北京大学生命科学学院生物化学1997年考研真题考研试题
- 格式:pdf
- 大小:43.96 KB
- 文档页数:1
1997年招收攻读硕士学位研究生入学考试试题生物化学一.是非题(每题2分,共26分)1.任何一个蛋白质的紫外吸收的峰值都在280nm附近。
()2.低密度脂蛋白具有清除胆固醇的作用。
()3.限制性内切酶是一种碱基专一性的内切核酸酶。
()4.分子筛层析中,分子量大者先被洗脱出来。
()5.蛋白质与SDS充分结合后,不论分子量的大小,在溶液中的电泳速度是一样的。
()6.前列腺素的前体为不饱和脂肪酸。
()7.EDTA的真正作用是鳌和结合在核酸上的磷酸根上的二价金属离子,从而避免了核酸的降解。
()8.Palindrome指基因的反向复制的现象。
()9.TPCK为蛋白酶的抑制剂。
()10.新号肽中必须有碱性氨基酸。
()11.Km值取决于底物,而不取决于酶。
()12.NaF能抑制糖分解代谢中的烯醇化酶。
()13.是英国的F.Sanger提出了蛋白质的α-螺旋结构。
()二.填充题(每空2分,共44分)1.DNA双螺旋形成的作用力为___和___。
2.体内脂肪酸的去路有___,___和碳链进一步延伸加氢去饱和变成新的脂肪酸。
3.TA TA box是指___的识别位点。
4.DNA的半保留复制机理是由Meselson和Stahl用___和___的办法,于1958年加以证明的。
5.从mRNA翻译到蛋白,需要一套分子转换器,即___分子,该理论是___由提出来的。
6.肽链中,共有___个原子同在一个肽平面上。
7.常用的蛋白双向电泳,先进行___,再进行___。
8.现有Sephadex G-25和G-100两种规格的凝胶树脂,要用来脱去某酶制品中的盐分,该选用___。
9.糖代谢中,C4物质流失后主要靠___或___来补充。
10.核酸样品加热后自挖吸收增大,这是由于___,称之为___。
11.临床上用于治疗恶性贫血的维生素为___。
12.正常生理条件下,蛋白质肽链上的___和___的侧链几乎完全带正电荷,而___的侧链则部分带正电荷。
6.7. 10. 11.12. ②维生素E : ④维生素A 。
1. 中国科学院一九九七年攻读硕士学位研究生入学试题〈生物化学〉(B 卷)、是非题:12题,共12分。
每题答对得一分,蓉错一题倒扣半分, 不答者不倒扣。
答“是”写“+”,答“非”写“一”,写在題 后的()中。
因为丝氨酸,苏氨酸和酪氨酸都是蛋白质磷酸化的位点, 因此所有蛋白质激酶均能使蛋白质中这三种氨基酸残基磷酸化。
蛋白质的变性作用的实质就是蛋白质分子中所有的键均被 破坏引起夭然构象的解体。
蛋白质分子中的结构域(domain).亚基(subunit)和纹基(motif)都是相同的概念。
水是不能通透脂双层膜的。
蛋白激酶属于磷酸转移酶类,催化磷酸根共价转移到蛋白 质分子上的反应。
具有正协同效应的酶,其Hill 系数总是大于1的。
mRNA 的编码区不含有修饰核昔酸。
核糖上被甲基化的胞喘唳核甘被表示为BC携带同一种氨基酸的不同"NA 称IRNA 的等受体,它们之间 的差异在于反密码子不同。
植物能利用氨或硝酸作为氮源合成氨基酸,但不能利用空 气中的氮。
逆转录酶仅具有RNA 指导的DNA 聚合酶的活力。
氨基酸的碳骨架进行氧化分解时,先要形成能够进入三按 酸循环的化合物。
二.选择题题,每题I 分,共20分。
选择答案的号码必须填 入()中,答错不倒扣。
1.在凝血过程中发挥作用的许多凝血因子的生物合成依赖于 下述的哪一种维生素:①维生素K ;③维生素G③丝氨酸; 苏氨酸。
6 .7・1 9 9 6 年P. C. DohertyM. Zinkefoigel 因在下列哪一领域研究的重要贡献而获诺贝尔医学和生理学奖:(①发育生物学;②免疫学;③分子病毒学;④结构生物学。
形成稳定的肽链空间结构,非常重要的一点是肽键中的四个原子以及和相邻的两个a ■碳原子处于:(①不断绕动状态;②可以相对自由族转;③同一平面;④随不同外界环境而变化的状态。
三按酸循坏中,下列哪一个酶不是调控酶:①柠檬酸合成酶;②异柠檬酸脱氢酶:③苹果酸脱氢酶;④a-ffi戊二酸脱氢酶以下酶中哪一个是属于黄素核昔酸与酶蛋白以共价键相连的:①NADH脱氢酶;②(X-甘油磷酸脱氢酶;③胆碱脱氢酶;④琥珀酸脱氢酶。
根据前面发帖人的信息,整理真题97-10年的。
希望对后来人有所帮助。
1997年生物化学一、名词解释(每题3分,共30分)1 操纵子2 反馈抑制3 密码子的简并性4 蛋白质四级结构5 盐析6 碱性氨基酸7 Z-DNA8 ATP9 核苷磷酸化酶10 磷酸果糖激酶二、填空(每空1分,共28分)1 DNA损伤后的修复主要有共修复、______________和_________________三种方式。
2 DNA,RNA和肽链的合成方向分别是______________、_________________和______________。
3真核生物mRNA前体的加工主要包括_______________________、___________________、___________________和___________________________。
4 在含有完整的线粒体系统中,加入解偶联剂后,能进行_____________,但不能发生____________________作用。
5 果糖1,6-二磷酸可在____________________的作用下,裂解生成2分子三碳糖。
6 ____________________氧化脱羧,形成______________________,这一过程是连接糖酵解和三羧酸循环的纽带。
7氨基酸降解的反应主要有三种方式,即________________________,___________________ 和_______________反应。
8 高等绿色植物体内,在___________________酶和___________________酶的共同作用下,可以将氨和α-酮戊二酸合成为谷氨酸。
9 蛋白质的平均含氮量为______________,它是___________法测定蛋白质含量的计算基础;蛋白质溶液在____________nm有特征吸收峰,该波长是固_______________法测定蛋白质含量所采用的波长。
微生物历年考研真题厦门大学微生物2002-2007年考研真题厦门大学2002年微生物考研试题一、填空题:(第8题 3分,其余1分/题)1.用____和____糖等成分可以制成培养真菌的半组合培养基。
2.细菌产生抗药性的3种途径分别为:染色体组上发生基因突变、____的转移和____的适应性。
3.病毒的核酸类型是及其多样的,总的来说,动物病毒以____和____居多,植物病毒以____居多,而噬菌体以____居多。
4.在实验中培养化能异养型细菌时,通常以____为碳源,____为氮源,____为生长因子,以____提供矿质元素。
5.F因子是大肠杆菌等细菌中决定____的质粒,其大小为____kb,约等于____%染色体DNA,其中1/3基因(tra区)与____有关。
6.病毒大小的单位是____,多数病毒粒子的直径在____上下。
7.电子显微镜观察表明:放线菌无性孢子的形成,只有____方式,而无____方式。
8.放线菌的形态特征,以链霉菌最典型:细胞形态呈____,营养生长期菌丝内____隔,一般呈____细胞,细胞内具有为数众多的____体:根据菌丝的结构和功能把菌丝分为____、____和____3类。
其中____能分化产生成串的分生孢子。
二、名次解释:(2分/题)1.光能自养型(photoautotroph)2.微体(microbody)3.连续培养(continuous cultivation)4.感受态因子(competence factor)5.共同抗原(common antigen)6.单细胞蛋白(single cell protein)7.紫膜(purple menbrane)8.活性污泥(activated sludge)9.类毒素(toxoid)10.Park 核苷酸( park nucleotide )11.膜边体( lomasome)12.细菌沥滤(bacterial leaching)三、问答题(没标注的3分/题,)1.龋齿的形成与某些产荚膜细菌有关吗?解释你的答案。
目 录2002年暨南大学生物化学考研真题(回忆版)2003年暨南大学生物化学考研真题(回忆版)2004年暨南大学生物化学考研真题(回忆版)2005年暨南大学生物化学考研真题(回忆版)2006年暨南大学生物化学考研真题2007年暨南大学生物化学考研真题(回忆版)2008年暨南大学生物化学考研真题(回忆版)2009年暨南大学生物化学考研真题(回忆版)2010年暨南大学612生物化学考研真题(含部分答案)2011年暨南大学712生物化学A考研真题2012年暨南大学712生物化学A考研真题2013年暨南大学712生物化学A考研真题2014年暨南大学712生物化学A考研真题2015年暨南大学712生物化学A考研真题2016年暨南大学712生物化学A考研真题2017年暨南大学712生物化学A考研真题2018年暨南大学712生物化学A考研真题2019年暨南大学712生物化学A考研真题2002年暨南大学生物化学考研真题(回忆版)2002年暨南大学生物化学考研真题(回忆版)一、名词解释增色效应分子筛层析信号肽别构酶联合脱氨细胞色素固定化酶外显子呼吸链化学渗透偶联学说二、问答题1-描述蛋白质。
-螺旋和0-折叠两种二级结构的主要异同,2.简述生物体内酶活性调控的主要机制,3.真核生物蛋白质合成后有哪些修饰和加工过程?4.描述真核生物基因的转录调节的特点,5.筒述DNA损伤常见的修复手段°6.核酸的变性与蛋白质的变性有什么主要区别。
7.描述脂肪酸从头合成途径与S氧化途径的主要区别。
8.简述真核生物内糖类,脂类和蛋白质三大类物质之间的重要转化关系B9.筒述遗传密码的主要特征.2003年暨南大学生物化学考研真题(回忆版)2003年暨南大学生物化学考研真题(回忆版)一、名词解释核酶蛋白质的化学修饰细胞色素呼吸链蛋白质的构型一碳单位玻尔效应别构效应酶原冈崎片段二、问答1、生物体内藤活性调控的主要机制.2、真核生物蛋白质合成后的修饰和加工过程。
北师大生物化学历年考研真题1999一、解释名词(3分/题)1.增色效应2.蛋白质的变构作用3.米氏常数4.转换数5.迟留时间(TR)6.空体积(V0)7.衰减调节8.DNA的半不连续复制9.糖异生作用二、填空(1分/空)1.DNA的二级结构为______________。
2.在真核细胞中DNA的三级结构为__________________结构。
它由140bp的DNA缠绕于由______________组成的八聚体外,又依60bp的DNA及___________形成的细丝相连组成串珠状结构__________。
3.__________酶具有极高的专一性,识别DNA上特定位点,将两条链都切断,形成粘末端或平末端。
4.组成DNA的基本单位是___________,组成RNA的基本单位是____________。
5.一般来说,DNA分子中G-C含量高,分子较稳定,融解温度Tm___________。
6.蛋白质二级结构包括______,_______和________等结构单元。
7.糖酵解途径又叫________途径。
8.一分子反式CH3CH=CHCOOH完全分解成CO2和H2O共产生______分子ATP。
9.有机体从头合成嘧啶核苷酸时先利用分子物质形成带有嘧啶环的_________,再与____________生成_____________,再转化成UMP。
10.脱氧核苷酸的生物合成是在___________的基础上还原生成的。
11.在真核生物中DNA复制后组装成核小体时的组蛋白是________的组蛋白。
12.真核生物RNA聚合酶III负责转录_________。
13.在真核生物中蛋白质合成起始时________和_________复合物,再和_____形成40S 起始复合物。
14.根据原癌基因产物在细胞中的位置,可分为3大类:第一类是____________包括______________,第二类是_________包括______,第三类是____________包括__________。
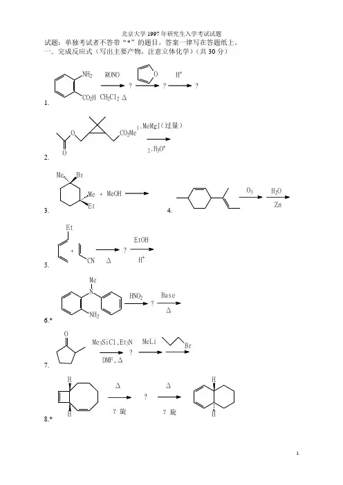
北京大学1997年研究生入学考试试题试题:单独考试者不答带“*”的题目。
答案一律写在答题纸上。
一.完成反应式(写出主要产物,注意立体化学)(共30分)1.CO2HNH2???H+RONOCH2Cl2Δ2. O CO2Me1.MeMgI2.H3O+(过量)3.+MeOH4.H OZn5.?H+ΔEtCN+EtOH6.* NNH2Me?ΔBaseHNO27.?MeLiOBrMe3SiCl,Et3NDMF,Δ8.*?ΔΔ?旋?旋9.OH??NaOHMe 2SO 4Na NH 3(l),EtOHHCl/H 2O10.CHO?稀+CH 2OOH-浓OH -CH 2O 11.CBr EtΔMeCO 2-?500℃12.NMeH HCHOΔ用构象式表示产物二.用苯、甲苯、丙二酸二乙酯、环戊酮和不超过四个碳的简单有机原料合成下列化合物(30分)1. 2. 3.PhOHCO 2EtPh(±)OOCO 2Et4. 5.*OO三.写出下列反应机理(用箭头表示一对电子转移,用鱼钩箭头表示单电子的转移)(12分)。
1.稀冷KMnO 4++2OH2*.OCH2CH=*CH2CH2CH=CH2OHCH2CH=CH22CH=*CH2OH*CH2CH=CH22CH=CH2+ΔI II解释为什么产物中I的量多于II,*表示14C。
四.推测结构(12分)1.化合物A(C7H15N)用MeI处理,得到水溶性盐B(C8H18NI),将B置于氢氧化银悬浮液中加热,得到C(C8H17N),将C用MeI处理后再与氢氧化银悬浮液共热,得到三甲胺和化合物D,D用KmnO4氧化可以得到一分子丁二酮和两分子甲酸,请写出A-D的结构。
2.分子式为C4H8O2的化合物溶于CDCl3中测得1HNMR谱(ppm)为:δ=1.35(双峰,3H), δ=2.15(单峰,3H), δ=3.75(单峰,1H), δ=4.25(四重峰,1H);加入D2O后,δ=3.75的峰消失。
2009年北京大学生化大题考研试题1、写出丙酮酸生成磷酸烯醇式丙酮酸的化学反应式,其化学反应机制是什么?在哪一途径中有类似的反应机制的反应,其反应式是什么?2、在一叶绿体悬浮液中,置于暗中处理一段时间后加入C14标记的二氧化碳,经检测在三磷酸甘油醛中并没有放射性的C14.这是为什么?3、GFP是经过哪几步形成荧光核的?4、DNA和RNA的化学本质是什么?为什么RNA在碱性溶液中不稳定?沃森和克里克是基于哪些实验结果提出DNA双螺旋结构模型的?DNA双螺旋的本质是什么?6、怎样研究某一蛋白同ATP结合的重要氨基酸残基?7、同位素在揭示化学反应机制中发挥了重要的作用。
请写出至少三种利用同位素研究的重要历史事件。
8、氧化磷酸化与光合磷酸化的相似之处。
请至少说出三个在这些途径中还有哪些科学问题有待研究。
9、小鼠组织提取液中经初步纯化得到下列混合物,最少的组分也大于0.5mg。
然后分别给了五种蛋白的KD值和等电点。
要求设计实验方案来分离鉴定蛋白质。
并验证在另一组织提取液中是否含有该组分。
10、基因组学的发展使人们得到很多未知蛋白质。
假设你对其中一种未知蛋白感兴趣,请设计实验对其功能进行研究。
写出要得到的实验目的及实验技术。
北京大学2006年考研生物化学试题一(略)二问答1.简述溶血性,肝细胞性与阻塞性黄疸患者血清胆红素及尿三胆的特点2.试验中将三氢标记的甲硫氨酸加入到细胞培养基中,一定时间后制备细胞提取液,测定提取液中三氢参入量,请问:A实验中测定3H的目的是什么?B结合A的答案,进一步设计测定3H 参入量的方法.C为何采用3H标记的甲硫氨酸?? 3.解释顺式作用元件,反式作用因子,二者在基因表达调节中各起什么作用4.酮体和尿素是否均为代谢废物,理由?? 5.简述细胞由G0期进入G1期及S期的分子生物学机制6.三羧酸循环中各种酶集合在一起,可简单视作一种松散型的多酶复合体,其中草酰乙酸被认为是结合酶的辅因子,乙酰COA是底物,而NADH,FADH2及二氧化碳是产物,三羧酸循环氧化脱羧,但循环过程本身没有氧的加入,请问:A为什么细胞内三羧酸循环进行的快慢取决于氧的供应情况呢?B在氧供充足的条件下,推动三羧酸循环运转的最终化学底物是什么?C细胞内彻底分解脂肪酸(16C)时为什么比彻底分解GS更容易运转速度变慢?? 7.举例说明肌体是如何通过信号传导对血糖进行调节的?? 8.简述核酸分子hybridization的原理及应用范围? 9.比较真核细胞和原核细胞DNA合成的异同点北京大学2004年生物化学试题选择题判断题填空题问答题1 抗体酶具有酶的一切性质。
中国农业大学1997年硕士研究生入学考试试题考试科目:生物化学一、名词解释(每题3分,共30分)1 操纵子2 反馈抑制3 密码子的简并性4 蛋白质四级结构5 盐析6 碱性氨基酸7 Z-DNA8 ATP9 核苷磷酸化酶 10 磷酸果糖激酶二、填空(每空1分,共28分)1 DNA损伤后的修复主要有共修复、______________和_________________三种方式。
2 DNA,RNA和肽链的合成方向分别是______________、_________________和______________。
3真核生物mRNA前体的加工主要包括_______________________、___________________、___________________和___________________________。
4 在含有完整的线粒体系统中,加入解偶联剂后,能进行_____________,但不能发生____________________作用。
5 果糖1,6-二磷酸可在____________________的作用下,裂解生成2分子三碳糖。
6 ____________________氧化脱羧,形成______________________,这一过程是连接糖酵解和三羧酸循环的纽带。
7氨基酸降解的反应主要有三种方式,即________________________,___________________和_______________反应。
8 高等绿色植物体内,在___________________酶和___________________酶的共同作用下,可以将氨和α-酮戊二酸合成为谷氨酸。
9 蛋白质的平均含氮量为______________,它是___________法测定蛋白质含量的计算基础;蛋白质溶液在____________nm有特征吸收峰,该波长是固_______________法测定蛋白质含量所采用的波长。
1992 年北京大学生物化学考研试题一、名词解释ribozyme衰减子第二信使酮体钠钾离子泵二、英译汉DHCLGHScccDNANADPGHMSHCGMPLTRATCasePRPP三、填空1. DNA 的合成方向______,RNA 的转录方向______,蛋白质合成方向______2. hnRNA 经过RNA 拼接过程去掉______留下______3. 原核生物蛋白质合成的起始tRNA 是______,它携带的氨基酸是______而真核生物蛋白质合成的起始tRNA 是______,它携带的氨基酸是______4. 将重组DNA 引入受体细胞这一过程称为______5. tRNA 的二级结构呈______形状,它的3’末端为______,5’末端为______6. 胰岛素受体蛋白存在于______7. 胰凝乳蛋白酶的亲和标记试剂为______,它作用于酶活性中心的______8. 维持蛋白质三级结构最主要的作用是______9. 高等动植物含有一个不饱和键的脂肪酸,其双键位置一般在第______碳原子之间10 性激素与靶细胞受体结合后,进入细胞核与______作用从而调节基因表达11.维生素D3 的活性形式是______12.纤维素和淀粉分子结构的区别在于,纤维素的葡萄糖分子是以______连接而成,而淀粉是以______连接而成.13.在脂肪酸生物合成中,酰基的载体为______,在脂肪酸氧化中酰基的载体为______14.氨基酸代谢的一碳单位由______供给,核苷酸生物合成中的一碳单位由______供给.15.糖酵解过程在细胞的______部位进行,TCA 循环在细胞的______部位进行,氧化磷酸化在细胞的______部位进行.四、是非题1.激素鸟二醇的原初作用在细胞核()2.在细胞培养物由供氧条件转为厌氧条件时葡萄糖利用速度增加()3.氰化物引起缺氧是由于抑制底物磷酸化()4.细胞液中脂肪酸的合成是需要线粒体产生乙酸而乙酸是由乙酰辅酶A 将它带出线粒体膜()5.所有蛋白质的克分子消光系数都是一样的()6.促甲状腺激素是由垂体前叶分泌的,含糖基的单链蛋白质()7.抑制剂对酶的抑制作用是酶变性失活的结果. ()8.糖苷键对碱稳定,而易被酸水解. ()9.限制性内切酶的生物学作用是分解外源DNA()10 别构酶的动力学曲线特点是都为S 型()11.DNA 是遗传物质,而RNA 不是遗传物质()12.双螺旋DNA 复制后,子代DNA 不含亲代成分()13.在蛋白质合成中,起始合成时起始tRNA 结合核糖体的A 位()14.每个原核细胞染色体上只有一个复制起点,而每个真核细胞染色体是有多个复制起点. ()15 原核生物转录启动子有3 个重要部位:-10 区,-35 区,SD 序列()五、分析计算1.含有一个九肽,分别用(1)胰蛋白酶(2)胰凝乳蛋白酶(3)羧肽酶(4)溴化氰处理,试标出对肽链的作用部位Leu Met Arg Pro Alu Lys Try Sen Thy2.一个大肠杆菌中含有106 个蛋白分子,假设每个蛋白分子,平均分子量为40000,并且所有分子都处于a 螺旋,试计算大肠杆菌中蛋白质肽链的长度.3.1ug 纯酶(分子量为92000).在最适条件下催化反应速度为0.5umol/min,计算(1)酶的比活力(单位/蛋白质)(2)转换数4.请分别指出(1)DNA 复制(2)RNA 复制(3)蛋白质合成三个过程的忠实性如何保持的5.用纯化的脂肪酸合成酶进行脂肪酸的合成(1)假设底物乙酰辅酶A 的甲基为3H 所标记,那么形成的软脂酸(16:0)中哪些H 原子将被3H 标记.(2)假设用底物为丙二酰辅酶A,其两个H 都被标记呢?六、附加题1.E.Coli 的一种体外蛋白合成系统中,由多聚核苷酸AUG UUU UUU UUU UUU 指导fMET Phe Phe Phe Phe 合成,在某种抗生素存在下,这个多聚物只能指导合成fMET Phe,试问1,这种抗生素抑制了多肽合成的那一步.2,设有受抑制的寡肽或二肽,在合成终止时与什么tRNA 相连?2.假定有一只体重为250 克的大白鼠,其呼吸强度为500vlO2/g 体重/小时,请计算24H能产生多少克ATP(ATP 分子量为50)。
中科院1997年攻读硕士学位研究生入学试题《生物化学与分子生物学》卷附答案一、是非题。
12分。
每题答对得1分,打错到扣半分,不答者倒扣。
答“是”写“+”,答“非”写“-”。
1、因为丝氨酸,苏氨酸,酪氨酸都是蛋白质磷酸化的位点,因此所有蛋白质激酶均能使蛋白质中这三种氨基酸残基磷酸化。
2、蛋白质的变形作用的实质就是蛋白质分子中所有的键均被破环引起天然构象的解体。
3、蛋白质分子中的结构域(domain)、亚基(subunit)、纹基(motif)都是相同的概念。
4、水是不能通透纸双层膜的。
5、蛋白激酶属于磷酸转移酶类,催化磷酸根共价转移到蛋白质分子上的反应。
6、具有正协同效应的酶,其Hill系数总是大于1的。
7、mRNA的编码区不含有修饰核苷酸。
8、核糖上被甲基化的胞嘧啶核苷被表示为Cm。
9、携带同一种氨基酸的不同tRNA称为tRNA的等受体,它们之间的差异在于反密码。
10、植物能利用氨或硝铵为氮源合成氨基酸,但不能利用空气中的氮。
11、逆转录酶仅具有RNA指导的DNA聚合酶的活性。
12、氨基酸的碳骨架进行氧化分解时,先要形成能够进入三羧酸循环的化合物。
二、选择题:20分。
答错不倒扣分。
1、在凝血过程中发挥作用的许多凝血因子的生物合成依赖于下述哪一种维生素A.维生素K B.维生素E C.维生素C D.维生素A2、目前已经知道某种金属离子在细胞信号传导使细胞供能时起十分重要作用,它是A.Na+ B.K+ C.Ca2+ D.Mg2+3、镰刀状细胞血病是最早被认识的一种分子病,它是由于血红蛋白的两条B链中的两个谷氨酸分别为下属的氨基酸所代替A.丙氨酸B.缬氨酸C.丝氨酸D.苏氨酸4、1996年P。
C。
Doherty和R。
M。
Zinkernagel因为下列哪一领域研究的重要贡献而获诺贝尔医学和生理学费A.发育生物学B.免疫学C.分子病毒学D.结构生活生物学5、形成稳定的肽链空间结构,非常重要的一点是肽键中的四个原子以及和相邻的两个碳原子处于A.不断扰动状态B.可以相对自由旋转C.同一平面D.虽不同外界环境而变化的状态6、三羧酸循环中,下列哪一个酶不是调控酶A.柠檬酸合成酶B.异柠檬酸脱氢酶C.苹果酸脱氢酶D.酮戊二酸脱氢酶7、以下酶中哪一个是属于黄素核苷酸与酶蛋白以共价键相连的A.NADH脱氢酶B.甘油磷酸脱氢酶C.胆碱脱氢酶D.琥珀酸脱氢酶8、在酶的双倒数作图中,只改变斜率不改变横轴截矩的抑制剂属于A.非竞争性抑制剂B.竞争性抑制剂 C.反竞争性抑制剂9、A.提高反应的活化能B.降低反应的活化能C.促使正向反应速度提高10、端粒酶(tolermerase)是属于A.限制性内切酶B.DNA聚合酶C.RNA聚合酶D.肽酰转移酶11、用寡聚脱氧核苷胸苷(Oligo dT)纤维素柱层析分离mRNA 是属于A.分配层析B.交换层析C.亲和层析D.薄版层析12、下列RNA中含修饰核苷酸最多的是A.mRNA B.rRNA C.tRNA D.病毒RNA13、转录真核rRNA的酶是A.RNA聚合酶ⅠB.RNA聚合酶ⅡC.RNA聚合酶Ⅲ14、一个RNA片段AGGGCUGA,T1酶全酶切后HPLC分析可获得的峰的数量为A.2 B.3 C.4 D.515、氨酰tRNA合成酶的底物数为A.1 B.2 C.3 D.416、雌二醇生物合成的直接前体是A.雌酮B.孕酮C.睾酮D.雌三醇17、真核生物有DNA聚合酶α、β、γ、δ,其中δ主要负责A.DNA的复制 B.切除引物 C.参与修复 D.解开双螺旋18、长链脂肪酰CoA经氧化作用,生成乙酰CoA是在什么细胞器上进行的A.微粒体 B.内质网 C.线粒体 D.细胞膜19、DNA分子上能被依赖DNA的RNA聚合酶特意识别的部位是A.衰减子 B.操纵子 C.启动子 D.终止子20、哺乳动物在正常生理条件下,一般氨基酸的氨基被脱去,主要通过A.氨基酸氧化酶的作用B.转录酶的作用C.转氨酶和谷氨酸脱酶的联合作用D.谷氨酸脱氢酶的作用三、填空题(20题共44空格,共44分)1、免疫球蛋白(IgG)含有两条高分子量的和两条低分子量的,这些链通过连接成Y字形结构,每个免疫球蛋白分子含有抗原结构部位。
中科院生物化学与分子生物学历年考研真题文件管理序列号:[K8UY-K9IO69-O6M243-OL889-F88688]中科院1996生化与分子一、是非题:10分。
每题答对得1分,打错到扣半分,不答者倒扣。
1、米氏常数(Km)是与反应系统的酶浓度无关的一个常数。
2、与肌红蛋白不同,血红蛋白由四个亚基组成,因此提高了它与氧的结合能力,从而增加了输氧的功能。
3、维生素D和甲状腺激素的受体都在靶细胞核内。
4、凝胶过滤法可用于测定蛋白的分子量,分子量小的蛋白质先从柱上流出,分子量大的后流出。
5、两条单独肽链经链间二硫交联,组成蛋白质分子,这两条肽链是该蛋白的两个亚基。
6、哺乳动物无氧下不能存活,因为葡萄糖酵解不能合成ATP。
7、体细胞(双倍体)DNA含量约为生殖细胞DNA含量的两倍。
8、真核生物的基因不组成操纵子,不形成多顺子mRNA。
9、光合作用的总反应中,H2O中的氧参入到葡萄糖中去。
10、真核细胞和原核细胞核糖体中的RNA的数目和种类是相同的。
二、选择题:20分。
答错不倒扣分。
1、从血红蛋白规水解得到的氨基酸的手性光学性质:A.都是L型的; B。
都是左旋的; C。
并非都是L型的; D。
有D型的也有L型的。
2、生物膜的厚度在A.100nm左右 B.10nm左右C.1nm左右3、真核生物中经RNA聚合酶Ⅲ催化转录的产物是A.mRNA B.hnRNA C.rRNA 和5SRNA D.tRNA和5SRNA4、消化系统的水解酶,大多是以非活性的酶原形式合成出来的,但也有例外,如A.核糖核酸酶 B.羟肽酶C.胃蛋白酶5、在染色体中DNA的构型主要是A.A型 B.B型 C.C型D.Z型6、超过滤于凝胶过滤A.是两种性质不同,用处不同的蛋白质制备方法B.是一种性质,但表现方法不同的蛋白质制备方法C.是同一种方法的两种名词7、研究蛋白质结构常用氧化法打开二硫键,所用的化学试剂是A.亚硝酸 B.过氯酸C.硫酸 D.过甲酸8、雄激素对物质代谢最显着的一项重要作用是A.促进肝脏糖原分解 B.增加脂肪贮存 C.加强蛋白质的同化作用 D。
北京师范大学生命科学学院历年专业课考研试题汇总1、2013年考研试题汇总①2013年北京师范大学817动物学②2013北京师范大学生态学考研真题回忆版③2013北京师范大学816植物学考研真题回忆版④2013年北京师范大学735普通生态学考研真题⑤北师大2013年生命科学学院773生物化学与分子生物学真题回忆⑥北师大专业学位学科教学生物普通生物学真题回忆2、2012年考研试题汇总①2012年北京师范大学819细胞生物学考研试题(回忆版)②北师大2012年动物学817真题回忆版3、2011年考研试题汇总①2011年北京师范大学细胞试题(考场记录板)4、2010年考研试题汇总①2010年北京师范大学819细胞生物学考研试题(回忆版)②2010年北师大细胞生物学真题回忆版:819 北京师范大学(2010)③北师生科院2010细胞生物学真题④北京师范大学2010年细胞生物学考研真题(回忆版)⑤2010年北京师范大学773生物化学考研试题(回忆版)5、2009年以前考研试题汇总①北师大生物化学历年考研真题1999-2005②2006年北京师范大学遗传学考研真题③2001年北京师范大学遗传学考研真题④2005年北京师范大学遗传学考研真题⑤北师大生物化学历年真题1999-2005⑥2009年北京师范大学硕士研究生入学考试细胞生物学试题(回忆)(转)⑦1999年北京师范大学生态学1试题⑧2003北师大细胞生物学考研真题⑨北师大1999年硕士研究生考试试题(细胞生物学)⑩北京师范大学2005硕士研究生入学考试生物化学真题①北师大04--08年资源学院813生态学真题[ 本帖最后由 糯米小虫 于 2013-9-19 23:25 编辑 ]附件: 您所在的用户组无法下载或查看附件TOP【尚道先生】换季大清洗!校园巨惠来袭!随时取送!糯米小虫校内论坛版主在学校 沙发大中小发表于 2013-9-18 22:54 只看该作者北京师范大学生命科学学院历年专业课考研试题汇总1、2013年考研试题汇总①2013年北京师范大学817动物学 1.名词解释10个每个3分 前肾 表膜(草履虫) 2.简述鸟类的迁徙行为? 3.简述哺乳动物头骨的鉴别特征?及牙齿的分类意义。
1997年细胞生物学
一,名词解释
stem sell, 衰老小体, tonoplast, cell coat, G protein linked receptor, part icle gun bombardment
gap junction, Hayflick limit
二,实验设计(选一个)
1,已知细胞内某一蛋白质的cDNA及其抗体,研究它在细胞内的合成,转运及修饰
2,已知一高等植物某一基因的cDNA,研究此基因在机体内的功能
三,问答
1,生命体内蛋白质,脂类,核酸装配的方式,你认为有几种,各举一例说明
2,细胞周期(分裂)与细胞程序性死亡在多细胞发育过程中有何作用?最近发现有些周期调控因子对细胞程序性死亡有诱发作用,对此你有何看法
3,图示细胞内蛋白质合成,转运的不同途径
4,植物初生壁与真菌细胞壁的区别
5,涉及叶绿体。
爱考机构考研-保研-考博高端辅导第一品牌生命科学学院生物化学与分子生物学招生目录系所名称生命科学学院招生总数35人。
系所说明其中拟接收推荐免试生比例约为85%。
本院只招收五年制硕博连读生,中间不授硕士学位。
不提供往年试题。
招生专业及人数071001 植物学4071002 动物学1071003 生理学2071005 微生物学1071007 遗传学2071009 细胞生物学8071010 生物化学与分子生物学8071011 生物物理学1071012 生态学1071020 生物学(生物信息学)3071021 生物学(生物技术)4生命科学学院生物化学与分子生物学考试科目系所名称生命科学学院招生总数35人。
系所说明其中拟接收推荐免试生比例约为85%。
本院只招收五年制硕博连读生,中间不授硕士学位。
不提供往年试题。
招生专业:生物化学与分子生物学 (071010) 人数:8研究方向01.核酸生物化学、基因工程02.蛋白质化学、蛋白质结构功能与蛋白质组学03.基因表达调控04.基因工程疫苗05.结构生物学06.代谢组学07.细胞与分子机理考试科目考试科目④中有机化学、物理化学任选一门。
本专业招生人数中含北大核磁中心2人。
1 101思想政治理论2 201英语一3 707生物化学与分子生物学4 815有机化学、818物理化学生命科学学院生物化学与分子生物学专业简介北京大学生物系已有80多年历史,1992年成为现在的生命科学学院。
老一辈科学家为本学科打下了坚实的研究基础,创造了优良的学术氛围。
植物学、生物化学等二级学科是国务院学位办首批批准的博士点。
1999年,我院生物学学科成为全国首批一级学科。
我院生物学学科的二级学科方向齐全,历史悠久而又勇于探索和创新,师资队伍强,人才培养经验丰富,使本学科在国内外享有很高的声誉。
我院植物生理学等四个博士点在1988年被当时的国家教委评为高等学校重点学科。
在2002年全国重点学科评审中,北大生命科学院植物学,动物学,生物化学,生理学和细胞生物学博士点被评为全国重点学科。
各高校历年生物化学考研真题山东大学医学院硕士生物化学试题(1995)一、名词解释l、gene文库2、cDNA文库3、PCR4、胆汁的肠肝循环5、DNA双螺旋二、问答题1、辨认化合物结构,命名并说明生理作用(cAMP、VitC、cGMP、FDP)。
2、根据三大代谢过程,填写有关结构式、名称、关键酶。
3、根据蛋白质的酶解产物,写出一级结构。
4、试述Adr调节物质代谢的基础。
5、根据酶促反应动力学公式进行有关计算。
6、DNA损伤修复的机理。
7、用同位素标记C3,C4,试问该同位素能在软脂酸中出现吗?原因是什么?8、VitB族各辅酶的化学名称和作用。
9、简述基因工程的步骤。
山东大学医学院硕士生物化学试题(1996)1、磷脂酶在体内代谢的交汇点。
2、参与DNA复制的酶及因子。
3、以胰岛素为例,说明蛋白质合成后的加工修饰过程。
4、计算Km、Vmax5、Southern blot6、PCR7、肾上腺素调节糖代谢的机制。
山东大学医学院硕士生物化学试题(1997)一、名词解释1、别构酶2、氧化磷酸化3、Hogness-box4、嘌呤核苷酸循环5、酶促反应动力学计算二、甘油上C2标记后,合成葡萄糖,则糖上哪几个C可能被标记?三、试述NAD和NADP的区别。
四、一碳单位的定义与功能。
五、A TP的来源及去路六、简述基因工程七、嘌呤、嘧啶的结构(5-Fu、假尿苷)八、CNMP结构九、柠檬酸-丙酮酸循环苹果酸-天冬氨酸穿梭鸟氨酸循环山东大学医学院硕士生物化学试题(1998)一、名词解释1、内在蛋白与外周蛋白2、米氏酶与变构酶3、多功能酶与多功能酶复合体4、脱氢酶与氧化酶二、利用米-曼氏方程计算km。
三、tRNA转录后加工。
四、基因工程中目的基因的制备方法有什么?五、用N15标记的丙氨酸饲养动物,则动物哪些产物组织中发现N15,述其机理。
六、镰刀型贫血的分子机制是什么,如何推断?七、VitA的物理功能和相应机制。
八、填图题:尿素循环。
北京大学1988年研究生入学考试生物化学一,选择题1,用茚三酮试剂确定氨基酸是靠它与下面()功能集团起作用。
2,影响酶催化效率的因素是()。
3,在适当条件下,盐酸胍变性球蛋白的可逆性,可证明()。
4,蛋白质中形成肽键平面的原因是()。
5,三个氨基酸(Asp,Leu,Lys)的混合物,经过一个sulphonoted polysturene 阳离子交换树脂粒,用 PH5的缓冲液洗脱,洗脱液中氨基酸出现的顺序是()。
6,溶液A的PH为,溶液B的PH为的两个溶液的体积相等,则其H 的含量关()7,醋酸的PH为, HCl的PH是 2,用 NaOH分别去中和15mL的以上醋酸和盐酸,试问需用() NaOH。
8,酶活性的国际单位(.)定义为在30。
C下,将底物转化为产物,在()速度时的酶量。
9,在的经DEAE-纤维素柱纯化酶,此酶的比活从mg提高到303U/mg,表明()10,10-5毫克分子的乳酸脱氢酶,每秒催化10微克分子丙酮酸的生成,此酶的turnover number 是()。
11,胰凝乳蛋白酶中电荷延迟系统是指()。
12,在整体代谢的调节环节调节中,别构效应可调节()。
13,A因子存在时,一个酶的初速度对底物浓度曲线为S形,而当A因子浓度增高时,此线左移,说明 A因子是()。
14,一个酶的Km为3X10-5M,Vmax为转化8000克分子底物/分/克分子酶,底物浓度为3X10-5M 时,初速度是()15,在一个2底物-2产物酶反应系统中,对其中一个底物的Km值是()。
16,一氧化碳有毒是因为()。
17,胶原蛋白的特性是()。
18,α螺旋与β折叠的区别()。
19,促进酶分子催化反应的机制是()。
20,酶可以改变()。
21,转化丁二酸根为反丁二烯酸根所需要的酶是()。
22,激素17β-雌二醇发挥效应的位置在()。
23,3'-5'cAMP的性质是()。
24,谷氨酸丙酮酸=α酮戊二酸丙氨酸,需要的辅酶为()。