高一数学必修一函数的基本性质基础练习
- 格式:doc
- 大小:177.50 KB
- 文档页数:2
函数的基本性质1.下列函数中,在区间()0,1上是增函数的是( )A .x y =B .x y -=3C .x y 1=D .42+-=x y 2.下列函数中,是偶函数的是( )A .-y x =B .x y -=3C .xy 1= D .y 11x x =--+ 3.若偶函数)(x f 在(]1,-∞-上是增函数,则下列关系式中成立的是( )A .)2()1()23(f f f <-<-B .)2()23()1(f f f <-<-C .)23()1()2(-<-<f f fD .)1()23()2(-<-<f f f 4.如果奇函数)(x f 在区间[3,7] 上是增函数且最大值为5,那么)(x f 在区间[]3,7--上是( )A .增函数且最小值是5-B .增函数且最大值是5-C .减函数且最大值是5-D .减函数且最小值是5- 5.设)(x f 是定义在R 上的一个函数,则函数)()()(x f x f x F --=在R 上一定是( )A .奇函数B .偶函数C .既是奇函数又是偶函数D .非奇非偶函数。
6.已知函数)127()2()1()(22+-+-+-=m m x m x m x f 为偶函数,则m 的值是( )A . 1B . 2C . 3D . 47.已知函数()()2212f x x a x =+-+在区间(]4,∞-上是减函数,则实数a 的取值范围是( )A .3a ≤-B .3a ≥-C .5a ≤D .3a ≥8.设奇函数)(x f 的定义域为[]5,5-,若当[0,5]x ∈时, )(x f的图象如右图,则不等式()0f x <的解是9.若函数2()(2)(1)3f x k x k x =-+-+是偶函数,则)(x f 的递 减区间是 .10 . 若函数y=x 2+(2a -1)x+1在区间(-∞,2]上是减函数,区间(2,+∞)上是增函数,则实数a= .11.函数2y x =+________________。
函数的性质测试题一、选择题:1.在区间(0,+∞)上不是增函数的函数是( )A .y =2x +1B .y =3x 2+1C .y =x2D .y =2x 2+x +1 2.函数f (x )=4x 2-mx +5在区间[-2,+∞]上是增函数,在区间(-∞,-2)上是减函数,则f (1)等于 ( ) A .-7 B .1 C .17 D .253.函数f (x )在区间(-2,3)上是增函数,则y =f (x +5)的递增区间是 ( )A .(3,8)B .(-7,-2)C .(-2,3)D .(0,5) 4.函数f (x )=21++x ax 在区间(-2,+∞)上单调递增,则实数a 的取值范围是 ( ) A .(0,21) B .( 21,+∞) C .(-2,+∞) D .(-∞,-1)∪(1,+∞)5.函数f (x )在区间[a ,b ]上单调,且f (a )f (b )<0,则方程f (x )=0在区间[a ,b ]内 ( )A .至少有一实根B .至多有一实根C .没有实根D .必有唯一的实根 6.若q px x x f ++=2)(满足0)2()1(==f f ,则)1(f 的值是 ( )A 5B 5-C 6D 6-7.若集合}|{},21|{a x x B x x A ≤=<<=,且Φ≠B A ,则实数a 的集合( )A }2|{<a aB }1|{≥a aC }1|{>a aD }21|{≤≤a a8.已知定义域为R 的函数f (x )在区间(-∞,5)上单调递减,对任意实数t ,都有f (5+t )=f (5-t ),那么下列式子一定成立的是 ( ) A .f (-1)<f (9)<f (13) B .f (13)<f (9)<f (-1)C .f (9)<f (-1)<f (13) D .f (13)<f (-1)<f (9) 9.函数)2()(||)(x x x g x x f -==和的递增区间依次是( )A .]1,(],0,(-∞-∞B .),1[],0,(+∞-∞C .]1,(),,0[-∞+∞D ),1[),,0[+∞+∞10.若 函 数()()2212f x x a x =+-+在区间 (]4,∞-上是减 函 数,则 实 数a 的 取值范 围 ( )A .a ≤3B .a ≥-3C .a ≤5D .a ≥311. 函数c x x y ++=42,则( )A )2()1(-<<f c fB )2()1(->>f c fC )2()1(->>f f cD )1()2(f f c <-<12.已知定义在R 上的偶函数()f x 满足(4)()f x f x +=-,且在区间[0,4]上是减函数则( ) A .(10)(13)(15)f f f << B .(13)(10)(15)f f f << C .(15)(10)(13)f f f << D .(15)(13)(10)f f f <<二、填空题:13.函数y =(x -1)-2的减区间是___ _. 14.函数f (x )=2x 2-mx +3,当x ∈[-2,+∞)时是增函数,当x ∈(-∞,-2]时是减函数,则f (1)= 。
高一数学函数的基本性质试题答案及解析1.已知函数是上的偶函数,满足,当时,,则()A.B.C.D.【答案】D【解析】当时,,即函数在上单调递增,由可得,即函数的周期为2,所以函数在上单调递增,又因为函数是上的偶函数,所以函数在上单调递减,而,所以.【考点】本小题主要考查函数的奇偶性、周期性、单调性的判断和应用,考查学生对问题的分析和应用能力以及转化问题的能力.点评:对于此类问题,关键是根据题意找出函数的周期,然后画出函数的简图,数形结合解决问题.2.(本小题满分10分)已知为常数,且,,方程有两个相等的实数根。
求函数的解析式;【答案】。
【解析】本试题主要是考查了二次函数与方程的求解问题的综合运用。
方程f(x)=x有两个相等的实数根且f(x)=ax2+bx则满足判别式等于零,可知参数b的值。
又因为f(2)=0,可知a的值。
解:(1)方程有两个相等的实数根且又3.证明:函数是偶函数,且在上是减少的。
(本小题满分12分)【答案】见解析。
【解析】本试题主要是考查了函数的奇偶性的定义以及单调性的性质。
现分析定义域,然后结合偶函数的定义证明,并运用设出变量,作差,变形定号,下结论得到。
证明:函数的定义域为,对于任意的,都有,∴是偶函数.(Ⅱ)证明:在区间上任取,且,则有∵,,∴即∴,即在上是减少的.4.已知函数是定义在上的奇函数,当时,,则当时, ( ) A.B.C.D.【答案】A【解析】因为函数是定义在上的奇函数,当时,,则当,-x>0,则=-f(x)解得函数的解析式为,故选A.5.若奇函数在[1,3]上为增函数,且有最小值7,则它在[-3,-1]上( )A.是减函数,有最小值-7B.是增函数,有最小值-7C.是减函数,有最大值-7D.是增函数,有最大值-7【答案】D【解析】解:由奇函数的性质,∵奇函数f(x)在[1,3]上为增函数∴奇函数f(x)在[-3,-1]上为增函数,又奇函数f(x)在[1,3]上有最小值7,∴奇函数f(x)在[-3,-1]上有最大值-7,故选D6.已知= log[a+2(ab)-b+1],其中a>0,b>0,求使<0的x的取值范围【答案】使<0的x的取值范围是:当a>b>0时,x>log(-1);当a = b>0时,x∈R;当b>a>0时,x<log(-1).【解析】要使<0,因为对数函数y = log x是减函数,须使a+2(ab)-b+1>1,即a+2(ab)-b>0,即a+2(ab)+b>2b,∴(a+b)>2b,又a>0,b>0,∴a+b>b,即a>(-1)b,所以()>-1.当a>b>0时,x>log(-1);当a = b>0时,x∈R;当b>a>0时,x<log(-1).综上所述,使<0的x的取值范围是:当a>b>0时,x>log(-1);当a = b>0时,x∈R;当b>a>0时,x<log(-1).7.如图,A,B,C为函数的图象上的三点,它们的横坐标分别是t, t+2, t+4(t1).(1)设ABC的面积为S 求S="f" (t) ;(2)判断函数S="f" (t)的单调性;(3) 求S="f" (t)的最大值.【答案】(1) S=(2) S="f" (t)在是是减函数(3) 最大值是f (1)【解析】解:(1)过A,B,C,分别作AA1,BB1,CC1垂直于x轴,垂足为A1,B1,C1,则S=S梯形AA1B1B+S梯形BB1C1C-S梯形AA1C1C.(2)因为v=在上是增函数,且v5,上是减函数,且1<u; S上是增函数,所以复合函数S="f(t)" 上是减函数(3)由(2)知t=1时,S有最大值,最大值是f (1)8.求函数y=3的定义域、值域和单调区间.【答案】定义域(-∞,+∞)值域为原函数单调减区间为[1,+∞【解析】解:(1)定义域显然为(-∞,+∞).(2)是u的增函数,当x=1时,ymax =f(1)=81,而y=>0.∴.(3) 当x≤1 时,u=f(x)为增函数,是u的增函数,由x↑→u↑→y↑∴即原函数单调增区间为(-∞,1];当x>1时,u=f(x)为减函数,是u的增函数,由x↑→u↓→y↓∴即原函数单调减区间为[1,+∞.9.设是实数,,试证明:对于任意在上为增函数.【答案】见解析【解析】证明:设,则,由于指数函数在上是增函数,且,所以即,又由,得,,∴即,所以,对于任意在上为增函数.10.已知函数f(x)=(a-a)(a>0且a1)在(-, +)上是增函数, 求实数a的取值范围【答案】a(0, 1)(3, +)【解析】解: 由于f(x)递增,若设x<x,则f(x)-f(x)=[(a-a)-(a-a)]=(a-a)(1+a·a)<0, 故(a-9)( (a -a)<0.(1), 解得a>3; (2) , 解得0<a<1.综合(1)、(2)得a(0, 1)(3, +)。
高中数学必修1练习题及讲解### 高中数学必修1练习题及讲解#### 练习题1:函数的概念与性质题目:给定函数 \( f(x) = 3x^2 - 2x + 1 \),求:1. 函数的值域。
2. 函数的对称轴。
解答:1. 首先,我们可以通过完成平方来找到函数的顶点。
函数 \( f(x) = 3x^2 - 2x + 1 \) 可以重写为 \( f(x) = 3(x - \frac{1}{3})^2 +\frac{2}{3} \)。
由于 \( (x - \frac{1}{3})^2 \) 总是非负的,函数的最小值是 \( \frac{2}{3} \),因此值域是 \( [\frac{2}{3},+\infty) \)。
2. 对称轴是二次函数的顶点的 x 坐标,即 \( x = \frac{1}{3} \)。
#### 练习题2:指数函数题目:解指数方程 \( 2^x = 8 \)。
解答:由于 \( 8 = 2^3 \),我们可以将方程 \( 2^x = 8 \) 写成 \( 2^x= 2^3 \)。
由于底数相同,指数必须相等,所以 \( x = 3 \)。
#### 练习题3:对数函数题目:如果 \( \log_{10}100 = 2 \),求 \( \log_{10}1000 \)。
解答:由于 \( 1000 = 10 \times 100 \),我们可以将 \( \log_{10}1000 \) 写成 \( \log_{10}(10 \times 100) \)。
根据对数的性质,这等于 \( \log_{10}10 + \log_{10}100 \)。
我们知道 \( \log_{10}10 = 1 \),所以 \( \log_{10}1000 = 1 + 2 = 3 \)。
#### 练习题4:三角函数题目:已知 \( \sin \theta = \frac{3}{5} \) 且 \( \theta \) 在第一象限,求 \( \cos \theta \)。
高一数学必修1_函数的基本性质练习题(总2页)--本页仅作为文档封面,使用时请直接删除即可----内页可以根据需求调整合适字体及大小--高一数学必修1 函数的基本性质练习题一、选择题:在每小题给出的四个选项中,只有一项是符合题目要求的,请把正确答案的代号填在题后的括号内。
1.下面说法正确的选项( )A .函数的单调区间可以是函数的定义域B .函数的多个单调增区间的并集也是其单调增区间C .具有奇偶性的函数的定义域定关于原点对称D .关于原点对称的图象一定是奇函数的图象2.在区间)0,(-∞上为增函数的是( )A .1=yB .21+-=x xy C .122---=x x y D .21x y +=3.函数c bx x y ++=2))1,((-∞∈x 是单调函数时,b 的取值范围 ( )A .2-≥bB .2-≤bC .2->bD . 2-<b4.如果偶函数在],[b a 具有最大值,那么该函数在],[a b --有( )A .最大值B .最小值C .没有最大值D . 没有最小值5.函数px x x y +=||,R x ∈是( )A .偶函数B .奇函数C .不具有奇偶函数D .与p 有关6.设)(x f 是定义在R 上的一个函数,则函数F(x)= f(x)-f(-x)在R 上一定是( )A. 奇函数B. 偶函数C. 既是奇函数又是偶函数D. 非奇非偶函数7. 已知函数)(x f =(m-1)x 2 +(m-2)x+(m 2-7m+12)为偶函数,则m 的值是( )A. 1B. 2C. 3D. 48.函数)(x f 在区间]3,2[-是增函数,则)5(+=x f y 的递增区间是( )A .]8,3[B . ]2,7[--C .]5,0[D .]3,2[-9.函数b x k y ++=)12(在实数集上是增函数,则( )A .21->k B .21-<k C .0>b D .0>b10.定义在R 上的偶函数)(x f ,满足)()1(x f x f -=+,且在区间]0,1[-上为递增,则()A .)2()2()3(f f f <<B .)2()3()2(f f f <<C .)2()2()3(f f f <<D .)3()2()2(f f f <<11.已知)(x f 在实数集上是减函数,若0≤+b a ,则下列正确的是( ) A .)]()([)()(b f a f b f a f +-≤+ B . )()()()(b f a f b f a f -+-≤+C .)]()([)()(b f a f b f a f +-≥+D .)()()()(b f a f b f a f -+-≥+二、填空题:请把答案填在题中横线上.12.函数)(x f 在R 上为奇函数,且0,1)(>+=x x x f ,则当0<x ,=)(x f . 13.()f x x 的取值范围是 。
高中数学必修一函数试题一、选择题: 1、若()f x =(3)f = ( )A 、2B 、4 C、 D 、10 2、对于函数()y f x =,以下说法正确的有 ( )①y 是x 的函数;②对于不同的,x y 的值也不同;③()f a 表示当x a =时函数()f x 的值,是一个常量;④()f x 一定可以用一个具体的式子表示出来。
A 、1个B 、2个C 、3个D 、4个 3、下列各组函数是同一函数的是( )①()f x =与()g x =;②()f x x =与2()g x =;③0()f x x =与01()g x x =;④2()21f x x x =--与2()21g t t t =--。
A 、①②B 、①③C 、③④D 、①④4、二次函数245y x mx =-+的对称轴为2x =-,则当1x =时,y 的值为 ( ) A 、7- B 、1 C 、17 D 、25 5、函数y =( )A 、[]0,2B 、[]0,4C 、(],4-∞D 、[)0,+∞ 6、下列四个图像中,是函数图像的是 ( )A 、(1)B 、(1)、(3)、(4)C 、(1)、(2)、(3)D 、(3)、(4) 7、)(x f 是定义在R 上的奇函数,下列结论中,不正确...的是( ) A 、()()0f x f x -+= B 、()()2()f x f x f x --=- C 、()()0f x f x -≤ D 、()1()f x f x =-- 8、如果函数2()2(1)2f x x a x =+-+在区间(],4-∞上是减少的,那么实数a 的取值范围是( ) A 、3a -≤ B 、3a -≥ C 、a ≤5 D 、a ≥5 9、设函数()(21)f x a x b =-+是R 上的减函数,则有 ( )(1)(2)(3)(4)A 、12a >B 、12a <C 、12a ≥D 、12a ≤ 10、下列所给4个图象中,与所给3件事吻合最好的顺序为 ( )(1)我离开家不久,发现自己把作业本忘在家里了,于是立刻返回家里取了作业本再上学; (2)我骑着车一路以常速行驶,只是在途中遇到一次交通堵塞,耽搁了一些时间; (3)我出发后,心情轻松,缓缓行进,后来为了赶时间开始加速。
必修1 函数的性质一、选择题:1.在区间(0,+∞)上不是增函数的函数是( )A .y =2x +1B .y =3x 2+ 1C .y =x2D .y =2x 2+x +12.函数f (x )=4x 2-mx +5在区间[-2,+∞]上是增函数,在区间(-∞,-2)上是减函 数,则f (1)等于( )A .-7B .1C .17D .25 3.函数f (x )在区间(-2,3)上是增函数,则y =f (x +5)的递增区间是 ( )A .(3,8)B .(-7,-2)C .(-2,3)D .(0,5)4.函数f (x )=21++x ax 在区间(-2,+∞)上单调递增,则实数a 的取值范围是 ( )A .(0,21) B .( 21,+∞) C .(-2,+∞) D .(-∞,-1)∪(1,+∞)5.函数f (x )在区间[a ,b ]上单调,且f (a )f (b )<0,则方程f (x )=0在区间[a ,b ]内 ( )A .至少有一实根B .至多有一实根C .没有实根D .必有唯一的实根6.若q px x x f ++=2)(满足0)2()1(==f f ,则)1(f 的值是 ( )A 5B 5-C 6D 6-7.若集合}|{},21|{a x x B x x A ≤=<<=,且Φ≠B A ,则实数a 的集合( )A }2|{<a aB }1|{≥a aC }1|{>a aD }21|{≤≤a a8.已知定义域为R 的函数f (x )在区间(-∞,5)上单调递减,对任意实数t ,都有f (5+t )=f (5-t ),那么下列式子一定成立的是 ( )A .f (-1)<f (9)<f (13)B .f (13)<f (9)<f (-1)C .f (9)<f (-1)<f (13)D .f (13)<f (-1)<f (9)9.函数)2()(||)(x x x g x x f -==和的递增区间依次是 ( )A .]1,(],0,(-∞-∞B .),1[],0,(+∞-∞C .]1,(),,0[-∞+∞D ),1[),,0[+∞+∞10.若函数()()2212f x x a x =+-+在区间(]4,∞-上是减函数,则实数a 的取值范围 ( )A .a ≤3B .a ≥-3C .a ≤5D .a ≥311. 函数c x x y ++=42,则 ( ))2()1(-<<f c f B )2()1(->>f c fC )2()1(->>f f cD )1()2(f f c <-<12.已知定义在R 上的偶函数()f x 满足(4)()f x f x +=-,且在区间[0,4]上是减函数则( )A .(10)(13)(15)f f f <<B .(13)(10)(15)f f f <<C .(15)(10)(13)f f f <<D .(15)(13)(10)f f f <<.二、填空题:13.函数y =(x -1)-2的减区间是___ _.14.函数f (x )=2x 2-mx +3,当x ∈[-2,+∞)时是增函数,当x ∈(-∞,-2]时是减函数,则f (1)= 。
高一数学复习考点知识与题型专题讲解专题强化一:函数的基本性质必刷题一、单选题1.若函数()()2211f x x a x =+-+在(],2-∞上是单调递减函数,则实数a 的取值范围是( )A .3,2⎡⎫-+∞⎪⎢⎣⎭B .3,2⎛⎤-∞- ⎥⎝⎦C .)5,2⎡-+∞⎢⎣D .5,2⎛⎤-∞- ⎥⎝⎦2.已知偶函数f (x )在区间[0,+∞)上单调递增,则满足1(21)3f x f ⎛⎫-< ⎪⎝⎭的x 的取值范围是( )A .12,33⎛⎫ ⎪⎝⎭B .12,33⎡⎫⎪⎢⎣⎭C .12,23⎛⎫ ⎪⎝⎭D .12,23⎡⎫⎪⎢⎣⎭ 3.定义在R 上的偶函数()f x 满足:对任意的[)()1212,0,x x x x ∈+∞≠,有()()21210f x f x x x -<-,则( )A .()()()202120202019f f f <-<B .()()()201920202021f f f <-<C .()()()202020192021f f f -<<D .()()()202020212019f f f -<<-4.已知函数222,0()0,0,0x x x f x x x mx x ⎧-+>⎪==⎨⎪+<⎩是奇函数.则实数m 的值是( )A .0B .2C .4D .-25.已知()f x 为R 上奇函数,()g x 为R 上偶函数,且(0)(2)(0)(2)4f f g g +-++=,(2)(0)(2)2f g g ++-=-,则()2f 的值为( )A .-3B .1C .2D .36.已知函数()1f x +是偶函数,当121x x <<时,()()()12120f x f x x x -->⎡⎤⎣⎦ 恒成立,设1 2a f ⎛⎫=- ⎪⎝⎭,()2b f =,()3c f =,则a ,b ,c 的大小关系为( )A .b a c <<B .c b a <<C .b c a <<D .a b c <<7.已知()f x 是R 上的偶函数,()g x 是R 上的奇函数,它们的部分图像如图,则()()⋅f x g x 的图像大致是( )A .B .C .D .8.已知函数()f x 是定义R 上的减函数,()0,2A ,()2,2B -是其图象上的两点,那么()12f x +<的解集的补集是( )A .(][),11,-∞-+∞B .()1,1-C .(][),13,-∞-⋃+∞D .()1,39.函数()f x 是定义在R 上的偶函数,且当0x ≥时,()2xf x =,若对任意[]0,21x t ∈+,均有()()3f x t f x ≥⎡⎤⎣⎦+,则实数t 的最大值是( ) A .49-B .13-C .0D .1610.已知函数()()f x g x 、是定义在R 上的函数,其中()f x 是奇函数,()g x 是偶函数,且()()22f x g x ax x +=++,若对于任意1212x x <<<,都有()()12122g x g x x x ->--,则实数a 的取值范围是( )A .1(,][0,)2-∞-⋃+∞B .(0,)+∞C .1[,)2-+∞D .1[,0)2-二、多选题11.有下列几个命题,其中正确的命题是( ) A .函数y =11x +在(-∞,-1)∪(-1,+∞)上是减函数; B .函数y =254x x +-的单调区间是[-2,+∞);C .已知f (x )在R 上是增函数,若a +b >0,则有f (a )+f (b )>f (-a )+f (-b );D .已知函数g (x )=23,0,(),0x x f x x ->⎧⎨<⎩是奇函数,则f (x )=2x +3.12.如果函数()f x 在[],a b 上是增函数,对于任意的[]()1212,,x x a b x x ∈≠,则下列结论中正确的是( ) A .()()12120f x f x x x ->-B .()()()12120x x f x f x -->⎡⎤⎣⎦C .()()()()12f a f x f x f b ≤<≤D .()()12f x f x >13.已知函数)(21x f x x+=,则下列结论正确的是( )A .)(f x 为奇函数B .)(f x 为偶函数C .)(f x 在区间)1,⎡+∞⎣上单调递增D .)(f x 的值域为](),22,⎡-∞-⋃+∞⎣ 14.已知函数()f x 满足x R ∀∈,()()f x f x -=-,且当0x >时,22()f x x x=-,则( )A .()00f =B .()11f -=C .()f x 在[2,0)-单调递减D .(1,0)x ∃∈-,()2f x >15.关于函数()()1xf x x R x =∈+,下面结论正确的是( ) A .函数()f x 是奇函数B .函数()f x 的值域为(1,1)-C .函数()f x 在R 上是增函数D .函数()f x 在R 上是减函数16.已知函数()228,142,1x ax x f x x a x x ⎧-+≤⎪=⎨++>⎪⎩,若()f x 的最小值为()1f ,则实数a 的值可以是( )A .1B .54C .2D .417.若函数()f x 同时满足:①对于定义域上的任意x ,恒有()()0f x f x +-=;②对于定义域上的任意1x ,2x ,当12x x ≠时,恒有1212()[()()]0x x f x f x -⋅-<,则称该函数为“七彩函数”.下列函数中是“七彩函数”的有( )A .222,0()2,0x x f x x x ⎧-≥=⎨<⎩B .15()f x x =-C .2()||f x x x =+D .3()f x x x =--三、填空题18.若函数是奇函数,()()2,,221x af x x b b x +=∈++,则a b +=__________ . 19.已知定义在R 上的奇函数,当0x <时有3()2x f x x =-+,则()f x =__________. 20.已知定义在R 上的奇函数()f x 在(,0]-∞上是减函数,若(1)(32)0f m f m ++-<,则实数m 的取值范围是________.21.已知函数()y f x =,()y g x =的定义域为R ,且()()y f x g x =+为偶函数,()()y f x g x =-为奇函数,若()2f 2=,则(2)g -=__.22.21,1()lg ,1x x f x x x ⎧-<⎪=⎨-⎪⎩…,则不等式(2)()f x f x -<的解集为__.23.若f (x )为R 上的奇函数,给出下列四个说法: ①f (x )+f (-x )=0; ②f (x )-f (-x )=2f (x ); ③f (x )·f (-x )<0; ④()()f x f x -=-1. 其中一定正确的为___________.(填序号)四、解答题24.()y f x =是定义在R 上的奇函数,且当0x ≥时,2()4f x x x =-; (1)求0x <时,()f x 的解析式; (2)求()y f x =的单调减区间.25.已知二次函数2()1()f x x mx m m R =-+-∈. (1)若()f x 是偶函数,求m 的值;(2)函数在区间[]1,1-上的最小值记为()g m ,求()g m 的最大值; (3)若函数|()|y f x =在[]2,4上是单调增函数,求实数m 的取值范围.26.已知函数()f x 对于一切x 、y R ∈,都有()()()f xy f x y f x y =++-. (1)求证:()f x 在R 上是偶函数;(2)若()f x 在区间(,0)-∞上是减函数,且有22(21)(243)f a a f a a ++<-+-,求实数a 的取值范围.27.已知函数2()1ax b f x x +=+是定义在(1,1)-上的奇函数,且3(3)10f =.(1)确定函数()f x 的解析式;(2)当(1,1)x ∈-时判断函数()f x 的单调性,并证明; (3)解不等式1(1)()02f x f x -+<. 28.已知函数()21x bf x ax +=+是定义在[1-,1]上的奇函数,且()112f =.(1)求a ,b 的值;(2)判断()f x 在[1-,1]上的单调性,并用定义证明;(3)设()52g x kx k =+-,若对任意的[]111x ∈-,,总存在[]201x ∈,,使得()()12f x g x ≤成立,求实数k 的取值范围.29.函数()f x 对任意x ,y R ∈,总有()()()f x y f x f y +=+,当0x <时,()0f x <,且()113f =. (1)证明()f x 是奇函数;(2)证明()f x 在R 上是单调递增函数;(3)若()()31f x f x +-≥-,求实数x 的取值范围.30.若函数()y f x =对定义域内的每一个值1x ,在其定义域内都存在唯一的2x ,使12()()1f x f x ⋅=成立,则称函数()y f x =为“依赖函数”.(1)判断函数()2x f x =是否为“依赖函数”,并说明理由;(2)若函数211()22f x x x =-+在定义域[,](,m n m n N +∈且1)m >上为“依赖函数”,求m n +的值;(3)已知函数24()(),3f x x a a ⎛⎫=-< ⎪⎝⎭在定义域4,43⎡⎤⎢⎥⎣⎦上为“依赖函数”.若存在实数4,43x ⎡⎤∈⎢⎥⎣⎦,使得对任意的t R ∈,不等式2()8f x t st ≥-++都成立,求实数s 的取值范围.参考答案1.B 【详解】函数()()2211f x x a x =+-+的单调递减区间是21(,]2a --∞-, 依题意得(]21,2(,]2a --∞⊆-∞-,于是得2122a --≥,解得32a ≤-,所以实数a 的取值范围是3(,]2-∞-. 故选:B 2.A 【详解】∵f (x )为偶函数,∴f (x )=f (|x |).则f (|2x -1|)<13f ⎛⎫ ⎪⎝⎭,又∵f (x )在[0,+∞)上单调递增,∴1213x -<,解得1233x <<. 故选:A. 3.A 【详解】因为对任意的[)()1212,0,x x x x ∈+∞≠,有()()21210f x f x x x -<-,所以函数()f x 在[)0,+∞上单调递减,又函数()f x 为偶函数,所以()()20202020f f -=,()()20192019f f -=, 所以()()()202120202019f f f <<即()()()202120202019f f f <-<. 故选:A. 4.B【详解】取0x >,则0x -<,因为函数为奇函数,则()()f x f x -=-,即()()()222x m x x x -+-=--+,整理可得2mx x -=-,即2m =. 故选:B 5.A 【详解】()f x 为R 上的奇函数,∴()00f =,()()f x f x -=-,()g x 是R 上的偶函数,()()g x g x -=,由()()()()()()()020242022f fg g f g g ⎧+-++=⎪⎨++-=-⎪⎩, ()()()()()()20242022f g g f g g ⎧-++=⎪⇒⎨++=-⎪⎩①②,②-①得()2224f =--,()23f =-.故选:A . 6.A 【详解】当121x x <<时,()()()12120f x f x x x -->⎡⎤⎣⎦,则()()21f x f x >, 所以,函数()f x 为()1,+∞上的增函数,由于函数()1f x +是偶函数,可得()()11f x f x +=-,1335112222a f f f f ⎛⎫⎛⎫⎛⎫⎛⎫∴=-=-=+= ⎪ ⎪ ⎪ ⎪⎝⎭⎝⎭⎝⎭⎝⎭,53212>>>,因此,b a c <<. 故选:A. 7.C 【详解】又()f x 是R 上的偶函数,()g x 是R 上的奇函数, ∴ ()()f x f x -=,()()g x g x -=-, ∴()()()()f x g x f x g x -⋅-=-∴ 函数()()⋅f x g x 为奇函数,其图象关于原点对称,A,B 错, 由图可得当0x >时,()0f x >,()0>g x , ∴ ()()0f x g x ⋅>,D 错, 故选:C. 8.A 【详解】解:不等式()12f x +<可变形为2(1)2f x -<+<,()0,2A ,()2,2B -是函数()f x 图象上的两点,()02f ∴=,()22f =-, 2(1)2f x ∴-<+<等价于不等式()()2(1)0f f x f <+<,又函数()f x 是R 上的减函数,()()2(1)0f f x f ∴<+<等价于012x <+<,解得11x -<<,∴不等式()12f x +<的解集为()1,1-.那么()12f x +<的解集的补集是(][),11,-∞-+∞. 故选:A .9.A 【详解】易知,函数()f x 在[0,)+∞上单调递增,∴12102t t +>⇒>-,又∵()()()33f x t f x f x ⎡⎤+≥=⎣⎦,且函数为偶函数,∴|||3|x t x +≥,两边平方化简,则22820x xt t --≤在[0,21]t +恒成立,令()2282g x x xt t =--,则()()002421039g t g t ⎧≤⎪⇒-≤≤-⎨+≤⎪⎩. 综上:t 的最大值为49-. 故选:A. 10.C 【详解】由题得:()f x 是奇函数,所以()()f x f x -=-;()g x 是偶函数,所以()()g x g x -= 将x -代入2()()2f x g x ax x +=++得:2()()2f x g x ax x +=--+联立22()()2()()2f xg x ax x f x g x ax x +=++-+-=+⎧⎪⎨⎪⎩ 解得:()22g x ax =+ 1212()()2g x g x x x ->--,1212x x <<<等价于()1212()()2g x g x x x -<--,即:1122()2()2g x x g x x +<+,令()()2222h x g x x ax x =+=++,则()h x 在()1,2单增①当0a >时,函数的对称轴为2102x a a=-=-<,所以()h x 在()1,2单增 ②当0a <时,函数的对称轴为2102x a a=-=->,若()h x 在()1,2单增,则12a -≥,得:102a -≤< ③当0a =时,()h x 单增,满足题意 综上可得:12a ≥-故选:C 11.CD 【详解】对于A ,函数的定义域为(-∞,-1)∪(-1,+∞), 令1t x =+在定义域上递增, 又1y t=在(),0-∞和()0,∞+是减函数, 所以函数y =11x +在(-∞,-1)和(-1,+∞)每个区间上递减,故A 错误;对于B ,由函数y =254x x +-,则2540x x +-≥,解得15x -≤≤, 令254t x x =+-在()1,2-上递增,()2,5上递减, 又y t =在定义域内是增函数,所以函数y =254x x +-在()1,2-上递增,()2,5上递减,故B 错误;对于C ,因为f (x )在R 上是增函数,若a +b >0,则a b >-,故()()f a f b >-;b a >-,故()()f b f a >-,所以f (a )+f (b )>f (-a )+f (-b ),故C 正确;对于D ,当0x >时,()23g x x =-, 则当0x <时,0x ->,则()23g x x -=--, 因为()g x 为奇函数,所以()()23g x g x x =--=+, 所以f (x )=2x +3,故D 正确. 故选:CD. 12.AB 【详解】由函数单调性的定义可知,若函数()f x 在给定的区间上是增函数,则12x x -与()()12f x f x -同号,由此可知,选项A ,B 正确; 对于选项C ,D ,因为12,x x 的大小关系无法判断,则()()12,f x f x 的大小关系确定也无法判断,故C ,D 不正确. 故选:AB 13.ACD 【详解】由题意,函数)(21x f x x+=的定义域为)()(,00,-∞⋃+∞,且)()(f x f x -=-,故)(f x 为奇函数, 任取)12,1,x x ⎡∈+∞⎣,且12x x <,则)()(222221121************ x x x x x x x f x f x x x x x ++⋅+-⋅--=-=)()(1221121x x x x x x --=, 因为121xx ≤<,所以210x x ->且121x x >,可得)()(210f x f x ->,所以)(f x 在)1,⎡+∞⎣上单调递增,当0x >时,)(2112x f x x x x+==+≥(当且仅当1x =时,取“=”), 又由结合)(f x 为奇函数,可得)(f x 的值域为](),22,⎡-∞-⋃+∞⎣. 故选:ACD 14.ABD 【详解】因为x R ∀∈,()()f x f x -=-,所以函数()f x 为奇函数. 对选项A ,0R ∈,所以()00f =,故A 正确. 对选项B ,()()()21111f f -=-=--=,故B 正确.对选项C ,因为当0x >时,22()f x x x=-为增函数,又因为函数()f x 为奇函数,所以当0x <时,函数()f x 也为增函数,故C 错误.对选项D ,因为11115422244f f ⎛⎫⎛⎫-=-=-+=> ⎪ ⎪⎝⎭⎝⎭,故D 正确.故选:ABD 15.ABC对于A :因为()()11x xf x f x x x ---===--++,所以()f x 在R 上为奇函数,故A 正确; 对于B :当0x >时,1()1+11x f x x x ==-+,因为0x >,所以11x +>,1011x <<+, 所以1101x -<-<+,所以10111x <-<+, 又()f x 为奇函数,所以当0x <时,()(1,0)1xf x x=∈--,且(0)0f =, 所以函数()f x 的值域为(1,1)-,故B 正确. 对于C :当0x >时,1()1+11x f x x x ==-+,所以()f x 在(0,)+∞上为增函数, 又()f x 为奇函数,左右两侧单调性相同,所以函数()f x 在R 上是增函数,故C 正确,D 错误 故选:ABC 16.BCD 【详解】由题意可得二次函数228y x ax =-+的对称轴x a =1≥,且42(1)128x a f a x++≥=-+在(1,)+∞上恒成立,所以494x a x+≥-在(1,)+∞上恒成立,因为4424x x x x+≥⋅=,当且仅当2x =时,等号成立,即4x x +在(1,)+∞上的最小值为4, 所以494a ≥-,解得54a ≥. 故选:BCD 17.ABD 【详解】由①②得:“七彩函数”既是奇函数又是减函数, 对于选项A :当0x >时,0x -<,()22f x x =-,()22f x x -=,得()()0f x f x +-=; 当0x <时,0x ->,()22f x x =,()22f x x -=-,得()()0f x f x +-=; 所以函数是奇函数,当0x >时,()22f x x =-,所以函数在()0,∞+上单调递减, 故选项A 正确;对于选项B :()15f x x =-定义域为R ,()()15f x x f x -==-,所以函数()f x 为奇函数,且在R 上单调递减; 故选项B 正确;对于选项C :()2f x x x =+,定义域为R ,()()2f x x x f x -=+=,则函数函数()f x 为偶函数, 故选项C 不正确;对于选项D :()1f x x x=-定义域为{}0x x ≠,()()1f x x f x x-=-+=-,则函数()f x 为奇函数,且在定义域上单调递减; 故选项D 正确; 故选:ABD. 18.1- 【详解】根据题意可得20b b ++=,解得1b =-, 又()00f =,代入解得0a =, 当0a =时,()()221xf x f x x --==-+,满足题意, 所以1a b +=-. 故答案为:1-19.332,00,02,0x x x x x x x -⎧+>⎪=⎨⎪-+<⎩【详解】当0x >时,0x -<时,由奇函数性质知,33()()[]22()x x f x f x x x --=--=-=-+-+,又(0)0f =,则332,0()0,02,0x x x x f x x x x -⎧+>⎪==⎨⎪-+<⎩故答案为:332,00,02,0x x x x x x x -⎧+>⎪=⎨⎪-+<⎩20.1,4⎛⎫+∞ ⎪⎝⎭【详解】因为()f x 是奇函数,在(],0-∞上是减函数, 所以()f x 在R 上单调递减, 因为(1)(32)0f m f m ++-<, 所以(1)(32)f m f m +<--, 即(1)(23)f m f m +<-, 所以123m m +>-,解得14m >.故答案为:1,4⎛⎫+∞ ⎪⎝⎭.21.2 【详解】解:因为()()y f x g x =+为偶函数,()()y f x g x =-为奇函数, 所以()(2)(2)2f g f -+-=()2g +,()()(2)(2)22f g g f ---=-, 两式相减可得,()2f (2)g =-, 若()2f 2=,则(2)2g -=. 故答案为:2. 22.{|1}<x x【详解】解:由函数的解析式绘制函数图象如图所示, 易知函数为偶函数,且在区间(0,)+∞上单调递减,故题中的不等式等价于:(2)()f x f x -<,则|2|||x x ->,平方可得:2244x x x -+>,解得1x <, 不等式的解集为:{|1}<x x . 23.①② 【详解】∵f (x )在R 上为奇函数, ∴f (-x )=-f (x ).∴f (x )+f (-x )=f (x )-f (x )=0,故①正确.f (x )-f (-x )=f (x )+f (x )=2f (x ),故②正确. 当0x =时,f (x )·f (-x )=0,故③不正确. 当0x =时,()()f x f x -分母为0,无意义,故④不正确.故答案为:①②24.(1)2()4f x x x =+;(2)(,2)-∞-和(2,)+∞. 【详解】(1)设0x <,则0x ->,2()4f x x x ∴-=--又()y f x =是定义在R 上的奇函数,()22()()44f x f x x x x x ∴=--=---=+所以当0x <时,2()4f x x x =+;(2)当0x ≥时,22()4(2)4f x x x x =-=--+, 当0x <时,22()4(2)4f x x x x =+=+-则当(,2)x ∈-∞-时,函数单调递减;当(2,2)x ∈-时,函数单调递增;当(2,)x ∈+∞时,函数单调递减;所以()y f x =的单调减区间为(,2)-∞-和(2,)+∞. 25.(1)0m =;(2)最大值为0;(3)3m ≤或8m ≥. 【详解】 (1)()f x 是偶函数,()()f x f x ∴=-,(1)(1)f f ∴=-即1111m m m m -+-=++-,解得:0m = (2)2()1f x x mx m =-+-,二次函数对称轴为2mx =,开口向上 ①若12m<-,即2m <-,此时函数()f x 在区间[]1,1-上单调递增,所以最小值()(1)2g m f m =-=.②若112m-≤≤,即22m -≤≤,此时当2m x =时,函数()f x 最小,最小值2()124m m g m f m ⎛⎫==-+- ⎪⎝⎭.③若12m>,即2m >,此时函数()f x 在区间[]1,1-上单调递减,所以最小值()(1)0g m f ==.综上22,2()1,2240,2m m mg m m m m <-⎧⎪⎪=-+--≤≤⎨⎪>⎪⎩,作出分段函数的图像如下,由图可知,()g m 的最大值为0.(3)要使函数|()|y f x =在[]2,4上是单调增函数,则()f x 在[]2,4上单调递增且恒非负,或单调递减且恒非正,22(2)0m f ⎧≤⎪∴⎨⎪≥⎩或42(2)0mf ⎧≥⎪⎨⎪≤⎩,即430m m ≤⎧⎨-≥⎩或830m m ≥⎧⎨-≤⎩,解得3m ≤或8m ≥.所以实数m 的取值范围是:3m ≤或8m ≥. 26.(1)证明:函数()f x 对于一切x 、y R ∈,都有()()()f xy f x y f x y =++-, 令0x =,得(0)()()f f y f y =+-,再令y x =,得(0)()()f f x f x =+-.⋯①令0y =,得(0)()()f f x f x =+.⋯② ①-②得()()0f x f x --=,()()f x f x ∴-=.故()f x 在R 上是偶函数.(2)解:因为()f x 在R 上是偶函数,所以()f x的图象关于y轴对称.又因为()f x在区间(,0)-∞上是减函数,所以()f x在区间(0,)+∞上是增函数.22211117212()12()02161648a a a a a++=++-+=++>,2222432(211)32(1)10a a a a a-+-=--+--=---<,22430a a∴-+>.22(243)(243)f a a f a a-+-=-+.原不等式可化为22(21)(243)f a a f a a++<-+,2221243a a a a∴++<-+.解之得25a<.故实数a的取值范围是25a<.27.(1)2()1xf xx=+;(2)()f x在区间()1,1-上是增函数,证明见解析;(3)20,3⎛⎫⎪⎝⎭. 【详解】(1)∵()()f x f x-=-,∴221()1ax b ax bx x-+--=+-+,即b b-=,∴0b=.∴2()1axf xx=+,又()3310f=,1a=,∴2()1xf xx=+.(2)对区间()1,1-上得任意两个值1x,2x,且12x x<,22121221121212222222121212(1)(1)()(1)()()11(1)(1)(1)(1)x x x x x x x x x xf x f xx x x x x x+-+---=-==++++++,∵1211x x -<<<,∴120x x -<,1210x x ->,2110x +>,2210x +>, ∴12())0(f x f x -<,∴12()()f x f x <, ∴()f x 在区间()1,1-上是增函数. (3)∵1(1)()02f x f x -+<,∴1(1)()2f x f x -<-,1111211211x x x x ⎧-<-<⎪⎪⎪-<-⎨⎪-<<⎪⎪⎩,解得203x <<,∴实数x 得取值范围为20,3⎛⎫⎪⎝⎭.28.(1)1,0a b ==;(2)()f x 在[]1,1-上递增,证明详见解析;(3)92k ≤. 【详解】(1)依题意函数()21x bf x ax +=+是定义在[1-,1]上的奇函数, 所以()00f b ==,()111112f a a ==⇒=+, 所以()21xf x x =+,经检验,该函数为奇函数. (2)()f x 在[]1,1-上递增,证明如下: 任取1211x x -??,()()()()()()221221121222221212111111x x x x x x f x f x x x x x +-+-=-=++++()()22121212221211x x x x x x x x +--=++()()()()()()()()12212112212222121211111x x x x x x x x x x x x x x -----==++++,其中122110,0x x x x -<->,所以()()()()12120f x f x f x f x -<⇒<, 故()f x 在[]1,1-上递增.(3)由于对任意的[]111x ∈-,,总存在[]201x ∈,,使得()()12f x g x ≤成立, 所以()()max max f x g x ≤.()()max 112f x f ==. 当0k ≥时,()52g x kx k =+-在[]0,1上递增,()()max 15g x g k ==-, 所以195022k k ≤-⇒≤≤.当0k <时,()52g x kx k =+-在[]0,1上递减,()()max 052g x g k ==-, 所以15202k k ≤-⇒<.综上所述,92k ≤. 29.(1)令0x y ==,则()()()000f f f =+,解得()00f =,令y x =-,则()()()0f f x f x =+-,即()()0f x f x +-=,即()()f x f x -=-, 易知()f x 的定义域为R ,关于原点对称,所以函数()f x 是奇函数; (2)任取1x ,2x R ∈,且12x x <,则120x x -<, 因为当0x <时,()0f x <,所以()120f x x -<,则()()()()()1212120f x f x f x f x f x x -=+-=-<,即()()12f x f x <,所以函数()f x 是R 上的增函数;(3)由()113f =,得()223f =,()31f =,又由()f x 是奇函数得()31f -=-. 由()()31f x f x +-≥-,得()()233f x f -≥-,因为函数()f x 是R 上的增函数, 所以233x -?,解得0x ≥,故实数x 的取值范围为[)0,+∞. 30.解:()1对于函数()2x f x =的定义域R 内任意的1x ,取21x x =-,则12()()1f x f x ⋅=, 且由()2x f x =是R 上的严格增函数,可知2x 的取值唯一, 故()2x f x =是“依赖函数”.()2因为1m >,()()2112f x x =-在[]m n ,是严格增函数,故()()1f m f n ⋅=,即()()2211114m n --=,由1n m >>,得(1)(1)2m n --=, 又m n N ∈,,所以1112m n -=⎧⎨-=⎩,解得23m n =⎧⎨=⎩故5m n +=()3因43a <,故()()2f x x a =-在443⎡⎤⎢⎥⎣⎦,上单调递增, 从而()4413f f ⎛⎫⋅= ⎪⎝⎭,即()224413a a ⎛⎫--= ⎪⎝⎭,进而()4413a a ⎛⎫--= ⎪⎝⎭,解得1a =或13(3a =舍), 从而,存在443x ⎡⎤∈⎢⎥⎣⎦,,使得对任意的R t ∈,有不等式()2218x t s t -≥-+⋅+都成立, 故()22max18x t s t ⎡⎤-≥-+⋅+⎣⎦,即298t s t ≥-+⋅+, 整理,得210t s t +⋅+≥对任意的R t ∈恒成立.由240s ∆=-≤,得22s -≤≤,即实数s 的取值范围是[]22-,.。
函数的基本性质一、函数的有关概念1.函数的概念:设A、B是非空的数集,如果按照某个确定的对应关系f,使对于集合A中的任意一个数x,在集合B中都有唯一确定的数f(x)和它对应,那么就称f:A→B为从集合A到集合B的一个函数.记作:y=f(x),x∈A.其中,x 叫做自变量,x的取值范围A叫做函数的定义域;与x的值相对应的y值叫做函数值,函数值的集合{f(x)| x∈A }叫做函数的值域.概念重点疑点:对于定义域中任何x,都有唯一确定的y=f(x)与x相对应。
即在直角坐标系中的图像,对于任意一条x=a(a是函数的定义域)的直线与函数y=f(x)只有一个交点;例1、下列对应关系中,x为定义域,y为值域,不是函数的是()A.y=x²+x³B.y=C.|y|=xD.y=8x解:对于|y|=x,对于任意非零x,都有两个y与x对应,所以|y|=x不是函数。
图像如下图,x=2的直线与|y|=x的图像有两个交点。
故答案选C例2、下列图象中表示函数图象的是()解析:对于任意x=a的直线,只有C选项的图形与x=a的直线只有一个交点,即对于定义域中任何x,都有唯一确定的y=f(x)与x相对应。
故选C。
注意:1、如果只给出解析式y=f(x),而没有指明它的定义域,则函数的定义域即是指能使这个式子有意义的实数的集合;2、函数的定义域、值域要写成集合或区间的形式.定义域补充:能使函数式有意义的实数x 的集合称为函数的定义域,求函数的定义域时列不等式组的主要依据是:(1)分式的分母不等于零; (2)偶次方根的被开方数不小于零;(3)对数式的真数必须大于零;(4)指数、对数式的底必须大于零且不等于1. (5)如果函数是由一些基本函数通过四则运算结合而成的.那么,它的定义域是使各部分都有意义的x 的值组成的集合.(6)指数为零底不可以等于零 (7)实际问题中的函数的定义域还要保证实际问题有意义.(注意:求出不等式组的解集即为函数的定义域。
(数学1必修)函数的基本性质--基础训练A 组一、选择题1.已知函数)127()2()1()(22+-+-+-=m m x m x m x f 为偶函数,则m 的值是( ) A . 1 B . 2 C . 3 D . 4 2.若偶函数)(x f 在(]1,-∞-上是增函数,则下列关系式中成立的是( )A .)2()1()23(f f f <-<- B .)2()23()1(f f f <-<- C .)23()1()2(-<-<f f f D .)1()23()2(-<-<f f f3.如果奇函数)(x f 在区间[3,7] 上是增函数且最大值为5, 那么)(x f 在区间[]3,7--上是( )A .增函数且最小值是5-B .增函数且最大值是5-C .减函数且最大值是5-D .减函数且最小值是5- 4.设)(x f 是定义在R 上的一个函数,则函数)()()(x f x f x F --= 在R 上一定是( )A .奇函数B .偶函数C .既是奇函数又是偶函数D .非奇非偶函数。
5.下列函数中,在区间()0,1上是增函数的是( ) A .x y = B .x y -=3 C .xy 1=D .42+-=x y 6.函数)11()(+--=x x x x f 是( ) A .是奇函数又是减函数 B .是奇函数但不是减函数 C .是减函数但不是奇函数 D .不是奇函数也不是减函数二、填空题1.设奇函数)(x f 的定义域为[]5,5-,若当[0,5]x ∈时, )(x f 的图象如右图,则不等式()0f x <的解是2.函数2y x =+________________。
3.已知[0,1]x ∈,则函数y =的值域是 .4.若函数2()(2)(1)3f x k x k x =-+-+是偶函数,则)(x f 的递减区间是 .5.下列四个命题(1)()f x =有意义; (2)函数是其定义域到值域的映射;(3)函数2()y x x N =∈的图象是一直线;(4)函数22,0,0x x y x x ⎧≥⎪=⎨-<⎪⎩的图象是抛物线,其中正确的命题个数是____________。
人教A版高中数学必修一《函数的基本性质》试题【夯实基础】一、单选题1.(2022·全国·高一课时练习)函数的单调递增区间是()A. B.C. D.【答案】B【分析】直接由二次函数的单调性求解即可.【详解】由知,函数为开口向上,对称轴为的二次函数,则单调递增区间是.故选:B.2.(2022·全国·高一课时练习)定义在区间上的函数的图象如图所示,则的单调递减区间为()A. B. C. D.【答案】B【分析】根据函数图象直接确定单调递减区间即可.【详解】由题图知:在上的单调递减,在上的单调递增,所以的单调递减区间为.故选:B3.(2022·全国·高一课时练习)已知函数在上是增函数,则实数的取值范围为()A. B. C. D.【答案】D【分析】利用二次函数单调性,列式求解作答.【详解】函数的单调递增区间是,依题意,,所以,即实数的取值范围是.故选:D4.(2022·全国·高一)已知在为单调函数,则a的取值范围为()A. B. C. D.【答案】D【分析】求出的单调性,从而得到.【详解】在上单调递减,在上单调递增,故要想在为单调函数,需满足,故选:D5.(2022·湖北武汉·高一期末)已知二次函数在区间内是单调函数,则实数a的取值范围是()A. B.C. D.【答案】A【分析】结合图像讨论对称轴位置可得.【详解】由题知,当或,即或时,满足题意.故选:A6.(2022·甘肃庆阳·高一期末)若函数在上单调递增,且,则实数的取值范围是()A. B. C. D.【答案】C【分析】由单调性可直接得到,解不等式即可求得结果.【详解】在上单调递增,,,解得:,实数的取值范围为.故选:C.7.(2022·全国·高一课时练习)下列四个函数在是增函数的为()A. B.C. D.【答案】D【分析】根据各个函数的性质逐个判断即可【详解】对A,二次函数开口向上,对称轴为轴,在是减函数,故A不对.对B,为一次函数,,在是减函数,故B不对.对C,,二次函数,开口向下,对称轴为,在是增函数,故C不对.对D,为反比例类型,,在是增函数,故D对.故选:D8.(2021·河南南阳·高一阶段练习)已知函数,对于任意的恒成立,则实数的最小值是()A.0B.1C.2D.3【答案】D【分析】利用换元法将函数的最值转化为二次函数的最值,即可求得实数的最小值.【详解】对于任意的使恒成立,令(),则,即,设,则,故,即实数m的最小值是.故选:.二、多选题9.(2022·全国·高一课时练习)下列函数中,在上单调递增的是()A. B. C. D.【答案】AD【分析】画出各选项的函数图像,利用函数的图象来研究函数的单调性判断即可.【详解】画出函数图象如图所示,由图可得A,D中的函数在上单调递增,B,C中的函数在上不单调.故选:AD.10.(2021·江西·高一期中)如图是函数的图象,则函数在下列区间单调递增的是( )A. B. C. D.【答案】BC【分析】根据单调性的定义即可由图知道f(x)的增区间﹒【详解】图像从左往右上升的区间有:(-6,-4),(-1,2),(5,8),∴f(x)在(-6,-4),(-1,2),(5,8)上单调递增﹒故选:BC﹒三、填空题11.(2022·全国·高一课时练习)写出一个同时具有性质①对任意,都有;②的函数___________.【答案】(答案不唯一)【分析】根据题意可得函数在为减函数,且再写出即可.【详解】因为对任意,都有,所以函数在上减函数.又,故函数可以为.(注:满足题目条件的函数表达式均可.)故答案为:(答案不唯一)12.(2022·浙江丽水·高一开学考试)设函数,其中,.若在上不单调,则实数的一个可能的值为______.【答案】内的任意一个数.【分析】由对勾函数的性质判断出函数的单调区间,假设在上单调,即可求出的取值范围,其补集即为在上不单调时实数的取值范围.【详解】函数的定义域为,由对勾函数的性质可得函数在和上是单调递增,在和上是单调递减,若在上单调,则或,解得或,则在上不单调,实数的范围是,故答案为:内的任意一个数.13.(2022·全国·高一课时练习)函数的单调减区间为__________.【答案】##【分析】优先考虑定义域,在研究复合函数的单调性时,要弄清楚它由什么函数复合而成的,再根据“同增异减”可求解.【详解】函数是由函数和组成的复合函数,,解得或,函数的定义域是或,因为函数在单调递减,在单调递增,而在上单调递增,由复合函数单调性的“同增异减”,可得函数的单调减区间.故答案为:.四、解答题14.(2022·全国·高一)已知,函数.(1)指出在上的单调性(不需说明理由);(2)若在上的值域是,求的值.【答案】(1)在上是增函数(2)2【分析】(1)由于,利用反比例函数的性质,即可得到结果;(2)根据(1)的函数单调性,可知,,解方程即可求出结果.(1)解:因为,所以在上是增函数.(2)解:易知,由(1)可知在上为增函数.,解得,由得,解得.15.(2022·湖南·高一课时练习)设函数的定义域为,如果在上是减函数,在上也是减函数,能不能断定它在上是减函数?如果在上是增函数,在上也是增函数,能不能断定它在上是增函数?【分析】根据反例可判断两个结论的正误.【详解】取,则在上是减函数,在上也是减函数,但,,因此不能断定在上是减函数.若取,则在上是增函数,在上也是增函数,但,,因此不能断定在上是增函数.16.(2022·全国·高一专题练习)已知函数的定义域为.(1)求的定义域;(2)对于(1)中的集合,若,使得成立,求实数的取值范围.【答案】(1)(2)【分析】(1)的定义域可以求出,即的定义域;(2)令,若,使得成立,即可转化为成立,求出即可.(1)∵的定义域为,∴.∴,则.(2)令,,使得成立,即大于在上的最小值.∵,∴在上的最小值为,∴实数的取值范围是.【能力提升】一、单选题1.(2022·全国·高一课时练习)已知函数的定义域为R,满足,且当时,恒成立,设,,(其中),则a,b,c的大小关系为()A. B.C. D.【答案】B【分析】根据函数单调性的定义判断出在上单调递减,再利用把转化为,最后利用的单调性判断即可.【详解】因为,所以,因此,即,所以在上单调递减,又因为,所以,又因为,所以,所以.故选:B.2.(2021·江苏·盐城市大丰区新丰中学高一期中)函数的大致图象是()A. B.C. D.【答案】A【分析】探讨函数的定义域、单调性,再逐一分析各选项判断作答.【详解】函数的定义域为,选项C,D不满足,因,则函数在,上都单调递增,B不满足,则A满足.故选:A【点睛】方法点睛:函数图象的识别途径:(1)由函数的定义域,判断图象的左右位置,由函数的值域,判断图象的上下位置;(2)由函数的单调性,判断图象的变化趋势;(3)由函数的奇偶性,判断图象的对称性.3.(2022·全国·高一课时练习)设函数的定义域为,满足,且当时,.若对任意,都有,则的取值范围是()A. B. C. D.【答案】B【分析】根据函数关系式可知,由此可确定在上的解析式,并确定每段区间上的最小值;由时,可确定在此区间内的两根,结合函数图象可确定的范围.【详解】由知:,;当时,,则;当时,,,则;当时,,,则;令,解得:或;作出函数的大致图象如图所示.对任意恒成立,,则,即实数的取值范围为.故选:B.二、多选题4.(2021·安徽·高一期中)下列命题正确的是()A.的定义城为,则的定义域为B.函数的值域为C.函数的值域为D.函数的单调增区间为【答案】AB【分析】根据抽象函数的定义域求法,可判断A;利用换元法求得函数值域,可判断B;利用基本不等式可判断C;单调区间之间不能用并集符号,可判断D.【详解】对于A选项,由于函数的定义域为,对于函数,,解得,所以函数的定义域为,A选项正确;对于B选项,令,则,,且时,取得等号,所以函数的值域为,B选项正确;对于C选项,,当且仅当时,即等号取得,但等号取不到,所以C选项错误;对于D选项,,所以函数的单调增区间为和,单调区间之间不能用并集符号,D选项错误,故选:AB.5.(2021·辽宁实验中学高一期中)下列命题,其中正确的命题是()A.函数在上是增函数B.函数在上是减函数C.函数的单调区间是D.已知在上是增函数,若,则有【答案】AD【分析】根据函数单调性的定义和复合函数单调性法则依次讨论各选项即可得答案.【详解】对于A选项,函数的对称轴为,开口向上,所以函数在上单调递增,故A正确;对于B选项,因为当时,,当时,,所以函数在上不是减函数,故B错误;对于C选项,解不等式得,函数的定义域为,故C错误;对于D选项,由得,由于在上是增函数,故,所以,故D正确.故选:AD6.(2022·全国·高一课时练习)已知函数的定义域是,且,当时,,,则下列说法正确的是()A.B.函数在上是减函数C.D.不等式的解集为【答案】ABD【分析】利用赋值法求得,判断A;根据函数的单调性定义结合抽象函数的性质,可判断函数的单调性,判断B;利用,可求得C中式子的值,判断C;求出,将转化为,即可解不等式组求出其解集,判断D.【详解】对于A,令,得,所以,故A正确;对于B,令,得,所以,任取,且,则,因为,所以,所以,所以在上是减函数,故B正确;对于C,,故C错误;对于D,因为,且,所以,所以,所以等价于,又在上是减函数,且,所以,解得,故D正确,故选:ABD.7.(2022·广东深圳·高一期末)(多选)世界公认的三大著名数学家为阿基米德、牛顿、高斯,其中享有“数学王子”美誉的高斯提出了取整函数,表示不超过x的最大整数,例如.已知,,则函数的值可能为()A.0B.1C.2D.3【答案】BCD【分析】利用常数分离法知,根据x的取值范围结合不等式的性质求出的取值范围,进而得到函数的值.【详解】,当时,,,,此时的取值为1;当时,,,,此时的取值为2,3.综上,函数的值可能为.故选:BCD.三、填空题8.(2022·全国·高一专题练习)点、均在抛物线(,a、b为常数)上,若,则t的取值范围为________.【答案】【分析】根据,可知抛物线开口向下,根据抛物线解析式可知抛物线的对称轴为,当P、Q 两点关于抛物线对称轴对称时,可求出,根据根据,,即可求出t的取值范围.【详解】根据,可知抛物线开口向下,根据抛物线解析式可知抛物线的对称轴为,则有时,y随x的增大而增大;当P、Q两点关于抛物线对称轴对称时,则有,解得,∵,,又∵时,y随x的增大而增大;∴可知当P、Q在对称轴的左侧是肯定满足要求,P、Q均在对称轴的右侧时肯定不满足要求,当P、Q分别在对称轴x=1的两侧时,随着P、Q向x轴正向移动,P的纵坐标在逐渐增大,Q的纵坐标逐渐减小,当P、Q两点关于抛物线对称轴对称时有,继续正方向移动,则有,∴满足的t的取值范围:,故答案为:.四、解答题9.(2022·全国·高一课时练习)已知函数,判断并证明在区间上的单调性.【答案】单调递增,证明见解析【分析】利用单调性的定义证明,先任取,,且,然后作差,变形,判断符号,即可得结论. 【详解】在区间上单调递增,理由如下:任取,,且,.因为,所以,,,所以所以,所以,即,所以函数在区间上单调递增.10.(2022·全国·高一课时练习)已知函数的定义域为,对任意正实数、都有,且当时,.求证:函数是上的增函数.【分析】任取、,且,可得出,结合已知条件可出、的大小关系,即可证得结论成立.【详解】证明:任取、,且,则.因为,所以,所以,即,所以函数是上的增函数.11.(2022·全国·高一课时练习)画出下列函数的图象,并写出单调区间:(1);(2).【答案】(1)图象见解析;单调递增区间为和,无单调递减区间(2)图象见解析;单调递增区间为,单调递减区间为和【分析】(1)根据函数的解析式可作出其图象,即可得单调区间;(2)化简函数的解析式为,结合二次函数性质可作出其图象,即可得单调区间.(1)画出的图象如图所示,可得其单调递增区间为和,无单调递减区间.(2),作出该函数的图象如图所示,观察图象,知该函数的单调递增区间为,单调递减区间为和.12.(2020·陕西·榆林市第十中学高一阶段练习)已知函数.(1)求证:在上是增函数;(2)当时,求不等式的解集.【答案】(1)证明见解析;(2)【分析】(1)利用函数单调性的定义与作差法即可证明;(2)将代入,然后求解不等式即可(1)任取,且,则,所以,所以,所以在区间上单调递增;(2)当时,,由可得,解得,故不等式的解集为13.(2021·广东广雅中学花都校区高一期中)设函数.(1)当时,求函数的单调递减区间;(2)若函数在R上单调递增,求a的取值范围;(3)若对,不等式恒成立,求a的取值范围.【答案】(1);(2);(3).【解析】(1)去掉绝对值符号后根据一次函数、二次函数的单调性可得所求的单调减区间. (2)去掉绝对值符号可得,根据函数在R上单调递增可得关于的不等式组,从而可得其取值范围.(3)等价于且恒成立,前者可分类讨论,后者可结合一次函数的图象和性质,两者结合可得a的取值范围.【详解】(1)时,,故在上为增函数,在上为减函数,在为增函数,故函数的单调递减区间为.(2)因为函数在R上单调递增,故,解得.(3)等价于且恒成立,先考虑恒成立,则,故.再考虑恒成立,又,故,故,解得,综上,的取值范围为.【点睛】方法点睛:对于含绝对值符号的函数,可先去掉绝对值符号,从而把问题题转化为常见的一次函数、二次函数在给定范围上的恒成立问题,注意先讨论简单的一次函数的性质,从而参数的初步范围后再讨论二次函数的性质.14.(2021·重庆市清华中学校高一阶段练习)对于定义域为的函数,如果存在区间,同时满足下列两个条件:①在区间上是单调的;②当定义域是时,的值域也是.则称是函数的一个“黄金区间”.(1)请证明:函数不存在“黄金区间”.(2)已知函数在上存在“黄金区间”,请求出它的“黄金区间”.(3)如果是函数的一个“黄金区间”,请求出的最大值.【答案】(1)证明见解析;(2);(3).【分析】(1)由为上的增函数和方程的解的情况可得证;(2)由可得出,再由二次函数的对称轴和方程,可求出函数的“黄金区间”;(3)化简得函数的单调性,由已知是方程的两个同号的实数根,再由根的判别式和根与系数的关系可表示,由或,可得的最大值.【详解】解:(1)证明:由为上的增函数,则有,∴,无解,∴不存在“黄金区间”;(2)记是函数的一个“黄金区间”,由及此时函数值域为,可知而其对称轴为,∴在上必为增函数,令,∴,∴故该函数有唯一一个“黄金区间”;(3)由在和上均为增函数,已知在“黄金区间”上单调,所以或,且在上为单调递增,则同理可得,,即是方程的两个同号的实数根,等价于方程有两个同号的实数根,又,则只要,∴或,而由韦达定理知,,所以,其中或,所以当时,取得最大值.【点睛】关键点点睛:本题考查函数的新定义,对于解决此类问题的关键在于紧扣函数的新定义,注意将值域问题转化为方程的根的情况得以解决.15.(2022·广东·普宁市第二中学高一期中)已知函数,,. 若不等式的解集为(1)求的值及;(2)判断函数在区间上的单调性,并利用定义证明你的结论.(3)已知且,若.试证:.【答案】(1);(2)函数在区间上的单调递增,证明见解析(3)见解析【分析】(1)根据二次不等式的解集可以得到二次函数的零点,回代即可求出参数的值(2)定义法证明单调性,假设,若,则单调递增,若,则单调递减(3)单调性的逆应用,可以通过证明函数值的大小,反推变量的大小,难度较大(1),即,因为不等式解集为,所以,解得:,所以(2)函数在区间上的单调递增,证明如下:假设,则因为,所以,所以,即当时,,所以函数在区间上的单调递增(3)由(2)可得:函数在区间上的单调递增,在区间上的单调递减,因为,且,,所以,,证明,即证明,即证明,因为,所以即证明,代入解析式得:,即,令,因为在区间上的单调递增,根据复合函数同增异减的性质可知,在区间上的单调递减,所以单调递增,即,所以在区间上恒成立,即,得证:【点睛】小问1求解析式,较易;小问2考察定义法证明单调性,按照常规方法求解即可;小问3难度较大,解题过程中应用到以下知识点:(1)可以通过证明函数值的大小,结合函数的单调性,反推出变量的大小,即若,且单减,则;解题过程(2)单调性的性质,复合函数同增异减以及增函数减去减函数为增函数16.(2021·江苏·高一单元测试)已知函数,(1)对任意的,函数在区间上的最大值为,试求实数的取值范围;(2)对任意的,若不等式任意()恒成立,求实数的取值范围.【答案】(1)(2)【分析】(1)由已知可得,结合对勾函数的单调性与最值情况求参数范围;(2)由题意不等式可转化为函数在上单调递增,结合分段函数的单调性,分情况讨论. (1)由,由对勾函数的性质得函数在上单调递减,在上单调递增,所以,又,所以,又函数在区间上的最大值为,所以,即,解得,所以;(2)不等式任意()恒成立,即,设,在上单调递增,即在上单调递增,当时,,①当时,单调递增,成立;②当时,单调递增,成立,③当时,只需,即,当时,,①当时,在上递减,所以不成立;②当时,在上递减,所以不成立;③当时,只需,即,综上所述,.17.(2021·全国·高一专题练习)已知函数对一切实数都有成立,且(1)求的解析式;(2),若存在,使得,有成立,求的取值范围.【答案】(1)(2)【分析】(1)赋值法,令y=1,求出,进而求出;(2)根据题干中的条件,只需,先求出函数的最大值,然后利用二次函数的性质求最值,进而求出a的取值范围.(1)∵函数对一切实数都有成立,且,令y=1,则,(2)由题意,有,则,对于g(x),当x=0时,g(0)=0,当时,,设,则在(0,1)单调递减,在单调递增,在x=1处取到最小值,所以,所以,综上,,当且仅当x=1时取到,所以;设,则h(x)为开口向上的二次函数,其对称轴为x=a,下面通过对称轴的位置对h(x)的最值情况进行分类讨论:当时,对称轴距离区间右侧x=2更远,故,∴,即;2)当时,对称轴距离区间左侧x=-1更远,故,∴,即;综上,.。
函数的基本性质1.奇偶性(1)定义:如果对于函数 f(x)定义域内的任意x 都有 f(- x)=- f(x),则称 f(x)为奇函数;如果对于函数 f(x) 定义域内的任意 x 都有 f(- x)=f(x),则称 f(x)为偶函数。
如果函数 f(x) 不具有上述性质,则 f(x)不具有奇偶性 .如果函数同时具有上述两条性质,则f(x)既是奇函数,又是偶函数。
注意:1○ 函数是奇函数或是偶函数称为函数的奇偶性,函数的奇偶性是函数的整体性质;2x,则- x 也○ 由函数的奇偶性定义可知,函数具有奇偶性的一个必要条件是,对于定义域内的任意一个一定是定义域内的一个自变量(即定义域关于原点对称)。
(2)利用定义判断函数奇偶性的格式步骤:○1首先确定函数的定义域,并判断其定义域是否关于原点对称;○2确定 f(- x)与 f( x)的关系;○3作出相应结论:若f(- x) = f(x) 或 f(- x)-f(x) = 0 ,则 f(x)是偶函数;若f(- x) =- f(x) 或 f(- x)+ f(x) = 0 ,则 f(x)是奇函数。
(3)简单性质:①图象的对称性质:一个函数是奇函数的充要条件是它的图象关于原点对称;一个函数是偶函数的充要条件是它的图象关于 y 轴对称;②设 f (x) , g( x) 的定义域分别是D1, D2,那么在它们的公共定义域上:奇 +奇 =奇,奇奇=偶,偶+偶=偶,偶偶=偶2.单调性( 1)定义:一般地,设函数 y=f(x) 的定义域为 I,如果对于定义域 I 内的某个区间 D 内的任意两个自变量x1,x2,当 x1<x2时,都有 f(x1 )<f(x2)( f(x1)> f(x2)),那么就说 f(x)在区间 D 上是增函数(减函数);注意:○ 函数的单调性是在定义域内的某个区间上的性质,是函数的局部性质;1○ 必须是对于区间 D 内的任意两个自变量x1, x2;当 x1<x2时,总有 f(x1)< f(x2)2( 2)如果函数 y=f(x)在某个区间上是增函数或是减函数,那么就说函数y=f(x)在这一区间具有(严格的)单调性,区间 D 叫做 y=f(x)的单调区间。
2014-2015学年高中必修一函数基本性质周末小练习一1.在区间(0,+∞)上不是增函数的函数是( )A .y =2x +1B .y =3x 2+1C .y =x2 D .y =2x 2+x +12.函数()214,y x x x x Z =--≤≤∈的值域为( )A .[]0,12B .1124⎡⎤-⎢⎥⎣⎦,C .{}0,2,6,12D .{}2,6,123.已知22(1)()(12)2(2)x x f x x x x x +≤-⎧⎪=-<<⎨⎪≥⎩,若()3f x =,则x 的值是( )A .1B .1或32C .1,32或3± D .3 4.设⎩⎨⎧<+≥-=)10()],6([)10(,2)(x x f f x x x f 则)5(f 的值为( )A .10B .11C .12D .135.集合{}22M x x =-≤≤,{}02N y y =≤≤,给出下列四个图形,其中能表示以M 为定义域,N 为值域的函数关系的是( ).6.下列四个图象中,不是函数图象的是( ).7.已知函数f (x )=8+2x -x 2,如果g (x )=f ( 2-x 2 ),那么函数g (x )( )A .在区间(-1,0)上是减函数B .在区间(0,1)上是减函数C .在区间(-2,0)上是增函数D .在区间(0,2)上是增函数 8.函数x xx y +=的图象是( )x y 0-2 2x y 0 -2 22 xy 0 -2 22 xy 0 -2 2 2x O y xy y yO O OA. B. C. D.9.函数222(03)()6(20)x x x f x x x x ⎧-≤≤⎪=⎨+-≤≤⎪⎩的值域是( )A .RB .[)9,-+∞C .[]8,1-D .[]9,1-10.函数)23(,32)(-≠+=x x cx x f 满足,)]([x x f f =则常数c 等于( ) A .3 B .3- C .33-或 D .35-或11.设函数.)().0(1),0(121)(a a f x xx x x f >⎪⎪⎩⎪⎪⎨⎧<≥-=若则实数a 的取值范围是 。
(数学1必修)第一章(下) 函数的基本性质[提高训练C 组]一、选择题1. 已知函数()()0f x x a x a a =+--≠,()()()2200x x x h x x x x ⎧-+>⎪=⎨+≤⎪⎩,则()(),f x h x 的奇偶性依次为( )A . 偶函数,奇函数B . 奇函数,偶函数C . 偶函数,偶函数D . 奇函数,奇函数2. 若)(x f 是偶函数,其定义域为()+∞∞-,,且在[)+∞,0上是减函数,则)252()23(2++-a a f f 与的大小关系是( ) A . )23(-f >)252(2++a a f B . )23(-f <)252(2++a a f C . )23(-f ≥)252(2++a a f D . )23(-f ≤)252(2++a a f 3. 已知5)2(22+-+=x a x y 在区间(4,)+∞上是增函数,则a 的范围是( )A . 2a ≤-B . 2a ≥-C . 6-≥aD . 6-≤a4. 设()f x 是奇函数,且在(0,)+∞内是增函数,又(3)0f -=,则()0x f x ⋅<的解集是( )A . {}|303x x x -<<>或B . {}|303x x x <-<<或C . {}|33x x x <->或D . {}|3003x x x -<<<<或5. 已知3()4f x ax bx =+-其中,a b 为常数,若(2)2f -=,则(2)f 的值等于( )A . 2-B . 4-C . 6-D . 10-6. 函数33()11f x x x =++-,则下列坐标表示的点一定在函数f (x )图象上的是( )A . (,())a f a --B . (,())a f a -C . (,())a f a -D . (,())a f a --- 二、填空题1. 设()f x 是R 上的奇函数,且当[)0,x ∈+∞时,()(1f x x =+,则当(,0)x ∈-∞时()f x =_____________________.2. 若函数()2f x a x b =-+在[)0,x ∈+∞上为增函数,则实数,a b 的取值范围是 .3. 已知221)(xx x f +=,那么)41()4()31()3()21()2()1(f f f f f f f ++++++=_____. 4. 若1()2ax f x x +=+在区间(2,)-+∞上是增函数,则a 的取值范围是 . 5. 函数4()([3,6])2f x x x =∈-的值域为____________. 三、解答题1. 已知函数()f x 的定义域是),0(+∞,且满足()()()f xy f x f y =+,1()12f =,如果对于0x y <<,都有()()f x f y >,(1)求(1)f ;(2)解不等式2)3()(-≥-+-x f x f .2. 当]1,0[∈x 时,求函数223)62()(a x a x x f +-+=的最小值.3. 已知22()444f x x ax a a =-+--在区间[]0,1内有一最大值5-,求a 的值.4. 已知函数223)(x ax x f -=的最大值不大于61,又当111[,],()428x f x ∈≥时,求a 的值.(数学1必修)第一章(下) [提高训练C 组]参考答案一、选择题1. D ()()f x x a x a x a x a f x -=-+---=--+=-, 画出()h x 的图象可观察到它关于原点对称或当0x >时,0x -<,则22()()();h x x x x x h x -=-=--+=-当0x ≤时,0x -≥,则22()()();h x x x x x h x -=--=-+=- ()()h x h x ∴-=-2. C 225332(1)222a a a ++=++≥,2335()()(2)222f f f a a -=≥++ 3. B 对称轴2,24,2x a a a =--≤≥-4. D 由()0x f x ⋅<得0()0x f x <⎧⎨>⎩或0()0x f x >⎧⎨<⎩而(3)0,(3)0f f -== 即0()(3)x f x f <⎧⎨>-⎩或0()(3)x f x f >⎧⎨<⎩5. D 令3()()4F x f x ax bx =+=+,则3()F x ax bx =+为奇函数(2)(2)46,(2)(2)46,(2)10F f F f f -=-+==+=-=-6. B 3333()1111()f x x x x x f x -=-++--=-++=为偶函数 (,())a f a 一定在图象上,而()()f a f a =-,∴(,())a f a -一定在图象上二、填空题1. (1x 设0x <,则0x ->,()(1(1f x x x -=-+=--∵()()f x f x -=-∴()(1f x x -=--2. 0a >且0b ≤ 画出图象,考虑开口向上向下和左右平移3. 72 221)(xx x f +=,2111(),()()11f f x f x x x =+=+1111(1),(2)()1,(3)()1,(4)()12234f f f f f f f =+=+=+= 4. 1(,)2+∞ 设122,x x >>-则12()()f x f x >,而12()()f x f x - 121221121212121122()(21)022(2)(2)(2)(2)ax ax ax x ax x x x a x x x x x x +++----=-==>++++++,则210a -> 5. []1,4 区间[3,6]是函数4()2f x x =-的递减区间,把3,6分别代入得最大、小值三、解答题 1. 解:(1)令1x y ==,则(1)(1)(1),(1)0f f f f =+=(2)1()(3)2()2f x f x f -+-≥- 11()()(3)()0(1)22f x f f x f f -++-+≥= 3()()(1)22x x f f f --+≥,3()(1)22x x f f --⋅≥ 则0230,1023122x x x x x ⎧->⎪⎪-⎪>-≤<⎨⎪-⎪-⋅≤⎪⎩.2. 解:对称轴31,x a =-当310a -<,即13a <时,[]0,1是()f x 的递增区间,2min ()(0)3f x f a ==; 当311a ->,即23a >时,[]0,1是()f x 的递减区间,2min ()(1)363f x f a a ==-+; 当0311a ≤-≤,即1233a ≤≤时,2min ()(31)661f x f a a a =-=-+-. 3. 解:对称轴2a x =,当0,2a <即0a <时,[]0,1是()f x 的递减区间, 则2max ()(0)45f x f a a ==--=-,得1a =或5a =-,而0a <,即5a =-; 当1,2a >即2a >时,[]0,1是()f x 的递增区间,则2max ()(1)45f x f a ==--=-, 得1a =或1a =-,而2a >,即a 不存在;当01,2a ≤≤即02a ≤≤时, 则max 5()()45,24a f x f a a ==-=-=,即54a =;∴5a =-或 54.4. 解:2223111()(),(),1123666a f x x a f x a a =--+=≤-≤≤得, 对称轴3a x =,当314a -≤<时,11,42⎡⎤⎢⎥⎣⎦是()f x 的递减区间,而1()8f x ≥, 即min 131()(),12288a f x f a ==-≥≥与314a -≤<矛盾,即不存在; 当314a ≤≤时,对称轴3a x =,而11433a ≤≤,且111342328+<= 即min 131()(),12288a f x f a ==-≥≥,而314a ≤≤,即1a = ∴1a =。
11.已知R 是实数集,21xx ⎧⎫M =<⎨⎬⎩⎭,{y y N ==,则RN M =( )A .()1,2B .[]0,2C .∅D .[]1,22已知集合A={x |01<--ax ax },且A 3A 2∉∈,,则实数a 的取值范围是 ____3.函数f (x )=x 2﹣4x ﹣6的定义域为[0,m],值域为[﹣10,﹣6],则m 的取值范围是( )A .[0,4]B .[2,4]C .[2,6]D .[4,6] 4.设函数g(x)=x 2-2(x ∈R),f(x)=则f(x)的值域是( )A. ∪(1,+∞)B. [0,+∞)C.D. ∪(2,+∞)5.定义在),0(+∞上的函数满足对任意的))(,0(,2121x x x x ≠+∞∈,有.则满足<的x 取值范围是( )6.已知上恒成立,则实数a 的取值范围是( ) A. B.C.D.7.函数在(-1,+∞)上单调递增,则的取值范围是A .B .C .D .8.已知函数f (x )={2x 1x 01x 0+≥,,则满足不等式f (1-x 2)>f (2x )的x 的取值范围是________. 9.若函数y =2ax 1zx 2ax 3++的定义域为R ,则实数a 的取值范围是________. 10.已知函数f (x )=x 2-6x +8,x ∈[1,a],并且f (x )的最小值为f (a ),则实数a 的取值区间是________.11.二次函数2(0)y ax bx c a =++≠的图象如图所示,对称轴为1x =,给出下列结论:①0abc >;②24b ac =;③420a b c ++>;④30a c +>,其中正确的结论是 .(写出正确命题的序号)()f x 2121()(()())0x x f x f x -->(21)f x -1()3f 25---=a x x y a 3-=a 3<a 3-≥a 3-≤a12.已知1x f x x ⎛⎫=⎪+⎝⎭,则(1)f -= . 13.已知()221f x ax ax =++在[]2,3-上的最大值为6,则()f x 的最小值为_________.14已知[]1,0∈x ,则函数x x y --=12的值域是____15.已知2()f x ax bx =+是定义在[1,3]a a -上的偶函数,那么a b +=( )16.已知函数222f xmx m mx 为偶函数,求实数m 的值= .17.若函数f (x )=(2k -3)x 2+(k -2)x +3是偶函数,则f (x )的递增区间是____________. 18.定义在R 上的奇函数()f x ,当0x >时,()22xf x x =-,则()(0)1f f +-= .19. 函数()f x 是R 上的偶函数,且在[0,)+∞上单调递增,则下列各式成立的是( ) A .)1()0()2(f f f >>- B .)0()1()2(f f f >->- C .)2()0()1(->>f f f D .)0()2()1(f f f >->20.已知函数()f x 是定义在区间[-2,2]上的偶函数,当[0,2]x ∈时,()f x 是减函数,如果不等式(1)()f m f m -<成立,则实数m 的取值范围( ) A.1[1,)2- B. 1,2 C. (,0)-∞ D.(,1)-∞21.(5分)(2011•湖北)若定义在R 上的偶函数f (x )和奇函数g (x )满足f (x )+g(x )=e x,则g (x )=( )A.e x﹣e ﹣xB.(e x+e ﹣x) C.(e ﹣x﹣e x) D.(e x﹣e ﹣x)22.已知函数1()f x x x=-. (1)判断函数()f x 的奇偶性,并加以证明;(2)用定义证明函数()f x 在区间[1,+∞)上为增函数; (3)若函数()f x 在区间[2,]a 上的最大值与最小值之和不小于1122a a-,求a 的取值范围.123.已知c bx x x f ++=22)(,不等式0)(<x f 的解集是)5,0(, (1)求)(x f 的解析式;(2)若对于任意]1,1[-∈x ,不等式2)(≤+t x f 恒成立,求t 的取值范围.24.已知函数()x f 为定义域为R ,对任意实数y x ,,均有)()()(y f x f y x f +=+,且0>x 时,0)(>x f(1)证明)(x f 在R 上是增函数(2)判断)(x f 奇偶性,并证明(3)若2)1(-=-f 求不等式4)4(2<-+a a f 的解集25.函数2()21f x x ax =-+在闭区间[]1,1-上的最小值记为()g a .(1)求()g a 的解析式; (2)求()g a 的最大值.26.已知函数22()1x f x ax x =++为偶函数. (1)求a 的值;1(2)用定义法证明函数()f x 在区间[0,)+∞上是增函数; (3)解关于x 的不等式(21)(1)f x f x -<+.参考答案1.D 【解析】试题分析:因0|{<=x x M 或}1|{},2≥=>x x N x ,故}20|{≤≤=x x M C R ,}21|{≤≤=x x M C N R ,故应选D.考点:集合的交集补集运算. 2.B 【解析】试题分析:函数()f x 是R 上的偶函数,所以()()22f f -=, ()()11f f -=,因为函数()f x 是[)0,+∞上增函数,则()()()210f f f >>,即()()()210f f f ->->.故B 正确. 考点:1函数的奇偶性;2函数的单调性. 3.A 【解析】试题分析:根据题意知,函数在[)0,2-上单调递增,在[]2,0上单调递减.首先满足⎩⎨⎧≤≤-≤-≤-22212m m ,可得21≤≤-m .根据函数是偶函数可知:)()(m f m f -=,所以分两种情况:当20≤≤m 时,根据不等式(1)()f m f m -<成立,有12-21m m m m <-≤≤-<-或,解得102m ≤<;当20m -≤<时,根据不等式(1)()f m f m -<成立,有12 -21m m m m -<-≤≤-<或,解得10m -≤<;综上可得112m -≤<. 考点:偶函数性质. 4.D 【解析】试题分析:根据已知中定义在R 上的偶函数f (x )和奇函数g (x )满足f (x )+g (x )=e x,根据奇函数和偶函数的性质,我们易得到关于f (x )、g (x )的另一个方程:f (﹣x )+g (﹣x )=e ﹣x,解方程组即可得到g (x )的解析式. 解:∵f (x )为定义在R 上的偶函数 ∴f (﹣x )=f (x )又∵g (x )为定义在R 上的奇函数1g (﹣x )=﹣g (x ) 由f (x )+g (x )=e x,∴f (﹣x )+g (﹣x )=f (x )﹣g (x )=e ﹣x, ∴g (x )=(e x﹣e ﹣x) 故选D点评:本题考查的知识点是函数解析式的求法﹣﹣方程组法,及函数奇偶性的性质,其中根据函数奇偶性的定义构造出关于关于f (x )、g (x )的另一个方程:f (﹣x )+g (﹣x )=e ﹣x,是解答本题的关键. 5.B【解析】函数f (x )=x 2﹣4x ﹣6的图象是开口朝上,且以直线x=2为对称轴的抛物线 故f (0)=f (4)=﹣6,f (2)=﹣10∵函数f (x )=x 2﹣4x ﹣6的定义域为[0,m],值域为[﹣10,﹣6], 故2≤m≤4即m 的取值范围是[2,4] 故选B 6.B 【解析】试题分析:由题意,如下图:设1122(,),(,)A x yB x y ,联立21y x b y x =+⎧⎪⎨=⎪⎩得2210x bx +-=,则221212||(1)[()4]AB k x x x x =++- 25(8)b +=,O点到直线AB 的距离5d =,∴225(8)1||8()25b b b S f b ++==⋅⋅=. ∵()()f b f b -=,∴()f b 为偶函数.当0x >时,28()4b b f b ⋅+=,易知()f b 单调递增.故选B.考点:1.函数奇偶性;2.三角形面积应用. 7.A 【解析】 试题分析:因为2121()(()())0x x f x f x -->,所以函数()f x 在),0(+∞上单调增. 由(21)f x -<1()3f 得:.3221,31120<<<-<x x考点:利用函数单调性解不等式 8.C 【解析】,,所以,所以,选C.9.D【解析】令x<g(x),即x 2-x -2>0, 解得x<-1或x>2.令x ≥g(x),即x 2-x -2≤0,解得-1≤x ≤2. 故函数f(x)=当x <-1或x >2时,函数f(x)>f(-1)=2; 当-1≤x ≤2时,函数≤f(x )≤f(-1),即≤f(x )≤0.1故函数f(x)的值域是∪(2,+∞).选D.10.B 【解析】 作出函数在区间上的图象,以及的图象,由图象可知当直线在阴影部分区域时,条件恒成立,如图,点,,所以,即实数a 的取值范围是,选B.11.B 【解析】试题分析:由2()f x ax bx =+是定义在[1,3]a a -上的偶函数,得a a 31-=-,解得:41=a .再由()()x f x f =-,得()bx ax bx x a +=--22,即0=bx ,∴0=b .则41041=+=+b a .故选:B .考点:函数的奇偶性. 12.D 【解析】试题分析:由于函数52x y x a -=--在()1,-+∞上单调递增,可得当1x >-时,()()()()22253'022x a x a y x a x a -----==≥----,可得3021a a -≥⎧⎨+≤-⎩,解得3a ≤-,故选D. 考点:1、反比例函数的图象与性质;2、利用导数研究函数的单调性. 13.()12,1-- 【解析】试题分析:由题意可得()x f 在[)+∞,0上是增函数,而0<x 时,()1=x f ,故满足不等式()()x f x f 212>-的x 需满足⎪⎩⎪⎨⎧>->-012122x xx ,即⎩⎨⎧<<-+-<<--112121x x ,解得()12,1--∈x ,故答案为()12,1--.考点:不等式的解法.【方法点睛】本题考查分段函数的单调性,利用单调性解不等式,考查利用所学知识分析问题解决问题的能力,属于基础题.由题意可得 ()x f 在[)+∞,0上是增函数,而0<x 时,()1=x f ,故21x -必需在0=x 的右侧,故满足不等式()()x f x f 212>-的x 需满足⎪⎩⎪⎨⎧>->-012122x xx ,由此解出x 即可,借助于分段函数的图象会变的更加直观. 14.[)3,0 【解析】试题分析:因为函数3212+++=ax ax ax y 的定义域为R ,所以0322≠++ax ax 恒成立.若0=a ,则不等式等价为03≠,所以此时成立.若0≠a ,要使0322≠++ax ax 恒成立,则有0<∆,即03442<⨯-=∆a a ,解得30<<a .综上30<≤a ,即实数a 的取值范围是[)3,0.故答案为:[)3,0.考点:函数的定义域及其求法. 15.0或2- 【解析】试题分析:当0=m 时,()2=x f 为偶函数,满足题意;当0≠m 时,由于函数()()222+++=mx m mx x f 为偶函数,故对称轴为022=+-=mm x ,即2-=m ,故答案为0或2-.考点:函数的奇偶性.【方法点晴】本题考查函数奇偶性的应用.若已知一个函数为偶函数,则应有其定义域关于原点对称,且对定义域内的一切x 都有()()x f x f =-成立.其图象关于轴对称.()()222+++=mx m mx x f 是偶函数,对于二次项系数中含有参数的一元二次函数一定要分为二次项系数为0和二次项系数不为0两种情况,图象关于y 轴对称⇒对称轴为y 轴⇒实数m 的值.16.(]31,【解析】试题分析:函数()()[]a x x x x x f ,1,138622∈--=+-=,并且函数()x f 的最小值为()a f ,又∵函数()x f 在区间(]31,上单调递减,∴31≤<a ,故答案为:(]31,.考点:(1)二次函数的性质;(2)函数的最值及其几何意义. 17.①④ 【解析】试题分析:由图象知0a >,0c <,=12ba-,即20a b +=,所以0b <,所以0abc >,故①正确;因为二次函数图象与x 轴有两个交点,所以240b ac ∆=->,即24b ac >,故②错;因为原点O 与对称轴的对应点为(20),,所以2x =时,0y <,即420a b c ++<,故③错;因为当1x =-时,0y >,所以0a b c -+>,把2b a =-代入得30a c +>,故④正确,故填①④.考点:二次函数图象与系数的关系.【技巧点睛】利用图象判断解析式中,,a b c 的正负及它们之间的关系:(1)开口方向判断a 的正负;(2) 与y 轴交点位置判断c 的正负;(3) 对称轴位置判断b 的正负 (左同右异);(4) 与x 轴交点个数判断24b ac -的正负;(5) 图象上特殊点的位置判断一些函数值正负;(6) 对称轴判断2a b +和2a b -的正负. 18.12-【解析】 试题分析:由1x f x x ⎛⎫=⎪+⎝⎭,可令;1,1x x =-+求解可得; 11.2x x x =--=-。
函数的基本性质
1.下列函数中,在区间()0,1上是增函数的是( )
A .x y =
B .x y -=3
C .x y 1=
D .42+-=x y 2.下列函数中,是偶函数的是( )
A .-y x =
B .x y -=3
C .x
y 1= D .y 11x x =--+ 3.若偶函数)(x f 在(]1,-∞-上是增函数,则下列关系式中成立的是( )
A .)2()1()23(f f f <-<-
B .)2()2
3
()1(f f f <-<-
C .)23()1()2(-<-<f f f
D .)1()2
3()2(-<-<f f f 4.如果奇函数)(x f 在区间[3,7] 上是增函数且最大值为5,
那么)(x f 在区间[]3,7--上是( )
A .增函数且最小值是5-
B .增函数且最大值是5-
C .减函数且最大值是5-
D .减函数且最小值是5- 5.设)(x f 是定义在R 上的一个函数,则函数)()()(x f x f x F --=
在R 上一定是( )
A .奇函数
B .偶函数
C .既是奇函数又是偶函数
D .非奇非偶函数。
6.已知函数)127()2()1()(22+-+-+-=m m x m x m x f 为偶函数,
则m 的值是( )
A . 1
B . 2
C . 3
D . 4
7.已知函数()()2212f x x a x =+-+在区间(]4,∞-上是减函数,
则实数a 的取值范围是( )
A .3a ≤-
B .3a ≥-
C .5a ≤
D .3a ≥
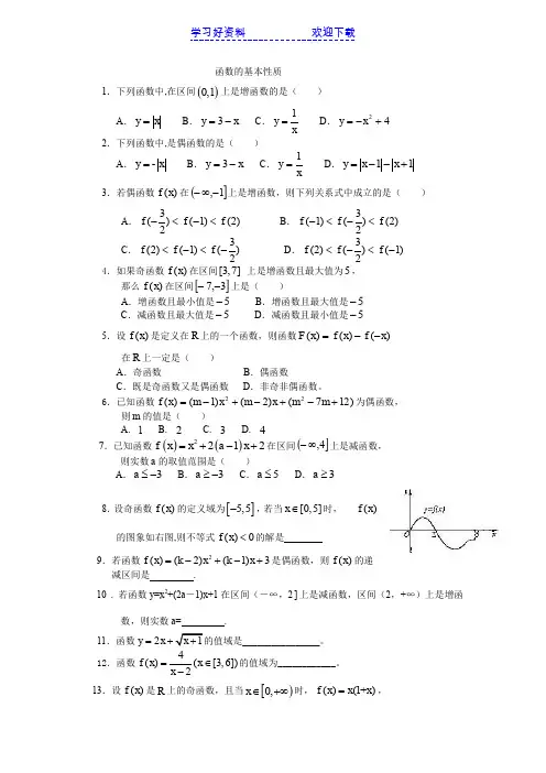
8.设奇函数)(x f 的定义域为[]5,5-,若当[0,5]x ∈时, )(x f
的图象如右图,则不等式()0f x <的解是
9.若函数2()(2)(1)3f x k x k x =-+-+是偶函数,则)(x f 的递
减区间是 .
10 . 若函数y=x 2+(2a -1)x+1在区间(-∞,2]上是减函数,区间(2,+∞)上是增函
数,则实数a= .
11.函数21y x x =++________________。
12.函数4()([3,6])2
f x x x =∈-的值域为____________。
13.设()f x 是R 上的奇函数,且当[)0,x ∈+∞时,()(1+)f x x x =,
求(-5)f =____________并求当(,0)x ∈-∞时函数的解析式()f x =__________
14.已知函数()1c f x x =
+,其中c 为常数,且函数()f x 的图像过点11,2⎛⎫ ⎪⎝⎭. (1)求c 的值;
(2)证明:函数()f x 在()1,-+∞上是单调递减函数.
15.已知函数[]2()22,5,5f x x ax x =++∈-.
① 当1a =-时,求函数的最大值和最小值;
② 求实数a 的取值范围,使()y f x =在区间[]5,5-上是单调函数。