2SB133580V4A30W**PNP2SB1317180V15A150W**PNP2SB1316100V2A10W15000*PNP(达林顿)2SB124340V3A1W*70MHZ PNP2SB124040V2A1W*100MHZ PNP2SB123880V0.7A1W*100MHZ PNP2SB118560V3A25W*75MHZ PNP2SB1079100V20A100W5000*PNP(达林顿)2SB1020100V7A40W6000*PNP(达林顿)2SB83460V3A30W**PNP2SB817160V12A100W**PNP2SB77240V3A10W**PNP2SB74470V3A10W**PNP2SB73460V1A1W**PNP2SB688120V8A80W**PNP2SB67560V7A40W**PNP(达林顿)2SB66970V4A40W**PNP(达林顿)2SB649180V 1.5A1W**PNP2SB647120V1A0.9W*140MHZ PNP2SB44950V 3.5A22W**PNP2SA1943230V15A150W**PNP2SA1785400V1A1W*140MHZ PNP2SA1668200V2A25W*20MHZ PNP2SA1516180V12A130W*25MHZ PNP2SA1494200V17A200W*20MHZ PNP2SA1444100V 1.5A2W*80MHZ PNP2SA1358120V1A10W*120MHZ PNP2SA1302200V15A150W**PNP2SA1301200V10A100W**PNP2SA1295230V17A200W**PNP2SA1265140V10A30W**PNP2SA1216180V17A200W**PNP2SA116250V0.15A0.15W**PNP2SA1123150V0.05A0.75W**PNP2SA102050V2A0.9W**PNP2SA1009350V2A15W**PNP2N6678650V15A175W**NPN2N568560V50A300W**NPN2N6277180V50A300W**NPN2N5551160V0.6A0.6W*100MHZ NPN2N5401160V0.6A0.6W*100MHZ PNP2N3773160V16A150W**NPN2N3440450V1A1W**NPN2N3055100V15A115W**NPN2N290760V0.6A0.4W200*NPN2N236940V0.5A0.3W*800MHZ NPN2N222260V0.8A0.5W45*NPN 901830V0.05A0.4W*1G NPN901550V0.1A0.4W*150MHZ PNP 901450V0.1A0.4W*150MHZ NPN 901350V0.5A0.6W**NPN 901250V0.5A0.6W**PNP 901150V0.03A0.4W*150MHZ NPNTIP147100V10A125W**PNPTIP142100V10A125W**NPNTIP127100V8A65W**PNPTIP122100V8A65W**NPNTIP102100V8A2W**NPNTIP42C100V6A65W**PNPTIP41C100V6A65W**NPNTIP36C100V25A125W**PNPTIP35C100V25A125W**NPNTIP32C100V3A40W**PNPTIP31C100V3A40W**NPN MJE130071500V 2.5A60W**NPN MJE13005400V4A60W**NPN MJE13003400V 1.5A14W**NPN MJE2955T60V10A75W**NPN MJE350300V0.5A20W**NPN MJE340300V0.5A20W**NPNMJ15025400V16A250W**PNPMJ15024400V16A250W**NPNMJ13333400V20A175W**NPNMJ11033120V50A300W**NPNMJ11032120V50A300W**NPNMJ10025850V20A250W**NPNMJ10016500V50A200W**NPN BUS13A1000V15A175W**NPN BUH5151500V10A80W**NPNBU25321500V15A150W**NPNBU25271500V15A150W**NPNBU25251500V12A150W**NPNBU25221500V11A150W**NPNBU2520800V10A150W**NPNBU2508700V8A125W**NPNBU25061500V7A50W**NPNBU932R500V15A150W**NPNBU806400V8A60W**NPNBU406400V7A60W**NPNBU323450V10A125W**NPN(达林顿) BF458250V0.1A10W**NPNBD682100V4A40W**PNPMJ10015400V50A200W**NPNMJ10012400V10A175W**NPN(达林顿) MJ450290V30A200W**PNPMJ305560V15A115W**NPNMJ295560V15A115W**PNPMN6501500V6A80W**NPNBUX98A400V30A210W**NPN BUX84800V2A40W**NPN BUW13A1000V15A150W**NPN BUV48A450V15A150W**NPN BUV28A225V10A65W**NPN BUV2690V14A65W**NPN BUT12A450V10A125W**NPN BUT11A1000V5A100W**NPN BUS14A1000V30A250W**NPNBD681100V4A40W**NPNBD24445V6A65W**PNPBD24345V6A65W**NPNBD238100V2A25W**PNPBD237100V2A25W**NPNBD13860V 1.5A12.5W**PNPBD13760V 1.5A12.5W**NPNBD13645V 1.5A12.5W**PNPBD13545V 1.5A12.5W**NPNBC54750V0.2A0.5W*300MHZ NPNBC54680V0.2A0.5W**NPNBC33850V0.8A0.6W**NPNBC33750V0.8A0.6W**NPNBC32750V0.80.6W**PNPBC30750V0.2AA0.3W**PNP2SDK55400V4A60W**NPN2SD24451500V12.5A120W**NPN2SD238890V3A 1.2W**NPN(达林顿) 2SD23351500V7A100W**NPN2SD23341500V5A80W**NPN2SD2156120V25A125W2000-20000*NPN(达林顿) 2SD2155180V15A150W**NPN2SD203660V1A 1.2W**NPN2SD201260V3A2W**NPN2SD200880V1A 1.5W**NPN2SD199740V3A 1.5W*100MHZ NPN2SD199460V1A1W**NPN2SD199350V0.1A0.4W**NPN2SD1980100V2A10W1000-10000*NPN(达林顿) 2SD1978120V 1.5A1W30000*NPN(达林顿) 2SD1975180V15A150W**NPN2SD1930100V2A 1.2W1000*NPN(达林顿) 2SD184750V1A1W**NPN(低噪) 2SD176260V3A25W*90MHZ NPN2SD1718180V15A 3.2W*20MHZ NPN2SD1640120V2A 1.2W4000-40000*NPN(达林顿) 2SD1590150V8A25W15000*NPN(达林顿) 2SD1559100V20A20W5000*NPN(达林顿) 2SD141580V7A40W6000*NPN(达林顿) 2SD141680V7A40W6000*NPN(达林顿) 2SD130225V0.5A0.5W*200MHZ NPN2SD127380V3A40W*50MHZ NPN2SD1163A350V7A40W*60MHZ NPN2SD1047160V12A100W**NPN2SD1037150V30A180W**NPN2SD1025200V8A50W**NPN(达林顿) 2SD789100V1A0.9W**NPN2SD774100V1A1W**NPN2SD669180V 1.5A1W*140MHZ NPN2SD667120V1A0.9W*140MHZ NPN( 达林顿 ) 2SD560150V5A30W**NPN( 达林顿 ) 2SD547600V50A400W**NPN2SD438500V1A0.75W*100MHZ NPN2SD415120V0.8A5W**NPN2SD385100V7A30W**NPN( 达林顿 ) 2SD32550V3A25W**NPN2SD40C40V0.5A40W**NPN( 达林顿 ) 2SC52521500V15A100W**NPN2SC52511500V12A50W**NPN2SC52501000V7A100W**NPN2SC52441500V15A200W**NPN2SC52431500V15A200W**NPN2SC52071500V10A50W**NPN2sc5200230V15A150W**NPN2sc51321500V16A50W**NPN2sc50881500V10A50W**NPN2sc50861500V10A50W**NPN2sc50681500V10A50W**NPN2sc50201000V7A100W**NPN2sc4953500V2A25W**NPN2sc49411500V6A65W**NPN2sc49271500V8A50W**NPN2sc4924800V10A70W**NPN2sc49132000V0.2A35W**NPN2sc47691500V7A60W**NPN( 带阻尼 ) 2sc47471500V10A50W**NPN2sc47451500V6A50W**NPN2sc47421500V6A50W**NPN( 带阻尼 ) 2sc4706900V14A130W*6MH NPN2SD18871500V10A70W**NPN2SD18861500V8A70W**NPN2SD18851500V6A60W**NPN2SD18841500V5A60W**NPN2SD18831500V4A50W**NPN2SD18821500V3A50W**NPN2SD18811500V10A70W**NPN2SD18801500V8A70W**NPN2SD18791500V6A60W**NPN2SD18781500V5A60W**NPN2SD18761500V3A50W**NPN2SD17391500V6A100W**NPN2SD17381500V5A100W**NPN 2SD17371500V 3.5A60W**NPN 2SD17321500V7A120W**NPN 2SD17311500V6A100W**NPN 2SD17301500V5A100W**NPN 2SD17291500V 3.5A60W**NPN 2SD17111500V7A100W**NPN 2SD17101500V6A100W**NPN 2SD16561500V6A60W**NPN 2SD16551500V5A60W**NPN 2SD16541500V 3.5A50W**NPN 2SD16531500V 2.5A50W**NPN 2SD16521500V6A60W**NPN 2SD16511500V5A60W**NPN 2SD16501500V 3.5A50W**NPN 2SD16351500V5A100W**NPN 2SD16321500V4A70W**NPN 2SD15771500V5A80W**NPN 2SD15541500V 3.5A40W**NPN 2SD15481500V10A50W**NPN 2SD15471500V7A50W**NPN 2SD15461500V6A50W**NPN 2SD15451500V5A50W**NPN 2SD14561500V6A50W**NPN 2SD14551500V5A50W**NPN 2SD14541700V4A50W**NPN 2SD14341700V5A80W**NPN 2SD14311500V5A80W**NPN 2SD14261500V 3.5A80W**NPN 2SD14021500V5A120W**NPN 2SD13991500V6A60W**NPN 2SD13441500V6A50W**NPN 2SD13431500V6A50W**NPN 2SD13421500V5A50W**NPN 2SD19411500V6A50W**NPN 2SD19111500V5A50W**NPN 2SD13411500V5A50W**NPN 2SD12191500V3A65W**NPN 2SD12901500V3A50W**NPN 2SD11751500V5A100W**NPN 2SD11741500V5A85W**NPN 2SD11731500V5A70W**NPN 2SD11721500V5A65W**NPN 2SD11431500V5A65W**NPN 2SD11421500V 3.5A50W**NPN 2SD10161500V7A50W**NPN 2SD9952500V3A50W**NPN 2SD9941500V8A50W**NPN 2SD957A1500V6A50W**NPN 2SD9541500V5A95W**NPN2SD9521500V3A70W**NPN 2SD9041500V7A60W**NPN 2SD9031500V7A50W**NPN 2SD8711500V6A50W**NPN 2SD8701500V5A50W**NPN 2SD8691500V 3.5A50W**NPN 2SD8382500V3A50W**NPN 2SD8221500V7A50W**NPN 2SD8211500V6A50W**NPN 2SD3481500V7A50W**NPN 2SC4303A1500V6A80W**NPN 2SC42921500V6A100W**NPN 2SC42911500V5A100W**NPN 2SC4199A1500V10A100W**NPN 2SC38831500V5A50W**NPN 2SC37291500V5A50W**NPN 2SC36881500V10A150W**NPN 2SC36871500V8A150W**NPN 2SC36861500V7A120W**NPN 2SC36851500V6A120W**NPN 2SC34861500V6A120W**NPN 2SC34851500V5A120W**NPN 2SC34841500V 3.5A80W**NPN 2SC34821500V6A120W**NPN 2SC34811500V5A120W**NPN 2SC34801500V 3.5A80W**NPN 2SC21252200V5A50W**NPN 2SC20271500V5A50W**NPN BUY712200V2A40W**NPN BU508A1500V7.5A75W**NPN BU5001500V6A75W**NPN BU3081500V5A12.5W**NPN BU209A1700V5A12.5W**NPN BU208D1500V5A12.5W**NPN BU208A1500V5A12.5W**NPN BU1081500V5A12.5W**NPN 2SD158560V3A15W**NPN 2SD77320V2A1W**NPN 2SC278560V0.1A0.3W**NPN 2SC40350V0.1A0.1W**NPN 2SD124630V2A0.75W**NPN 2SC2570A25V0.07A0.6W**NPN 2SC104730V0.015A0.15W**NPN 2SC311460V0.15A0.2W**NPN 2SD40025V1A0.75W**NPN 2SC192340V0.02A0.1W**NPN 2SC2621300V0.2A10W**NPN 2SC2568300V0.2A10W**NPN 2SC221650V0.05A0.3W**NPN 2SC167430V0.02A0.1W**NPN2SC536F40V0.1A0.25W**NPN 2SA608F30V0.1A0.25W**PNP 2SD1271A130V7A40W**NPN 2SD113370V4A40W**NPN 2SC1890A120V0.05A0.3W**NPN 2SC136050V0.05A0.5W**NPN 2SA1304150V 1.5A25W**PNP 2SD1274A150V5A40W**NPN 2SC2371300V0.1A10W**NPN 2SA966Y30V 1.5A0.9W**PNP 2SD137880V0.7A10W**NPN 2SD553Y70V7A40W**NPN RN120450V0.1A0.3W**NPN 2SD1405Y50V3A30W**NPN 2SC287850V0.3A0.4W**NPN 2SC195930V0.4A0.5W**NPN 2SC1569300V0.15A 1.5W**NPN 2SC2383Y160V1A0.9W**NPN 2SA129950V0.5A0.3W**PNP 2SB564A45V0.050.25W**PNP 2SD1877800V4A50W**NPN BU508A1500V8A125W**NPN BUT111500V5A80W**NPN 2SD3505900V6A50W**NPN 2SD9061400V8A50W**NPN 2SD9051400V8A50W**NPN 2SC19421500V3A100W**NPN 2SD13971500V 3.5A50W**NPN 2SD13961500V 2.5A50W**NPN 2SC3153900V6A100W**NPN 2SD14031500V6A50W**NPN 2SD14101500V 3.5A80W**NPN 2SD20571500V5A100W**NPN 2SD20271500V5A50W**NPN 2SD9531500V7A95W**NPN 2SD9511500V3A65W**NPN 2SD9501500V 3.5A80W**NPN 2SD8521500V5A70W**NPN 2SD8501500V3A25W**NPN 2SD900B1500V5A50W**NPN 2SD899A1500V4A50W**NPN 2SD898B1500V3A50W**NPN 2SD8711500V6A50W**NPN 2SD8701500V5A50W**NPN 2SD8691500V 3.5A50W**NPN 2SD14331500V7A80W**NPN 2SD14321500V6A80W**NPN 2SD14311500V5A80W**NPN 2SD8201500V5A50W**NPN 2SD8191500V 3.5A50W**NPN2SD14971500V6A50W**NPN 2SD13981500V5A50W**NPN 2SD14271500V5A80W**NPN 2SD14281500V6A80W**NPN 2SD14261500V 3.5A80W**NPN 2SC206870V0.2A0.62W**NPN 2SC1627Y80V0.3A0.6W**NPN 2SC495Y70V0.8A5W**NPN 2SC388A20V0.02A0.2W**NPN 2SB686100V6A60W**PNP 2SA940150V 1.5A 1.5W**PNP 2SC2120Y30V0.8A0.6W**NPN 2SD15551500V5A50W**NPN 2SD880660V3A30W**NPN 2SC2456300V0.1A10W**NPN 2SA130020V2A0.7W**PNP 2SC304CD60V0.5A0.8W**NPN 2SC2238160V 1.5A25W**NPN 2SC332880V2A0.9W**NPN 2SC2190450V5A100W**NPN 2SA968Y160V 1.5A25W**PNP 2SC340250V0.1A0.3W**NPN 2SC2168200V2A30W**NPN 2SC3198G60V0.15A0.4W**NPN 2SC2655Y60V2A0.9W**NPN 2SC182780V4A30W**NPN 2SA1266Y50V0.15A0.4W**PNP 2SD88060V3A30W**NPN 2SC190630V0.05A0.3W**NPN 2SC94550V0.1A0.25W**NPN 2SC327930V2A0.75W**NPN 2SC2229200V0.05A0.8W**NPN 2SC223630V 1.5A0.9W**NPN 2SC38320V0.05A0.2W**NPN 2SA950Y150V0.8A0.6W**PNP BC548B30V0.2A0.5W**NPN 2SC339950V0.1A0.3W**NPN 2SD14551500V5A50W**NPN 2SC1983R80V3A30W**NPN 2SC227300V0.1A0.75W**NPN 2SC1213D50V0.5A0.4W**NPN 2SA778AK180V0.05A0.2W**PNP DTC114ES50V0.1A0.25W**NPN 2SC3413C40V0.1A0.5W**NPN 2SC2611300V0.1A 1.25W**NPN 2SC1514300V0.1A 1.25W**NPN DTC124ES50V0.1A0.25W**PNP 2SD107850V2A20W**NPN 2SA139035V0.5A0.3W**PNP 2SD78820V2A0.9W**NPN2SD88240V3A10W**NPN2SD78720V2A0.9W**NPN2SD401AK200V2A25W**NPN2SC2610300V0.1A0.8W**NPN2SC2271N300V0.1A0.75W**NPN2SC174050V0.3A0.3W**NPN2SC1214C50V0.5A0.6W**NPN2SC458D30V0.1A0.2W**NPN2SA67350V0.5A0.4W**PNP2SD15561500V6A50W**NPN2SD1499100V5A40W**NPN2SD1264A200V2A30W**NPN2SD101050V0.05A0.3W**NPN2SD96660V5A1W**NPN2SD601AR60V0.1A0.2W**NPN2SC3265Y30V0.8A0.2W**NPN2SC3063300V0.1A 1.2W**NPN2SC259440V5A10W**NPN2SC1317-R30V0.5A0.4W**NPN2SB1013A30V0.5A0.3W**PNP2SD122660V3A35W**NPN2SC2636Y30V0.05A0.4W**NPN2SB940200V2A30W**PNP2SA720-Q50V0.5A0.4W**PNP2SD13911500V5A80W**NPN2SC218845V0.05A0.6W**NPN2SK301-R*0.14A0.25W**N沟场效应管2SD126660V3A35W**NPN2SD11751500V5A100W**NPN2SD97330V1A1W**NPN2SC2923300V0.2A15W**NPN2SC2653H250V0.2A15W**NPN2SC2377C30V0.15A0.2W**NPN2SC1685Q30V0.1A0.25W**NPN2SC1573A250V0.07A0.6W**NPN2SB642-R60V0.2A0.4W**PNP2SA1309A25V0.1A0.3W**PNP2SA1018150V0.07A0.75W**PNP2SA564A25V0.1A0.25W**PNP2SK301-Q*0.14A0.25W**N沟场效应管2SD15411500V3A50W**NPN2SC168530V0.1A0.25W**NPN2SC1573A250V0.07A0.6W**NPN2SA1309A25V0.1A0.3W**PNPUN421350V0.1A0.25W**NPNUN421150V0.1A0.25W**NPNUN421250V0.1A0.25W**NPNUN411150V0.1A0.25W**PNP2SD15411500V3A50W**NPN2SD96540V5A0.75W**NPN2SC283930V0.1A0.1W**NPN 2SC2258250V0.1A1W**NPN 2SC184645V1A 1.2W**NPN 2SC1573A250V0.07A0.6W**NPN 2SA1309A25V0.1A0.3W**PNP 2SD15441500V 3.5A40W**NPN 2SD802900V6A50W**NPN 2SC271735V0.8A7.5W**NPN 2SC2482150V0.1A0.9W**NPN 2SC2073150V 1.5A25W**NPN 2SC1815Y60V0.15A0.4W**NPN 2SB774T30V0.01A0.25W**PNP 2SA1015R50V0.15A0.4W**PNP 2SA90490V0.05A0.2W**PNP 2SA562T30V0.4A0.3W**PNP。
常用三极管参数大全1.最大耐压(VCEO):指三极管的集电极与发射极之间的最大耐压,也是三极管工作的最高电压。
2.最大漏极电流(ICMAX):指三极管的最大工作电流,超过该电流可能会导致器件损坏。
3. 最大功率(Pmax):指三极管能够承受的最大功率,超过该功率可能会导致器件损坏。
4. 最大集电极-基极电压(VCEMax):指三极管的集电极与基极之间的最大电压,通常用于确定三极管在开关工作状态下的最大电压。
5. 最大基极电流(IBmax):指三极管的最大基极电流,超过该电流可能会导致器件损坏。
6. 饱和区电压下降(VCEsat):指三极管在饱和区时,集电极与发射极之间的电压降。
7. 基极-发射极饱和电压(VBEsat):指三极管在饱和区时,基极与发射极之间的电压降。
8. 输入电阻(hie):指三极管的输入电阻,它与基极电流成正比。
9. 输出电阻(hoe):指三极管的输出电阻,它与输出电流成正比。
10. 增大时间(tf):指三极管从关断状态到导通状态所需的时间。
11. 减小时间(tr):指三极管从导通状态到关断状态所需的时间。
12. 反向转换时间(tfr):指三极管由关断状态转换为导通状态时,极化电容反向充电所需的时间。
13. 正向转换时间(tff):指三极管由导通状态转换为关断状态时,极化电容正向放电所需的时间。
14.最大效率:指在特定工作条件下,三极管从输入功率到输出功率的转换效率。
15.电流放大倍数(β):指三极管中电流放大的倍数,即集电极电流与基极电流之比。
16.最大工作频率(fT):指三极管能够正常工作的最高频率。
上述参数都是三极管常用的重要参数,不同型号的三极管具体数值会有所不同。
在选择三极管时,根据具体需求选择合适的参数是非常重要的。
此外,这些参数在设计电子电路时也起到了至关重要的作用。
三极管的主要参数三极管的参数反映了三极管各种性能的指标,是分析三极管电路和选用三极管的依据。
一、电流放大系数1.共发射极电流放大系数(1)共发射极直流电流放大系数,它表示三极管在共射极连接时,某工作点处直流电流I C与I B的比值,当忽略I CBO时(2)共发射极交流电流放大系数β它表示三极管共射极连接、且U CE恒定时,集电极电流变化量ΔI C与基极电流变化量ΔI B之比,即管子的β值大小时,放大作用差;β值太大时,工作性能不稳定。
因此,一般选用β为30~80的管子。
2.共基极电流放大系数共基极直流电流放大系数它表示三极管在共基极连接时,某工作点处I C 与I E的比值。
在忽略I CBO的情况下(2)共基极交流电流放大系数α,它表示三极管作共基极连接时,在U CB恒定的情况下,I C和I E的变化量之比,即:通常在I CBO很小时,与β,与α相差很小,因此,实际使用中经常混用而不加区别。
二、极间反向电流1.集-基反向饱和电流I CBOI CBO是指发射极开路,在集电极与基极之间加上一定的反向电压时,所对应的反向电流。
它是少子的漂移电流。
在一定温度下,I CBO是一个常量。
随着温度的升高I CBO将增大,它是三极管工作不稳定的主要因素。
在相同环境温度下,硅管的I CBO比锗管的I CBO小得多。
2.穿透电流I CEOI CEO是指基极开路,集电极与发射极之间加一定反向电压时的集电极电流。
I CEO与I CBO的关系为:I CEO= I CBO+I CBO=(1+)I CBO GS0125该电流好象从集电极直通发射极一样,故称为穿透电流。
I CEO和I CBO一样,也是衡量三极管热稳定性的重要参数。
三、频率参数频率参数是反映三极管电流放大能力与工作频率关系的参数,表征三极管的频率适用范围。
1.共射极截止频率fβ三极管的β值是频率的函数,中频段β=βo几乎与频率无关,但是随着频率的增高,β值下降。
常用三极管数据引言概述:三极管是一种常见的电子元件,广泛应用于电子电路中。
了解常用三极管的数据参数对于正确选择和使用三极管至关重要。
本文将详细介绍常用三极管的数据参数,帮助读者更好地了解和应用三极管。
一、电流参数1.1 最大集电电流(ICmax):指三极管正常工作时允许通过集电极的最大电流。
该参数决定了三极管的功率承受能力。
1.2 最大基极电流(IBmax):指三极管正常工作时允许通过基极的最大电流。
超过该电流会导致三极管损坏。
1.3 最大发射极电流(IEmax):指三极管正常工作时允许通过发射极的最大电流。
该参数与最大集电电流和最大基极电流之间的关系为IEmax = ICmax - IBmax。
二、电压参数2.1 最大集电极-发射极电压(VCEO):指三极管正常工作时允许的最大集电极-发射极电压。
超过该电压会导致三极管损坏。
2.2 最大集电极-基极电压(VCBO):指三极管正常工作时允许的最大集电极-基极电压。
超过该电压会导致三极管损坏。
2.3 最大基极-发射极电压(VBE):指三极管正常工作时允许的最大基极-发射极电压。
超过该电压会导致三极管损坏。
三、功率参数3.1 最大耗散功率(PDmax):指三极管正常工作时允许的最大耗散功率。
超过该功率会导致三极管过热损坏。
3.2 热阻(θJA):指三极管在单位功率耗散时,导热器件与环境之间的热阻。
热阻越小,三极管的散热性能越好。
3.3 热稳定系数(θJC):指三极管在单位功率耗散时,导热器件与芯片之间的热阻。
热稳定系数越小,三极管的散热性能越好。
四、放大参数4.1 直流放大倍数(hFE):指三极管在直流工作状态下,输出电流与输入电流之间的比值。
该参数决定了三极管的放大能力。
4.2 最大输出功率(Poutmax):指三极管在最大输出功率时能够提供的最大输出功率。
4.3 频率响应范围(fT):指三极管能够正常工作的最高频率。
超过该频率会导致三极管的放大能力下降。
型号耐压(V)电流(A)功率(W) 型号耐压(V)电流(A)功率(W) B857 70V4A40W BU2508A 1500V8A125W BU2508AF1500V8A45W BU2508DF1500V8A45W BU2520AF1500V10A45W BU2520AX1500V10A45WBU2520D F 1500V10A45W BU2520DX1500V10A45WBU2522AF1500V10A45W BU2522AX1500V10A45WBU2522D F 1500V10A45W BU2522DX1500V10A45WBU2525AF1500V12A45W BU2525AX1500V12A45W BU2527AF1500V12A45W BU2527AX1500V12A45W BU2532AL1500V15A150W BU2532AW1500V16A125WBU2725D X 1700V12A45W BU406 400V5A60WBU4522AF1500V10A45W BU4522AX1500V10A45W BU4523AF1500V11A45W BU4523AX1500V11A45W BU4525AF1500V12A45W BU4525DF1500V12A45W BU4530AL1500V16A125W BU4530AW1500V16A125W BUH1015 1500V14A70W BUH315D 1500V6A44W BUT11A 1000V5A100W C3039 500V7A50W C3886A 1500V8A50W C3996 1500V15A180W C3997 1500V20A250W C3998 1500V25A250W c4242 450V7A40W C4288A 1600V12A200W C4532 1700V10A200W C4634 1500V0.01A2WC4686A 1500V50mA10W C4762 1500V7A50W C4769 1500V7A60W C4891 1500V15A75W C4897 1500V20A150W C4924 1500V10A70W C5027 1100V 50W C5039 800V5A30WC5045 1600V15A75W C5047 1600V25A25W C5048 1500V12A50W C5086 1500V10A50W C5088 1500V8A60W C5129 1500V10A50W C5142 1500V20A200W C5144 1700V20A200W C5148 1500V8A50W C5149 1500V8A50W C5243 1700V15A200W C5243 1700V15A200W C5244 1500V20A200W C5244A 1600V20A200W C5250 1500V8A50W C5251 1500V12A50W C5252 1500V15A50W C5294 1500V20A120W C5296 1500V8A60W C5297 1500V8A60W C5301 1500V20A120W C5302 1500V15A75W C5331 1500V15A180W C5386 1500V7A50W C5387 1500V10A50W C5404 1500V9A50W三极管参数大全1C5404 1500V 9A 50W C5406 1500V 14A 100W C5407 1700V 15A 100W C5411 1500V 14A 60W C5423 1700V 15A 100W C5440 1500V 15A 60W 型号耐压(V)电流(A)功率(W) 型号耐压(V)电流(A)功率(W)C5445 1500V 25A 200W C5446 1700V 18A 200WC5449 150012A 50W C5515 1500V 17A C5516 1500V 20A C5521 1500V 13A 50W C5552 1700V 16A 65W C5570 1700V 28A 220W C5583 1500V 17A 150W C5584 1500V 20A 150W C5587 1500V 17A 75W C5589 1500V 18A 200W C5597 1700V 22A 200W C5612 2000V 22A 220W C5686 2000V 20A 70W C5801 1500V 8A 50W48kH z C5802 1500V 10A 60W/69KHz C5803 1500V 12A 70W84KH z C5855 1500V 12A 50WC5904 1500V 17A C5905 1700V20A C5914 1500V12A C5928 约13A C5929 约15A C5931 1700V 15A 8 D1088300V 6A 30WB>2000D1273-P NPN/80V 3A 40W D1878/15005A 60W D1879 1500V 6A 60W D2058 60V 3A 25W D2356 1500V 20A 200W D5703 1500V 10A 70W HPA100 1500V 10A 150WHPA150 1500V 15A 150W J5804 1500V 14A J6810 1500V 10A J6812 1500V 12A 60W J6815 1500V 15A 60W J6820 1500V 20A 60W J6825 1500V 25A 150W J6910 1700V 10A 60W J6916 1700V 16A 60W J69201700V 20A 60W MJE13007NPN 700V 80W MJE13009NPN 700V 100W MJL162181500V 15A 170W MJW162121500V10A ST2001 1500V 10A 55W ST2310FX 1500V 12A TIP102NPN100V 8A 80W TIP122NPN100V 5A 65W TIP127PNP100V 8A 65W TIP31C NPN100V 3A 40W TIP32C PNP100V 3A 40W TIP41C NPN100V 6A 65W TIP42PNP40V 6A 65W TIP42A PNP60V 6A 65W TIP42CPNP100V 6A65W TIP50C400V1A40W 型号耐压(V)电流(A)功率(W) 型号耐压(V)电流(A)功率(W)2SK534 8005100 2SK1045 90051502SK538 9003100 2SK1081 80071252SK557500121002SK10828006125用大功率高耐压场效应管参数114种2SK560 50015100 2SK1119 10004100 2SK56 5009125 2SK112010008150 2SK566 800378 2SK1198 800375 2SK644 50010125 2SK124950015130 2SK719 9005120 2SK1250 50020150 2SK725 50015125 2SK1271 140015240 2SK727 9005125 2SK1280 50018150 2SK774 50018120 2SK1341 9005100 2SK785 50020150 2SK1342 9008100 2SK787 9008150 2SK1357 9005125 2SK788 50013150 2SK1358 9009150 2SK790 50015150 2SK1451 9005120 2SK955 8009150 2SK1498 50020120 2SK962 9008150 2SK1500 50025160 2SK1019 50030300 2SK1502 9007120 2SK1020 50030300 2SK1512 85010150 2SK1531 50015150 IRFP150 ******** 2SK1537 9005100 IRFP151 6019180 2SK1539 90010150 IRFP240 20031150 2SK1563 50012150 IRFP250 20031180 2SK1649 9006100 IRFP251 15033180 2SK1794 9006150 IRFP254 25023180 2SK2038 9006125 IRFP350 40016180 IRF350 50013150 IRFP351 35016180 IRF360 40025300 IRFP360 40023250 IRF440 5008125 IRFP450 50014180 IRF450 50013150 IRFP451 45014180 IRF451 45013150 IRFP452 50012180 IRF460 50021300 IRFP460 50020250 IRF740 40010125 MTH8N50 5008120 IRF820 500 2.550 MTH8N60 6008120 IRF834 5005100 MTH10N5050010120 IRF840 5008125 MTH12N5050012120 IRF841 4508125 H12N45 45012120 IRF842 5007125 H13N50 50013150MTH14N5 050014150 MTP5N45 450575MTH20N2 020020120 MTP5N50 500575MTH25N2 020025150 MTP6N60 6006125型号耐压(V)电流(A)功率(W) 型号耐压(V)电流(A)功率(W)MTH30N1 010030120IXGH10N10100010100MTH35N1 515035150IXGH15N10100015150MTH40N1 010040150 IXGH20N6060020150MTM6N808006120IXGH25N10100025200MTM6N909006150 GH30N60 60030180 MTM8N505008100 GH30N100100030250 MTM8N909008150 GH40N60 60040200MTM10N2 02001075 IXTH24N5050024250MTM20N2 020020125 IXTH30N2020030180MTM25N1 010025100 IXTH30N3030030180MTM30N1 010030120 IXTH30N5050030300MTM40N1 010040150 IXTH40N3030040250MTP3N60 600375 IXTH50N1010050150MTP3N10 01000375 IXTH50N2020050150MTP4N60 600450 IXTH67N1010067200 MTP4N80 800450 IXTH75N101007513553名称极性功能耐压V电流A功率W频率配对管D633NPN音频功放100V达林顿7A40W 达林顿9013NPN低频放大50V0.5A0.625W 9012 9014NPN低噪放大50V0.1A0.4W150HMZ 9015 9015PNP低噪放大50V0.1A0.4W150MHZ 9014 9018NPN高频放大30V0.05A0.4W1000MHZ8050NPN高频放大40V 1.5A1W100MHZ 8550 8550PNP高频放大40V 1.5A1W100MHZ 80502N2222NPN通用60V0.8A0.5W25/200NS 2N2369NPN开关40V0.5A0.3W800MHZ2N2907NPN通用60V0.6A0.4W26/70NS 2N3055NPN功率放大100V15A115W MJ29552N3440NPN视放450V1A1W15MHZ 2N6609 2N3773NPN音频功放160V16A50W2N3904NPN通用60V0.2A2N2906PNP通用40V0.2A2N2222A NPN高频放大75V0.6A0.625W300MHZ2N6718 NPN音频放大100V2A2W2N5401PNP视频放大160V0.6A0.625W100MHZ2N5551 2N5551NPN视频放大160V0.6A0.625W100MHZ2N5401 2N5685NPN音频功放60V50A300W2N6277NPN功放180V50A250W9012PNP低频放大50V0.5A0.625W 90132N6678NPN音频功放650V15A175W15MHZ9012 PNP低频放大50V0.5A0.625W 90133DA87A NPN视频放大100V0.1A1W3DG6B NPN通用20V0.02A0.1W150MHZ3DG6C NPN通用25V0.02A0.1W250MHZ名称极性功能 耐压V电流A功率W频率 配对管3DG6D NPN通用30V0.02A0.1W150MHZMPSA42NPN电话视频300V0.5A0.625W MPSA92 MPSA92PNP电话视频300V0.5A0.625W MPSA42MPS2222 A 高频放大NPN75V0.6A0.625W300MHZ9013NPN低频放大50V0.5A0.625W 9012 3DK2B NPN开关30V0.03A0.2W3DD15D NPN电源开关300V5A50W3DD102C NPN电源开关300V5A50W3522V 稳压管5VA634PNP音频功放40V2A10WA708PNP音频开关80V0.7A0.8WA715C PNP音频功放35V 2.5A10W160MHZA733PNP通用50V0.1A 180MHZA741PNP开关20V0.1A 70/120NSA781PNP开关20V0.2A 80/160NSA928PNP通用20V1A0.25WA933PNP通用50V0.1A 140MHZA940PNP音频功放150V 1.5A25W4MHZ C2073 A966PNP音频激励30V 1.5A0.9W100MHZ C2236 A950PNP通用30V0.8A0.6WA968PNP音频功放160V 1.5A25W100MHZ C2238 A1009PNP功放开关350V2A15WA1220P PNP音频功放120V 1.5A20W150MHZA1013PNP视频放大160V1A0.9W C2383 A1015PNP通用60V0.1A0.4W8MHZ C1815 2N6050PNP音频功放60V12A150W2N6051PNP音频功放80V12A150W名称极性功能耐压V电流A功率W频率配对管A1175PNP通用60V0.10A0.25W180MHZA1213PNP超高频50V0.15A 80MHZA719PNP通用30V0.50A0.625W200MHZB12PNP音频30V0.05A0.05WB1114PNP通用20V2A 180MHZB205PNP音频功放80V20A80WB1215PNP功放开关120V3A20W130MHZC294NPN栾生对管25V0.05A 200MHZC1044NPN视放45V0.3A 2.2GHZC1216NPN高速开关40V0.2A T,20nSC1344NPN通用低噪30V0.1230MHZC1733NPN栾生对管30V0.05A2GHZC1317NPN通用30V0.5A0.625W200MHZC546NPN高放30V0.03A0.15W600MHZC680NPN音频功放200V2A30W20MHZC665NPN音频功放125V5A50W15MHZC4581NPN电源开关600V10A65W20MHZC4584NPN电源开关1200V6A65W20MHZC4897NPN行管1500V20A150WC4928NPN行管1500V15A150WC5411NPN彩显行管1500V14A60WHQ1F3P NPN功放开关20V2A2WTIP132NPN音频功放100V8A70W TIP137 A1020PNP音频50V2A0.9WA1123PNP低噪放大150V0.05A0.75WA1162PNP通用50V0.15A0.15WA1216PNP功放开关180V17A200W20MHZ C2922 A1265PNP功放开关140V10A100W30MHZ C3182名称极性功能耐压V电流A功率W频率配对管A1295PNP功放开关230V17A200W30MHZ C3264 A1301PNP功放开关160V12A120W30MHZ C3280 C3280NPN功放开关160V12A120W30MHZ A1301 A1302PNP功放开关200V15A120W30MHZ C3281 C3281NPN功放开关200V15A120W30MHZ A1302 A1358PNP 120V1A10W120MHZA1444PNP高速电源100V15A30W80MHZA1494PNP功放开关200V17A200W20MHZ C3858 A1516PNP功放开关180V12A130W25MHZA1668PNP电源开关200V2A25W20MHZA1785PNP驱动120V1A1W140MHZA1941PNP音频功放140V10A100W C5198 C5198NPN音频功放140V10A100W A1941 A1943PNP功放开关230V15AA150W C5200 C5200NPN功放开关230V15A150W A1943 A1988PNP功放开关B449PNP功放开关50V 3.5A22.5WB647PNP通用120V1A0.9W140MHZ D667 D667NPN通用120V1A0.9W140MHZ B649B1375PNP音频功放60V3A2W9MHZD40C NPN对讲机用40V0.5A40W75MHB688PNP音频功放120V8A80W D718B734PNP通用60V1A1W D774B649PNP视放180V 1.5A20W D669D669NPN视频放大180V 1.5A20W140MHZ B649B669PNP达林顿功70V4A40W名称极性功能耐压V电流A功率W频率配对管B675PNP达林顿功60V7A40WB673PNP达林顿功100V7A40WB631K PNP音频功放120V1A8W130MHZ D600K D600K NPN音频功放120V1A8W130MHZ B631K C3783NPN高压高速900V5A100WB1400PNP达林顿功120V6A25W D1590 B744PNP音频功放70V3A10WB1020PNP功放开关100V7A40WB1240PNP功放40V2A1W100MHZB1185PNP功放60V3A25W70MHZ D1762 B1079PNP达林顿功100V20A100W D1559 B772PNP音频功放40V3A10W D882B774PNP通用30V0.1A0.25WB817PNP音频功放160V12A100W D1047 B834PNP功放开关60V3A30WB1316PNP达林顿功100V2A10WB1317PNP音频功放180V15A150W D1975 B1494PNP达林顿功120V20A120W D2256 B1429PNP功放开关180V15A150WC380NPN高频放大35V0.03A250MHZC458NPN通用30V0.1A230MHZC536NPN通用40V0.1A180MHZ2N6609PNP音频功放160V15A150W>2MHZ 2N3773 C3795NPN高压高速900V5A40WC2458NPN通用低噪50V0.15A0.2WC3030NPN开关管900V7A80W达林顿名称极性功能耐压V电流A功率W频率配对管C3807NPN低噪放大30V2A 1.2W260MHZC3858NPN功放开关200V17A200W20MHZ A1494 D985NPN达林顿功150V±1.5A10WC2036NPN高放低噪80V1A1-4WC2068NPN视频放大300V0.05A 1.5W80MHZC2073NPN功率放大150V 1.5A25W4MHZ A940C3039NPN电源开关500V7A50WC3058NPN开关管600V30A200WC3148NPN电源开关900V3A40WC3150NPN电源开关900V3A50WC3153NPN电源开关900V6A100WC3182NPN功放开关140V10A100W A1265 C3198NPN高频放大60V0.15A0.4W130MHZ3DK4B NPN开关40V0.8A0.8W3DK7C NPN开关25V0.05A0.3W3D15D NPN电源开关300V5A50WC2078NPN音频功放80V3A10W150MHZC2120NPN通用30V0.8A0.6WC2228NPN视频放大160V0.05A0.75WC2230NPN视频放大200V0.1A0.8WC2233NPN音频功放200V4A40WC2236NPN通用30V 1.5A0.9W A966C1733NPN孪生对管30V 2GHZC1317NPN通用30V0.5A0.625W200MHZC2238NPN音频功放160V 1.5A25W100MHZ A968C752NPN通用30V0.1A 300MHZ三极管参数大全2名称极性功能耐压V电流A功率W频率配对管C815NPN通用60V0.2A0.25WC828NPN通用45V0.05A0.25WC900NPN低噪放大30V0.03A100MHZC945NPN通用50V0.1A0.5W250MHZC1008NPN通用80V0.7A0.8W50MHZC1162NPN音频功放35V 1.5A10WC1213NPN监视器专30V0.5A0.4WC1222NPN低噪放大60V0.1A 100MHZC1494NPN发射36V6A PQ=40W175MHZ C1507NPN视放300V0.2A15WC1674NPN HF/ZF 30V0.02A 600MHZC1815NPN通用60V0.15A0.4W8MHZ/A1015 C1855NPN HF/ZF 20V0.02A 550MHZC1875NPN彩行1500V 3.5A50WC1906NPN高频放大30V0.05A 1000MHZC1942NPN彩行1500V3A50WC1959NPN通用30V0.4A0.5W300MHZ C1970NPN手机发射40V0.6A 1.3W175MHZC1971NPN手机发射35V2A7.0W175MHZC1972NPN手机发射35V 3.5A15W175MHZC2320NPN通用50V0.2A0.3W200MHZ C2012NPN高放30V0.03A 200MHZ C2027NPN行管1500V5A50WD814NPN低噪放大150V0.05A 1 50MHZC5142NPN彩行1500V20A200WD998NPN音频功放120V10A80W<1/3USD2253NPN彩显行管1700V6A50W名称极性功能耐压V电流A功率W频率配对管D110NPN音频功放130V10A100W1MHZC2335NPN视频500V7A40WC2373NPN功放200V7.5A40WC2383NPN视频开关160V1A0.9W A1013C3300NPN音频功放100V15A100WC3310NPN电源开关500V5A40WC3320NPN电源开头500V15A80WC3355NPN高频放大20V0.1A 6500MHZC3358NPN高频放大20V0.1A 7000MHZC3457NPN电源开关1100V3A50WC3460NPN电源开关1100V6A100WC3466NPN电源开关1200V8A120WC3505NPN电源开关900V6A80WC3527NPN电源开关500V15A100WC3528NPN电源开关500V20A150WC3866NPN高压高速900V3A40WC2443NPN功放开关600V50A400WC2481NPN音频功放150V 1.5A20WC2482NPN视频放大300V0.1A0.9WC2500NPN通用30V2A0.9W150MHZ C2594NPN音频功放40V5A10WC2611NPN视频放大300V0.1A 1.25WC2625NPN音频功放450V10A80WC2682NPN NF/Vid 180V0.1A8WC2688NPN视放管300V0.2A10W80MHZC2690NPN音频功放120V 1.2A20W150MHZ/A1220P名称极性功能耐压V电流A功率W频率配对管C2751NPN电源开关500V15A120WC2837NPN音频功放150V10A100WC3873NPN高压高速500V12A75W30MHZC3886NPN开关行1400V8A50W8MHZ C3893NPN行管1400V8A50W8MHZ C3907NPN功放开关180V12A130W30MHZC3595NPN射频30V0.5A 1.2WC4059NPN高速开关600V15V130W0.5/2.2USC4106NPN电源开关500V7A50W20MHZ?C4111NPN开关行1500V10A150WC3679NPN电源开关900V5A100W6MHZC2898NPN音频功放500V8A50WC2922NPN音频功放180V17A200W50MHZ/A1216C3026NPN开关管1700V5A50WD986NPN达林顿功150-80V 1.5A10WC3262NPN功放800V10A100WC3264NPNPA功放230V17A200WB=170 A1295C3280NPN音频功放160V12A120WB=10C3281NPN音频功放200V15A150W30MHZC3680NPN电源开关900V7A120W6MHZC3688NPN彩行1500V10A150WC3720NPN彩行1200V10A200WC3953NPN视放120V0.2A 1.3W400MHZ C3987NPN达林顿50V3A20WC3995NPN行管1500V12A180WD1025NPN达林顿功200V8A50W名称极性功能耐压V电流A功率W频率配对管C3997NPN行管1500V15A250WC3998NPN行管1500V25A250WC4024NPN功放开关100V10A35W24MHZC4038NPN门电路50V0.1A0.3W180MHZ D1037NPN音频功放150V30A180WD1047NPN音频功放160V12A100W B817C4119NPN微波炉1500V15A250WC4231NPN音频功放800V2A30WC4237NPN高压高速1000V8A120W30MHZC4242NPN高压高速450V7A40WC4297NPN电源开关500V12A75W10MHZC4429NPN电源开关1100V8A60WC4517NPN音频功放550V3A30W6MHZC4532NPN大屏行管1700V10A200WC4582NPN电源开关600V15A75W20MHZC5244NPN彩行1700V15A200WC5249NPN功放开关600V3A35W6MHZC5250NPN开关1000V7A100WC5251NPN彩行1500V12A50WD1071NPN达林顿功300V6A40WC4706NPN电源开关900V14A130W6MHZC4382NPN功放开关200V2A25W20MHZ/A1668C4742NPN彩行1500V6A50WC4745NPN彩行1500V6A50WC4747NPN彩行1500V10A50W名称极性功能耐压V电流A功率W频率配对管C4769NPN微机行管1500V7A60WC4913NPN大屏视放2000V0.02A35WC4924NPN音频功放800V10A70WC4927NPN行管1500V8A50WC4927NPN SONY29行1500V8A50WC4941NPN行管1500V6A65W500/380NSC4953NPN功放开关500V2A25W t=300nSC5020NPN彩行1000V7A100WC5068NPN彩行1500V10A50WC5086NPN彩行1500V10A50WC5088NPN彩行1500V10A50WC5129NPN彩显行管1500V8A50WD1163A NPN行偏转用350V7A40W60MHZD1175NPN行偏转用1500V5A100WC5132NPN彩行1500V16A50WC5144NPN大屏彩行1700V20A200WC5148NPN大屏彩行1500V8A50WC5149NPN高速高频1500V8A50WC5198NPN功放开关140V10A100WC5200NPN功放开关230V15A150W A1943D1273NPN音频功放80V3A40W50MHZC5207NPN彩行1500V10A50WC5243NPN彩行1700V15A200WC5252NPN彩行1500V15A100WC5294NPN彩行1500V20A200MSC5296NPN开关管1500V8A80WC5297NPN开关管1500V16A60W名称极性功能耐压V电流A功率W频率配对管C5331NPN大屏彩显1500V15A180WD325NPN功放开关50V3A25WD385NPN达林顿功100V7A30WD400NPN通用25V1A0.75WD1302NPN音频25V0.5A0.5W200MHZ D1397NPN开关1500V 3.5A50W3MHZD1398NPN开关1500V5A50W3MHZD1403NPN彩行1500V6A120WD401NPN音频功放200V2A20WD415NPN音频功放120V0.8A5WD438NPN通用500V1A0.75W100MHZ D560NPN达林顿功150V5A30WD637NPN通用60V0.1A150MHZD667NPN视频放大120V1A0.9W140MHZ/B647D1403NPN彩行1500V6A120WD1415NPN功放电源100V7A40W达林顿D718NPN音频功放120V8A80W B668D774NPN通用100V1A1W B734 D789NPN音频输出100V1A0.9D820NPN彩行1500V5A50WD870NPN彩行1500V5A50WD880NPN音频功放60V3A10WD882NPN音频功放40V3A30W B772D884NPN音频功放330V7A40WD898NPN彩行1500V3A50WD951NPN彩行1500V3A65WD965NPN音频40V5A0.75WD966NPN音频40V5A1W名称极性功能耐压V电流A功率W频率配对管D633拆NPN音频功放100V7A40W达林顿D1431NPN彩行1500V5A80WD1433NPN彩行1500V7A80WD1980NPN达林顿100V2A10WD1981NPN达林顿100V2A1WD1993NPN音频低噪55V0.1A0.4WD1416NPN功放电源80V7A40W达林顿D1427NPN彩行1500V5A80W带阻尼BU2525AF NPN 开关功放1500V12A150W350NSD1428NPN彩行1500V6A80W带阻尼BU2525AXNPN开关功放1500V12A150W350NSD1439NPN彩行1500V3A80W D1541NPN彩行1500V3A80W D1545NPN彩行1500V5A50W D1547NPN彩行1500V7A80WBU2527AF NPN 开关功放1500V15A150WD1554NPN彩行1500V 3.5A80WD1555NPN彩行1500V5A80WD1556NPN彩行1500V6A80WD1559NPN达林顿功100V20A100W B1079 D1590NPN达林顿功150V8A25WD1623NPN彩行1500V4A70WD1640NPN达林顿功120V2A 1.2WD1651NPN彩行1500V5A60W3MHZ D1710NPN彩行1500V5A50WD1718NPN音频功放180V15A50W20MHZ名称极性功能耐压V电流A功率W频率配对管D1762NPN音频功放60V3A25W90MHZ/B1185D1843NPN低噪50V1A1WD1849NPN彩行1500V7A120WD1850NPN彩行1500V7A120WD1859NPN音频80V0.7A1W120MHZ D1863NPN音频120V1A1W100MHZ D1724NPN开关120V3A180MHZD1877NPN彩行1500V4A50W带阻尼D1879NPN彩行1500V6A60W带阻尼D1887NPN彩行1500V1070WD1930NPN达林顿100V2A 1.2W达林顿D1975NPN音频功放180V15A150W B1317BU2532A WNPN 开关功放1500V15A150WD1978NPN达林顿120V 1.5A0.9WD1994A NPN音频驱动60V1A 1WBD237NPN音频功100V2A25W BD238 BD238PNP音频功100V2A25W BD237BU2520AF NPN 开关功放1500V10A150W1/500NSBU2520D FNPN 开关功放1500V10A150W1/500NSBU2520D XNPN 开关功放1500V10A50W600NSBUH515NPN行管1500V10A80WBUH515D NPN行管1500V10A80WBUS13A NPN开关功放1000V15A175WD1997NPN激励管40V3A 1.5W100MHZD2008NPN音频功放80V1A 1.2WD2012NPN音频功放60V3A 2W3MHZ名称极性功能耐压V电流A功率W频率配对管D2136NPN功放80V1A 1.2WD2155NPN音频功放180V15A150WD2256NPN达林顿功120V25A125W B1494D2334NPN彩行1500V5A80WD2335NPN彩行1500V7A100W带阻尼D2349NPN大屏彩显1500V10A50WD1959NPN彩行1400V10A50WD2374NPN功放开关60V3A25W30MHZD2375NPN高放大倍80V3A25W50MHZD2388NPN达林顿90V3A 1.2WD2445NPN彩行1500V12.5A120WD2498NPN彩行1500V6A50WD2588NPN点火器用DK55NPN开关400V4A60WBC307PNP通用50V0.2A0.3WBC327PNP低噪音50V0.8A0.625W BC337 BC337NPN音频激励50V0.8A0.625W BC327BC338NPN通用激50V0.8A0.6WBC546NPN通用80V0.2A0.5WBC547NPN通用50V0.2A0.5W300MHZ BD135NPN音频功45V 1.5A12.5WBD136PNP音频功45V 1.5A12.5W BD137 BD137NPN音频功60V 1.5A12.5W BD136 BD138PNP音频功60V 1.5A12.5W BD139 BD139PNP音频功80V 1.5A12.5W BD138 BUS14A NPN开关功放1000V30A250W名称极性功能耐压V电流A功率W频率配对管BUT11A NPN开关功放1000V5A100WBD243NPN音频功45V6A65W BD244 BD244PNP音频功45V6A65W BD243 BD681NPN达林顿功100V4A40W BD682BD682PNP达林顿功100V4A40W BD681BF458NPN视放250V0.1A10WBU208A NPN彩行1500V5A12.5WBU208D NPN彩行1500V5A12.5WBU323NPN达林顿功450V10A125WBU406NPN行管400V7A60WBU508A NPN行管1500V7.5A75W BU508A NPN行管1500V7.5A75W BU508D NPN行管1500V7.5A75W BU806NPN功放400V8A60W BU932R NPN功放500V15A150W BUT12A NPN开关功放450V10A125WBU941NPN功放开关500V15A175W达林顿BU1508D XNPN 开关功放1500V8A35WBU2506D XNPN 开关功放1500V7A50W600NSBU2508AF NPN 开关功放1500V8A125W600NSBU2508A XNPN 开关功放1500V8A125W600NSBU2508D FNPN 开关功放1500V8A125W600NSBU2508D XNPN 开关功放1500V8A50W600NSBUV26NPN音频功放90V14A65W250NSBU2522AF NPN 开关功放1500V11A150W350NSMJ15024NPN音频功放400V16A250W4MHZMJ15025名称极性功能耐压V电流A功率W频率配对管MJ15025PNP音频功放400V16A250W4MHZMJ15024MJE271PNP达林顿100V2A15W6MHZ BUV28A NPN音频功放225V10A65W250NSBUV48A NPN音频功放450V15A150WBUW13A NPN功放开关1000V15A150WBUX48NPN功放开关850V15A125WBUX84NPN功放开关800V2A40WBUX98A NPN功放开关400V30A210W5MHZDK55NPN功放开关400V4A65WDTA114PNP10K-10K160V0.6A0.625WDTC143NPN录像机用 4.7kHPA100NPN大屏彩显1500V10A150WHPA150NPN大屏彩显1500V15A150WHSE830PNP音频功放80V115W1MHZHSE800HSE838NPN音频功放80V115W1MHZHSE830MN650NPN行管1500V6A80WMJ802NPN音频功放90V30A200WMJ4502MJ2955PNP音频功放60V15A115WMJ3055MJ3055NPN音频功放60V15A115W MJ2955 MJ4502PNP音频功放90V30A200W MJ802MJ10012NPN达林顿400V10A175WMJ10015NPN电源开关400V50A200WMJ10016NPN电源开关500V50A200WMJ10025NPN电源开关850V20A250WMJ11032NPN电源开关120V50A300WMJ11033MJ11033PNP电源开关120V50A300WMJ11032名称极性功能耐压V电流A功率W频率配对管MJ13333NPN电源开关400V20A175WMJ11015PNP铁达林顿500V10AMJ14003PNP铁MJE340NPN视放300V0.5A20W MJE350 MJE350PNP视放300V0.5A20W MJE340MJE2955T PNP 音频功放60V10A75W2MHZ MJE3055TMJE3055T NPN 音频功放70V10A75W2MHZ MJE2955TMJE5822PNP音频功放500V8A80WMJE13003 NPN 功放开关400V 1.5A14WMJE13005 NPN 功放开关400V4A60WMJE13007 NPN 功放开关1500V 2.5A60WKSE800NPN达林顿140V4A20WTIP31C NPN功放开关100V3A40W3MHZ TIP32 TIP32C PNP功放开关100V3A40W3MHZ TIP31 TIP35C NPN音频功放100V25A125W3MHZ TIP36 TIP36C PNP音频功放100V25A125W3MHZ TIP35 TIP41C NPN音频功放100V6A65W3MHZ TIP42 TIP42C PNP音频功放100V6A65W3MHZ TIP41 TIP102NPN音频功放100V8A 2WTIP105PNP音频功放60V80W达林顿TIP122NPN音频功放100V5A65W TIP127TIP127PNP音频功放100V5A65W TIP122TIP137PNP音频功放100V8A70W TIP132TIP142NPN音频功放100V10A125W TIP147TIP142大NPN 音频功放100V10A125W TIP147名称极性功能耐压V电流A功率W频率配对管TIP147PNP音频功放100V10A125W TIP142TIP147大PNP 音频功放100V10A125W TIP142TIP152BCE电梯用达400V3A65W TL431 电压基准源BT33 电压结晶体管UGN3144SGO霍尔开关60MIAL1 电磁/微1000V60A300WT30G40NPN大功率开400V30A300W5609NPN音频低频50V0.8A0.625W 5610 5610PNP音频低频50V0.8A0.625W 5610 9626NPN通用TT2062 1500V18A85W型号功率W反压V电流A功能(*带阻尼)BU208A 50W1500V5A电源开关管BU508A 75W1500V8A电源开关管BU2508AF45W1500V8A行管BU2508D F 125W1500V8A行管BU2508D125W1500V8A行管BU2520AF45W1500V10A行管BU2520A X 45W1500V10A行管BU2520D F*125W1500V10A行管BU2522AF45W1500V10A行管BU2522D F*80W1500V10A行管BU2525D F*45W800V12A行管BUH515 60W1500V8A行管BUH515D60W1500V8A行管C1520 10W250V0.2A视放C1566 1.2W250V0.1A视放C1573 0.6W250V0.07A视放C1875 50W1500V 3.5A电源开关管C3153 100W900V6A电源开关管C3026 50W1700V5A行管C3457 50W1100V3A电源开关管C3459 90W1100V 4.5A电源开关管C3460 100W1100V6A电源开关管C3461 140W1100V8A行管C368350W1500V5A行管C368650W1400V8A行管C3687150W1500V8A行管C3481120W1500V5A电源开关管C3688150W1500V10A行管型号功率W反压V电流A功能(*带阻尼) C3842* 120W1500V6A行管C3883* 50W1500V5A行管C3885 50W1400V7A行管C3886 50W1400V8A行管三极管参数大全3C3887 80W1400V7A行管C3888 80W1400V80A行管C3889 80W1400V80A行管C3891* 50W1400V6A行管C3892* 50W1400V7A行管C3893* 50W1400V8A行管C3895 60W1400V7A行管C3896 70W1400V8A行管C3897* 180W1500V12A行管C3897 250W1500V25A行管C3998 250W1500V25A行管C4122* 60W 1500V6A行管C4123* 60W1500V7A行管C4124* 70W1500V8A行管C4125* 70W1500V10A行管C4237 150W800V10A行管C4269* 60W1500V7A行管C4293* 50W1500V5A行管C4294* 50W1500V6A行管C4589* 50W1500V10A行管C4742* 50W1500V6A行管C4744* 50W1500V6A行管C4747 50W1500V10A行管C4769* 60W1500V7A行管C4770 60W1500V7A行管C5048 50W1500V12A行管型号功率W反压V电流A功能(*带阻尼) C5088 45W1500V8A行管C5129 50W1500V6A行管C5144 200W1700V20A行管C5148 50W1500V8A行管C5250 50W1500V8A行管C5297 60W1500V8A行管C5299 60W1400V8A行管C5339 50W1500V7A行管C5418 120W1500V6A行管D1396 50W1500V2A行管D1398 50W1500V5A行管D1402120W1500V5A电源开关管D1403120W1500V6A电源开关管D1426 80W1500V 3.5A行管D1427 80W1500V5A行管D1428 80W1500V6A行管D143380W1500V7A行管D143480W1500V5A行管D1455* 50W1500V5A行管D1554* 40W1500V 3.5A行管D1555 50W1500V5A电源开关管D1878* 60W1500V6A行管D1879* 60W1500V5A行管D1880* 70W1500V8A行管D1881* 70W1500V10A行管D1886 70W1500V8A行管D1887 70W1500V10A行管D2125* 50W 1500V5A行管D870* 50W1500V5A行管型号可代用型号用途2SA562CG673B.2S 预视放2SA6702SA1069.2电源调整管2SA6732SA719.2S 帧激励2SA7153CF3A.2SB 场输出管2SA778A3CG21C.C开关电源误差放大2SA778A K C3CG21G、CG75-1A开关电源误差放大2SA844D3CG21C、CG75-1AB 视放2SA844E3CG21G 视放2SA940 CD568B场输出管2SA63952SA778、2SA858 行激励管2SB337 B337 电源调整管2SB407 3L780 电源调整管2SB548 3CF3B、2SA794 场输出管2SB566A K CD77-1A、3CF5A电源调整管2SB556K CD77-1A、3CF5B 电源调整2SB621 3CG23B、2SB1035电源推动管2SC458 3DG4A、2SC664 行振荡2SC536 3DG4A、2SC2320 电源推动管2SC562 G6738、B689 预视放2SC633 3DG6B、2SC1684 行振荡管2SC634 3DG12B 行振荡管进口与国产显示器常用三极管代换表2SC643A D2027、2SD818 行输出管2SC680A 3DD205B、2SC1025场输出2SC681 3DD102B、2SC901 行输出2SC734 3DX200B、2SC2274行振荡管2SC828 3DG56B、2SC3330电源误差放大管2SC935 3DD102D、2SD320电源调整管2SC8937 D2027、2SD818 行输出管2SC1034 2SD818、2SD299 行输出管2SC1162 FA433A、2SC2068场输出枕形校正2SC1172 D2027、2SD820 行输出管2SC1209 3DG12A、2SD734电源误差放大管2SC1213 3DG130A、2SC2120电源误差放大管2SC1213A3DG12B、2SC1247A 电源误差放大2SC1214 3DA151A、2SC2002枕形校正2SC1308 D209、2SD820 行输出管2SC1318 3DG12A、2SC2274 行激励管2SC1364 3DX2038、2SC2320行激励管2SC1505 DA1722B、2SC1757行视放2SC1507 DA1722B、2SC1756行激励管2SC1364 3DX2038、C23020 行激励管2SC1520 DA1722B、2SC2068预视放2SC15663DA151D、2SC1514视放2SC15733DA87C、2SC1762视放2SC16723DD102B、2SC2433电源调整管2SC1685 3DD180、2SC1570脉冲开关2SC1819 3DA151D、2SC2425视放2SC1890A3DA878、2SC2363视放2SC19053DA151D、2SD1163视放2SC1942D209、2SD1401 行输出管2SC22333DD12B、2SC2373行输出2SD201 3DD102A、2SD125A 电源调整管2SD226 3DD207、2SD315 电源调整管2SD299 D2027、2SC1308 行输出管2SD350 D2027、2SD348 行输出管2SD380 D209、2SD348 行输出管2SD869 2SD993、2SD898B 行输出管C3150 C3151、C3152 开关管BU508A BU508D、C3893、开关管场效应管主要参数表型号功率W电流A D-S极间耐压V2SK534100W5A800V2SK538100W3A900V2SK557100W12A500V2SK560100W15A500V2SK56678W3A800V2SK644125W10A500V2SK719120W5A900V2SK725125W15A500V2SK727125W5A900V2SK774120W18A500V2SK785150W20A500V2SK787150W8A900V2SK788150W13A500V2SK790150W15A500V2SK872150W6A900V2SK955150W9A800V2SK956150W9A800V2SK962150W8A900V2SK1019300W30A500V2SK1020300W30A500V2SK1045150W5A900V2SK1081125W7A800V2SK1082125W6A800V2SK1117100W6A600V2SK111845W6A600V2SK1119100W4A1000V2SK1120150W8A1000V2SK1171240W5A1400V型号功率W电流A D-S极间耐压V2SK119875W3A800V2SK1249130W15A500V2SK1250150W20A500V2SK1271240W15A1400V2SK1280150W18A500V2SK1281120W4A700V2SK1341100W5A900V2SK1342100W8A900V2SK135640W3A900V2SK1357125W5A900V2SK1358150W9A900V 2SK1451120W5A900V 2SK1498120W20A500V 2SK1500160W25A500V 2SK1502120W7A900V 2SK150750W6A600V 2SK1512150W10A850V 2SK1531150W15A500V 2SK1537100W5A900V 2SK1539150W10A900V 2SK1563150W12A500V 2SK1649100W6A900V 2SK1794150W6A900V 2SK2038125W6A900V 2N70000.4W0.2A60V BUZ385125W6A500V GH30N60180W30A600VGH30N10 0250W30A1000VGH40N60200W40A600V型号功率W电流A D-S极间耐压VH1245120W12A450VH13N50150W13A500VIBF834100W3A500VIPF440125W8A500VIRT450150W13A500VIRF350150W13A500VIRF360300W25A400VIRF440125W8A500VIRF451150W13A450VIRF460300W21A500VIRF62040W5A200VIRF63075W9A200VIRF63475W8.1A250VIRF640125W18A200VIRF73075W 5.5A400VIRF740125W10A400VIRF82050W 2.5A500VIRF83075W 4.5A500VIRF834100W5A500VIRF840125W8A500VIRF841125W8A450VIRF842125W7A500VIRF961020W1A200VIRF963075W 6.5A200VIRF9640125W11A200VIRF450150W13A500V IRFD1131W0.8A80VIRFD1231W 1.1A80VFIRP150180W41A100V型号功率W电流A D-S极间耐压VIRFP151180W19A60VIRFP240150W31A200V IRFP250180W31A200V IRFP251180W33A150V IRFP254180W23A250V IRFP350180W16A400V IRFP351180W16A350V IRFP360250W23A400V IRFP450180W14A500V IRFP452180W12A500V IRFP460250W20A500V IRFBC40125W 6.2A600VIRF4P51180W14A450VIXGH10N1 00100W10A1000VIXGH15N1 00150W150A1000VIXGH20N6 0150W20A600VIXTH50N3 0150W50A300VIXTH50X2 0250W50A200VIXTH67N1 0200W67A100VLXTH24N 50250W24A500VLXTH30N 20180W30A200VLXTH30N 30180W30A300VLXTH30N 50300W30A500VLXTH40N 30250W40A300VLXTH50N 10150W50A100VLXTH50N 20150W50A200VLXTH67N 70200W67A100VLXTH75N 10200W75A100VMTH8N50120W8A500V型号功率W电流A D-S极间耐MTM6N80120W6A800VMETH10N 50120W10A500VMTH12N5 0 120W12A500VMTH14N5 0 150W14A500VMTH20N2 0 120W20A200VMTH25N1 0 150W25A200VMTH30N1 0 120W30A100VMTH35N1 5 150W35A150VMTH40N1 0 150W40A100VMTH8N60120W8A600VMTM10N2 0 75W10A200VMTM20N2 0 125W20A200VMTM25N1 0 100W25A100VMTM30N1 0 120W30A100VMTM40N1 0 150W40A100VMTM6N90150W6A900V MTM8N50100W8A500V MTM8N90150W8A900V MTP3N6075W3A600VMTP3N10 075W3A1000VMTP4N6050W4A600V MTP4N8050W4A800V MTP5P2575W5A250V MTP5N4575W5A450V MTP5N5075W5A500V MTP6N60125W6A600VMTP6N60 E 125W6A600VRFP50N0 5132W50A50VRFP50N0 5L 110W50A50V型号反压V电流A功率WD1175*1500V5A100W D1*******V10A50W D1391*1500V5A80W D1398*1500V5A50W D1*******V6A120W D1426*1500V 3.5A80W D1427*1500V5A80W D1428*1500V6A80W D1429*1500V 2.5A80W D1*******V5A80WD1432*1500V6A80WD1433*1500V7A80WD1439*1500V3A50WD1*******V3A50WD1497*1500V6A50WD1*******V5A50WD1*******V7A50WD1554*1500V 3.5A40WD1555*1500V5A50WD1556*1500V6A50WD1651*1500V5A60WD1652*1500V6A60WD1*******V6A100WD1878*1500V6A50WD1879*1500V6A60WD1880*1500V8A70WD1881*1500V10A70WD1*******V5A60WD1*******V6A60W型号反压V电流A功率WD1*******V10A70WD1910*1500V3A40WD1*******V10A50WD2125*1500V5A50WD2251*1500V7A60WD2*******V7A60WD2253*1700V6A50WD2*******V5A80WD2*******V7A100W型号P/N电压V电流A功率W A940P150V 1.5A25W D1271N150V7A40W C2073N150V 1.5A25W D1273A N100V3A40W C3296 150V 1.5A20W D1275A N80V2A35W D667 120V1A0.9W D1266N80V3A35W D669 180V 1.5AD1264A N200V2A30WD880 60V3A30WD1309N150V8A40WD401 200V2A20WD1365N800V3A40WD882 40V3A10WD1415N100V7A40W 5609 50V0.8A0.625W D1499N100V5A40WD1762 60V3A25WD2025N100V8A30WD1763 120V 1.5A20W TIP102N100V8A80W TIP41C 100V5A65W TIP122 100V5A65W MJE13003N400V 1.5A40WC2335N400V7A40W MJE13005N400V4A75WC3148N800V3A40W MJE13007N400V8A80WC3309N400V2A20W型号P/N电压V电流A功率W MJE13009N40012100W C3310N400V5A30WC4004N800V1A30WC388A N25V0.02AC3039N400V7A50WC458N30V0.1A0.2WC2233N200V4A40WC536N40V0.1A0.2WC2373N200V7.5A40WC945N60V0.1A0.25W C3852A N100V3A25WC752N30V0.1A0.1WC4834N400V8A45WC1047N30V0.02AC1162N35V 2.5A10WC1213N50V0.5A0.4WD313N60V3A30WC1360N50V0.05A1WC1383N30V1A1W。
全系列三极管参数三极管是一种常用的电子元件,主要由三个控制电极组成:基极、发射极和集电极。
它可以将小信号放大成大信号,并具有放大和开关两种应用。
下面将详细介绍三极管的各种参数。
1.DC参数:(1)E-B击穿电压:控制电极到基极之间的击穿电压,通常是5V。
(2)集电极饱和电压:集电极电压和基极电压之间的差,通常是0.2V。
(3)极化电压:基极与发射极之间的电压,一般为0.6V。
(4)漂移电流:无输入信号时集电极电流,通常为1μA。
2.小信号参数:(1)共射放大参数:-电流放大倍数:基极电流和集电极电流之比,通常为20。
-输入电阻:基极电阻,通常为50kΩ。
-输出电阻:发射极电阻,通常为100Ω。
-最大功率增益:集电极功率和输入功率之比,通常为300。
-频率响应:放大器对不同频率信号的放大能力。
-带宽:能够通过的频率范围。
(2)共集放大参数:-电流放大倍数:发射极电流和集电极电流之比,通常为1-输入电阻:发射极电阻,通常为10Ω。
-输出电阻:集电极电阻,通常为10kΩ。
-最大功率增益:集电极功率和输入功率之比,通常为1-频率响应:放大器对不同频率信号的放大能力。
-带宽:能够通过的频率范围。
(3)共基放大参数:-电流放大倍数:基极和集电极电流之比,通常为0.99-输入电阻:集电极电阻,通常为10kΩ。
-输出电阻:发射极电阻,通常为0.1Ω。
-最大功率增益:集电极功率和输入功率之比,通常为0.99-频率响应:放大器对不同频率信号的放大能力。
-带宽:能够通过的频率范围。
3.大信号参数:(1)最大集电极电流:集电极电流的最大值。
(2)最大功率:集电极电流和集电极电压之积的最大值。
(3)最大集电极电压:集电极电压的最大值。
(4)开关时间:从信号输入到放大器开关的时间,一般小于1μs。
4.噪声参数:(1)噪声系数:直流电流吸收后引起的输出噪声。
(2)输出噪声电压:由于内部噪声而引起的输出电压。
以上是三极管的一些重要参数,这些参数可以帮助我们了解三极管的性能和适用范围。
常用三极管参数大全1. 最大集电极电流(IC max):三极管在特定工作条件下能够承受的最大集电极电流。
这个参数决定了三极管能够驱动的负载电流的最大值。
2. 最大功率耗散(PD max):三极管在特定工作条件下能够承受的最大功率耗散。
这个参数决定了在特定工作条件下,三极管能够承受的最大功率,超过这个功率则可能会损坏。
3. 最大集电极-基极电压(VCEO max):三极管在特定工作条件下能够承受的最大集电极-基极电压。
这个参数决定了三极管能够承受的最大电压,超过这个电压则可能会损坏。
4. 最大集电极-发射极电压(VCE sat):三极管在饱和区的工作条件下,集电极-发射极之间的电压。
这个参数决定了三极管在饱和区时的电压控制能力。
5. 最大基极-发射极电压(VBE max):三极管在特定工作条件下,基极-发射极之间能够承受的最大电压。
这个参数决定了三极管能够承受的最大电压,超过这个电压则可能会损坏。
6.直流电流放大倍数(hFE):这个参数代表了三极管的放大能力。
它表示了当三极管的基极电流变化时,集电极电流变化的倍数。
7. 最大封装功率耗散(PC max):三极管的封装能够承受的最大功率耗散。
这个参数与封装结构和材料有关,超过这个功率则可能会损坏封装。
8. 最大封装温度(Tj max):三极管封装能够承受的最高温度。
超过这个温度则可能会导致封装失效。
9. 最大储存温度(Tstg max):三极管能够承受的最高储存温度。
超过这个温度则可能会导致三极管性能退化。
10.最大工作频率(fT):这个参数代表了三极管的最高工作频率。
在高频应用中,这个参数决定了三极管能够工作的最高频率。
通过了解和理解这些三极管参数,我们可以根据具体设计需求选择合适的三极管。
这些参数对于电子电路的设计和分析非常重要,因此研究这些参数并了解它们的意义是很有用的。
玉林万顺达电脑芯片级维修资料 2010-07-20整理
玉林万顺达电脑芯片级维修资料 2010-07-20整理
玉林万顺达电脑芯片级维修资料 2010-07-20整理
玉林万顺达电脑芯片级维修资料 2010-07-20整理
玉林万顺达电脑芯片级维修资料 2010-07-20整理
玉林万顺达电脑芯片级维修资料 2010-07-20整理
玉林万顺达电脑芯片级维修资料 2010-07-20整理
玉林万顺达电脑芯片级维修资料 2010-07-20整理
玉林万顺达电脑芯片级维修资料 2010-07-20整理
玉林万顺达电脑芯片级维修资料 2010-07-20整理
玉林万顺达电脑芯片级维修资料 2010-07-20整理
玉林万顺达电脑芯片级维修资料 2010-07-20整理
玉林万顺达电脑芯片级维修资料 2010-07-20整理
玉林万顺达电脑芯片级维修资料 2010-07-20整理
玉林万顺达电脑芯片级维修资料 2010-07-20整理
玉林万顺达电脑芯片级维修资料 2010-07-20整理
玉林万顺达电脑芯片级维修资料 2010-07-20整理
玉林万顺达电脑芯片级维修资料 2010-07-20整理
玉林万顺达电脑芯片级维修资料 2010-07-20整理
玉林万顺达电脑芯片级维修资料 2010-07-20整理
玉林万顺达电脑芯片级维修资料 2010-07-20整理
玉林万顺达电脑芯片级维修资料 2010-07-20整理
玉林万顺达电脑芯片级维修资料 2010-07-20整理
玉林万顺达电脑芯片级维修资料 2010-07-20整理
玉林万顺达电脑芯片级维修资料 2010-07-20整理
玉林万顺达电脑芯片级维修资料 2010-07-20整理
玉林万顺达电脑芯片级维修资料 2010-07-20整理
玉林万顺达电脑芯片级维修资料 2010-07-20整理
玉林万顺达电脑芯片级维修资料 2010-07-20整理
玉林万顺达电脑芯片级维修资料 2010-07-20整理。