直线与圆锥曲线-知识总结
- 格式:pdf
- 大小:396.19 KB
- 文档页数:6
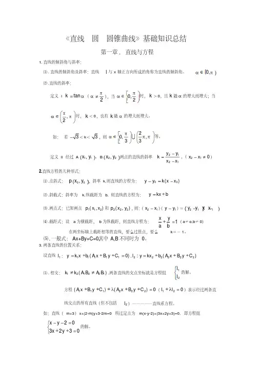
《直线·圆·圆锥曲线》基础知识总结第一章. 直线与方程1.直线的倾斜角与斜率:⑴.直线的倾斜角及斜率:直线l 与x 轴正方向所成的角称为直线的倾斜角。
0,⑵.直线的斜率:定义i tan k (2),当0,2时,k >0,且k 随的增大而增大;当,2时,k <0,也有k 随的增大而增大。
如:若3<k <3,则20,,33等。
定义ii 经过A 11,x y 、B 22,x y 两点的直线的斜率2121y y k x x ,(210x x )2.直线方程的几种形式:⑴.点斜式:00,p x y ,斜率k,则直线的方程为:00()y y k x x ⑵.斜截式:斜率为k,纵截距为b, 则直线的方程为:y kx b ⑶.两点式:已知两点112(,)p x x 和222(,)p x y ,则:(21x x )(1y y )=211y y x x ⑷.截距式:设a 为横截距,b 为纵截距,则直线方程为:1xy a b (a ≠o,b ≠0)在两坐标轴上截距相等的直线,要么过原点,要么k =-1。
⑸.一般式:Ax+By+C=0,其中A,B 不同时为0。
3.两条直线的位置关系:设直线1l :11111(0)y k x b A x B y C ,222222:()l y kx b A x B y C ⑴.相交:121221()k k A B A B ,两条直线的交点坐标就是方程组12l l 的解。
方程111222()()0A x B y C A x B y C (120l l )表示经过两条直线交点的所有直线(但不包括2l )―――――直线系方程。
如:直线(m+3)x+(2-m)y+3-2m=0所过定点为m(x-y-2)+(3x+2y+3)=0,即方程组203230x y x y 的解。
★设,f x y Ax By C ,线段AB 与直线l 有公共点的充要条件:f A f B ≤0 ⑵.平行:1l ∥2l ,则12k k 且12b b 或111222A B C A B C ,022Ax By C d A B (点到直线),1222c c d A B (两平行线)⑶.垂直:1l ⊥2l 121k k ,1l ⊥2l 12120A AB B 4.关于直线的对称问题:⑴.点00,P x y 关于x 轴,y 轴,原点,直线y=x,直线y=-x,及直线y=x+c 对称点的坐标分别是:00,x y ,00,x y ,00,x y ,00,y x ,00y x 及00,y c x c 。
直线与圆锥曲线知识点与题型归纳总结知识点精讲一、直线l 与圆锥曲线C 的位置关系的判断判断直线l 与圆锥曲线C 的位置关系时,通常将直线l 的方程0Ax By c ++= 代入圆锥曲线C 的方程(),0F x y = ,消去y (也可以消去x )得到关系一个变量的一元二次方程,,即()0,0Ax By c F x y ++=⎧⎪⎨=⎪⎩ ,消去y 后得20ax bx c ++=(1)当0a =时,即得到一个一元一次方程,则l 与C 相交,且只有一个交点,此时,若C 为双曲线,则直线l 与双曲线的渐近线平行;若C 为抛物线,则直线l 与抛物线 的对称轴平行(2) 当0a ≠时,0∆> ,直线l 与曲线C 有两个不同的交点; 0∆=,直线l 与曲 线C 相切,即有唯一的公共点(切点); 0∆< ,直线l 与曲线C 二、圆锥曲线的弦连接圆锥曲线上两点的线段称为圆锥曲线的弦直线():,0l f x y = ,曲线():F ,0,A,B C x y =为l 与C 的两个不同的交点,坐标分别为()()1122,,,A x y B x y ,则()()1122,,,A x y B x y 是方程组()(),0,0f x y F x y =⎧⎪⎨=⎪⎩ 的两组解, 方程组消元后化为关于x 或y 的一元二次方程20Ax Bx c ++=(0A ≠) ,判别式24B AC ∆=- ,应有0∆> ,所以12,x x 是方程20Ax Bx c ++=的根,由根与系数关系(韦达定理)求出1212,B Cx x x x A A+=-= , 所以,A B 两点间的距离为12AB x =-==即弦长公式,弦长 公式也可以写成关于y 的形式)120AB y y k =-=≠三, 已知弦AB 的中点,研究AB 的斜率和方程(1) AB 是椭圆()22221.0x y a b a b+=>的一条弦,中点()00,M x y ,则AB 的斜率为2020b x a y - ,运用点差法求AB 的斜率;设()()()112212,,A x y B x y x x ≠ ,,A B 都在椭圆 上,所以22112222222211x y a b x y a b ⎧+=⎪⎪⎨⎪+=⎪⎩ ,两式相减得22221212220x x y y a b --+=所以()()()()12121212220x x x x y y y y a b +-+-+=即()()()()22121202212120y y b x x b x x x a y y a y -+=-=--+,故2020AB b x k a y =-(1) 运用类似的方法可以推出;若AB 是双曲线()22221.0x y a b a b-=>的弦,中点()00,M x y ,则2020ABb x k a y =;若曲线是抛物线()220y px p => ,则0AB p k y =题型归纳及思路提示题型1 直线与圆锥曲线的位置关系思路提示(1)直线与圆锥曲线有两个不同的公共点的判定:通常的方法是直线与圆锥曲线方程联立方程消元后得到一元二次方程,其中0∆> ;另一方面就是数形结合,如直线与双曲线有两个不同的公共点,可通过判定直线的斜率与双曲线渐近线的斜率的大小得到。
直线与圆圆锥曲线知识清单一、直线1. 直线的斜率:直线与水平线的夹角α的正切值定义为该直线的斜率,记作k。
2. 直线的方程:点斜式、斜截式、两点式和截距式是直线的四种方程形式。
3. 特殊直线:垂直于x轴的直线斜率为0,平行于x轴的直线斜率不存在。
二、圆1. 圆的标准方程:(x-a)²+(y-b)²=r²,其中(a,b)为圆心,r为半径。
2. 圆的一般方程:x²+y²+Dx+Ey+F=0,其中D²+E²-4F>0。
3. 圆的性质:圆心到圆上任一点的距离相等,都等于半径。
4. 圆与直线的位置关系:相交、相切和相离。
5. 圆与圆的位置关系:外离、外切、相交、内切和内含。
三、圆锥曲线1. 椭圆:长轴在x轴上,方程为x²/a²+y²/b²=1,其中a>b>0。
2. 双曲线:长轴在x轴上,方程为x²/a²-y²/b²=1,其中a>0,b>0。
3. 抛物线:顶点在原点,焦点在x轴上,方程为y²=2px,其中p>0。
4. 圆锥曲线的标准方程和一般形式。
5. 圆锥曲线的性质:对称性、范围、顶点、焦点、准线等。
6. 圆锥曲线与直线的位置关系:相交、相切和相离。
7. 圆锥曲线的光学性质:椭圆和双曲线的凹面和凸面分别反射光线和使光线发散。
8. 极坐标系与直角坐标系的转换公式:x=ρcosθ,y=ρsinθ。
四、平面直角坐标系1. 坐标系:直线与x轴的交点称为x轴的坐标,与y轴的交点称为y轴的坐标。
2. 平面直角坐标系:在平面上,以原点为参考点,向左、右、上、下分别定义x、y轴,并规定正方向为正数,负方向为负数。
3. 平面直角坐标系的性质:坐标系内任意一点P(x,y)到原点的距离相等。
4. 平面直角坐标系的单位:长度单位为1个单位长度,角度单位为1个单位角度。
圆锥曲线知识点总结圆锥曲线是高中数学中的重要内容,包括椭圆、双曲线和抛物线。
它们在数学和物理学等领域都有广泛的应用。
接下来,让我们详细了解一下圆锥曲线的相关知识点。
一、椭圆1、定义平面内与两个定点$F_1$、$F_2$的距离之和等于常数(大于$|F_1F_2|$)的点的轨迹叫做椭圆。
这两个定点叫做椭圆的焦点,两焦点间的距离叫做椭圆的焦距。
2、标准方程(1)焦点在$x$轴上:$\frac{x^2}{a^2} +\frac{y^2}{b^2} = 1$($a > b > 0$),其中$a$为长半轴长,$b$为短半轴长,$c$为半焦距,满足$c^2 = a^2 b^2$。
(2)焦点在$y$轴上:$\frac{y^2}{a^2} +\frac{x^2}{b^2} = 1$($a > b > 0$)。
3、椭圆的性质(1)范围:对于焦点在$x$轴上的椭圆,$a \leq x \leq a$,$b \leq y \leq b$;对于焦点在$y$轴上的椭圆,$b \leq x \leq b$,$a \leq y \leq a$。
(2)对称性:椭圆关于$x$轴、$y$轴和原点对称。
(3)顶点:焦点在$x$轴上的椭圆顶点为$(±a, 0)$,$(0, ±b)$;焦点在$y$轴上的椭圆顶点为$(0, ±a)$,$(±b, 0)$。
(4)离心率:椭圆的离心率$e =\frac{c}{a}$($0 < e <1$),它反映了椭圆的扁平程度,$e$越接近$0$,椭圆越接近于圆;$e$越接近$1$,椭圆越扁。
二、双曲线1、定义平面内与两个定点$F_1$、$F_2$的距离之差的绝对值等于常数(小于$|F_1F_2|$)的点的轨迹叫做双曲线。
这两个定点叫做双曲线的焦点,两焦点间的距离叫做双曲线的焦距。
2、标准方程(1)焦点在$x$轴上:$\frac{x^2}{a^2} \frac{y^2}{b^2} =1$,其中$a > 0$,$b > 0$,$c^2 = a^2 + b^2$。
直线与圆锥曲线知识点
一.考点分析。
⑴直线与圆锥曲线的位置关系和判定
直线与圆锥曲线的位置关系有三种情况:相交、相切、相离.
直线方程是二元一次方程,圆锥曲线方程是二元二次方程,由它们组成的方程组,经过消元得到一个一元二次方程,直线和圆锥曲线相交、相切、相离的充分必要条件分别是0∆>、0∆=、0∆<.
⑵直线与圆锥曲线相交所得的弦长
直线具有斜率k ,直线与圆锥曲线的两个交点坐标分别为1122(,),(,)A x y B x y ,则它的弦长
上面的公式实质上是由两点间距离公式推导出来的,只是用了交点坐标设而不求的技巧而已(因为1212()y y x x -=-k ,运用韦达定理来进行计算.
当直线斜率不存在是,则12AB y y =-.
注: 1.圆锥曲线,一要重视定义,这是学好圆锥曲线最重要的思想方法,二要数形结合,既熟练掌握方程组理论,又关注图形的几何性质,以简化运算;
2.当涉及到弦的中点时,通常有两种处理方法:一是韦达定理,二是点差法;
3.圆锥曲线中参数取值范围问题通常从两个途径思考:一是建立函数,用求值域的方法求范围,二是建立不等式,通过解不等式求范围.。
高中数学知识点—圆锥曲线部分一、平面解析几何的知识结构:二、考点(限考)概要:1、椭圆:(1)轨迹定义:①定义一:在平面内到两定点的距离之和等于定长的点的轨迹是椭圆,两定点是焦点,两定点间距离是焦距,且定长2a大于焦距2c。
用集合表示为:;②定义二:在平面内到定点的距离和它到一条定直线的距离之比是个常数e,那么这个点的轨迹叫做椭圆。
其中定点叫焦点,定直线叫准线,常数e 是离心率。
用集合表示为:;e 越小,椭圆越圆;e 越大,椭圆越扁(2)标准方程和性质:①范围:由标准方程知,,说明椭圆位于直线,22221x y a b+=||x a ≤||y b ≤x a =±所围成的矩形里;y b =±②对称性:在曲线方程里,若以代替方程不变,所以若点在曲线上时,点y -y (,)x y 也在曲线上,所以曲线关于轴对称,同理,以代替方程不变,则曲线关于(,)x y -x x -x 轴对称。
若同时以代替,代替方程也不变,则曲线关于原点对称。
y x -x y -y 所以,椭圆关于轴、轴和原点对称。
这时,坐标轴是椭圆的对称轴,原点是对称中心,x y 椭圆的对称中心叫椭圆的中心;③顶点:确定曲线在坐标系中的位置,常需要求出曲线与轴、轴的交点坐标。
在椭x y 圆的标准方程中,令,得,则,是椭圆与轴的两个交点。
0x =y b =±1(0,)B b -2(0,)B b y 同理令得,即,是椭圆与轴的两个交点。
0y =x a =±1(,0)A a -2(,0)A a x 所以,椭圆与坐标轴的交点有四个,这四个交点叫做椭圆的顶点。
同时,线段、分别叫做椭圆的长轴和短轴,它们的长分别为和,和21A A 21B B 2a 2b a 分别叫做椭圆的长半轴长和短半轴长。
b 由椭圆的对称性知:椭圆的短轴端点到焦点的距离为;在中,,a 22Rt OB F ∆2||OBb =,,且,即;2||OF c =22||B F a =2222222||||||OF B F OB =-222c a b =-④离心率:椭圆的焦距与长轴的比叫椭圆的离心率。
直线和圆锥曲线的位置关系知识点一:直线与圆锥曲线的位置关系直线与圆锥曲线的位置关系有三种:相交、相切、相离.判断的方法均是把直线方程代入曲线方程中,判断方程解的个数,从而得到直线与曲线公共点的个数,最终得到直线与曲线的位置关系.一般利用二次方程判别式来判断有无解,有几个解.1.直线0=++C By Ax 椭圆)0(12222>>=+b a by a x 的位置关系: 将直线的方程与椭圆的方程联立成方程组,消元转化为关于x 或y 一元二次方程,其判别式为∆.(1)⇔>∆0直线和椭圆相交⇔直线和椭圆有两个交点(或两个公共点);(2)⇔=∆0直线和椭圆相切⇔直线和椭圆有一个切点(或一个公共点);(3)⇔<∆0直线和椭圆相离⇔直线和椭圆无公共点.2.直线0=++C By Ax 和双曲线)0,0(12222>>=-b a by a x 的位置关系: 将直线的方程与双曲线的方程联立成方程组,消元转化为关于x 或y 的方程.(一)若为一元一次方程,则直线和双曲线的渐近线平行,直线和双曲线只有一个交点,但不相切不是切点;(二)若为一元二次方程,则(1)若0>∆,则直线和双曲线相交,有两个交点(或两个公共点);(2)若0=∆,则直线和双曲线相切,有一个切点;(3)若0<∆,则直线和双曲线相离,无公共点.注意:(1)⇒>∆0直线与双曲线相交,但直线与双曲线相交不一定有0>∆,当直线与双曲线的渐近线平行时,直线与双曲线相交且只有一个交点,故0>∆是直线与双曲线相交的充分条件,但不是必要条件;(2)当直线与双曲线的渐近线不平行时,⇔=∆0直线与双曲线相切;(3)如说直线和双曲线有一个公共点,则要考虑两种情况:一个切点和一个交点;当直线与双曲线的渐近线平行时,直线与双曲线相交,但只有一个交点;(4)过双曲线)0,0(12222>>=-b a by a x 外一点),(00y x P 的直线与双曲线只有一个公共点的情况如下:①P 点在两条渐近线之间且不含双曲线的区域内时,有两条与渐近线平行的直线和分别与双曲线两支相切的两条切线,共四条;②P 点在两条渐近线之间且包含双曲线的区域内时,有两条与渐近线平行的直线和只与双曲线一支相切的两条切线,共四条;③P 在两条渐近线上但非原点,只有两条:一条是与另一渐近线平行的直线,一条是切线;④P 为原点时不存在这样的直线;3.直线0=++C By Ax 和抛物线)0(22>=p px y 的位置关系:将直线的方程与抛物线的方程联立成方程组,消元转化为关于x 或y 方程.(一)若方程为一元一次方程,则直线和抛物线的对称轴平行,直线和抛物线有一个交点,但不相切不是切点;(二)若为一元二次方程,则(1)若0>∆,则直线和抛物线相交,有两个交点(或两个公共点);(2)若0=∆,则直线和抛物线相切,有一个切点;(3)若0<∆,则直线和抛物线相离,无公共点.注意:(1)⇒>∆0直线与抛物线相交,但直线与抛物线相交不一定有0>∆,当直线与抛物线的对称轴重合或平行时,直线与抛物线相交且只有一个交点,故0>∆也仅是直线与抛物线相交的充分条件,但不是必要条件.(2)当直线与抛物线的对称轴不重合或平行时,⇔=∆0直线与抛物线相切;(3)如说直线和抛物线有一个公共点,则要考虑两种情况:一个切点和一个交点;当直线与抛物线的轴平行时,直线与抛物线相交,也只有一个交点;(4)过抛物线外一点总有三条直线和抛物线有且只有一个公共点:两条切线和一条平行于对称轴的直线.知识点二:圆锥曲线的弦1.直线被圆锥曲线截得的线段称为圆锥曲线的弦.当直线的斜率k 存在时,直线b kx y +=与圆锥曲线相交于),(),,(2211y x B y x A ,两点,把直线方程代入曲线方程中,消元后所得一元二次方程为02=++c bx ax .则弦长公式:2121x x k AB -+=其中aa c ab x x x x x x ∆=--=-+=-4)(4)(22122121 当k 存在且不为零时, 弦长公式还可以写成:21211y y k AB -+=. 注意:当直线的斜率不存在时,不能用弦长公式解决问题,21y y AB -=.2.焦点弦:若弦过圆锥曲线的焦点叫焦点弦;抛物线)0(22>=p px y 的焦点弦公式α221sin 2p p x x AB =++=,其中α为过焦点的直线的倾斜角.3.通径:若焦点弦垂直于焦点所在的圆锥曲线的对称轴,此时焦点弦也叫通径.椭圆和双曲线的通径为ab AB 22=,抛物线的通径p AB 2=. 知识点三:圆锥曲线的中点弦问题:遇到中点弦问题常用“韦达定理”或“点差法”求解. ①在椭圆12222=+b y a x 中,以),(00y x P 为中点的弦所在直线的斜率0202y a x b k -=;②在双曲线12222=-b y a x 中,以),(00y x P 为中点的弦所在直线的斜率0202y a x b k =; ③在抛物线)0(22>=p px y 中,以),(00y x P 为中点的弦所在直线的斜率0y p k =. 注意:因为0>∆是直线与圆锥曲线相交于两点的必要条件,故在求解有关弦长、对称问题时,务必别忘了检验0>∆!知识点四:求曲线的方程1. 定义:在直角坐标系中,用坐标表示点,把曲线看成满足某种条件的点的集合或轨迹,用曲线上点的坐标),(y x 所满足的方程0),(=y x f 表示曲线,通过研究方程的性质间接地来研究曲线的性质.这就是坐标法.2. 坐标法求曲线方程的步骤:第一步:建立适当的平面直角坐标系,用坐标和方程表示问题中涉及的几何因素,将平面几何问题转化为代数问题;第二步:通过代数运算,解决代数问题;第三步:把代数运算结果“翻译”成几何结论.通过坐标法,把点和坐标、曲线和方程联系起来,实现了形和数的统一.用坐标法解决几何问题时,先用坐标和方程表示相应的几何对象,然后对坐标和方程进行代数讨论;最后再把代数运算结果“翻译”成相应的几何结论.这就是用坐标法解决平面几何问题的“三步曲”. 3.求轨迹方程的常用方法:直接法、定义法、代入法、参数法等.规律方法指导1.直线与圆锥曲线的位置关系的研究方法可通过代数方法即解方程组的办法来研究.因为直线与圆锥曲线有无公共点或有几个公共点的问题,实际上是研究它们的方程组成的方程是否有实数解或实数解的个数问题,此时要注意用好分类讨论和数形结合的思想方法.2.直线与圆锥曲线的位置关系,是高考考查的重中之重.主要涉及弦长、弦中点、对称、参量的取值范围、求曲线方程等问题.解题中要充分重视韦达定理和判别式的应用.3.当直线与圆锥曲线相交时涉及弦长问题,常用“韦达定理法”设而不求计算弦长(即应用弦长公式);涉及弦长的中点问题,常用“点差法”设而不求,将弦所在直线的斜率、弦的中点坐标联系起来相互转化,同时还应充分挖掘题目的隐含条件,寻找量与量间的关系灵活转化,往往就能事半功倍.解题的主要规律可以概括为“联立方程求交点,韦达定理求弦长,根的分布找范围,曲线定义不能忘”.4.解决直线与圆锥曲线的位置关系问题时,对消元后的一元二次方程,必须讨论二次项的系数和判别式,有时借助于图形的几何性质更为方便.。
直线(点)与圆锥曲线的位置关系知 识 梳 理一、 点与圆锥曲线的位置关系设点P 坐标为00(,)x y ,约定:含焦点的区域称为圆锥曲线的内部。
1. 椭圆:若2200221x y a b+=,则P 在椭圆上;若2200221x y a b +<,则P 在椭圆内;若2200221x y a b+>,则P 在椭圆外. 2.双曲线:若2200221x y a b -=,则P 在双曲线上;若2200221x y a b-<,则P 在双曲线外;若2200221x y a b->,则P 在双曲线内. 3.抛物线:若2002y px =,则P 在抛物线上;若2002y px <,则P 在抛物线内;若2002y px >,则P 在抛物线外.说明:当圆锥曲线的焦点在其他轴上时,有类似于上述的结论,此处从略。
二、 直线与圆锥曲线的位置关系1. 椭圆000=000≠∆>⇔⎧⎧⎪⇒≠∆⇔⎨⎨⎩⎪≠∆<⇔⎩二次项系数且交于两点直线一元二次方程二次项系数且切于一点(图示从略)椭圆二次项系数且无公共点(相离)说明:△>0是直线与椭圆相交的充要条件;△=0是直线与椭圆有且只有一个公共点的充要条件。
2. 双曲线说明:(1)△>0是直线与双曲线相交的充分条件,但不是必要条件(因为相交包括交于一000=0=000≠∆>⇔⎧⎪⎪⎪≠∆⇔⎧⎪⇒⎨⎨⎩⎪⇔⇔⎪⎪⎪≠∆<⇔⎩ 二次项系数且交于两点二次项系数且切于一点直线一元方程双曲线二次系数(一次方程)交于一点直线渐近线二次项系数且无公共点(相离)12120000x x x x ⎧⎪∆>>⎨⎪∆><⎩既可与两支相交又可与一支相交只与一支交于两点:且与两支交于两点:且⎫⎬⎭有一个公共点点或两点);但直线与双曲线交于两点时必有△>0。
△=0是直线与双曲线有一个公共点的充分不必要条件(因为对双曲线来说,有一个公共点包括切于一点和交于一点);但切于一点时,必有△=0。
《直线和圆锥曲线的参数方程》知识清单一、直线的参数方程1、直线参数方程的标准形式若直线过点\(M(x_0,y_0)\),倾斜角为\(\alpha\),则直线的参数方程为\(\begin{cases}x = x_0 + t\cos\alpha \\ y = y_0 +t\sin\alpha\end{cases}\)(\(t\)为参数)。
参数\(t\)的几何意义:\(t\)表示直线上动点\(M(x,y)\)到定点\(M_0(x_0,y_0)\)的有向线段\(\overrightarrow{M_0M}\)的数量。
当点\(M\)在点\(M_0\)上方时,\(t\gt 0\);当点\(M\)在点\(M_0\)下方时,\(t\lt 0\);当点\(M\)与点\(M_0\)重合时,\(t = 0\)。
2、直线参数方程的一般形式对于直线的一般方程\(Ax + By + C = 0\),可以通过引入参数\(t\),将其转化为参数方程\(\begin{cases}x = x_0 + at \\ y =y_0 + bt\end{cases}\)(\(t\)为参数),其中\(a\)、\(b\)为实数,且满足\(a^2 + b^2 = 1\)。
二、圆锥曲线的参数方程1、椭圆的参数方程中心在原点,焦点在\(x\)轴上的椭圆\(\frac{x^2}{a^2} +\frac{y^2}{b^2} = 1\)(\(a\gt b\gt 0\))的参数方程为\(\begin{cases}x = a\cos\theta \\ y = b\sin\theta\end{cases}\)(\(\theta\)为参数)。
参数\(\theta\)的几何意义:\(\theta\)表示椭圆上动点\(M(x,y)\)对应的离心角,即\(M\)与原点连线与\(x\)轴正半轴的夹角。
中心在原点,焦点在\(y\)轴上的椭圆\(\frac{y^2}{a^2} +\frac{x^2}{b^2} = 1\)(\(a\gt b\gt 0\))的参数方程为\(\begin{cases}x = b\cos\theta \\ y = a\sin\theta\end{cases}\)(\(\theta\)为参数)。
第五讲 直线与圆锥曲线1.直线与圆锥曲线的位置关系直线与圆锥曲线的位置关系,从几何角度来看有三种:相离时,直线与圆锥曲线______公共点;相切时,直线与圆锥曲线有______公共点;相交时,直线与椭圆有______公共点,直线与双曲线、抛物线有一个或两个公共点.一般通过它们的方程来研究:设直线l :Ax +By +C =0与二次曲线C :f (x ,y )=0,由⎩⎪⎨⎪⎧Ax +By +C =0,f (x ,y )=0消元,如果消去y 后得:ax 2+bx +c =0, (1)当a ≠0时,①Δ>0,则方程有两个不同的解,直线与圆锥曲线有两个公共点,直线与圆锥曲线________; ②Δ=0,则方程有两个相同的解,直线与圆锥曲线有一个公共点,直线与圆锥曲线________; ③Δ<0,则方程无解,直线与圆锥曲线没有公共点,直线与圆锥曲线________. (2)注意消元后非二次的情况,即当a =0时,对应圆锥曲线只可能是双曲线或抛物线.当圆锥曲线是双曲线时,直线l 与双曲线的渐近线的位置关系是________;当圆锥曲线是抛物线时,直线l 与抛物线的对称轴的位置关系是________. (3)直线方程涉及斜率k 要考虑其不存在的情形. 2.直线与圆锥曲线相交的弦长问题(1)直线l :y =kx +m 与二次曲线C :f (x ,y )=0交于A ,B 两点,设A (x 1,y 1),B (x 2,y 2),由⎩⎪⎨⎪⎧y =kx +m ,f (x ,y )=0得ax 2+bx +c =0(a ≠0),则x 1+x 2=________,x 1x 2=________,||AB = . (2)若弦过焦点,可得焦点弦,可用焦半径公式来表示弦长,以简化运算. 3.直线与圆锥曲线相交弦的中点问题中点弦问题常用“根与系数的关系”或“点差法”求解.(1)利用根与系数的关系:将直线方程代入圆锥曲线的方程,消元后得到一个一元二次方程,利用根与系数的关系和中点坐标公式建立等式求解.(2)点差法:若直线l 与圆锥曲线C 有两个交点A ,B ,一般地,首先设出A (x 1,y 1),B (x 2,y 2),代入曲线方程,通过作差,构造出x 1+x 2,y 1+y 2,x 1-x 2,y 1-y 2,从而建立中点坐标和斜率的关系. 无论哪种方法都不能忽视对判别式的考虑. 【答案】1.无 一个 两个 (1)①相交 ②相切 ③相离 (2)平行或重合 平行或重合 2.(1)-b a ca1+k 2||x 1-x 2=1+k2b 2-4ac||a【基础自测】1 双曲线x 24-y 2=1与直线y =kx +1有惟一公共点,则k 的值为( )A .22B .-22C .±22D .±22或±12解得k =±22.综上知D 正确,故选D.2 已知直线x =1过椭圆x 24+y 2b 2=1的焦点,则直线y =kx +2与椭圆至多有一个交点的充要条件是( )A .k ∈⎣⎡⎦⎤-12,12 B .k ∈⎝⎛⎦⎤-∞,-12∪⎣⎡⎭⎫12,+∞ C .k ∈⎣⎡⎦⎤-22,22 D .k ∈⎝⎛⎦⎤-∞,-22∪⎣⎡⎭⎫22,+∞解:易知椭圆中c 2=a 2-b 2=4-b 2=1,即b 2=3,∴椭圆方程是x 24+y 23=1.联立y =kx +2可得(3+4k 2)x 2+16kx +4=0.由Δ≤0可解得k ∈⎣⎡⎦⎤-12,12.故选A. 3 已知两点M ⎝⎛⎭⎫1,54,N ⎝⎛⎭⎫-4,-54,给出下列曲线方程:①4x +2y -1=0;②x 2+y 2=3;③x22+y 2=1;④x 22-y 2=1.在曲线上存在点P 满足|MP |=|PN |的所有曲线方程是( ) A .①③ B .②④ C .①②③ D .②③④解:∵点P 满足|MP |=|PN |,∴点P 在线段MN 的垂直平分线l 上,l 的方程为y =-2x -3. 解法一:曲线①是直线,且与直线l 平行,故点P 不在曲线①上; 曲线②是圆心(0,0),半径为3的圆,圆心到直线l 的距离为d =35<3,即直线l 与圆相交,故存在点P在曲线②上;将直线l 的方程代入曲线③的方程得9x 2+24x +16=0,Δ=0,即存在点P 在曲线③上; 将直线l 的方程代入曲线④的方程得7x 2+24x +20=0,Δ>0,即存在点P 在曲线④上. 综上所述:曲线②③④满足题意.解法二:易知曲线①是直线;曲线②是圆心为(0,0),半径为3的圆;曲线③是椭圆;曲线④是双曲线.作出它们的图形,用数形结合来验证.故选D.4 过点(2,4)作直线与抛物线y 2=8x 有且只有一个公共点,则这样的直线有________条.解:注意到点(2,4)是抛物线上的点,用数形结合知满足题意的直线有两条,其一是过该点的切线;其二是过该点且与对称轴平行的直线.故填2.5 已知直线y =a 交抛物线y =x 2于A ,B 两点.若该抛物线上存在点C ,使得∠ACB 为直角,则a 的取值范围为__________.【典例】类型一 弦的中点问题例一 (1)已知一直线与椭圆4x 2+9y 2=36相交于A ,B 两点,弦AB 的中点坐标为M (1,1),求直线AB 的方程.解法一:设通过点M (1,1)的直线AB 的方程为y =k (x -1)+1,代入椭圆方程,整理得 (9k 2+4)x 2+18k (1-k )x +9(1-k )2-36=0. 设A ,B 的横坐标分别为x 1,x 2, 则x 1+x 22=-9k (1-k )9k 2+4=1,解之得k =-49. 故直线AB 的方程为y =-49(x -1)+1,即4x +9y -13=0. 解法二:设A (x 1,y 1). ∵AB 中点为M (1,1), ∴B 点坐标是(2-x 1,2-y 1).将A ,B 点的坐标代入方程4x 2+9y 2=36,得4x 21+9y 21-36=0,①及4(2-x 1)2+9(2-y 1)2=36,化简为4x 21+9y 21-16x 1-36y 1+16=0.②①-②,得16x 1+36y 1-52=0,化简为4x 1+9y 1-13=0. 同理可推出4(2-x 1)+9(2-y 1)-13=0.∵A (x 1,y 1)与B (2-x 1,2-y 1)都满足方程4x +9y -13=0, ∴4x +9y -13=0即为所求.解法三:设A (x 1,y 1),B (x 2,y 2)是弦的两个端点,代入椭圆方程,得⎩⎪⎨⎪⎧4x 21+9y 21=36, ①4x 22+9y 22=36, ②(2)设F 为抛物线C :y 2=4x 的焦点,过点P (-1,0)的直线l 交抛物线C 于A ,B 两点,点Q 为线段AB 的中点.若||FQ =2,则直线l 的斜率等于________.解:设A (x 1,y 1),B (x 2,y 2),直线l 的方程为y =k (x +1),联立⎩⎪⎨⎪⎧y =k (x +1),y 2=4x ,得k 2x 2+(2k 2-4)x +k 2=0,x 1+x 2=-2k 2-4k 2=-2+4k 2,y 1+y 2=k (x 1+x 2)+2k =4k ,设Q (x 0,y 0),则x 0=x 1+x 22=-1+2k 2,y 0=y 1+y 22=2k,即Q ⎝⎛⎭⎫-1+2k 2,2k ,又F (1,0),∴||FQ =⎝⎛⎭⎫-1+2k 2-12+⎝⎛⎭⎫2k 2=2,解得k =±1.故填±1. 【评析】(1)本题的三种解法很经典,各有特色,解法一思路直接,但计算量大,解法三计算简捷,所列式子“整齐、美观,对称性强”,但消去x 1,x 2,y 1,y 2时,要求灵活性高,整体意识强.(2)本题解答看似正确,但细想会发现:缺少对“直线与抛物线相交于A ,B 两点”这一几何条件的检验(这是易出错的地方,切记),即⎩⎪⎨⎪⎧k ≠0,Δ=(2k 2-4)2-4k 4>0,解得k ∈(-1,0)∪(0,1),而当k =±1时,直线l 恰好与抛物线相切,似与题意不符.本节课时作业第8题对本题已知条件数据作了修改,使满足题意的直线l 是存在的,进而可求得直线l 的斜率.变式 已知双曲线2x 2-y 2=2.(1)求以M (2,1)为中点的双曲线的弦所在的直线的方程;(2)过点N (1,1)能否作直线l ,使直线l 与所给双曲线交于P 1,P 2两点,且点N 是弦P 1P 2的中点?若存在,求出直线l 的方程;若不存在,请说明理由.解:(1)设以M (2,1)为中点的弦两端点为A (x 1,y 1),B (x 2,y 2),则x 1+x 2=4,y 1+y 2=2.又∵A ,B 两点在双曲线上,∴2x 21-y 21=2,2x 22-y 22=2,两式相减得2(x 1+x 2)(x 1-x 2)=(y 1+y 2)(y 1-y 2). 由双曲线的对称性知x 1≠x 2, ∴k AB =y 1-y 2x 1-x 2=2(x 1+x 2)y 1+y 2=4. ∴所求直线的方程为y -1=4(x -2),即4x -y -7=0.类型二 定点问题例二 已知动圆过定点A (4,0),且在y 轴上截得弦MN 的长为8. (1)求动圆圆心的轨迹C 的方程;(2)已知点B (-1,0),设不垂直于x 轴的直线l 与轨迹C 交于不同的两点P ,Q ,若x 轴是∠PBQ 的角平分线,证明直线l 过定点.解:(1)如图,设动圆圆心O 1(x ,y ),由题意,||O 1A =||O 1M ,当O 1不在y 轴上时,过O 1作O 1H ⊥MN 交MN 于点H ,则H 是MN 的中点,||MH =12||MN =4,∴||O 1M =x 2+42.又||O 1A =(x -4)2+y 2,∴(x -4)2+y 2=x 2+42,化简得y 2=8x (x ≠0);当O 1在y 轴上时,O 1与O 重合,点O 1的坐标(0,0)也满足方程y 2=8x ,∴动圆圆心的轨迹C 的方程为y 2=8x .(2)证明:如图,设直线l 的方程为y =kx +b (k ≠0),P (x 1,y 1),Q (x 2,y 2),将y =kx +b 代入y 2=8x 中,得k 2x 2+(2kb -8)x +b 2=0,其中Δ=(2kb -8)2-4k 2b 2=64-32kb >0,得kb <2.由根与系数的关系知x 1+x 2=8-2kbk 2,① x 1x 2=b 2k2,②∵x 轴是∠PBQ 的角平分线,∴y 1x 1+1=-y 2x 2+1,即y 1(x 2+1)+y 2(x 1+1)=0,(kx 1+b )(x 2+1)+(kx 2+b )(x 1+1)=0,2kx 1x 2+(b +k )(x 1+x 2)+2b =0,③ 将①②代入③得2kb 2+(k +b )(8-2bk )+2k 2b =0, 化简得k =-b ,此时Δ>0,∴直线l 的方程为y =k (x -1),且过定点(1,0).【评析】第(1)问设动圆圆心坐标,利用圆的半径、弦的一半和弦心距组成的直角三角形求解,第(2)问设直线方程y =kx +b 和轨迹方程联立,再设两个交点坐标,由题意知直线BP 和BQ 的斜率互为相反数,导出k 和b 的关系,最后应用方程特点证明直线过定点.解析几何解答题的一般命题模式是先根据已知的关系确定一个曲线的方程,然后再结合直线方程与所求曲线方程把问题引向深入,其中的热点问题有:参数范围、最值、直线或曲线过定点、某些量为定值等.在直线与圆锥曲线交于不同两点的相关问题中,一般是设出点的坐标,然后确定点的坐标之间的关系(特别是直线是动直线时这个方法是必需的),再进行整体处理(通常是利用韦达定理处理这类问题).变式 若直线l :y =kx +m 与椭圆C :x 24+y 23=1相交于A ,B 两点(A ,B 不是左右顶点),且以AB 为直径的圆过椭圆C 的右顶点,求证:直线l 过定点,并求出该定点的坐标.式得(4m 2-12)(k 2+1)4k 2+3-8km (km -2)4k 2+3+4+m 2=0,整理得7m 2+16mk +4k 24k 2+3=0,即(7m +2k )(m +2k )4k 2+3=0.解得m =-27k 或-2k .当m =-27k 时,y =kx -27k =k ⎝⎛⎭⎫x -27,过定点⎝⎛⎭⎫27,0; 当m =-2k 时,y =kx -2k ,过定点(2,0),即过椭圆右顶点,与题意矛盾. 所以直线l 过定点⎝⎛⎭⎫27,0. 类型三 定值问题例三 已知直线l 与椭圆C :x 23+y 22=1交于P (x 1,y 1),Q (x 2,y 2)两点,且△OPQ 的面积S =62,其中O 为坐标原点.证明:x 21+x 22和y 21+y 22均为定值.证明:当直线l 垂直于x 轴时,设直线l 的方程为x =a (|a |<3),代入椭圆C 的方程得a 23+y 22=1,即y 1,2=±2⎝⎛⎭⎫1-a23,∴|PQ |=|y 1-y 2|=22⎝⎛⎭⎫1-a 23. ∵△OPQ 的面积S =62, ∴12|a |·22⎝⎛⎭⎫1-a 23=62,解之得a 2=32. ∴x 21+x 22=2a 2=3,y 21+y 22=2.由韦达定理得x 1+x 2=-6km3k 2+2, x 1x 2=3(m 2-2)3k 2+2.∴|PQ |=1+k 2|x 1-x 2|=(1+k 2)[(x 1+x 2)2-4x 1x 2]=(1+k 2)⎣⎢⎡⎦⎥⎤36k 2m 2(3k 2+2)2-12(m 2-2)3k 2+2=1+k 2·26·3k 2+2-m 23k 2+2.∵原点O 到直线l 的距离为d =|m |1+k 2,△OPQ 的面积S =62,∴12·1+k 2·26·3k 2+2-m 23k 2+2·|m |1+k 2=62. 令3k 2+2=t ,化简得t =2m 2,即3k 2+2=2m 2.x 21+x 22=(x 1+x 2)2-2x 1x 2=⎝⎛⎭⎫-6km 3k 2+22-6(m 2-2)3k 2+2 =3.y 21+y 22=(kx 1+m )2+(kx 2+m )2 =k 2(x 21+x 22)+2km (x 1+x 2)+2m 2=3k 2-12k 2m 23k 2+2+2m 2=2.综上知,x 21+x 22=3,y 21+y 22=2,即均为定值.【评析】(1)繁难的代数运算是定值问题的特点,设而不求方法、整体思想和消元的思想的运用可有效地简化运算;(2)对题目的两个几何特征的代数形式要有合理的预判,以便设计解题思路,优化解题过程.变式 已知椭圆的中心在坐标原点O ,焦点在x 轴上,斜率为1且过椭圆的右焦点F 的直线交椭圆于A ,B 两点,OA →+OB →与a =(3,-1)共线. (1)求椭圆的离心率;(2)设M 为椭圆上任意一点,且OM →=λOA →+μOB →(λ,μ∈R ),证明:λ2+μ2 为定值.解:(1)设椭圆方程为x 2a 2+y 2b 2=1(a >b >0),F (c ,0),则直线AB 的方程为y =x -c ,代入椭圆方程得(a 2+b 2)x 2-2a 2cx +a 2(c 2-b 2)=0. 设A (x 1,y 1),B (x 2,y 2),(2)由(1)知,a 2=3b 2,故椭圆方程可化为x 2+3y 2=3b 2.设M (x ,y ),则OM →=(x ,y ),由已知得(x ,y )=λ(x 1,y 1)+μ(x 2,y 2),即⎩⎪⎨⎪⎧x =λx 1+μx 2,y =λy 1+μy 2.∵M (x ,y )在椭圆上,∴(λx 1+μx 2)2+3(λy 1+μy 2)2=3b 2,即λ2(x 21+3y 21)+μ2(x 22+3y 22)+2λμ(x 1x 2+3y 1y 2)=3b 2,①由(1)知,x 1+x 2=32c ,x 1x 2=38c 2.∴x 1x 2+3y 1y 2=x 1x 2+3(x 1-c )(x 2-c ) =4x 1x 2-3c (x 1+x 2)+3c 2=0.∵A ,B 在椭圆上,∴x 21+3y 21=3b 2,x 22+3y 22=3b 2,代入①式得λ2+μ2=1,故λ2+μ2为定值1.类型四 与弦有关的范围与最值问题例四 已知曲线C :y 2=-4x (x >-3),直线l 过点M (1,0)交曲线C 于A ,B 两点,点P 是AB 的中点,EP 是AB 的中垂线,E 点的坐标为(x 0,0),试求x 0的取值范围.解:由题意可知,直线l 与x 轴不垂直,可设l :y =k (x -1),代入曲线C 的方程得k 2x 2+2(2-k 2)x +k 2=0(-3<x ≤0),①由方程①得x A +x B =2(k 2-2)k 2,x P =12(x A +x B )=k 2-2k 2,y P =k (x P -1)=-2k, ∴直线EP 的方程为y +2k =-1k ⎝⎛⎭⎫x -k 2-2k 2.令y =0,得x 0=-1-2k 2.∵34<k 2<1, ∴-113<x 0<-3,即x 0的取值范围是⎝⎛⎭⎫-113,-3. 【评析】对于参数的取值范围问题,要能从几何特征的角度去分析参数变化的原因,谁是自变量,定义域是什么,这实际是函数问题,要学会用函数的观点分析这类问题.变式 已知椭圆C :x 2a 2+y 2b 2=1(a >b >0)的离心率为63,短轴一个端点到右焦点的距离为 3.(1)求椭圆C 的方程;(2)设直线l 与椭圆C 交于A ,B 两点,坐标原点O 到直线l 的距离为32,求△AOB 面积的最大值. 解:(1)设椭圆的半焦距为c ,依题意⎩⎪⎨⎪⎧c a =63,a =3,得c =2,b 2=a 2-c 2=1, 所求椭圆方程为x 23+y 2=1.(2)设A (x 1,y 1),B (x 2,y 2). 当AB 与x 轴垂直时,|AB |= 3. 当AB 与x 轴不垂直时, 设直线AB 的方程为y =kx +m . 由已知|m |1+k 2=32,得m 2=34(k 2+1).=(1+k 2)⎣⎢⎡⎦⎥⎤36k 2m 2(3k 2+1)2-12(m 2-1)3k 2+1=12(1+k 2)(3k 2+1-m 2)(3k 2+1)2=3(1+k 2)(9k 2+1)(3k 2+1)2=3+12k 29k 4+6k 2+1=3+129k 2+1k2+6≤3+122×3+6=4(k ≠0).当且仅当9k 2=1k 2,即k =±33时等号成立.当k =0时,|AB |= 3. 综上所述:|AB |max =2.∴当|AB |最大时,△AOB 的面积取得最大值 S =12×|AB |max ×32=32. 类型五 对称问题例五 已知抛物线y =ax 2-1(a ≠0)上总有关于直线x +y =0对称的相异两点,求a 的取值范围.解:设A (x 1,y 1)和B (x 2,y 2)为抛物线y =ax 2-1上的关于直线x +y =0对称的两相异点,则y 1=ax 21-1,y 2=ax 22-1.联立直线AB 与抛物线的方程并消去y ,得 ax 2-x +1a-1=0.依题意,上面的方程有两个相异实根, ∴Δ=1-4a ⎝⎛⎭⎫1a -1>0,解得a >34. ∴a 的取值范围是⎝⎛⎭⎫34,+∞. 【评析】应用判别式法解决此类对称问题,要抓住三点:(1)中点在对称轴上;(2)两个对称点的连线与对称轴垂直;(3)两点连线与曲线有两个交点,故Δ>0.一般通过“设而不求”、“点差法”得到对称点连线的方程,再与曲线方程联立,由判别式不等式求出参数范围.变式 已知椭圆C :x 24+y 23=1,试确定m 的取值范围,使得椭圆上有两个不同的点关于直线y =4x +m 对称.解:设P (x 1,y 1),Q (x 2,y 2)是椭圆C 上符合条件的两点,M (x ,y )是PQ 的中点,则有⎩⎪⎨⎪⎧3x 21+4y 21=12,3x 22+4y 22=12, 两式相减,得3(x 1-x 2)(x 1+x 2)+4(y 1-y 2)(y 1+y 2)=0. ∵x 1≠x 2,x 1+x 2=2x ,y 1+y 2=2y , ∴3x4y =-y 1-y 2x 1-x 2=-k PQ . ∵k PQ =-14,∴y =3x .【名师点睛】1.在给定的圆锥曲线f (x ,y )=0中,求中点为(m ,n )的弦AB 所在直线方程或动弦中点M (x ,y )轨迹时,一般可设A (x 1,y 1),B (x 2,y 2),利用A ,B 两点在曲线上,得f (x 1,y 1)=0,f (x 2,y 2)=0及x 1+x 2=2m (或2x ),y 1+y 2=2n (或2y ),从而求出斜率k AB =y 1-y 2x 1-x 2,最后由点斜式写出直线AB 的方程,或者得到动弦所在直线斜率与中点坐标x ,y 之间的关系,整体消去x 1,x 2,y 1,y 2,得到点M (x ,y )的轨迹方程.2.对满足一定条件的直线或者曲线过定点问题,可先设出该直线或曲线上两点的坐标,利用坐标在直线或曲线上以及切线、点共线或共圆、对称等条件,建立点的坐标满足的方程或方程组.为简化运算应多考虑曲线的几何性质,求出相应的含参数的直线或曲线,再利用直线或曲线过定点的知识加以解决. 以“求直线l :y =kx +2k +1(k 为参数)是否过定点?”为例,有以下常用方法:①待定系数法:假设直线l 过点(c 1,c 2),则y -c 2=k (x -c 1),即y =kx -c 1k +c 2,通过与已知直线方程比较得c 1=-2,c 2=1.所以直线l 过定点(-2,1).题中“k”不仅可以是一个参数,还可以是一个由参数组成的表达式.②赋值法:令k=0,得l1:y=1;令k=1,得l2:y=x+3,求出l1与l2的交点(-2,1),将交点坐标代入直线系得1=-2k+2k+1恒成立,所以直线l过定点(-2,1).赋值法由两步构成,第一步:通过给参数赋值,求出可能的定点坐标;第二步:验证其是否恒满足直线方程.③参数集项法:对直线l的方程中的参数集项得y=k(x+2)+1,令k的系数为0,得x=-2,y=1,k的取值是任意的,但l的方程对点(-2,1)恒成立,所以直线l过定点(-2,1).若方程中含有双参数,应考虑两个参数之间的关系.3.给出曲线上的点到直线的最短(长)距离或求动点到直线的最短(长)距离时,可归纳为求函数的最值问题,也可借助于图形的性质(如三角形的公理、对称性等)求解.4.圆锥曲线上的点关于某一直线对称的问题,通常利用圆锥曲线上的两点所在直线与已知直线l(或者是直线系)垂直,圆锥曲线上两点连成线段的中点一定在对称轴直线l上,再利用判别式或中点与曲线的位置关系求解.5.要重视对数学思想、方法进行归纳提炼,以达到优化解题思路、简化解题过程的目的.(1)方程思想解析几何题不少以方程形式给定直线和圆锥曲线,因此把直线与圆锥曲线相交的弦长问题利用韦达定理进行整体处理,就能简化运算.(2)函数思想对于圆锥曲线上的一些动点,在变化过程中会引入一些相互联系、相互制约的量,从而使一些线段的长度及a,b,c,e,p之间构成函数关系,函数思想在处理这类问题时就很有效.(3)对称思想由于圆锥曲线和圆都具有对称性,所以可使分散的条件相对集中,减少一些变量和未知量,简化计算,提高解题速度,促成问题的解决.(4)参数思想参数思想是辩证思维在数学中的反映,一旦引入参数,用参数来划分运动变化状态,把圆、椭圆、双曲线上的点用参数形式设为(x0,y0),即可将参数视为常量,以相对静止来控制变化,实现变与不变的转化;另外,对于有些参数,视具体情况可在解题过程中将其消去,达到“设而不求”的效果.(5)转化思想解决圆锥曲线问题时要充分注意直角坐标方程与参数方程的联系及转化,达到优化解题的目的.除上述常用思想方法外,数形结合、分类讨论、整体思想、构造思想也是不可忽视的思想方法,复习时也应给予足够的重视.【针对训练】1.若双曲线x2-y2=1的右支上一点P(a,b)到直线y=x的距离为2,则a+b=()A .-12B .12C .±12D .±1解:由点到直线的距离公式得|a -b |2=2,即|a -b |=2. 又点P (a ,b )在双曲线的右支上,∴P 点在直线y =x 的下方,a -b >0.∴a -b =2. 又a 2-b 2=1,即(a -b )(a +b )=1,∴a +b =12.故选B.2.设斜率为2的直线过抛物线y 2=ax (a ≠0)的焦点F ,且和y 轴交于点A ,若△OF A (O 为坐标原点)的面积为4,则抛物线的方程为( ) A .y 2=±4x B .y 2=±8x C .y 2=4xD .y 2=8x解:焦点F 坐标为⎝⎛⎭⎫a 4,0,设直线的方程为 y =2⎝⎛⎭⎫x -a 4,则A 点纵坐标为-a2,△OF A 的面积为 S =12·⎪⎪⎪⎪a 4·⎪⎪⎪⎪-a 2= a 216=4,解得a =±8.故选B. 3.直线y =2k 与曲线9k 2x 2+y 2=18k 2||x (k ∈R ,且k ≠0)的公共点的个数为( ) A .1B .2C .3D .4解:将y =2k 代入9k 2x 2+y 2=18k 2||x ,得9k 2x 2-18k 2||x +4k 2=0,∵k ∈R ,且k ≠0,∴9||x 2-18||x +4=0,即9(||x -1)2-5=0,解得||x =1±53,x =1±53或-1±53,因此公共点的个数为4.故选D.4.已知椭圆mx 2+ny 2=1与直线x +y -1=0相交于A ,B 两点,过AB 中点M 与坐标原点的直线的斜率为22,则mn =( ) A .22B .322C .1D .25.若直线mx +ny -5=0与圆x 2+y 2=5没有公共点,则过点P (m ,n )的一条直线与椭圆x 27+y 25=1的公共点的个数是( ) A .0B .1C .2D .1或2解:由已知得5m 2+n 2>5,即m 2+n 2<5.又m 27+n 25≤m 25+n 25<1,所以点P 在椭圆内,因此过点P 的一条直线与椭圆有两个公共点.故选C.6.椭圆C :x 24+y 23=1的左、右顶点分别为A 1,A 2,点P 在C 上且直线P A 2斜率的取值范围是-2,-1],那么直线P A 1斜率的取值范围是( ) A.⎣⎡⎦⎤12,34 B.⎣⎡⎦⎤38,34 C.⎣⎡⎦⎤12,1D.⎣⎡⎦⎤34,1解:由题意知点P 在第一象限,设P 点横坐标为x ,则其纵坐标y =32·4-x 2,由P A 2的斜率知-2≤32·4-x 2x -2≤-1,∵2-x >0,2+x >0,∴上式可化为1≤32·2+x 2-x ≤2,即23≤2+x 2-x ≤43.∴P A 1的斜率k =32·4-x 2x +2=32·2-x 2+x ∈⎣⎡⎦⎤38,34.故选B. 7.已知P (4,2)是直线l 被椭圆x 236+y 29=1截得线段的中点,则直线l 的方程为________.解:线段两端点为A (x 1,y 1),B (x 2,y 2),则x 1+x 2=8,y 1+y 2=4. ∵A ,B 在椭圆上,∴⎩⎨⎧x 2136+y 219=1,x 2236+y 229=1,8.设F 为抛物线C :y 2=4x 的焦点,过点P (-1,0)的直线l 交抛物线C 于A ,B 两点,点Q 为线段AB 的中点.若||FQ =23,则直线l 的斜率等于________.解:设A (x 1,y 1),B (x 2,y 2),直线l 的方程为y =k (x +1),联立⎩⎪⎨⎪⎧y =k (x +1),y 2=4x ,得k 2x 2+(2k 2-4)x +k 2=0,由⎩⎪⎨⎪⎧k ≠0,Δ=(2k 2-4)2-4k 4>0,解得k ∈(-1,0)∪(0,1),x 1+x 2=-2k 2-4k 2=-2+4k 2,y 1+y 2=k (x 1+x 2)+2k =4k ,设Q (x 0,y 0),则x 0=x 1+x 22=-1+2k 2,y 0=y 1+y 22=2k,即Q ⎝⎛⎭⎫-1+2k 2,2k ,又F (1,0),∴||FQ =⎝⎛⎭⎫-1+2k 2-12+⎝⎛⎭⎫2k 2=23,解得k =±22.故填±22.9.如图,M 是抛物线y 2=x 上的一点,动弦ME ,MF 分别交x 轴于A ,B 两点,且MA =MB .若M 为定点,证明:直线EF 的斜率为定值.证明:设M (y 20,y 0),直线ME 的斜率为k (k >0),则直线MF 的斜率为-k , ∴直线ME 的方程为y -y 0=k (x -y 20).联立⎩⎪⎨⎪⎧y -y 0=k (x -y 20),y 2=x ,消去x ,得ky 2-y +y 0(1-ky 0)=0.解得y E =1-ky 0k ,∴x E =(1-ky 0)2k 2.同理,y F =1+ky 0-k,∴x F =(1+ky 0)2k 2.∴k EF =y E -y F x E -x F =1-ky 0k -1+ky 0-k (1-ky 0)2k 2-(1+ky 0)2k 2=2k -4ky 0k 2=-12y 0(定值).∴直线EF 的斜率为定值. 10.设动直线l :y =kx +m 与椭圆E :x 24+y 23=1有且只有一个公共点P ,且与直线x =4相交于点Q .试探究:在坐标平面内是否存在定点M ,使得以PQ 为直径的圆恒过点M ?若存在,求出M 点的坐标;若不存在,说明理由.解:联立方程⎩⎪⎨⎪⎧y =kx +m ,x 24+y 23=1,即x 1=-4km,代入直线l 的方程得y 1=-4k 2m +m =3m.由图形的对称性,假设存在点M (t ,0),则MP →·MQ →=0,根据题意得Q (4,4k +m ),∴MP →=⎝⎛⎭⎫-4k m -t ,3m ,MQ →=(4-t ,4k +m ).∴MP →·MQ →= -4(4-t )k m -t (4-t )+12k m +3= (4t -4)k m -t (4-t )+3=4k (t -1)m +(t -1)(t -3)=0,当t =1,等式恒成立.∴坐标平面内存在定点M (1,0),使得以PQ 为直径的圆恒过点M .11.在平面直角坐标系xOy 中,已知点A (0,-1),B 点在直线y =-3上,M 点满足MB ∥OA ,MA →·AB →=MB →·BA →,M 点的轨迹为曲线C . (1)求C 的方程;(2)P 为C 上的动点,直线l 为C 在P 点处的切线,求O 点到直线l 的距离的最小值. 解:(1)设M (x ,y ),∵MB ∥OA ,∴B (x ,-3). 又∵A (0,-1),∴MA →=(-x ,-1-y ), MB →=(0,-3-y ),AB →=(x ,-2). ∵MA →·AB →=MB →·BA →, ∴(MA →+MB →)·AB →=0, 即-x 2+(-4-2y )·(-2)=0, 即y =14x 2-2.∴曲线C 的方程为y =14x 2-2.∴O 点到直线l 的距离d =|2y 0-x 20|x 20+4.∵y 0=14x 20-2,∴d =12x 2+4x 20+4=12(x 20+4+4x 20+4)≥2(当且仅当x 0=0时等号成立). ∴O 点到直线l 的距离的最小值为2.12 已知椭圆C :x 2a 2+y 2b 2=1(a >b >0)经过点A (2,1),离心率为22,过点B (3,0)的直线l 与椭圆C 交于不同的两点M ,N . (1)求椭圆C 的方程; (2)求BM →·BN →的取值范围;(3)设直线AM ,AN 的斜率分别为k AM ,k AN ,求证:k AM +k AN 为定值.解:(1)由题意得⎩⎨⎧4a 2+1b 2=1,a 2=b 2+c 2,c a =22,解之得a =6,b = 3. ∴椭圆C 的方程为x 26+y 23=1.(2)由题意显然直线l 的斜率存在,可设直线l 的方程为y =k (x -3). 由方程组⎩⎪⎨⎪⎧y =k (x -3),x 26+y 23=1消去y 整理得(1+2k 2)x 2-12k 2x +6(3k 2-1)=0. ∵直线l 与椭圆C 交于不同的两点M ,N , ∴Δ=144k 4-24(1+2k 2)(3k 2-1)=24(1-k 2)>0, 解之得-1<k <1. 设M (x 1,y 1),N (x 2,y 2),则x 1+x 2=12k 21+2k 2,x 1x 2=6(3k 2-1)1+2k 2,∴BM →·BN →的取值范围是(2,3]. (3)证明:由(2)知k AM =y 1-1x 1-2, k AN =y 2-1x 2-2,则 k AM +k AN =y 1-1x 1-2+y 2-1x 2-2=(kx 1-3k -1)(x 2-2)+(kx 2-3k -1)(x 1-2)(x 1-2)(x 2-2)=2kx 1x 2-(5k +1)(x 1+x 2)+4(3k +1)x 1x 2-2(x 1+x 2)+4=)21(424)13(6)21()13(412)15()13(62222222k k k k k k k k k ++--+∙++∙+--∙ =-4k 2+42k 2-2=-2.∴k AM +k AN 为定值-2.。
1、倾斜角与斜率:k = tancr =——:y = k l x + h l .l 2 : y = k 2x + h 2^:⑴厶 //12 <=>b、H b 2-、直线与方程2、直线方程:⑴点斜式:y-y 0 = k(x-x ())⑵斜截式:y = kx+b⑶两点式:上二A =盘二21 ⑷截距式:- + ^ = 1⑸一般式:Ar+By+C = O x-x { x 2 -x { a b3、对于直线:⑵A 和人相交O k 、*; (3)/|和人重合「; (4)/,丄Ao/以=—1.・ " ・ 也=b 24、对于直线: /. : Ax+ B. y + C. = 0,[A,= 4B 、1111W :(1)/, Hl, <=>^1 2 1: (2)/,和人相交0人民工%妨l 2\A 2x+B 2y + C 2 =012 1 ^c 2 B 2C Jy — A,B. =A 2B.⑶厶和 /7 重合 o < ; (4)/j JL /7 u> A l + B] = 0•pc? = B 2C ) _ _ _5、 两点间距离公式:|片巴| = J (兀2 —尤1)2 +S —『1)26、 点到直线距离公式:〃」警+By°+q7、 两平行线间的距离公式:一|c, - cd/): Ar+By 十G=0与厶:Ax+By+C? =0平行,贝Ud =鼻~・ " ~V A 2+ B 2二、圆与方程1、圆的方程:⑴标准方程:(x-a)2+(y-b)2 =r 2其中圆心为⑺"),半径为厂.⑵一般方程:x 2+ y 2+Dx+Ey+F = 0. 其屮圆心为半径为r = -Vo 2+E 2-4F.2 2 22、直线与圆的位置关系直线Ax 4- By+C = 0与圆(兀一a)2 + (y — b)2 = r 2的位置关系有三种:专题直线与圆、 圆锥曲线d > r <=> 相禺 <=> A < 0;= r <=> 相切 <=> A = 0;d < r <=> 相交u> A > 0.弦长公式:1 = 23-cP = Jl + fj3_X2)2_4x“3^两圆位置关系:d = O}O2\⑴外离:d>R + r;⑵外切:d = R + r;⑶相交:R-r<d<R + r;⑷内切:d = R-r •⑸内含:d < R-r.3、空间中两点间距离公式:\P}P2\ = ^x2-xy ^-(y2-yy+(z2-Zl)2 三、圆锥曲线与方程.椭圆关于抛物线焦点弦的儿个结论:设为过抛物线y2 = > 0)焦点的弦,、3(兀2,歹2),直线AB的倾斜角为&,则八、P °(1) X,X2 = —,y,y2 =-/r;⑶以4B为直径的圆与准线相切。
高二上数学选修一第二章《平面解析几何》知识点梳理2.8直线与圆锥曲线的位置关系课程目标A.清楚直线与圆锥曲线的三种位置关系.B.会用坐标法求解直线与圆锥曲线的有关问题.C.加强数形结合思想的训练与应用.重难点重点:直线与圆锥曲线的三种位置关系难点:会用坐标法求解直线与圆锥曲线的有关问题我们知道,通过直线的方程、圆的方程可以探讨直线与直线、直线与圆、圆与圆的位置关系的问题,而且这些问题都可以转化为方程组的解的问题。
类似地,因为平面直角坐标系中的点在椭圆、双曲线、抛物线上的充要条件是点的坐标满足对应的方程,所以我们同样可以通过方程组的解的问题来探讨直线与这些曲线的位置关系的问题。
一、典例解析例1.判断直线y=2x−2与椭圆x25+y24=1,是否有公共点,如有,求出公共点的坐标,如公共点有两个,求出以这两个公共点为端点的线段长。
解:联立直线与椭圆的方程,可得方程组y=2x−2x25+y24=1解方程组可得x=0y=−2或x=53y=43因此直线与椭圆有两个公共点,且公共点的坐标为(0,-2)(53,43)从而可知所求线段长为(53−0)2−[43−(−2)]2=553你认为应该怎样来判断直线与椭圆是否有公共点?如果有两个公共点,应该怎样求得对应线段的长?1.直线与圆锥曲线的位置关系(1)从几何角度看,可分为三类:无公共点,有且只有一个公共点及有两个相异的公共点.(2)从代数角度看,可通过将表示直线的方程代入二次曲线的方程,消元后所得方程解的情况来判断.设直线l的方程为Ax+By+C=0,圆锥曲线方程为f(x,y)=0.如消去y后得ax2+bx+c=0.由Ax+By+C=0,f(x,y)=0消元,①若a=0,当圆锥曲线是双曲线时,直线l 与双曲线的渐近线平行或重合;当圆锥曲线是抛物线时,直线l 与抛物线的对称轴平行(或重合).②若a ≠0,设Δ=b 2-4ac.Δ>0时,直线和圆锥曲线相交于不同两点;Δ=0时,直线和圆锥曲线相切于一点;Δ<0时,直线和圆锥曲线没有公共点.2.直线与圆锥曲线相交时的弦长问题(1)斜率为k 的直线与圆锥曲线交于两点P 1(x 1,y 1),P 2(x 2,y 2),则所得弦长|P 1P 2|=(1+k2)[(x1+x2)2-4x1x2]或|P 1P 2|=1+1k2[(y1+y2)2-4y1y2](k ≠0).(2)当斜率k 不存在时,可求出交点坐标,利用两点间距离公式直接运算.1.判断(1)已知椭圆x2a2+y2b2=1(a>b>0)与点P (b ,0),过点P 可作出该椭圆的一条切线.()(2)直线y=k (x-a )与椭圆x2a2+y2b2=1的位置关系是相交.()(3)若直线与抛物线只有一个交点,则该直线与抛物线相切.()答案:(1)×(2)√(3)×2.顶点在原点,焦点在x 轴上且截直线2x-y+1=0所得弦长为15的抛物线方程为.解析:设所求抛物线的方程为y 2=ax (a ≠0).①直线方程变形为y=2x+1,②设抛物线截直线所得弦为AB.将②代入①,整理得4x 2+(4-a )x+1=0,则|AB|=(1+22)a -442-4×14=15.解得a=12或a=-4.所以所求抛物线的方程为y 2=12x 或y 2=-4x.答案:y 2=12x 或y 2=-4x例2.已知直线l :kx-y+2-k=0,双曲线C :x 2-4y 2=4,当k 为何值时,(1)l 与C 无公共点;(2)l 与C 有唯一公共点;(3)l与C有两个不同的公共点.分析直线与圆锥曲线的公共点的个数,就等于直线方程与圆锥曲线方程所组成的方程组的解的个数.因此本题可转化为方程组解的个数的判定,从而确定参数的取值.解:(1)将直线方程与双曲线方程联立,消去y得(1-4k2)x2-8k(2-k)x-4(k2-4k+5)=0.①要使l与C无公共点,即方程①无实数解,则有1-4k2≠0,且Δ<0,即64k2(2-k)2+16(1-4k2)(k2-4k+5)<0.解得k>-2+193或k<-2-193,故当k>-2+193或k<-2-193时,l与C无公共点.(2)当1-4k2=0,即k=±12时,方程①只有一解;当1-4k2≠0,且Δ=0,即k=-2±193时,方程①只有一解,故当k=±12或k=-2±193时,l与C有唯一公共点.(3)当1-4k2≠0,且Δ>0时,方程①有两个不同的解,即l与C有两个不同的公共点,于是可得,当-2-193<k<-2+193,且k≠±12时,l与C有两个不同的公共点.判断直线l与圆锥曲线C的位置关系时,可将直线l的方程代入曲线C的方程,消去y(或x)得一个关于变量x(或y)的一元二次方程ax2+bx+c=0(或ay2+by+c=0).(1)当a≠0时,若Δ>0,则直线l与曲线C相交;若Δ=0,则直线l与曲线C相切;若Δ<0,则直线l与曲线C相离.(2)当a=0时,即得到一个一次方程,则直线l与曲线C相交,且只有一个交点.此时,若C为双曲线,则l平行于双曲线的渐近线;若C为抛物线,则l平行于抛物线的对称轴.(3)当直线与双曲线或抛物线只有一个公共点时,直线与双曲线或抛物线可能相切,也可能相交.跟踪训练1已知直线l:y=2x+m,椭圆C:x24+y22=1.试问当m取何值时,直线l与椭圆C:(1)有两个不同的公共点;(2)有且只有一个公共点;(3)没有公共点?解:直线l的方程与椭圆C的方程联立,得方程组y=2x+m,①x24+y22=1,②将①代入②,整理得9x2+8mx+2m2-4=0,③这个关于x的一元二次方程的判别式Δ=(8m)2-4×9×(2m2-4)=-8m2+144.(1)由Δ>0,得-32<m<32.于是,当-32<m<32时,方程③有两个不同的实数根,可知原方程组有两组不同的实数解.这时直线l 与椭圆C 有两个不同的公共点.(2)由Δ=0,得m=±32.也就是当m=±32时,方程③有两个相同的实数根,可知原方程组有两组相同的实数解.这时直线l 与椭圆C 有两个互相重合的公共点,即直线l 与椭圆C 有且只有一个公共点.(3)由Δ<0,得m<-32或m>32.从而当m<-32或m>32时,方程③没有实数根,可知原方程组没有实数解.这时直线l 与椭圆C 没有公共点.例3已知椭圆的中心在坐标原点O ,焦点在坐标轴上,直线y=x+1与椭圆交于P ,Q 两点,且OP ⊥OQ ,|PQ|=102,求椭圆的方程.分析设出椭圆方程,将椭圆方程和直线方程联立消去y ,转化为关于x 的一元二次方程,利用根与系数的关系,根据向量数量积和弦长公式建立方程组求解.解:设椭圆方程为mx 2+ny 2=1(m>0,n>0,m ≠n ),P (x 1,y 1),Q (x 2,y 2).由y=x+1,mx2+ny2=1,得(m+n )x 2+2nx+n-1=0,Δ=4n 2-4(m+n )(n-1)>0,即m+n-mn>0.由OP ⊥OQ ,得x 1x 2+y 1y 2=0,即2x 1x 2+(x 1+x 2)+1=0,∴2(n -1)m+n−2nm+n +1=0,∴m+n=2.①又|PQ|2=(x 1-x 2)2+(y 1-y 2)2=2[(x 1+x 2)2-4x 1x 2]=8(m+n -mn )(m+n )2=1022,将m+n=2代入得mn=34.②由①②式,得m=12,n=32或m=32,n=12.故椭圆方程为x22+32y 2=1或32x 2+y22=1.若直线l 与圆锥曲线F (x ,y )=0相交于A ,B 两点,求弦AB 的长可用下列两种方法:(1)把直线的方程与圆锥曲线的方程联立,解得点A ,B 的坐标,然后用两点间距离公式,便得到弦AB 的长,一般来说,这种方法较为麻烦.(2)不求交点坐标,可用一元二次方程根与系数的关系求解.设直线方程为y=kx+m ,与圆锥曲线F (x ,y )=0交于两点A (x 1,y 1),B (x 2,y 2),则|AB|=(x1-x2)2+(y1-y2)2=(x1-x2)2+(kx1+m -kx2-m )2=1+k2·(x1+x2)2-4x1x2;或当k ≠0时,|AB|=1+1k2|y 1-y 2|=1+1k2·(y1+y2)2-4y1y2.当k=0时,直线平行于x 轴,∴|AB|=|x 1-x 2|.跟踪训练2抛物线y 2=12x 截直线y=2x+1所得弦长等于()A .15B .215C .152D .15解析:令直线与抛物线交于点A (x 1,y 1),B (x 2,y 2),由y=2x+1,y2=12x ,得4x 2-8x+1=0,∴x 1+x 2=2,x 1x 2=14,∴|AB|=(1+22)(x1-x2)2=5[(x1+x2)2-4x1x2]=15.答案:A三、达标检测1.直线y=kx-k+1与椭圆x29+y24=1的位置关系为()A .相交B .相切C .相离D .不确定解析:∵y=kx-k+1,∴y-1=k (x-1),过定点(1,1),定点在椭圆x29+y24=1内部,故选A .答案:A2.过点(0,1)作直线,使它与抛物线y 2=4x 仅有一个公共点,这样的直线有()A.1条B.2条C.3条D.4条答案:C3.已知点P (k ,1),椭圆x29+y24=1,点P 在椭圆外,则实数k 的取值范围为.解析:依题意得,k29+14>1,解得k<-332或k>332,故实数k 取值范围为-∞,-332∪332,+∞.答案:-∞,-332∪332,+∞4.已知直线l :x-y+m=0与双曲线x 2-y22=1交于不同的两点A ,B ,若线段AB 的中点在圆x 2+y 2=5上,则m 的值是.解析:设线段AB 的中点为M (x 0,y 0),由x -y+m=0,x2-y22=1,得x 2-2mx-m 2-2=0,∴x 0=m ,∴y 0=x 0+m=2m ,∵点M (x 0,y 0)在圆x 2+y 2=5上,∴m 2+(2m )2=5,∴m=±1,检验可知判别式Δ>0.故m=±1.答案:±15.抛物线x 2=-y 上的点到直线4x+3y-8=0的距离的最小值为.解析:设直线4x+3y+c=0与抛物线相切,由4x+3y+c=0,x2=-y ,得3x 2-4x-c=0,由Δ=16+12c=0,得c=-43,所以两平行线的距离为-8+4316+9=43.答案:436.如图,椭圆x216+y27=1的左、右焦点为F1,F2,一条直线l经过F1且与椭圆相交于A,B两点.(1)求△ABF2的周长;(2)若l的倾斜角是45°,求△ABF2的面积.解:(1)由x216+y27=1,知a=4,△ABF2的周长=(|AF1|+|AF2|)+(|BF1|+|BF2|)=2a+2a=4a=16.(2)由椭圆方程x216+y27=1,可得F1(-3,0),F2(3,0),又l的倾斜角是45°,故斜率k=1,∴l的方程为y=x+3.将直线方程代入椭圆方程,整理得23x2+96x+32=0,∴x1+x2=-9623,x1x2=3223,|AB|=(1+1)×-96232-4×3223=11223.设点F2到直线l的距离为d,则d=|3-0+3|2=32.∴S△ABF2=12|AB|·d=12×11223×32=168232.四、小结。