2003年全国统一高考文科数学试卷(全国旧课程卷)
- 格式:doc
- 大小:788.36 KB
- 文档页数:17
2007年全国统一高考数学试卷(文科)(全国卷Ⅰ)一、选择题(共12小题,每小题5分,满分60分)1.(5分)设S={x|2x+1>0},T={x|3x﹣5<0},则S∩T=()A.∅B.C.D.2.(5分)α是第四象限角,cosα=,则sinα=()A.B.C.D.3.(5分)已知向量,,则与()A.垂直B.不垂直也不平行C.平行且同向D.平行且反向4.(5分)已知双曲线的离心率为2,焦点是(﹣4,0),(4,0),则双曲线方程为()A.B.C.D.5.(5分)甲、乙、丙3位同学选修课程,从4门课程中,甲选修2门,乙、丙各选修3门,则不同的选修方案共有()A.36种B.48种C.96种D.192种6.(5分)下面给出的四个点中,位于表示的平面区域内的点是()A.(0,2) B.(﹣2,0)C.(0,﹣2)D.(2,0)7.(5分)如图,正棱柱ABCD﹣A1B1C1D1中,AA1=2AB,则异面直线A1B与AD1所成角的余弦值为()A.B.C.D.8.(5分)设a>1,函数f(x)=log a x在区间[a,2a]上的最大值与最小值之差为,则a=()A.B.2 C.D.49.(5分)f(x),g(x)是定义在R上的函数,h(x)=f(x)+g(x),则“f(x),g(x)均为偶函数”是“h(x)为偶函数”的()A.充要条件B.充分而不必要的条件C.必要而不充分的条件D.既不充分也不必要的条件10.(5分)函数y=2cos2x的一个单调增区间是()A.B.C.D.11.(5分)曲线在点处的切线与坐标轴围成的三角形面积为()A.B.C.D.12.(5分)抛物线y2=4x的焦点为F,准线为l,经过F且斜率为的直线与抛物线在x轴上方的部分相交于点A,AK⊥l,垂足为K,则△AKF的面积是()A.4 B.C.D.8二、填空题(共4小题,每小题5分,满分20分)13.(5分)从自动打包机包装的食盐中,随机抽取20袋,测得各袋的质量分别为(单位:g):492496494495498497501502504496 497503506508507492496500501499根据频率分布估计总体分布的原理,该自动包装机包装的袋装食盐质量在497.5g~501.5g之间的概率约为.14.(5分)函数y=f(x)的图象与函数y=log3x(x>0)的图象关于直线y=x对称,则f(x)=.15.(5分)正四棱锥S﹣ABCD的底面边长和各侧棱长都为,点S、A、B、C、D都在同一个球面上,则该球的体积为.16.(5分)等比数列{a n}的前n项和为S n,已知S1,2S2,3S3成等差数列,则{a n}的公比为.三、解答题(共6小题,满分80分)17.(10分)设锐角三角形ABC的内角A,B,C的对边分别为a,b,c,a=2bsinA (Ⅰ)求B的大小;(Ⅱ)若,c=5,求b.18.(12分)某商场经销某商品,顾客可采用一次性付款或分期付款购买.根据以往资料统计,顾客采用一次性付款的概率是0.6,经销一件该商品,若顾客采用一次性付款,商场获得利润200元;若顾客采用分期付款,商场获得利润250元.(Ⅰ)求3位购买该商品的顾客中至少有1位采用一次性付款的概率;(Ⅱ)求3位顾客每人购买1件该商品,商场获的利润不超过650元的概率.19.(12分)四棱锥S﹣ABCD中,底面ABCD为平行四边形,侧面SBC⊥底面ABCD,已知∠ABC=45°,AB=2,BC=2,SA=SB=.(Ⅰ)证明:SA⊥BC;(Ⅱ)求直线SD与平面SBC所成角的大小.20.(12分)设函数f(x)=2x3+3ax2+3bx+8c在x=1及x=2时取得极值.(Ⅰ)求a、b的值;(Ⅱ)若对任意的x∈[0,3],都有f(x)<c2成立,求c的取值范围.21.(12分)设{a n}是等差数列,{b n}是各项都为正数的等比数列,且a1=b1=1,a3+b5=21,a5+b3=13.(Ⅰ)求{a n}、{b n}的通项公式;(Ⅱ)求数列的前n项和S n.22.(12分)已知椭圆的左右焦点分别为F1、F2,过F1的直线交椭圆于B、D两点,过F2的直线交椭圆于A、C两点,且AC⊥BD,垂足为P (Ⅰ)设P点的坐标为(x0,y0),证明:;(Ⅱ)求四边形ABCD的面积的最小值.2007年全国统一高考数学试卷(文科)(全国卷Ⅰ)参考答案与试题解析一、选择题(共12小题,每小题5分,满分60分)1.(5分)(2007•全国卷Ⅰ)设S={x|2x+1>0},T={x|3x﹣5<0},则S∩T=()A.∅B.C.D.【分析】集合S、T是一次不等式的解集,分别求出再求交集.【解答】解:S={x|2x+1>0}={x|x>﹣},T={x|3x﹣5<0}={x|x<},则S∩T=,故选D.2.(5分)(2007•全国卷Ⅰ)α是第四象限角,cosα=,则sinα=()A.B.C.D.【分析】根据同角的三角函数之间的关系sin2+cos2α=1,得到余弦的值,又由角在第四象限,确定符号.【解答】解:∵α是第四象限角,∴sinα=,故选B.3.(5分)(2007•全国卷Ⅰ)已知向量,,则与()A.垂直B.不垂直也不平行C.平行且同向D.平行且反向【分析】根据向量平行垂直坐标公式运算即得.【解答】解:∵向量,,得,∴⊥,故选A.4.(5分)(2007•全国卷Ⅰ)已知双曲线的离心率为2,焦点是(﹣4,0),(4,0),则双曲线方程为()A.B.C.D.【分析】根据焦点坐标求得c,再根据离心率求得a,最后根据b=求得b,双曲线方程可得.【解答】解.已知双曲线的离心率为2,焦点是(﹣4,0),(4,0),则c=4,a=2,b2=12,双曲线方程为,故选A.5.(5分)(2007•全国卷Ⅰ)甲、乙、丙3位同学选修课程,从4门课程中,甲选修2门,乙、丙各选修3门,则不同的选修方案共有()A.36种B.48种C.96种D.192种【分析】根据题意,先分析甲,有C42种,再分析乙、丙,有C43•C43种,进而由乘法原理计算可得答案.【解答】解;根据题意,甲、乙、丙3位同学选修课程,从4门课程中,甲选修2门,有C42种,乙、丙各选修3门,有C43•C43种,则不同的选修方案共有C42•C43•C43=96种,故选C.6.(5分)(2007•全国卷Ⅰ)下面给出的四个点中,位于表示的平面区域内的点是()A.(0,2) B.(﹣2,0)C.(0,﹣2)D.(2,0)【分析】本题考查的是不等式所表示的平面区域内点所满足的条件的问题,解决此问题只需将点代入验证即可【解答】解:将四个点的坐标分别代入不等式组,解可得,满足条件的是(0,﹣2),故选C.7.(5分)(2007•全国卷Ⅰ)如图,正棱柱ABCD﹣A1B1C1D1中,AA1=2AB,则异面直线A1B与AD1所成角的余弦值为()A.B.C.D.【分析】先通过平移将两条异面直线平移到同一个起点B,得到的锐角∠A1BC1就是异面直线所成的角,在三角形中A1BC1用余弦定理求解即可.【解答】解.如图,连接BC1,A1C1,∠A1BC1是异面直线A1B与AD1所成的角,设AB=a,AA1=2a,∴A1B=C1B=a,A1C1=a,∠A1BC1的余弦值为,故选D.8.(5分)(2007•全国卷Ⅰ)设a>1,函数f(x)=log a x在区间[a,2a]上的最大值与最小值之差为,则a=()A.B.2 C.D.4【分析】因为a>1,函数f(x)=log a x是单调递增函数,最大值与最小值之分别为log a2a、log a a=1,所以log a2a﹣log a a=,即可得答案.【解答】解.∵a>1,∴函数f(x)=log a x在区间[a,2a]上的最大值与最小值之分别为log a2a,log a a,∴log a2a﹣log a a=,∴,a=4,故选D9.(5分)(2008•上海)f(x),g(x)是定义在R上的函数,h(x)=f(x)+g (x),则“f(x),g(x)均为偶函数”是“h(x)为偶函数”的()A.充要条件B.充分而不必要的条件C.必要而不充分的条件D.既不充分也不必要的条件【分析】本题主要是抽象函数奇偶性的判断,只能根据定义,而要否定奇偶性,一般用特值.【解答】解.若“f(x),g(x)均为偶函数”,则有f(﹣x)=f(x),g(﹣x)=g (x),∴h(﹣x)=f(﹣x)+g(﹣x)=f(x)+g(x)=h(x),∴“h(x)为偶函数”,而反之取f(x)=x2+x,g(x)=2﹣x,h(x)=x2+2是偶函数,而f(x),g(x)均不是偶函数”,故选B10.(5分)(2007•全国卷Ⅰ)函数y=2cos2x的一个单调增区间是()A.B.C.D.【分析】要进行有关三角函数性质的运算,必须把三角函数式变为y=Asin(ωx+φ)的形式,要先把函数式降幂,降幂用二倍角公式.【解答】解:函数y=2cos2x=1+cos2x,由﹣π+2kπ≤2x≤2kπ,解得﹣π+kπ≤x≤kπ,k为整数,∴k=1即有它的一个单调增区是,故选D.11.(5分)(2007•全国卷Ⅰ)曲线在点处的切线与坐标轴围成的三角形面积为()A.B.C.D.【分析】(1)首先利用导数的几何意义,求出曲线在P(x0,y0)处的切线斜率,进而得到切线方程;(2)利用切线方程与坐标轴直线方程求出交点坐标(3)利用面积公式求出面积.【解答】解:若y=x3+x,则y′|x=1=2,即曲线在点处的切线方程是,它与坐标轴的交点是(,0),(0,﹣),围成的三角形面积为,故选A.12.(5分)(2007•全国卷Ⅰ)抛物线y2=4x的焦点为F,准线为l,经过F且斜率为的直线与抛物线在x轴上方的部分相交于点A,AK⊥l,垂足为K,则△AKF的面积是()A.4 B.C.D.8【分析】先根据抛物线方程求出焦点坐标和准线方程,进而可得到过F且斜率为的直线方程然后与抛物线联立可求得A的坐标,再由AK⊥l,垂足为K,可求得K的坐标,根据三角形面积公式可得到答案.【解答】解:∵抛物线y2=4x的焦点F(1,0),准线为l:x=﹣1,经过F且斜率为的直线与抛物线在x轴上方的部分相交于点A(3,2),AK⊥l,垂足为K(﹣1,2),∴△AKF的面积是4故选C.二、填空题(共4小题,每小题5分,满分20分)13.(5分)(2007•全国卷Ⅰ)从自动打包机包装的食盐中,随机抽取20袋,测得各袋的质量分别为(单位:g):492496494495498497501502504496 497503506508507492496500501499根据频率分布估计总体分布的原理,该自动包装机包装的袋装食盐质量在497.5g~501.5g之间的概率约为0.25.【分析】由题意知本题是一个统计问题,需要用样本的概率估计总体中位于这个范围的概率,试验发生包含的事件数时20,袋装食盐质量在497.5g~501.5g之间的可以数出有5,利用概率公式,得到结果.【解答】解:从自动打包机包装的食盐中,随机抽取20袋,测得各袋的质量分别为(单位:g):492496494495498497501502504496 497503506508507492496500501499根据频率分布估计总体分布的原理,该自动包装机包装的袋装食盐质量在497.5g~501.5g之间的概率约为P==0.25.故答案为:0.2514.(5分)(2007•全国卷Ⅰ)函数y=f(x)的图象与函数y=log3x(x>0)的图象关于直线y=x对称,则f(x)=3x(x∈R).【分析】由题意推出f(x)与函数y=log3x(x>0)互为反函数,求解即可.【解答】解.函数y=f(x)的图象与函数y=log3x(x>0)的图象关于直线y=x 对称,则f(x)与函数y=log3x(x>0)互为反函数,f(x)=3x(x∈R)故答案为:3x(x∈R)15.(5分)(2007•全国卷Ⅰ)正四棱锥S﹣ABCD的底面边长和各侧棱长都为,点S、A、B、C、D都在同一个球面上,则该球的体积为.【分析】先确定球心位置,再求球的半径,然后可求球的体积.【解答】解:正四棱锥S﹣ABCD的底面边长和各侧棱长都为,点S、A、B、C、D都在同一个球面上,则该球的球心恰好是底面ABCD的中心,球的半径是1,体积为.故答案为:16.(5分)(2007•全国卷Ⅰ)等比数列{a n}的前n项和为S n,已知S1,2S2,3S3成等差数列,则{a n}的公比为.【分析】先根据等差中项可知4S2=S1+3S3,利用等比数列的求和公式用a1和q分别表示出S1,S2和S3,代入即可求得q.【解答】解:∵等比数列{a n}的前n项和为S n,已知S1,2S2,3S3成等差数列,∴a n=a1q n﹣1,又4S2=S1+3S3,即4(a1+a1q)=a1+3(a1+a1q+a1q2),解.故答案为三、解答题(共6小题,满分80分)17.(10分)(2007•全国卷Ⅰ)设锐角三角形ABC的内角A,B,C的对边分别为a,b,c,a=2bsinA(Ⅰ)求B的大小;(Ⅱ)若,c=5,求b.【分析】(1)根据正弦定理将边的关系化为角的关系,然后即可求出角B的正弦值,再由△ABC为锐角三角形可得答案.(2)根据(1)中所求角B的值,和余弦定理直接可求b的值.【解答】解:(Ⅰ)由a=2bsinA,根据正弦定理得sinA=2sinBsinA,所以,由△ABC为锐角三角形得.(Ⅱ)根据余弦定理,得b2=a2+c2﹣2accosB=27+25﹣45=7.所以,.18.(12分)(2007•全国卷Ⅰ)某商场经销某商品,顾客可采用一次性付款或分期付款购买.根据以往资料统计,顾客采用一次性付款的概率是0.6,经销一件该商品,若顾客采用一次性付款,商场获得利润200元;若顾客采用分期付款,商场获得利润250元.(Ⅰ)求3位购买该商品的顾客中至少有1位采用一次性付款的概率;(Ⅱ)求3位顾客每人购买1件该商品,商场获的利润不超过650元的概率.【分析】(1)3位购买该商品的顾客中至少有1位采用一次性付款的对立事件是3位顾客中无人采用一次性付款,根据独立重复试验公式得到3位顾客中无人采用一次性付款的概率,再根据对立事件的公式得到结论.(2)3位顾客每人购买1件该商品,顾客的付款方式为一次性付款和分期付款,且购买该商品的3位顾客中有1位采用分期付款,根据互斥事件的公式得到结果.【解答】解:(Ⅰ)记A表示事件:“3位顾客中至少1位采用一次性付款”,则表示事件:“3位顾客中无人采用一次性付款”.P()=(1﹣0.6)3=0.064,.(Ⅱ)记B表示事件:“3位顾客每人购买1件该商品,商场获得利润不超过650元”.B0表示事件:“购买该商品的3位顾客中无人采用分期付款”.B1表示事件:“购买该商品的3位顾客中恰有1位采用分期付款”.则B=B0+B1.P(B0)=0.63=0.216,P(B1)=C31×0.62×0.4=0.432.P(B)=P(B0+B1)=P(B0)+P(B1)=0.216+0.432=0.648.19.(12分)(2007•全国卷Ⅰ)四棱锥S﹣ABCD中,底面ABCD为平行四边形,侧面SBC⊥底面ABCD,已知∠ABC=45°,AB=2,BC=2,SA=SB=.(Ⅰ)证明:SA⊥BC;(Ⅱ)求直线SD与平面SBC所成角的大小.【分析】解法一:(1)作SO⊥BC,垂足为O,连接AO,说明SO⊥底面ABCD.利用三垂线定理,得SA⊥BC.(Ⅱ)由(Ⅰ)知SA⊥BC,设AD∥BC,连接SE.说明∠ESD为直线SD与平面SBC所成的角,通过,求出直线SD与平面SBC所成的角为.解法二:(Ⅰ)作SO⊥BC,垂足为O,连接AO,以O为坐标原点,OA为x轴正向,建立直角坐标系O﹣xyz,通过证明,推出SA⊥BC.(Ⅱ).与的夹角记为α,SD与平面ABC所成的角记为β,因为为平面SBC 的法向量,利用α与β互余.通过,,推出直线SD与平面SBC所成的角为.【解答】解法一:(1)作SO⊥BC,垂足为O,连接AO,由侧面SBC⊥底面ABCD,得SO⊥底面ABCD.因为SA=SB,所以AO=BO,又∠ABC=45°,故△AOB为等腰直角三角形,AO⊥BO,由三垂线定理,得SA⊥BC.(Ⅱ)由(Ⅰ)知SA⊥BC,依题设AD∥BC,故SA⊥AD,由,,.又,作DE⊥BC,垂足为E,则DE⊥平面SBC,连接SE.∠ESD为直线SD与平面SBC所成的角.所以,直线SD与平面SBC所成的角为.解法二:(Ⅰ)作SO⊥BC,垂足为O,连接AO,由侧面SBC⊥底面ABCD,得SO⊥平面ABCD.因为SA=SB,所以AO=BO.又∠ABC=45°,△AOB为等腰直角三角形,AO⊥OB.如图,以O为坐标原点,OA为x轴正向,建立直角坐标系O﹣xyz,因为,,又,所以,,.S(0,0,1),,,,所以SA⊥BC.(Ⅱ),.与的夹角记为α,SD与平面ABC所成的角记为β,因为为平面SBC的法向量,所以α与β互余.,,所以,直线SD与平面SBC所成的角为.20.(12分)(2007•全国卷Ⅰ)设函数f(x)=2x3+3ax2+3bx+8c在x=1及x=2时取得极值.(Ⅰ)求a、b的值;(Ⅱ)若对任意的x∈[0,3],都有f(x)<c2成立,求c的取值范围.【分析】(1)依题意有,f'(1)=0,f'(2)=0.求解即可.(2)若对任意的x∈[0,3],都有f(x)<c2成立⇔f(x)max<c2在区间[0,3]上成立,根据导数求出函数在[0,3]上的最大值,进一步求c的取值范围.【解答】解:(Ⅰ)f'(x)=6x2+6ax+3b,因为函数f(x)在x=1及x=2取得极值,则有f'(1)=0,f'(2)=0.即解得a=﹣3,b=4.(Ⅱ)由(Ⅰ)可知,f(x)=2x3﹣9x2+12x+8c,f'(x)=6x2﹣18x+12=6(x﹣1)(x﹣2).当x∈(0,1)时,f'(x)>0;当x∈(1,2)时,f'(x)<0;当x∈(2,3)时,f'(x)>0.所以,当x=1时,f(x)取得极大值f(1)=5+8c,又f(0)=8c,f(3)=9+8c.则当x∈[0,3]时,f(x)的最大值为f(3)=9+8c.因为对于任意的x∈[0,3],有f(x)<c2恒成立,所以9+8c<c2,解得c<﹣1或c>9,因此c的取值范围为(﹣∞,﹣1)∪(9,+∞).21.(12分)(2007•全国卷Ⅰ)设{a n}是等差数列,{b n}是各项都为正数的等比数列,且a1=b1=1,a3+b5=21,a5+b3=13.(Ⅰ)求{a n}、{b n}的通项公式;(Ⅱ)求数列的前n项和S n.【分析】(Ⅰ)设{a n}的公差为d,{b n}的公比为q,根据等比数列和等差数列的通项公式,联立方程求得d和q,进而可得{a n}、{b n}的通项公式.(Ⅱ)数列的通项公式由等差和等比数列构成,进而可用错位相减法求得前n项和S n.【解答】解:(Ⅰ)设{a n}的公差为d,{b n}的公比为q,则依题意有q>0且解得d=2,q=2.所以a n=1+(n﹣1)d=2n﹣1,b n=q n﹣1=2n﹣1.(Ⅱ),,①S n=,②①﹣②得S n=1+2(++…+)﹣,则===.22.(12分)(2007•全国卷Ⅰ)已知椭圆的左右焦点分别为F1、F2,过F1的直线交椭圆于B、D两点,过F2的直线交椭圆于A、C两点,且AC⊥BD,垂足为P(Ⅰ)设P点的坐标为(x0,y0),证明:;(Ⅱ)求四边形ABCD的面积的最小值.【分析】(Ⅰ)椭圆的半焦距,由AC⊥BD知点P在以线段F1F2为直径的圆上,故x02+y02=1,由此可以证出.(Ⅱ)设BD的方程为y=k(x+1),代入椭圆方程,并化简得(3k2+2)x2+6k2x+3k2﹣6=0.设B(x1,y1),D(x2,y2),由题意知|BD|=再求出|AC|=,由此可以求出四边形ABCD的面积的最小值.【解答】证明:(Ⅰ)椭圆的半焦距,由AC⊥BD知点P在以线段F1F2为直径的圆上,故x02+y02=1,所以,.(Ⅱ)(ⅰ)当BD的斜率k存在且k≠0时,BD的方程为y=k(x+1),代入椭圆方程,并化简得(3k2+2)x2+6k2x+3k2﹣6=0.设B(x1,y1),D(x2,y2),则,|BD|=;因为AC与BD相交于点P,且AC的斜率为,所以,|AC|=.四边形ABCD的面积•|BD||AC|=.当k2=1时,上式取等号.(ⅱ)当BD的斜率k=0或斜率不存在时,四边形ABCD的面积S=4.综上,四边形ABCD的面积的最小值为.。
2003年普通高等学校招生全国统一考试(全国新课程卷)数学(文史类)一、选择题:本大题共12小题,每小题5分,共60分.在每小题给出的四个选项中,只有一项是符合题目要求的.1. (2003x <的解集是A.(0,2)B.(2,)+∞C.(2,4]D.(-∞,0)(2,)+∞2. (2003•全国新课程•文)抛物线2y a x =的准线方程是2y =,则a 的值为A.81B.18-C.8D.-83. (2003•全国新课程•文)=+-2)3(31i iA.i 4341+B.i 4341--C.i 2321+D.i 2321--4. (2003•全国新课程•文)已知(2x π∈-,0),54cos =x ,则tan 2x =A.247 B.724-C.724 D.247-5. (2003•全国新课程•文)等差数列{}n a 中,已知113a =,254a a +=,33n a =,则n 为 A.48 B.49 C.50 D.516. (2003•全国新课程•文)双曲线虚轴的一个端点为M ,两个焦点为1F 、2F,12F M F ∠120=︒,则双曲线的离心率为B.2C.3D.37. (2003•全国新课程•文)设函数12210()0xx f x xx -⎧-≤⎪=⎨⎪>⎩,若0()1f x >,则0x 的取值范围是A.(1-,1)B.(1-,)+∞C.(-∞,2)(0-,)+∞D.(-∞,1)(1-,)+∞8.(2003•全国新课程•文)O 是平面上一定点,A 、B 、C 是平面上不共线的三点,动点P 满足O P O A =+()([0||||A B A C A B A C λλ+∈,))∞+,则P 的轨迹一定通过A B C ∆的A.外心B.内心C.重心D.垂心9. (2003•全国新课程•文)函数1ln1x y x +=-,1(∈x ,)∞+的反函数为 A.11xx e y e -=+,0(∈x ,)∞+ B.11xx e y e +=-,0(∈x ,)∞+ C.11x x e y e -=+,-∞∈(x ,)0D.11x x e y e +=-,-∞∈(x ,)010. (2003•全国新课程•文)棱长为a 的正方体中,连结相邻面的中心,以这些线段为棱的八面体的体积为A.33aB.43aC.63aD.123a11. (2003•全国新课程•文)已知长方形的四个项点(0A ,0),(2B ,0),(2C ,1)和(0D ,1).一质点从A B 的中点0P 沿与A B 夹角为θ的方向射到B C 上的点1P 后,依次反射到C D ,D A 和A B 上的点2P ,3P 和4P (入射角等于反射角),设4P 与0P 重合,则tan θ= A.13B.25C.12D.112. (2003则此球的表面积为A.3πB.4πC.D.6π 二、填空题:本大题共4小题,每小题4分,共16分.答案填在题中横线上. 13. (2003•全国新课程•文)291()2x x-展开式中9x 的系数是_____________.14. (2003•全国新课程•文)某公司生产三种型号的轿车,产量分别为1200辆,6000辆和2000辆,为检验该公司的产品质量,现用分层抽样的方法抽取46辆进行检验,这三种型号的轿车依次应抽取______、_________、__________辆. 15. (2003•全国新课程•文)在平面几何里,有勾股定理:“设A B C ∆的两边A B 、A C 互相垂直,则22A B A C +2B C =.”拓展到空间,类比平面几何的勾股定理,研究三棱锥的侧面面积与底面面积间的关系,可以得出的正确结论是:“设三棱锥A B C D -的三个侧面A B C 、A C D 、A D B 两两相互垂直,则_______________________________.” 16. (2003•全国新课程•文)将3种作物种植在如图5块试验田里,每块种植一种作物,种.(以数字作答)演算步骤.17. (2003•全国新课程•文)已知正四棱柱1111A B C D A B C D -,1A B =,12A A =,点E 为1C C 中点,点F 为1B D 中点.⑴证明:E F 为1B D 与1C C 的公垂线; ⑵求点1D 到面B D E 的距离.18. (2003•全国新课程•文)已知抛物线1C :22y x x =+和2C :2y x a =-+,如果直线l 同时是1C 和2C 的切线,称l 是1C 和2C 的公切线,公切线上两个切点之间的线段,称为公切线段.⑴a 取什么值时,1C 和2C 有且仅有一条公切线?写出此公切线的方程; ⑵若1C 和2C 有两条公切线,证明相应的两条公切线段互相平分.19. (2003•全国新课程•文)已知数列{}n a 满足11a =,113(2)n n n a a n --=+≥.⑴求2a ,3a ; ⑵证明:312nn a -=.20. (2003•全国新课程•文)有三种产品,合格率分别是0.90,0.95和0.95,现从三种产品中各抽取一件进行检验. ⑴求恰有一件不合格的概率;⑵求至少有两件不合格的概率.(精确到0.001)21. (2003•全国新课程•文)已知函数()sin ()(0f x x ωϕω=+>,0)ϕπ≤≤是R 上的偶函数,其图象关于点3(4M π,0)对称,且在区间[0,]2π上是单调函数.求ϕ和ω的值.22. (2003•全国新课程•文)已知常数0a >,向量(0c =,)a ,(1i =,0),经过原点O 以c i λ+为方向向量的直线与经过定点(0A ,)a 以2i c λ-为方向向量的直线相交于点P ,其中R λ∈.试问:是否存在两个定点E 、F ,使得||||P E P F +为定值.若存在,求出E 、F 的坐标;若不存在,说明理由.2003年天津市高考数学试卷(文科)参考答案与试题解析一、选择题(共12小题,每小题5分,满分60分)1. (2003x <的解集是A.(0,2)B.(2,)+∞C.(2,4]D.(-∞,0)(2,)+∞【分析】由题意0x ≥且240x x -≥,可两边平方去根号,解可得答案. 【解答】解:由题意0x ≥且240x x -≥,解可得04x ≤≤,x <两边同时平方可得:224x x x -<,即2240x x ->, 解可得2x >或0x <,又由04x ≤≤,故其解集为24x <≤,即(2,4];故选:C .【点评】本题主要考查无理不等式的求解,解无理不等式关键是平方去根号,注意等价变形.还要注意选择题的特殊做法.2. (2003•全国新课程•文)抛物线2y a x =的准线方程是2y =,则a 的值为A.81 B.18-C.8D.-8【分析】首先把抛物线方程转化为标准方程2x m y =的形式,再根据其准线方程为4m y =-即可求之.【解答】解:抛物线2y a x =的标准方程是21x y a=,则其准线方程为124y a=-=,所以18a =-.故选:B .【点评】本题考查抛物线在标准方程下的准线方程形式. 3. (2003•全国新课程•文)=+-2)3(31i iA.i 4341+B.i 4341--C.i 2321+D.i 2321--【分析】化简复数的分母,然后复数的分子、分母同乘分母的共轭复数,即可求得结果.212122444--==⨯==--⨯,故选B .【点评】复数代数形式的混合运算,是基础题. 4. (2003•全国新课程•文)已知(2x π∈-,0),54cos =x ,则tan 2x =A.247B.724-C.724D.247-【分析】先根据c o s x ,求得sin x ,进而得到tan x 的值,最后根据二倍角公式求得tan 2x .【解答】解:∵4c o s 5x =,(2x π∈-,0),∴3sin 5x ==-∴s in 3ta n c o s 4x x x==-,∴232ta n 316242ta n 291ta n277116x x x -===-⨯=---. 故选D .【点评】本题主要考查了三角函数中的二倍角公式.属基础题. 5. (2003•全国新课程•文)等差数列{}n a 中,已知113a =,254a a +=,33n a =,则n 为 A.48 B.49 C.50 D.51【分析】先由等差数列的通项公式和已知条件解出d ,进而写出n a 的表达式,然后令33n a =,解方程即可.【解答】解:设{}n a 的公差为d . ∵113a =,254a a +=,∴114433d d +++=,即2543d +=,解得23d =.∴1221(1)3333n a n n =+-=-,令33n a =,即213333n -=,解得50n =.故选:C .【点评】本题主要考查了等差数列的通项公式1(1)n a a n d =+-,注意方程思想的应用. 6. (2003•全国新课程•文)双曲线虚轴的一个端点为M ,两个焦点为1F 、2F ,12F M F ∠120=︒,则双曲线的离心率为233【分析】根据双曲线对称性可知260O M F ∠=︒,在直角三角形2M O F 中可得22ta n O F c O M F O Mb∠==,进而可得b 和c的关系式,进而根据a =a 和b的关系式,最后代入离心率公式即可求得答案.【解答】解:根据双曲线对称性可知260O M F ∠=︒,∴22ta n O F c O M F O Mb ∠===c =,∴a ==,∴2c e a ===,故选:B .【点评】本题主要考查了双曲线的简单性质.本题利用了双曲线的对称性.7.(5分)设函数若f(x0)>1,则x0的取值范围是()A.(﹣1,1)B.(﹣1,+∞)C.(﹣∞,﹣2)∪(0,+∞) D.(﹣∞,﹣1)∪(1,+∞)【分析】将变量x0按分段函数的范围分成两种情形,在此条件下分别进行求解,最后将满足的条件进行合并.【解答】解:当x0≤0时,,则x0<﹣1,当x0>0时,则x0>1,故x0的取值范围是(﹣∞,﹣1)∪(1,+∞),故选:D.【点评】本题考查了分段函数已知函数值求自变量的范围问题,以及指数不等式与对数不等式的解法,属于常规题.8.(5分)O是平面上一定点,A、B、C是平面上不共线的三个点,动点P满足,λ∈[0,+∞),则P的轨迹一定通过△ABC的()A.外心 B.内心 C.重心 D.垂心【分析】先根据、分别表示向量、方向上的单位向量,确定+的方向与∠BAC的角平分线一致,再由可得到=λ(+),可得答案.【解答】解:∵、分别表示向量、方向上的单位向量∴+的方向与∠BAC的角平分线一致又∵,∴=λ(+)∴向量的方向与∠BAC的角平分线一致∴一定通过△ABC的内心故选:B.【点评】本题主要考查向量的线性运算和几何意义.属中档题.9.(5分)函数,x∈(1,+∞)的反函数为()A.,x∈(0,+∞)B.,x∈(0,+∞)C.,x∈(﹣∞,0)D.,x∈(﹣∞,0)【分析】本题考查反函数的概念、求反函数的方法、指数式与对数式的互化,求函数的值域等函数知识和方法;将,看做方程解出x,然后根据原函数的定义域x∈(1,+∞)求出原函数的值域,即为反函数的定义域.【解答】解:由已知,解x得,令,当x∈(1,+∞)时,m∈(1,+∞),则,∴函数,x∈(1,+∞)的反函数为,x∈(0,+∞)故选:B.【点评】这是一个基础性题,解题思路清晰,求解方向明确,所以容易解答;解答时注意两点,一是借助指数式和对数式的互化求x,二是函数,x∈(1,+∞)值域的确定,这里利用”常数分离法“和对数函数的性质推得.10.(5分)棱长为a的正方体中,连接相邻面的中心,以这些线段为棱的八面体的体积为()A.B.C.D.【分析】画出图形,根据题意求出八面体的中间平面面积,然后求出其体积.【解答】解:画出图就可以了,这个八面体是有两个四棱锥底面合在一起组成的.一个四棱锥的底面面积是正方体的一个面的一半,就是,高为,所以八面体的体积为:.故选:C.【点评】本题考查学生空间想象能力,逻辑思维能力,体积的计算公式,考查转化思想,是基础题.11.(5分)已知长方形的四个顶点A(0,0),B(2,0),C(2,1)和D(0,1),一质点从AB的中点P0沿与AB夹角为θ的方向射到BC上的点P1后,依次反射到CD、DA和AB上的点P2、P3和P4(入射角等于反射角)若P4与P0重合,则tgθ=()A.B.C.D.1【分析】可以画草图帮助理解,由于若P4与P0重合,故P2、P3也都是所在边的中点,根据对称性可知P0P1的斜率是,得到结果.【解答】解:由于若P4与P0重合,故P2、P3也都是所在边的中点,因为ABCD是长方形,根据对称性可知P0P1的斜率是,则tgθ=.故选:C.【点评】本题考查直线的斜率和对称性知识,由于ABCD是长方形,降低了题目难度,可以采用观察法求得结论.是基本方法的训练题目.12.(5分)棱长都为的四面体的四个顶点在同一球面上,则此球的表面积为()A.3πB.4πC.3D.6π【分析】本题考查的知识点是球的体积和表面积公式,由棱长都为的四面体的四个顶点在同一球面上,可求出内接该四面体的正方体棱长为1,又因为正方体的对角线即为球的直径,即球的半径R=,代入球的表面积公式,S球=4πR2,即可得到答案.【解答】解:借助立体几何的两个熟知的结论:(1)一个正方体可以内接一个正四面体;(2)若正方体的顶点都在一个球面上,则正方体的体对角线就是球的直径.则球的半径R=,∴球的表面积为3π,故选:A.【点评】棱长为a的正方体,内接正四面体的棱长为a,外接球直径等于长方体的对角线长a.二、填空题(共4小题,每小题4分,满分16分)13.(4分)在的展开式中,x3的系数是﹣(用数字作答)【分析】首先根据题意,写出的二项展开式,可得9﹣2r=3,解可得r=3,将其代入二项展开式,计算可得答案.【解答】解:根据题意,对于,有Tr+1=C99﹣r•x9﹣r•(﹣)r=(﹣)r•C99﹣r•x9﹣2r,令9﹣2r=3,可得r=3,当r=3时,有T4=﹣x3,故答案﹣.【点评】本题考查二项式定理的应用,注意系数与二项式系数的区别.14.(4分)某公司生产三种型号的轿车,产量分别为1200辆、6000辆和2000辆,为检验该公司的产品质量,现用分层抽样的方法抽取46辆进行检验,这三种型号的轿车依次应抽取 6 辆、30 辆、10 辆.【分析】由题意先求出抽样比例即为,再由此比例计算出在三种型号的轿车抽取的数目.【解答】解:因总轿车数为9200辆,而抽取46辆进行检验,抽样比例为=,而三种型号的轿车有显著区别,根据分层抽样分为三层按比例,故分别从这三种型号的轿车依次应抽取6辆、30辆、10辆.故答案为:6,30,10.【点评】本题的考点是分层抽样,即保证样本的结构和总体的结构保持一致,按照一定的比例样本容量和总体容量的比值,在各层中进行抽取.15.(4分)在平面几何里,有勾股定理“设△ABC的两边AB,AC互相垂直,则AB2+AC2=BC2”,拓展到空间,类比平面几何的勾股定理,研究三棱锥的侧面面积与底面面积间的关系,可以得出正确的结论是:“设三棱锥A﹣BCD的三个侧面ABC、ACD、ADB两两互相垂直,则S△ABC2+S△ACD2+S△ADB2=S△BCD2 .”【分析】从平面图形到空间图形的类比【解答】解:建立从平面图形到空间图形的类比,于是作出猜想:S △ABC2+S △ACD2+S △ADB2=S △BCD2.故答案为:S △ABC2+S △ACD2+S △ADB2=S △BCD2.【点评】本题主要考查学生的知识量和知识的迁移类比等基本能力.7. (2003•全国新课程•文)将3种作物种植在如图5块试验田里,每块种植一种作物且相邻的试验田不能种植同一作物,不同的种植方法共有______种.(以数字作答)【分析】将3种作物种植在5块试验田里,且相邻的试验田不能种同一种作物,就是第一块可以种3种不同的植物,第二块与第一块不同,只能种2种,余下的几块都只能种2种,减去不合题意的,得到结果.【解答】解:将3种作物种植在5块试验田里每块种一种作物,且相邻的试验田不能种同一种作物,就是第一块可以种3种不同的植物,第二块与第一块不同,就只能种2种不同的植物,余下的几块都只能种2种不同的植物.这样会造成5块田只种2种植物的情况,∴共有3×2×2×2×2﹣22332222242C ⨯⨯⨯⨯-=故答案为:42【点评】本题考查排列组合的实际应用问题,这种问题在2003年的高考中考查过,是一个出现几率比较大的问题,注意题目条件中的限制条件. 三、解答题(共6小题,满分74分) 17.(12分)已知正四棱柱ABCD ﹣A1B1C1D1.AB=1,AA1=2,点E 为CC1中点,点F 为BD1中点.(1)证明EF 为BD1与CC1的公垂线; (2)求点D1到面BDE 的距离.【分析】(1)欲证明EF 为BD1与CC1的公垂线,只须证明EF 分别与为BD1与CC1垂直即可,可由四边形EFMC 是矩形→EF ⊥CC1.由EF ⊥面DBD1→EF ⊥BD1. (2)欲求点D1到面BDE 的距离,将距离看成是三棱锥的高,利用等体积法:VE ﹣DBD1=VD1﹣DBE .求解即得. 【解答】解:(1)取BD 中点M . 连接MC ,FM . ∵F 为BD1中点, ∴FM ∥D1D 且FM=D1D .又EC CC1且EC ⊥MC , ∴四边形EFMC 是矩形∴EF ⊥CC1.又FM ⊥面DBD1. ∴EF ⊥面DBD1.∵BD1⊂面DBD1.∴EF ⊥BD1. 故EF 为BD1与CC1的公垂线.(Ⅱ)解:连接ED1,有VE ﹣DBD1=VD1﹣DBE . 由(Ⅰ)知EF ⊥面DBD1, 设点D1到面BDE 的距离为d . 则.∵AA1=2,AB=1. ∴,, ∴.∴故点D1到平面DBE 的距离为.【点评】本小题主要考查线面关系和四棱柱等基础知识,考查空间想象能力和推理能力.8. (2003•全国新课标•文)已知抛物线1C :22y x x =+和2C :2y x a =-+,如果直线l 同时是1C 和2C 的切线,称l 是1C 和2C 的公切线,公切线上两个切点之间的线段,称为公切线段.⑴a 取什么值时,1C 和2C 有且仅有一条公切线?写出此公切线的方程; ⑵若1C 和2C 有两条公切线,证明相应的两条公切线段互相平分.【分析】⑴先分别求出各自在某点处的切线,然后根据是公切线建立等量关系,要使1C 和2C 有且仅有一条公切线,可利用判别式进行判定;⑵分别求出1C 和2C 有两条公切线段的中点坐标,发现两者相等,从而证明了相应的两条公切线段互相平分. 【解答】解:⑴函数22y x x =+的导数为22y x '=+,则曲线1C 在点1(P x ,2112)x x +的切线方程是:21111(2)(22)()y x x x x x -+=+- 即211(22)y x x x =+-①函数2y x a =-+的导数为2y x '=-,则曲线2C 在点2(Q x ,22)x a -+的切线方程是2222()2()y x a x x x --+=-- 即2222y x x x a =-++②如果直线l 是过P 和Q 的公切线, 则①式和②式都是l 的方程,故121x x +=-,2212x x a -=+.消去2x 得方程2112210x x a +++=.当判别式442(1)0a ∆=-⨯+=,即12a =-时解得112x =-,此时点P 与Q 重合.即当12a =-时1C 和2C 有且仅有一条公切线,由①得公切线方程为14y x =-.⑵证明:由⑴可知. 当0∆>即12a <-时1C 和2C 有两条公切线.设一条公切线上切点为:1(P x ,1)y ,2(Q x ,2)y . 其中P 在1C 上,Q 在2C 上,则有121x x +=-,2222121121112()2(1)1y y x x x a x x x a a +=++-+=+-++=-+线段P Q 的中点为1(2-,1)2a -+.同理,另一条公切线段P Q ''的中点也是1(2-,1)2a -+.所以公切线段P Q 和互相P Q ''平分.【点评】本小题主要考查导数、切线等知识及综合运用数学知识解决问题的能力,属于中档题.9. (2003•全国新课标•文)已知数列{}n a 满足11a =,113(2)n n n a a n --=+≥.⑴求2a ,3a ; ⑵证明:312nn a -=.【分析】⑴由11a =,113(2)n n n a a n --=+≥,当2n =时可求2a ,3n =时求得3a .⑵利用递推式构造113n n n a a ---=,然后通过累加可求出n a .【解答】解:⑴∵11a =,∴2314a =+=,233413a =+=; ⑵证明:由已知113(2)n n n a a n ---=≥故112()()n n n n n a a a a a ---=-+-+…211()a a a +-+1233n n --=++ (31312)n-++=,2n ≥当1n =时,也满足上式. ∴312nn a -=.【点评】本题是个基础题,主要考查由递推式求数列的项和累加法求数列的通项,注意验证1n =. 20.(12分)在三种产品,合格率分别是0.90,0.95和0.95,各抽取一件进行检验. (Ⅰ)求恰有一件不合格的概率; (Ⅱ)求至少有两件不合格的概率.(精确到0.001) 【分析】(1)要求恰有一件不合格的概率,我们根据P=P (A •B •)+P (A ••C )+P (•B •C ),根据已知条件,算出式中各数据量的值,代入公式即可求解. (2)我们可以根据至少有两件不合格的概率公式P=P (A ••)+P (•B •)+P (••C )+P (••),根据已知条件,算出式中各数据量的值,代入公式即可求解.也可以从对立事件出发根据(1)的结论,利用P=1﹣P (A •B •C )+P (A •B •)+P (A ••C )+P (•B •C )进行求解.【解答】解:设三种产品各抽取一件, 抽到合格产品的事件分别为A 、B 和C .(Ⅰ)P (A )=0.90,P (B )=P (C )=0.95. P =0.10,P =P =0.05. 因为事件A ,B ,C 相互独立, 恰有一件不合格的概率为P (A •B •)+P (A ••C )+P (•B •C )=P (A )•P (B )•P ()+P (A )•P ()•P (C )+P ()•P (B )•P (C ) =2×0.90×0.95×0.05+0.10×0.95×0.95=0.176 答:恰有一件不合格的概率为0.176;(Ⅱ)解法一:至少有两件不合格的概率为P (A ••)+P (•B •)+P (••C )+P (••) =0.90×0.052+2×0.10×0.05×0.95+0.10×0.052 =0.012.答:至少有两件不合格的概率为0.012. 解法二:三件产品都合格的概率为 P (A •B •C )=P (A )•P (B )•P (C ) =0.90×0.952 =0.812.由(Ⅰ)知,恰有一件不合格的概率为0.176, 所以至少有两件不合格的概率为 1﹣P (A •B •C )+0.176 =1﹣(0.812+0.176) =0.012.答:至少有两件不合格的概率为0.012.【点评】本小题主要考查相互独立事件概率的计算,运用数学知识解决问题的能力,要想计算一个事件的概率,首先我们要分析这个事件是分类的(分几类)还是分步的(分几步),然后再利用加法原理和乘法原理进行求解.10. (2003•全国新课程•文)已知函数()sin ()(0f x x ωϕω=+>,0)ϕπ≤≤是R 上的偶函数,其图象关于点3(4M π,0)对称,且在区间[0,]2π上是单调函数.求ϕ和ω的值.【分析】由()f x 是偶函数可得ϕ的值,图象关于点3(4M π,0)对称可得34ωπϕ+=k π,k Z ∈,可得ω的可能取值,结合单调函数可确定ω的值.【解答】解:由()f x 是偶函数,得2k πϕπ=+,k Z ∈,由0ϕπ≤≤可得2πϕ=,从而()sin ()c o s 2f x x x πωω=+=由()f x 的图象关于点3(4M π,0)对称,得342k πωππ+=,k Z ∈又0ω>,∴2(21)3k ω=-,*k N ∈又函数()f x 在区间[0,]2π上是单调函数,则122T ππω≤=,即2ω≤∴2(21)23k -≤,解得2k ≤当1k =时,23ω=,2()c o s3f x x =在[0,]2π上是减函数,满足题意; 当2k =时,2ω=,()c o s 2f x x =在[0,]2π上是减函数,满足题意;所以,综合得23ω=或2.【点评】本题主要考查三角函数的图象、单调性、奇偶性等基本知识,以及分析问题和推理计算能力.22.(14分)已知常数a>0,向量=(0,a),=(1,0),经过原点O以+λ为方向向量的直线与经过定点A(0,a)以﹣2λ为方向向量的直线相交于点P,其中λ∈R.试问:是否存在两个定点E、F,使得|PE|+|PF|为定值.若存在,求出E、F的坐标;若不存在,说明理由.【分析】根据和,求得+λ和﹣2λ进而可得直线OP和AP的方程,消去参数λ,得点P(x,y)的坐标满足方程,进而整理可得关于x和y的方程,进而看当时,方程为圆不符合题意;当时和当时,P的轨迹为椭圆符合两定点.【解答】解:∵=(0,a),=(1,0),∴+λ=(λ,a),﹣2λ=(1,﹣2λa).因此,直线OP和AP的方程分别为λy=ax和y﹣a=﹣2λax.消去参数λ,得点P(x,y)的坐标满足方程y(y﹣a)=﹣2a2x2.整理得.①因为a>0,所以得:(i)当时,方程①是圆方程,故不存在合乎题意的定点E和F;(ii)当时,方程①表示椭圆,焦点和为合乎题意的两个定点;(iii)当时,方程①也表示椭圆,焦点和为合乎题意的两个定点.【点评】本题主要考查平面向量的概念和计算,求轨迹的方法,椭圆的方程和性质,利用方程判定曲线的性质,曲线与方程的关系等解析几何的基本思想和综合解题能力.。
第1页(共15页)2003年全国统一高考数学试卷(文科)一、选择题(共12小题,每小题5分,满分60分) 1.(5分)直线2y x =关于x 轴对称的直线方程为( ) A .12y x =-B .12y x =C .2y x =-D .2y x =2.(5分)已知(2x π∈-,0),4cos 5x =,则tan 2x 等于( ) A .724B .724-C .247D .247-3.(5分)抛物线2y ax =的准线方程是2y =,则a 的值为( ) A .18B .18-C .8D .8-4.(5分)等差数列{}n a 中,已知113a =,254a a +=,33n a =,则n 为( )A .48B .49C .50D .515.(5分)双曲线虚轴的一个端点为M ,两个焦点为1F 、2F ,12120F MF ∠=︒,则双曲线的离心率为( ) ABCD6.(5分)设函数12210()0x x f x xx -⎧-⎪=⎨⎪>⎩…若0()1f x >,则0x 的取值范围是( )A .(1,1)-B .(1,)-+∞C .(-∞,2)(0-⋃,)+∞D .(-∞,1)(1-⋃,)+∞7.(5分)已知5()f x lgx =,则f (2)(= ) A .2lgB .32lgC .132lgD .125lg8.(5分)函数sin()(0)y x ϕϕπ=+剟是R 上的偶函数,则(ϕ= ) A .0B .4πC .2π D .π9.(5分)已知点(a ,2)(0)a >到直线:30l x y -+=的距离为1,则(a = ) AB.2C1D110.(5分)已知圆锥的底面半径为R ,高为3R ,它的内接圆柱的底面半径为34R ,该圆柱的全面积为( )。
2009年全国统一高考数学试卷(文科)(全国卷Ⅰ)一、选择题(共12小题,每小题5分,满分60分)1.(5分)sin585°的值为()A.B.C.D.2.(5分)设集合A={4,5,7,9},B={3,4,7,8,9},全集U=A∪B,则集合∁U(A∩B)中的元素共有()A.3个B.4个C.5个D.6个3.(5分)不等式<1的解集为()A.{x|0<x<1}∪{x|x>1}B.{x|0<x<1}C.{x|﹣1<x<0}D.{x|x<0}4.(5分)已知tana=4,cotβ=,则tan(a+β)=()A.B.﹣C.D.﹣5.(5分)已知双曲线﹣=1(a>0,b>0)的渐近线与抛物线y=x2+1相切,则该双曲线的离心率为()A.B.2C.D.6.(5分)已知函数f(x)的反函数为g(x)=1+2lgx(x>0),则f(1)+g(1)=()A.0B.1C.2D.47.(5分)甲组有5名男同学,3名女同学;乙组有6名男同学、2名女同学.若从甲、乙两组中各选出2名同学,则选出的4人中恰有1名女同学的不同选法共有()A.150种B.180种C.300种D.345种8.(5分)设非零向量、、满足,则=()A.150°B.120°C.60°D.30°9.(5分)已知三棱柱ABC﹣A1B1C1的侧棱与底面边长都相等,A1在底面ABC上的射影D为BC的中点,则异面直线AB与CC1所成的角的余弦值为()A.B.C.D.10.(5分)如果函数y=3cos(2x+φ)的图象关于点(,0)中心对称,那么|φ|的最小值为()A.B.C.D.11.(5分)已知二面角α﹣l﹣β为60°,动点P、Q分别在面α、β内,P到β的距离为,Q到α的距离为,则P、Q两点之间距离的最小值为()A.1B.2C.D.412.(5分)已知椭圆C:+y2=1的右焦点为F,右准线为l,点A∈l,线段AF 交C于点B,若=3,则||=()A.B.2C.D.3二、填空题(共4小题,每小题5分,满分20分)13.(5分)(x﹣y)10的展开式中,x7y3的系数与x3y7的系数之和等于.14.(5分)设等差数列{a n}的前n的和为S n,若S9=72,则a2+a4+a9=.15.(5分)已知OA为球O的半径,过OA的中点M且垂直于OA的平面截球面得到圆M.若圆M的面积为3π,则球O的表面积等于.16.(5分)若直线m被两平行线l1:x﹣y+1=0与l2:x﹣y+3=0所截得的线段的长为,则m的倾斜角可以是①15°②30°③45°④60°⑤75°其中正确答案的序号是(写出所有正确答案的序号)三、解答题(共6小题,满分70分)17.(10分)设等差数列{a n}的前n项和为S n,公比是正数的等比数列{b n}的前n项和为T n,已知a1=1,b1=3,a3+b3=17,T3﹣S3=12,求{a n},{b n}的通项公式.18.(12分)在△ABC中,内角A、B、C的对边长分别为a、b、c,已知a2﹣c2=2b,且sinAcosC=3cosAsinC,求b.19.(12分)如图,四棱锥S﹣ABCD中,底面ABCD为矩形,SD⊥底面ABCD,AD=,DC=SD=2,点M在侧棱SC上,∠ABM=60°(I)证明:M是侧棱SC的中点;(Ⅱ)求二面角S﹣AM﹣B的大小.20.(12分)甲、乙二人进行一次围棋比赛,约定先胜3局者获得这次比赛的胜利,比赛结束.假设在一局中,甲获胜的概率为0.6,乙获胜的概率为0.4,各局比赛结果相互独立.已知前2局中,甲、乙各胜1局.(Ⅰ)求再赛2局结束这次比赛的概率;(Ⅱ)求甲获得这次比赛胜利的概率.21.(12分)已知函数f(x)=x4﹣3x2+6.(Ⅰ)讨论f(x)的单调性;(Ⅱ)设点P在曲线y=f(x)上,若该曲线在点P处的切线l通过坐标原点,求l的方程.22.(12分)如图,已知抛物线E:y2=x与圆M:(x﹣4)2+y2=r2(r>0)相交于A、B、C、D四个点.(Ⅰ)求r的取值范围;(Ⅱ)当四边形ABCD的面积最大时,求对角线AC、BD的交点P的坐标.2009年全国统一高考数学试卷(文科)(全国卷Ⅰ)参考答案与试题解析一、选择题(共12小题,每小题5分,满分60分)1.(5分)sin585°的值为()A.B.C.D.【考点】GE:诱导公式.【分析】由sin(α+2kπ)=sinα、sin(α+π)=﹣sinα及特殊角三角函数值解之.【解答】解:sin585°=sin(585°﹣360°)=sin225°=sin(45°+180°)=﹣sin45°=﹣,故选:A.【点评】本题考查诱导公式及特殊角三角函数值.2.(5分)设集合A={4,5,7,9},B={3,4,7,8,9},全集U=A∪B,则集合∁U(A∩B)中的元素共有()A.3个B.4个C.5个D.6个【考点】1H:交、并、补集的混合运算.【分析】根据交集含义取A、B的公共元素写出A∩B,再根据补集的含义求解.【解答】解:A∪B={3,4,5,7,8,9},A∩B={4,7,9}∴∁U(A∩B)={3,5,8}故选A.也可用摩根律:∁U(A∩B)=(∁U A)∪(∁U B)故选:A.【点评】本题考查集合的基本运算,较简单.3.(5分)不等式<1的解集为()A.{x|0<x<1}∪{x|x>1}B.{x|0<x<1}C.{x|﹣1<x<0}D.{x|x<0}【考点】7E:其他不等式的解法.【分析】本题为绝对值不等式,去绝对值是关键,可利用绝对值意义去绝对值,也可两边平方去绝对值.【解答】解:∵<1,∴|x+1|<|x﹣1|,∴x2+2x+1<x2﹣2x+1.∴x<0.∴不等式的解集为{x|x<0}.故选:D.【点评】本题主要考查解绝对值不等式,属基本题.解绝对值不等式的关键是去绝对值,去绝对值的方法主要有:利用绝对值的意义、讨论和平方.4.(5分)已知tana=4,cotβ=,则tan(a+β)=()A.B.﹣C.D.﹣【考点】GP:两角和与差的三角函数.【专题】11:计算题.【分析】由已知中cotβ=,由同角三角函数的基本关系公式,我们求出β角的正切值,然后代入两角和的正切公式,即可得到答案.【解答】解:∵tana=4,cotβ=,∴tanβ=3∴tan(a+β)===﹣故选:B.【点评】本题考查的知识点是两角和与差的正切函数,其中根据已知中β角的余切值,根据同角三角函数的基本关系公式,求出β角的正切值是解答本题的关键.5.(5分)已知双曲线﹣=1(a>0,b>0)的渐近线与抛物线y=x2+1相切,则该双曲线的离心率为()A.B.2C.D.【考点】KC:双曲线的性质;KH:直线与圆锥曲线的综合.【专题】11:计算题.【分析】先求出渐近线方程,代入抛物线方程,根据判别式等于0,找到a和b 的关系,从而推断出a和c的关系,答案可得.【解答】解:由题双曲线的一条渐近线方程为,代入抛物线方程整理得ax2﹣bx+a=0,因渐近线与抛物线相切,所以b2﹣4a2=0,即,故选:C.【点评】本小题考查双曲线的渐近线方程直线与圆锥曲线的位置关系、双曲线的离心率,基础题.6.(5分)已知函数f(x)的反函数为g(x)=1+2lgx(x>0),则f(1)+g(1)=()A.0B.1C.2D.4【考点】4R:反函数.【专题】11:计算题.【分析】将x=1代入即可求得g(1),欲求f(1),只须求当g(x)=1时x的值即可.从而解决问题.【解答】解:由题令1+2lgx=1得x=1,即f(1)=1,又g(1)=1,所以f(1)+g(1)=2,故选:C.【点评】本小题考查反函数,题目虽然简单,却考查了对基础知识的灵活掌握情况,也考查了运用知识的能力.7.(5分)甲组有5名男同学,3名女同学;乙组有6名男同学、2名女同学.若从甲、乙两组中各选出2名同学,则选出的4人中恰有1名女同学的不同选法共有()A.150种B.180种C.300种D.345种【考点】D1:分类加法计数原理;D2:分步乘法计数原理.【专题】5O:排列组合.【分析】选出的4人中恰有1名女同学的不同选法,1名女同学来自甲组和乙组两类型.【解答】解:分两类(1)甲组中选出一名女生有C51•C31•C62=225种选法;(2)乙组中选出一名女生有C52•C61•C21=120种选法.故共有345种选法.故选:D.【点评】分类加法计数原理和分类乘法计数原理,最关键做到不重不漏,先分类,后分步!8.(5分)设非零向量、、满足,则=()A.150°B.120°C.60°D.30°【考点】9S:数量积表示两个向量的夹角.【分析】根据向量加法的平行四边形法则,两个向量的模长相等可构成菱形的两条相邻边,三个向量起点处的对角线长等于菱形的边长,这样得到一个含有特殊角的菱形.【解答】解:由向量加法的平行四边形法则,∵两个向量的模长相等∴、可构成菱形的两条相邻边,∵∴、为起点处的对角线长等于菱形的边长,∴两个向量的夹角是120°,故选:B.【点评】本小题考查向量的几何运算、考查数形结合的思想,基础题.向量知识,向量观点在数学.物理等学科的很多分支有着广泛的应用,而它具有代数形式和几何形式的“双重身份”能融数形于一体.9.(5分)已知三棱柱ABC﹣A1B1C1的侧棱与底面边长都相等,A1在底面ABC上的射影D为BC的中点,则异面直线AB与CC1所成的角的余弦值为()A.B.C.D.【考点】LO:空间中直线与直线之间的位置关系.【分析】首先找到异面直线AB与CC1所成的角(如∠A1AB);而欲求其余弦值可考虑余弦定理,则只要表示出A1B的长度即可;不妨设三棱柱ABC﹣A1B1C1的侧棱与底面边长为1,利用勾股定理即可求之.【解答】解:设BC的中点为D,连接A1D、AD、A1B,易知θ=∠A1AB即为异面直线AB与CC1所成的角;并设三棱柱ABC﹣A1B1C1的侧棱与底面边长为1,则|AD|=,|A1D|=,|A1B|=,由余弦定理,得cosθ==.故选:D.【点评】本题主要考查异面直线的夹角与余弦定理.10.(5分)如果函数y=3cos(2x+φ)的图象关于点(,0)中心对称,那么|φ|的最小值为()A.B.C.D.【考点】HB:余弦函数的对称性.【专题】11:计算题.【分析】先根据函数y=3cos(2x+φ)的图象关于点中心对称,令x=代入函数使其等于0,求出φ的值,进而可得|φ|的最小值.【解答】解:∵函数y=3cos(2x+φ)的图象关于点中心对称.∴∴由此易得.故选:A.【点评】本题主要考查余弦函数的对称性.属基础题.11.(5分)已知二面角α﹣l﹣β为60°,动点P、Q分别在面α、β内,P到β的距离为,Q到α的距离为,则P、Q两点之间距离的最小值为()A.1B.2C.D.4【考点】LQ:平面与平面之间的位置关系.【专题】11:计算题;16:压轴题.【分析】分别作QA⊥α于A,AC⊥l于C,PB⊥β于B,PD⊥l于D,连CQ,BD 则∠ACQ=∠PBD=60°,在三角形APQ中将PQ表示出来,再研究其最值即可.【解答】解:如图分别作QA⊥α于A,AC⊥l于C,PB⊥β于B,PD⊥l于D,连CQ,BD则∠ACQ=∠PDB=60°,,又∵当且仅当AP=0,即点A与点P重合时取最小值.故选:C.【点评】本题主要考查了平面与平面之间的位置关系,以及空间中直线与平面之间的位置关系,考查空间想象能力、运算能力和推理论证能力,属于基础题.12.(5分)已知椭圆C:+y2=1的右焦点为F,右准线为l,点A∈l,线段AF 交C于点B,若=3,则||=()A.B.2C.D.3【考点】K4:椭圆的性质.【专题】11:计算题;16:压轴题.【分析】过点B作BM⊥x轴于M,设右准线l与x轴的交点为N,根据椭圆的性质可知FN=1,进而根据,求出BM,AN,进而可得|AF|.【解答】解:过点B作BM⊥x轴于M,并设右准线l与x轴的交点为N,易知FN=1.由题意,故FM=,故B点的横坐标为,纵坐标为±即BM=,故AN=1,∴.故选:A.【点评】本小题考查椭圆的准线、向量的运用、椭圆的定义,属基础题.二、填空题(共4小题,每小题5分,满分20分)13.(5分)(x﹣y)10的展开式中,x7y3的系数与x3y7的系数之和等于﹣240.【考点】DA:二项式定理.【专题】11:计算题.【分析】首先要了解二项式定理:(a+b)n=C n0a n b0+C n1a n﹣1b1+C n2a n﹣2b2++C n r a n﹣r b r++C n n a0b n,各项的通项公式为:T r=C n r a n﹣r b r.然后根据题目已知求解即可.+1【解答】解:因为(x﹣y)10的展开式中含x7y3的项为C103x10﹣3y3(﹣1)3=﹣C103x7y3,含x3y7的项为C107x10﹣7y7(﹣1)7=﹣C107x3y7.由C103=C107=120知,x7y3与x3y7的系数之和为﹣240.故答案为﹣240.【点评】此题主要考查二项式定理的应用问题,对于公式:(a+b)n=C n0a n b0+C n1a n ﹣1b1+C n2a n﹣2b2++C n r a n﹣r b r++C n n a0b n,属于重点考点,同学们需要理解记忆.14.(5分)设等差数列{a n}的前n的和为S n,若S9=72,则a2+a4+a9=24.【考点】83:等差数列的性质.【分析】先由S9=72用性质求得a5,而3(a1+4d)=3a5,从而求得答案.【解答】解:∵∴a5=8又∵a2+a4+a9=3(a1+4d)=3a5=24故答案是24【点评】本题主要考查等差数列的性质及项与项间的内在联系.15.(5分)已知OA为球O的半径,过OA的中点M且垂直于OA的平面截球面得到圆M.若圆M的面积为3π,则球O的表面积等于16π.【考点】LG:球的体积和表面积.【专题】11:计算题;16:压轴题.【分析】由题意求出圆M的半径,设出球的半径,二者与OM构成直角三角形,求出球的半径,然后可求球的表面积.【解答】解:∵圆M的面积为3π,∴圆M的半径r=,设球的半径为R,由图可知,R2=R2+3,∴R2=3,∴R2=4.∴S=4πR2=16π.球故答案为:16π【点评】本题是基础题,考查球的体积、表面积的计算,理解并能够应用小圆的半径、球的半径、以及球心与圆心的连线的关系,是本题的突破口,解题重点所在,仔细体会.16.(5分)若直线m被两平行线l1:x﹣y+1=0与l2:x﹣y+3=0所截得的线段的长为,则m的倾斜角可以是①15°②30°③45°④60°⑤75°其中正确答案的序号是①或⑤(写出所有正确答案的序号)【考点】I2:直线的倾斜角;N1:平行截割定理.【专题】11:计算题;15:综合题;16:压轴题.【分析】先求两平行线间的距离,结合题意直线m被两平行线l1与l2所截得的线段的长为,求出直线m与l1的夹角为30°,推出结果.【解答】解:两平行线间的距离为,由图知直线m与l1的夹角为30°,l1的倾斜角为45°,所以直线m的倾斜角等于30°+45°=75°或45°﹣30°=15°.故填写①或⑤故答案为:①或⑤【点评】本题考查直线的斜率、直线的倾斜角,两条平行线间的距离,考查数形结合的思想.三、解答题(共6小题,满分70分)17.(10分)设等差数列{a n}的前n项和为S n,公比是正数的等比数列{b n}的前n项和为T n,已知a1=1,b1=3,a3+b3=17,T3﹣S3=12,求{a n},{b n}的通项公式.【考点】8M:等差数列与等比数列的综合.【专题】11:计算题.【分析】设{a n}的公差为d,数列{b n}的公比为q>0,由题得,由此能得到{a n},{b n}的通项公式.【解答】解:设{a n}的公差为d,数列{b n}的公比为q>0,由题得,解得q=2,d=2∴a n=1+2(n﹣1)=2n﹣1,bn=3•2n﹣1.【点评】本小题考查等差数列与等比数列的通项公式、前n项和,基础题.18.(12分)在△ABC中,内角A、B、C的对边长分别为a、b、c,已知a2﹣c2=2b,且sinAcosC=3cosAsinC,求b.【考点】HR:余弦定理.【分析】根据正弦定理和余弦定理将sinAcosC=3cosAsinC化成边的关系,再根据a2﹣c2=2b即可得到答案.【解答】解:法一:在△ABC中∵sinAcosC=3cosAsinC,则由正弦定理及余弦定理有:,化简并整理得:2(a2﹣c2)=b2.又由已知a2﹣c2=2b∴4b=b2.解得b=4或b=0(舍);法二:由余弦定理得:a2﹣c2=b2﹣2bccosA.又a2﹣c2=2b,b≠0.所以b=2ccosA+2①又sinAcosC=3cosAsinC,∴sinAcosC+cosAsinC=4cosAsinCsin(A+C)=4cosAsinC,即sinB=4cosAsinC由正弦定理得,故b=4ccosA②由①,②解得b=4.【点评】本题主要考查正弦定理和余弦定理的应用.属基础题.19.(12分)如图,四棱锥S﹣ABCD中,底面ABCD为矩形,SD⊥底面ABCD,AD=,DC=SD=2,点M在侧棱SC上,∠ABM=60°(I)证明:M是侧棱SC的中点;(Ⅱ)求二面角S﹣AM﹣B的大小.【考点】LO:空间中直线与直线之间的位置关系;MJ:二面角的平面角及求法.【专题】11:计算题;14:证明题.【分析】(Ⅰ)法一:要证明M是侧棱SC的中点,作MN∥SD交CD于N,作NE⊥AB交AB于E,连ME、NB,则MN⊥面ABCD,ME⊥AB,设MN=x,则NC=EB=x,解RT△MNE即可得x的值,进而得到M为侧棱SC的中点;法二:分别以DA、DC、DS为x、y、z轴如图建立空间直角坐标系D﹣xyz,并求出S点的坐标、C点的坐标和M点的坐标,然后根据中点公式进行判断;法三:分别以DA、DC、DS为x、y、z轴如图建立空间直角坐标系D﹣xyz,构造空间向量,然后数乘向量的方法来证明.(Ⅱ)我们可以以D为坐标原点,分别以DA、DC、DS为x、y、z轴如图建立空间直角坐标系D﹣xyz,我们可以利用向量法求二面角S﹣AM﹣B的大小.【解答】证明:(Ⅰ)作MN∥SD交CD于N,作NE⊥AB交AB于E,连ME、NB,则MN⊥面ABCD,ME⊥AB,设MN=x,则NC=EB=x,在RT△MEB中,∵∠MBE=60°∴.在RT△MNE中由ME2=NE2+MN2∴3x2=x2+2解得x=1,从而∴M为侧棱SC的中点M.(Ⅰ)证法二:分别以DA、DC、DS为x、y、z轴如图建立空间直角坐标系D﹣xyz,则.设M(0,a,b)(a>0,b>0),则,,由题得,即解之个方程组得a=1,b=1即M(0,1,1)所以M是侧棱SC的中点.(I)证法三:设,则又故,即,解得λ=1,所以M是侧棱SC的中点.(Ⅱ)由(Ⅰ)得,又,,设分别是平面SAM、MAB的法向量,则且,即且分别令得z1=1,y1=1,y2=0,z2=2,即,∴二面角S﹣AM﹣B的大小.【点评】空间两条直线夹角的余弦值等于他们方向向量夹角余弦值的绝对值;空间直线与平面夹角的余弦值等于直线的方向向量与平面的法向量夹角的正弦值;空间锐二面角的余弦值等于他的两个半平面方向向量夹角余弦值的绝对值;20.(12分)甲、乙二人进行一次围棋比赛,约定先胜3局者获得这次比赛的胜利,比赛结束.假设在一局中,甲获胜的概率为0.6,乙获胜的概率为0.4,各局比赛结果相互独立.已知前2局中,甲、乙各胜1局.(Ⅰ)求再赛2局结束这次比赛的概率;(Ⅱ)求甲获得这次比赛胜利的概率.【考点】C8:相互独立事件和相互独立事件的概率乘法公式.【专题】12:应用题.【分析】根据题意,记“第i局甲获胜”为事件A i(i=3,4,5),“第j局甲获胜”为事件B i(j=3,4,5),(1)“再赛2局结束这次比赛”包含“甲连胜3、4局”与“乙连胜3、4局”两个互斥的事件,而每局比赛之间是相互独立的,进而计算可得答案,(2)若“甲获得这次比赛胜利”,即甲在后3局中,甲胜2局,包括3种情况,根据概率的计算方法,计算可得答案.【解答】解:记“第i局甲获胜”为事件A i(i=3,4,5),“第j局甲获胜”为事件B i(j=3,4,5).(Ⅰ)设“再赛2局结束这次比赛”为事件A,则A=A3•A4+B3•B4,由于各局比赛结果相互独立,故P(A)=P(A3•A4+B3•B4)=P(A3•A4)+P(B3•B4)=P(A3)P(A4)+P(B3)P (B4)=0.6×0.6+0.4×0.4=0.52.(Ⅱ)记“甲获得这次比赛胜利”为事件H,因前两局中,甲、乙各胜1局,故甲获得这次比赛胜利当且仅当在后面的比赛中,甲先胜2局,从而B=A3•A4+B3•A4•A5+A3•B4•A5,由于各局比赛结果相互独立,故P(H)=P(A3•A4+B3•A4•A5+A3•B4•A5)=P(A3•A4)+P(B3•A4•A5)+P(A3•B4•A5)=P(A3)P(A4)+P(B3)P(A4)P(A5)+P(A3)P(B4)P(A5)=0.6×0.6+0.4×0.6×0.6+0.6×0.4×0.6=0.648【点评】本小题考查互斥事件有一个发生的概率、相互独立事件同时发生的概率,解题之前,要分析明确事件间的关系,一般先按互斥事件分情况,再由相互独立事件的概率公式,进行计算.21.(12分)已知函数f(x)=x4﹣3x2+6.(Ⅰ)讨论f(x)的单调性;(Ⅱ)设点P在曲线y=f(x)上,若该曲线在点P处的切线l通过坐标原点,求l的方程.【考点】6B:利用导数研究函数的单调性;6H:利用导数研究曲线上某点切线方程.【专题】16:压轴题.【分析】(1)利用导数求解函数的单调性的方法步骤进行求解.(2)根据已知,只需求出f(x)在点P处的导数,即斜率,就可以求出切线方程.【解答】解:(Ⅰ)令f′(x)>0得或;令f′(x)<0得或因此,f(x)在区间和为增函数;在区间和为减函数.(Ⅱ)设点P(x0,f(x0)),由l过原点知,l的方程为y=f′(x0)x,因此f(x0)=f′(x0)x0,即x04﹣3x02+6﹣x0(4x03﹣6x0)=0,整理得(x02+1)(x02﹣2)=0,解得或.所以的方程为y=2x或y=﹣2x【点评】本题比较简单,是一道综合题,主要考查函数的单调性、利用导数的几何意义求切线方程等函数基础知识,应熟练掌握.22.(12分)如图,已知抛物线E:y2=x与圆M:(x﹣4)2+y2=r2(r>0)相交于A、B、C、D四个点.(Ⅰ)求r的取值范围;(Ⅱ)当四边形ABCD的面积最大时,求对角线AC、BD的交点P的坐标.【考点】IR:两点间的距离公式;JF:圆方程的综合应用;K8:抛物线的性质.【专题】15:综合题;16:压轴题.【分析】(1)先联立抛物线与圆的方程消去y,得到x的二次方程,根据抛物线E:y2=x与圆M:(x﹣4)2+y2=r2(r>0)相交于A、B、C、D四个点的充要条件是此方程有两个不相等的正根,可求出r的范围.(2)先设出四点A,B,C,D的坐标再由(1)中的x二次方程得到两根之和、两根之积,表示出面积并求出其的平方值,最后根据三次均值不等式确定得到最大值时的点P的坐标.【解答】解:(Ⅰ)将抛物线E:y2=x代入圆M:(x﹣4)2+y2=r2(r>0)的方程,消去y2,整理得x2﹣7x+16﹣r2=0(1)抛物线E:y2=x与圆M:(x﹣4)2+y2=r2(r>0)相交于A、B、C、D四个点的充要条件是:方程(1)有两个不相等的正根∴即.解这个方程组得,.(II)设四个交点的坐标分别为、、、.则直线AC、BD的方程分别为y﹣=•(x﹣x1),y+=(x﹣x1),解得点P的坐标为(,0),则由(I)根据韦达定理有x1+x2=7,x1x2=16﹣r2,则∴令,则S2=(7+2t)2(7﹣2t)下面求S2的最大值.由三次均值有:当且仅当7+2t=14﹣4t,即时取最大值.经检验此时满足题意.故所求的点P的坐标为.【点评】本题主要考查抛物线和圆的综合问题.圆锥曲线是高考必考题,要强化复习.。
2004年普通高等学校招生全国统一考试数学(文史类)(老课程)本试卷分第Ⅰ卷(选择题)和第Ⅱ卷(非选择题)两部分。
第Ⅰ卷1至2页,第Ⅱ卷3至10页。
考试结束后,将本试卷和答题卡一并交回。
第I 卷参考公式:三角函数的和差化积公式)]sin()[sin(21cos sin βαβαβα-++=)]sin()[sin(21sin cos βαβαβα--+= )]cos()[cos(21cos cos βαβαβα-++= )]cos()[cos(21sin sin βαβαβα--+-=一、选择题 (1)设集合(){}22,1,,M x y xy x R y R =+=∈∈,(){}2,0,,N x y xy x R y R =-=∈∈,则集合MN 中元素的个数为( )A .1B .2C .3D .4(2)函数sin2xy =的最小正周期是( ) A .2πB .πC .2πD .4π(3) 记函数13xy -=+的反函数为()y g x =,则(10)g =( ) A . 2B . 2-C . 3D . 1-(4) 等比数列{}n a 中,29,a = 5243a =,则{}n a 的前4项和为( )A . 81B . 120C .168D . 192正棱台、圆台的侧面积公式l c c S )(21+'=台侧其中c ′、c 分别表示上、下底面周长,l 表示 斜高或母线长 台体的体积公式334R V π=球 其中R 表示球的半径(5) 圆2240x y x +-=在点(P 处的切线方程是( )A . 20x +-=B . 40x +-=C . 40x -+=D . 20x +=(6) 61x ⎫⎪⎭展开式中的常数项为( )A . 15B . 15-C .20D . 20-(7) 设复数z 的幅角的主值为23π2z =( )A . 2--B . 2i -C . 2+D . 2i(8) 设双曲线的焦点在x 轴上,两条渐近线为12y x =±,则双曲线的离心率e =( )A . 5B .C .2 D . 54(9) 不等式113x <+<的解集为( )A . ()0,2B . ()()2,02,4-C . ()4,0-D . ()()4,20,2--(10) 正三棱锥的底面边长为2,侧面均为直角三角形,则此三棱锥的体积为( )A .B .C .3D .(11) 在ABC 中,3,4AB BC AC ===,则边AC 上的高为( )A .B .C .32D .(12) 4名教师分配到3所中学任教,每所中学至少1名教师,则不同的分配方案共有( )A . 12 种B . 24 种C 36 种D . 48 种第Ⅱ卷二、填空题:本大题共4小题,每小题4分,共16分. 把答案填在题中横线上. (13) 函数)1(log 21-=x y 的定义域是 .(14) 用平面α截半径为R 的球,如果球心到平面α的距离为2R,那么截得小圆的面积与球 的表面积的比值为 . (15) 函数)(cos 21sin R x x x y ∈-=的最大值为 . (16) 设P 为圆122=+y x 上的动点,则点P 到直线01043=--y x 的距离的最小值为 .三、解答题:本大题共6小题,共74分. 解答应写出文字说明,证明过程或演算步骤. (17)(本小题满分12分)解方程.012242=--+x x(18) (本小题满分12分)已知α为锐角,且αααααα2cos 2sin sin cos 2sin ,21tan -=求的值.(19) (本上题满分12分)设数列}{n a 是公差不为零的等差数列,S n 是数列}{n a 的前n 项和,且,9221S S =244S S =,求数列}{n a 的通项公式.20.(本小题满分12分)某村计划建造一个室内面积为800m 2的矩形蔬菜温室,在温室内,沿左、右两侧与后侧内墙各保留1m宽的通道,沿前侧内墙保留3m宽的空地。
2003年普通高校招生数学(文)统一考试(天津卷)(文史类)第Ⅰ卷(选择题 共60分)参考公式:如果事件A 、B 互斥,那么 球的表面积公式P (A+B )=P (A )+P (B ) S=4πR 2 如果事件A 、B 相互独立,那么 其中R 表示球的半径P (A ·B )=P (A )·P (B ) 球的体积公式 如果事件A 在一次试验中发生的概率是P.334R V π=那么n 次独立重复试验中恰好发生k 次的概 率 其中R 表示球的半径k n k k n n P P C k P --=)1()(一、选择题:本大题共12小题,每小题5分,共60分,在每小题给出的四个选项中,只有一项是符合题目要求的1.不等式x x x <-24的解集是( )A .(0,2)B .(2,+∞)C .(2,4)D .(-∞,0)∪(2,+∞) 2.抛物线y=ax 2 的准线方程是y=2,则a 的值为 ( )A .81B .-81 C .8 D .-83.=+-2)3(31i i( )A .i 4341+ B .i 4341--C .i 2321+ D .i 2321-- 4. 已知==-∈x x x 2tan ,54cos ),0,2(则π( )A .247 B .-247 C .724 D .-7245.等差数列为则已知中n a a a a a n n ,33,4,31,}{521==+=( )A .48B .49C .50D .51 6.双曲线虚轴的一个端点为M ,两个焦点为F 1,F 2,∠F 1MF 2=120°,则双曲线的离心率为( )A .3B .26C .36 D .33 7.设函数⎪⎩⎪⎨⎧>≤-=-0,0,12)(,21x xx x f x 若1)(0>x f ,则x 0的取值范围是( )A .(-1,1)B .(-1,+∞)C .(-∞,-2)∪(0,+∞)D .(-∞,-1)∪(1,+∞) 8.O 是平面上一 定点,A 、B 、C 是平面上不共线的三个点,动点P 满足 ).,0[(+∞∈++=λλ则P 的轨迹一定通过△ABC 的( )A .外心B .内心C .重心D .垂心 9.函数),1(,11ln+∞∈-+=x x x y 的反函数为( )A .),0(,11+∞∈+-=x e e y xx B .),0(,11+∞∈-+=x e e y xxC .)0,(,11-∞∈+-=x e e y xx D .)0,(,11-∞∈-+=x e e y xx 10.棱长为a 的正方体中,连结相邻面的中心,以这些线段为棱的八面体的体积为( )A .33aB .43aC .63aD .123a11.已知长方形的四个顶点A (0,0),B (2,0),C (2,1)和D (0,1).一质点从AB 的中点P 0沿与AB 夹角为θ的方向射到BC 上的点P 1后,依次反射到CD 、DA 和AB 上的点P 2,P 3和P 4(入射角等于反射角)若P 4与P 0重合,则tan θ= ( )A .31B .52 C .21 D .112.一个四面体的所有棱长都为2,四个顶点在同一球面上,则此球的表面积为 ( ) A .3πB .4πC .π33D .6π第Ⅱ卷(非选择题 共90分)二、填空题:本大题共4小题,每小题4分,共16分.答案填在题中横线上. 13.92)21(xx -展开式中9x 的系数是 14.某公司生产三种型号的轿车,产量分别为1200辆,6000辆和2000辆,为检验该公司的产品质量现用分层抽样的方法抽取46辆进行检验,这三种型号的轿车依次应抽取 , , 辆15.在平面几何里,有勾股定理:“设△ABC 的两边AB ,AC 互相垂直,则AB 2+AC 2=BC 2.”拓展到空间,类比平面几何的勾股定理,研究三棱锥的面面积与底面面积间的关系可以得出的正确结论是:“设三棱锥A —BCD 的三个侧面ABC 、ACD 、ADB 两两相互垂直,则 ”16.将3种作物种植在如图5块试验田里,每块种植一种 作物且相邻的试验田不能种植同一作物,不同的种植 方法共有 种.(以数字答)三、解答题:本大题共6小题,共74分.解答应写出文字说明,证明过程或演算步骤. 17.(本小题满分12分)已知正四棱柱ABCD —A 1B 1C 1D 1.AB=1,AA 1=2,点E 为CC1中点,点P 为BD 1中点. (1)证明EF 为BD 1与CC 1的公垂线; (2)求点D 1到面BDE 的距离.18.(本小题满分12分)已知抛物线C1:y=x2+2x和C:y=-x2+a,如果直线l同时是C1和C2的切线,称l是C1和C2的公切线,公切线上两个切点之间的线段,称为公切线段.(Ⅰ)a取什么值时,C1和C2有且仅有一条公切线?写出此公切线的方程;(Ⅱ)若C1和C2有两条公切线,证明相应的两条公切线段互相平分.19.(本题满分12分)已知数列).2(3,1}{111≥+==--n a a a a n n n n 满足 (Ⅰ)求;,32a a(Ⅱ)证明.213-=n n a20.(本小题满分12分)在三种产品,合格率分别是0.90,0.95和0.95,各抽取一件进行检验.(Ⅰ)求恰有一件不合格的概率;(Ⅱ)求至少有两件不合格的概率. (精确到0.001)21.(本小题满分12分)已知函数)0,0)(sin()(πϕωϕω≤≤>+=x x f 是R 上的偶函数,其图象关于点 )0,43(πM 对称,且在区间]2,0[π上是单调函数.求ωϕ和的值.22.(本小题满分14分)已知常数a>0,向量c=(0,a),i=(1,0),经过原点O以c+λi为方向向量的直线与经过定点A(0,a)以i-2λc为方向向量的直线相交于点P,其中λ∈R.试问:是否存在两个定点E、F,使得|PE|+|PF|为定值.若存在,求出E、F的坐标;若不存在,说明理由.2003年普通高校招生数学(文)统一考试(天津卷) 答案一、选择题:本题考查基本知识和基本运算每小题5分,满分60分1.C 2.B 3.B 4.D 5.C 6.B 7.D 8.B 9.B 10.C 11.C 12.A 二、填空题:本题考查基本知识和基本运算,每小题4分,满分16分13.221-14.6,30,10 15.S 2△ABC + S 2△ACD + S 2△ADB = S 2△BCD 16.42 三、解答题17.本小题主要考查线面关系和四棱柱等基础知识,考查空间想象能力和推理能力,满分12分(1)证法一:取BD 中点M.连结MC ,FM .∵F 为BD 1中点 , ∴FM ∥D 1D 且FM=21D 1D . 又EC21CC 1且EC ⊥MC ,∴四边形EFMC 是矩形 ∴EF ⊥CC 1. 又CM ⊥面DBD 1 .∴EF ⊥面DBD 1 .∵BD 1⊂面DBD 1 . ∴EF ⊥BD 1 . 故EF 为BD 1 与CC 1的公垂线.证法二:建立如图的坐标系,得B (0,1,0),D 1(1,0,2),F (21,21,1),C 1(0,0,2),E (0,0,1). ,0,0).2,1,1().2,0,0(),0,21,21(1111=⋅=⋅∴-=∴==∴BD CC BD CC即EF ⊥CC 1,EF ⊥BD 1 . 故EF 是为BD 1 与CC 1的公垂线.(Ⅱ)解:连结ED 1,有V E -DBD 1=V D 1-DBE .由(Ⅰ)知EF ⊥面DBD 1 ,设点D 1到面BDE 的距离为d..3322322223)2(2321.22221,22,2.1,2.2111=⨯=∴⋅=⋅⋅==⋅⋅=∴====∴==⋅=⋅∆∆∆∆d S S EF ED BE BD AB AA EF S d S DBEDBD DBD DBE 则 故点D 1到平面DBE 的距离为332. 18.本小题主要考查导数、切线等知识及综合运用数学知识解决问题的能力,满分12分 (Ⅰ)解:函数y=x 2+2x 的导数y ′=2x+2,曲线C 1在点P (x 1,x 21+2x 1)的切线方程是:y -(x 21+2x 1)=(2x 1+2)(x -x 1),即 y=(2x 1+2)x -x 21 ①函数y=-x 2+a 的导数y ′=-2x, 曲线C 2 在点Q (x 2,-x 22+a )的切线方程是 即y -(-x 22+a)=-2x 2(x -x 2). y=-2x 2x+x 22+a . ② 如果直线l 是过P 和Q 的公切线,则①式和②式都是l 的方程,x 1+1=-x 2所以- x 21=x 22+a.消去x 2得方程 2x 21+2x 2+1+a=0.若判别式△=4-4×2(1+a )=0时,即a=-21时解得x 1=-21,此时点P 与Q 重合.即当a=-21时C 1和C 2有且仅有一条公切线,由①得公切线方程为 y=x -41 . (Ⅱ)证明:由(Ⅰ)可知.当a<-21时C 1和C 2有两条公切线 设一条公切线上切点为:P (x 1,y 1), Q (x2 , y 2 ).其中P 在C 1上,Q 在C 2上,则有x 1+x 2=-1,y 1+y 2=x 21+2x 1+(-x 22+a)= x 21+2x 1-(x 1+1)2+a=-1+a .线段PQ 的中点为).21,21(a +-- 同理,另一条公切线段P ′Q ′的中点也是).21,21(a +--所以公切线段PQ 和P ′Q ′互相平分.19.本小题考查数列,等比数列,等比数列求和等基础知识,考查运算能力,满分12分. (Ⅰ)∵a 1=1 . ∴a 2=3+1=4, a 3=32+4=13 .(Ⅱ)证明:由已知a n -a n -1=3n -1,故.2131333)()()(21112211-=++++=+-++-+-=-----n n n n n n n n a a a a a a a a 所以证得213-=n n a . 20.本小题主要考查相互独立事件概率的计算,运用数学知识解决问题的能力,满分12分.解:设三种产品各抽取一件,抽到合格产品的事件分别为A 、B 和C.(Ⅰ)P (A )=0.90,P (B )=P (C )=0.95.P )(A =0.10 , P )(B =P )(C =0.05.因为事件A ,B ,C 相互独立,恰有一件不合格的概率为P (A ·B ·C )+P (A ·B ·C )+P (A ·B ·C )=P (A )·P (B )·P (C )+P (A )·P (B )·P (C )+P (A )·P (B )·P (C ) =2×0.90×0.95×0.05+0.10×0.95×0.95=0.176答:恰有一件不合格的概率为0.176.(Ⅱ)解法一:至少有两件不合格的概率为P (A ·B ·C )+P (A ·B ·C )+P (A ·B ·C )+ P (A ·B ·C ) =0.90×0.052+2×0.10×0.05×0.95+0.10×0.052=0.012.答:至少有两件不合格的概率为0.012.解法二:三件产品都合格的概率为P (A ·B ·C )=P (A )·P (B )·P (C )=0.90×0.952=0.812.由(Ⅰ)知,恰有一件不合格的概率为0.176,所以至少有两件不合格的概率为1-P (A ·B ·C )+0.176=1-(0.812+0.176)=0.012答:至少有两件不合格的概率为0.012.21.本小题主要考查三角函数的图象和单调性,奇偶性等基本知识,以及分析问题和推理计算能力,满分12分.解:由f (x )是偶函数,得f (-x )= f (-x ).即: ).sin()sin(ϕωϕω+=+-x x 所以-x x ωϕωϕsin cos sin cos =对任意x 都成立,且,0>ω所以得ϕcos =0.依题设0πϕ≤≤,所以解得2πϕ=,由f (x )的图象关于点M 对称,得)43()43(x f x f +-=-ππ. 取x =0,得)43(πf =-)43(πf ,所以)43(πf =0..232,.]2,0[)2sin()(,310,2;]2,0[)22sin()(,2,1;]2,0[)232sin()(,32,0,2,1,0),12(32.2,1,0,243,0,043cos .43cos )243sin()43(==+=≥≥+===+====+=∴=+=>=∴=+=ωωππωωππωππωωππωπωωπωππωππ或综合得所以上不是单调函数在时当上是减函数在时当上是减函数在时当得又x x f k x x f k x x f k k k k k f 22.本小题主要考查平面向量的概念和计算,求轨迹的方法,椭圆的方程和性质,利用方程判定曲线的性质,曲线与方程的关系等解析几何的基本思想和综合解题能力,满分14分解:根据题设条件,首先求出点P 坐标满足的方程,据此再判断是否存在两定点,使得点P 到两定点距离的和为定值.∵i=(1,0),c=(0,a ), ∴).2,1(2),,(a c i a i c λλλλ-=-=+因此,直线OP 和AP 的方程分别为 λy=ax 和y -a =-2λax .消去参数λ,得点P (x ,y )的坐标满足方程y (y -a )=-2a 2x 2 ,整理得,1)2()2(81222=-+a a y x ① 因为a >0,所以得:(i )当a =22时,方程①是圆方程,故不存在合乎题意的定点E 和F ; (ii )当0<a <22时,方程①表示椭圆,焦点E )2,2121(2a a -和 )2,2121(2a a F --为合乎题意的两个定点;(iii )当a >22时,方程①表示椭圆,焦点E ())2121,0(2-+a a 和F (2121,0(2--a a ))为合乎题意的两个定点.。
2004年普通高等学校招生全国统一考试 文科数学(必修+选修I )(全国Ⅰ卷)第I 卷(选择题 共60分)一、选择题:本大题共12小题,每小题5分,共60分.1.设集合{1,2,3,4,5}U =,{1,2,3}A =,{2,5}B =,则()u A C B =A .{2}B .{2,3}C .{3}D .{1,3}2.已知函数1()lg 1x f x x -=+,若1()2f a =,则()f a -=A .21B .-21C .2D .-23.已知a,b 均为单位向量,它们的夹角为60°,那么|3|b a +=A .7B .10C .13D .44.函数)1(11>+-=x x y 的反函数是A .)1(222<+-=x x x yB .)1(222≥+-=x x x y C .)1(22<-=x x x y D .)1(22≥-=x x x y 5.73)12(xx -的展开式中常数项是A .14B .-14C .42D .-42 6.设)2,0(πα∈,若3sin 5α=,则 )4cos(2πα+=A .57B .51C .27D .47.椭圆1422=+y x 的两个焦点为12,F F ,过1F 作垂直于x 轴的直线与椭圆相交,一个交点为P ,则2||PF =A .23 B .3 C .27 D .4 8.设抛物线x y 82=的准线与x 轴交于点Q ,若过点Q 的直线l 与抛物线有公共点,则直线l 的斜率的取值范围是 A .]21,21[-B .[-2,2]C .[-1,1]D .[-4,4]9.为了得到函数)62sin(π-=x y 的图象,可以将函数x y 2cos =的图象A .向右平移6π个单位长度 B .向右平移3π个单位长度C .向左平移6π个单位长度D .向左平移3π个单位长度10.已知正四面体ABCD 的表面积为S ,其四个面的中心分别为,,,E F G H ,设四面体EFGH 的表面积为T ,则ST等于A .91B .94C .41D .3111.从1,2,…,9这九个数中,随机抽取3个不同的数,则这3个数的和为偶数的概率是A .95 B .94 C .2111 D .211012.已知22221,2a b b c +=+=,22c a + 2=,则ab bc ca ++的最小值为A .213-B .321-C .321-- D .321+第Ⅱ卷(非选择题 共90分)二、填空题:本大题共4小题,每小题4分,共16分.把答案填在题中横线上. 13.不等式03≥+x x 的解集是 . 14.已知等比数列{}n a 中,33a = ,10384a =,则该数列的通项n a = .15.由动点P 向圆122=+y x 引两条切线,PA PB ,切点分别为,A B ,=60APB ∠︒,DCB A P 则动点P 的轨迹方程为 .16.已知a ,b 为不垂直的异面直线,α是一个平面,则a ,b 在α上的射影有可能是 . ①两条平行直线②两条互相垂直的直线 ③同一条直线④一条直线及其外一点 在上面结论中,正确结论的编号是 (写出所有正确结论的编号).三、解答题:本大题共6小题,共74分.解答应写出文字说明,证明过程或演算步骤. 17.(本小题满分12分)等差数列{}n a 的前n 项和记为n S .已知102030,50a a ==.(Ⅰ)求通项n a ; (Ⅱ)若242=n S ,求n . 18.(本小题满分12分)求函数xxx x x x f 2sin 2cos sin cos sin )(2244-++=的最小正周期、最大值和最小值. 19.(本小题满分12分) 已知13)(23+-+=x x ax x f 在R 上是减函数,求a 的取值范围. 20.(本小题满分12分)从10位同学(其中6女,4男)中随机选出3位参加测验.每位女同学能通过测验的概率均为54,每位男同学能通过测验的概率均为53.试求: (I )选出的3位同学中,至少有一位男同学的概率;(II )10位同学中的女同学甲和男同学乙同时被选中且通过测验的概率. 21.(本小题满分12分)如图,已知四棱锥P ABCD -,PB ⊥AD ,侧面PAD 为边长等于2的正三角形,底面ABCD 为菱形,侧面PAD 与底面ABCD 所成的二面角为120°. (I )求点P 到平面ABCD 的距离;(II )求面PAB 与面PBC 所成二面角的大小.22.(本小题满分14分)设双曲线C :2221(0)x y a a-=>与直线l :1x y +=相交于两个不同的点,A B .(I )求双曲线C 的离心率e 的取值范围: (II )设直线l 与y 轴的交点为P ,且512PA PB =,求a 的值.2004年普通高等学校招生全国统一考试(四川、吉林、黑龙江、云南等地)文科数学(全国Ⅱ卷) 第Ⅰ卷(选择题 共60分)一、选择题:本大题共12小题,每小题5分,共60分. 在每小题给出的四个选项中,只有一项是符合题目要求的. 1.已知集合2{|4}M x x =<,2{|230}N x x x =--<,则M N =A .{2|-<x x }B .{3|>x x }C .{21|<<-x x }D . {32|<<x x }2.函数)5(51-≠+=x x y 的反函数是A .)0(51≠-=x x y B .)(5R x x y ∈+=C .)0(51≠+=x xy D .)(5R x x y ∈-=3.曲线1323+-=x x y 在点(1,1)-处的切线方程为 A .43-=x yB .23+-=x yC .34+-=x yD .54-=x y 4.已知圆C 与圆1)1(22=+-y x 关于直线x y -=对称,则圆C 的方程为 A .22(1)1x y ++= B .221x y += C .22(1)1x y ++= D .22(1)1x y +-= 5.已知函数)2tan(ϕ+=x y 的图象过点)0,12(π,则ϕ可以是A .6π-B .6πC .12π-D .12π6.正四棱锥的侧棱长与底面边长都是1,则侧棱与底面所成的角为A .75°B .60°C .45°D .30° 7.函数xe y -=的图象A .与xe y =的图象关于y 轴对称 B .与x e y =的图象关于坐标原点对称 C .与x e y -=的图象关于y 轴对称 D .与x ey -=的图象关于坐标原点对称8.已知点(1,2),(3,1)A B ,则线段AB 的垂直平分线的方程是A .524=+y xB .524=-y xC .52=+y xD .52=-y x 9.已知向量a ,b 满足:1||=a ,2||=b ,2||=-b a ,则=+||b aA .1B .2C .5D .6 10.已知球O 的半径为1,,,A B C 三点都在球面上,且每两点间的球面距离均为2π,则球心O 到平面ABC 的距离为A .31B .33C .32D .3611.函数x x y 24cos sin +=的最小正周期为 A .4π B .2πC .πD .2π 12.在由数字1,2,3,4,5组成的所有没有重复数字的5位数中,大于23145且小于43521的数共有 A .56个 B .57个 C .58个 D .60个第Ⅱ卷(非选择题 共90分)二、填空题:本大题共4小题,每小题4分,共16分.把答案填在题中横线上.13.已知a 为实数,10)(a x +展开式中7x 的系数是-15,则=a .14.设y x ,满足约束条件:⎪⎩⎪⎨⎧≤-≥≥,12,,0y x y x x则y x z 23+=的最大值是 .15.设中心的原点的椭圆与双曲线12222=-y x 有公共的焦点,且它们的离心率互为倒数,则该椭圆的方程是 . 16.下面是关于四棱柱的四个命题: ①若有两个侧面垂直于底面,则该四棱柱为直四棱柱;②若两个过相对侧棱的截面都垂直于底面,则该四棱柱为直四棱柱;③若四个侧面两两全等,则该四棱柱为直四棱柱;④若四棱柱的四条对角线两两相等,则该DC 1B 1A 1M CBA四棱柱为直四棱柱.其中,真命题的编号是 (写出所有正确结论的编号).三、解答题:本大题共6小题,共74分.解答应写出文字说明,证明过程或演算步骤. 17.(本小题满分12分)已知等差数列}{n a ,259,21a a ==. (Ⅰ)求}{n a 的通项公式;(Ⅱ)令n an b 2=,求数列}{n b 的前n 项和n S .18.(本小题满分12分)已知锐角三角形ABC 中,3sin()5A B +=,1sin()5A B -=. (Ⅰ)求证B A tan 2tan =;(Ⅱ)设3=AB ,求AB 边上的高. 19.(本小题满分12分)已知8支球队中有3支弱队,以抽签方式将这8支球队分为,A B 两组,每组4支.求:(Ⅰ),A B 两组中有一组恰有两支弱队的概率;(Ⅱ)A 组中至少有两支弱队的概率. 20.(本小题满分12分)如图,直三棱柱111ABC A B C -中, ∠ACB =90°,1,AC BC ==11AA =,侧面11AA B B 的两条对角线交点为D ,11B C 的中点为M .(Ⅰ)求证CD ⊥平面BDM ; (Ⅱ)求面1B BD 与面BCD 所成二面角的大小.21.(本小题满分12分)若函数1)1(2131)(23+-+-=x a ax x x f 在区间(1,4)内为减函数,在区间),6(+∞上为增函数,试求实数a 的取值范围.22.(本小题满分14分)给定抛物线C :x y 42=,F 是C 的焦点,过点F 的直线l 与C 相交于,A B 两点.(Ⅰ)设l 的斜率为1,求OA 与OB 的夹角的大小;(Ⅱ)设AF FB λ=,若λ∈[4,9],求l 在y 轴上截距的变化范围.2004年普通高等学校招生全国统一考试 (内蒙古、海南、西藏、陕西、广西等地)数学 (文史类) (全国Ⅲ卷) 第Ⅰ卷(选择题 共60分)一、选择题 1.设集合(){}R y R x y x y x M ∈∈=+=,,1,22,(){}R y R x y x y x N ∈∈=-=,,0,2,则集合N M 中元素的个数为 A.1 B.2 C.3 D.4 2.函数sin2xy =的最小正周期是 A .2πB . πC .π2D .π43.记函数13xy -=+的反函数为()y g x =,则(10)g =A .2B .2-C .3D .1-4.等比数列{}n a 中,29,a = 5243a =,则{}n a 的前4项和为A .81B .120C .168D .192 5.圆0422=-+x y x 在点)3,1(P 处的切线方程为 A .023=-+y x B .043=-+y xC .043=+-y xD .023=+-y x6.61x ⎫⎪⎭展开式中的常数项为 A .15 B .15- C .20 D .20-7.设复数z 的辐角的主值为32π,虚部为3,则2z =A .i 322--B .i 232--C .i 32+D .i 232+8.设双曲线的焦点在x 轴上,两条渐近线为12y x =±,则双曲线的离心率e =A .5 B.549.不等式113x <+<的解集为 A .()0,2 B .()()2,02,4-C .()4,0-D .()()4,20,2--10.正三棱锥的底面边长为2,侧面均为直角三角形,则此三棱锥的体积为ABC.3 D11.在△ABC中,3,AB BC ==,4AC =,则边AC 上的高为 A .223 B .233 C .23 D .3312.4名教师分配到3所中学任教,每所中学至少1名教师,则不同的分配方案共有 A .12种 B .24种 C 36种 D .48种第Ⅱ卷(非选择题 共90分)二、填空题:本大题共4小题,每小题4分,共16分. 把答案填在题中横线上. 13.函数)1(log 21-=x y 的定义域是 .14.用平面α截半径为R 的球,如果球心到平面α的距离为2R,那么截得小圆的面积与球的表面积的比值为 . 15.函数)(cos 21sin R x x x y ∈-=的最大值为 .16.设P 为圆122=+y x 上的动点,则点P 到直线01043=--y x 的距离的最小值为 . 三、解答题:本大题共6小题,共74分. 解答应写出文字说明,证明过程或演算步骤. 17.(本小题满分12分) 解方程242120xx +--=. 18.(本小题满分12分) 已知α为锐角,且21tan =α,求 ααααα2cos 2sin sin cos 2sin -的值.C B A P 19.(本上题满分12分)设数列}{n a 是公差不为零的等差数列,nS 是数列}{n a 的前n 项和,且2129S S =,424S S =,求数列}{n a 的通项公式.20.(本小题满分12分)某村计划建造一个室内面积为8002m 的矩形蔬菜温室.在温室内,沿左、右两侧与后侧内墙各保留1m 宽的通道,沿前侧内墙保留3m 宽的空地.当矩形温室的边长各为多少时?蔬菜的种植面积最大,最大种植面积是多少? 21.(本小题满分12分)三棱锥P ABC -中,侧面PAC 与底面ABC 垂直,3PA PB PC ===. (Ⅰ)求证:AB BC ⊥;(Ⅱ)设AB BC ==,求侧面PBC 与侧面PAC 所成二面角的大小.22.(本小题满分14分)设椭圆1122=++y m x 的两个焦点是)0,(1c F -与)0(),0,(2>c c F ,且椭圆上存在一点P ,使得直线1PF 与2PF 垂直. (Ⅰ)求实数m 的取值范围;(Ⅱ)设L 是相应于焦点2F 的准线,直线2PF 与L 相交于点Q ,若3222-=PF QF ,求直线2PF 的方程.2004年普通高等学校招生全国统一考试 (甘肃、青海、宁夏、贵州、新疆等地) 文科数学(必修+选修Ⅰ)(全国Ⅳ卷)第Ⅰ卷(选择题 共60分)一、选择题:本大题共12小题,每小题5分,共60分. 在每小题给出的四个选项中,只有一项是符合题目要求的.1.设集合{1,2,3,4,5}U =,集合{0,3,5}M =,{1,4,5}N =,则()U MC N =A .{5}B .{0,3}C .{0,2,3,5}D .{0,1,3,4,5}2.函数)(2R x e y x∈=的反函数为 A .)0(ln 2>=x x y B .)0)(2ln(>=x x yC .)0(ln 21>=x x y D .)0(2ln 21>=x x y3.正三棱柱侧面的一条对角线长为2,且与底面成45°角,则此三棱柱的体积为A .26 B .6 C .66 D .36 4.函数)1()1(2-+=x x y 在1=x 处的导数等于 A .1 B .2C .3D .45.为了得到函数xy )31(3⨯=的图象,可以把函数13xy ⎛⎫= ⎪⎝⎭的图象A .向左平移3个单位长度B .向右平移3个单位长度C .向左平移1个单位长度D .向右平移1个单位长度6.等差数列}{n a 中,12324a a a ++=-,18192078a a a ++=,则此数列前20项和等于A .160B .180C .200D .220 7.已知函数14log y x =与y kx =的图象有公共点A ,且点A 的横坐标为2,则kA .41-B .41C .21- D .218.已知圆C 的半径为2,圆心在x 轴的正半轴上,直线0443=++y x 与圆C 相切,则圆C 的方程为A .03222=--+x y xB .0422=++x y x C .03222=-++x y xD .0422=-+x y x9.从5位男教师和4位女教师中选出3位教师,派到3个班担任班主任(每班1位班主任),要求这3位班主任中男、女教师都要有,则不同的选派方案共有 A .210种 B .420种 C .630种 D .840种 10.函数2sin()cos()36y x x ππ=--+ ()x ∈R 的最小值等于A .-3B .-2C .-1D .-511.已知球的表面积为20π,球面上有,,A B C 三点.如果AB AC BC ===则球心到平ABC 的距离为 A .1 B .2 C .3 D .2 12.△ABC 中,,,a b c 分别为∠A ,∠B ,∠C 的对边.如果,,a b c 成等差数列,∠B =30°,△ABC 的面积为23,那么=bA .231+B .31+C .232+ D .32+第Ⅱ卷(非选择题 共90分)二、填空题:本大题共4小题,每小题4分,共16分.把答案填在题中横线上.13.8(x 展开式中5x 的系数为 . 14.已知函数)0(sin21>+=A Ax y π的最小正周期为3π,则A = .15.向量a ,b 满足4)2()(-=+⋅-b a b a ,且2||=a ,4||=b ,则a 与b 夹角的余弦值等于 .16.设y x ,满足约束条件⎪⎩⎪⎨⎧≥≤≤+,0,,1y x y y x 则y x z +=2的最大值是 .三、解答题:本大题共6小题,共74分.解答应写出文字说明,证明过程或演算步骤. 17.(本小题满分12分) 已知α为第二象限角,且415sin =α,求12cos 2sin )4sin(+++ααπα的值.18.(本小题满分12分)已知数列}{n a 为等比数列,256,a a ==162.(Ⅰ)求数列}{n a 的通项公式; (Ⅱ)设n S 是数列}{n a 的前n 项和,证明2211n n n S S S ++⋅≤. 19.(本小题满分12分)已知直线1l 为曲线22-+=x x y 在点 (1,0)处的切线,2l 为该曲线的另一条切线,且12l l ⊥. (Ⅰ)求直线2l 的方程;(Ⅱ)求由直线1l ,2l 和x 轴所围成的三角形的面积. 20.(本小题满分12分)某同学参加科普知识竞赛,需回答3个问题.竞赛规则规定:答对第一、二、三问题分别得100分、100分、200分,答错得零分.假设这名同学答对第一、二、三个问题的概率分别为0.8、0.7、0.6,且各题答对与否相互之间没有影响.(Ⅰ)求这名同学得300分的概率; (Ⅱ)求这名同学至少得300分的概率.21.(本小题满分12分)如图,四棱锥P ABCD -中,底面ABCD为矩形,8,3AB AD ==侧面PAD 为等边三角形,并且与底面所成二面角为 60°.(Ⅰ)求四棱锥P ABCD -的体积; (Ⅱ)证明PA ⊥BD . 22.(本小题满分14分)双曲线)0,1(12222>>=-b a by a x 的焦点距为2c ,直线l 过点(,0)a 和(0,)b ,且点(1,0)到直线l 的距离与点(1,0)-到直线l的距离之和45S c ≥,求双曲线的离心率e的取值范围.。
2003年高考数学试题(全国卷)评析海盐元济高级中学胡水林2003年高考,受到了社会各界从未有过的关注。
高考时间的提前,SARS 的突袭,新旧教材的交替,考后的强烈反应等等,将会在一段时间内给人留下一份挥之不去的记忆。
我们处于一个改革锐进的时代,教育的理念,思维的方式都在发生变化,2003年高考数学试题反映了这种变化,它向传统的教学方式提出了挑战。
本文着重评价03年试题特色和教学的启示。
一、03年高考教学试题的特点03年试题的题型结构,考题份量与近年历届的试题持平,各分科所占比例大致合理。
1.突出基础知识和数学思想方法的考查1.1 高中数学的主干知识构成试题的主体如同以往,今年的高考试题继续坚持“高中数学的主干知识构成试题的主体”,试题中保持了较高的比例,并达到了必要的深度。
代数着重考查函数、数列、不等式、三角等主要内容;立体几何着重考查线面关系、线线关系,特别是它们之间的垂直关系;解析几何着重考查圆锥曲线和直线,以及它们之间的位置关系。
如函数作为高中代数中最基本、最重要的内容,在理科试题第(1)、(3)、(4)、(9)、(14)、(19)、(22)题,文科试题第(2)、(6)、(7)、(8)、(13)、(20)中,从不同的侧面,对函数进行了全面考查。
又如文科第(17)题、理科第(18)题,考查的是立体几何中点在平面上的射影、斜线与平面所成的角、点到平面的距离、异面直线及其公垂线等概念,以及棱柱的概念与性质等重点知识,将空间问题转化为平面问题的思考等重点方法。
1.2 抓住知识网络的交汇点设计命题。
今年的高考命题提纲挈领地抓住知识网络的交汇点,设计出具有综合性的新颖的试题,以达到较全面地考查学生的数学基础和数学素养的目的。
如理科的第(19)题,以最基本的指数函数、含有绝对值的不等式为载体,考查了函数的概念、函数的单调性、函数的最值等性质,含有绝对值不等式的解法,集合的概念与运算,以及对“有且只有”严谨的数学语言的解读。
2003年普通高等学校招生全国统一考试(全国卷)数学(文史类)注意事项:1. . 答第Ⅰ卷前,考生务必将自己的姓名、准考证号、考试科目用铅笔涂写在答题卡上.答第Ⅰ卷前,考生务必将自己的姓名、准考证号、考试科目用铅笔涂写在答题卡上.答第Ⅰ卷前,考生务必将自己的姓名、准考证号、考试科目用铅笔涂写在答题卡上.2. . 每小题选出答案后,用铅笔把答题卡上对应答案标号涂黑,如需改动,用橡皮擦干净后,再选涂其它每小题选出答案后,用铅笔把答题卡上对应答案标号涂黑,如需改动,用橡皮擦干净后,再选涂其它答案,不能答在试题卷上.答案,不能答在试题卷上.3. . 考试结束,监考人将本试卷和答题卡一并收回.考试结束,监考人将本试卷和答题卡一并收回.考试结束,监考人将本试卷和答题卡一并收回. 参考公式:参考公式:三角函数的积化和差公式:三角函数的积化和差公式: 正棱台、圆台的侧面积公式正棱台、圆台的侧面积公式正棱台、圆台的侧面积公式)]sin()[sin(21cos sin b a b a b a -++=× l c c S )(21+¢=台侧 其中其中c ¢、c 分别表示分别表示)]sin()[sin(21sin cos b a b a b a --+=× 上、下底面周长,上、下底面周长,l 表示斜高或母线长表示斜高或母线长. .)]cos()[cos(21cos cos b a b a b a -++=× 球体的体积公式:球体的体积公式:334R V p =球 ,其中R)]cos()[cos(21sin sin b a b a b a --+-=× 表示球的半径表示球的半径表示球的半径. . 本试卷分第Ⅰ卷(选择题)和第Ⅱ卷(非选择题)两部分第Ⅰ卷1至2页,第Ⅱ卷3至10页考试结束后,将本试卷和答题卡一并交回第Ⅰ卷(选择题共60分)分)一.选择题:本大题共12小题,每小题5分,共60分,在每小题给出的四个选项中,只有一项是符合要求的1.直线2y x x =关于对称的直线方程为对称的直线方程为 ( )(A )12y x =- (B )12y x =(C )2y x =- (D )2y x =2.已知,02x p æöÎ-ç÷èø,54cos =x ,则2tg x = ( )(A )247 (B )247- (C )724 (D )724- 3.抛物线2y a x =的准线方程是2,y a =则的值为的值为 ( ) (A )18(B )18-(C )8 (D )8-4.等差数列{}n a 中,已知1251,4,33,3n a a a a n =+==则为(为( )(A )48 (B )49 (C )50 (D )51 5.双曲线虚轴的一个端点为M ,两个焦点为1212,,120F F F M F Ð=°,则双曲线的离心率为(,则双曲线的离心率为( ) (A )3 (B )62(C )63(D )336.设函数ïîïíì-=--2112)(xx f x00>£x x ,若1)(0>x f ,则0x 的取值范围是的取值范围是 ( ) (A )(1-,1) (B )(1-,¥+)(C )(¥-,2-)È(0,¥+) (D )(¥-,1-)È(1,¥+) 7.已知5()lg ,(2)f x x f ==则( ) (A )lg 2 (B )lg 32 (C )1lg32(D )1lg 258.函数sin()(0)y x R j j p j =+££=是上的偶函数,则( ) (A )0 (B )4p(C )2p(D )p9.已知(,2)(0):-30a a l x y a >+==点到直线的距离为1,则( ) (A )2(B )22- (C )21- (D )21+10.已知圆锥的底面半径为R ,高为3R ,它的内接圆柱的底面半径为34R ,该圆柱的全面积为(,该圆柱的全面积为( )(A )22R p (B )249R p (C )238R p (D )252R p11.已知长方形的四个顶点A (0,0),B (2,0),C (2,1)和D (0,1),一质点从AB 的中点0P 沿与AB夹角为q 的方向射到BC 上的点1P 后,依次反射到CD 、DA 和AB 上的点2P 、3P 和4P (入射角等于反射角)若40P P 与重合,则tg q = ( ) (A )31 (B )52 (C )21(D )1 12.一个四面体的所有棱长都为2,四个顶点在同一球面上,则此球的表面积为(,四个顶点在同一球面上,则此球的表面积为( ) (A )p 3 (B )p 4 (C )p 33 (D )p 62003年普通高等学校招生全国统一考试数 学(文史类)第Ⅱ卷(非选择题共90分)分)二.填空题:本大题共4小题,每小题4分,共16分把答案填在题中横线上 13.不等式24x x x -<的解集是____________________. 14.92)21(xx -的展开式中9x 系数是系数是 ________ . 15.在平面几何里,有勾股定理:“设222,,A B C A B A C A B A C B C+= 的两边互相垂直则”拓展到空间,类比平面几何的勾股定理,研究三棱锥的侧面面积与底面面积间的关系,可以得出的正确结论是:“设三棱锥A B C D-的三个侧面A B C A C 、、两两互相垂直,则______________________________________________.” 16.如图,一个地区分为5个行政区域,个行政区域,现给地图现给地图着色,要求相邻区域不得使用同一颜色,现有4种颜色可供选择,则不同的着色方法共有 种_______________________(以数字作答)(以数字作答)三、解答题:本大题共6小题,共74分,解答应写出文字说明,证明过程或或演算步骤 17.(本小题满分12分)分)已知正四棱柱111111112A B C D A B C D A B A A E C C F B D -==,,,点为中点,点为点中点 (Ⅰ)证明11E F B D C C 为与的公垂线的公垂线(Ⅱ)求点1D D B DEE 到面的距离18.(本小题满分12分)分)已知复数z 的辐角为°60,且|1|-z 是||z 和|2|-z 的等比中项,求||z . 1919..(本小题满分12分)分)已知数列{}n a 满足1111,3(2).n n n n a a a n --==+³(Ⅰ)求23,a a ;(Ⅱ)证明312nn a -=20.(本小题满分12分)分)已知函数()2sin (sin cos )f x x x x =+ (Ⅰ)求函数()f x 的最小正周期和最大值;的最小正周期和最大值;()y f x =在(Ⅱ)在(Ⅱ)在给出给出的直角坐标系中,画出函数区间,22p p éù-êúëû上的图象21.(本小题满分12分)分)2 1 5 3 4 EDBACB D CAFMy O 2p2p-x 在某海滨城市附近海面有一台风,据监测,当前台风中心位于城市O (如图)的东偏南2(cos )10q q =方向西偏北°45方向300km 的海面P 处,并以20km/h 的速度向移动,台风侵袭的范围为圆形区域,当前半径为60km ,并以10km/h 的速度不断增大,问几小时后该城市开始受到台风的侵袭?的侵袭?22.(本小题满分14分)分)已知常数0>a ,在矩形ABCD 中,4=AB ,a BC 4=,O 为AB 的中点,点E 、F 、G 分别在BC 、CD 、DA 上移动,且DADC CDCF BCBE ==,P 为GE 与OF 的交点(如图),问是否存在两个定点,使P 到这两点的距离的和为定值?若存在,求出这两点的坐标及此定值;若不存在,请说明理由2003年普通高等学校招生全国统一考试数学试题(文)参考解答及评分标准说明:一. . 本解答指出了每题要考查的主要知识和能力,本解答指出了每题要考查的主要知识和能力,并给出了一种或几种解法供参考,如果考生物解法与本解答不同,可根据试题的主要考查内容比照评分标准制订相应的评分细则.解答不同,可根据试题的主要考查内容比照评分标准制订相应的评分细则.二. . 对计算题,对计算题,对计算题,当考生的解答在某一步出现错误时,当考生的解答在某一步出现错误时,当考生的解答在某一步出现错误时,如果后继部分的解答未改变该题的内容和难度,如果后继部分的解答未改变该题的内容和难度,如果后继部分的解答未改变该题的内容和难度,可视可视影响的程度决定部分的给分,但不得超过该部分正确解答得分数的一半;如果后继部分的解答有较严重的错误,O P A G D F E C B x y q O 北东y 线岸 O x Pr(t) P 45°海三. . 解答右端所注分数,表示考生正确做到这一步应得的累加分数.解答右端所注分数,表示考生正确做到这一步应得的累加分数.解答右端所注分数,表示考生正确做到这一步应得的累加分数. 四. . 只给整数分数.选择题和填空题不给中间分.只给整数分数.选择题和填空题不给中间分.只给整数分数.选择题和填空题不给中间分.一、选择题:本题考查基本知识和基本运算. 每小题5分,满分60分.1.C 2.D 3.B 4.C 5.B 6.D 7.D 8.C 9.C 10.B 11.C 12.A 二、填空题:本题考查基本知识和基本运算.每小题4分,满分16分. 13.]4,2( 14.221- 15.2222BCD ADB ACD ABC S S S S D D D D =++ 16.72 三、解答题:本大题共6小题,共74分.解答应写出文字说明,证明过程或演算步骤. 17.(I )证明:取BD 中点M ,连结MC ,FM ,∵F 为BD 1中点,中点, ∴FM ∥D 1D 且FM=21D 1D 又EC=21CC 1,且EC ⊥MC ,∴四边形EFMC 是矩形是矩形 ∴EF ⊥CC 1又CM ⊥面DBD 1 ∴EF ⊥面DBD 1 ∵BD 1Ì面DBD 1,∴EF ⊥BD 1 故EF 为BD 1与CC 1的公垂线的公垂线 (II )解:连结ED 1,有V 由(I )知EF ⊥面DBD 1,设点D 1到面BDE 的距离为d ,则S △DBC ·d=S △DCD 1·EF . ∵AA 1=2·AB=1. 22,2====\EF ED BE BD 23)2(2321,2222121=××==××=\D D DBC DBD S S 故点D 1到平面BDE 的距离为332. 18.解:设z=2),60sin 60(cos r z i r 的实邻为则复数+2,r z z r z z ==+\由题设|2||||1|2-×=-z z z即)2)(2(||)1)(1(--=--z z z z z 42122+-=+-r rrr r12120122--=-==-+r r r r 解得(舍去)(舍去) 即|z|=12-19.(I )解∵1343,413,12321=+==+=\=a a a(II )证明:由已知故,311--=-n n n a a112211)()()(a a a aaaa a n n n nn+-++-+-=---.2)n s(22(Ⅱ)由(Ⅰ)知(Ⅱ)由(Ⅰ)知x83p -8p-8p83p85py1 21-1 21+1 ]p p )台风中心),(y x P ïíì´+´=´-´=22102722102t y t x ))y x -))--y x 22102722102´+´´-´t t的和为定值. 按题意有A (-2,0),B (2,0),C (2,4a ),D (-2,4a )设)10(££===k k DADC CDCF BCBE ,由此有E (2,4ak ),F (2-4k ,4a ),G (-2,4a -4ak ). 直线OF 的方程为:0)12(2=-+y k ax , ① 直线GE 的方程为:02)12(=-+--a y x k a . ②从①,②消去参数k ,得点P (x ,y )坐标满足方程022222=-+ay y x a ,整理得1)(21222=-+aa y x . 当212=a 时,点P 的轨迹为圆弧,所以不存在符合题意的两点. 当212¹a时,点P 轨迹为椭圆的一部分,点P 到该椭圆焦点的距离的和为定长. 当212<a 时,点P 到椭圆两个焦点),21(),,21(22a a a a ---的距离之和为定值2. 当212>a 时,点P 到椭圆两个焦点)21021,0(22-+--a a a a ,),(的距离之和为定值a 2. 。
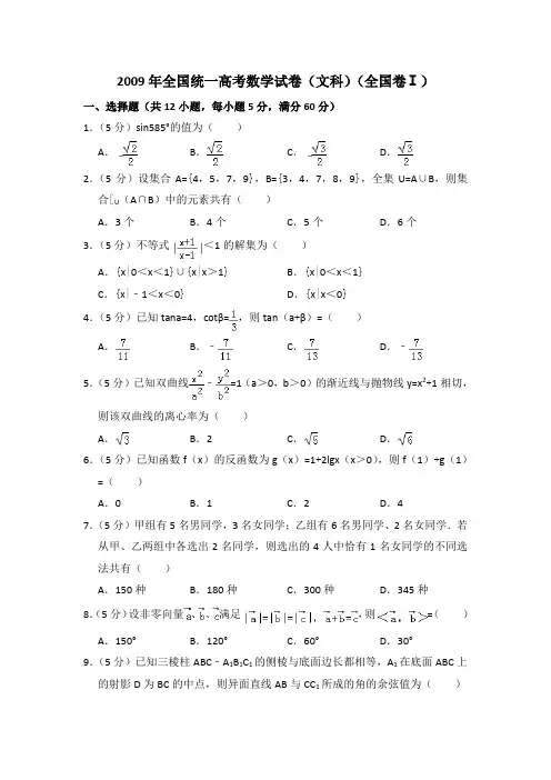
2018年全国统一高考数学试卷(文科)(新课标Ⅱ)一、选择题:本题共12小题,每小题5分,共60分。
在每小题给出的四个选项中,只有一项是符合题目要求的。
1.(5分)i(2+3i)=()A.3﹣2i B.3+2i C.﹣3﹣2i D.﹣3+2i2.(5分)已知集合A={1,3,5,7},B={2,3,4,5},则A∩B=()A.{3}B.{5}C.{3,5}D.{1,2,3,4,5,7}3.(5分)函数f(x)=的图象大致为()A.B.C.D.4.(5分)已知向量,满足||=1,=﹣1,则•(2)=()A.4B.3C.2D.05.(5分)从2名男同学和3名女同学中任选2人参加社区服务,则选中的2人都是女同学的概率为()A.0.6B.0.5C.0.4D.0.36.(5分)双曲线=1(a>0,b>0)的离心率为,则其渐近线方程为()A.y=±x B.y=±x C.y=±x D.y=±x7.(5分)在△ABC中,cos=,BC=1,AC=5,则AB=()A.4B.C.D.28.(5分)为计算S=1﹣+﹣+…+﹣,设计了如图的程序框图,则在空白框中应填入()A.i=i+1B.i=i+2C.i=i+3D.i=i+49.(5分)在正方体ABCD﹣A1B1C1D1中,E为棱CC1的中点,则异面直线AE与CD所成角的正切值为()A.B.C.D.10.(5分)若f(x)=cosx﹣sinx在[0,a]是减函数,则a的最大值是()A.B.C.D.π11.(5分)已知F1,F2是椭圆C的两个焦点,P是C上的一点,若PF1⊥PF2,且∠PF2F1=60°,则C的离心率为()A.1﹣B.2﹣C.D.﹣112.(5分)已知f(x)是定义域为(﹣∞,+∞)的奇函数,满足f(1﹣x)=f(1+x),若f(1)=2,则f(1)+f(2)+f(3)+…+f(50)=()A.﹣50B.0C.2D.50二、填空题:本题共4小题,每小题5分,共20分。
2014年全国统一高考数学试卷(文科)(新课标Ⅰ)一、选择题:本大题共12小题,每小题5分,在每小题给出的四个选项中,只有一项是符合题目要求的1.(5分)已知集合M={x|﹣1<x<3},N={x|﹣2<x<1},则M∩N=( )A.(﹣2,1)B.(﹣1,1)C.(1,3)D.(﹣2,3)2.(5分)若tanα>0,则( )A.sinα>0B.cosα>0C.sin2α>0D.cos2α>0 3.(5分)设z=+i,则|z|=( )A.B.C.D.24.(5分)已知双曲线﹣=1(a>0)的离心率为2,则实数a=( )A.2B.C.D.15.(5分)设函数f(x),g(x)的定义域都为R,且f(x)是奇函数,g(x)是偶函数,则下列结论正确的是( )A.f(x)•g(x)是偶函数B.|f(x)|•g(x)是奇函数C.f(x)•|g(x)|是奇函数D.|f(x)•g(x)|是奇函数6.(5分)设D,E,F分别为△ABC的三边BC,CA,AB的中点,则+=( )A.B.C.D.7.(5分)在函数①y=cos|2x|,②y=|cosx|,③y=cos(2x+),④y=tan(2x﹣)中,最小正周期为π的所有函数为( )A.①②③B.①③④C.②④D.①③8.(5分)如图,网格纸的各小格都是正方形,粗实线画出的是一个几何体的三视图,则这个几何体是( )A.三棱锥B.三棱柱C.四棱锥D.四棱柱9.(5分)执行如图的程序框图,若输入的a,b,k分别为1,2,3,则输出的M=( )A.B.C.D.10.(5分)已知抛物线C:y2=x的焦点为F,A(x0,y0)是C上一点,AF=|x0|,则x0=( )A.1B.2C.4D.811.(5分)设x,y满足约束条件且z=x+ay的最小值为7,则a=( )A.﹣5B.3C.﹣5或3D.5或﹣3 12.(5分)已知函数f(x)=ax3﹣3x2+1,若f(x)存在唯一的零点x0,且x0>0,则实数a的取值范围是( )A.(1,+∞)B.(2,+∞)C.(﹣∞,﹣1)D.(﹣∞,﹣2) 二、填空题:本大题共4小题,每小题5分13.(5分)将2本不同的数学书和1本语文书在书架上随机排成一行,则2本数学书相邻的概率为 .14.(5分)甲、乙、丙三位同学被问到是否去过A,B,C三个城市时,甲说:我去过的城市比乙多,但没去过B城市;乙说:我没去过C城市;丙说:我们三人去过同一城市;由此可判断乙去过的城市为 .15.(5分)设函数f(x)=,则使得f(x)≤2成立的x的取值范围是 .16.(5分)如图,为测量山高MN,选择A和另一座的山顶C为测量观测点,从A点测得M点的仰角∠MAN=60°,C点的仰角∠CAB=45°以及∠MAC=75°;从C点测得∠MCA=60°,已知山高BC=100m,则山高MN= m.三、解答题:解答应写出文字说明.证明过程或演算步骤17.(12分)已知{a n}是递增的等差数列,a2,a4是方程x2﹣5x+6=0的根.(1)求{a n}的通项公式;(2)求数列{}的前n项和.18.(12分)从某企业生产的产品中抽取100件,测量这些产品的一项质量指标值,由测量结果得如下频数分布表:质量指标值分组[75,85)[85,95)[95,105)[105,115)[115,125)频数62638228(1)在表格中作出这些数据的频率分布直方图;(2)估计这种产品质量指标的平均数及方差(同一组中的数据用该组区间的中点值作代表);(3)根据以上抽样调查数据,能否认为该企业生产的这种产品符合“质量指标值不低于95的产品至少要占全部产品80%”的规定?19.(12分)如图,三棱柱ABC﹣A1B1C1中,侧面BB1C1C为菱形,B1C的中点为O,且AO⊥平面BB1C1C.(1)证明:B1C⊥AB;(2)若AC⊥AB1,∠CBB1=60°,BC=1,求三棱柱ABC﹣A1B1C1的高.20.(12分)已知点P(2,2),圆C:x2+y2﹣8y=0,过点P的动直线l与圆C 交于A,B两点,线段AB的中点为M,O为坐标原点.(1)求M的轨迹方程;(2)当|OP|=|OM|时,求l的方程及△POM的面积.21.(12分)设函数f(x)=alnx+x2﹣bx(a≠1),曲线y=f(x)在点(1,f(1))处的切线斜率为0,(1)求b;(2)若存在x0≥1,使得f(x0)<,求a的取值范围.请考生在第22,23,24题中任选一题作答,如果多做,则按所做的第一题记分。
2007年全国统一高考数学试卷(文科)(全国卷Ⅰ)一、选择题(共12小题,每小题5分,满分60分)1.(5分)设S={x|2x+1>0},T={x|3x﹣5<0},则S∩T=()A.∅B.C.D.2.(5分)α是第四象限角,cosα=,则sinα=()A.B.C.D.3.(5分)已知向量,,则与()A.垂直B.不垂直也不平行C.平行且同向D.平行且反向4.(5分)已知双曲线的离心率为2,焦点是(﹣4,0),(4,0),则双曲线方程为()A.B.C.D.5.(5分)甲、乙、丙3位同学选修课程,从4门课程中,甲选修2门,乙、丙各选修3门,则不同的选修方案共有()A.36种B.48种C.96种D.192种6.(5分)下面给出的四个点中,位于表示的平面区域内的点是()A.(0,2) B.(﹣2,0)C.(0,﹣2)D.(2,0)7.(5分)如图,正棱柱ABCD﹣A1B1C1D1中,AA1=2AB,则异面直线A1B与AD1所成角的余弦值为()A.B.C.D.8.(5分)设a>1,函数f(x)=log a x在区间[a,2a]上的最大值与最小值之差为,则a=()A.B.2 C.D.49.(5分)f(x),g(x)是定义在R上的函数,h(x)=f(x)+g(x),则“f(x),g(x)均为偶函数”是“h(x)为偶函数”的()A.充要条件B.充分而不必要的条件C.必要而不充分的条件D.既不充分也不必要的条件10.(5分)函数y=2cos2x的一个单调增区间是()A.B.C.D.11.(5分)曲线在点处的切线与坐标轴围成的三角形面积为()A.B.C.D.12.(5分)抛物线y2=4x的焦点为F,准线为l,经过F且斜率为的直线与抛物线在x轴上方的部分相交于点A,AK⊥l,垂足为K,则△AKF的面积是()A.4 B.C.D.8二、填空题(共4小题,每小题5分,满分20分)13.(5分)从自动打包机包装的食盐中,随机抽取20袋,测得各袋的质量分别为(单位:g):492496494495498497501502504496 497503506508507492496500501499~.14.(5分)函数y=f(x)的图象与函数y=log3x(x>0)的图象关于直线y=x对称,则f(x)=.15.(5分)正四棱锥S﹣ABCD的底面边长和各侧棱长都为,点S、A、B、C、D都在同一个球面上,则该球的体积为.16.(5分)等比数列{a n}的前n项和为S n,已知S1,2S2,3S3成等差数列,则{a n}的公比为.三、解答题(共6小题,满分80分)17.(10分)设锐角三角形ABC的内角A,B,C的对边分别为a,b,c,a=2bsinA(Ⅰ)求B的大小;(Ⅱ)若,c=5,求b.(Ⅰ)求3位购买该商品的顾客中至少有1位采用一次性付款的概率;(Ⅱ)求3位顾客每人购买1件该商品,商场获的利润不超过650元的概率.19.(12分)四棱锥S﹣ABCD中,底面ABCD为平行四边形,侧面SBC⊥底面ABCD,已知∠ABC=45°,AB=2,BC=2,SA=SB=.(Ⅰ)证明:SA⊥BC;(Ⅱ)求直线SD与平面SBC所成角的大小.20.(12分)设函数f(x)=2x3+3ax2+3bx+8c在x=1及x=2时取得极值.(Ⅰ)求a、b的值;(Ⅱ)若对任意的x∈[0,3],都有f(x)<c2成立,求c的取值范围.21.(12分)设{a n}是等差数列,{b n}是各项都为正数的等比数列,且a1=b1=1,a3+b5=21,a5+b3=13.(Ⅰ)求{a n}、{b n}的通项公式;(Ⅱ)求数列的前n项和S n.22.(12分)已知椭圆的左右焦点分别为F1、F2,过F1的直线交椭圆于B、D两点,过F2的直线交椭圆于A、C两点,且AC⊥BD,垂足为P(Ⅰ)设P点的坐标为(x0,y0),证明:;(Ⅱ)求四边形ABCD的面积的最小值.2007年全国统一高考数学试卷(文科)(全国卷Ⅰ)参考答案与试题解析一、选择题(共12小题,每小题5分,满分60分)1.(5分)(2007•全国卷Ⅰ)设S={x|2x+1>0},T={x|3x﹣5<0},则S∩T=()A.∅B.C.D.【分析】集合S、T是一次不等式的解集,分别求出再求交集.【解答】解:S={x|2x+1>0}={x|x>﹣},T={x|3x﹣5<0}={x|x<},则S∩T=,故选D.2.(5分)(2007•全国卷Ⅰ)α是第四象限角,cosα=,则sinα=()A.B.C.D.【分析】根据同角的三角函数之间的关系sin2+cos2α=1,得到余弦的值,又由角在第四象限,确定符号.【解答】解:∵α是第四象限角,∴sinα=,故选B.3.(5分)(2007•全国卷Ⅰ)已知向量,,则与()A.垂直B.不垂直也不平行C.平行且同向D.平行且反向【分析】根据向量平行垂直坐标公式运算即得.【解答】解:∵向量,,得,∴⊥,故选A.4.(5分)(2007•全国卷Ⅰ)已知双曲线的离心率为2,焦点是(﹣4,0),(4,0),则双曲线方程为()A.B.C.D.【分析】根据焦点坐标求得c,再根据离心率求得a,最后根据b=求得b,双曲线方程可得.【解答】解.已知双曲线的离心率为2,焦点是(﹣4,0),(4,0),则c=4,a=2,b2=12,双曲线方程为,故选A.5.(5分)(2007•全国卷Ⅰ)甲、乙、丙3位同学选修课程,从4门课程中,甲选修2门,乙、丙各选修3门,则不同的选修方案共有()A.36种B.48种C.96种D.192种【分析】根据题意,先分析甲,有C42种,再分析乙、丙,有C43•C43种,进而由乘法原理计算可得答案.【解答】解;根据题意,甲、乙、丙3位同学选修课程,从4门课程中,甲选修2门,有C42种,乙、丙各选修3门,有C43•C43种,则不同的选修方案共有C42•C43•C43=96种,故选C.6.(5分)(2007•全国卷Ⅰ)下面给出的四个点中,位于表示的平面区域内的点是()A.(0,2) B.(﹣2,0)C.(0,﹣2)D.(2,0)【分析】本题考查的是不等式所表示的平面区域内点所满足的条件的问题,解决此问题只需将点代入验证即可【解答】解:将四个点的坐标分别代入不等式组,解可得,满足条件的是(0,﹣2),故选C.7.(5分)(2007•全国卷Ⅰ)如图,正棱柱ABCD﹣A1B1C1D1中,AA1=2AB,则异面直线A1B与AD1所成角的余弦值为()A.B.C.D.【分析】先通过平移将两条异面直线平移到同一个起点B,得到的锐角∠A1BC1就是异面直线所成的角,在三角形中A1BC1用余弦定理求解即可.【解答】解.如图,连接BC1,A1C1,∠A1BC1是异面直线A1B与AD1所成的角,设AB=a,AA1=2a,∴A1B=C1B=a,A1C1=a,∠A1BC1的余弦值为,故选D.8.(5分)(2007•全国卷Ⅰ)设a>1,函数f(x)=log a x在区间[a,2a]上的最大值与最小值之差为,则a=()A.B.2 C.D.4【分析】因为a>1,函数f(x)=log a x是单调递增函数,最大值与最小值之分别为log a2a、log a a=1,所以log a2a﹣log a a=,即可得答案.【解答】解.∵a>1,∴函数f(x)=log a x在区间[a,2a]上的最大值与最小值之分别为log a2a,log a a,∴log a2a﹣log a a=,∴,a=4,故选D9.(5分)(2008•上海)f(x),g(x)是定义在R上的函数,h(x)=f(x)+g (x),则“f(x),g(x)均为偶函数”是“h(x)为偶函数”的()A.充要条件B.充分而不必要的条件C.必要而不充分的条件D.既不充分也不必要的条件【分析】本题主要是抽象函数奇偶性的判断,只能根据定义,而要否定奇偶性,一般用特值.【解答】解.若“f(x),g(x)均为偶函数”,则有f(﹣x)=f(x),g(﹣x)=g (x),∴h(﹣x)=f(﹣x)+g(﹣x)=f(x)+g(x)=h(x),∴“h(x)为偶函数”,而反之取f(x)=x2+x,g(x)=2﹣x,h(x)=x2+2是偶函数,而f(x),g(x)均不是偶函数”,10.(5分)(2007•全国卷Ⅰ)函数y=2cos2x的一个单调增区间是()A.B.C.D.【分析】要进行有关三角函数性质的运算,必须把三角函数式变为y=Asin(ωx+φ)的形式,要先把函数式降幂,降幂用二倍角公式.【解答】解:函数y=2cos2x=1+cos2x,由﹣π+2kπ≤2x≤2kπ,解得﹣π+kπ≤x≤kπ,k为整数,∴k=1即有它的一个单调增区是,故选D.11.(5分)(2007•全国卷Ⅰ)曲线在点处的切线与坐标轴围成的三角形面积为()A.B.C.D.【分析】(1)首先利用导数的几何意义,求出曲线在P(x0,y0)处的切线斜率,进而得到切线方程;(2)利用切线方程与坐标轴直线方程求出交点坐标(3)利用面积公式求出面积.【解答】解:若y=x3+x,则y′|x=1=2,即曲线在点处的切线方程是,它与坐标轴的交点是(,0),(0,﹣),围成的三角形面积为,故选A.12.(5分)(2007•全国卷Ⅰ)抛物线y2=4x的焦点为F,准线为l,经过F且斜率为的直线与抛物线在x轴上方的部分相交于点A,AK⊥l,垂足为K,则△AKF的面积是()A.4 B.C.D.8【分析】先根据抛物线方程求出焦点坐标和准线方程,进而可得到过F且斜率为的直线方程然后与抛物线联立可求得A的坐标,再由AK⊥l,垂足为K,可求得K的坐标,根据三角形面积公式可得到答案.【解答】解:∵抛物线y2=4x的焦点F(1,0),准线为l:x=﹣1,经过F且斜率为的直线与抛物线在x轴上方的部分相交于点A(3,AK⊥l,垂足为K(﹣1,2),∴△AKF的面积是4故选C.二、填空题(共4小题,每小题5分,满分20分)13.(5分)(2007•全国卷Ⅰ)从自动打包机包装的食盐中,随机抽取20袋,测得各袋的质量分别为(单位:g):492496494495498497501502504496 497503506508507492496500501499~.【分析】~【解答】解:从自动打包机包装的食盐中,随机抽取20袋,测得各袋的质量分别为(单位:g):492496494495498497501502504496 497503506508507492496500501499~14.(5分)(2007•全国卷Ⅰ)函数y=f(x)的图象与函数y=log3x(x>0)的图象关于直线y=x对称,则f(x)=3x(x∈R).【分析】由题意推出f(x)与函数y=log3x(x>0)互为反函数,求解即可.【解答】解.函数y=f(x)的图象与函数y=log3x(x>0)的图象关于直线y=x 对称,则f(x)与函数y=log3x(x>0)互为反函数,f(x)=3x(x∈R)故答案为:3x(x∈R)15.(5分)(2007•全国卷Ⅰ)正四棱锥S﹣ABCD的底面边长和各侧棱长都为,点S、A、B、C、D都在同一个球面上,则该球的体积为.【分析】先确定球心位置,再求球的半径,然后可求球的体积.【解答】解:正四棱锥S﹣ABCD的底面边长和各侧棱长都为,点S、A、B、C、D都在同一个球面上,则该球的球心恰好是底面ABCD的中心,球的半径是1,体积为.故答案为:16.(5分)(2007•全国卷Ⅰ)等比数列{a n}的前n项和为S n,已知S1,2S2,3S3成等差数列,则{a n}的公比为.【分析】先根据等差中项可知4S2=S1+3S3,利用等比数列的求和公式用a1和q分别表示出S1,S2和S3,代入即可求得q.【解答】解:∵等比数列{a n}的前n项和为S n,已知S1,2S2,3S3成等差数列,∴a n=a1q n﹣1,又4S2=S1+3S3,即4(a1+a1q)=a1+3(a1+a1q+a1q2),解.故答案为三、解答题(共6小题,满分80分)17.(10分)(2007•全国卷Ⅰ)设锐角三角形ABC的内角A,B,C的对边分别为a,b,c,a=2bsinA(Ⅰ)求B的大小;(Ⅱ)若,c=5,求b.【分析】(1)根据正弦定理将边的关系化为角的关系,然后即可求出角B的正弦值,再由△ABC为锐角三角形可得答案.(2)根据(1)中所求角B的值,和余弦定理直接可求b的值.【解答】解:(Ⅰ)由a=2bsinA,根据正弦定理得sinA=2sinBsinA,所以,由△ABC为锐角三角形得.(Ⅱ)根据余弦定理,得b2=a2+c2﹣2accosB=27+25﹣45=7.所以,.(Ⅰ)求3位购买该商品的顾客中至少有1位采用一次性付款的概率;(Ⅱ)求3位顾客每人购买1件该商品,商场获的利润不超过650元的概率.【分析】(1)3位购买该商品的顾客中至少有1位采用一次性付款的对立事件是3位顾客中无人采用一次性付款,根据独立重复试验公式得到3位顾客中无人采用一次性付款的概率,再根据对立事件的公式得到结论.(2)3位顾客每人购买1件该商品,顾客的付款方式为一次性付款和分期付款,且购买该商品的3位顾客中有1位采用分期付款,根据互斥事件的公式得到结果.【解答】解:(Ⅰ)记A表示事件:“3位顾客中至少1位采用一次性付款”,则表示事件:“3位顾客中无人采用一次性付款”.P(3.(Ⅱ)记B表示事件:“3位顾客每人购买1件该商品,商场获得利润不超过650元”.B0表示事件:“购买该商品的3位顾客中无人采用分期付款”.B1表示事件:“购买该商品的3位顾客中恰有1位采用分期付款”.则B=B0+B1.P(B03P(B1)=C31×2×P(B)=P(B0+B1)=P(B0)+P(B1+19.(12分)(2007•全国卷Ⅰ)四棱锥S﹣ABCD中,底面ABCD为平行四边形,侧面SBC⊥底面ABCD,已知∠ABC=45°,AB=2,BC=2,SA=SB=.(Ⅰ)证明:SA⊥BC;(Ⅱ)求直线SD与平面SBC所成角的大小.【分析】解法一:(1)作SO⊥BC,垂足为O,连接AO,说明SO⊥底面ABCD.利用三垂线定理,得SA⊥BC.(Ⅱ)由(Ⅰ)知SA⊥BC,设AD∥BC,连接SE.说明∠ESD为直线SD与平面SBC所成的角,通过,求出直线SD与平面SBC所成的角为.解法二:(Ⅰ)作SO⊥BC,垂足为O,连接AO,以O为坐标原点,OA为x轴正向,建立直角坐标系O﹣xyz,通过证明,推出SA⊥BC.(Ⅱ).与的夹角记为α,SD与平面ABC所成的角记为β,因为为平面SBC 的法向量,利用α与β互余.通过,,推出直线SD与平面SBC所成的角为.【解答】解法一:(1)作SO⊥BC,垂足为O,连接AO,由侧面SBC⊥底面ABCD,得SO⊥底面ABCD.因为SA=SB,所以AO=BO,又∠ABC=45°,故△AOB为等腰直角三角形,AO⊥BO,由三垂线定理,得SA⊥BC.(Ⅱ)由(Ⅰ)知SA⊥BC,依题设AD∥BC,故SA⊥AD,由,,.又,作DE⊥BC,垂足为E,则DE⊥平面SBC,连接SE.∠ESD为直线SD与平面SBC所成的角.所以,直线SD与平面SBC所成的角为.解法二:(Ⅰ)作SO⊥BC,垂足为O,连接AO,由侧面SBC⊥底面ABCD,得SO⊥平面ABCD.因为SA=SB,所以AO=BO.又∠ABC=45°,△AOB为等腰直角三角形,AO⊥OB.如图,以O为坐标原点,OA为x轴正向,建立直角坐标系O﹣xyz,因为,,又,所以,,.S(0,0,1),,,,所以SA⊥BC.(Ⅱ),.与的夹角记为α,SD与平面ABC所成的角记为β,因为为平面SBC的法向量,所以α与β互余.,,所以,直线SD与平面SBC所成的角为.20.(12分)(2007•全国卷Ⅰ)设函数f(x)=2x3+3ax2+3bx+8c在x=1及x=2时取得极值.(Ⅰ)求a、b的值;(Ⅱ)若对任意的x∈[0,3],都有f(x)<c2成立,求c的取值范围.【分析】(1)依题意有,f'(1)=0,f'(2)=0.求解即可.(2)若对任意的x∈[0,3],都有f(x)<c2成立⇔f(x)max<c2在区间[0,3]上成立,根据导数求出函数在[0,3]上的最大值,进一步求c的取值范围.【解答】解:(Ⅰ)f'(x)=6x2+6ax+3b,因为函数f(x)在x=1及x=2取得极值,则有f'(1)=0,f'(2)=0.即解得a=﹣3,b=4.(Ⅱ)由(Ⅰ)可知,f(x)=2x3﹣9x2+12x+8c,f'(x)=6x2﹣18x+12=6(x﹣1)(x﹣2).当x∈(0,1)时,f'(x)>0;当x∈(1,2)时,f'(x)<0;当x∈(2,3)时,f'(x)>0.所以,当x=1时,f(x)取得极大值f(1)=5+8c,又f(0)=8c,f(3)=9+8c.则当x∈[0,3]时,f(x)的最大值为f(3)=9+8c.因为对于任意的x∈[0,3],有f(x)<c2恒成立,所以9+8c<c2,解得c<﹣1或c>9,因此c的取值范围为(﹣∞,﹣1)∪(9,+∞).21.(12分)(2007•全国卷Ⅰ)设{a n}是等差数列,{b n}是各项都为正数的等比数列,且a1=b1=1,a3+b5=21,a5+b3=13.(Ⅰ)求{a n}、{b n}的通项公式;(Ⅱ)求数列的前n项和S n.【分析】(Ⅰ)设{a n}的公差为d,{b n}的公比为q,根据等比数列和等差数列的通项公式,联立方程求得d和q,进而可得{a n}、{b n}的通项公式.(Ⅱ)数列的通项公式由等差和等比数列构成,进而可用错位相减法求得前n项和S n.【解答】解:(Ⅰ)设{a n}的公差为d,{b n}的公比为q,则依题意有q>0且解得d=2,q=2.所以a n=1+(n﹣1)d=2n﹣1,b n=q n﹣1=2n﹣1.(Ⅱ),,①S n=,②①﹣②得S n=1+2(++…+)﹣,则===.22.(12分)(2007•全国卷Ⅰ)已知椭圆的左右焦点分别为F1、F2,过F1的直线交椭圆于B、D两点,过F2的直线交椭圆于A、C两点,且AC⊥BD,垂足为P(Ⅰ)设P点的坐标为(x0,y0),证明:;(Ⅱ)求四边形ABCD的面积的最小值.【分析】(Ⅰ)椭圆的半焦距,由AC⊥BD知点P在以线段F1F2为直径的圆上,故x02+y02=1,由此可以证出.(Ⅱ)设BD的方程为y=k(x+1),代入椭圆方程,并化简得(3k2+2)x2+6k2x+3k2﹣6=0.设B(x1,y1),D(x2,y2),由题意知|BD|=再求出|AC|=,由此可以求出四边形ABCD的面积的最小值.【解答】证明:(Ⅰ)椭圆的半焦距,由AC⊥BD知点P在以线段F1F2为直径的圆上,故x02+y02=1,所以,.(Ⅱ)(ⅰ)当BD的斜率k存在且k≠0时,BD的方程为y=k(x+1),代入椭圆方程,并化简得(3k2+2)x2+6k2x+3k2﹣6=0.设B(x1,y1),D(x2,y2),则,|BD|=;因为AC与BD相交于点P,且AC的斜率为,所以,|AC|=.四边形ABCD的面积•|BD||AC|=.当k2=1时,上式取等号.(ⅱ)当BD的斜率k=0或斜率不存在时,四边形ABCD的面积S=4.综上,四边形ABCD的面积的最小值为.参与本试卷答题和审题的老师有:wdlxh;涨停;wkqd;wsj1012;danbo7801;blue;minqi5;wukexing;qiss;zhwsd;吕静;zlzhan(排名不分先后)菁优网2017年2月4日。
2003年普通高等学校招生全国统一考试(全国旧课程卷)文科数学一、选择题(共12小题,每小题5分,满分60分)1. (2003▪全国旧课程▪文)直线2y x =关于x 轴对称的直线方程为A.12y x =-B.12y x =C.2y x =-D.2y x =2. (2003▪全国旧课程▪文)已知(2x π∈-,0),4cos 5x =,则tan 2x =A.724B.724-C.247D.247-3. (2003▪全国旧课程▪文)抛物线2y ax =的准线方程是2y =,则a 的值为A.18B.18- C.8 D.﹣8 4. (2003▪全国旧课程▪文)等差数列{}n a 中,已知113a =,254a a +=,33n a =,则n 为A.48B.49C.50D.51 5. (2003▪全国旧课程▪文)双曲线虚轴的一个端点为M ,两个焦点为1F 、2F ,12F MF ∠ 120=︒,则双曲线的离心率为B.2C.3D.3 6. (2003▪全国旧课程▪文)设函数12210()0x x f x xx -⎧-≤⎪=⎨⎪>⎩,若0()1f x >,则0x 的取值范围是A.(1-,1)B.(1-,)+∞C.(-∞,2)(0-,)+∞D.(-∞,1)(1-,)+∞7. (2003▪全国旧课程▪文)已知5()lg f x x =,则(2)f =A.lg 2B.lg 32C.1lg32 D.1lg 258. (2003▪全国旧课程▪文)函数sin()(0)y x ϕϕπ=+≤≤是R 上的偶函数,则ϕ=A.0B.4πC.2π D.π 9. (2003▪全国旧课程▪文)已知点(a ,2)(0)a >到直线l :30x y -+=的距离为1,则a =B.21110. (2003▪全国旧课程▪文)已知圆锥的底面半径为R ,高为3R ,它的内接圆柱的底面半径为34R ,该圆柱的全面积为 A.22R πB.294R π C.283R πD.252R π11. (2003▪全国旧课程▪文)已知长方形的四个顶点(0A ,0),(2B ,0),(2C ,1)和(0D ,1).一质点从AB 的中点0P 沿与AB 夹角为θ的方向射到BC 上的点1P 后,依次反射到CD ,DA 和AB 上的点2P ,3P 和4P (入射角等于反射角),设4P 与0P 重合,则tan θ=A.13B.25C.12D.1 12. (2003▪全国旧课程▪文)一个四面体的所有棱长都为2,四个顶点在同一球面上,则此球的表面积为A.3πB.4πC.33πD.6π二、填空题(共4小题,每小题4分,满分16分)13. (2003▪全国旧课程▪文)不等式24x x x -<的解集是___________. 14. (2003▪全国旧课程▪文)在291()2x x-的展开式中,9x 的系数是________(用数字作答).15. (2003▪全国旧课程▪文)在平面几何里,有勾股定理“设ABC ∆的两边AB ,AC 互相垂直,则222AB AC BC +=”,拓展到空间,类比平面几何的勾股定理,研究三棱锥的侧面面积与底面面积间的关系,可以得出正确的结论是:“设三棱锥A BCD -的三个侧面ABC 、ACD 、ADB 两两互相垂直,则_______________.”16. (2003▪全国旧课程▪文)如图,一个地区分为5个行政区域,现给地图着色,要求相邻区域不得使用同一颜色.现有4种颜色可供选择,则不同的着色方法共有______种.(以数字作答)三、解答题(共6小题,满分12×5+14=74分)17. (2003▪全国旧课程▪文)已知正四棱柱1111ABCD A BC D -,1AB =,12AA =,点E 为1CC 中点,点F 为1BD 中点.⑴证明EF 为1BD 与1CC 的公垂线; ⑵求点1D 到面BDE 的距离.18. (2003▪全国旧课程▪文)已知复数z 的辐角为60︒,且|1|z -是||z 和|2|z -的等比中项.求||z .19. (2003▪全国旧课程▪文)已知数列{}n a 满足11a =,113(2)n n n a a n --=+≥.⑴求2a ,3a ;⑵证明312n n a -=.20. (2003▪全国旧课程▪文)已知函数)cos (sin sin 2)(x x x x f +=.⑴求函数)(x f 的最小正周期和最大值;⑵在给出的直角坐标系中,画出函数)(x f y =在区间[2π-,]2π上的图象.21. (2003▪全国旧课程▪文)在某海滨城市附近海面有一台风.据监测,当前台风中心位于城市O (如图)的东偏南(cos 10θθ=方向300km 的海面P 处,并以20/km h 的速度向西偏北45︒方向移动.台风侵袭的范围为圆形区域,当前半径为60km ,并以10/km h 的速度不断增大.问几小时后该城市开始受到台风的侵袭?22. (2003▪全国旧课程▪文)已知常数0a >,在矩形ABCD 中,4AB =,4BC a =,O 为AB 的中点,点E 、F 、G 分别在BC 、CD 、DA 上移动,且BE CF DGBC CD DA==,P 为GE 与OF 的交点(如图).问是否存在两个定点,使P 到这两点的距离的和为定值?若存在,求出这两点的坐标及此定值;若不存在,请说明理由.2003年全国统一高考数学试卷(文科)参考答案与试题解析一、选择题(共12小题,每小题5分,满分60分)1.(5分)(2003•全国)直线y=2x关于x轴对称的直线方程为()A.B.C.y=﹣2x D.y=2x【分析】欲求直线y=2x关于x轴对称的直线方程,只须将原直线方程中的y用﹣y 替换得到的新方程即为所求.【解答】解:∵直线y=f(x)关于x对称的直线方程为y=﹣f(x),∴直线y=2x关于x对称的直线方程为:y=﹣2x.故选C.【点评】本题考查函数的图象,考查同学们对函数基础知识的把握程度以及数形结合的思维能力.2.(5分)(2003•全国)已知x∈(﹣,0),cosx=,则tan2x等于()A.B.﹣C.D.﹣【分析】先根据cosx,求得sinx,进而得到tanx的值,最后根据二倍角公式求得tan2x.【解答】解:∵cosx=,x∈(﹣,0),∴sinx=﹣.∴tanx=﹣.∴tan2x===﹣×=﹣.故选D.【点评】本题主要考查了三角函数中的二倍角公式.属基础题.3.(5分)(2003•天津)抛物线y=ax2的准线方程是y=2,则a的值为()A.B.C.8 D.﹣8【分析】首先把抛物线方程转化为标准方程x2=my的形式,再根据其准线方程为y=﹣即可求之.【解答】解:抛物线y=ax2的标准方程是x2=y,则其准线方程为y=﹣=2,所以a=﹣.故选B.【点评】本题考查抛物线在标准方程下的准线方程形式.4.(5分)(2003•天津)等差数列{an}中,已知a1=,a2+a5=4,an=33,则n为()A.48 B.49 C.50 D.51【分析】先由等差数列的通项公式和已知条件解出d,进而写出an的表达式,然后令an=33,解方程即可.【解答】解:设{an}的公差为d,∵,a2+a5=4,∴+d++4d=4,即+5d=4,解得d=.∴an=+(n﹣1)=,令an=33,即=33,解得n=50.故选C.【点评】本题主要考查了等差数列的通项公式an=a1+(n﹣1)d,注意方程思想的应用.5.(5分)(2003•天津)双曲线虚轴的一个端点为M,两个焦点为F1、F2,∠F1MF2=120°,则双曲线的离心率为()A.B.C.D.【分析】根据双曲线对称性可知∠OMF2=60°,在直角三角形MOF2中可得tan∠OMF2==,进而可得b和c的关系式,进而根据a=求得a和b的关系式.最后代入离心率公式即可求得答案.【解答】解:根据双曲线对称性可知∠OMF2=60°,∴tan∠OMF2===,即c=b,∴a==b,∴e==.故选B.【点评】本题主要考查了双曲线的简单性质.本题利用了双曲线的对称性.6.(5分)(2003•全国)设函数若f(x0)>1,则x0的取值范围是()A.(﹣1,1)B.(﹣1,+∞)C.(﹣∞,﹣2)∪(0,+∞) D.(﹣∞,﹣1)∪(1,+∞)【分析】将变量x0按分段函数的范围分成两种情形,在此条件下分别进行求解,最后将满足的条件进行合并.【解答】解:当x0≤0时,,则x0<﹣1,当x0>0时,则x0>1,故x0的取值范围是(﹣∞,﹣1)∪(1,+∞),故选D.【点评】本题考查了分段函数已知函数值求自变量的范围问题,以及指数不等式与对数不等式的解法,属于常规题.7.(5分)(2003•全国)已知f(x5)=lgx,则f(2)=()A.lg2 B.lg32 C.D.【分析】令x5=2,得x=,从而即可求得f(2)的值.【解答】解:令x5=2,∴得x=,∵f(x5)=lgx,∴f(2)=lg=lg2.故选D.【点评】本题主要考查函数值的求法,以及对数的运算,关键是从令x5=2,求得x 的值,从而即可求得f(2)的值.8.(5分)(2003•全国)函数y=sin(x+φ)(0≤φ≤π)是R上的偶函数,则φ=()A.0 B.C.D.π【分析】根据y=sinx是奇函数,y=cosx是偶函数,对选项逐一排除即可.【解答】解:当φ=0时,y=sin(x+φ)=sinx为奇函数不满足题意,排除A;当φ=时,y=sin(x+φ)=sin(x+)为非奇非偶函数,排除B;当φ=时,y=sin(x+φ)=cosx,为偶函数,满足条件.当φ=π时,y=sin(x+φ)=﹣sinx,为奇函数,故选C.【点评】本题主要考查三角函数的奇偶性.属基础题.9.(5分)(2003•全国)已知点(a,2)(a>0)到直线l:x﹣y+3=0的距离为1,则a=()A.B.C.D.【分析】利用点到直线距离公式,可以直接求解.【解答】解:由点到直线的距离公式得:=,∵a>0,∴a=.故选C.【点评】点到直线的距离公式,是高中数学的重要知识,是高考常考点.10.(5分)(2003•全国)已知圆锥的底面半径为R,高为3R,它的内接圆柱的底面半径为,该圆柱的全面积为()A.2πR2 B.C.D.【分析】由题意先求出内接圆柱的高,然后求该圆柱的全面积.【解答】解:设圆锥内接圆柱的高为h,则,解得,所以圆柱的全面积为:s=2×+=.故选B.【点评】本题考查旋转体的面积,是基础题.11.(5分)(2003•天津)已知长方形的四个顶点A(0,0),B(2,0),C(2,1)和D(0,1),一质点从AB的中点P0沿与AB夹角为θ的方向射到BC上的点P1后,依次反射到CD、DA和AB上的点P2、P3和P4(入射角等于反射角)若P4与P0重合,则tgθ=()A.B.C.D.1【分析】可以画草图帮助理解,由于若P4与P0重合,故P2、P3也都是所在边的中点,根据对称性可知P0P1的斜率是,得到结果.【解答】解:由于若P4与P0重合,故P2、P3也都是所在边的中点,因为ABCD是长方形,根据对称性可知P0P1的斜率是,则tgθ=.故选C.【点评】本题考查直线的斜率和对称性知识,由于ABCD是长方形,降低了题目难度,可以采用观察法求得结论.是基本方法的训练题目.12.(5分)(2003•全国)棱长都为的四面体的四个顶点在同一球面上,则此球的表面积为()A.3πB.4πC.3D.6π【分析】本题考查的知识点是球的体积和表面积公式,由棱长都为的四面体的四个顶点在同一球面上,可求出内接该四面体的正方体棱长为1,又因为正方体的对角线即为球的直径,即球的半径R=,代入球的表面积公式,S球=4πR2,即可得到答案.【解答】解:借助立体几何的两个熟知的结论:(1)一个正方体可以内接一个正四面体;(2)若正方体的顶点都在一个球面上,则正方体的体对角线就是球的直径.则球的半径R=,∴球的表面积为3π,故答案选A.【点评】棱长为a的正方体,内接正四面体的棱长为a,外接球直径等于长方体的对角线长a.二、填空题(共4小题,每小题4分,满分16分)13.(4分)(2003•全国)不等式的解集是(2,4] .【分析】此题要注意4x﹣x2≥0,先对不等式两边平方,然后再移项、系数化为1,求出不等式的解集;【解答】解:∵x>≥0,∴x>0,∵不等式,两边平方得,4x﹣x2<x2,∴2x2﹣4x>0,解得,x>2,x<0(舍去),∵4x﹣x2≥0,∴0≤x≤4,∴综上得:不等式的解集为:(2,4],故答案为(2,4].【点评】此题要注意根号有意义的条件,很多学生忽略了这一点,从而导致出错.14.(4分)(2003•全国)在的展开式中,x3的系数是﹣(用数字作答)【分析】首先根据题意,写出的二项展开式,可得9﹣2r=3,解可得r=3,将其代入二项展开式,计算可得答案.【解答】解:根据题意,对于,有Tr+1=C99﹣r•x9﹣r•(﹣)r=(﹣)r•C99﹣r•x9﹣2r,令9﹣2r=3,可得r=3,当r=3时,有T4=﹣x3,故答案﹣.【点评】本题考查二项式定理的应用,注意系数与二项式系数的区别.15.(4分)(2003•天津)在平面几何里,有勾股定理“设△ABC的两边AB,AC互相垂直,则AB2+AC2=BC2”,拓展到空间,类比平面几何的勾股定理,研究三棱锥的侧面面积与底面面积间的关系,可以得出正确的结论是:“设三棱锥A﹣BCD的三个侧面ABC、ACD、ADB两两互相垂直,则S△ABC2+S△ACD2+S△ADB2=S△BCD2 .”【分析】从平面图形到空间图形的类比【解答】解:建立从平面图形到空间图形的类比,于是作出猜想:S△ABC2+S△ACD2+S △ADB2=S△BCD2.故答案为:S△ABC2+S△ACD2+S△ADB2=S△BCD2.【点评】本题主要考查学生的知识量和知识的迁移类比等基本能力.16.(4分)(2003•全国)如图,一个地区分为5个行政区域,现给地图着色,要求相邻区域不得使用同一颜色.现有4种颜色可供选择,则不同的着色方法共有72 种.(以数字作答)【分析】分类型,选3种颜色时,就是②④同色,③⑤同色;4种颜色全用,只能②④或③⑤用一种颜色,其它不相同,求解即可.【解答】解:由题意,选用3种颜色时:涂色方法C43•A33=24种4色全用时涂色方法:C21•A44=48种所以不同的着色方法共有72种.故答案为:72【点评】本题考查组合及组合数公式,考查分类讨论思想,避免重复和遗漏情况,是中档题.三、解答题(共6小题,满分74分)17.(12分)(2003•天津)已知正四棱柱ABCD﹣A1B1C1D1.AB=1,AA1=2,点E为CC1中点,点F为BD1中点.(1)证明EF为BD1与CC1的公垂线;(2)求点D1到面BDE的距离.【分析】(1)欲证明EF为BD1与CC1的公垂线,只须证明EF分别与为BD1与CC1垂直即可,可由四边形EFMC是矩形→EF⊥CC1.由EF⊥面DBD1→EF⊥BD1.(2)欲求点D1到面BDE的距离,将距离看成是三棱锥的高,利用等体积法:VE﹣DBD1=VD1﹣DBE.求解即得.【解答】解:(1)取BD中点M.连接MC,FM.∵F为BD1中点,∴FM∥D1D且FM=D1D.又EC CC1且EC⊥MC,∴四边形EFMC是矩形∴EF⊥CC1.又FM⊥面DBD1.∴EF⊥面DBD1.∵BD1⊂面DBD1.∴EF⊥BD1.故EF为BD1与CC1的公垂线.(Ⅱ)解:连接ED1,有VE﹣DBD1=VD1﹣DBE.由(Ⅰ)知EF⊥面DBD1,设点D1到面BDE的距离为d.则.∵AA1=2,AB=1.∴,,∴.∴故点D1到平面DBE的距离为.【点评】本小题主要考查线面关系和四棱柱等基础知识,考查空间想象能力和推理能力.18.(12分)(2003•全国)已知复数z的辐角为60°,且|z﹣1|是|z|和|z﹣2|的等比中项.求|z|.【分析】本题考查的复数的基本概念及等比数列的性质,由复数z的辐角为60°,我们可以使用待定系数法设出复数Z,然后根据|z﹣1|是|z|和|z﹣2|的等比中项,结合等比数列的性质构造方程,解方程求出待定的系数,即可得到Z值,进而求出复数的模.【解答】解:设z=(rcos60°+rsin60°i),则复数z的实部为.由题设|z﹣1|2=|z|•|z﹣2|,即:(z﹣1)(﹣1)=|z|∴r2﹣r+1=r,整理得r2+2r﹣1=0.解得r=﹣1,r=﹣﹣1(舍去).即|z|=﹣1.【点评】解决复数问题时,我们多使用待定系数法,即设出复数的值,然后根据题目中的其它条件,列出方程,解方程求出系数,即可得到未知复数的值.19.(12分)(2003•天津)已知数列{an}满足a1=1,an=3n﹣1+an﹣1(n≥2).(Ⅰ)求a2,a3;(Ⅱ)证明.【分析】(Ⅰ)由a1=1,an=3n﹣1+an﹣1(n≥2),当n=2时可求a2,n=3时求得a3 (Ⅱ)利用递推式构造an﹣an﹣1=3n﹣1,然后通过累加可求出an【解答】解:(Ⅰ)∵a1=1,∴a2=3+1=4,∴a3=32+4=13;(Ⅱ)证明:由已知an﹣an﹣1=3n﹣1,n≥2故an=(an﹣an﹣1)+(an﹣1﹣an﹣2)+…+(a2﹣a1)+a1=.n≥2当n=1时,也满足上式.所以.【点评】本题是个基础题,主要考查由递推式求数列的项和累加法求数列的通项,注意验证n=1.20.(12分)(2003•天津)已知函数f(x)=2sinx(sinx+cosx).(1)求函数f(x)的最小正周期和最大值;(2)在给出的直角坐标系中,画出函数y=f(x)在区间上的图象.【分析】(1)利用二倍角的正弦、余弦函数公式化简后,利用两角差的正弦函数公式的逆运算及特殊角的三角函数值化简为一个角的正弦函数,利用周期的计算公式T=求出函数的周期,根据正弦函数的最大值为1求出函数的最大值即可;(2)由(1)的解析式列出表格,在平面坐标系中描出五个点,然后用平滑的曲线作出函数的图象即可.【解答】解:(1)f(x)=2sin2x+2sinxcosx=1﹣cos2x+sin2x==所以函数的最小正周期为π,最大值为;x故函数y=f(x)在区间上的图象是:【点评】本小题主要考查三角函数的基本性质和恒等变换的基本技能,考查画图的技能.21.(12分)(2003•全国)在某海滨城市附近海面有一台风,据监测,当前台风中心位于城市O(如图)的东偏南方向300km的海面P处,并以20km/h 的速度向西偏北45°方向移动,台风侵袭的范围为圆形区域,当前半径为60km,并以10km/h的速度不断增大,问几小时后该城市开始受到台风的侵袭?【分析】建立坐标系:以O为原点,正东方向为x轴正向.设在时刻:t(h)台风中心P(x,y)的坐标进而可知此时台风侵袭的区域,根据题意可知其中r(t)=10t+60,若在t时,该城市O受到台风的侵袭,则有(0﹣x)2+(0﹣y)2≤(10t+60)2,进而可得关于t的一元二次不等式,求得t的范围,答案可得.【解答】解:如图建立坐标系:以O为原点,正东方向为x轴正向.在时刻:t(h)台风中心P(x,y)的坐标为令(x′,y′)是台风边缘线上一点,则此时台风侵袭的区域是(x′﹣x)2+(y′﹣y)2≤[r(t)]2,其中r(t)=10t+60,若在t时,该城市受到台风的侵袭,则有(0﹣x)2+(0﹣y)2≤(10t+60)2,即,即t2﹣36t+288≤0,解得12≤t≤24.答:12小时后该城市开始受到台风侵袭.【点评】本题主要考查了圆的方程的综合运用.考查了学生运用所学知识解决实际问题的能力.22.(14分)(2003•全国)已知常数a>0,在矩形ABCD中,AB=4,BC=4a,O为AB的中点,点E、F、G分别在BC、CD、DA上移动,且,P为GE与OF的交点(如图),问是否存在两个定点,使P到这两点的距离的和为定值?若存在,求出这两点的坐标及此定值;若不存在,请说明理由.【分析】建立坐标系,按题意写出A,B,C,D四点的坐标,进而根据解出E,F,G三点的坐标参数表示,求出OF与GE两条直线的方程,两者联立即可求出点P的坐标满足的参数方程,消去参数,得到点P的轨迹方程.由于参数a的取值范围影响曲线的形状故按参数a的范围来对曲线进行分类.【解答】解:根据题设条件,首先求出点P坐标满足的方程,据此再判断是否存在两定点,使得点P到定点距离的和为定值.按题意有A(﹣2,0),B(2,0),C(2,4a),D(﹣2,4a)设=k(0≤k≤1),由此有E(2,4ak),F(2﹣4k,4a),G(﹣2,4a﹣4ak).直线OF的方程为:2ax+(2k﹣1)y=0,①直线GE的方程为:﹣a(2k﹣1)x+y﹣2a=0.②从①,②消去参数k,得点P(x,y)坐标满足方程2a2x2+y2﹣2ay=0,整理得.当时,点P的轨迹为圆弧,所以不存在符合题意的两点;当时,点P轨迹为椭圆的一部分,点P到该椭圆焦点的距离的和为定长;当时,点P到椭圆两个焦点的距离之和为定值;当时,点P到椭圆两个焦点的距离之和为定值2a.【点评】考查解析法求点的轨迹方程,本题在做题时引入了参数k,故得到的轨迹方程为参数方程,需要消去参数得到轨迹方程,又当字母的取值范围对曲线的形状有影响时,要对其范围进行讨论以确定轨迹的具体性状.考查分类讨论的数学思想.参与本试卷答题和审题的老师有:yhx01248;zhwsd;wzj123;jj2008;wsj1012;minqi5;qiss;geyanli;zhiyuan;danbo7801;wodeqing;豫汝王世崇;snowwhite;sllwyn;xintrl(排名不分先后)菁优网2017年5月28日。