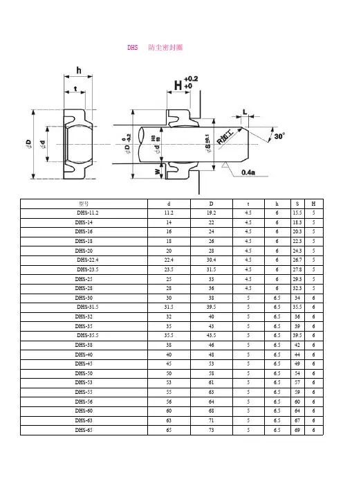
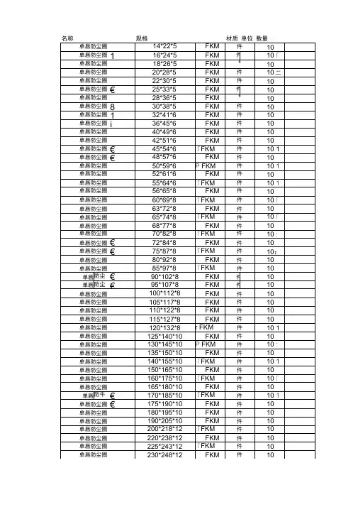
防尘密封圈型号及尺寸规格
- 格式:xls
- 大小:40.00 KB
- 文档页数:2
U型密封圈规格1. 简介U型密封圈是一种常用于密封环境的橡胶制品,其形状如字母U,可用于密封、防尘和防水等应用。
密封圈通常由优质的橡胶材料制成,具有耐高温、耐化学药剂和耐磨损的特性。
本文将详细介绍U型密封圈的规格参数。
2. 规格参数U型密封圈规格参数通常包括以下几个方面:2.1 内径尺寸内径尺寸是指U型密封圈内部空间的直径尺寸,也是密封圈与被密封零件之间接触的部分。
内径尺寸的测量通常以毫米(mm)为单位。
常见的U型密封圈内径尺寸有:5mm、10mm、15mm、20mm等。
根据不同的应用需要,内径尺寸可以根据客户要求进行定制。
2.2 外径尺寸外径尺寸是指U型密封圈外部空间的直径尺寸,也是密封圈与密封槽或密封部件之间的接触部分。
外径尺寸的测量通常以毫米(mm)为单位。
常见的U型密封圈外径尺寸有:10mm、15mm、20mm、25mm等。
同样,外径尺寸也可以根据客户的需求进行定制。
2.3 厚度尺寸厚度尺寸是指U型密封圈的横截面厚度尺寸,用于确定密封圈的压缩量和密封效果。
厚度尺寸的测量通常以毫米(mm)为单位。
常见的U型密封圈厚度尺寸有:2mm、3mm、4mm、5mm等。
根据不同的密封需求,厚度尺寸可以进行定制。
2.4 材料U型密封圈通常采用橡胶材料制作,常见的材料有:丁腈橡胶(NBR)、氟橡胶(FKM)、硅橡胶(VMQ)等。
•丁腈橡胶(NBR)具有优良的耐油、耐磨和抗老化性能,可用于一般工业密封。
•氟橡胶(FKM)具有优异的耐高温、耐酸碱和耐化学品性能,适用于高温密封环境。
•硅橡胶(VMQ)具有优越的耐高温和耐低温性能,可用于高温和低温密封。
3. 应用领域U型密封圈广泛应用于以下领域:•汽车工业:用于汽车发动机、传动系统和液压系统等。
•机械工业:用于机械设备的密封和防尘。
•工程机械:用于挖掘机、起重机和推土机等。
•化工行业:用于泵、阀门和管道系统的密封。
4. 安装和维护使用U型密封圈时,需要注意以下几点:•在安装之前,应清洁密封槽和密封圈,确保无杂质和污垢。
本标准适用于安装在往复运动液压缸活塞杆导向套上起防尘和密封作用的橡胶防尘密封圈(以下简称防尘圈)。
1型式与尺寸
本标准规定的防尘圈按其结构和用途分三种基本类型。
A 型防尘圈,是一种单唇无骨架橡胶密封圈,适于在A 型密封结构型式内安装,起防尘作用,如图1所示,尺寸和公差应符合表1的规定。
B 型防尘圈,是一种单唇带骨架橡胶密封圈,适于在B 型密封结构型式内安装,起防尘作用,如图2所示,尺寸和公差应符合表2的规定。
C 型防尘圈,是一种双唇橡胶密封圈,适于在C 型密封结构型式内安装,起防尘和辅助密封作用,如图3所示,尺寸和公差应符合表3的规定。
中国第一重型机械集团公司标准
橡胶防尘密封圈
根据GB/T 10708.3-2000
图1A 型密封结构型式及A 型防尘圈
图2B 型密封结构型式及B 型防尘圈
1
后退
返回分目录返回总目录
图3C 型密封结构型式及C
型防尘圈
表1A 型防尘圈的尺寸及公差
活塞杆直径d=100mm,密封沟槽外径D=115mm,A型密封沟槽轴向长度L1=9.5mm的A型防尘圈的标记为:
防尘圈FA100×115×9.5GB/T10708.3-2000。
液压缸活塞杆防尘密封圈国标尺寸概述说明以及解释1. 引言1.1 概述液压缸活塞杆防尘密封圈是一种重要的密封装置,广泛应用于液压系统中。
它的作用是防止外界物质(如灰尘、水分等)进入液压缸内部,保护活塞杆免受污染和磨损。
因此,液压缸活塞杆防尘密封圈的国标尺寸对于确保液压系统正常工作具有重要意义。
1.2 文章结构本文将依次介绍液压缸活塞杆防尘密封圈的定义和功能,国标尺寸的背景和重要性,以及制定过程和标准内容。
随后,我们将解释液压缸活塞杆防尘密封圈国标尺寸的意义和应用范围,并通过实例案例进行分析。
最后,总结液压缸活塞杆防尘密封圈国标尺寸的重要性及应用价值,并展望未来发展趋势和改进方向。
1.3 目的本文旨在深入探讨液压缸活塞杆防尘密封圈国标尺寸的相关知识,明确其重要性和应用价值。
通过对国标尺寸制定过程和标准内容的介绍,帮助读者全面了解液压缸活塞杆防尘密封圈,并指导实际选用案例的分析与决策。
同时,本文也将对未来发展趋势进行展望,为该领域的研究和改进提供参考。
2. 正文:液压缸活塞杆防尘密封圈的定义和功能:液压缸活塞杆防尘密封圈,也称为活塞杆密封圈或油封,是一种用于液压缸活塞杆上的关键元件。
其主要功能是在液压缸工作时,有效地阻止介质内部流体泄漏,并且能够抵御外部环境中的灰尘、污染物、水分和其他杂质进入液压缸内部。
国标尺寸的背景和重要性:液压缸具有广泛的应用领域,例如工程机械、航空航天、汽车工业等。
由于不同领域对液压缸的需求存在差异,因此为了满足不同行业的要求并保证产品质量和安全性能,默认需要制定统一的国家标准。
国标尺寸可以提供一套统一符合标准规范的参数范围,其重要性在于确保各个行业都采用相同尺寸设计,从而实现产品互通性和互换性。
液压缸活塞杆防尘密封圈国标尺寸的制定过程和标准内容:液压缸活塞杆防尘密封圈国标尺寸的制定是由相关行业组织、技术专家和企业共同参与的。
在制定过程中,需要考虑液压缸活塞杆的直径、密封效果要求、工作环境温度等因素。
防尘密封油封可以作防尘密封件使用,但是在粉尘严重或是为了保护其他密封件时,常常使用专门的防尘密封。
液压机械的防尘密封多用橡胶,气压机械多用毛毡(方形或梯形);飞机和寒带工作的液压缸为了对付活塞杆外部结冰而用金属;化工部门为防止活塞杆上的粘着物也用金属(详见图29.8-6)。
图29.8-6 非标准橡胶和金属防尘密封方形或梯形防尘圈在密封机理上属于填料密封,防尘能力与接触的紧密程度有关,接触越紧防尘能力越好,但摩擦阻力越大。
楔形防尘圈实际上与唇形圈无区别,它依靠唇尖的接触力刮去尘埃和污垢。
其摩擦阻力小,但唇尖与轴表面的夹角对密封性和磨损有很大的影响,图29.8-7是其防尘效率。
唇尖向外时,其夹角只要大于4°便可以获得满意的效果,唇尖向内时,防尘效果不好。
图29.8-7 防尘效率图29.8-8 唇与轴的接触状态唇与轴表面的接触状态也直接影响防尘效果和唇的磨损。
图29.8-8是几种常见的接触情况,其中图a为正常接触状态,油膜薄,防尘效果好,磨损少;图b的过盈量太大,接触太紧,且接触面宽,改变了接触角,使唇尖翘起,不仅防尘效果不良,而且摩擦阻力大;图c唇尖接触不充分,摩擦不大,但却不能防尘;图d 唇尖接触角太大,防尘效果短暂,很容易磨损,成为严重漏油的原因。
防尘密封圈对保护关键性的液压设备部件是极端重要的。
渗入尘土,不仅磨损密封件,而且会大大的磨损导向套和活塞杆,杂质进入液压介质中,亦会影响操作阀和泵的功能,在最坏的情况下,亦可能损伤这些装置。
防尘圈能除掉活塞杆表面上的任何尘土,但不损坏活塞杆上的油膜,这对密封件的润滑也有益。
放入我的网络收藏夹密封的选型对密封的基本要求是密封性好、安全可靠、寿命长,燕应力求结构紧凑,系统简单,制造维修方便,成本低廉,大多数密封件易损件,应保证互换性,实现标准化、系列化。
各种型式的密封,都有其特点和使用范围,设计密封时应先进行分析比较。
表29.2-2列出了各种常用密封方法的特征,表29.2-3为动密封的种类与应用范围。
XHL-01-98 YX形孔用密封圈产品用途:本标准广泛用于各种活塞式液压—油缸,在往复运动中起到良好的密封作用。
工作压力:≤32MPa工作温度:热塑型(TPU):-40~+85℃浇注型(CPU):-40~+120℃工作介质:液压油、乳化液、空气产品硬度:85A±5材质:聚氨酯(TPU)、聚氨酯(CPU)、橡胶标准来源:JB/ZQ4264-87(Q/ZB248-77)产品特点:结构简单、截面小、安装方便、耐油耐磨标记示例:D=45mm的YX形密封圈标记:YXD45XHL-02-98 YX形轴用密封圈产品用途:本标准广泛用于各种活塞式液压—油缸,在往复运动中起到良好的密封作用。
工作压力:≤32MPa工作温度:热塑型(TPU):-40~+85℃浇注型(CPU):-40~+120℃工作介质:液压油、乳化液、空气产品硬度:85A±5材质:聚氨酯(TPU)、聚氨酯(CPU)、橡胶标准来源:JB/ZQ4265-86(Q/ZB249-77)产品特点:结构简单、截面小、安装方便、耐油、耐磨标记示例:D=45mm的YX形密封圈标记:YXd45XHL-10-98 J形无骨架防尘圈产品用途:本标准适用于液压-油缸、气动-气缸,往复运动的活塞杆外露处起刮尘作用。
工作压力:≤32MPa工作温度:热塑型(TPU):-40~+85℃浇注型(CPU):-40~+120℃工作介质:液压油、乳化液、空气产品硬度:85A±5材质:聚氨酯(TPU)、聚氨酯(CPU)、橡胶标准来源:Q/ZB336-77产品特点:结构简单、截面小、安装方便、耐油、耐磨标记示例:d=50mm的J形无骨架防尘圈标记:J50。