(完整)初中数学计算能力提升训练测试题.doc
- 格式:doc
- 大小:1.41 MB
- 文档页数:29
1.化简:4a (3a 4b ) 3b .2.求比多项式5a 2 2a 3ab b2 少5a 2 ab的多项式.3.先化简、再求值( a 2 a a 2 a a 2 a(其中a 2)4 3 ) 3(2 1) (2 3 4 )4、先化简、再求值4xy [(x 2 5xy y2 ) (x 2 3xy 2y2 )] (其中 1 1x , y)4 25、计算3(a3 )3 2(a4 )2 a16、(1)计算()9 210 =2(x2 ) x3 5(2)计算(3)下列计算正确的是( ).1(A) 2a 2 a 3a3 (B) 2a 1 (C)(a)3 a 2 a6 (D)2a 2 1a2a计算:3 2(1) ) ( ) ( 3 )(a2b3c ab2 2 a3b;(2) (2a2 3a5)(3 a2 ) ;2 3(3)1.25x3 (8x2 ) ;(4)(3x) (2x2 3x5) ;(5)2x3y(x2y) ;(6)利用乘法公式计算: 4m 3 2n4m 3 2n (7)5x2y2y5x(8)已知a b5,ab6,试求a2 ab b2 的值(9)计算: 20102 2009 2011(10)已知多项式2x3 ax2 x3能被2x2 1整除,商式为x3,试求a的值2 33 31、a2b3c2a2b2、(x2y) (x2y)3 4 21 2 3 1( x y x y x y) x y5 3 3 2 2 2 2 22 3 4 123、4、当x5时,试求整式3 2 5 1 3 1x的值2 x2 x x5、已知x y 4 ,xy1,试求代数式(x2 1)(y2 1) 的值6、计算: (2a3m2n3a2m n b2n5a2m) (a2m)7、一个矩形的面积为2a3ab2 ,其宽为a,试求其周长8、试确定52010 72011 的个位数字1.(辨析题)不改变分式的值,使分式 (• ) 11 x y5 10 1 1 x y 3 9的各项系数化为整数,分子、分母应乘以A .10B .9C .45D .90(a b ) ab2.(探究题)下列等式:① =-c cm n m n ④ =- 中,成立的是( )mm;② x y x= x y x;③ a b c=- ab c;A .①②B .③④C .①③D .②④3.(探究题)不改变分式23x 2 x 5x 2x33的值,使分子、分母最高次项的系数为正数,正确 的是(• )A . 3x x 2 25x 32x3 B .3x 2x 2 5x 32x 3C . 3x x 2 25x 32x 3D . 3x x 2 25x2x 334.(辨析题)分式4y3x 4a, x 2x41 1 , x xy y 22 x y,a 2ab 2 ab 2b2中是最简分式的有( ) A .1 个 B .2 个 C .3 个D .4 个5.(技能题)约分:(1) x 6x 9 2x29;(2) m3m 2 2mm2. 6.(技能题)通分:(1)x6ab2,y9a bc2;(2)a 1a a2 2 1,6.a 217.(妙法求解题)已知x+ 1x=3,求x2的值x 4 x 2 1a1.根据分式的基本性质,分式可变形为( )aba a a A .B .C .-D .aba bab2.下列各式中,正确的是( )a a bA . x y x y= x y xy ; B . x y x y = x y x y; C . x y x y= x y x y ; D . x yxy=x y xy3.下列各式中,正确的是( )A .a m ab m bB .a b a b=0 C .a b 1 b 1 ac 1 c 1D .x y 1 xy x y224.(2005·天津市)若 a= 2 3,则 a 2a 3 2a 27a12的值等于_______. 5.(2005·广州市)计算 a ab 2ab2 2=_________.6.公式x2 (x 1) 2, 2x 3 (1 x )3, 5 x 1 的最简公分母为( )A .(x-1)2B .(x-1)3C .(x-1)D .(x-1)2(1-x )37.x 1 ? x 1 x 12,则?处应填上_________,其中条件是__________. 拓展创新题8.(学科综合题)已知 a 2-4a+9b 2+6b+5=0,求1 a - 1 b的值.9.(巧解题)已知 x 2+3x+1=0,求 x 2+1x2的值.选择1、(2009 年安徽)甲志愿者计划用若干个工作日完成社区的某项工作,从第三个工作日起,乙志愿者加盟此项工作,且甲、乙两人工效相同,结果提前 3 天完成任务,则甲志愿者计划完成此项工作的天数是……………【】A.8 B.7 C.6 D.5x 1 3x2、(2009 年上海市)3.用换元法解分式方程 1 0x x 1 时,如果设x 1,yx将原方程化为关于y 的整式方程,那么这个整式方程是()A.y 2 y 3 0 B.y 2 3y 10C.3y 2 y 10 D.3y 2 y 10x x 1 3、(2009 襄樊市)分式方程x 3 x 1 A.1 B.-1 C.-2 D.-31 2 4、(2009 柳州)5.分式方程2x x 3 的解为()的解是()A.x 0 B.x 1 C.x 2 D.x 32 x a5、(2009 年孝感)关于x 的方程 1 的解是正数,则a 的取值范围是x 1A.a>-1 B.a>-1 且a≠0C.a<-1 D.a<-1 且a≠-26、(2009 泰安)某服装厂准备加工400 套运动装,在加工完160 套后,采用了新技术,使得工作效率比原计划提高了20%,结果共用了18 天完成任务,问计划每天加工服装多少套?在这个问题中,设计划每天加工x 套,则根据题意可得方程为160400(A)18x (120%)x160 160400(B)18x (120%)x160 400 160 (C)18x 20%x400 400 160(D)18x (120%)x7、(2009 年嘉兴市)解方程4 8 22x 2x的结果是()A.x 2 B.x 2 C.x 4 D.无解2 18、(2009 年漳州)分式方程的解是()x 1 x强化运算能力提升数学质量A.1 B . 1 C. 1313D .19、(09 湖南怀化)分式方程 2的解是()3x 11 1A.x B.x 2 C.x D.2 3 x 1310、(2009 年安徽)甲志愿者计划用若干个工作日完成社区的某项工作,从第三个工作日起,乙志愿者加盟此项工作,且甲、乙两人工效相同,结果提前 3 天完成任务,则甲志愿者计划完成此项工作的天数是【】A.8 B.7 C.6 D.51 211、(2009年广东佛山)方程的解是()x 1 xA.0 B.1 C.2 D.31x1 12、(2009 年山西省)解分式方程 2,可知方程()x 2 2 xA.解为x 2 B.解为x 4 C.解为x 3 D.无解1 213、(2009年广东佛山)方程的解是()x 1 xA.0 B.1 C.2 D.31 1x14、(2009 年山西省)解分式方程 2 ,可知方程()x 2 2 xA.解为x 2 B.解为x 4 C.解为x 3 D.无解强化运算能力提升数学质量计算能力训练(分式方程2) 填空1、(2009 年邵阳市)请你给x 选择一个合适的值,使方程2x 1 x 12 成立,你选择的x=________。
1.化简:b b a a 3)43(4---.2.求比多项式22325b ab a a +--少ab a -25的多项式.3.先化简、再求值)432()12(3)34(222a a a a a a --+-+-- (其中2-=a )4、先化简、再求值)]23()5[(42222y xy x y xy x xy -+--+- (其中21,41-=-=y x )5、计算a a a ⋅+2433)(2)(36、(1)计算1092)21(⋅-=(2)计算532)(x x ÷(3)下列计算正确的是 ( ).(A)3232a a a =+ (B)a a 2121=- (C)623)(a a a -=⋅- (D)aa 221=-计算: (1))3()32()23(32232b a ab c b a -⋅-⋅-; (2))3)(532(22a a a -+-;(3))8(25.123x x -⋅ ; (4))532()3(2+-⋅-x x x ;(5)())2(32y x y x +-; (6)利用乘法公式计算:()()n m n m 234234+--+(7)()()x y y x 5225--- (8)已知6,5-==+ab b a ,试求22b ab a +-的值(9)计算:2011200920102⨯-(10)已知多项式3223-++x ax x 能被122+x 整除,商式为3-x ,试求a 的值1、 b a c b a 232232÷-2、 )2(23)2(433y x y x +÷+3、22222335121)433221(y x y x y x y x ÷+-4、当5=x 时,试求整式()()13152322+--+-x x x x 的值5、已知4=+y x ,1=xy ,试求代数式)1)(1(22++y x 的值6、计算:)()532(222223m m n n m n m a a b a a-÷-+-++7、一个矩形的面积为ab a 322+,其宽为a ,试求其周长8、试确定2011201075⋅的个位数字1.(辨析题)不改变分式的值,使分式115101139x y x y -+的各项系数化为整数,分子、分母应乘以(• )A .10B .9C .45D .902.(探究题)下列等式:①()a b c --=-a b c -;②x y x -+-=x y x -;③a b c -+=-a b c +; ④m n m --=-m n m-中,成立的是( ) A .①② B .③④ C .①③ D .②④3.(探究题)不改变分式2323523x x x x -+-+-的值,使分子、分母最高次项的系数为正数,正确的是(• )A .2332523x x x x +++-B .2332523x x x x -++-C .2332523x x x x +--+D .2332523x x x x ---+ 4.(辨析题)分式434y x a+,2411x x --,22x xy y x y -++,2222a ab ab b +-中是最简分式的有( ) A .1个 B .2个 C .3个 D .4个5.(技能题)约分:(1)22699x x x ++-; (2)2232m m m m-+-.6.(技能题)通分:(1)26x ab ,29y a bc ; (2)2121a a a -++,261a -.7.(妙法求解题)已知x+1x=3,求2421x x x ++的值计算能力训练(分式2)1.根据分式的基本性质,分式a a b--可变形为( ) A .a a b -- B .a a b + C .-a a b - D .a a b + 2.下列各式中,正确的是( )A .x y x y -+--=x y x y -+;B .x y x y -+-=x y x y ---;C .x y x y -+--=x y x y +-;D .x y x y -+-=x y x y-+ 3.下列各式中,正确的是( )A .a m a b m b +=+B .a b a b ++=0C .1111ab b ac c --=-- D .221x y x y x y -=-+ 4.(2005·天津市)若a=23,则2223712a a a a ---+的值等于_______. 5.(2005·广州市)计算222a ab a b+-=_________. 6.公式22(1)x x --,323(1)x x --,51x -的最简公分母为( ) A .(x-1)2 B .(x-1)3 C .(x-1) D .(x-1)2(1-x )37.21?11x x x -=+-,则?处应填上_________,其中条件是__________.拓展创新题8.(学科综合题)已知a 2-4a+9b 2+6b+5=0,求1a -1b 的值.9.(巧解题)已知x 2+3x+1=0,求x 2+21x 的值.计算能力训练(分式方程1)选择1、(2009年安徽)甲志愿者计划用若干个工作日完成社区的某项工作,从第三个工作日起,乙志愿者加盟此项工作,且甲、乙两人工效相同,结果提前3天完成任务,则甲志愿者计划完成此项工作的天数是……………【 】A .8 B.7 C .6 D .52、(2009年上海市)3.用换元法解分式方程13101x x x x --+=-时,如果设1x y x -=,将原方程化为关于y 的整式方程,那么这个整式方程是( )A .230y y +-=B .2310y y -+=C .2310y y -+=D .2310y y --= 3、(2009襄樊市)分式方程131x x x x +=--的解为( ) A .1 B .-1 C .-2 D .-34、(2009柳州)5.分式方程3221+=x x 的解是( ) A .0=x B .1=x C .2=x D .3=x5、(2009年孝感)关于x 的方程211x a x +=-的解是正数,则a 的取值范围是 A .a >-1B .a >-1且a ≠0C .a <-1D .a <-1且a ≠-26、(2009泰安)某服装厂准备加工400套运动装,在加工完160套后,采用了新技术,使得工作效率比原计划提高了20%,结果共用了18天完成任务,问计划每天加工服装多少套?在这个问题中,设计划每天加工x 套,则根据题意可得方程为(A )18%)201(400160=++x x (B )18%)201(160400160=+-+xx (C )18%20160400160=-+x x (D )18%)201(160400400=+-+x x7、(2009年嘉兴市)解方程x x -=-22482的结果是( ) A .2-=xB .2=xC .4=xD .无解8、(2009年漳州)分式方程211x x =+的解是( ) A .1B .1-C .13D .13- 9、(09湖南怀化)分式方程2131=-x 的解是( ) A .21=x B .2=x C .31-=x D . 31=x10、(2009年安徽)甲志愿者计划用若干个工作日完成社区的某项工作,从第三个工作日起,乙志愿者加盟此项工作,且甲、乙两人工效相同,结果提前3天完成任务,则甲志愿者计划完成此项工作的天数是【 】A .8 B.7 C .6 D .511、(2009年广东佛山)方程121x x=-的解是( ) A .0 B .1 C .2 D .312、(2009年山西省)解分式方程11222x x x-+=--,可知方程( ) A .解为2x = B .解为4x = C .解为3x = D .无解13、(2009年广东佛山)方程121x x=-的解是( ) A .0 B .1 C .2 D .314、(2009年山西省)解分式方程11222x x x-+=--,可知方程( ) A .解为2x = B .解为4x = C .解为3x = D .无解计算能力训练(分式方程2)填空1、(2009年邵阳市)请你给x 选择一个合适的值,使方程2112-=-x x 成立,你选择的x =________。
1.化简:b b a a 3)43(4---.2.求比多项式22325b ab a a +--少ab a -25的多项式.3.先化简、再求值)432()12(3)34(222a a a a a a --+-+-- (其中2-=a )4、先化简、再求值)]23()5[(42222y xy x y xy x xy -+--+- (其中21,41-=-=y x )5、计算a a a ⋅+2433)(2)(36、(1)计算1092)21(⋅-=(2)计算532)(x x ÷(3)下列计算正确的是 ( ).(A)3232a a a =+ (B)a a2121=- (C)623)(a a a -=⋅- (D)aa 221=-计算: (1))3()32()23(32232b a ab c b a -⋅-⋅-; (2))3)(532(22a a a -+-;(3))8(25.123x x -⋅ ; (4))532()3(2+-⋅-x x x ;(5)())2(32y x y x +-; (6)利用乘法公式计算:()()n m n m 234234+--+(7)()()x y y x 5225--- (8)已知6,5-==+ab b a ,试求22b ab a +-的值(9)计算:2011200920102⨯-(10)已知多项式3223-++x ax x 能被122+x 整除,商式为3-x ,试求a 的值1、 b a c b a 232232÷-2、 )2(23)2(433y x y x +÷+3、22222335121)433221(y x y x y x y x ÷+-4、当5=x 时,试求整式()()13152322+--+-x x x x 的值5、已知4=+y x ,1=xy ,试求代数式)1)(1(22++y x 的值6、计算:)()532(222223m m n n m nm a a b a a -÷-+-++7、一个矩形的面积为ab a 322+,其宽为a ,试求其周长8、试确定2011201075⋅的个位数字1.(辨析题)不改变分式的值,使分式115101139x yx y -+的各项系数化为整数,分子、分母应乘以(• )A .10B .9C .45D .90 2.(探究题)下列等式:①()a b c --=-a b c -;②x y x -+-=x y x -;③a b c -+=-a bc+;④m n m --=-m nm-中,成立的是( )A .①②B .③④C .①③D .②④3.(探究题)不改变分式2323523x xx x -+-+-的值,使分子、分母最高次项的系数为正数,正确的是(• )A .2332523x x x x +++-B .2332523x x x x -++-C .2332523x x x x +--+D .2332523x x x x ---+4.(辨析题)分式434y x a +,2411x x --,22x xy y x y-++,2222a abab b +-中是最简分式的有( )A .1个B .2个C .3个D .4个5.(技能题)约分:(1)22699x x x ++-; (2)2232m m m m-+-.6.(技能题)通分:(1)26x ab ,29y a bc ; (2)2121a a a -++,261a -.7.(妙法求解题)已知x+1x =3,求2421x x x ++的值1.根据分式的基本性质,分式aa b--可变形为( ) A .a a b -- B .a a b + C .-a a b - D .aa b+2.下列各式中,正确的是( )A .x y x y -+--=x y x y -+; B .x y x y -+-=x y x y ---; C .x y x y -+--=x y x y +-; D .x y x y -+-=x yx y-+3.下列各式中,正确的是( ) A .a m ab m b +=+ B .a b a b ++=0 C .1111ab b ac c --=-- D .221x y x y x y-=-+ 4.(2005·天津市)若a=23,则2223712a a a a ---+的值等于_______.5.(2005·广州市)计算222a aba b+-=_________. 6.公式22(1)x x --,323(1)x x --,51x -的最简公分母为( ) A .(x-1)2B .(x-1)3C .(x-1)D .(x-1)2(1-x )37.21?11x x x -=+-,则?处应填上_________,其中条件是__________.拓展创新题8.(学科综合题)已知a 2-4a+9b 2+6b+5=0,求1a -1b的值.9.(巧解题)已知x 2+3x+1=0,求x 2+21x 的值.计算能力训练(分式方程1)选择1、(2009年安徽)甲志愿者计划用若干个工作日完成社区的某项工作,从第三个工作日起,乙志愿者加盟此项工作,且甲、乙两人工效相同,结果提前3天完成任务,则甲志愿者计划完成此项工作的天数是……………【 】 A .8 B.7 C .6 D .52、(2009年上海市)3.用换元法解分式方程13101x x x x --+=-时,如果设1x y x -=,将原方程化为关于y 的整式方程,那么这个整式方程是( )A .230y y +-=B .2310y y -+=C .2310y y -+=D .2310y y --=3、(2009襄樊市)分式方程131x x x x +=--的解为( ) A .1 B .-1 C .-2 D .-34、(2009柳州)5.分式方程3221+=x x 的解是( ) A .0=x B .1=x C .2=x D .3=x 5、(2009年孝感)关于x 的方程211x a x +=-的解是正数,则a 的取值范围是A .a >-1B .a >-1且a ≠0C .a <-1D .a <-1且a ≠-26、(2009泰安)某服装厂准备加工400套运动装,在加工完160套后,采用了新技术,使得工作效率比原计划提高了20%,结果共用了18天完成任务,问计划每天加工服装多少套?在这个问题中,设计划每天加工x 套,则根据题意可得方程为 (A )18%)201(400160=++x x (B )18%)201(160400160=+-+x x (C ) 18%20160400160=-+x x (D )18%)201(160400400=+-+xx7、(2009年嘉兴市)解方程xx -=-22482的结果是( ) A .2-=x B .2=x C .4=x D .无解8、(2009年漳州)分式方程211x x=+的解是( )A .1B .1-C .13D .13-9、(09湖南怀化)分式方程2131=-x 的解是( ) A .21=x B .2=x C .31-=x D . 31=x10、(2009年安徽)甲志愿者计划用若干个工作日完成社区的某项工作,从第三个工作日起,乙志愿者加盟此项工作,且甲、乙两人工效相同,结果提前3天完成任务,则甲志愿者计划完成此项工作的天数是【 】 A .8 B.7 C .6 D .511、(2009年广东佛山)方程121x x=-的解是( ) A .0 B .1 C .2 D .312、(2009年山西省)解分式方程11222x x x-+=--,可知方程( ) A .解为2x = B .解为4x = C .解为3x = D .无解13、(2009年广东佛山)方程121x x=-的解是( ) A .0 B .1 C .2 D .314、(2009年山西省)解分式方程11222x x x-+=--,可知方程( ) A .解为2x = B .解为4x = C .解为3x = D .无解计算能力训练(分式方程2)填空1、(2009年邵阳市)请你给x 选择一个合适的值,使方程2112-=-x x 成立,你选择的x =________。
1.化简:b b a a 3)43(4---.2.求比多项式22325b ab a a +--少ab a -25的多项式.3.先化简、再求值)432()12(3)34(222a a a a a a --+-+-- (其中2-=a )4、先化简、再求值)]23()5[(42222y xy x y xy x xy -+--+- (其中21,41-=-=y x )5、计算a a a ⋅+2433)(2)(36、(1)计算1092)21(⋅-=(2)计算532)(x x ÷(3)下列计算正确的是 ( ).(A)3232a a a =+ (B)a a 2121=- (C)623)(a a a -=⋅- (D)aa 221=-计算: (1))3()32()23(32232b a ab c b a -⋅-⋅-; (2))3)(532(22a a a -+-;(3))8(25.123x x -⋅ ; (4))532()3(2+-⋅-x x x ;(5)())2(32y x y x +-; (6)利用乘法公式计算:()()n m n m 234234+--+(7)()()x y y x 5225--- (8)已知6,5-==+ab b a ,试求22b ab a +-的值(9)计算:2011200920102⨯-(10)已知多项式3223-++x ax x 能被122+x 整除,商式为3-x ,试求a 的值1、 b a c b a 232232÷-2、 )2(23)2(433y x y x +÷+3、22222335121)433221(y x y x y x y x ÷+-4、当5=x 时,试求整式()()13152322+--+-x x x x 的值5、已知4=+y x ,1=xy ,试求代数式)1)(1(22++y x 的值6、计算:)()532(222223m m n n m n m a a b a a-÷-+-++7、一个矩形的面积为ab a 322+,其宽为a ,试求其周长8、试确定2011201075⋅的个位数字1.(辨析题)不改变分式的值,使分式115101139x y x y -+的各项系数化为整数,分子、分母应乘以(• )A .10B .9C .45D .902.(探究题)下列等式:①()a b c --=-a b c -;②x y x -+-=x y x -;③a b c -+=-a b c +; ④m n m --=-m n m-中,成立的是( ) A .①② B .③④ C .①③ D .②④3.(探究题)不改变分式2323523x x x x -+-+-的值,使分子、分母最高次项的系数为正数,正确的是(• )A .2332523x x x x +++-B .2332523x x x x -++-C .2332523x x x x +--+D .2332523x x x x ---+ 4.(辨析题)分式434y x a+,2411x x --,22x xy y x y -++,2222a ab ab b +-中是最简分式的有( ) A .1个 B .2个 C .3个 D .4个5.(技能题)约分:(1)22699x x x ++-; (2)2232m m m m-+-.6.(技能题)通分:(1)26x ab ,29y a bc ; (2)2121a a a -++,261a -.7.(妙法求解题)已知x+1x=3,求2421x x x ++的值计算能力训练(分式2)1.根据分式的基本性质,分式a a b--可变形为( ) A .a a b -- B .a a b + C .-a a b - D .a a b + 2.下列各式中,正确的是( )A .x y x y -+--=x y x y -+;B .x y x y -+-=x y x y ---;C .x y x y -+--=x y x y +-;D .x y x y -+-=x y x y-+ 3.下列各式中,正确的是( )A .a m a b m b +=+B .a b a b ++=0C .1111ab b ac c --=-- D .221x y x y x y -=-+ 4.(2005·天津市)若a=23,则2223712a a a a ---+的值等于_______. 5.(2005·广州市)计算222a ab a b+-=_________. 6.公式22(1)x x --,323(1)x x --,51x -的最简公分母为( ) A .(x-1)2 B .(x-1)3 C .(x-1) D .(x-1)2(1-x )37.21?11x x x -=+-,则?处应填上_________,其中条件是__________.拓展创新题8.(学科综合题)已知a 2-4a+9b 2+6b+5=0,求1a -1b 的值.9.(巧解题)已知x 2+3x+1=0,求x 2+21x 的值.计算能力训练(分式方程1)选择1、(2009年安徽)甲志愿者计划用若干个工作日完成社区的某项工作,从第三个工作日起,乙志愿者加盟此项工作,且甲、乙两人工效相同,结果提前3天完成任务,则甲志愿者计划完成此项工作的天数是……………【 】A .8 B.7 C .6 D .52、(2009年上海市)3.用换元法解分式方程13101x x x x --+=-时,如果设1x y x -=,将原方程化为关于y 的整式方程,那么这个整式方程是( )A .230y y +-=B .2310y y -+=C .2310y y -+=D .2310y y --= 3、(2009襄樊市)分式方程131x x x x +=--的解为( ) A .1 B .-1 C .-2 D .-34、(2009柳州)5.分式方程3221+=x x 的解是( ) A .0=x B .1=x C .2=x D .3=x5、(2009年孝感)关于x 的方程211x a x +=-的解是正数,则a 的取值范围是 A .a >-1B .a >-1且a ≠0C .a <-1D .a <-1且a ≠-26、(2009泰安)某服装厂准备加工400套运动装,在加工完160套后,采用了新技术,使得工作效率比原计划提高了20%,结果共用了18天完成任务,问计划每天加工服装多少套?在这个问题中,设计划每天加工x 套,则根据题意可得方程为(A )18%)201(400160=++x x (B )18%)201(160400160=+-+xx (C )18%20160400160=-+x x (D )18%)201(160400400=+-+x x7、(2009年嘉兴市)解方程x x -=-22482的结果是( ) A .2-=xB .2=xC .4=xD .无解8、(2009年漳州)分式方程211x x =+的解是( ) A .1B .1-C .13D .13- 9、(09湖南怀化)分式方程2131=-x 的解是( ) A .21=x B .2=x C .31-=x D . 31=x10、(2009年安徽)甲志愿者计划用若干个工作日完成社区的某项工作,从第三个工作日起,乙志愿者加盟此项工作,且甲、乙两人工效相同,结果提前3天完成任务,则甲志愿者计划完成此项工作的天数是【 】A .8 B.7 C .6 D .511、(2009年广东佛山)方程121x x=-的解是( ) A .0 B .1 C .2 D .312、(2009年山西省)解分式方程11222x x x-+=--,可知方程( ) A .解为2x = B .解为4x = C .解为3x = D .无解13、(2009年广东佛山)方程121x x=-的解是( ) A .0 B .1 C .2 D .314、(2009年山西省)解分式方程11222x x x-+=--,可知方程( ) A .解为2x = B .解为4x = C .解为3x = D .无解计算能力训练(分式方程2)填空1、(2009年邵阳市)请你给x 选择一个合适的值,使方程2112-=-x x 成立,你选择的x =________。
标准适用计算能力训练〔整式1〕1. 化简:4a(3a 4b)3b .2. 求比多项式5a 22a 3ab b 2少 5a2ab 的多项式.3.先化简、再求值(4a23a) 3(2a2 a 1) ( 2 3a 24a)(此中a4、先化简、再求值4xy [( x25xy y 2 ) ( x 23xy 2 y 2 )] (此中x5、计算3(a3)32(a 4)2a19106、〔1〕计算() 2=(2〕计算(x2)3x5(3〕以下计算正确的选项是 ( ).(A) 2a2 a 3a3(B)2a 11(C)( a)3 a 22a2)1, y 1 )42612a(D)2a计算能力训练〔整式2〕计算:(1) ( 3a 2b 3c) (2ab 2 ) 2 ( 3a 3b) ; (2)(2a 23a 5)(3 a 2 ) ;23〔3〕 1.25 x3( 8 x 2 ) ;〔 4〕 ( 3x) (2x23x 5) ;〔5〕 2x3 y (x 2 y) ;〔 6〕利用乘法公式计算 :4m 3 2n 4m 3 2n〔7〕 5x 2 y2 y 5x 〔 8〕 a b 5, ab6 , 试求 a 2 ab b 2 的值( 9〕计算 : 2021 2 2021 2021〔10〕多项式2x 3 ax 2 x 3 能被 2x 2 1整除,商式为 x 3 ,试求 a 的值计算能力训练〔整式3〕22323331、 a b c a b2、(x 2 y)(x 2y)342(1x5 y32x3 y 23x2 y 2 )1x2 y23、234124、当x 5 时,试求整式3x22x 25x 1 3x 1 的值5、x y 4 , xy 1 ,试求代数式( x21)( y21) 的值6、计算 :( 23m 2 n32m n2n52 m) (2m)a ab a a7、一个矩形的面积为2a 23ab ,其宽为a,试求其周长8、试确立520217 2021的个位数字计算能力训练〔分式 1〕1.〔辨析题〕不改变分式的值,使分式( ? 〕1 x 1 y510的各项系数化为整数,分子、分母应乘以1 x 1 y39A .10B .9C .45D .902.〔研究题〕以低等式:①( a b) =- a b; ② x y = x y; ③ a b =- a b ;c c xx c c ④mn=-m n中 , 建立的是〔〕mmA .①②B .③④C .①③D .②④23.〔研究题〕不改变分式23xx的值,使分子、分母最高次项的系数为正数,正确5x 3 2x 3的是〔?〕A . 3x 2x 2B . 3x 2x 2 C . 3x 2x 2 D . 3x 2x 2 5x 32x 35x 32x 35x 32x 35x 32x 34.〔辨析题〕分式4 y 3x,x 2 1 ,x 2 xyy 2,a 2 2ab 中是最简分式的有〔〕4ax41x yab 2b2A .1个B .2个 C.3个 D.4 个5.〔技术题〕约分:〔 1〕 x 26x 9 ; 〔 2〕 m 23m 2 .x 29m 2m6. 〔技术题〕通分:〔 1〕x 2 ,y; 〔 2〕a 1 ,6.6ab 222a 1a 29a bc a17. 〔妙法求解题〕x+1=3,求x 4x 2 的值xx 21计算能力训练〔分式2〕1. 依据分式的根天性质,分式a 可变形为〔 〕aaa baa A .B .CD .a b.-ba ba ba 2.以下各式中,正确的选项是〔〕A . xy = x yxy x y; B . x y = x y x y x y; C . x y = xy; D . x y = x yx y x yx y x y3.以下各式中,正确的选项是〔 〕A . a m aB . a b =0C . ab 1 b 1D .x y1b m ba bac 1 c 1x 2y 2x y4.〔 2005·天津市〕假定 a= 2,那么a 22a 3的值等于 _______ .3a 2 7a125.〔 2005·广州市〕计算a 2ab =_________.a2b26.公式x 22 , 2x 33 ,5 的最简公分母为〔 〕( x 1)(1 x)x 1A .〔 x-1 〕 2B .〔 x-1 〕3C .〔 x-1 〕D .〔 x-1 〕 2〔 1-x 〕 37.x1? ,那么?处应填上 _________,此中条件是 __________ . x1x 2 1拓展创新题8.〔学科综合题〕a 2-4a+9b 2+6b+5=0,求 1 -1的值.a b2219.〔巧解题〕 x +3x+1=0,求 x + 的值.文案大全计算能力训练 ( 分式方程 1)1、〔2021 年安徽〕甲志愿者 划用假定干个工作日达成社区的某 工作,从第三个工作日起,乙志愿者加盟此 工作,且甲、乙两人工效同样, 果提早3天达成任 , 甲志愿者 划达成此 工作的天数是⋯⋯⋯⋯⋯【 】A .8 B.7 C .6 D .5 2、(2021 年上海市 )3 .用 元法解分式方程x 13x1 0 ,假如x 1y ,x x 1x将原方程化 对于 y 的整式方程,那么 个整式方程是〔〕A .y 2y 3 0. 2 3 y 1 0B yC .3 y 2y 1 0. 2 y 1 0D 3 y3、〔2021 襄樊市〕分式方程x x1的解 〔 〕x 3x 1 A .1 B .-1 C .-2D .-34、〔2021 柳州〕 5.分式方程12 的解是〔〕2x x3A . x 0B . x 1C . x 2D . x 35 、〔 2021 年孝感〕对于 x 的方程2 x a1 的解是正数, a 的取 范 是x1a >-且 a ≠A . 1. a >-10BC .a <- 1D . a <- 1 且 a ≠- 26、〔 2021 泰安〕某服饰厂准 加工 400 套运 装,在加工完 160 套后,采纳了新技 ,使得工作效率比原 划提高了 20%, 果共用了 18 天达成任 ,划每日加工服饰多少套?在 个 中, 划每日加工 x 套, 依据 意可得方程〔 A 〕16040018〔 B 〕160400 160 18x(1 20%) xx(1 20%) x〔 C 〕160 400 160 18〔 D 〕400400 160 18x 20% xx(1 20%) x7、〔2021 年嘉 市〕解方程8 2的 果是〔〕4 x 2 2 xA . x 2B . x 2C . x 4D .无解8、〔2021 年漳州〕分式方程2 1的解是〔〕A .1B . 1C .1D .1339、〔09 湖南怀化〕分式方程12 的解是〔〕3x 1A . x1 . x2 1 D .1BC . xx23310、〔 2021 年安徽〕甲志愿者方案用假定干个工作日达成社区的某项工作,从第三个工作日起,乙志愿者加盟此项工作,且甲、乙两人工效同样,结果提早 3天达成任务,那么甲志愿者方案达成此项工作的天数是【 】 A .8 B.7 C .6 D .511、〔 2021年广东佛山〕方程 12 的解是〔〕x1 xA .0B .1C .2D .312、〔 2021 年山西省〕解分式方程1x 21 x ,可知方程〔〕x 22 A .解为 x 2 B .解为 x4C.解为 x 3 D .无解13、〔 2021年广东佛山〕方程 12 的解是〔〕x1 xA .0B .1C .2D .314、〔 2021 年山西省〕解分式方程1x 21 x ,可知方程〔〕x 22 A .解为 x 2 B .解为 x4C.解为 x 3 D .无解计算能力训练 ( 分式方程 2)填空1、〔 2021 年邵阳市〕请你给 x 选择一个适合的值,使方程21 建立,你选择的 xx 1 x2=________。
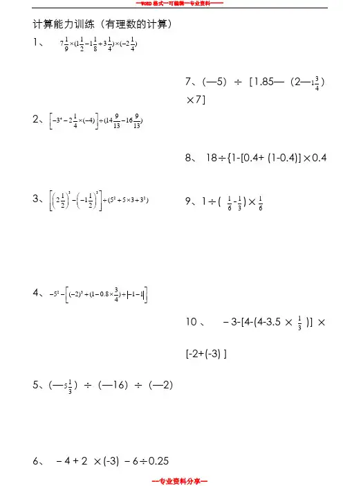
计算能力训练〔有理数的计算〕1、 111117(113)(2)92844⨯-+⨯-2、419932(4)(1416)41313⎡⎤--⨯-÷-⎢⎥⎣⎦3、33221121(5533)22⎡⎤⎛⎫⎛⎫--÷+⨯+⎢⎥ ⎪ ⎪⎝⎭⎝⎭⎢⎥⎣⎦4、2335(2)(10.8)114⎡⎤---+-⨯÷--⎢⎥⎣⎦5、〔—315〕÷〔—16〕÷〔—2〕6、 –4 + 2 ×(-3) –6÷0.257、〔—5〕÷[1.85—〔2—431〕×7]8、 18÷{1-[0.4+ (1-0.4)]×0.4 9、1÷( 61-31)×6110、 –3-[4-(4-3.5×31)]×[-2+(-3) ]11、 8+(-41)- 5- (- 0.25)15、13611754136227231++-;16、20012002200336353⨯+⨯-17、()5.5-+()2.3-()5.2---4.818、()8-)02.0()25(-⨯-⨯19、21+()23-⎪⎭⎫ ⎝⎛-⨯2120、81)4(2833--÷-21、100()()222---÷⎪⎭⎫⎝⎛-÷3222、(-371)÷(461-1221)÷(-2511)×(-143)23、(-2)14×(-3)15×(-61)1424、-42+5×(-4)2-(-1)51×(-61)+(-221)÷(-241) 25、-11312×3152-11513×41312-3×(-11513) 26、41+3265+2131-- 27、()()4+×733×250)-(.-55、)61(41)31()412(213+---+--56、2111943+-+--60、=⨯(-4)3 57、31211+-62、=⨯0(-6)58、)]18()21(26[13-+--- 69、)8(45)201(-⨯⨯- 59、2111)43(412--+---70、53)8()92()4()52(8⨯-+-⨯---⨯66、)25()7()4(-⨯-⨯-67、)34(8)53(-⨯⨯- 68、)1514348(43--⨯71、)8(12)11(9-⨯-+⨯-78、)412()21()43(-÷-⨯-79、2411)25.0(6⨯-÷-81、)2(48-÷+-80、)21(31)32(-÷÷-82、)51(250-⨯÷-83、)3(4)2(817-⨯+-÷-84、1)101(250322-⨯÷+85、911)325.0(321÷-⨯-89、6)3(5)3(42+-⨯--⨯86、1)51(25032--⨯÷+87、])3(2[)]215.01(1[2--⨯⨯--88、)145()2(52825-⨯-÷+-90、)25.0(5)41(8----+91、)48()1214361(-⨯-+-92、31)321()1(⨯-÷- 93、)199(41212+-÷⨯94、)16(94412)81(-÷+÷-95、)]21541(43[21----96、13+(+7)-(-20)-(-40)-(+6)97、)2(9449344-÷+÷- 98、22)36()33(24)12581(÷-÷---⨯-99、13)18()14(20----+-100、 8+(―41)―5―(―0.25)101、 (-12)÷4×(-6)÷2 102、 )1279543(+--÷361103、2)5()2(10-⨯-+104、 (7)(5)90-⨯--÷(15)-105、 721×143÷(-9+19)106 、25×43―(―25)×21+25×(-41)107、()1-⎪⎭⎫ ⎝⎛-÷2131108、(-81)÷241+94÷(-16)109、2(x-3)-3(-x+1)110、111117(113)(2)92844⨯-+⨯- 111、3223121213+⎪⎭⎫ ⎝⎛--⎪⎭⎫ ⎝⎛-+112、 47÷)6(3287-⨯-113、48245834132⨯⎪⎭⎫ ⎝⎛+--114、|97|-÷2)4(31)5132(-⨯--115、-22-〔-32 + (- 2)4 ÷23 〕116、235(4)0.25(5)(4)8⎛⎫-⨯--⨯-⨯- ⎪⎝⎭117200423)1()2(161)1()21()21(-÷-⨯⎥⎦⎤⎢⎣⎡--÷--118、 100()()222---÷3)2(32-+⎪⎭⎫ ⎝⎛-÷ 119、―22+41×〔-2〕2120、322)43(6)12(7311-⨯⎥⎦⎤⎢⎣⎡÷-+--121、111117(113)(2)92844⨯-+⨯-122、419932(4)(1416)41313⎡⎤--⨯-÷-⎢⎥⎣⎦125、〔-0.4〕÷0.02×〔-5〕124、 (+3.74)-[(-5.91)-(-2.74)+(-2.78)126、)—()—)+(—(25.0433242÷⨯127、 75)21(212)75(75211⨯-+⨯--⨯128、11)()+(2532.015[3-÷⨯----]129 、12(4)4⎡⎤-|-16|-⨯-⎢⎥⎣⎦÷⎥⎦⎤⎢⎣⎡--)813(41130、 2335(2)(10.8)114⎡⎤---+-⨯÷--⎢⎥⎣⎦131、〔-1275420361-+-〕×〔-15×4〕132、2÷〔-73〕×74÷〔-571〕134、53)8()92()4()52(8⨯-+-⨯---⨯135、〔-13〕×〔-134〕×131×〔-671〕136、)145()2(52825-⨯-÷+-137、〔-487〕-〔-521〕+〔-441〕-381138、〔-0.5〕-〔-341〕+6.75-521139、〔-6〕×(-4)+(-32)÷(-8)-3140、〔—315〕÷〔—16〕÷〔—2〕141、〔-9〕×(-4)+ (-60)÷12142.111117(113)(2)92844⨯-+⨯-143、-153×〔327-165〕÷221144.100()()222---÷⎪⎭⎫⎝⎛-÷32145、()22-2-+()32-+32146、 22--3)3(-×()31--()31-147、22)36()33(24)12581(÷-÷---⨯-148、13611754136227231++-149、0-()23-÷3×()32-150、()22--2[()221--3×43]÷51151、22-×()221-÷()38.0-152、-23×()231--()32-÷()221-153、()243-×(-32+1) ×0154、-10+8÷()22--4×3155、-51-()()[]55.24.0-⨯-156、()251--〔1-0.5〕×31157、100()()222---÷3)2(32-+⎪⎭⎫ ⎝⎛-÷158、-27+2×()23-+〔-6〕÷()231-159、()42-÷〔-8〕-()321-×〔-22〕160、()()[]222345----×〔11587÷〕×()47-161、201023)1()2(161)1()21()21(-÷-⨯⎥⎦⎤⎢⎣⎡--÷--162、2335(2)(10.8)114⎡⎤---+-⨯÷--⎢⎥⎣⎦163、322)43(6)12(7311-⨯⎥⎦⎤⎢⎣⎡÷-+--164.111117(113)(2)92844⨯-+⨯-165、235(4)0.25(5)(4)8⎛⎫-⨯--⨯-⨯- ⎪⎝⎭计算能力训练〔整式1〕1.化简:b b a a 3)43(4---.2.求比多项式22325b ab a a +--少ab a -25的多项式.3.先化简、再求值)432()12(3)34(222a a a a a a --+-+--(其中2-=a )4、先化简、再求值)]23()5[(42222y xy x y xy x xy -+--+-(其中21,41-=-=y x )5、计算a a a ⋅+2433)(2)(36、〔1〕计算1092)21(⋅-= 〔2〕计算532)(x x ÷〔3〕以下计算正确的选项是 ( ).A.3232a a a =+B.a a 2121=- C.623)(a a a -=⋅- D.aa 221=-计算能力训练〔整式2〕计算: (1))3()32()23(32232b a ab c b a -⋅-⋅-;(2))3)(532(22a a a -+-;〔3〕)8(25.123x x -⋅;〔4〕)532()3(2+-⋅-x x x ;〔5〕())2(32y x y x +-;〔6〕利用乘法公式计算:()()n m n m 234234+--+〔7〕()()x y y x 5225---〔8〕6,5-==+ab b a ,试求22b ab a +-的值〔9〕计算:2011200920102⨯-计算能力训练〔整式3〕1、 b a c b a 232232÷-2、 )2(23)2(433y x y x +÷+3、22222335121)433221(y x y x y x y x ÷+-4、当5=x 时,试求()()13152322+--+-x x x x 的值5、4=+y x ,1=xy ,试求代数式)1)(1(22++y x 的值6、计算:)()532(222223m m n n m nm a a b a a -÷-+-++7、一个矩形的面积为ab a 322+,其宽为a ,试求其周长计算能力训练〔整式的乘除1〕填空题1.计算〔直接写出结果〕 ①a ·a 3=. ③(b 3)4=. ④(2ab )3=.⑤3x 2y ·)223y x -(=. 2.计算:2332)()(a a -+-=.)(3)2(43222y x y x xy -⋅⋅-=.4.(32a a a ⋅⋅)3=__________.5.1821684=⋅⋅nnn,求n =.6.假设524+=a a ,求2005)4(-a =. 7.假设x 2n =4,那么x 6n =___.8.假设52=m ,62=n ,那么n m 22+=. 9.-12c b a 52=-6ab ·( ) . 10.计算:(2×310)×(-4×510)=11.计算:10031002)161()16(-⨯-=. 2.①2a 2(3a 2-5b )=.②(5x +2y )(3x -2y )=.13.计算:)1)(2()6)(7(+---+x x x x =. 14.假设._____34,992213=-=⋅⋅++-m m y x y x y x n n m m 则计算能力训练〔整式的乘除2〕一、计算:〔每题4分,共8分〕 〔1〕)311(3)()2(2x xy y x -⋅+-⋅-;〔2〕)12(4)392(32--+-a a a a a二、先化简,再求值:〔1〕x 〔x -1〕+2x 〔x +1〕-〔3x -1〕〔2x -5〕,其中x =2.〔2〕342)()(m m m -⋅-⋅-,其中m =2-三、解方程(3x -2)(2x -3)=(6x +5)(x -1)+15.四、①,2,21==mn a 求n m a a )(2⋅的值,②假设的求n n n x x x 22232)(4)3(,2---=值.五、假设0352=-+y x ,求yx324⋅的值.六、说明:对于任意的正整数n ,代数式n (n +7)-(n +3)(n -2)的值是否总能被6整除.计算能力训练〔分式1〕1.不改变分式的值,使分式115101139x yx y -+的各项系数化为整数,分子、分母应乘以〔• 〕A .10B .9C .45D .902.以下等式:①()a b c --=-a b c -;②x y x -+-=x yx-;③a b c -+=-a b c +;④m n m --=-m n m-中,成立的是〔 〕A .①② B .③④ C .①③ D .②④3.不改变分式2323523x xx x -+-+-的值,使分子、分母最高次项的系数为正数,正确的选项是〔• 〕A.2332523x x x x +++- B .2332523x x x x -++-C .2332523x x x x +--+D .2332523x x x x ---+4.分式434y x a+,2411x x --,22x xy y x y -++,2222a abab b +-中是最简分式的有〔 〕A .1个B .2个C .3个D .4个5.约分:〔1〕22699x x x ++-;〔2〕2232m m m m-+-计算能力训练〔分式2〕1.根据分式的根本性质,分式aa b--可变形为〔 〕 A .a a b -- B .a a b +C .-a a b - D .a a b+2.以下各式中,正确的选项是〔 〕A .x y x y -+--=x y x y -+; B .x y x y -+-=x yx y---;C .x y x y -+--=x y x y +-; D .x y x y -+-=x yx y-+3.以下各式中,正确的选项是〔 〕 A .a m ab m b +=+B .a b a b ++=0 C .1111ab b ac c --=--D .221x y x y x y-=-+4.假设a=23,那么2223712a a a a ---+的值等于_______.5.计算222a aba b +-=_________.6.公式22(1)x x --,323(1)x x --,51x -的最简公分母为〔 〕 A .〔x-1〕2B .〔x-1〕3C .〔x-1〕D .〔x-1〕2〔1-x 〕3 7.21?11x x x -=+-,那么?处应填上_________,其中条件是__________.拓展创新题8.a 2-4a+9b 2+6b+5=0,求1a -1b的值.计算能力训练〔分式3〕(1)111x x x -⎛⎫÷- ⎪⎝⎭(2)2212239a aa a a a -+÷---(3)22222222a b a b a b a b ab a b a b ab a b-+++÷-⋅+-+(4) 222111121a a a a a a -+⎛⎫--÷ ⎪--+⎝⎭ (5)21142x x x +--+(6) 2222x y x y x y x y-+-+-(7)()2x yxy x xy--÷(8)22222422x y x y x xy y x xy-+÷+++(9)22214441a a a a a --⋅-+-(10)222()a b a b ab-÷-(11)2452547(33)()49a y x y x y a y-⋅-(12)222224222x y y xx y xy x xy-+÷+++(13) 2224x x y y ⎛⎫÷ ⎪⎝⎭(14)2222111m m m++--(15)37444x x y yx y y x x y++----(16)222232()()a a ba b b a a b a b ++--+-(17)34659281224b c a b a cbc ab ac+-+--计算能力训练(分式方程1)选择1、甲志愿者方案用假设干个工作日完成社区的某项工作,从第三个工作日起,乙志愿者加盟此项工作,且甲、乙两人工效一样,结果提前3天完成任务,那么甲志愿者方案完成此项工作的天数是……………【 】 A .8 B.7 C .6 D .5 2、用换元法解分式方程13101x xx x --+=-时,如果设1x y x-=,将原方程化为关于y 的整式方程,那么这个整式方程是〔 〕A .230y y +-=B .2310y y -+=C .2310y y -+=D .2310y y --=3、分式方程131x x x x +=--的解为〔 〕 A .1 B .-1 C .-2 D .-3 4、分式方程3221+=x x 的解是〔 〕 A .0=x B .1=x C .2=x D .3=x 5某服装厂准备加工400套运动装,在加工完160套后,采用了新技术,使得工作效率比原方案提高了20%,结果共用了18天完成任务,问方案每天加工服装多少套?在这个问题中,设方案每天加工x 套,那么根据题意可得方程为 〔A 〕18%)201(400160=++x x 〔B 〕18%)201(160400160=+-+xx 〔C 〕 18%20160400160=-+xx 〔D 〕18%)201(160400400=+-+xx 6.解方程xx -=-22482的结果是〔 〕 A .2-=x B .2=x C .4=x D .无解7、分式方程211x x=+的解是〔 〕 A .1 B .1- C .13 D .13-8、分式方程2131=-x 的解是〔 〕A .21=xB .2=xC .31-=xD .31=x9、甲志愿者方案用假设干个工作日完成社区的某项工作,从第三个工作日起,乙志愿者加盟此项工作,且甲、乙两人工效一样,结果提前3天完成任务,那么甲志愿者方案完成此项工作的天数是【 】 A .8 B.7 C .6 D .5 10、方程121x x=-的解是〔 〕 A .0 B .1C .2D .3 11、分式方程11222x x x-+=--,可知方程解为〔 〕A .2x =B .4x =C .3x =D .无解 12、方程121x x=-的解是〔 〕 A .0 B .1C .2 D .3计算能力训练(分式方程2)填空1、请你给x 选择一个适宜的值,使方程2112-=-x x 成立,你选择的x =________。
1.化简:b b a a 3)43(4---.2.求比多项式22325b ab a a +--少ab a -25的多项式.3.先化简、再求值)432()12(3)34(222a a a a a a --+-+-- (其中2-=a )4、先化简、再求值)]23()5[(42222y xy x y xy x xy -+--+- (其中21,41-=-=y x )5、计算a a a ⋅+2433)(2)(36、(1)计算1092)21(⋅-=(2)计算532)(x x ÷(3)下列计算正确的是 ( ).(A)3232a a a =+ (B)a a 2121=- (C)623)(a a a -=⋅- (D)aa 221=-计算: (1))3()32()23(32232b a ab c b a -⋅-⋅-; (2))3)(532(22a a a -+-;(3))8(25.123x x -⋅ ; (4))532()3(2+-⋅-x x x ;(5)())2(32y x y x +-; (6)利用乘法公式计算:()()n m n m 234234+--+(7)()()x y y x 5225--- (8)已知6,5-==+ab b a ,试求22b ab a +-的值(9)计算:2011200920102⨯-(10)已知多项式3223-++x ax x 能被122+x 整除,商式为3-x ,试求a 的值1、 b a c b a 232232÷-2、 )2(23)2(433y x y x +÷+3、22222335121)433221(y x y x y x y x ÷+-4、当5=x 时,试求整式()()13152322+--+-x x x x 的值5、已知4=+y x ,1=xy ,试求代数式)1)(1(22++y x 的值6、计算:)()532(222223m m n n m n m a a b a a -÷-+-++7、一个矩形的面积为ab a 322+,其宽为a ,试求其周长8、试确定2011201075⋅的个位数字1.(辨析题)不改变分式的值,使分式115101139x y x y -+的各项系数化为整数,分子、分母应乘以(• )A .10B .9C .45D .902.(探究题)下列等式:①()a b c --=-a b c -;②x y x -+-=x y x -;③a b c -+=-a b c +; ④m n m --=-m n m-中,成立的是( ) A .①② B .③④ C .①③ D .②④3.(探究题)不改变分式2323523x x x x -+-+-的值,使分子、分母最高次项的系数为正数,正确的是(• )A .2332523x x x x +++-B .2332523x x x x -++-C .2332523x x x x +--+D .2332523x x x x ---+ 4.(辨析题)分式434y x a+,2411x x --,22x xy y x y -++,2222a ab ab b +-中是最简分式的有( ) A .1个 B .2个 C .3个 D .4个5.(技能题)约分:(1)22699x x x ++-; (2)2232m m m m-+-.6.(技能题)通分:(1)26x ab ,29y a bc ; (2)2121a a a -++,261a -.7.(妙法求解题)已知x+1x=3,求2421x x x ++的值计算能力训练(分式2)1.根据分式的基本性质,分式a a b--可变形为( ) A .a a b -- B .a a b + C .-a a b - D .a a b + 2.下列各式中,正确的是( )A .x y x y -+--=x y x y -+;B .x y x y -+-=x y x y ---;C .x y x y -+--=x y x y +-;D .x y x y -+-=x y x y-+ 3.下列各式中,正确的是( )A .a m a b m b +=+B .a b a b++=0 C .1111ab b ac c --=-- D .221x y x y x y -=-+ 4.(2005·天津市)若a=23,则2223712a a a a ---+的值等于_______. 5.(2005·广州市)计算222a ab a b+-=_________. 6.公式22(1)x x --,323(1)x x --,51x -的最简公分母为( ) A .(x-1)2 B .(x-1)3 C .(x-1) D .(x-1)2(1-x )37.21?11x x x -=+-,则?处应填上_________,其中条件是__________.拓展创新题8.(学科综合题)已知a 2-4a+9b 2+6b+5=0,求1a -1b 的值.9.(巧解题)已知x 2+3x+1=0,求x 2+21x 的值.计算能力训练(分式方程1)选择1、(2009年安徽)甲志愿者计划用若干个工作日完成社区的某项工作,从第三个工作日起,乙志愿者加盟此项工作,且甲、乙两人工效相同,结果提前3天完成任务,则甲志愿者计划完成此项工作的天数是……………【 】A .8 B.7 C .6 D .52、(2009年上海市)3.用换元法解分式方程13101x x x x --+=-时,如果设1x y x-=,将原方程化为关于y 的整式方程,那么这个整式方程是( )A .230y y +-=B .2310y y -+=C .2310y y -+=D .2310y y --= 3、(2009襄樊市)分式方程131x x x x +=--的解为( ) A .1 B .-1 C .-2 D .-34、(2009柳州)5.分式方程3221+=x x 的解是( ) A .0=x B .1=x C .2=x D .3=x5、(2009年孝感)关于x 的方程211x a x +=-的解是正数,则a 的取值范围是 A .a >-1B .a >-1且a ≠0C .a <-1D .a <-1且a ≠-26、(2009泰安)某服装厂准备加工400套运动装,在加工完160套后,采用了新技术,使得工作效率比原计划提高了20%,结果共用了18天完成任务,问计划每天加工服装多少套?在这个问题中,设计划每天加工x 套,则根据题意可得方程为(A )18%)201(400160=++x x (B )18%)201(160400160=+-+xx (C )18%20160400160=-+x x (D )18%)201(160400400=+-+x x7、(2009年嘉兴市)解方程x x -=-22482的结果是( ) A .2-=xB .2=xC .4=xD .无解8、(2009年漳州)分式方程211x x =+的解是( ) A .1B .1-C .13D .13- 9、(09湖南怀化)分式方程2131=-x 的解是( ) A .21=x B .2=x C .31-=x D . 31=x10、(2009年安徽)甲志愿者计划用若干个工作日完成社区的某项工作,从第三个工作日起,乙志愿者加盟此项工作,且甲、乙两人工效相同,结果提前3天完成任务,则甲志愿者计划完成此项工作的天数是【 】A .8 B.7 C .6 D .511、(2009年广东佛山)方程121x x=-的解是( ) A .0 B .1 C .2 D .312、(2009年山西省)解分式方程11222x x x-+=--,可知方程( ) A .解为2x = B .解为4x = C .解为3x = D .无解13、(2009年广东佛山)方程121x x=-的解是( ) A .0 B .1 C .2 D .314、(2009年山西省)解分式方程11222x x x-+=--,可知方程( ) A .解为2x = B .解为4x = C .解为3x = D .无解计算能力训练(分式方程2)填空1、(2009年邵阳市)请你给x 选择一个合适的值,使方程2112-=-x x 成立,你选择的x =________。
计算能力训练(有理数的计算)1、 111117(113)(2)92844⨯-+⨯-2、419932(4)(1416)41313⎡⎤--⨯-÷-⎢⎥⎣⎦3、33221121(5533)22⎡⎤⎛⎫⎛⎫--÷+⨯+⎢⎥ ⎪ ⎪⎝⎭⎝⎭⎢⎥⎣⎦4、2335(2)(10.8)114⎡⎤---+-⨯÷--⎢⎥⎣⎦5、(-315)÷(—16)÷(-2)6、 –4 + 2 ×(-3) –6÷0。
257、(—5)÷[1。
85-(2—431)×7]8、 18÷{1—[0.4+ (1—0.4)]×0.4 9、1÷( 61-31)×6110、 –3-[4-(4-3。
5×31)]×[—2+(—3) ]11、 8+(-41)— 5- (— 0。
25)15、13611754136227231++-;16、20012002200336353⨯+⨯-17、()5.5-+()2.3-()5.2---4.818、()8-)02.0()25(-⨯-⨯19、21+()23-⎪⎭⎫⎝⎛-⨯2120、81)4(2833--÷-21、100()()222---÷⎪⎭⎫⎝⎛-÷3222、(-371)÷(461-1221)÷(-2511)×(-143)23、(-2)14×(-3)15×(-61)1424、-42+5×(-4)2-(-1)51×(-61)+(-221)÷(-241)25、-11312×3152-11513×41312-3×(-11513) 26、41+3265+2131-- 27、()()4+×733×250)-(.-55、)61(41)31()412(213+---+--56、2111943+-+--60、=⨯(-4)3 57、31211+-62、=⨯0(-6)58、)]18()21(26[13-+--- 69、)8(45)201(-⨯⨯- 59、2111)43(412--+---70、53)8()92()4()52(8⨯-+-⨯---⨯66、)25()7()4(-⨯-⨯-67、)34(8)53(-⨯⨯- 68、)1514348(43--⨯71、)8(12)11(9-⨯-+⨯-78、)412()21()43(-÷-⨯-79、2411)25.0(6⨯-÷-81、)2(48-÷+-80、)21(31)32(-÷÷-82、)51(250-⨯÷-83、)3(4)2(817-⨯+-÷-84、1)101(250322-⨯÷+85、911)325.0(321÷-⨯-89、6)3(5)3(42+-⨯--⨯86、1)51(25032--⨯÷+87、])3(2[)]215.01(1[2--⨯⨯-- 88、)145()2(52825-⨯-÷+-90、)25.0(5)41(8----+91、)48()1214361(-⨯-+-92、31)321()1(⨯-÷- 93、)199(41212+-÷⨯94、)16(94412)81(-÷+÷-95、)]21541(43[21----96、13+(+7)-(-20)—(—40)—(+6) 97、)2(9449344-÷+÷- 98、22)36()33(24)12581(÷-÷---⨯-99、13)18()14(20----+-100、 8+(―41)―5―(―0。
计算能力训练(有理数的计算) 1、 111117(113)(2)92844⨯-+⨯-2、419932(4)(1416)41313⎡⎤--⨯-÷-⎢⎥⎣⎦3、33221121(5533)22⎡⎤⎛⎫⎛⎫--÷+⨯+⎢⎥ ⎪ ⎪⎝⎭⎝⎭⎢⎥⎣⎦4、2335(2)(10.8)114⎡⎤---+-⨯÷--⎢⎥⎣⎦5、(—315)÷(—16)÷(—2)6、 –4 + 2 ×(-3) –6÷0.257、(—5)÷[1.85—(2—431)×7]8、 18÷{1-[0.4+ (1-0.4)]×0.49、1÷( 61-31)×6110、 –3-[4-(4-3.5×31)]×[-2+(-3) ]11、 8+(-41)- 5- (- 0.25)15、13611754136227231++-;16、20012002200336353⨯+⨯-17、()5.5-+()2.3-()5.2---4.818、()8-)02.0()25(-⨯-⨯19、21+()23-⎪⎭⎫⎝⎛-⨯21 20、81)4(2833--÷-21、100()()222---÷⎪⎭⎫⎝⎛-÷3222、(-371)÷(461-1221)÷(-2511)×(-143) 23、(-2)14×(-3)15×(-61)1424、-42+5×(-4)2-(-1)51×(-61)+(-221)÷(-241)25、-11312×3152-11513×41312-3×(-11513)26、41+3265+2131--27、()()4+×733×250)-(.-55、)61(41)31()412(213+---+--56、2111943+-+--60、=⨯(-4)3 57、31211+- 62、=⨯0(-6)58、)]18()21(26[13-+---69、)8(45)201(-⨯⨯-59、2111)43(412--+---70、53)8()92()4()52(8⨯-+-⨯---⨯66、)25()7()4(-⨯-⨯-67、)34(8)53(-⨯⨯-68、)1514348(43--⨯71、)8(12)11(9-⨯-+⨯-78、)412()21()43(-÷-⨯-79、2411)25.0(6⨯-÷-81、)2(48-÷+-80、)21(31)32(-÷÷-82、)51(250-⨯÷-83、)3(4)2(817-⨯+-÷-84、1)101(250322-⨯÷+85、911)325.0(321÷-⨯-89、6)3(5)3(42+-⨯--⨯86、1)51(25032--⨯÷+87、])3(2[)]215.01(1[2--⨯⨯--88、)145()2(52825-⨯-÷+-90、)25.0(5)41(8----+91、)48()1214361(-⨯-+-92、31)321()1(⨯-÷-93、)199(41212+-÷⨯94、)16(94412)81(-÷+÷-95、)]21541(43[21----96、13+(+7)-(-20)-(-40)-(+6)97、)2(9449344-÷+÷-98、22)36()33(24)12581(÷-÷---⨯-99、13)18()14(20----+-100、 8+(―1)―5―(―0.25)101、 (-12)÷4×(-6)÷2102、 )1279543(+--÷361103、2)5()2(10-⨯-+104、 (7)(5)90-⨯--÷(15)-105、 721×143÷(-9+19)106 、25×43―(―25)×21+25×(-1)107、()1-⎪⎭⎫⎝⎛-÷2131108、(-81)÷241+94÷(-16)109、2(x-3)-3(-x+1)110、111117(113)(2)92844⨯-+⨯-111、3223121213+⎪⎭⎫ ⎝⎛--⎪⎭⎫ ⎝⎛-+112、 47÷)6(3287-⨯-113、48245834132⨯⎪⎭⎫⎝⎛+--114、|97|-÷2)4(31)5132(-⨯--115、-22 -〔-32 + (- 2)4÷23 〕116、235(4)0.25(5)(4)8⎛⎫-⨯--⨯-⨯- ⎪⎝⎭117200423)1()2(161)1()21()21(-÷-⨯⎥⎦⎤⎢⎣⎡--÷--118、 100()()222---÷3)2(32-+⎪⎭⎫⎝⎛-÷119、―22+41×(-2)2120、322)43(6)12(7311-⨯⎥⎦⎤⎢⎣⎡÷-+--121、111117(113)(2)92844⨯-+⨯-122、419932(4)(1416)41313⎡⎤--⨯-÷-⎢⎥⎣⎦125、(-0.4)÷0.02×(-5)124、 (+3.74)-[(-5.91)-(-2.74)+(-2.78)126、)—()—)+(—(25.0433242÷⨯127、 75)21(212)75(75211⨯-+⨯--⨯128、11)()+(2532.015[3-÷⨯----]129 、12(4)4⎡⎤-|-16|-⨯-⎢⎥⎣⎦÷⎥⎦⎤⎢⎣⎡--)813(41130、 2335(2)(10.8)114⎡⎤---+-⨯÷--⎢⎥⎣⎦131、(-1275420361-+-)×(-15×4)132、2÷(-73)×74÷(-51)133、()5.5-+()2.3-()5.2---4.8134、53)8()92()4()52(8⨯-+-⨯---⨯135、(-13)×(-134)×131×(-671)136、)145()2(52825-⨯-÷+-137、(-487)-(-521)+(-441)-381138、(-0.5)-(-341)+6.75-521139、(-6)×(-4)+(-32)÷(-8)-3140、(—315)÷(—16)÷(—2)141、(-9)×(-4)+ (-60)÷12142.111117(113)(2)92844⨯-+⨯-143、-153×(327-165)÷221144.100()()222---÷⎪⎭⎫⎝⎛-÷32145、()22-2-+()32-+32146、 22--3)3(-×()31--()31-147、22)36()33(24)12581(÷-÷---⨯-148、13611754136227231++- 149、0-()23-÷3×()32- 150、()22--2[()21--3×43]÷51151、22-×()221-÷()38.0-152、-23×()231--()32-÷()221-153、()243-×(-32+1) ×0 154、-10+8÷()22--4×3155、-51-()()[]55.24.0-⨯-156、()251--(1-0.5)×31 157、100()()222---÷3)2(32-+⎪⎭⎫⎝⎛-÷158、-27+2×()23-+(-6)÷()231-159、()42-÷(-8)-()321-×(-22)160、()()[]222345----×(11587÷)×()47-161、201023)1()2(161)1()21()21(-÷-⨯⎥⎦⎤⎢⎣⎡--÷--162、2335(2)(10.8)114⎡⎤---+-⨯÷--⎢⎥⎣⎦163、322)43(6)12(7311-⨯⎥⎦⎤⎢⎣⎡÷-+--164.111117(113)(2)92844⨯-+⨯-165、235(4)0.25(5)(4)8⎛⎫-⨯--⨯-⨯- ⎪⎝⎭计算能力训练(整式1) 1.化简:b b a a 3)43(4---.2.求比多项式22325b ab a a+--少ab a -25的多项式.3.先化简、再求值)432()12(3)34(222a a a a a a --+-+--(其中2-=a )4、先化简、再求值)]23()5[(42222y xy x y xy x xy -+--+-(其中21,41-=-=y x )5、计算a a a ⋅+2433)(2)(36、(1)计算1092)21(⋅-=(2)计算532)(x x÷(3)下列计算正确的是 ( ). A.3232a a a=+ B.aa 2121=-C.623)(a a a -=⋅- D.aa221=- 计算能力训练(整式2) 计算:(1))3()32()23(32232b a abc b a -⋅-⋅-;(2))3)(532(22a a a -+-;(3))8(25.123x x -⋅ ; (4))532()3(2+-⋅-x x x ;(5)())2(32y x y x +-;(6)利用乘法公式计算:()()n m n m 234234+--+(7)()()x y y x 5225---(8)已知6,5-==+ab b a ,试求22b ab a +-的值(9)计算:2011200920102⨯-计算能力训练(整式3) 1、 b a c b a 232232÷-2、 )2(23)2(433y x y x +÷+3、22222335121)433221(y x y x y x y x ÷+-4、当5=x 时,试求()()13152322+--+-x x x x 的值5、已知4=+y x ,1=xy ,试求代数式)1)(1(22++yx的值6、计算:)()532(222223mmnnmnm aabaa-÷-+-++7、一个矩形的面积为aba322+,其宽为a,试求其周长计算能力训练(整式的乘除1)填空题1.计算(直接写出结果)①a·a3= .③(b3)4= .④(2ab)3= .⑤3x2y·)223yx-(= .2.计算:2332)()(aa-+-=.3.计算:)(3)2(43222yxyxxy-⋅⋅-=.4.(32aaa⋅⋅)3=__________.5.1821684=⋅⋅nnn,求n =.6.若524+=aa,求2005)4(-a =.7.若x2n=4,则x6n= ___.8.若52=m,62=n,则n m22+=.9.-12c b a52=-6ab·( ) .10.计算:(2×310)×(-4×510)=11.计算:10031002)161()16(-⨯-=.2.①2a2(3a2-5b)= .②(5x+2y)(3x-2y)= .13.计算:)1)(2()6)(7(+---+xxxx=.14.若._____34,992213=-=⋅⋅++-mmyxyxyx nnmm则计算能力训练(整式的乘除2)一、计算:(每小题4分,共8分)(1))311(3)()2(2xxyyx-⋅+-⋅-;(2))12(4)392(32--+-aaaaa二、先化简,再求值:(1)x (x-1)+2x (x+1)-(3x-1)(2x-5),其中x=2.(2)342)()(m m m -⋅-⋅-,其中m =2- 三、解方程(3x-2)(2x-3)=(6x+5)(x-1)+15.四、①已知,2,21==mn a 求nm a a )(2⋅的值,②若的求nn nx x x 22232)(4)3(,2---=值.五、若0352=-+y x ,求yx324⋅的值.六、说明:对于任意的正整数n ,代数式n(n+7)-(n+3)(n-2)的值是否总能被6整除.计算能力训练(分式1)1.不改变分式的值,使分式115101139x y x y -+的各项系数化为整数,分子、分母应乘以(• ) A .10 B .9 C .45 D .902.下列等式:①()a b c --=-a b c -;②x y x -+-=x y x -;③a b c-+=-a b c+;④m n m--=-m n m-中,成立的是( )A .①②B .③④C .①③D .②④3.不改变分式2323523x xx x -+-+-的值,使分子、分母最高次项的系数为正数,正确的是(• )A.2332523x x x x +++- B .2332523x x x x -++-C .2332523x x x x +--+D .2332523x x x x ---+4.分式434y x a +,2411x x --,22x xy y x y -++,2222a abab b+-中是最简分式的有( )A .1个B .2个C .3个D .4个 5.约分:(1)22699x x x ++-;(2)2232m m m m-+-计算能力训练(分式2) 1.根据分式的基本性质,分式aa b--可变形为( ) A .a a b -- B .a a b + C .-a a b - D .aa b+ 2.下列各式中,正确的是( )A .x y x y -+--=x y x y -+;B .x y x y -+-=x y x y---;C .x y x y -+--=x y x y +-;D .x y x y -+-=x y x y-+ 3.下列各式中,正确的是( ) A .a m a b m b +=+B .a b a b++=0 C .1111ab b ac c --=-- D .221x y x y x y-=-+4.若a=23,则2223712a a a a ---+的值等于_______.5.计算222a aba b+-=_________.6.公式22(1)x x --,323(1)x x --,51x -的最简公分母为( )A .(x-1)2B .(x-1)3C .(x-1)D .(x-1)2(1-x )37.21?11x x x -=+-,则?处应填上_________,其中条件是__________.拓展创新题 8.已知a 2-4a+9b 2+6b+5=0,求1a -1b 的值.计算能力训练(分式3)(1)111x x x -⎛⎫÷-⎪⎝⎭(2)2212239a a a a a a -+÷---(3)22222222a b a b a b a b ab a b a b ab a b -+++÷-⋅+-+(4) 222111121a a a a a a -+⎛⎫--÷ ⎪--+⎝⎭(5)21142x x x +--+(6) 2222x y x yx y x y-+-+-(7)()2x yxy x xy --÷(8)22222422x y x yx xy y x xy -+÷+++(9)22214441a a a a a --⋅-+-(10)222()a b a b ab -÷-(11)2452547(33)()49a y x y x y a y -⋅-(12)222224222x y y xx y xy x xy -+÷+++(13)2224x x y y ⎛⎫÷ ⎪⎝⎭(14)2222111m m m ++--(15)37444x x y yx y y x x y ++----(16)222232()()a a ba b b a a b a b ++--+-(17)34659281224b c a b a cbc ab ac+-+--计算能力训练(分式方程1)选择1、甲志愿者计划用若干个工作日完成社区的某项工作,从第三个工作日起,乙志愿者加盟此项工作,且甲、乙两人工效相同,结果提前3天完成任务,则甲志愿者计划完成此项工作的天数是……………【 】A .8 B.7 C .6 D .52、用换元法解分式方程13101x x x x --+=-时,如果设1x y x-=,将原方程化为关于y 的整式方程,那么这个整式方程是( )A .230y y +-=B .2310y y -+=C .2310y y -+=D .2310y y --= 3、分式方程131x x x x +=--的解为( )A .1B .-1C .-2D .-34、分式方程3221+=x x的解是( )A .0=xB .1=xC .2=xD .3=x 5某服装厂准备加工400套运动装,在加工完160套后,采用了新技术,使得工作效率比原计划提高了20%,结果共用了18天完成任务,问计划每天加工服装多少套?在这个问题中,设计划每天加工x 套,则根据题意可得方程为 (A )18%)201(400160=++xx(B )18%)201(160400160=+-+xx(C ) 18%20160400160=-+xx(D )18%)201(160400400=+-+xx6.解方程x x-=-22482的结果是( )A .2-=xB .2=xC .4=x D .无解7、分式方程211x x=+的解是( ) A .1 B .1- C .13 D .13-8、分式方程2131=-x 的解是( )A .21=xB .2=xC .31-=x D . 31=x 9、甲志愿者计划用若干个工作日完成社区的某项工作,从第三个工作日起,乙志愿者加盟此项工作,且甲、乙两人工效相同,结果提前3天完成任务,则甲志愿者计划完成此项工作的天数是【 】A .8 B.7 C .6 D .5 10、方程121x x =-的解是( ) A .0 B .1 C .2 D .3 11、分式方程11222x x x-+=--,可知方程解为( )A . 2x =B . 4x =C . 3x =D .无解12、方程121x x=-的解是( ) A .0 B .1 C .2D .3计算能力训练(分式方程2)填空1、请你给x 选择一个合适的值,使方程2112-=-x x 成立,你选择的x =________。
初中数学计算能力提升训练测试题1.简案1课时课前预习比一比,看谁算得又对又快,并说说计算方法。
124×75= 28×154=教学内容教科书P50、P51练习八。
教学目标1.学生在已有的笔算乘法的基础上,通过自主探究,进一步熟练三位数乘两位数的笔算方法,提高计算能力和解决实际问题的能力。
2.学生在汇报展示、课堂互动交流中经历巩固笔算乘法计算和解决问题的全过程,体验数学知识的应用性,进一步巩固算理和计算的方法。
3.在学习的过程中,感受数学知识与实际生活的联系,进一步体验学习成功带来的快乐,激发探索计算方法、解决问题的兴趣。
教学重点熟练三位数乘两位数的笔算方法,能正确计算。
教学难点应用数学知识解决实际问题。
教学用具口算卡片、多媒体课件。
教学过程基础练习一、基础练习1.口算热身28×3= 16×8= 300×16= 40×60=4×160= 3×150= 12×52≈ 29×49≈学生开火车形式回答,并说说你是怎样口算和估算的。
(动画效果,单击)2. 填空3 2 2× 2 41 2 8 8 表示( )6 4 4 表示( )7 7 2 8 表示( )学生回答,并对他正确的回答表示肯定和赞扬。
(动画效果,单击)综合练习1.列竖式计算124×73= 28×153=(1)指两名学生到黑板上做题。
(2)同桌互对答案并改正,并说说你是怎么算的?(动画效果,单击)(3)观察两位同学在黑板上所做的题,判断对不对?如不对,可主动到黑板前用红粉笔改正。
(4)寻找学生的错例并投影出来,让学生观察这些题有没有错?错在哪里?谁来帮帮他?(5)28×153这个横式怎样列竖式计算比较简便?(6)小结:列竖式计算时要注意些什么?2.引诱上当(1)让学生仔细观察,说一说这些题有没有错?错在哪里?然后改正。
6、(1)计算1092)21(⋅-=(2)计算532)(x x ÷计算能力训练(整式2)计算: (1))3()32()23(32232b a ab c b a -⋅-⋅-; (2))3)(532(22a a a -+-;(3))8(25.123x x -⋅ ; (4))532()3(2+-⋅-x x x ;(5)())2(32y x y x +-; (6)利用乘法公式计算:()()n m n m 234234+--+(7)()()x y y x 5225--- (8)已知6,5-==+ab b a ,试求22b ab a +-的值1、 b a c b a 232232÷-2、 )2(23)2(433y x y x +÷+34、当5=x 时,试求整式()()13152322+--+-x x x x 的值5、已知4=+y x ,1=xy ,试求代数式)1)(1(22++y x 的值6、计算:)()532(222223m m n n m n m a a b a a-÷-+-++8、试确定2011201075⋅的个位数字1.(辨析题)不改变分式的值,使分式115101139x y x y -+的各项系数化为整数,分子、分母应乘以(• )A .10B .9C .45D .902.(探究题)下列等式:①()a b c --=-a b c -;②x y x -+-=x y x -;③a b c -+=-a b c +; ④m n m --=-m n m-中,成立的是( ) A .①② B .③④ C .①③ D .②④3.(探究题)不改变分式2323523x x x x -+-+-的值,使分子、分母最高次项的系数为正数,正确的是(• )A .2332523x x x x +++-B .2332523x x x x -++-C .2332523x x x x +--+D .2332523x x x x ---+ 4.(辨析题)分式434y x a+,2411x x --,22x xy y x y -++,2222a ab ab b +-中是最简分式的有( ) A .1个 B .2个 C .3个 D .4个5.(技能题)约分:(1)22699x x x ++-; (2)2232m m m m-+-.6.(技能题)通分:(1)26x ab ,29y a bc ; (2)2121a a a -++,261a -.7.(妙法求解题)已知x+1x=3,求2421x x x ++的值1.根据分式的基本性质,分式a a b--可变形为( ) A .a a b -- B .a a b + C .-a a b - D .a a b + 2.下列各式中,正确的是( )A .x y x y -+--=x y x y -+;B .x y x y -+-=x y x y ---;C .x y x y -+--=x y x y +-;D .x y x y -+-=x y x y-+ 3.下列各式中,正确的是( )A .a m a b m b +=+B .a b a b ++=0C .1111ab b ac c --=-- D .221x y x y x y -=-+ 4.(2005·天津市)若a=23,则2223712a a a a ---+的值等于_______. 5.(2005·广州市)计算222a ab a b+-=_________. 6.公式22(1)x x --,323(1)x x --,51x -的最简公分母为( ) A .(x-1)2 B .(x-1)3 C .(x-1) D .(x-1)2(1-x )37.21?11x x x -=+-,则?处应填上_________,其中条件是__________.拓展创新题8.(学科综合题)已知a 2-4a+9b 2+6b+5=0,求1a -1b 的值.9.(巧解题)已知x 2+3x+1=0,求x 2+21x的值.计算能力训练(分式方程1)选择1、(2009年安徽)甲志愿者计划用若干个工作日完成社区的某项工作,从第三个工作日起,乙志愿者加盟此项工作,且甲、乙两人工效相同,结果提前3天完成任务,则甲志愿者计划完成此项工作的天数是……………【 】A .8 B.7 C .6 D .52、(2009年上海市)3.用换元法解分式方程13101x x x x --+=-时,如果设1x y x-=,将原方程化为关于y 的整式方程,那么这个整式方程是( )A .230y y +-=B .2310y y -+=C .2310y y -+=D .2310y y --= 3、(2009襄樊市)分式方程131x x x x +=--的解为( ) A .1 B .-1 C .-2 D .-34、(2009柳州)5.分式方程3221+=x x 的解是( ) A .0=x B .1=x C .2=x D .3=x5、(2009年孝感)关于x 的方程211x a x +=-的解是正数,则a 的取值范围是 A .a >-1B .a >-1且a ≠0C .a <-1D .a <-1且a ≠-26、(2009泰安)某服装厂准备加工400套运动装,在加工完160套后,采用了新技术,使得工作效率比原计划提高了20%,结果共用了18天完成任务,问计划每天加工服装多少套?在这个问题中,设计划每天加工x 套,则根据题意可得方程为(A )18%)201(400160=++x x (B )18%)201(160400160=+-+xx (C )18%20160400160=-+x x (D )18%)201(160400400=+-+x x7、(2009年嘉兴市)解方程x x -=-22482的结果是( ) A .2-=xB .2=xC .4=xD .无解8、(2009年漳州)分式方程211x x=+的解是( )A .1B .1-C .13D .13- 9、(09湖南怀化)分式方程2131=-x 的解是( ) A .21=x B .2=x C .31-=x D . 31=x10、(2009年安徽)甲志愿者计划用若干个工作日完成社区的某项工作,从第三个工作日起,乙志愿者加盟此项工作,且甲、乙两人工效相同,结果提前3天完成任务,则甲志愿者计划完成此项工作的天数是【 】A .8 B.7 C .6 D .511、(2009年广东佛山)方程121x x=-的解是( ) A .0 B .1 C .2 D .312、(2009年山西省)解分式方程11222x x x-+=--,可知方程( ) A .解为2x = B .解为4x = C .解为3x = D .无解13、(2009年广东佛山)方程121x x=-的解是( ) A .0 B .1 C .2 D .314、(2009年山西省)解分式方程11222x x x-+=--,可知方程( ) A .解为2x = B .解为4x = C .解为3x = D .无解计算能力训练(分式方程2)填空1、(2009年邵阳市)请你给x 选择一个合适的值,使方程2112-=-x x 成立,你选择的x =________。
计算能力训练(整式1)6、(1)计算1092)21(⋅-= (2)计算532)(x x ÷计算能力训练(整式2)计算: (1))3()32()23(32232b a ab c b a -⋅-⋅-;(2))3)(532(22a a a -+-; (3))8(25.123x x -⋅;(4))532()3(2+-⋅-x x x ;(5)())2(32y x y x +-;(6)利用乘法公式计算:()()n m n m 234234+--+(7)()()x y y x 5225---(8)已知6,5-==+ab b a ,试求22b ab a +-的值 计算能力训练(整式3)1、b a c b a 232232÷-2、)2(23)2(433y x y x +÷+ 34、当5=x 时,试求整式()()13152322+--+-x x x x 的值5、已知4=+y x ,1=xy ,试求代数式)1)(1(22++y x 的值6、计算:)()532(222223m m n n m n m a a b a a -÷-+-++8、试确定2011201075⋅的个位数字1.(辨析题)不改变分式的值,使分式115101139x y x y -+的各项系数化为整数,分子、分母应乘以(•)A .10B .9C .45D .902.(探究题)下列等式:①()a b c --=-a b c -;②x yx -+-=x yx -;③a b c -+=-a b c+; ④m n m --=-m n m-中,成立的是() A .①②B .③④C .①③D .②④3.(探究题)不改变分式2323523x x x x -+-+-的值,使分子、分母最高次项的系数为正数,正确的是(•)A .2332523x x x x +++-B .2332523x x x x -++-C .2332523x x x x +--+D .2332523x x x x ---+ 4.(辨析题)分式434y x a +,2411x x --,22x xy y x y -++,2222a ab ab b +-中是最简分式的有()A .1个B .2个C .3个D .4个5.(技能题)约分:(1)22699x x x ++-;(2)2232m m m m-+-. 6.(技能题)通分:(1)26xab ,29y a bc ;(2)2121a a a -++,261a -. 7.(妙法求解题)已知x+1x =3,求2421x x x ++的值1.根据分式的基本性质,分式a a b--可变形为() A .a a b --B .a a b +C .-a a b -D .a a b + 2.下列各式中,正确的是()A .x y x y -+--=x y x y -+;B .x y x y -+-=x y x y ---;C .x y x y -+--=x y x y +-;D .x y x y -+-=x y x y-+ 3.下列各式中,正确的是()A .a m a b m b +=+B .a b a b ++=0C .1111ab b ac c --=--D .221x y x y x y -=-+ 4.(2005·天津市)若a=23,则2223712a a a a ---+的值等于_______. 5.(2005·广州市)计算222a ab a b+-=_________. 6.公式22(1)x x --,323(1)x x --,51x -的最简公分母为() A .(x-1)2B .(x-1)3 C .(x-1)D .(x-1)2(1-x )3 7.21?11x x x -=+-,则?处应填上_________,其中条件是__________. 拓展创新题8.(学科综合题)已知a 2-4a+9b 2+6b+5=0,求1a -1b 的值.9.(巧解题)已知x 2+3x+1=0,求x 2+21x 的值.计算能力训练(分式方程1)选择1、(2009年安徽)甲志愿者计划用若干个工作日完成社区的某项工作,从第三个工作日起,乙志愿者加盟此项工作,且甲、乙两人工效相同,结果提前3天完成任务,则甲志愿者计划完成此项工作的天数是……………【】A .8 B.7 C .6 D .52、(2009年上海市)3.用换元法解分式方程13101x x x x --+=-时,如果设1x y x-=,将原方程化为关于y 的整式方程,那么这个整式方程是()A .230y y +-=B .2310y y -+=C .2310y y -+=D .2310y y --= 3、(2009襄樊市)分式方程131x x x x +=--的解为() A .1B .-1 C .-2 D .-34、(2009柳州)5.分式方程3221+=x x 的解是() A .0=x B .1=x C .2=x D .3=x 5、(2009年孝感)关于x 的方程211x ax +=-的解是正数,则a 的取值范围是 A .a >-1 B .a >-1且a ≠0C .a <-1D .a <-1且a ≠-26、(2009泰安)某服装厂准备加工400套运动装,在加工完160套后,采用了新技术,使得工作效率比原计划提高了20%,结果共用了18天完成任务,问计划每天加工服装多少套?在这个问题中,设计划每天加工x 套,则根据题意可得方程为(A )18%)201(400160=++x x (B )18%)201(160400160=+-+xx (C )18%20160400160=-+xx (D )18%)201(160400400=+-+x x 7、(2009年嘉兴市)解方程x x -=-22482的结果是( ) A .2-=x B .2=x C .4=x D .无解8、(2009年漳州)分式方程211x x=+的解是() A .1 B .1-C .13 D .13- 9、(09湖南怀化)分式方程2131=-x 的解是() A .21=x B .2=x C .31-=x D .31=x 10、(2009年安徽)甲志愿者计划用若干个工作日完成社区的某项工作,从第三个工作日起,乙志愿者加盟此项工作,且甲、乙两人工效相同,结果提前3天完成任务,则甲志愿者计划完成此项工作的天数是【】A .8 B.7 C .6 D .511、(2009年广东佛山)方程121x x=-的解是( )A .0B .1C .2D .312、(2009年山西省)解分式方程11222x x x-+=--,可知方程() A .解为2x =B .解为4x =C .解为3x =D .无解13、(2009年广东佛山)方程121x x=-的解是( ) A .0 B .1 C .2 D .314、(2009年山西省)解分式方程11222x x x-+=--,可知方程() A .解为2x =B .解为4x =C .解为3x =D .无解计算能力训练(分式方程2)填空1、(2009年邵阳市)请你给x 选择一个合适的值,使方程2112-=-x x 成立,你选择的x =________。
计算能力训练(有理数的计算)1、 111117(113)(2)92844⨯-+⨯-2、419932(4)(1416)41313⎡⎤--⨯-÷-⎢⎥⎣⎦3、33221121(5533)22⎡⎤⎛⎫⎛⎫--÷+⨯+⎢⎥ ⎪ ⎪⎝⎭⎝⎭⎢⎥⎣⎦4、2335(2)(10.8)114⎡⎤---+-⨯÷--⎢⎥⎣⎦5、(—315)÷(—16)÷(—2)6、 –4 + 2 ×(-3) –6÷0.257、(—5)÷[1.85—(2—431)×7]8、 18÷{1-[0.4+ (1-0.4)]×0.4 9、1÷( 61-31)×6110、 –3-[4-(4-3.5×31)]×[-2+(-3) ]11、 8+(-41)- 5- (- 0.25)15、13611754136227231++-;16、20012002200336353⨯+⨯-17、()5.5-+()2.3-()5.2---4.818、()8-)02.0()25(-⨯-⨯19、21+()23-⎪⎭⎫⎝⎛-⨯2120、81)4(2833--÷-21、100()()222---÷⎪⎭⎫⎝⎛-÷3222、(-371)÷(461-1221)÷(-2511)×(-143)23、(-2)14×(-3)15×(-61)1424、-42+5×(-4)2-(-1)51×(-61)+(-221)÷(-241) 25、-11312×3152-11513×41312-3×(-11513) 26、41+3265+2131-- 27、()()4+×733×250)-(.-55、)61(41)31()412(213+---+--56、2111943+-+--60、=⨯(-4)3 57、31211+-62、=⨯0(-6)58、)]18()21(26[13-+--- 69、)8(45)201(-⨯⨯- 59、2111)43(412--+---70、53)8()92()4()52(8⨯-+-⨯---⨯66、)25()7()4(-⨯-⨯-67、)34(8)53(-⨯⨯- 68、)1514348(43--⨯71、)8(12)11(9-⨯-+⨯-78、)412()21()43(-÷-⨯-79、2411)25.0(6⨯-÷-81、)2(48-÷+-80、)21(31)32(-÷÷-82、)51(250-⨯÷-83、)3(4)2(817-⨯+-÷-84、1)101(250322-⨯÷+85、911)325.0(321÷-⨯-89、6)3(5)3(42+-⨯--⨯86、1)51(25032--⨯÷+87、])3(2[)]215.01(1[2--⨯⨯-- 88、)145()2(52825-⨯-÷+-90、)25.0(5)41(8----+91、)48()1214361(-⨯-+-92、31)321()1(⨯-÷- 93、)199(41212+-÷⨯94、)16(94412)81(-÷+÷-95、)]21541(43[21----96、13+(+7)-(-20)-(-40)-(+6) 97、)2(9449344-÷+÷- 98、22)36()33(24)12581(÷-÷---⨯-99、13)18()14(20----+-100、 8+(―41)―5―(―0.25)101、 (-12)÷4×(-6)÷2 102、 )1279543(+--÷361103、2)5()2(10-⨯-+104、 (7)(5)90-⨯--÷(15)-105、 721×143÷(-9+19)106 、25×43―(―25)×21+25×(-41)107、()1-⎪⎭⎫ ⎝⎛-÷2131108、(-81)÷241+94÷(-16)109、2(x-3)-3(-x+1)110、111117(113)(2)92844⨯-+⨯- 111、3223121213+⎪⎭⎫ ⎝⎛--⎪⎭⎫ ⎝⎛-+112、 47÷)6(3287-⨯-113、48245834132⨯⎪⎭⎫ ⎝⎛+--114、|97|-÷2)4(31)5132(-⨯--115、-22 -〔-32 + (- 2)4 ÷23〕116、235(4)0.25(5)(4)8⎛⎫-⨯--⨯-⨯- ⎪⎝⎭117200423)1()2(161)1()21()21(-÷-⨯⎥⎦⎤⎢⎣⎡--÷--118、 100()()222---÷3)2(32-+⎪⎭⎫ ⎝⎛-÷ 119、―22+41×(-2)2120、322)43(6)12(7311-⨯⎥⎦⎤⎢⎣⎡÷-+--121、111117(113)(2)92844⨯-+⨯-122、419932(4)(1416)41313⎡⎤--⨯-÷-⎢⎥⎣⎦125、(-0.4)÷0.02×(-5)124、 (+3.74)-[(-5.91)-(-2.74)+(-2.78)126、)—()—)+(—(25.0433242÷⨯127、 5)1(12)5(511⨯-+⨯--⨯128、11)()+(2532.015[3-÷⨯----]129 、12(4)4⎡⎤-|-16|-⨯-⎢⎥⎣⎦÷⎥⎦⎤⎢⎣⎡--)813(41130、 2335(2)(10.8)114⎡⎤---+-⨯÷--⎢⎥⎣⎦131、(-1275420361-+-)×(-15×4)132、2÷(-73)×74÷(-571)133、()5.5-+()2.3-()5.2---4.8134、53)8()92()4()52(8⨯-+-⨯---⨯135、(-13)×(-134)×131×(-671)136、)145()2(52825-⨯-÷+-137、(-487)-(-521)+(-441)-381138、(-0.5)-(-341)+6.75-521139、(-6)×(-4)+(-32)÷(-8)-3140、(—315)÷(—16)÷(—2)141、(-9)×(-4)+ (-60)÷12142.111117(113)(2)92844⨯-+⨯-143、-153×(327-165)÷221144.100()()222---÷⎪⎭⎫⎝⎛-÷32145、()22-2-+()32-+32146、 22--3)3(-×()31--()31-147、22)36()33(24)12581(÷-÷---⨯-6562149、0-()23-÷3×()32-150、()22--2[()221--3×43]÷51151、22-×()221-÷()38.0-152、-23×()231--()32-÷()221-153、()243-×(-32+1) ×0154、-10+8÷()22--4×3155、-51-()()[]55.24.0-⨯-156、()251--(1-0.5)×31157、100()()222---÷3)2(32-+⎪⎭⎫ ⎝⎛-÷158、-27+2×()23-+(-6)÷()231-159、()42-÷(-8)-()321-×(-22)160、()()[]222345----×(11587÷)×()47-161、201023)1()2(161)1()21()21(-÷-⨯⎥⎦⎤⎢⎣⎡--÷--162、2335(2)(10.8)114⎡⎤---+-⨯÷--⎢⎥⎣⎦163、322)43(6)12(7311-⨯⎥⎦⎤⎢⎣⎡÷-+--164.111117(113)(2)92844⨯-+⨯-165、235(4)0.25(5)(4)8⎛⎫-⨯--⨯-⨯- ⎪⎝⎭计算能力训练(整式1)1.化简:b b a a 3)43(4---.2.求比多项式22325b ab a a +--少ab a -25的多项式.3.先化简、再求值)432()12(3)34(222a a a a a a --+-+--(其中2-=a )4、先化简、再求值(其中21,41-=-=y x )5、计算a a a ⋅+2433)(2)(36、(1)计算1092)21(⋅-=(2)计算532)(x x ÷(3)下列计算正确的是 ( ). A.3232a a a =+ B.aa 2121=- C.623)(a a a -=⋅- D.aa 221=- 计算能力训练(整式2)计算: (1))3()32()23(32232b a ab c b a -⋅-⋅-;(2))3)(532(22a a a -+-;(3))8(25.123x x -⋅ ;(4))532()3(2+-⋅-x x x ; (5)())2(32y x y x +-;(6)利用乘法公式计算:()()n m n m 234234+--+(7)()()x y y x 5225---(8)已知6,5-==+ab b a ,试求22b ab a +-的值(9)计算:2011200920102⨯-计算能力训练(整式3)1、 b a c b a 232232÷-2、 )2(23)2(433y x y x +÷+3、22222335121)433221(y x y x y x y x ÷+-4、当5=x 时,试求()()13152322+--+-x x x x 的值5、已知4=+y x ,1=xy ,试求代数式)1)(1(22++y x 的值6、计算:)()532(222223m m n n m nm a a b a a -÷-+-++7、一个矩形的面积为ab a 322+,其宽为a ,试求其周长计算能力训练(整式的乘除1)填空题1.计算(直接写出结果) ①a ·a 3= . ③(b 3)4= . ④(2ab )3= .⑤3x 2y ·)223y x -(= . 2.计算:2332)()(a a -+-= .3.计算:)(3)2(43222y x y x xy -⋅⋅-= .4.(32a a a ⋅⋅)3=__________.5.1821684=⋅⋅nnn,求n = .6.若524+=a a ,求2005)4(-a = . 7.若x 2n =4,则x 6n = ___. 8.若52=m ,62=n ,则n m 22+= . 9.-12c b a 52=-6ab ·( ) .10.计算:(2×310)×(-4×510)=11.计算:10031002)161()16(-⨯-= . 2.①2a 2(3a 2-5b )= . ②(5x +2y )(3x -2y )= .13.计算:)1)(2()6)(7(+---+x x x x = . 14.若._____34,992213=-=⋅⋅++-m m y x y x y x n n m m 则计算能力训练(整式的乘除2)一、计算:(每小题4分,共8分) (1))311(3)()2(2x xy y x -⋅+-⋅-;(2))12(4)392(32--+-a a a a a二、先化简,再求值:(1)x (x -1)+2x (x +1)-(3x -1)(2x -5),其中x =2.(2)342)()(m m m -⋅-⋅-,其中m =2-三、解方程(3x -2)(2x -3)=(6x +5)(x -1)+15.四、①已知,2,21==mn a 求n m a a )(2⋅的值,②若的求n n n x x x 22232)(4)3(,2---=值.五、若0352=-+y x ,求yx324⋅的值.六、说明:对于任意的正整数n ,代数式n (n +7)-(n +3)(n -2)的值是否总能被6整除.计算能力训练(分式1)1.不改变分式的值,使分式115101139x yx y -+的各项系数化为整数,分子、分母应乘以(• )A .10B .9C .45D .902.下列等式:①()a b c --=-a b c-;②x y x -+-=x yx -;③a b c -+=-a b c+;④m n m --=-m n m -中,成立的是( )A .①② B .③④ C .①③ D .②④3.不改变分式2323523x xx x -+-+-的值,使分子、分母最高次项的系数为正数,正确的是(• )A.2332523x x x x +++- B .2332523x x x x -++-C .2332523x x x x +--+D .2332523x x x x ---+4.分式43y x +,21x -,22x xy y -+,22a ab+ A .1个 B .2个 C .3个 D .4个5.约分:(1)22699x x x ++-;(2)2232m m m m-+-计算能力训练(分式2)1.根据分式的基本性质,分式aa b--可变形为( ) A .a a b -- B .a a b + C .-a a b - D .a a b+2.下列各式中,正确的是( )A .x y x y -+--=x y x y -+; B .x y x y -+-=x yx y---;C .x y x y -+--=x y x y +-; D .x y x y -+-=x yx y-+3.下列各式中,正确的是( ) A .a m ab m b +=+B .a ba b++=0 C .1111ab b ac c --=-- D .221x y x y x y-=-+4.若a=23,则2223712a a a a ---+的值等于_______.5.计算222a aba b+-=_________. 6.公式22(1)x x --,323(1)x x --,51x -的最简公分母为( ) A .(x-1)2B .(x-1)3C .(x-1)D .(x-1)2(1-x )37.21?11x x x -=+-,则?处应填上_________,其中条件是__________.拓展创新题8.已知a 2-4a+9b 2+6b+5=0,求1-1的值.计算能力训练(分式3)(1)111x x x -⎛⎫÷- ⎪⎝⎭(2)2212239a aa a a a -+÷--- (3)22222222a b a b a b a b ab a b a b ab a b-+++÷-⋅+-+(4) 222111121a a a a a a -+⎛⎫--÷ ⎪--+⎝⎭(5)21142x x x +--+(6) 2222x y x y x y x y-+-+-x y-(8)22222422x y x yx xy y x xy-+÷+++(9)22214441a a a a a --⋅-+-(10)222()a b a b ab-÷-(11)2452547(33)()49a y x y x y a y-⋅-(12)222224222x y y xx y xy x xy-+÷+++(13) 2224x x y y ⎛⎫÷ ⎪⎝⎭221m +(15)37444x x y yx y y x x y++----(16)222232()()a a ba b b a a b a b ++--+-(17)34659281224b c a b a cbc ab ac+-+--计算能力训练(分式方程1)选择1、甲志愿者计划用若干个工作日完成社区的某项工作,从第三个工作日起,乙志愿者加盟此项工作,且甲、乙两人工效相同,结果提前3天完成任务,则甲志愿者计划完成此项工作的天数是……………【 】 A .8 B.7 C .6 D .52、用换元法解分式方程13101x xx x --+=-时,如果设1x y x-=,将原方程化为关于y 的整式方程,那么这个整式方程是( )A .230y y +-=B .2310y y -+=C .2310y y -+=D .2310y y --=3、分式方程131x x x x +=--的解为( ) A .1 B .-1 C .-2 D .-34、分式方程3221+=x x 的解是( ) 160套后,采用了新技术,使得工作效率比原计划提高了20%,结果共用了18天完成任务,问计划每天加工服装多少套?在这个问题中,设计划每天加工x 套,则根据题意可得方程为 (A )18%)201(400160=++x x (B )18%)201(160400160=+-+xx (C ) 18%20160400160=-+xx (D )18%)201(160400400=+-+xx 6.解方程xx -=-22482的结果是( ) A .2-=x B .2=x C .4=x D .无解7、分式方程211x x=+的解是( ) A .1 B .1- C .13 D .13-8、分式方程2131=-x 的解是( )A .21=xB .2=xC .31-=xD . 31=x9、甲志愿者计划用若干个工作日完成社区的某项工作,从第三个工作日起,乙志愿者加盟此项工作,且甲、乙两人工效相同,结果提前3天完成任务,则甲志愿者计划完成此项工作的天数是【 】A .8 B.7 C .6 D .510、方程121x x=-的解是( )A .0B .1C .2D .311、分式方程11222x x x-+=--,可知方程解为( )A . 2x =B . 4x =C . 3x =D .无解12、方程121x x=-的解是( ) A .0 B .1 C .2 D .3计算能力训练(分式方程2)成立,你选择的x =________。
强化运算能力提升数学质量计算能力训练(整式1)6、( 1)计算( 1 ) 9 210=2(2)计算(x2)3x 5计算能力训练(整式2)计算:(1) ( 3 a 2b3 c) ( 2 ab2 )2 ( 3a3 b) ;(2) ( 2a2 3a 5)(3 a2 ) ;2 3(3)1.25 x3( 8x 2 ) ;(4)(3x) (2x 23x 5) ;(5)2x 3 y (x 2 y) ;(6)利用乘法公式计算: 4m 3 2n 4m 32n (7) 5x 2 y 2 y 5x(8)已知a b 5, ab 6 ,试求 a2ab b2的值计算能力训练(整式3)1、2a 2 b3 c 2a 2b 2、3(x 2 y)33(x 2 y) 3 4 234、当x 5 时,试求整式3x22x25x 13x 1 的值5y 4 xy 1 2 2、已知 x ,,试求代数式的值6、计算 : ( 2a3m 2n3a 2m n b2 n 5a 2m )( a 2m )8、试确定520107 2011的个位数字计算能力训练(分式 1) 1.(辨析题)不改变分式的值,使分式( ? )1 x 1 y510的各项系数化为整数,分子、分母应乘以1 x 1 y39A . 10B . 9C .45D . 902.(探究题)下列等式:①( a b) =- a b ; ② x y = x y; ③ a b =- a b ;c c x x c c④m n=-m n中 , 成立的是()mmA .①②B .③④C .①③D .②④23.(探究题)不改变分式23xx的值,使分子、分母最高次项的系数为正数,正确5x 3 2x 3的是( ? )A . 3x 2x 2B . 3x 2 x 2C . 3x 2x 2D . 3x 2 x 25x 32x 35x 3 2x 35x 32x 35x 32x 34.(辨析题)分式 4 y 3x ,x 2 1 ,x 2 xy y 2,a 2 2ab 中是最简分式的有()4ax 4 1 x yab 2b 2A . 1 个B . 2 个 C. 3 个 D.4 个5.(技能题)约分:( 1)x 26x 9 ; ( 2)m 23m 2 .x 29m 2m6. (技能题)通分:( 1)x 2 ,y; ( 2)a 1,6.6ab 222a 1 a 29a bc a 17. (妙法求解题)已知1x 2的值x+ =3,求x 4 x 2x1计算能力训练(分式 2)1. 根据分式的基本性质,分式a可变形为()a bA .a B .aa D .aa bC .-ba ba ba 2.下列各式中,正确的是( )A . x y = x yx y x y; B . x y = xy x yx y; C . x y = x y x y x y; D . x y = x yx y x y3.下列各式中,正确的是()A . a m aB . a b =0C . ab 1 b 1D .x y1b m ba bac 1 c 1x 2 y 2x y4.( 2005·天津市)若 2,则a 2 2a 3a=a 2 7a 的值等于 _______ .312a 2 ab =_________.5.( 2005·广州市)计算 2b 2a6.公式x 22 ,2x 33 , 5 的最简公分母为( )( x 1) (1 x) x 1A .( x-1 ) 2B .( x-1 )3C.( x-1 ) D .( x-1 ) 2( 1-x ) 37.x1 ? ,则?处应填上 _________,其中条件是 __________ . x 1 x2 1拓展创新题8.(学科综合题)已知 a 2-4a+9b 2+6b+5=0,求 1 -1的值.a b9.(巧解题)已知 x 2+3x+1=0,求 x 2+ 1的值.x 2计算能力训练 (分式方程 1)1、(2009 年安徽)甲志愿者 划用若干个工作日完成社区的某 工作,从第三个工作日起,乙志愿者加盟此 工作,且甲、乙两人工效相同, 果提前 3 天完成任 , 甲志愿者 划完成此 工作的天数是⋯⋯⋯⋯⋯【 】A .8 B.7 C .6 D . 52、(2009 年上海市 )3 .用 元法解分式方程x 13x 1 0 ,如果x 1y ,xx 1x将原方程化 关于 y 的整式方程,那么 个整式方程是()A .y 2y 3 0 . y 23y 1 0B C .3 y 2y 1 0. 3 y 2 y 1 0D3、(2009 襄樊市)分式方程x 3 x 1的解 ()xx 1 A . 1B . -1C .-2D . -34、(2009 柳州) 5.分式方程12 的解是()2x x 3A . x 0B . x 1C . x 2D . x 35、(2009 年孝感)关于 x 的方程2 xa 1 的解是正数, a 的取 范 是A .a >- 1x1B . a >- 1 且 a ≠ 0C .a <- 1D .a <- 1 且 a ≠- 26、( 2009 泰安)某服装厂准 加工 400 套运 装,在加工完 160 套后,采用了新技 ,使得工作效率比原 划提高了 20%, 果共用了 18 天完成任 ,划每天加工服装多少套?在 个 中, 划每天加工 x 套, 根据 意可得方程( A )160400 18(B ) 160400 160 18x (1 20%) xx(1 20%) x( C )160 400 160 18( D ) 400400 160 18x20% xx(1 20%) x7、(2009 年嘉 市)解方程8 2的 果是() 4 x 2 2 xA . x 2B . x 2C . x 4D .无解8、(2009 年漳州)分式方程2 1的解是()x 1 xA . 1B . 1C .1D .13 31 9、(09 湖南怀化)分式方程2 的解是()3x 1A . x1 1 D .1 B . x 2C . xx23310、( 2009 年安徽)甲志愿者计划用若干个工作日完成社区的某项工作,从第三个工作日起,乙志愿者加盟此项工作,且甲、乙两人工效相同,结果提前 3天完成任务,则甲志愿者计划完成此项工作的天数是【 】A .8 B.7 C .6 D . 511、( 2009年广东佛山)方程1 12 的解是( )x xA . 0B .1C .2D .312、( 2009 年山西省)解分式方程1x 2 1 ,可知方程()x 2 2 xA .解为 x 2B .解为 x4 C .解为 x 3D .无解 13、( 2009年广东佛山)方程 1 1 2 的解是( )A . 0B .1x x C .2D .314、( 2009 年山西省)解分式方程1x 2 1 ,可知方程()x 2 2 xA .解为 x 2B .解为 x4 C .解为 x 3D .无解计算能力训练 (分式方程 2)填空1、( 2009 年邵阳市)请你给 x 选择一个合适的值,使方程 2 1 成立,你选择的 x =________。
x 1 x 22、( 2009 年茂名市)方程11 1的解是 xx 2x3、( 2009 年滨州)解方程2x3x 2 3x,则方程可化为.x 2 1x2 时,若设 yx 214、( 2009 仙桃)分式方程2 x1的解为 ________________ .x 1x 15、 (2009 成都 ) 分式方程21 的解是 _________3xx 16、( 2009 山西省太原市)方程2 5的解是 .3 x 1 2x7、( 2009 年吉林省)方程1的解是x 22x m8、( 2009 年杭州市)已知关于m 的取值范围为x 的方程3 的解是正数,则x 2_____________ .9、( 2009 年台州市)在课外活动跳绳时,相同时间内小林跳了 90 下,小群跳了 120 下.已知小群每分钟比小林多跳20 下,设小林每分钟跳 x 下,则可列关于 x 的方程为.x a3 无解,则 a.、 (2009 年牡丹江市 )若关于 x 的分式方程1x 112 x11、(2009 年重庆)分式方程1 的解为.x x 112、( 2009 年宜宾)方程7 5的解是.x 2xx a3 无解,则 a.、( 2009年牡丹江)若关于 x 的分式方程1x 1x14、( 2009 年重庆市江津区)分式方程1 2 1 的解是.x x15、 (2009 年咸宁市 )分式方程1x 2 的解是 _____________ .2x 316、( 2009 龙岩)方程1 2 0 的解是.x1计算能力训练(分式方程3)解答1、 (2009 年四川省内江市) 某服装厂为学校艺术团生产一批演出服,总成本3200 元,售价每套 40 元,服装厂向25 名家庭贫困学生免费提供。
经核算,这25 套演出服的成本正好是原定生产这批演出服的利润。
问这批演出服生产了多少套?2、( 2009 年长春)某工程队承接了工作效率是原来的 2 倍,一共用3000 米的修路任务,在修好600 米后,引进了新设备,30 天完成了任务,求引进新设备前平均每天修路多少米?3、( 2009 年锦州)根据规划设计,某市工程队准备在开发区修建一条长了 60 米后,由于采用新的施工方式,实际每天修建盲道的长度比原计划增加用了 8 天完成任务,该工程队改进技术后每天铺设盲道多少米?300 米的盲道 .铺设10 米,结果共1 24、( 2009年常德市)解方程:x x 15、( 2009 年桂林市、百色市)(本题满分 8 分)在我市某一城市美化工程招标时,有甲、乙两个工程队投标.经测算:甲队单独完成这项工程需要60 天;若由甲队先做20 天,剩下的工程由甲、乙合做24 天可完成.(1)乙队单独完成这项工程需要多少天?(2)甲队施工一天,需付工程款 3.5 万元,乙队施工一天需付工程款 2 万元.若该工程计划在 70 天内完成,在不超过计划天数的前提下,是由甲队或乙队单独完成该工程省钱?还是由甲乙两队全程合作完成该工程省钱?6、 (2009 年安顺 ) 下表为抄录北京奥运会官方票务网公布的三种球类比赛的部分门票价格,某公司购买的门票种类、数量绘制的统计图表如下:依据上列图表,回答下列问题:(1)其中观看足球比赛的门票有_____ 张;观看乒乓球比赛的门票占全部门票的_____%;( 2)公司决定采用随机抽取的方式把门票分配给100 名员工,在看不到门票的条件下,每人抽取一张(假设所有的门票形状、大小、质地完全相同且充分洗匀),问员工小华抽到男篮门票的概率是_____;(3)若购买乒乓球门票的总款数占全部门票总款数的1 ,求每张乒乓球门票的价格。