二元一次方程组的计算练习题(二)
- 格式:doc
- 大小:323.50 KB
- 文档页数:10
二元一次方程组的练习题一、解下列方程组:1.```2x + y = 9x - 3y = 7```解:首先,我们可以使用消元法来解这个方程组。
将第二个方程的两倍加到第一个方程上,得到:```2(2x + y) = 2(9)2(2x) + 2(y) = 184x + 2y = 18```然后,将第二个方程的三倍加到第一个方程上,得到:```3(x - 3y) = 3(7)3x - 9y = 21现在,我们有以下两个方程:```4x + 2y = 183x - 9y = 21```接下来,我们可以将第一个方程的两倍减去第二个方程,得到:```2(4x + 2y) - (3x - 9y) = 2(18) - 218x + 4y - 3x + 9y = 36 - 215x + 13y = 15```现在我们有以下两个方程:```5x + 13y = 153x - 9y = 21```我们可以使用消元法继续解这个方程组。
将第一个方程的3倍加到第二个方程上,得到:3(5x + 13y) + (3x - 9y) = 3(15) + 2115x + 39y + 3x - 9y = 45 + 2118x + 30y = 66```现在我们有以下两个方程:```18x + 30y = 663x - 9y = 21```我们可以继续使用消元法解这个方程组。
将第一个方程除以6,得到:```(18x + 30y) / 6 = 66 / 63x + 5y = 11```现在我们有以下两个方程:```3x + 5y = 113x - 9y = 21```最后,我们将第一个方程减去第二个方程,得到:```(3x + 5y) - (3x - 9y) = 11 - 213x + 5y - 3x + 9y = -1014y = -10y = -10/14```将 y = -10/14 代入第一个方程,得到:```3x + 5(-10/14) = 113x - 50/14 = 113x = 11 + 50/143x = 154/14 + 50/143x = 204/14x = 68/14x = 34/7```所以,方程组的解为 x = 34/7,y = -10/14。
二元一次方程组练习题一.解答题(共16 小题)x 2 y 11.解下列方程组 3 2( 9)( 10) 2x 2 1 y ( 1)( 2) 3 12( 3)5x2 y11a(a为已知数 ) ( 4)4 x 4 y 6a2.求适合的x,y的值.(5)(6).3.已知关于x, y 的二元一次方程y=kx+b 的解有和.( 1)求 k, b 的值.( 2)当 x=2 时, y 的值.( 3)当 x 为何值时, y=3?( 7)x( y 1) y(1 x) 2 ( 8)1) y x 2 0x(x..1.解下列方程组(1)(2);(9)(10);(3);(4)2.在解方程组时,由于粗心,甲看错了方程组中的a,而得解为,乙看错(5).(6)了方程组中的b,而得解为.( 1)甲把 a 看成了什么,乙把 b 看成了什么?(2)求出原方程组的正确解.( 7)(8). .二元一次方程组解法练习题参精考选答案与试题解析故原方程组的解为.一.解答题(共 16 小题)( 2)①× 3﹣②×2得,﹣ 13y=﹣39,1.求适合的 x, y 的值.解得, y=3,把 y=3 代入①得,2x﹣3×3=﹣ 5,解得 x=2.考点:解二元一次方程组.故原方程组的解为.分析:先把两方程变形(去分母),得到一组新的方程,然后在用加减消元法消去未知数x,求出 y 的值,继而求出x 的值.( 3)原方程组可化为,解答:解:由题意得:,①+②得, 6x=36,x=6,①﹣②得, 8y=﹣ 4,由( 1)×2 得: 3x﹣ 2y=2( 3),由( 2)×3 得: 6x+y=3 ( 4),y=﹣.所以原方程组的解为.(3)×2得: 6x﹣ 4y=4( 5),(5)﹣( 4)得: y=﹣,( 4)原方程组可化为:,把 y 的值代入( 3)得: x= ,①× 2+②得, x= ,∴.把 x= 代入②得, 3×﹣ 4y=6 ,点评:本题考查了二元一次方程组的解法,主要运用了加减消元法和代入法.y=﹣.2.解下列方程组所以原方程组的解为.( 1)( 2)( 3)( 4).点评:利用消元法解方程组,要根据未知数的系数特点选择代入法还是加减法:①相同未知数的系数相同或互为相反数时,宜用加减法;考点:解二元一次方程组.②其中一个未知数的系数为 1 时,宜用代入法.分析:( 1)(2)用代入消元法或加减消元法均可;( 3)(4)应先去分母、去括号化简方程组,再进一步采用适宜的方法求解.解答:解:(1)①﹣②得,﹣ x=﹣ 2,3.解方程组:解得 x=2,把 x=2 代入①得, 2+y=1,解得 y=﹣ 1.考解二元一次方程组.. 点:专计算题.题:分先化简方程组,再进一步根据方程组的特点选用相应的方法:用加减法.析:解答:解:原方程组可化为,①× 4﹣②× 3,得7x=42,解得 x=6.把 x=6 代入①,得y=4.所以方程组的解为.点;评:二元一次方程组无论多复杂,解二元一次方程组的基本思想都是消元.消元的方法有代入法和加减法..考点:解二元一次方程组.专题:计算题;换元法.分析:本题用加减消元法即可或运用换元法求解.解答:解:,①﹣②,得s+t=4 ,①+②,得 s﹣t=6 ,即,解得.所以方程组的解为.点评:此题较简单,要熟练解方程组的基本方法:代入消元法和加减消元法.6.已知关于x, y 的二元一次方程y=kx+b 的解有和.4.解方程组:( 1)求 k, b 的值.( 2)当 x=2 时, y 的值.( 3)当 x 为何值时, y=3?考点:解二元一次方程组.专题:计算题.考点:解二元一次方程组.分析:把原方程组化简后,观察形式,选用合适的解法,此题用加减法求解比较简单.专题:计算题.解答:分析:的值代入方程得出关于k、 b 的二元一次方程组,再运用加减消元解:(1)原方程组化为,( 1)将两组 x, y法求出 k、 b 的值.①+②得: 6x=18,∴x=3.代入①得: y=.所以原方程组的解为.点评:要注意:两个二元一次方程中同一未知数的系数相反或相等时,把这两个方程的两边相加或相减,就能消去这个未知数,得到一个一元一次方程,这种方法叫做加减消元法.本题适合用此法.( 2)将( 1)中的 k、b 代入,再把x=2 代入化简即可得出y 的值.( 3)将( 1)中的 k、b 和 y=3 代入方程化简即可得出x 的值.解答:解:( 1)依题意得:①﹣②得: 2=4k,所以 k=,所以 b=.5.解方程组:( 2)由 y= x+,word 版本.把 x=2 代入,得 y= .(3)由 y= x+把 y=3 代入,得 x=1.点评:本题考查的是二元一次方程的代入消元法和加减消元法,通过已知条件的代入,可得出要求的数.7.解方程组:(1);(2).考点:解二元一次方程组.分析:根据各方程组的特点选用相应的方法:(1)先去分母再用加减法,( 2)先去括号,再转化为整式方程解答.解答:解:(1)原方程组可化为,①× 2﹣②得:y=﹣ 1,将 y=﹣ 1 代入①得:x=1.∴方程组的解为;( 2)原方程可化为,即,①× 2+②得:17x=51,x=3,将 x=3 代入 x﹣4y=3 中得:y=0.∴方程组的解为..点评:这类题目的解题关键是理解解方程组的基本思想是消元,掌握消元的方法有:加减消元法和代入消元法.根据未知数系数的特点,选择合适的方法.8.解方程组:考点:解二元一次方程组.专题:计算题.分析:本题应把方程组化简后,观察方程的形式,选用合适的方法求解.解答:解:原方程组可化为,①+②,得 10x=30,x=3,代入①,得15+3y=15,y=0.则原方程组的解为.点评:解答此题应根据各方程组的特点,有括号的去括号,有分母的去分母,然后再用代入法或加减消元法解方程组.9.解方程组:考点:解二元一次方程组.专题:计算题.分析:本题为了计算方便,可先把(2)去分母,然后运用加减消元法解本题.解答:解:原方程变形为:,两个方程相加,得4x=12,x=3.把 x=3 代入第一个方程,得4y=11,y=...化和运用.解之得.11.解方程组:点评:本题考查的是二元一次方程组的解法,方程中含有分母的要先化去分母,再对方程进行化简、消元,即可解出此类题目.10.解下列方程组:(1)(2)考点:解二元一次方程组.专题:计算题.分析:此题根据观察可知:( 1)运用代入法,把①代入②,可得出x, y 的值;( 2)先将方程组化为整系数方程组,再利用加减消元法求解.解答:解:(1),由①,得x=4+y③,代入②,得4(4+y) +2y=﹣ 1,所以 y=﹣,把 y=﹣代入③,得 x=4﹣ = .所以原方程组的解为.(1)(2)考点:解二元一次方程组.专题:计算题;换元法.分析:方程组( 1)需要先化简,再根据方程组的特点选择解法;方程组( 2)采用换元法较简单,设x+y=a, x﹣ y=b,然后解新方程组即可求解.解答:解:(1)原方程组可化简为,解得.(2)设 x+y=a, x﹣ y=b,∴原方程组可化为,解得,∴∴原方程组的解为.( 2)原方程组整理为,点评:此题考查了学生的计算能力,解题时要细心.③× 2﹣④× 3,得 y= ﹣24,把 y=﹣ 24 代入④,得 x=60,12.解二元一次方程组:所以原方程组的解为( 1);.点评:此题考查的是对二元一次方程组的解法的运用和理解,学生可以通过题目的训练达到对知识的强.(2).考点:解二元一次方程组.专题:计算题.分析:( 1)运用加减消元的方法,可求出x、 y 的值;( 2)先将方程组化简,然后运用加减消元的方法可求出x、 y 的值.解答:解:(1)将①× 2﹣②,得15x=30,x=2,把 x=2 代入第一个方程,得y=1.则方程组的解是;( 2)此方程组通过化简可得:,①﹣②得: y=7,把 y=7 代入第一个方程,得x=5.则方程组的解是.点评:此题考查的是对二元一次方程组的解法的运用和理解,学生可以通过题目的训练达到对知识的强化和运用.13.在解方程组时,由于粗心,甲看错了方程组中的a,而得解为,乙看错了方程组中的b,而得解为.(1)甲把 a 看成了什么,乙把 b 看成了什么?(2)求出原方程组的正确解.考点:解二元一次方程组.专题:计算题.分析:( 1)把甲乙求得方程组的解分别代入原方程组即可;( 2)把甲乙所求的解分别代入方程②和①,求出正确的a、 b,然后用适当的方法解方程组.解答:解:(1)把代入方程组,.得,解得:.把代入方程组,得,解得:.∴甲把 a 看成﹣ 5;乙把 b 看成 6;( 2)∵正确的 a 是﹣ 2, b 是 8,∴方程组为,解得: x=15,y=8.则原方程组的解是.点评:此题难度较大,需同学们仔细阅读,弄清题意再解答.14.考点:解二元一次方程组.分析:先将原方程组中的两个方程分别去掉分母,然后用加减消元法求解即可.解答:解:由原方程组,得,由( 1) +( 2),并解得x=(3),把( 3)代入( 1),解得y=.∴原方程组的解为.点评:用加减法解二元一次方程组的一般步骤:1.方程组的两个方程中,如果同一个未知数的系数既不互为相反数又不相等,就用适当的数去乘方程的两边,使一个未知数的系数互为相反数或相等;2.把两个方程的两边分别相加或相减,消去一个未知数,得到一个一元一次方程;3.解这个一元一次方程;4.将求出的未知数的值代入原方程组的任意一个方程中,求出另一个未知数,从而得到方程组的解.15.解下列方程组:(1);(2).考点:解二元一次方程组.分析:将两个方程先化简,再选择正确的方法进行消元.解答:解:(1)化简整理为,①× 3,得 3x+3y=1500③,②﹣③,得x=350.把 x=350 代入①,得 350+y=500,∴y=150.故原方程组的解为.( 2)化简整理为,①× 5,得 10x+15y=75③,②× 2,得 10x﹣14y=46④,③﹣④,得29y=29,∴y=1.把 y=1 代入①,得 2x+3×1=15,∴x=6.故原方程组的解为.点评:方程组中的方程不是最简方程的,最好先化成最简方程,再选择合适的方法解方程..16.解下列方程组:( 1)( 2)考点:解二元一次方程组.分析:观察方程组中各方程的特点,用相应的方法求解.解答:解:(1)①× 2﹣②得: x=1,将 x=1 代入①得:2+y=4,y=2.∴原方程组的解为;( 2)原方程组可化为,①× 2﹣②得:﹣y=﹣ 3,y=3.将 y=3 代入①得:x=﹣2.∴原方程组的解为.点评:解此类题目要注意观察方程组中各方程的特点,采用加减法或代入法求解.。
二元一次方程组计算题20道带答案1.求解下列二元一次方程组:–3x - 2y = 7–2x + 4y = 10答案: x = 3, y = -12.解方程组:–2x + 5y = 11–3x - 7y = 8答案: x = 3, y = 13.求解二元方程组:–x + 2y = 9–3x - y = 3答案: x = 3, y = 34.解下列方程组:–4x + 2y = 10–2x - y = 9答案: x = 2, y = -55.解方程组:–5x - 3y = 4–x + 4y = 7答案: x = 2, y = 16.求解以下方程组:–8x + 3y = 21–2x - 5y = 7答案: x = 3, y = -37.解二元一次方程组:–3x + 2y = 13–4x - y = 6答案: x = 2, y = 58.解下列方程组:–7x + 3y = 17–5x - 2y = 11答案: x = 2, y = 39.求解二元方程组:–2x + 3y = 10–3x - y = 1答案: x = 2, y = 210.解方程组:–6x - 4y = 8–3x + 7y = 10答案: x = 2, y = 111.求解下列二元一次方程组:–5x + 2y = 11–x - 3y = 4答案: x = 2, y = 112.解方程组:–4x - 2y = 8–2x + 5y = 9答案: x = 2, y = 113.求解二元方程组:–x + 4y = 7–3x - y = 4答案: x = 2, y = 114.解下列方程组:–2x + 3y = 13–4x - y = 3答案: x = 2, y = 315.解方程组:–5x + 2y = 14–2x - 3y = 4答案: x = 2, y = 316.求解以下方程组:–3x - y = 4–5x + 2y = 11答案: x = 1, y = 117.解二元一次方程组:–4x + y = 9–x - 5y = -5答案: x = 2, y = 118.解下列方程组:–3x + 5y = 19–7x - 2y = 11答案: x = 2, y = 319.求解二元方程组:–2x - y = 1–3x + 4y = 11答案: x = 2, y = 320.解方程组:–4x - 3y = 5–x + 6y = 10答案: x = 2, y = 2以上为二元一次方程组计算题,每道题都已附有详细答案。
实用文档标准二元一次方程组练习题一.解答题(共16小题) 1.解下列方程组 (1)(2)(3))(6441125为已知数a a y x ay x ⎩⎨⎧=-=+ (4)(5)(6).(7)(8)⎩⎨⎧=--+=-++0)1(2)1()1(2x y x x x y y x(9)(10) ⎪⎪⎩⎪⎪⎨⎧=-++=-++1213222132y x y x2.求适合的x ,y 的值.3.已知关于x ,y 的二元一次方程y=kx+b 的解有和.(1)求k ,b 的值.(2)当x=2时,y 的值. (3)当x 为何值时,y=3?1.解下列方程组(1)(2);(3);(4)(5).(6)(7)(8)(9)(10);2.在解方程组时,由于粗心,甲看错了方程组中的a,而得解为,乙看错了方程组中的b,而得解为.(1)甲把a看成了什么,乙把b看成了什么?(2)求出原方程组的正确解.word版本二元一次方程组解法练习题精选参考答案与试题解析一.解答题(共16小题)1.求适合的x,y的值.考点:解二元一次方程组.分析:先把两方程变形(去分母),得到一组新的方程,然后在用加减消元法消去未知数x,求出y的值,继而求出x的值.解答:解:由题意得:,由(1)×2得:3x ﹣2y=2(3),由(2)×3得:6x+y=3(4),(3)×2得:6x﹣4y=4(5),(5)﹣(4)得:y=﹣,把y的值代入(3)得:x=,∴.点评:本题考查了二元一次方程组的解法,主要运用了加减消元法和代入法.2.解下列方程组(1)(2)(3)(4).考点:解二元一次方程组.分析:(1)(2)用代入消元法或加减消元法均可;(3)(4)应先去分母、去括号化简方程组,再进一步采用适宜的方法求解.解答:解:(1)①﹣②得,﹣x=﹣2,解得x=2,把x=2代入①得,2+y=1,解得y=﹣1.故原方程组的解为.(2)①×3﹣②×2得,﹣13y=﹣39,解得,y=3,把y=3代入①得,2x﹣3×3=﹣5,解得x=2.故原方程组的解为.(3)原方程组可化为,①+②得,6x=36,x=6,①﹣②得,8y=﹣4,y=﹣.所以原方程组的解为.(4)原方程组可化为:,①×2+②得,x=,把x=代入②得,3×﹣4y=6,y=﹣.所以原方程组的解为.点评:利用消元法解方程组,要根据未知数的系数特点选择代入法还是加减法:①相同未知数的系数相同或互为相反数时,宜用加减法;②其中一个未知数的系数为1时,宜用代入法.3.解方程组:考点:解二元一次方程组.word版本专题:计算题.分析:先化简方程组,再进一步根据方程组的特点选用相应的方法:用加减法.解答:解:原方程组可化为,①×4﹣②×3,得7x=42,解得x=6.把x=6代入①,得y=4.所以方程组的解为.点评:;二元一次方程组无论多复杂,解二元一次方程组的基本思想都是消元.消元的方法有代入法和加减法.4.解方程组:考点:解二元一次方程组.专题:计算题.分析:把原方程组化简后,观察形式,选用合适的解法,此题用加减法求解比较简单.解答:解:(1)原方程组化为,①+②得:6x=18,∴x=3.代入①得:y=.所以原方程组的解为.点评:要注意:两个二元一次方程中同一未知数的系数相反或相等时,把这两个方程的两边相加或相减,就能消去这个未知数,得到一个一元一次方程,这种方法叫做加减消元法.本题适合用此法.5.解方程组:考点:解二元一次方程组.专题:计算题;换元法.分析:本题用加减消元法即可或运用换元法求解.解答:解:,①﹣②,得s+t=4,①+②,得s﹣t=6,即,解得.所以方程组的解为.点评:此题较简单,要熟练解方程组的基本方法:代入消元法和加减消元法.6.已知关于x,y的二元一次方程y=kx+b的解有和.(1)求k,b的值.(2)当x=2时,y的值.(3)当x为何值时,y=3?考点:解二元一次方程组.专题:计算题.分析:(1)将两组x ,y 的值代入方程得出关于k、b的二元一次方程组,再运用加减消元法求出k、b的值.(2)将(1)中的k、b代入,再把x=2代入化简即可得出y的值.(3)将(1)中的k、b和y=3代入方程化简即可得出x的值.解答:解:(1)依题意得:①﹣②得:2=4k,所以k=,所以b=.(2)由y=x+,把x=2代入,得y=.word 版本(3)由y=x+把y=3代入,得x=1.点评:本题考查的是二元一次方程的代入消元法和加减消元法,通过已知条件的代入,可得出要求的数.7.解方程组:(1);(2).考点:解二元一次方程组.分析:根据各方程组的特点选用相应的方法:(1)先去分母再用加减法,(2)先去括号,再转化为整式方程解答.解答:解:(1)原方程组可化为,①×2﹣②得:y=﹣1,将y=﹣1代入①得:x=1.∴方程组的解为;(2)原方程可化为,即,①×2+②得:17x=51,x=3,将x=3代入x﹣4y=3中得:y=0.∴方程组的解为.点评:这类题目的解题关键是理解解方程组的基本思想是消元,掌握消元的方法有:加减消元法和代入消元法.根据未知数系数的特点,选择合适的方法.8.解方程组:考点:解二元一次方程组.专题:计算题.分析:本题应把方程组化简后,观察方程的形式,选用合适的方法求解.解答:解:原方程组可化为,①+②,得10x=30,x=3,代入①,得15+3y=15,y=0.则原方程组的解为.点评:解答此题应根据各方程组的特点,有括号的去括号,有分母的去分母,然后再用代入法或加减消元法解方程组.9.解方程组:考点:解二元一次方程组.专题:计算题.分析:本题为了计算方便,可先把(2)去分母,然后运用加减消元法解本题.解答:解:原方程变形为:,两个方程相加,得4x=12,x=3.把x=3代入第一个方程,得4y=11,y=.解之得.点评:本题考查的是二元一次方程组的解法,方程中含有分母的要先化去分母,再对方程进行化简、消元,即可解出此类题目.word版本10.解下列方程组:(1)(2)考点:解二元一次方程组.专题:计算题.分析:此题根据观察可知:(1)运用代入法,把①代入②,可得出x,y的值;(2)先将方程组化为整系数方程组,再利用加减消元法求解.解答:解:(1),由①,得x=4+y③,代入②,得4(4+y )+2y=﹣1,所以y=﹣,把y=﹣代入③,得x=4﹣=.所以原方程组的解为.(2)原方程组整理为,③×2﹣④×3,得y=﹣24,把y=﹣24代入④,得x=60,所以原方程组的解为.点评:此题考查的是对二元一次方程组的解法的运用和理解,学生可以通过题目的训练达到对知识的强化和运用.11.解方程组:(1)(2)考点:解二元一次方程组.专题:计算题;换元法.分析:方程组(1)需要先化简,再根据方程组的特点选择解法;方程组(2)采用换元法较简单,设x+y=a,x﹣y=b,然后解新方程组即可求解.解答:解:(1)原方程组可化简为,解得.(2)设x+y=a,x﹣y=b,∴原方程组可化为,解得,∴∴原方程组的解为.点评:此题考查了学生的计算能力,解题时要细心.12.解二元一次方程组:(1);(2).考点:解二元一次方程组.word版本专题:计算题.分析:(1)运用加减消元的方法,可求出x、y的值;(2)先将方程组化简,然后运用加减消元的方法可求出x、y的值.解答:解:(1)将①×2﹣②,得15x=30,x=2,把x=2代入第一个方程,得y=1.则方程组的解是;(2)此方程组通过化简可得:,①﹣②得:y=7,把y=7代入第一个方程,得x=5.则方程组的解是.点评:此题考查的是对二元一次方程组的解法的运用和理解,学生可以通过题目的训练达到对知识的强化和运用.13.在解方程组时,由于粗心,甲看错了方程组中的a ,而得解为,乙看错了方程组中的b,而得解为.(1)甲把a看成了什么,乙把b看成了什么?(2)求出原方程组的正确解.考点:解二元一次方程组.专题:计算题.分析:(1)把甲乙求得方程组的解分别代入原方程组即可;(2)把甲乙所求的解分别代入方程②和①,求出正确的a、b,然后用适当的方法解方程组.解答:解:(1)把代入方程组,得,解得:.把代入方程组,得,解得:.∴甲把a看成﹣5;乙把b看成6;(2)∵正确的a是﹣2,b是8,∴方程组为,解得:x=15,y=8.则原方程组的解是.点评:此题难度较大,需同学们仔细阅读,弄清题意再解答.14.考点:解二元一次方程组.分析:先将原方程组中的两个方程分别去掉分母,然后用加减消元法求解即可.解答:解:由原方程组,得,由(1)+(2),并解得x=(3),把(3)代入(1),解得y=∴原方程组的解为.点评:用加减法解二元一次方程组的一般步骤:1.方程组的两个方程中,如果同一个未知数的系数既不互为相反数又不相等,就用适当的数去乘方程的两边,使一个未知数的系数互为相反数或相等;word版本2.把两个方程的两边分别相加或相减,消去一个未知数,得到一个一元一次方程;3.解这个一元一次方程;4.将求出的未知数的值代入原方程组的任意一个方程中,求出另一个未知数,从而得到方程组的解.15.解下列方程组:(1);(2).考点:解二元一次方程组.分析:将两个方程先化简,再选择正确的方法进行消元.解答:解:(1)化简整理为,①×3,得3x+3y=1500③,②﹣③,得x=350.把x=350代入①,得350+y=500,∴y=150.故原方程组的解为.(2)化简整理为,①×5,得10x+15y=75③,②×2,得10x﹣14y=46④,③﹣④,得29y=29,∴y=1.把y=1代入①,得2x+3×1=15,∴x=6.故原方程组的解为.点评:方程组中的方程不是最简方程的,最好先化成最简方程,再选择合适的方法解方程.16.解下列方程组:(1)(2)考点:解二元一次方程组.分析:观察方程组中各方程的特点,用相应的方法求解.解答:解:(1)①×2﹣②得:x=1,将x=1代入①得:2+y=4,y=2.∴原方程组的解为;(2)原方程组可化为,①×2﹣②得:﹣y=﹣3,y=3.将y=3代入①得:x=﹣2.∴原方程组的解为.点评:解此类题目要注意观察方程组中各方程的特点,采用加减法或代入法求解.word版本。
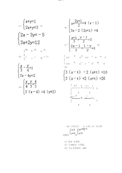
(1)(2)5x 2y 11 (3)4x4y6(4)(5)(6).(7)(8)x(y 1) y(1 x) 2x(x 1) y x20 (9)x 2 y 1322(10)x 2 1 y312(11)已知关于x,y的二元一次方程y=kx+b的解有和.(1)求k,b的值.(2)当x=2时,y的值.(3)当x为何值时,y=3?(1)(6)(2);(7)(8)(3);(4)(9)(10)(5).;(11).在解方程组时,由于粗心,甲看错了方程组中的a,而得解为,乙看错了方程组中的b,而得解为.(1)甲把a看成了什么,乙把b看成了什么?(2)求出原方程组的正确解 .2/8分析:(1)(2)用代入消元法或加减消元法均可;二元一次方程组解法练习题参精考选答(3)(4)应先去分母、去括号化简方程组,再进一步采解答:解:(1)①﹣②得,﹣x=﹣2,案与试卷解读解得x=2,把x=2代入①得,2+y=1,一.解答题(共16小题)解得y=﹣1.1.求适合的x,y的值.故原方程组的解为.考点:解二元一次方程组.分析:(2)①×3﹣②×2得,﹣13y=﹣39,先把两方程变形(去分母),得到一组新的方程,然后在用加减消元法消去未知数x ,解得,y=3,把y=3代入①得,2x﹣3×3=﹣5,求出y的值,继而求出x的值.解得x=2.解答:故原方程组的解为.解:由题意得:,由(1)×2得: 3x﹣2y=2(3),(3)原方程组可化为,由(2)×3得:6x+y=3(4),(3)×2得:6x﹣4y=4(5),①+②得,6x=36,(5)﹣(4)得:y=﹣,x=6,①﹣②得,8y=﹣4,把y的值代入(3)得:x= ,y=﹣.所以原方程组的解为.∴.(4)原方程组可化为:,点评:本题考查了二元一次方程组的解法,主要运用了加减消元法和代入法.①×2+②得,x= ,2.解下列方程组把x= 代入②得,3×﹣4y=6,(1)(2)(3)y=﹣.(4)所以原方程组的解为..点评:利用消元法解方程组,要根据未知数的系数特点选择代入①相同未知数的系数相同或互为相反数时,宜用加减法②其中一个未知数的系数为1时,宜用代入法.考点:解二元一次方程组.3/83.解方程组:5.解方程组:考 解二元一次方程组. 考点:解二元一次方程组.点:专题:计算题;换元法.专 计算题.分析:本题用加减消元法即可或运用换元法求解.题: 解答:分 解:,先化简方程组,再进一步根据方程组的特点选用相应的方法:用加减法.析:解①﹣②,得s+t=4,答:解:原方程组可化为 , ①+②,得s ﹣t=6,①×4﹣②×3,得 即,7x=42, 解得. 解得x=6.把x=6代入①,得y=4. 所以方程组的解为.所以方程组的解为 .点评:此题较简单,要熟练解方程组的基本方法:代入消元法和点 ;二元一次方程组无论多复杂,解二元一次方程组的基本思想都是消元. 消元的方法有代入法和加减法. 评: 6.已知关于x ,y 的二元一次方程y=kx+b的解有和.4.解方程组:(1)求k ,b 的值.(2)当x=2时,y 的值.(3)当x 为何值时,y=3?考点:解二元一次方程组.专题:计算题. 考点:解二元一次方程组.分析:把原方程组化简后,观察形式,选用合适的解法专,题此:题计用算加题减.法求解比较简单.解答: 分析:k 、b 的二元一 解:(1)原方程组化为 (1)将两组x ,y 的值代入方程得出关于 ,① +②得:6x=18,∴x=3.代入①得:y= .法求出k 、b 的值.(2)将(1)中的k 、b 代入,再把x=2代入化简即可得(3)将(1)中的k 、b 和y=3代入方程化简即可得出x解答:解:(1)依题意得:所以原方程组的解为.①﹣②得:2=4k ,所以k= , 点评:要注意:两个二元一次方程中同一未知数的系数相反或相等时, 把这两个方程的两边相加或相减,就能消去这个未知数,得到一个一元一次方程,这种方法叫做加减消元法.本题适合用此法.所以b= .4/8∴方程组的解为.(2)由y=x+ ,点评:这类题目的解题关键是理解解方程组的基本思想是消元,把x=2代入,得y=.消元法.根据未知数系数的特点,选择合适的方法.(3)由y= x+8.解方程组:把y=3代入,得x=1.点评:本题考查的是二元一次方程的代入消元法和加减消元法,通过已知条件的代入,可得出要求的数.考点:解二元一次方程组.7.解方程组:(1);(2).考点:解二元一次方程组.分析:根据各方程组的特点选用相应的方法:方程解答.专题:计算题.分析:本题应把方程组化简后,观察方程的形式,选用合适的方解答:解:原方程组可化为,①+②,得10x=30,x=3,代入①,得15+3y=15,y=0.(1)先去分母再用加减法,(2)先去括号,再转化为整式则原方程组的解为.解答:解:(1)原方程组可化为①×2﹣②得:y=﹣1,将y=﹣1代入①得:x=1.∴方程组的解为;(2)原方程可化为即,①×2+②得:17x=51,x=3,将x=3代入x﹣4y=3中得:y=0.点评:解答此题应根据各方程组的特点,有括号的去括号,有分,元法解方程组.9.解方程组:考点:解二元一次方程组.专题:计算题.分析:本题为了计算方便,可先把(2)去分母,然后运用加减解答:,解:原方程变形为:,两个方程相加,得4x=12,x=3.把x=3代入第一个方程,得4y=11,y= .5/8解之得.11.解方程组:点评:本题考查的是二元一次方程组的解法,方程中含有分母的要先化去分母,再对方程进行化简、消元,即可解出此类题目.(1)10.解下列方程组:(1)(2)考点:解二元一次方程组.(2)专题:计算题;换元法.分析:方程组(1)需要先化简,再根据方程组的特点选择解法方程组(2)采用换元法较简单,设x+y=a,x﹣y=b,然考点:解二元一次方程组.解答:专题:计算题.解:(1)原方程组可化简为,分析:此题根据观察可知:(1)运用代入法,把①代入②,可得出x,y的值;(2)先将方程组化为整系数方程组,再利用加减消元法求解.解答:解得.解:(1),由①,得x=4+y③,(2)设x+y=a,x﹣y=b,代入②,得4(4+y)+2y=﹣1,所以y=﹣,∴原方程组可化为,把y=﹣代入③,得x=4﹣=.解得,所以原方程组的解为.∴∴原方程组的解为.(2)原方程组整理为,点评:此题考查了学生的计算能力,解题时要细心.③×2﹣④×3,得y=﹣24,12.解二元一次方程组:把y=﹣24 代入④,得x=60,(1);所以原方程组的解为.(2).点评:此题考查的是对二元一次方程组的解法的运用和理解,学生可以通过题目的训练达到对知识的强化和运用.6/8考点:解二元一次方程组.专题:计算题.得分析:(1)运用加减消元的方法,可求出x、y的值;(2)先将方程组化简,然后运用加减消元的方法可求出解得:解答:解:(1)将①×2﹣②,得15x=30,x=2,把把x=2代入第一个方程,得y=1.得则方程组的解是;,x、y的值..代入方程组,,解得:.∴甲把a看成﹣5;乙把b看成6;(2)此方程组通过化简可得:,(2)∵正确的a是﹣2,b是8,①﹣②得:y=7,把y=7代入第一个方程,得∴方程组为,x=5.则方程组的解是.解得:x=15,y=8.则原方程组的解是.点评:此题考查的是对二元一次方程组的解法的运用和理解,学生可以通过题目的训练达到对知识的强化和运用.点评:此题难度较大,需同学们仔细阅读,弄清题意再解答.13.在解方程组时,由于粗心,14.甲看错了方程组中的a,而得解为,考点:解二元一次方程组.乙看错了方程组中的b,而得解为.分析:先将原方程组中的两个方程分别去掉分母,然后用加减消解答:解:由原方程组,得(1)甲把a看成了什么,乙把b看成了什么?(2)求出原方程组的正确解.,考点:解二元一次方程组.由(1)+(2),并解得专题:计算题.x= (3),分析:(1)把甲乙求得方程组的解分别代入原方程组即可;(2)把甲乙所求的解分别代入方程②和①,求出把正(确3的)代a入、(b,1然),后解用得适当的方法解方程组.解答:y= 解:(1)把代入方程组,7/816.解下列方程组:(1)(2)∴原方程组的解为.点评:用加减法解二元一次方程组的一般步骤:1.方程组的两个方程中,如果同一个未知数的考系点数既:不解互二为元相一反次数方又程不组相.等,就用适当的数去乘方程的两边,使一个未知数的系数互为相反数分或析相:等观;察方程组中各方程的特点,用相应的方法求解.2.把两个方程的两边分别相加或相减,消去一解个答未:知数解,:得(到1)一①×个一2元﹣一②次方得程:;x=1,3.解这个一元一次方程;将x=1代入①得:4.将求出的未知数的值代入原方程组的任意一个方程中2+y=4,求出,另一个未知数,从而得到方程组的解.y=2.15.解下列方程组:∴原方程组的解为;(1);(2)原方程组可化为,(2).①×2﹣②得:﹣y=﹣3,考点:解二元一次方程组.分析:将两个方程先化简,再选择正确的方法进行消元.解答:解:(1)化简整理为,y=3.将y=3代入①得:x=﹣2.①×3,得3x+3y=1500③,∴原方程组的解为.②﹣③,得x=350.把x=350代入①,得350+y=500,点评:∴y=150.解此类题目要注意观察方程组中各方程的特点,采用故原方程组的解为.(2)化简整理为,①×5,得10x+15y=75③,②×2,得10x﹣14y=46④,③﹣④,得29y=29,∴y=1.把y=1代入①,得2x+3×1=15,∴x=6.故原方程组的解为.点评:方程组中的方程不是最简方程的,最好先化成最简方程,再选择合适的方法解方程.8/8。
计算题)二元一次方程组练习题-直接打印版1.2x+3y=5,3x+4y=16,消元法得到y=-2x+5,代入第二个方程得到3x+4(-2x+5)=16,解得x=4,代入y=-2x+5得到y=-3.2.3y-2x=10,5y+2x=6,消元法得到y=-2x+5/3,代入第二个方程得到10x+15=6,解得x=-9/5,代入y=-2x+5/3得到y=23/15.3.2x-7y=15,5x-6y=33,消元法得到y=(-15+2x)/7,代入第二个方程得到5x-6((-15+2x)/7)=33,解得x=12,代入y=(-15+2x)/7得到y=-3.4.6s=27-5t,3s+4t=18,代入第一个方程得到18-24t/5+4t=18,解得t=5,代入第一个方程得到s=3.5.3p+7q=9,-7p=5,代入得到p=-5/7,代入第一个方程得到q=38/49.6.2x-y=4,4q=6,代入得到y=2x-4,代入第二个方程得到x=3/4.7.3m+2n=2,2m-n=-2,代入得到m=-2,代入第一个方程得到n=7.8.5x-9y=4,4a-5b=19,代入得到x=(4+9y)/5,代入第二个方程得到4a-5((-4+9y)/5)=19,解得y=3,代入x=(4+9y)/5得到x=7.9.2x-3y=-5,3x=2y,代入得到x=2,代入第二个方程得到y=3.10.2x-y/2+1=18,2x-y/2=17,2x-y/2=3,3x=2y,代入得到x=2,代入第二个方程得到y=3.11.2m+3n=5,4m-2n=1,代入得到m=1,代入第一个方程得到n=-1.12.6x+5y=25,3x+2y=10,代入得到x=2,代入第二个方程得到y=1.13.2x+y=1.5,无法求解。
14.3.2x+2.4y=5.2,2x/3+y/2=5/6,代入得到y=5-2x/3,代入第二个方程得到x=6/5,代入第一个方程得到y=16/15.15.2(x-1)+3(x-y)=6,5x-3y=5,3m-n=1,n=16,代入得到m=15.16.5x-2y=3,x-y/6=11/6,代入得到x=7/2,代入第一个方程得到y=-11/4.17.x+y/2=1,x-y/2=17/2,代入得到x=9,代入第一个方程得到y=-8.请用X表示Y:1.2x+(4-2x)=4,解得x=1,代入得到y=2.2.2x-(5-y)=5,解得x=5-y/2,代入得到y=10.3.(6-x)-x=6,解得x=3,代入得到y=-3.4.2(7-y)-x=7,解得x=12-2y,代入得到y=-5/3.5.3x+2(6-x)=-9,解得x=-12,代入得到y=27.6.x+y=5,代入得到2x+2(5-x)=10,解得x=3,代入得到y=2.7.2x-2y=12,代入得到x+y=6,解得x=3-y,代入得到y=1.8.x=2y/3,代入得到3(2y/3)=2y,解得y=0,代入得到x=0.9.x=3y/2,代入得到4(3y/2)=6y,解得y=0,代入得到x=0.10.3x+2y=-9,代入得到2y=-9-3x,解得y=(-9-3x)/2,代入得到x=3.请用Y表示X:1.2x+Y=4,解得Y=4-2x。
(1) 66x+17y=3967 25x+y=1200答案:x=48 y=47 (2) 18x+23y=2303 74x-y=1998答案:x=27 y=79 (3) 44x+90y=7796 44x+y=3476答案:x=79 y=48 (4) 76x-66y=4082 30x-y=2940答案:x=98 y=51 (5) 67x+54y=8546 71x-y=5680答案:x=80 y=59 (6) 42x-95y=-1410 21x-y=1575答案:x=75 y=48 (7) 47x-40y=853 34x-y=2006答案:x=59 y=48 (8) 19x-32y=-178675x+y=4950答案:x=66 y=95 (9) 97x+24y=7202 58x-y=2900答案:x=50 y=98 (10) 42x+85y=6362 63x-y=1638答案:x=26 y=62 (11) 85x-92y=-2518 27x-y=486答案:x=18 y=44 (12) 79x+40y=2419 56x-y=1176答案:x=21 y=19 (13) 80x-87y=2156 22x-y=880答案:x=40 y=12 (14) 32x+62y=5134 57x+y=2850答案:x=50 y=57 (15) 83x-49y=82 59x+y=2183答案:x=37 y=61 (16) 91x+70y=5845 95x-y=4275答案:x=45 y=25 (17) 29x+44y=5281 88x-y=3608答案:x=41 y=93 (18) 25x-95y=-4355 40x-y=2000答案:x=50 y=59 (19) 54x+68y=3284 78x+y=1404答案:x=18 y=34 (20) 70x+13y=3520 52x+y=2132答案:x=41 y=50 (21) 48x-54y=-3186 24x+y=1080答案:x=45 y=99 (22) 36x+77y=7619 47x-y=799答案:x=17 y=91(23) 13x-42y=-2717 31x-y=1333答案:x=43 y=78 (24) 28x+28y=3332 52x-y=4628答案:x=89 y=30 (25) 62x-98y=-2564 46x-y=2024答案:x=44 y=54 (26) 79x-76y=-4388 26x-y=832答案:x=32 y=91 (27) 63x-40y=-821 42x-y=546答案:x=13 y=41 (28) 69x-96y=-1209 42x+y=3822答案:x=91 y=78 (29) 85x+67y=7338 11x+y=308答案:x=28 y=74 (30) 78x+74y=1292814x+y=1218答案:x=87 y=83 (31) 39x+42y=5331 59x-y=5841答案:x=99 y=35 (32) 29x+18y=1916 58x+y=2320答案:x=40 y=42 (33) 40x+31y=6043 45x-y=3555答案:x=79 y=93 (34) 47x+50y=8598 45x+y=3780答案:x=84 y=93 (35) 45x-30y=-1455 29x-y=725答案:x=25 y=86 (36) 11x-43y=-1361 47x+y=799答案:x=17 y=36 (37) 33x+59y=3254 94x+y=1034答案:x=11 y=49 (38) 89x-74y=-2735 68x+y=1020答案:x=15 y=55 (39) 94x+71y=7517 78x+y=3822答案:x=49 y=41 (40) 28x-62y=-4934 46x+y=552答案:x=12 y=85 (41) 75x+43y=8472 17x-y=1394答案:x=82 y=54 (42) 41x-38y=-1180 29x+y=1450答案:x=50 y=85 (43) 22x-59y=824 63x+y=4725答案:x=75 y=14 (44) 95x-56y=-401 90x+y=1530答案:x=17 y=36(45) 93x-52y=-852 29x+y=464答案:x=16 y=45 (46) 93x+12y=8823 54x+y=4914答案:x=91 y=30 (47) 21x-63y=84 20x+y=1880答案:x=94 y=30 (48) 48x+93y=9756 38x-y=950答案:x=25 y=92 (49) 99x-67y=4011 75x-y=5475答案:x=73 y=48 (50) 83x+64y=9291 90x-y=3690答案:x=41 y=92(51) 17x+62y=3216 75x-y=7350答案:x=98 y=25(52) 77x+67y=2739 14x-y=364答案:x=26 y=11 (53) 20x-68y=-4596 14x-y=924答案:x=66 y=87 (54) 23x+87y=4110 83x-y=5727答案:x=69 y=29 (55) 22x-38y=804 86x+y=6708答案:x=78 y=24 (56) 20x-45y=-3520 56x+y=728答案:x=13 y=84 (57) 46x+37y=7085 61x-y=4636答案:x=76 y=97 (58) 17x+61y=4088 71x+y=5609答案:x=79 y=45 (59) 51x-61y=-190789x-y=2314答案:x=26 y=53 (60) 69x-98y=-2404 21x+y=1386答案:x=66 y=71 (61) 15x-41y=754 74x-y=6956答案:x=94 y=16 (62) 78x-55y=656 89x+y=5518答案:x=62 y=76 (63) 29x+21y=1633 31x-y=713答案:x=23 y=46 (64) 58x-28y=2724 35x+y=3080答案:x=88 y=85 (65) 28x-63y=-2254 88x-y=2024答案:x=23 y=46 (66) 43x+50y=7064 85x+y=8330答案:x=98 y=57 (67) 58x-77y=1170 38x-y=2280答案:x=60 y=30 (68) 92x+83y=11586 43x+y=3010答案:x=70 y=62 (69) 99x+82y=6055 52x-y=1716答案:x=33 y=34 (70) 15x+26y=1729 94x+y=8554答案:x=91 y=14 (71) 64x+32y=3552 56x-y=2296答案:x=41 y=29 (72) 94x+66y=10524 84x-y=7812答案:x=93 y=27 (73) 65x-79y=-5815 89x+y=2314答案:x=26 y=95(74) 96x+54y=6216 63x-y=1953答案:x=31 y=60 (75) 60x-44y=-352 33x-y=1452答案:x=44 y=68 (76) 79x-45y=510 14x-y=840答案:x=60 y=94 (77) 29x-35y=-218 59x-y=4897答案:x=83 y=75 (78) 33x-24y=1905 30x+y=2670答案:x=89 y=43 (79) 61x+94y=11800 93x+y=5952答案:x=64 y=84 (80) 61x+90y=5001 48x+y=2448答案:x=51 y=21 (81) 93x-19y=286x-y=1548答案:x=18 y=88 (82) 19x-96y=-5910 30x-y=2340答案:x=78 y=77 (83) 80x+74y=8088 96x-y=8640答案:x=90 y=12 (84) 53x-94y=1946 45x+y=2610答案:x=58 y=12 (85) 93x+12y=9117 28x-y=2492答案:x=89 y=70 (86) 66x-71y=-1673 99x-y=7821答案:x=79 y=97 (87) 43x-52y=-1742 76x+y=1976答案:x=26 y=55 (88) 70x+35y=8295 40x+y=2920答案:x=73 y=91 (89) 43x+82y=4757 11x+y=231答案:x=21 y=47 (90) 12x-19y=236 95x-y=7885答案:x=83 y=40 (91) 51x+99y=8031 71x-y=2911答案:x=41 y=60 (92) 37x+74y=4403 69x-y=6003答案:x=87 y=16 (93) 46x+34y=4820 71x-y=5183答案:x=73 y=43 (94) 47x+98y=5861 55x-y=4565答案:x=83 y=20 (95) 30x-17y=239 28x+y=1064答案:x=38 y=53(96) 55x-12y=4112 79x-y=7268答案:x=92 y=79 (97) 27x-24y=-450 67x-y=3886答案:x=58 y=84 (98) 97x+23y=8119 14x+y=966答案:x=69 y=62 (99) 84x+53y=11275 70x+y=6790答案:x=97 y=59 (100) 51x-97y=297 19x-y=1520答案:x=80 y=38。
七年级下册数学二元一次方程组计算题全文共5篇示例,供读者参考七年级下册数学二元一次方程组计算题1教学目标1.会列二元一次方程组解简单的应用题并能检验结果的合理性。
2.提高分析问题、解决问题的能力。
3.体会数学的'应用价值。
教学重点根据实际问题列二元一次方程组。
教学难点1.找实际问题中的相等关系。
2.彻底理解题意。
教学过程一、引入。
本节课我们继续学习用二元一次方程组解决简单实际问题。
二、新课。
例1. 小琴去县城,要经过外祖母家,头一天下午从她家走到个祖母家里,第二天上午,从外外祖母家出发匀速前进,走了2小时、5小时后,离她自己家分别为13千米、25千米。
你能算出她的速度吗?还能算出她家与外祖母家相距多远吗?探究:1. 你能画线段表示本题的数量关系吗?2.填空:(用含s、v的代数式表示)设小琴速度是v千米/时,她家与外祖母家相距s千米,第二天她走2小时趟的路程是______千米。
此时她离家距离是______千米;她走5小时走的路程是______千米,此时她离家的距离是________千米20xx 年-20xx学年七年级数学下册全册教案(人教版)教案。
3.列方程组。
4.解方程组。
5.检验写出答案。
讨论:本题是否还有其它解法?三、练习。
1.建立方程模型。
(1)两在相距千米,一般顺流航行需14小时,逆流航行需20小时,求船在静水中速度,水流的速度(2)个零件由甲、乙两人制造。
甲先做2天后,乙加入合作再做2天完成,乙先做2天,甲加入合作,还需3天完成。
问:甲、乙每天各做多少个零件?2.p38练习第2题。
3.小组合作编应用题:两个写一方程组,另两人根据方程组编应用题。
四、小结。
本节课你有何收获?七年级下册数学二元一次方程组计算题2教学目标1、会列出二元一次方程组解简单应用题,并能检验结果的合理性。
2、知道二元一次方程组是反映现实世界量之间相等关系的一种有效的数学模型。
3、引导学生关注身边的数学,渗透将来未知转达化为已知的辩证思想。
二元一次方程组练习题一.解答题(共16小题) 1.解下列方程组 (1)(2)(3))(6441125为已知数a a y x a y x ⎩⎨⎧=-=+ (4)(5)(6).(7)(8)⎩⎨⎧=--+=-++0)1(2)1()1(2x y x x x y y x(9)(10) ⎪⎪⎩⎪⎪⎨⎧=-++=-++1213222132y x y x 2.求适合的x ,y 的值.3.已知关于x ,y 的二元一次方程y=kx+b 的解有和.(1)求k ,b 的值.(2)当x=2时,y 的值. (3)当x 为何值时,y=3?1.解下列方程组(1)(2);(3); (4)(5). (6)(7)(8)(9)(10); 2.在解方程组时,由于粗心,甲看错了方程组中的a ,而得解为,乙看错了方程组中的b ,而得解为.(1)甲把a 看成了什么,乙把b 看成了什么?(2)求出原方程组的正确解.二元一次方程组解法练习题精选参考答案与试题解析一.解答题(共16小题)1.求适合的x ,y 的值.考点: 解二元一次方程组. 分析:先把两方程变形(去分母),得到一组新的方程,然后在用加减消元法消去未知数x ,求出y 的值,继而求出x 的值.解答:解:由题意得:,由(1)×2得:3x ﹣2y=2(3),由(2)×3得:6x+y=3(4), (3)×2得:6x ﹣4y=4(5), (5)﹣(4)得:y=﹣, 把y 的值代入(3)得:x=,∴.点评:本题考查了二元一次方程组的解法,主要运用了加减消元法和代入法.2.解下列方程组(1)(2)(3)(4).考点:解二元一次方程组.分析:(1)(2)用代入消元法或加减消元法均可;(3)(4)应先去分母、去括号化简方程组,再进一步采用适宜的方法求解.解答:解:(1)①﹣②得,﹣x=﹣2,解得x=2,把x=2代入①得,2+y=1,解得y=﹣1.故原方程组的解为.(2)①×3﹣②×2得,﹣13y=﹣39,解得,y=3,把y=3代入①得,2x﹣3×3=﹣5,解得x=2.故原方程组的解为.(3)原方程组可化为,①+②得,6x=36,x=6,①﹣②得,8y=﹣4,y=﹣.所以原方程组的解为.(4)原方程组可化为:,①×2+②得,x=,把x=代入②得,3×﹣4y=6,y=﹣.所以原方程组的解为.点评:利用消元法解方程组,要根据未知数的系数特点选择代入法还是加减法:①相同未知数的系数相同或互为相反数时,宜用加减法;②其中一个未知数的系数为1时,宜用代入法.3.解方程组:考点:解二元一次方程组.专题:计算题.分析:先化简方程组,再进一步根据方程组的特点选用相应的方法:用加减法.解答:解:原方程组可化为,①×4﹣②×3,得7x=42,解得x=6.把x=6代入①,得y=4.所以方程组的解为.点评:;二元一次方程组无论多复杂,解二元一次方程组的基本思想都是消元.消元的方法有代入法和加减法.4.解方程组:考点:解二元一次方程组.专题:计算题.分析:把原方程组化简后,观察形式,选用合适的解法,此题用加减法求解比较简单.解答:解:(1)原方程组化为,①+②得:6x=18,∴x=3.代入①得:y=.所以原方程组的解为.点评:要注意:两个二元一次方程中同一未知数的系数相反或相等时,把这两个方程的两边相加或相减,就能消去这个未知数,得到一个一元一次方程,这种方法叫做加减消元法.本题适合用此法.5.解方程组:考点:解二元一次方程组.专题:计算题;换元法.分析:本题用加减消元法即可或运用换元法求解.解答:解:,①﹣②,得s+t=4,①+②,得s﹣t=6,即,解得.所以方程组的解为.点评:此题较简单,要熟练解方程组的基本方法:代入消元法和加减消元法.6.已知关于x,y的二元一次方程y=kx+b 的解有和.(1)求k,b的值.(2)当x=2时,y的值.(3)当x为何值时,y=3?考点:解二元一次方程组.专题:计算题.分析:(1)将两组x,y的值代入方程得出关于k、b 的二元一次方程组,再运用加减消元法求出k、b的值.(2)将(1)中的k、b代入,再把x=2代入化简即可得出y的值.(3)将(1)中的k、b和y=3代入方程化简即可得出x的值.解答:解:(1)依题意得:①﹣②得:2=4k,所以k=,所以b=.(2)由y=x+,把x=2代入,得y=.(3)由y=x+把y=3代入,得x=1.点评:本题考查的是二元一次方程的代入消元法和加减消元法,通过已知条件的代入,可得出要求的数.7.解方程组:(1);(2).考点:解二元一次方程组.分析:根据各方程组的特点选用相应的方法:(1)先去分母再用加减法,(2)先去括号,再转化为整式方程解答.解答:解:(1)原方程组可化为,①×2﹣②得:y=﹣1,将y=﹣1代入①得:x=1.∴方程组的解为;(2)原方程可化为,即,①×2+②得:17x=51,x=3,将x=3代入x﹣4y=3中得:y=0.∴方程组的解为.点评:这类题目的解题关键是理解解方程组的基本思想是消元,掌握消元的方法有:加减消元法和代入消元法.根据未知数系数的特点,选择合适的方法.8.解方程组:考点:解二元一次方程组.专题:计算题.分析:本题应把方程组化简后,观察方程的形式,选用合适的方法求解.解答:解:原方程组可化为,①+②,得10x=30,x=3,代入①,得15+3y=15,y=0.则原方程组的解为.点评:解答此题应根据各方程组的特点,有括号的去括号,有分母的去分母,然后再用代入法或加减消元法解方程组.9.解方程组:考点:解二元一次方程组.专题:计算题.分析:本题为了计算方便,可先把(2)去分母,然后运用加减消元法解本题.解答:解:原方程变形为:,两个方程相加,得4x=12,x=3.把x=3代入第一个方程,得4y=11,y=.解之得.点评:本题考查的是二元一次方程组的解法,方程中含有分母的要先化去分母,再对方程进行化简、消元,即可解出此类题目.10.解下列方程组:(1)(2)考点:解二元一次方程组.专题:计算题.分析:此题根据观察可知:(1)运用代入法,把①代入②,可得出x,y的值;(2)先将方程组化为整系数方程组,再利用加减消元法求解.解答:解:(1),由①,得x=4+y③,代入②,得4(4+y)+2y=﹣1,所以y=﹣,把y=﹣代入③,得x=4﹣=.所以原方程组的解为.(2)原方程组整理为,③×2﹣④×3,得y=﹣24,把y=﹣24代入④,得x=60,所以原方程组的解为.点评:此题考查的是对二元一次方程组的解法的运用和理解,学生可以通过题目的训练达到对知识的强化和运用.11.解方程组:(1)(2)考点:解二元一次方程组.专题:计算题;换元法.分析:方程组(1)需要先化简,再根据方程组的特点选择解法;方程组(2)采用换元法较简单,设x+y=a,x﹣y=b,然后解新方程组即可求解.解答:解:(1)原方程组可化简为,解得.(2)设x+y=a,x﹣y=b,∴原方程组可化为,解得,∴∴原方程组的解为.点评:此题考查了学生的计算能力,解题时要细心.12.解二元一次方程组:(1);(2).考点:解二元一次方程组.专题:计算题.分析:(1)运用加减消元的方法,可求出x、y的值;(2)先将方程组化简,然后运用加减消元的方法可求出x、y的值.解答:解:(1)将①×2﹣②,得15x=30,x=2,把x=2代入第一个方程,得y=1.则方程组的解是;(2)此方程组通过化简可得:,①﹣②得:y=7,把y=7代入第一个方程,得x=5.则方程组的解是.点评:此题考查的是对二元一次方程组的解法的运用和理解,学生可以通过题目的训练达到对知识的强化和运用.13.在解方程组时,由于粗心,甲看错了方程组中的a ,而得解为,乙看错了方程组中的b ,而得解为.(1)甲把a看成了什么,乙把b看成了什么?(2)求出原方程组的正确解.考点:解二元一次方程组.专题:计算题.分析:(1)把甲乙求得方程组的解分别代入原方程组即可;(2)把甲乙所求的解分别代入方程②和①,求出正确的a、b,然后用适当的方法解方程组.解答:解:(1)把代入方程组,得,解得:.把代入方程组,得,解得:.∴甲把a看成﹣5;乙把b看成6;(2)∵正确的a是﹣2,b是8,∴方程组为,解得:x=15,y=8.则原方程组的解是.点评:此题难度较大,需同学们仔细阅读,弄清题意再解答.14.考点:解二元一次方程组.分析:先将原方程组中的两个方程分别去掉分母,然后用加减消元法求解即可.解答:解:由原方程组,得,由(1)+(2),并解得x=(3),把(3)代入(1),解得y=∴原方程组的解为.点评:用加减法解二元一次方程组的一般步骤:1.方程组的两个方程中,如果同一个未知数的系数既不互为相反数又不相等,就用适当的数去乘方程的两边,使一个未知数的系数互为相反数或相等;2.把两个方程的两边分别相加或相减,消去一个未知数,得到一个一元一次方程;3.解这个一元一次方程;4.将求出的未知数的值代入原方程组的任意一个方程中,求出另一个未知数,从而得到方程组的解.15.解下列方程组:(1);(2).考点:解二元一次方程组.分析:将两个方程先化简,再选择正确的方法进行消元.解答:解:(1)化简整理为,①×3,得3x+3y=1500③,②﹣③,得x=350.把x=350代入①,得350+y=500,∴y=150.故原方程组的解为.(2)化简整理为,①×5,得10x+15y=75③,②×2,得10x﹣14y=46④,③﹣④,得29y=29,∴y=1.把y=1代入①,得2x+3×1=15,∴x=6.故原方程组的解为.点评:方程组中的方程不是最简方程的,最好先化成最简方程,再选择合适的方法解方程.16.解下列方程组:(1)(2)考点:解二元一次方程组.分析:观察方程组中各方程的特点,用相应的方法求解.解答:解:(1)①×2﹣②得:x=1,将x=1代入①得:2+y=4,y=2.∴原方程组的解为;(2)原方程组可化为,①×2﹣②得:﹣y=﹣3,y=3.将y=3代入①得:x=﹣2.∴原方程组的解为.点评:解此类题目要注意观察方程组中各方程的特点,采用加减法或代入法求解.。
二元一次方程组习题及答案100 道1.2x+9y=813x+y=342.9x+4y=358x+3y=303.7x+2y=527x+4y=624.4x+6y=549x+2y=875.2x+y=72x+5y=196.x+2y=213x+5y=567.5x+7y=525x+2y=228.5x+5y=657x+7y=2039.8x+4y=56 x+4y=21 10.5x+7y=415x+8y=44 11.7x+5y=54 3x+4y=3812.x+8y=15 4x+y=29 13.3x+6y=249x+5y=46 14.9x+2y=62 4x+3y=36 15.9x+4y=46 7x+4y=42 16.9x+7y=135 4x+y=41 17.3x+8y=51 x+6y=2718.9x+3y=99 4x+7y=95 19.9x+2y=38 3x+6y=18 20.5x+5y=45 7x+9y=69 21.8x+2y=287x+8y=6222.x+6y=143x+3y=2723.7x+4y=672x+8y=2624.5x+4y=527x+6y=7425.7x+y=94x+6y=1626.6x+6y=486x+3y=4227.8x+2y=167x+y=1128.4x+9y=778x+6y=9429.6x+8y=687x+6y=6630.2x+2y=227x+2y=471) 66x+17y=396725x+y=1200答案:x=48 y=47(2) 18x+23y=230374x-y=1998答案:x=27 y=79(3) 44x+90y=779644x+y=3476 答案:x=79 y=48 (4) 76x-66y=4082 30x-y=2940 答案:x=98 y=51(5) 67x+54y=8546 71x-y=5680 答案:x=80 y=59(6) 42x-95y=-1410 21x-y=1575 答案:x=75 y=48(7) 47x-40y=853 34x-y=2006 答案:x=59 y=48(8) 19x-32y=-178675x+y=4950 答案:x=66 y=95 (9) 97x+24y=7202 58x-y=2900 答案:x=50 y=98(10) 42x+85y=6362 63x-y=1638 答案:x=26 y=62(11) 85x-92y=-251827x-y=486 答案:x=18 y=44(12) 79x+40y=2419 56x-y=1176 答案:x=21 y=19(13) 80x-87y=2156 22x-y=880 答案:x=40 y=12(14) 32x+62y=5134 57x+y=2850 答案:x=50 y=57(15) 83x-49y=82 59x+y=2183 答案:x=37 y=61(16) 91x+70y=5845 95x-y=4275 答案:x=45 y=25(17) 29x+44y=5281 88x-y=3608 答案:x=41 y=93(18) 25x-95y=-4355 40x-y=2000 答案:x=50 y=59(19) 54x+68y=3284 78x+y=1404答案:x=18 y=34(20) 70x+13y=3520 52x+y=2132 答案:x=41 y=50(21) 48x-54y=-3186 24x+y=1080 答案:x=45 y=99(22) 36x+77y=7619 47x-y=799 答案:x=17 y=91(23) 13x-42y=-2717 31x-y=1333 答案:x=43 y=78(24) 28x+28y=3332 52x-y=4628 答案:x=89 y=30(25) 62x-98y=-2564 46x-y=2024 答案:x=44 y=54(26) 79x-76y=-4388 26x-y=832 答案:x=32 y=91(27) 63x-40y=-821 42x-y=546 答案:x=13 y=41(28) 69x-96y=-1209 42x+y=3822 答案:x=91 y=78(29) 85x+67y=7338 11x+y=308 答案:x=28 y=74(30) 78x+74y=12928 14x+y=1218 答案:x=87 y=83(31) 39x+42y=5331 59x-y=5841 答案:x=99 y=35(32) 29x+18y=1916 58x+y=2320 答案:x=40 y=42(33) 40x+31y=6043 45x-y=3555 答案:x=79 y=93(34) 47x+50y=8598 45x+y=3780 答案:x=84 y=93(35) 45x-30y=-1455 29x-y=725 答案:x=25 y=86(36) 11x-43y=-136147x+y=799 答案:x=17 y=36 (37) 33x+59y=3254 94x+y=1034 答案:x=11 y=49(38) 89x-74y=-2735 68x+y=1020 答案:x=15 y=55(39) 94x+71y=7517 78x+y=3822 答案:x=49 y=41(40) 28x-62y=-4934 46x+y=552 答案:x=12 y=85(41) 75x+43y=8472 17x-y=1394 答案:x=82 y=54(42) 41x-38y=-1180 29x+y=1450 答案:x=50 y=85(43) 22x-59y=824 63x+y=4725 答案:x=75 y=14(44) 95x-56y=-401 90x+y=1530答案:x=17 y=36(45) 93x-52y=-852 29x+y=464 答案:x=16 y=45(46) 93x+12y=8823 54x+y=4914 答案:x=91 y=30(47) 21x-63y=84 20x+y=1880 答案:x=94 y=30(48) 48x+93y=9756 38x-y=950 答案:x=25 y=92(49) 99x-67y=4011 75x-y=5475 答案:x=73 y=48(50) 83x+64y=9291 90x-y=3690 答案:x=41 y=92(51) 17x+62y=3216 75x-y=7350 答案:x=98 y=25(52) 77x+67y=2739 14x-y=364 答案:x=26 y=11(53) 20x-68y=-459614x-y=924 答案:x=66 y=87(54) 23x+87y=411083x-y=5727 答案:x=69 y=29(55) 22x-38y=80486x+y=6708 答案:x=78 y=24(56) 20x-45y=-352056x+y=728 答案:x=13 y=84(57) 46x+37y=708561x-y=4636 答案:x=76 y=97(58) 17x+61y=408871x+y=5609 答案:x=79 y=45(59) 51x-61y=-190789x-y=2314 答案:x=26 y=53(60) 69x-98y=-240421x+y=1386 答案:x=66 y=71(61) 15x-41y=75474x-y=6956 答案:x=94 y=16 (62) 78x-55y=656 89x+y=5518 答案:x=62 y=76(63) 29x+21y=1633 31x-y=713 答案:x=23 y=46(64) 58x-28y=2724 35x+y=3080 答案:x=88 y=85(65) 28x-63y=-2254 88x-y=2024 答案:x=23 y=46(66) 43x+50y=7064 85x+y=8330 答案:x=98 y=57(67) 58x-77y=1170 38x-y=2280 答案:x=60 y=30(68) 92x+83y=11586 43x+y=3010 答案:x=70 y=62(69) 99x+82y=6055 52x-y=1716答案:x=33 y=34(70) 15x+26y=1729 94x+y=8554 答案:x=91 y=14(71) 64x+32y=3552 56x-y=2296 答案:x=41 y=29(72) 94x+66y=10524 84x-y=7812 答案:x=93 y=27(73) 65x-79y=-5815 89x+y=2314 答案:x=26 y=95(74) 96x+54y=6216 63x-y=1953 答案:x=31 y=60(75) 60x-44y=-352 33x-y=1452 答案:x=44 y=68(76) 79x-45y=510 14x-y=840 答案:x=60 y=94(77) 29x-35y=-218 59x-y=4897 答案:x=83 y=75(78) 33x-24y=190530x+y=2670 答案:x=89 y=43 (79) 61x+94y=1180093x+y=5952答案:x=64 y=84(80) 61x+90y=500148x+y=2448答案:x=51 y=21(81) 93x-19y=286x-y=1548答案:x=18 y=88 (82) 19x-96y=-5910 30x-y=2340答案:x=78 y=77 (83) 80x+74y=8088 96x-y=8640答案:x=90 y=12 (84) 53x-94y=1946 45x+y=2610答案:x=58 y=12 (85) 93x+12y=9117 28x-y=2492答案:x=89 y=70 (86) 66x-71y=-167399x-y=7821 答案:x=79 y=97(87) 43x-52y=-1742 76x+y=1976 答案:x=26y=55(88) 70x+35y=8295 40x+y=2920 答案:x=73y=91(89) 43x+82y=4757 11x+y=231 答案:x=21y=47(90) 12x-19y=236 95x-y=7885 答案:x=83 y=40(91) 51x+99y=8031 71x-y=2911 答案:x=41y=60(92) 37x+74y=4403 69x-y=6003 答案:x=87y=16(93) 46x+34y=4820 71x-y=5183 答案:x=73y=43(94) 47x+98y=5861 55x-y=4565答案:x=83 y=20(95) 30x-17y=23928x+y=1064答案:x=38 y=53(96) 55x-12y=411279x-y=7268答案:x=92 y=79(97) 27x-24y=-45067x-y=3886答案:x=58 y=84(98) 97x+23y=811914x+y=966答案:x=69 y=62(99) 84x+53y=1127570x+y=6790答案:x=97 y=59(100) 51x-97y=29719x-y=1520答案:x=80 y=39 单纯的课本内容,并不能满足学生的需要,通过补充,达到内容的完善。
二元一次方程组计算题(1)⎩⎨⎧=+=-5253y x y x (2)⎩⎨⎧=--=523x y x y ①*2-②得-7y=5①带入②得 x-3-2x=5y=-5/7 x=-8③带入①得x+15/7=5 ③带入①得 y=-8-3=-11 x=20/7 (3)⎩⎨⎧=+=-152y x y x (4)⎩⎨⎧+==-1302y x y x①+②得3x=6 ②带入①得 3y+1-2y=0 x=2 y=-1③带入②得2+y=1 ③带入②得 x=-3+1=-2 y=-1 (5)⎩⎨⎧-=+=-14329m n n m (6)⎩⎨⎧=+-=-qp q p 451332①*2+②得 19m=5 ②*2+①得 -11q=3 m=5/19 q=-3/11③带入②得 4n+5/19=-1 ③带入②得 p=67/11 m=-6/19 (1)⎩⎨⎧=+=-924523n m n m (2)⎩⎨⎧=+=-524753y x y x①+②得 7m=14 ①*4-②*3得 -26y=13 m=2 y=-1/2③带入①得 3*2-2n=5 ③带入②得 4x-1=5 n=1/2 x=3/2(3)⎩⎨⎧=--=-7441156y x y x (4)⎩⎨⎧-=+-=-53412911y x y x①*2+②*3得 -22y=43 ①+②*3得 –x=-3y=-43/22 x=3③带入①得 x=9/44 ③带入①得 33-9y=12 y=7/3(5)⎪⎩⎪⎨⎧=-=+2.03.05.0523151y x y x (6)⎩⎨⎧=+=+a y x a y x 343525( 其中a 为常数) ①*5-②*2得 34/15y=8/5 ①*2-②得 7x=7a y=12/17 x=a③带入①得 1/5x+12/51=2/5 ③带入②得 3a+4y=3a x=14/17 y=01、⎩⎨⎧=-=+-6430524m n n m2、⎪⎪⎩⎪⎪⎨⎧=--=-323113121y x y x①+②得 n=1 ①*3+②得 11/6x=7/3 ③带入①得 4m-2+5=0 x=14/11m=-3/4 ③带入①得 7/11-1/3y=1 y=-12/113、⎩⎨⎧=-=+110117.03.04.0y x y x4、⎪⎩⎪⎨⎧=+=+-722013152y x y x ①*100+②*3得 73x=73 ①*15-②*3得 -11y=-36 x=1 y=36/11③带入②得 11-10y=1 ③带入②得 2x+72/11=7 y=1 x=5/22 5、⎩⎨⎧-=+=--c y x c y x 72963112(c 为常数) 6、⎩⎨⎧-=++=--cd y x dc y x 23434(d c 、为常数)①*3+②得 -4y=2c ①*4+②得 -13y=6d+11c y=-c/2 y=-(6d+11c)/13③带入①得 -2x+11c/2=3c ③带入①得 –x+(24d+44c)/13=3c+d x=5c/4 x=(5c+11d)/13(1)⎩⎨⎧=+=-82302y x y x (2)⎪⎩⎪⎨⎧=+=-33352y x y x①+②得 4x=8 ①*5+②*3得 3x=24 x=2 x=8③带入①得 2-2y=0 ③带入②得 (8+y)/3=3 y=1 y=1(3)⎩⎨⎧=-=+52243y x y x (4)⎪⎩⎪⎨⎧=+=+=+543c b c a b a①+②*4得 11x=22 ①+②+③得 2(a+b+c )=12 x=2 a+b+c=6 ④③带入②得 4-y=5 ①带入④得 3+c=6 y=-1 c=3②带入④得 4+b=6 b=2③带入④得 5+a=6 a=1⎩⎨⎧=+=-24352y x y x (用代入法) ⎩⎨⎧-=-=+12392y x y x 由①得 y=2x-5 ③ ①+②得 4x=8 将③带入②得 3x+8x-20=2 x=2x=2 ③带入①得 2+2y=9 将④带入③得 y=4-5 y=7/2 y=-1⎩⎨⎧=+-=-632223y x y x ⎪⎩⎪⎨⎧+=-+=-15315)1(3xy y x ①*3+②*2得 13x=6 ①-②*15得 4y=28x=6/13 y=7③带入①得 18/13-2y=-2 ③带入①得 3x-3=12 y=22/13 x=5⎪⎩⎪⎨⎧=++=-+-=-112353232z y x z y x y x415x z ⎨+=-⎩ ②①-②*3得 -17z=51 z=-3③带入②得 x-12=-15 x=-322314m n m n -=⎧⎨+=⎩ ①②①*3+②得 5m=20 m=4③带入①得 4-n=2 n=24(1)3(1)2223x y y x y--=--⎧⎪⎨+=⎪⎩ ①*2+②*6得 11x=22 x=2③带入②得 1+y/3=2 y=3⎩⎨⎧=+=+)2(30034)1(1502y x y x ①*4-②得 5y=300 y=60③带入①得 x+120=150 x=30⎩⎨⎧=-=+)2(574)1(973y x y x ①+②得 7x=14 x=2③带入①得 6+7y=9 y=3/7⎩⎨=+)2(4265y x ①*3+②*2得 19x=114 x=6③带入①得 18-4y=10 y=21323334m nm n ⎧+=⎪⎪⎨⎪-=⎪⎩ ()()344126x y x y x y x y⎧+--=⎪⎨+-+=⎪⎩①*18+②*24得 17m=306 设x+y=a,x-y=bm=18 ①-②*6得 -5b=-2 ③带入①得 9+n/3=13 b=-2/5n=12 ③带入①得 3a+8/5=4 a=4/5x=1/5,y=3/5⎩⎨⎧=-=+ ② ①82523y x y x ⎪⎩⎪⎨⎧-=-=+②①743243y x yx①+②*2得 7x=21 ①*48+②*3得 25x=75 x=3 x=3③带入②得 6-y=8 ③带入①得 1+y/4=2 y=-2 y=41444x y x y ⎧-=-⎪⎨⎪+=⎩ 12034311236x y x y -+⎧-=⎪⎪⎨--⎪-=⎪⎩ ①+②/4得 x/2=0 由①得 x=(3y+10)/4 ③ x=0 将③带入②得 y=2 ③带入②得 4y=4 x=4 y=1用代入法解⎩⎨⎧=-=4523y x y x 用加减法解⎩⎨⎧=-=+5221532y x y x将①带入②得 y=4 ①-②得 5y=10y=2x=12 将③带入②得 2x-4=5 x=9/2(1)⎩⎨⎧=-=+173475y x y x (2)⎪⎩⎪⎨⎧=++-=+-=-+9313z y x z y x z y x①*3+②得 19x=38 ①+②得 2x=16x=2 x=8③带入①得 10+y=7 ①+③得 2y=22 y=-3 y=11②+③得 2z=12 Z=6⎩⎨⎧=-=-22534y x y x ⎩⎨⎧-=+=-632953y x y x①-②*2得 -y=1 ①*2-②*3得 -19y=36y=-1 y=-36/19 将③带入②得 2x+1=2 将③带入②得 2x-108/19=-6 x=1/2 x=111/19⎩⎨⎧=-=+422822y x y x ⎩⎨⎧=-=+113032Y X Y X①+②得 4x=12 ①+②*3得 11x=33 x=3 x=3③带入①得 6+2y=8 将③带入②得 9-y=11 y=1 y=-22 32 1 2 2 x y z x y x y z -=⎧⎪+=⎨⎪-=+⎩①②③ 5 6 7 x y y z z x +=⎧⎪+=⎨⎪+=⎩①②③ 将①带入③得 x+y=2 ④ ①+②+③得 x+y+z=9 ④ ②-④*2得 x=-3 ①带入④得 5+z=9 y=5 z=4z=-13 ②带入④得 x+6=9 x=3③带入④得 7+y=9 y=2 34573516 x y zx y x ⎧==⎪⎨⎪+-=⎩①②11 5 1 x y z y z x z x y +-=⎧⎪+-=⎨⎪+-=⎩①②③ 4 2 1 1 x z z y y x z -=-⎧⎪-=-⎨⎪+-=-⎩①②③ 设x/3=y/4=z/5=k ①+②得 2y=16 y-4=-1 X=3k,y=4k,z=5k y=8 y=321k+12k-25k=16 ①+③得 2x=12 z=5 K=2 x=6 x=1 X=6,y=8,z=10 ②+③得 2z=6 Z=3(1)⎩⎨⎧=-+=-;01532,5y x y x (2)⎩⎨⎧-=-=+;235,923x y y x (3)⎪⎩⎪⎨⎧=--=+-=++;053,1832,45z y x z y x z y x (4)⎪⎩⎪⎨⎧=+=+=+.5,4,3m x z m z y m y xX=y+5 7y=7 x=(13+11z)/17=1581/2125 x+y+z= 2y+10+3y-15=0 y=1 y=(1+2z)/3=133/375 6m Y=1 x=7/3 z=-4/125 z=3m X=6 x=2m Y=m(1)⎪⎩⎪⎨⎧⋅=+⋅=+-%;10300%10%20,952104y x y x (2)⎪⎩⎪⎨⎧=-+=+-=-+;32,5232,0z y x z y x z y x (3)⎩⎨⎧=-=+.1232,cd dy cx cd dy cx ①*20+②*100得 x=143 y=3/2 ①*23+②得5cx=15cd Y=14 ①*2+②得 x=13/8 x=3d Z=25/8 y=-2c。
初一数学下第8章《二元一次方程组》试题及答案§8.1二元一次方程组一、填空题1、二元一次方程4x-3y=12,当x=0,1,2,3时,y=____2、在x+3y=3中,若用x 表示y ,则y= ,用y 表示x ,则x=3、已知方程(k 2-1)x 2+(k+1)x+(k-7)y=k+2,当k=______时,方程为一元一次方程;当k=______时,方程为二元一次方程。
4、对二元一次方程2(5-x)-3(y-2)=10,当x=0时,则y=____;当y=0时,则x=____。
5、方程2x+y=5的正整数解是______。
6、若(4x-3)2+|2y+1|=0,则x+2= 。
7、方程组⎩⎨⎧==+b xy a y x 的一个解为⎩⎨⎧==32y x ,那么这个方程组的另一个解是 。
8、若21=x 时,关于y x 、的二元一次方程组⎩⎨⎧=-=-212by x y ax 的解互为倒数,则=-b a 2 。
二、选择题1、方程2x-3y=5,xy=3,33=+y x ,3x-y+2z=0,62=+y x 中是二元一次方程的有( )个。
A、1 B、2 C、3 D、42、方程2x+y=9在正整数范围内的解有( )A 、1个B 、2个C 、3个D 、4个3、与已知二元一次方程5x-y=2组成的方程组有无数多个解的方程是( )A 、10x+2y=4B 、4x-y=7C 、20x-4y=3D 、15x-3y=64、若是m y x 25与2214-++n m n y x 同类项,则n m -2的值为 ( )A 、1B 、-1C 、-3D 、以上答案都不对5、在方程(k 2-4)x 2+(2-3k)x+(k+1)y+3k=0中,若此方程为二元一次方程,则k 值为( )A 、2B 、-2C 、2或-2D 、以上答案都不对.6、若⎩⎨⎧-==12y x 是二元一次方程组的解,则这个方程组是( ) A 、⎩⎨⎧=+=-5253y x y x B 、⎩⎨⎧=--=523x y x y C 、⎩⎨⎧=+=-152y x y x D 、⎩⎨⎧+==132y x y x 7、在方程3)(3)(2=--+x y y x 中,用含x 的代数式表示y ,则 ( )A 、35-=x yB 、3--=x yC 、35+=x yD 、35--=x y8、已知x=3-k,y=k+2,则y与x的关系是( )A、x+y=5 B、x+y=1 C、x-y=1 D、y=x-19、下列说法正确的是( )A、二元一次方程只有一个解B、二元一次方程组有无数个解C、二元一次方程组的解必是它所含的二元一次方程的解D、三元一次方程组一定由三个三元一次方程组成10、若方程组⎩⎨⎧=+=+16156653y x y x 的解也是方程3x+ky=10的解,则k的值是( =)A、k=6 = B、k=10 C、k=9 D、k=101三、解答题1、解关于x 的方程)1(2)4)(1(+-=--x a x a a2、已知方程组⎩⎨⎧=+=+cy ax y x 27,试确定c a 、的值,使方程组: (1)有一个解;(2)有无数解;(3)没有解3、关于y x 、的方程3623-=+k y kx ,对于任何k 的值都有相同的解,试求它的解。
§8.2消元——二元一次方程组的解法一、用代入法解下列方程组(1)⎩⎨⎧=+=-5253y x y x (2) ⎩⎨⎧=--=523x y x y(3)⎩⎨⎧=+=-152y x y x (4)⎩⎨⎧+==-1302y x y x(5)⎩⎨⎧-=+=-14329m n n m (6)⎩⎨⎧=+-=-qp q p 451332二、用加减法解下列方程组(1)⎩⎨⎧=+=-924523n m n m (2)⎩⎨⎧=+=-524753y x y x (3)⎩⎨⎧=--=-7441156y x y x (4)⎩⎨⎧-=+-=-53412911y x y x(5)⎪⎩⎪⎨⎧=-=+2.03.05.0523151y x y x (6)⎩⎨⎧=+=+a y x a y x 343525( 其中a 为常数)三、解答题1、代数式by ax +,当2,5==y x 时,它的值是7;当5,8==y x 时,它的值是4,试求5,7-==y x 时代数式by ax -的值。
2、求满足方程组⎩⎨⎧=-=--20314042y x m y x 中的y 值是x 值的3倍的m 的值,并求y x xy + 的值。
3、列方程解应用题一个长方形的长减少10㎝,同时宽增加4㎝,就成为一个正方形,并且这两个图形的面积相等,求员长方形的长、宽各是多少。
§8.3实际问题与二元一次方程组列方程解下列问题1、有甲乙两种债券,年利率分别是10%与12%,现有400元债券,一年后获利45元,问两种债券各有多少?2、一种饮料大小包装有3种,1个中瓶比2小瓶便宜2角,1个大瓶比1个中瓶加1个小瓶贵4角,大、中、小各买1瓶,需9元6角。
3种包装的饮料每瓶各多少元?3、某班同学去18千米的北山郊游。
只有一辆汽车,需分两组,甲组先乘车、乙组步行。
车行至A处,甲组下车步行,汽车返回接乙组,最后两组同时达到北山站。
已知汽车速度是60千米/时,步行速度是4千米/时,求A点距北山站的距离。
4、某校体操队和篮球队的人数是5:6,排球队的人数比体操队的人数2倍少5人,篮球队的人数与体操队的人数的3倍的和等于42人,求三种队各有多少人?5、甲乙两地相距60千米,A、B两人骑自行车分别从甲乙两地相向而行,如果A比B先出发半小时,B每小时比A多行2千米,那么相遇时他们所行的路程正好相等。
求A、B两人骑自行车的速度。
(只需列出方程即可)6、已知甲、乙两种商品的原价和为200元。
因市场变化,甲商品降价10%,乙商品提高10%,调价后甲、乙两种商品的单价和比原单价和提高了5%。
求甲、乙两种商品的原单价各是多少元。
7、2辆大卡车和5辆小卡车工作2小时可运送垃圾36吨,3辆大卡车和2辆小卡车工作5小时可运输垃圾80吨,那么1辆大卡车和1辆小卡车各运多少吨垃圾。
8、12支球队进行单循环比赛,规定胜一场得3分,平一场得1分,负一场得0分。
若有一支球队最终的积分为18分,那么这个球队平几场?9、现有A 、B 、C 三箱橘子,其中A 、B 两箱共100个橘子,A 、C 两箱共102个,B 、C 两箱共106个,求每箱各有多少个?第八单元测试一、选择题(每题3分,共24分)1、表示二元一次方程组的是( )A 、⎩⎨⎧=+=+;5,3x z y xB 、⎩⎨⎧==+;4,52y y x C 、⎩⎨⎧==+;2,3xy y x D 、⎩⎨⎧+=-+=222,11x y x x y x 2、方程组⎩⎨⎧=-=+.134,723y x y x 的解是( ) A 、⎩⎨⎧=-=;3,1y x B 、⎩⎨⎧-==;1,3y x C 、⎩⎨⎧-=-=;1,3y x D 、⎩⎨⎧-=-=.3,1y x 3、设⎩⎨⎧=+=.04,3z y y x ()0≠y 则=z x ( ) A 、12 B 、121-C 、12-D 、.121 4、设方程组()⎩⎨⎧=--=-.433,1by x a by ax 的解是⎩⎨⎧-==.1,1y x 那么b a ,的值分别为( ) A 、;3,2- B 、;2,3- C 、;3,2- D 、.2,3-5、方程82=+y x 的正整数解的个数是( )A 、4B 、3C 、2D 、16、在等式n mx x y ++=2中,当3.5,3;5,2=-=-===x y x y x 则时时时, =y ( )。
A 、23B 、-13C 、-5D 、137、关于关于y x 、的方程组⎩⎨⎧-=+-=-5m212y 3x 4m 113y 2x 的解也是二元一次方程2073=++m y x 的解,则m 的值是( )A 、0B 、1C 、2D 、21 8、方程组⎩⎨⎧=-=-82352y x y x ,消去y 后得到的方程是( ) A 、01043=--x x B 、8543=+-x xC 、8)25(23=--x xD 、81043=+-x x二、填空题(每题3分,共24分)1、21173+=x y 中,若,213-=x 则=y _______。
2、由==--y y x y x 得表示用,,06911_______,=x x y 得表示,_______。
3、如果⎩⎨⎧=-=+.232,12y x y x 那么=-+-+3962242y x y x _______。
4、如果1032162312=--+--b a b a y x 是一个二元一次方程,那么数a =___, b =__。
5、购面值各为20分,30分的邮票共27枚,用款6.6元。
购20分邮票_____枚,30分邮票_____枚。
6、已知⎩⎨⎧==⎩⎨⎧=-=310y 2x y x 和是方程022=--bx ay x 的两个解,那么a = ,b = 7、如果b a a b y x y x 4222542-+-与是同类项,那么 a = ,b = 。
8、如果63)2(1||=---a x a 是关于x 的一元一次方程,那么aa 12--= 。
三、用适当的方法解下列方程(每题4分,共24分)1、⎩⎨⎧=-=+-6430524m n n m2、⎪⎪⎩⎪⎪⎨⎧=--=-323113121y x y x 3、⎩⎨⎧=-=+110117.03.04.0y x y x 4、⎪⎩⎪⎨⎧=+=+-722013152y x y x5、⎩⎨⎧-=+=--c y x c y x 72963112(c 为常数) 6、⎩⎨⎧-=++=--c d y x d c y x 23434(d c 、为常数)四、列方程解应用题(每题7分,共28分)1、初一级学生去某处旅游,如果每辆汽车坐45人,那么有15个学生没有座位;如果每辆汽车坐60人,那么空出1辆汽车。
问一工多少名学生、多少辆汽车。
2、某校举办数学竞赛,有120人报名参加,竞赛结果:总平均成绩为66分,合格生平均成绩为76分,不及格生平均成绩为52分,则这次数学竞赛中,及格的学生有多少人,不及格的学生有多少人。
3、有一个两位数,其数字和为14,若调换个位数字与十位数字,就比原数大18则这个两位数是多少。
(用两种方法求解)4、甲乙两地相距20千米,A从甲地向乙地方向前进,同时B从乙地向甲地方向前进,两小时后二人在途中相遇,相遇后A就返回甲地,B仍向甲地前进,A回到甲地时,B离甲地还有2千米,求A、B二人的速度。
答案第八章§8.1一、1、-4,-0,34,38-- 2、y x x y 33,33-=-= 3、-1,1 4、2,3 5、⎩⎨⎧==⎩⎨⎧==12,31y x y x 6、2.75 7、,23⎩⎨⎧==y x 8、11.5 二、ADDBCCAADB三、1、当32≠≠a a 且时,=x 32-a 2、略 3、⎪⎩⎪⎨⎧==232y x §8.2一、1、⎪⎪⎩⎪⎪⎨⎧-==75720y x 2、⎩⎨⎧-=-=118y x 3、⎩⎨⎧-==12y x 4、⎩⎨⎧-=-=21y x 5、⎪⎪⎩⎪⎪⎨⎧-==196195y x 6、⎪⎪⎩⎪⎪⎨⎧=-=75673y x 二、1、⎪⎩⎪⎨⎧==212n m 2、⎪⎪⎩⎪⎪⎨⎧-==2123y x 3、⎪⎪⎩⎪⎪⎨⎧-==221163y x 4、⎪⎩⎪⎨⎧==733y x 5、⎪⎪⎩⎪⎪⎨⎧==17121714y x 6、⎩⎨⎧==0y a x 三、1、⎩⎨⎧-==43b a 2、3 3、长3216、宽322 §8.31、⎩⎨⎧==250150y x2、⎪⎩⎪⎨⎧===163050z y x 3、2.25Km 4、体操队10人,排球队15人,篮球队12人 5、设甲的速度是x 千米/小时,乙的速度是y 千米/小时, ⎪⎩⎪⎨⎧=-=+2130302y x y x 6、7、⎩⎨⎧==24y x 8、平5场或3场或1场 9、⎪⎩⎪⎨⎧===545248C B A第八单元测试一、DBCABDCD二、1、4 2、1169,9611+-y x 3、2 4、7185、156、2,31- 7、53,115-8、2-=a三、1、⎪⎩⎪⎨⎧=-=143y m 2、⎪⎪⎩⎪⎪⎨⎧==11121130y x 3、⎩⎨⎧==11y x 4、⎪⎪⎩⎪⎪⎨⎧==1136225y x 5⎪⎪⎩⎪⎪⎨⎧-==cy cx 21456、⎪⎪⎩⎪⎪⎨⎧+-=+=1361113115d c y dc x四 1、240名学生,5辆车 2、及格的70人,不及格的50人 3、原数是684、A 的速度5.5千米/时,B 的速度是4.5千米/时。