二元一次方程组练习题(含答案)
- 格式:doc
- 大小:839.35 KB
- 文档页数:17
二元一次方程组经典练习题+答案解析100道-CAL-FENGHAI.-(YICAI)-Company One12二元一次方程组练习题100道(卷一)(范围:代数: 二元一次方程组)一、判断1、⎪⎩⎪⎨⎧-==312y x 是方程组⎪⎪⎩⎪⎪⎨⎧=-=-910326523y x y x 的解 …………( ) 2、方程组⎩⎨⎧=+-=5231y x xy 的解是方程3x -2y =13的一个解( )3、由两个二元一次方程组成方程组一定是二元一次方程组( )4、方程组⎪⎪⎩⎪⎪⎨⎧=-++=+++25323473523y x y x ,可以转化为⎩⎨⎧-=--=+27651223y x y x ( )5、若(a 2-1)x 2+(a -1)x +(2a -3)y =0是二元一次方程,则a 的值为±1( )6、若x +y =0,且|x |=2,则y 的值为2 …………( )7、方程组⎩⎨⎧=+-=+81043y x xm my mx 有唯一的解,那么m 的值为m ≠-5 …………( )8、方程组⎪⎩⎪⎨⎧=+=+623131y x y x 有无数多个解 …………( )9、x +y =5且x ,y 的绝对值都小于5的整数解共有5组 …………( ) 10、方程组⎩⎨⎧=+=-3513y x y x 的解是方程x +5y =3的解,反过来方程x +5y =3的解也是方程组⎩⎨⎧=+=-3513y x y x 的解 ………( ) 11、若|a +5|=5,a +b =1则32-的值为b a………() 12、在方程4x -3y =7里,如果用x 的代数式表示y ,则437y x +=( )二、选择:13、任何一个二元一次方程都有( ) (A )一个解; (B )两个解; (C )三个解; (D )无数多个解;14、一个两位数,它的个位数字与十位数字之和为6,那么符合条件的两位数的个数有( )(A )5个 (B )6个 (C )7个 (D )8个315、如果⎩⎨⎧=+=-423y x ay x 的解都是正数,那么a 的取值范围是( )(A )a <2; (B )34->a ;(C )342<<-a ; (D )34-<a ;16、关于x 、y 的方程组⎩⎨⎧=-=+m y x my x 932的解是方程3x +2y =34的一组解,那么m 的值是( )(A )2; (B )-1; (C )1;(D )-2;17、在下列方程中,只有一个解的是( ) (A )⎩⎨⎧=+=+0331y x y x(B )⎩⎨⎧-=+=+2330y x y x(C )⎩⎨⎧=-=+4331y x y x(D )⎩⎨⎧=+=+3331y x y x18、与已知二元一次方程5x -y =2组成的方程组有无数多个解的方程是( )(A )15x -3y =6 (B )4x -y =7 (C )10x +2y =4 (D )20x -4y =3 19、下列方程组中,是二元一次方程组的是( )(A )⎪⎩⎪⎨⎧=+=+9114y x y x (B )⎩⎨⎧=+=+75z y y x(C )⎩⎨⎧=-=6231y x x(D )⎩⎨⎧=-=-1y x xyy x20、已知方程组⎩⎨⎧-=+=-135b y ax y x 有无数多个解,则a 、b 的值等于( ) (A )a =-3,b =-14(B )a =3,b =-7(C )a =-1,b =9(D )a =-3,b =1421、若5x -6y =0,且xy ≠0,则yx yx 3545--的值等于( ) (A )32(B )23 (C )1(D )-122、若x 、y 均为非负数,则方程6x =-7y 的解的情况是( ) (A )无解 (B )有唯一一个解 (C )有无数多个解 (D )不能确定 23、 (A )14 (B )-4 (C )-12 (D )12 24、已知⎩⎨⎧-==24y x 与⎩⎨⎧-=-=52y x 都是方程y =kx +b 的解,则k 与b 的值为( ) (A )21=k ,b =-4(B )21-=k ,b =44(C )21=k ,b =4 (D )21-=k ,b =-4三、填空:25、在方程3x +4y =16中,当x =3时,y =________,当y =-2时,x =_______ 若x 、y 都是正整数,那么这个方程的解为___________;26、27、如果,那么用含有y 的代数式表示的代数式是_____________; 28、29、方程|a |+|b |=2的自然数解是_____________; 30、如果x =1,y =2满足方程141=+y ax ,那么a =____________; 31、已知方程组⎩⎨⎧-=+=+m y x ay x 26432有无数多解,则a =______,m =______;32、若方程x -2y +3z =0,且当x =1时,y =2,则z =______; 33、34、若x +y =a ,x -y =1同时成立,且x 、y 都是正整数,则a 的值为________; 35、从方程组)0(030334≠⎩⎨⎧=+-=--xyz z y x z y x 中可以知道,x :z =_______;y :z =________;36、四、解方程组五、解答题:47、甲、乙两人在解方程组 时,甲看错了①式中的x的系数,解得⎪⎪⎩⎪⎪⎨⎧==475847107y x ;乙看错了方程②中的y的系数,解得⎪⎪⎩⎪⎪⎨⎧==19177681y x ,若两人的计算都准确无误,请写出这个方程组,并求出此方程组的解;48、使x +4y =|a |成立的x 、y 的值,满足(2x +y -1)2+|3y -x |=0,又|a |+a =0,求a 的值; 49、代数式ax 2+bx +c 中,当x =1时的值是0,在x =2时的值是3,在x =3时的值是28,试求出这个代数式;50、要使下列三个方程组成的方程组有解,求常数a 的值。
初中数学二元一次方程组经典练习题(含答案)解下列二元一次方程组:1. {x +y = 2 3x +7y =10;2.{x +3y = 810x −y =18;3.{3x +2y =1364x −3y =1;4.{ x+52+y−43=2x+20.3−y+70.4= −10 ;5.{ 4x −3y =−1 x 5=y 7 ;6. {3(x +2)=2(y +3)4(x −2)=3(y −3);7.{ x 5+y 7=10 x 3−y 4=3;8.{x 2+y 3=42x +7y =50 ;9.{12(x +3)+13(y −4)=52(x −3)+5(y +4)=70 ;10.{0.2x +0.5y =9x+22+y+105=15 ;11.{4(x −1) +3(y +1) =320%(x +1)+80%(y −1)=−3;12.{x+2y 2 +x−2y 3 = 113(x +2y )−4(x −2y )=30 ;参考答案1. {x +y = 23x +7y =10 ;解: {x +y = 2−−−−−−①3x +7y =10−−−−②①×3,得3x+3y=6-------③②-③,得4y=4,即y=1将y=1代入①,解得x=1故原方程组的解是: {x =1y =12.{x +3y = 810x −y =18; 解:{x +3y = 8−−−−−−−①10x −y =18−−−−−−②②×3,得 30x-3y=54----③①+③,得31x=62,即x=2将x=2代入①,得2+3y=8,y=2故原方程组的解是: {x =2y =23.{3x +2y =1364x −3y =1; 解:{3x +2y =136−−−−−−①4x −3y =1−−−−−−② ①×3,得9x+6y= 132------③ ②×2,得8x-6y=2-----④③+④,得17x= 172 ,x= 12 将x= 12代入②,2-3y=1,y= 13 故原方程组的解是: {x = 12y = 134.{ x+52+y−43=2 x+20.3−y+70.4= −10; 解:{ x+52+y−43=2 −−−−−−−① x+20.3−y+70.4= −10−−−−−−②①等号两边同时乘以6,得3(x+5)+2(y-4)=123x+15+2y-8=12整理,得3x+2y=5----------③②等号两边同时乘以0.3×0.4,得0.4(x+2)-0.3(y+7)=-1.2两边同时乘以10,得4(x+2)-3(y+7)=-124x+8-3y-21=-12整理,得4x-3y=1--------④③×3,得9x+6y=15------⑤④×2,得8x-6y=2-------⑥⑤+⑥,得17x=17,即x=1将x=1代入③,得3+2y=5,y=1故原方程组的解是: {x =1y =15.{ 4x −3y =−1 x 5=y 7 ; 解:{ 4x −3y =−1 −−−−−−−−−−−① x 5=y 7−−−−−−−−−−−−−−−② ②变化为x= 57 y--------------③ 将③代入①,得4×57y -3y=-1 20−217 y =-1,整理得y=7将y=7代入③,得x= 57 ×7,x=5 故原方程组的解是: {x =5y =76. {3(x +2)=2(y +3)4(x −2)=3(y −3); 解:{3(x +2)=2(y +3)4(x −2)=3(y −3)方程组去括号,得{3x +6=2y +64x −8=3y −9整理得{3x −2y =0−−−−①4x −3y +1=0−−②①×3,得9x-6y=0--------③②×2, 得8x-6y+2=0------④③-④,得x-2=0,即x=2将x=2代入①,得6-2y=0,y=3故原方程组的解是: {x =2y =37.{ x 5+y 7=10 x 3−y 4=3; 解:{ x 5+y 7=10 x 3−y 4=3 方程组去分母,得{ 7x +5y =350−−−−−−①4x −3y =36−−−−−−−②①×3,得21x+15y=1050---③②×5,得20x-15y=180----④③+④,得41x=1230,即x=30将x=30代入①,得210+5y=350,y=28故原方程组的解是: {x =30y =288.{x 2+y 3=4 2x +7y =50; 解:{x 2+y 3=4 2x +7y =50方程组去分母,得{3x +2y =24−−−−−−−① 2x +7y =50−−−−−−−②①×2,得6x+4y=48-----③②×3,得6x+21y=150---④④-③,得17y=102,即y=6将y=6代入① ,得3x+12=24,x=4故原方程组的解是: {x =4y =69.{12(x +3)+13(y −4)=52(x −3)+5(y +4)=70 ; 解:{12(x +3)+13(y −4)=5−−−−① 2(x −3)+5(y +4)=70−−−②①去分母,得3(x+3)+2(y-4)=30去括号,得3x+9+2y-8=30整理,得3x+2y-29=0-----------③②去括号,得2x-6+5y+20=70整理,得2x+5y-56=0-----------④③×2,得6x+4y-58=0------------⑤④×3,得6x+15y-168=0----------⑥⑥-⑤,得11y-110=0,即y=10将y=10代入③,得3x+20-29=0,x=3故原方程组的解是:{x=3 y=1010.{0.2x+0.5y=9x+2 2+y+105=15 ;解:{0.2x+0.5y=9−−−−−①x+22+y+105=15−−−−−−②①等号两边同时乘以10,得2x+5y=90------------------③②去分母,得5(x+2)+2(y+10)=150去括号,整理得5x+2y=120---④③×5,得10x+25y=450------⑤④×2,得10x+4y=240-------⑥⑤-⑥,得21y=210,即y=10将y=10代入③,得2x+50=90,x=20故原方程组的解是:{x=20 y=1011.{4(x −1) +3(y +1) =320%(x +1)+80%(y −1)=−3; 解:{4(x −1) +3(y +1) =3−−−−−−−−−①20%(x +1)+80%(y −1)=−3−−−−−−② ①去括号,得4x-4+3y+3=3,整理得4x+3y=4-----③ ②去百分号,得0.2(x+1)+0.8(y-1)=-3等号两边同时乘以10,得2(x+1)+8(y-1)=-30 去括号,得2x+2+8y-8=-30,整理得x+4y=-12----④ ④×4,得4x+16y=-48------------------------⑤ ⑤-③,得13y=-52,即y=-4将y=-4代入④,得x-16=-12,x=4故原方程组的解是: {x =4y =−412.{x+2y 2 +x−2y 3 = 11 3(x +2y )−4(x −2y )=30; 解:{x+2y 2 +x−2y 3 = 11 −−−−−−−−−−−−−−① 3(x +2y )−4(x −2y )=30−−−−−−② ①×6,得3(x+2y )+2(x-2y )=66----------------③③-②,得6(x-2y )=36,即x-2y= 6 -------④①×12,得6(x+2y )+4(x-2y )=132---------------⑤⑤+②,得9(x+2y)=162,即x+2y=18---⑥④+⑥,得2x=24,即x=12④-⑥,得-4y=-12,即y=3故原方程组的解是:{x=12 y=3。
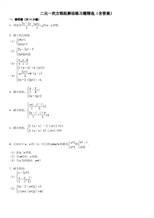
二元一次方程组解法练习题一.解答题 1.解下列方程组 (1) (2)(3))(6441125为已知数a a y x ay x ⎩⎨⎧=-=+ (4)(5)(6).(7) (8)⎩⎨⎧=--+=-++0)1(2)1()1(2x y x x x y y x(9) (10)⎪⎪⎩⎪⎪⎨⎧=-++=-++1213222132y x y x2.求适合的x ,y 的值.3.已知关于x ,y 的二元一次方程y=kx+b 的解有和.(1)求k ,b 的值. (2)当x=2时,y 的值. (3)当x 为何值时,y=3?1.解下列方程组 (1)(2);(3); (4)(5).(6)(7)(8)(9)(10);2.在解方程组时,由于粗心,甲看错了方程组中的a,而得解为,乙看错了方程组中的b ,而得解为.(1)甲把a看成了什么,乙把b看成了什么?(2)求出原方程组的正确解.二元一次方程组解法练习题精选参考答案与试题解析一.解答题(共16小题)1.求适合的x,y的值.考点:解二元一次方程组.分析:先把两方程变形(去分母),得到一组新的方程,然后在用加减消元法消去未知数x,求出y的值,继而求出x的值.解答:解:由题意得:,由(1)×2得:3x﹣2y=2(3),由(2)×3得:6x+y=3(4),(3)×2得:6x﹣4y=4(5),(5)﹣(4)得:y=﹣,把y的值代入(3)得:x=,∴.点评:本题考查了二元一次方程组的解法,主要运用了加减消元法和代入法.2.解下列方程组(1)(2)(3)(4).考点:解二元一次方程组.分析:(1)(2)用代入消元法或加减消元法均可;(3)(4)应先去分母、去括号化简方程组,再进一步采用适宜的方法求解.解答:解:(1)①﹣②得,﹣x=﹣2,解得x=2,把x=2代入①得,2+y=1,解得y=﹣1.故原方程组的解为.(2)①×3﹣②×2得,﹣13y=﹣39,解得,y=3,把y=3代入①得,2x﹣3×3=﹣5,解得x=2.故原方程组的解为.(3)原方程组可化为,①+②得,6x=36,x=6,①﹣②得,8y=﹣4,y=﹣.所以原方程组的解为.(4)原方程组可化为:,①×2+②得,x=,把x=代入②得,3×﹣4y=6,y=﹣.所以原方程组的解为.点评:利用消元法解方程组,要根据未知数的系数特点选择代入法还是加减法:①相同未知数的系数相同或互为相反数时,宜用加减法;②其中一个未知数的系数为1时,宜用代入法.3.解方程组:考点:解二元一次方程组.专题:计算题.分析:先化简方程组,再进一步根据方程组的特点选用相应的方法:用加减法.解答:解:原方程组可化为,①×4﹣②×3,得7x=42,解得x=6.把x=6代入①,得y=4.所以方程组的解为.点;二元一次方程组无论多复杂,解二元一次方程组的基本思想都是消元.消元的方法有代入法和加减法.评:4.解方程组:考点:解二元一次方程组.专题:计算题.分析:把原方程组化简后,观察形式,选用合适的解法,此题用加减法求解比较简单.解答:解:(1)原方程组化为,①+②得:6x=18,∴x=3.代入①得:y=.所以原方程组的解为.点评:要注意:两个二元一次方程中同一未知数的系数相反或相等时,把这两个方程的两边相加或相减,就能消去这个未知数,得到一个一元一次方程,这种方法叫做加减消元法.本题适合用此法.5.解方程组:考点:解二元一次方程组.专题:计算题;换元法.分析:本题用加减消元法即可或运用换元法求解.解答:解:,①﹣②,得s+t=4,①+②,得s﹣t=6,即,解得.所以方程组的解为.点评:此题较简单,要熟练解方程组的基本方法:代入消元法和加减消元法.6.已知关于x,y的二元一次方程y=kx+b 的解有和.(1)求k,b的值.(2)当x=2时,y的值.(3)当x为何值时,y=3?考点:解二元一次方程组.专题:计算题.分析:(1)将两组x,y的值代入方程得出关于k、b的二元一次方程组,再运用加减消元法求出k、b的值.(2)将(1)中的k、b代入,再把x=2代入化简即可得出y 的值.(3)将(1)中的k、b和y=3代入方程化简即可得出x的值.解答:解:(1)依题意得:①﹣②得:2=4k,所以k=,所以b=.(2)由y=x+,把x=2代入,得y=.(3)由y=x+把y=3代入,得x=1.点评:本题考查的是二元一次方程的代入消元法和加减消元法,通过已知条件的代入,可得出要求的数.7.解方程组:(1);(2).考点:解二元一次方程组.分析:根据各方程组的特点选用相应的方法:(1)先去分母再用加减法,(2)先去括号,再转化为整式方程解答.解答:解:(1)原方程组可化为,①×2﹣②得:y=﹣1,将y=﹣1代入①得:x=1.∴方程组的解为;(2)原方程可化为,即,①×2+②得:17x=51,x=3,将x=3代入x﹣4y=3中得:y=0.∴方程组的解为.点评:这类题目的解题关键是理解解方程组的基本思想是消元,掌握消元的方法有:加减消元法和代入消元法.根据未知数系数的特点,选择合适的方法.8.解方程组:考点:解二元一次方程组.专题:计算题.分析:本题应把方程组化简后,观察方程的形式,选用合适的方法求解.解解:原方程组可化为,答:①+②,得10x=30,x=3,代入①,得15+3y=15,y=0.则原方程组的解为.点评:解答此题应根据各方程组的特点,有括号的去括号,有分母的去分母,然后再用代入法或加减消元法解方程组.9.解方程组:考点:解二元一次方程组.专题:计算题.分析:本题为了计算方便,可先把(2)去分母,然后运用加减消元法解本题.解答:解:原方程变形为:,两个方程相加,得4x=12,x=3.把x=3代入第一个方程,得4y=11,y=.解之得.点本题考查的是二元一次方程组的解法,方程中含有分母的要先评:化去分母,再对方程进行化简、消元,即可解出此类题目.10.解下列方程组:(1)(2)考点:解二元一次方程组.专题:计算题.分析:此题根据观察可知:(1)运用代入法,把①代入②,可得出x,y的值;(2)先将方程组化为整系数方程组,再利用加减消元法求解.解答:解:(1),由①,得x=4+y③,代入②,得4(4+y)+2y=﹣1,所以y=﹣,把y=﹣代入③,得x=4﹣=.所以原方程组的解为.(2)原方程组整理为,③×2﹣④×3,得y=﹣24,把y=﹣24代入④,得x=60,所以原方程组的解为.点评:此题考查的是对二元一次方程组的解法的运用和理解,学生可以通过题目的训练达到对知识的强化和运用.11.解方程组:(1)(2)考点:解二元一次方程组.专题:计算题;换元法.分析:方程组(1)需要先化简,再根据方程组的特点选择解法;方程组(2)采用换元法较简单,设x+y=a,x﹣y=b,然后解新方程组即可求解.解答:解:(1)原方程组可化简为,解得.(2)设x+y=a,x﹣y=b,∴原方程组可化为,解得,∴∴原方程组的解为.点此题考查了学生的计算能力,解题时要细心.评:12.解二元一次方程组:(1);(2).考点:解二元一次方程组.专题:计算题.分析:(1)运用加减消元的方法,可求出x、y的值;(2)先将方程组化简,然后运用加减消元的方法可求出x、y 的值.解答:解:(1)将①×2﹣②,得15x=30,x=2,把x=2代入第一个方程,得y=1.则方程组的解是;(2)此方程组通过化简可得:,①﹣②得:y=7,把y=7代入第一个方程,得x=5.则方程组的解是.点此题考查的是对二元一次方程组的解法的运用和理解,学生可评:以通过题目的训练达到对知识的强化和运用.13.在解方程组时,由于粗心,甲看错了方程组中的a,而得解为,乙看错了方程组中的b ,而得解为.(1)甲把a看成了什么,乙把b看成了什么?(2)求出原方程组的正确解.考点:解二元一次方程组.专题:计算题.分析:(1)把甲乙求得方程组的解分别代入原方程组即可;(2)把甲乙所求的解分别代入方程②和①,求出正确的a、b,然后用适当的方法解方程组.解答:解:(1)把代入方程组,得,解得:.把代入方程组,得,解得:.∴甲把a看成﹣5;乙把b看成6;(2)∵正确的a是﹣2,b是8,∴方程组为,解得:x=15,y=8.则原方程组的解是.点评:此题难度较大,需同学们仔细阅读,弄清题意再解答.14.考点:解二元一次方程组.分析:先将原方程组中的两个方程分别去掉分母,然后用加减消元法求解即可.解答:解:由原方程组,得,由(1)+(2),并解得x=(3),把(3)代入(1),解得y=∴原方程组的解为.点评:用加减法解二元一次方程组的一般步骤:1.方程组的两个方程中,如果同一个未知数的系数既不互为相反数又不相等,就用适当的数去乘方程的两边,使一个未知数的系数互为相反数或相等;2.把两个方程的两边分别相加或相减,消去一个未知数,得到一个一元一次方程;3.解这个一元一次方程;4.将求出的未知数的值代入原方程组的任意一个方程中,求出另一个未知数,从而得到方程组的解.15.解下列方程组:(1);(2).考点:解二元一次方程组.分析:将两个方程先化简,再选择正确的方法进行消元.解答:解:(1)化简整理为,①×3,得3x+3y=1500③,②﹣③,得x=350.把x=350代入①,得350+y=500,∴y=150.故原方程组的解为.(2)化简整理为,①×5,得10x+15y=75③,②×2,得10x﹣14y=46 ④,③﹣④,得29y=29,∴y=1.把y=1代入①,得2x+3×1=15,∴x=6.故原方程组的解为.点方程组中的方程不是最简方程的,最好先化成最简方程,再选评:择合适的方法解方程.16.解下列方程组:(1)(2)考点:解二元一次方程组.分析:观察方程组中各方程的特点,用相应的方法求解.解答:解:(1)①×2﹣②得:x=1,将x=1代入①得:2+y=4,y=2.∴原方程组的解为;(2)原方程组可化为,①×2﹣②得:﹣y=﹣3,y=3.将y=3代入①得:x=﹣2.∴原方程组的解为.。
二元一次方程组练习题100道(卷一)(范围:代数: 二元一次方程组)一、判断1、⎪⎩⎪⎨⎧-==312y x 是方程组⎪⎪⎩⎪⎪⎨⎧=-=-910326523y x y x 的解 …………( ) 2、方程组⎩⎨⎧=+-=5231y x xy 的解是方程3x -2y =13的一个解( )3、由两个二元一次方程组成方程组一定是二元一次方程组( )4、方程组⎪⎪⎩⎪⎪⎨⎧=-++=+++25323473523y x y x ,可以转化为⎩⎨⎧-=--=+27651223y x y x ( )5、若(a 2-1)x 2+(a -1)x +(2a -3)y =0是二元一次方程,则a 的值为±1( )6、若x +y =0,且|x |=2,则y 的值为2 …………( )7、方程组⎩⎨⎧=+-=+81043y x xm my mx 有唯一的解,那么m 的值为m ≠-5 …………( )8、方程组⎪⎩⎪⎨⎧=+=+623131y x y x 有无数多个解 …………( ) 9、x +y =5且x ,y 的绝对值都小于5的整数解共有5组 …………( ) 10、方程组⎩⎨⎧=+=-3513y x y x 的解是方程x +5y =3的解,反过来方程x +5y =3的解也是方程组⎩⎨⎧=+=-3513y x y x 的解 ………( )11、若|a +5|=5,a +b =1则32-的值为b a ………()12、在方程4x -3y =7里,如果用x 的代数式表示y ,则437yx +=( ) 二、选择:13、任何一个二元一次方程都有( ) (A )一个解; (B )两个解; (C )三个解; (D )无数多个解;14、一个两位数,它的个位数字与十位数字之和为6,那么符合条件的两位数的个数有( ) (A )5个 (B )6个 (C )7个 (D )8个 15、如果⎩⎨⎧=+=-423y x ay x 的解都是正数,那么a 的取值范围是( )(A )a <2; (B )34->a ; (C )342<<-a ; (D )34-<a ; 16、关于x 、y 的方程组⎩⎨⎧=-=+m y x my x 932的解是方程3x +2y =34的一组解,那么m 的值是( )(A )2; (B )-1; (C )1;(D )-2;17、在下列方程中,只有一个解的是( ) (A )⎩⎨⎧=+=+0331y x y x(B )⎩⎨⎧-=+=+2330y x y x(C )⎩⎨⎧=-=+4331y x y x(D )⎩⎨⎧=+=+3331y x y x18、与已知二元一次方程5x -y =2组成的方程组有无数多个解的方程是( )(A )15x -3y =6 (B )4x -y =7 (C )10x +2y =4 (D )20x -4y =3 19、下列方程组中,是二元一次方程组的是( )(A )⎪⎩⎪⎨⎧=+=+9114y x y x (B )⎩⎨⎧=+=+75z y y x(C )⎩⎨⎧=-=6231y x x(D )⎩⎨⎧=-=-1y x xyy x20、已知方程组⎩⎨⎧-=+=-135b y ax y x 有无数多个解,则a 、b 的值等于( )(A )a =-3,b =-14(B )a =3,b =-7 (C )a =-1,b =9(D )a =-3,b =14 21、若5x -6y =0,且xy ≠0,则yx yx 3545--的值等于( )(A )32 (B )23 (C )1 (D )-122、若x 、y 均为非负数,则方程6x =-7y 的解的情况是( ) (A )无解 (B )有唯一一个解 (C )有无数多个解 (D )不能确定23、若|3x +y +5|+|2x -2y -2|=0,则2x 2-3xy 的值是( )(A )14 (B )-4 (C )-12 (D )12 24、已知⎩⎨⎧-==24y x 与⎩⎨⎧-=-=52y x 都是方程y =kx +b 的解,则k 与b 的值为( ) (A )21=k ,b =-4 (B )21-=k ,b =4 (C )21=k ,b =4(D )21-=k ,b =-4 三、填空:25、在方程3x +4y =16中,当x =3时,y =________,当y =-2时,x =_______ 若x 、y 都是正整数,那么这个方程的解为___________; 26、方程2x +3y =10中,当3x -6=0时,y =_________;27、如果0.4x -0.5y =1.2,那么用含有y 的代数式表示的代数式是_____________; 28、若⎩⎨⎧-==11y x 是方程组⎩⎨⎧-=-=+1242a y x b y ax 的解,则⎩⎨⎧==______________b a ; 29、方程|a |+|b |=2的自然数解是_____________; 30、如果x =1,y =2满足方程141=+y ax ,那么a =____________; 31、已知方程组⎩⎨⎧-=+=+my x ay x 26432有无数多解,则a =______,m =______;32、若方程x -2y +3z =0,且当x =1时,y =2,则z =______;33、若4x +3y +5=0,则3(8y -x )-5(x +6y -2)的值等于_________;34、若x +y =a ,x -y =1同时成立,且x 、y 都是正整数,则a 的值为________; 35、从方程组)0(030334≠⎩⎨⎧=+-=--xyz z y x z y x 中可以知道,x :z =_______;y :z =________;36、已知a -3b =2a +b -15=1,则代数式a 2-4ab +b 2+3的值为__________;四、解方程组□x +5y =13 ①4x -□y =-2 ②37、⎪⎪⎩⎪⎪⎨⎧=-=-1332343n m nm ; 38、)(6441125为已知数a a y x a y x ⎩⎨⎧=-=+;39、⎪⎪⎩⎪⎪⎨⎧=++=+125432y x yx y x ; 40、⎪⎩⎪⎨⎧=--+=-++0)1(2)1()1(2x y x x x y y x ; 41、⎪⎪⎩⎪⎪⎨⎧++=++=+=+6253)23(22)32(32523233y x y x yx y x ; 42、⎪⎪⎩⎪⎪⎨⎧=-++=-++1213222132y x y x ;43、⎪⎩⎪⎨⎧=-+-=-+=-+3113y x z x z y z y x ; 44、⎪⎩⎪⎨⎧=+=+=+101216x z z y y x ;45、⎪⎩⎪⎨⎧=-+=+-=-+35351343z y x z y x z y x ; 46、⎪⎩⎪⎨⎧=+-==30325:3:7:4:z y x z x y x ;五、解答题:47、甲、乙两人在解方程组 时,甲看错了①式中的x 的系数,解得⎪⎪⎩⎪⎪⎨⎧==475847107y x ;乙看错了方程②中的y 的系数,解得⎪⎪⎩⎪⎪⎨⎧==19177681y x ,若两人的计算都准确无误,请写出这个方程组,并求出此方程组的解;48、使x +4y =|a |成立的x 、y 的值,满足(2x +y -1)2+|3y -x |=0,又|a |+a =0,求a 的值;49、代数式ax 2+bx +c 中,当x =1时的值是0,在x =2时的值是3,在x =3时的值是28,试求出这个代数式; 50、要使下列三个方程组成的方程组有解,求常数a 的值。
二元一次方程组练习题100道(卷一)(围:代数: 二元一次方程组)一、判断1、⎪⎩⎪⎨⎧-==312y x 是方程组⎪⎪⎩⎪⎪⎨⎧=-=-910326523y x y x 的解 …………( ) 2、方程组⎩⎨⎧=+-=5231y x xy 的解是方程3x -2y =13的一个解( )3、由两个二元一次方程组成方程组一定是二元一次方程组( )4、方程组⎪⎪⎩⎪⎪⎨⎧=-++=+++25323473523y x y x ,可以转化为⎩⎨⎧-=--=+27651223y x y x ( )5、若(a 2-1)x 2+(a -1)x +(2a -3)y =0是二元一次方程,则a 的值为±1( )6、若x +y =0,且|x |=2,则y 的值为2 …………( )7、方程组⎩⎨⎧=+-=+81043y x xm my mx 有唯一的解,那么m 的值为m ≠-5 …………( )8、方程组⎪⎩⎪⎨⎧=+=+623131y x y x 有无数多个解 …………( ) 9、x +y =5且x ,y 的绝对值都小于5的整数解共有5组 …………( ) 10、方程组⎩⎨⎧=+=-3513y x y x 的解是方程x +5y =3的解,反过来方程x +5y =3的解也是方程组⎩⎨⎧=+=-3513y x y x 的解 ………( )11、若|a +5|=5,a +b =1则32-的值为b a ………()12、在方程4x -3y =7里,如果用x 的代数式表示y ,则437yx +=( ) 二、选择:13、任何一个二元一次方程都有( ) (A )一个解; (B )两个解; (C )三个解; (D )无数多个解;14、一个两位数,它的个位数字与十位数字之和为6,那么符合条件的两位数的个数有( ) (A )5个 (B )6个 (C )7个 (D )8个 15、如果⎩⎨⎧=+=-423y x ay x 的解都是正数,那么a 的取值围是( )(A )a <2; (B )34->a ; (C )342<<-a ; (D )34-<a ; 16、关于x 、y 的方程组⎩⎨⎧=-=+m y x my x 932的解是方程3x +2y =34的一组解,那么m 的值是( )(A )2; (B )-1; (C )1;(D )-2;17、在下列方程中,只有一个解的是( ) (A )⎩⎨⎧=+=+0331y x y x(B )⎩⎨⎧-=+=+2330y x y x(C )⎩⎨⎧=-=+4331y x y x(D )⎩⎨⎧=+=+3331y x y x18、与已知二元一次方程5x -y =2组成的方程组有无数多个解的方程是( )(A )15x -3y =6 (B )4x -y =7 (C )10x +2y =4 (D )20x -4y =3 19、下列方程组中,是二元一次方程组的是( )(A )⎪⎩⎪⎨⎧=+=+9114y x y x (B )⎩⎨⎧=+=+75z y y x(C )⎩⎨⎧=-=6231y x x(D )⎩⎨⎧=-=-1y x xyy x20、已知方程组⎩⎨⎧-=+=-135b y ax y x 有无数多个解,则a 、b 的值等于( )(A )a =-3,b =-14(B )a =3,b =-7 (C )a =-1,b =9(D )a =-3,b =14 21、若5x -6y =0,且xy ≠0,则yx yx 3545--的值等于( )(A )32 (B )23 (C )1 (D )-122、若x 、y 均为非负数,则方程6x =-7y 的解的情况是( ) (A )无解 (B )有唯一一个解 (C )有无数多个解 (D )不能确定 23、(A )14 (B )-4 (C )-12 (D )12 24、已知⎩⎨⎧-==24y x 与⎩⎨⎧-=-=52y x 都是方程y =kx +b 的解,则k 与b 的值为( ) (A )21=k ,b =-4 (B )21-=k ,b =4 (C )21=k ,b =4(D )21-=k ,b =-4 三、填空:25、在方程3x +4y =16中,当x =3时,y =________,当y =-2时,x =_______ 若x 、y 都是正整数,那么这个方程的解为___________;26、27、如果0.4x -0.5y =1.2,那么用含有y 的代数式表示的代数式是_____________; 28、29、方程|a |+|b |=2的自然数解是_____________; 30、如果x =1,y =2满足方程141=+y ax ,那么a =____________; 31、已知方程组⎩⎨⎧-=+=+m y x ay x 26432有无数多解,则a =______,m =______;32、若方程x -2y +3z =0,且当x =1时,y =2,则z =______;33、34、若x +y =a ,x -y =1同时成立,且x 、y 都是正整数,则a 的值为________; 35、从方程组)0(030334≠⎩⎨⎧=+-=--xyz z y x z y x 中可以知道,x :z =_______;y :z =________;36、四、解方程组五、解答题:47、甲、乙两人在解方程组 时,甲看错了①式中的x 的系数,解得⎪⎪⎩⎪⎪⎨⎧==475847107y x ;乙看错了方程②中的y 的系数,解得⎪⎪⎩⎪⎪⎨⎧==19177681y x ,若两人的计算都准确无误,请写出这个方程组,并求出此方程组的解;48、使x +4y =|a |成立的x 、y 的值,满足(2x +y -1)2+|3y -x |=0,又|a |+a =0,求a 的值;49、代数式ax 2+bx +c 中,当x =1时的值是0,在x =2时的值是3,在x =3时的值是28,试求出这个代数式;50、要使下列三个方程组成的方程组有解,求常数a 的值。
⼆元⼀次⽅程组练习题100道-参考答案5、若(a 2-1)x 2+(a -1)x +(2a -3)y =0是⼆元⼀次⽅程,则a 的值为±1()6、若x +y =0,且|x |=2,则y 的值为2 ……()7、⽅程组?=+-=+81043y x x m my mx 有唯⼀的解,那么m 的值为m ≠-5 ……() 8、⽅程组??=+=+623131y x y x 有⽆数多个解 ……() 9、x +y =5且x ,y 的绝对值都⼩于5的整数解共有5组 ……()10、⽅程组=+=-3513y x y x 的解是⽅程x +5y =3的解,反过来⽅程x +5y =3的解也是⽅程组?=+=-3513y x y x 的解 ……() 11、若|a +5|=5,a +b =1则32-的值为b a ……() 22、若x 、y 均为⾮负数,则⽅程6x =-7y 的解的情况是()(A )⽆解(B )有唯⼀⼀个解(C )有⽆数多个解(D )不能确定23、若|3x +y +5|+|2x -2y -2|=0,则2x 2-3xy 的值是()(A )14(B )-4 (C )-12 (D )12 24、已知??-==24y x 与-=-=52y x 都是⽅程y =kx +b 的解,则k 与b 的值为()(A )21=k ,b =-4 (B )21-=k ,b =4 (C )21=k ,b =4 (D )21-=k ,b =-4 三、填空:25、在⽅程3x +4y =16中,当x =3时,y =________,当y =-2时,x =_______若x 、y 都是正整数,那么这个⽅程的解为___________;26、⽅程2x +3y =10中,当3x -6=0时,y =_________;27、如果0.4x -0.5y =1.2,那么⽤含有y 的代数式表⽰的代数式是_____________;28、若-==11y x 是⽅程组-=-=+1242a y x b y ax 的解,则?==______________b a ; 29、⽅程|a |+|b |=2的⾃然数解是_____________;30、如果x =1,y =2满⾜⽅程141=+y ax ,那么a =____________; 31、已知⽅程组?-=+=+m y x ay x 26432有⽆数多解,则a =______,m =______; 32、若⽅程x -2y +3z =0,且当x =1时,y =2,则z=______;33、若4x +3y +5=0,则3(8y -x )-5(x +6y -2)的值等于_________;34、若x +y =a ,x -y =1同时成⽴,且x 、y 都是正整数,则a 的值为________;35、从⽅程组)0(030334≠?=+-=--xyz z y x z y x 中可以知道,x :z =_______;y :z =________; 36、已知a -3b =2a +b -15=1,则代数式a 2-4ab +b 2+3的值为__________;四、解⽅程组37、=-=-1332343n m n m ; 38、=-=+6441125y x y x ; 39、=++=+125432y x y x y x ; 40、=--+=-++0)1(2)1()1(2x y x x x y y x ;□x +5y =13 ① 4x -□y =-2 ②41、++=++=+=+6253)23(22)32(32523233y x y x y x y x ; 42、=-++=-++1213222132y x y x ; 43、=-+-=-+=-+3113y x z x z y z y x ; 44、??=+=+=+101216x z z y y x ;45、=-+=+-=-+35351343z y x z y x z y x ; 46、??=+-==30325:3:7:4:z y x z x y x ;五、解答题:47、甲、⼄两⼈在解⽅程组时,甲看错了①式中的x 的系数,解得==475847107y x ;⼄看错了⽅程②中的y 的系数,解得==19177681y x ,若两⼈的计算都准确⽆误,请写出这个⽅程组,并求出此⽅程组的解;48、使x +4y =|a |成⽴的x 、y 的值,满⾜(2x +y -1)2+|3y -x |=0,⼜|a |+a =0,求a 的值;49、代数式ax 2+bx +c 中,当x =1时的值是0,在x =2时的值是3,在x =3时的值是28,试求出这个代数式;50、要使下列三个⽅程组成的⽅程组有解,求常数a 的值。
二元一次方程组练习题及答案1、二元一次方程4x-3y=12,当x=0,1,2,3时,y=____。
答案:y= -4,1,6,11.2、在x+3y=3中,若用x表示y,则y=,用y表示x,则x=。
答案:y= (3-x)/3,x= 3-3y。
3、已知方程(k^2-1)x^2+(k+1)x+(k-7)y=k+2,当k=______时,方程为一元一次方程;当k=______时,方程为二元一次方程。
答案:k=2或k=-2时为一元一次方程,k不等于2或-2时为二元一次方程。
4、对二元一次方程2(5-x)-3(y-2)=10,当x=0时,则y=____;当y=0时,则x=____。
答案:当x=0时,y= -4;当y=0时,x= 9/2.5、方程2x+y=5的正整数解是______。
答案:(1,3)。
6、若(4x-3)^2+|2y+1|=0,则x+2=______。
答案:x=-5/4.7、方程组x+y=ax=2的一个解为(2,3),那么这个方程组的另一个解是(1,a-1)。
8、若x=2时,关于x、y的二元一次方程组ax-2y=11x-by=2的解互为倒数,则a-2b=-15/2.二、选择题1、方程2x-3y=5,xy=3,x+y的值有(2个)。
答案:B、2.2、方程2x+y=9在正整数范围内的解有(3个)。
答案:C、3.3、与已知二元一次方程5x-y=2组成的方程组有无数多个解的方程是(10x+2y=4)。
答案:A、10x+2y=4.4、若是5x^2y^m与4x^n+m+1y^2n-2同类项,则m-2n的值为(1)。
答案:A、1.5、在方程(k^2-4)x^2+(2-3k)x+(k+1)y+3k=0中,若此方程为二元一次方程,则k值为(2或-2)。
答案:C、2或-2.6、若x=2y=-1是二元一次方程组的解,则这个方程组是x-3y=52x-y=5的解。
答案:A、{x=2,y=-1}。
7、在方程2(x+y)-3(y-x)=3中,用含x的代数式表示y,则(y=5x-3)。
二元一次方程组专题训练1.⎩⎨⎧=-=+33651643y x y x 2. ⎩⎨⎧=+=-6251023x y x y ⎩⎨⎧=-=+19542023b a b a 1、 2、 3、 ⎩⎨⎧=-=+1572532y x y x4、⎩⎨⎧=+-=18435276t s t s 5、 ⎩⎨⎧=-=+574973p q q p 6、⎩⎨⎧=-=+42634y x y x7、⎩⎨⎧-=-=+22223n m n m 8、⎩⎨⎧=--=-495336y x y x 9、10、⎩⎨⎧=-=-yx y x 23532 11、⎩⎨⎧=-=+124532n m n m12、⎩⎨⎧=+=+10232556y x y x13、⎩⎨⎧=+=+2.54.22.35.12y x y x 14、⎪⎩⎪⎨⎧=-+-=+6)(3)1(26132y x x y x15、⎪⎩⎪⎨⎧=+--=-+-04235130423512y x y x 16、⎪⎩⎪⎨⎧=--=+-4323122y x y x yx17、⎪⎩⎪⎨⎧-=-++=-+52251230223x y x y x二元一次方程组练习题一、选择题:1.下列方程中,是二元一次方程的是( ) A .3x -2y=4z B .6xy+9=0 C .1x+4y=6 D .4x=2.下列方程组中,是二元一次方程组的是( )A .228423119...23754624x y x y a b xBCD x y b c y x x y +=+=-=⎧⎧=⎧⎧⎨⎨⎨⎨+=-==-=⎩⎩⎩⎩3.二元一次方程5a -11b=21 ( )A .有且只有一解B .有无数解C .无解D .有且只有两解4.方程y=1-x 与3x+2y=5的公共解是( )A .3333...2422x x x x B C D y y y y ==-==-⎧⎧⎧⎧⎨⎨⎨⎨===-=-⎩⎩⎩⎩5.若│x -2│+(3y+2)2=0,则的值是( )A .-1B .-2C .-3D .326.方程组43235x y kx y -=⎧⎨+=⎩的解与x 与y 的值相等,则k 等于( )7.下列各式,属于二元一次方程的个数有( )①xy+2x -y=7; ②4x+1=x -y ; ③1x+y=5; ④x=y ; ⑤x 2-y 2=2⑥6x -2y ⑦x+y+z=1 ⑧y (y -1)=2y 2-y 2+x A .1 B .2 C .3 D .48.某年级学生共有246人,其中男生人数y 比女生人数x 的2倍少2人,•则下面所列的方程组中符合题意的有( ) A .246246216246 (22222222)x y x y x y x y B C D y x x y y x y x +=+=+=+=⎧⎧⎧⎧⎨⎨⎨⎨=-=+=+=+⎩⎩⎩⎩ 二、填空题9.已知方程2x+3y -4=0,用含x 的代数式表示y 为:y=_______;用含y 的代数式表示x 为:x=________. 10.在二元一次方程-12x+3y=2中,当x=4时,y=_______;当y=-1时,x=______.11.若x 3m -3-2y n -1=5是二元一次方程,则m=_____,n=______.12.已知2,3x y =-⎧⎨=⎩是方程x -ky=1的解,那么k=_______.13.已知│x -1│+(2y+1)2=0,且2x -ky=4,则k=_____.14.二元一次方程x+y=5的正整数解有______________. 15.以57x y =⎧⎨=⎩为解的一个二元一次方程是_________. 16.已知2316x mx y y x ny =-=⎧⎧⎨⎨=--=⎩⎩是方程组的解,则m=_______,n=______.三、解答题17.当y=-3时,二元一次方程3x+5y=-3和3y -2ax=a+2(关于x ,y 的方程)•有相同的解,求a 的值.18.如果(a -2)x+(b+1)y=13是关于x ,y 的二元一次方程,则a ,b 满足什么条件?19.二元一次方程组437(1)3x y kx k y +=⎧⎨+-=⎩的解x ,y 的值相等,求k .20.已知x,y是有理数,且(│x│-1)2+(2y+1)2=0,则x-y的值是多少?21.已知方程12x+3y=5,请你写出一个二元一次方程,使它与已知方程所组成的方程组的解为41xy=⎧⎨=⎩.22.根据题意列出方程组:(1)明明到邮局买0.8元与2元的邮票共13枚,共花去20元钱,•问明明两种邮票各买了多少枚?(2)将若干只鸡放入若干笼中,若每个笼中放4只,则有一鸡无笼可放;•若每个笼里放5只,则有一笼无鸡可放,问有多少只鸡,多少个笼?23.方程组2528x yx y+=⎧⎨-=⎩的解是否满足2x-y=8?满足2x-y=8的一对x,y的值是否是方程组2528x yx y+=⎧⎨-=⎩的解?24.(开放题)是否存在整数m ,使关于x 的方程2x+9=2-(m -2)x 在整数范围内有解,你能找到几个m 的值?你能求出相应的x 的解吗?《二元一次方程组》单元测试题一、选择题(每题3分,共30分) 1.下列方程组中,是二元一次方程组的是( ). (A ) 2311089x y x y ⎧+=⎨-=-⎩ (B )426xy x y =⎧⎨+=⎩ (C )21734x y y x-=⎧⎪⎨-=-⎪⎩(D )24795x y x y +=⎧⎨-=⎩ 2.二元一次方程组⎩⎨⎧==+xy y x 2,102的解是( ) (A )⎩⎨⎧==;3,4y x (B )⎩⎨⎧==;6,3y x (C )⎩⎨⎧==;4,2y x (D )⎩⎨⎧==.2,4y x 3.根据图1所示的计算程序计算y 的值,若输入2=x , 则输出的y 值是( )(A )0 (B )2- (C )2 (D )44.如果2315a b 与114x x y a b ++-是同类项,则x ,y 的值是( )(A )⎩⎨⎧==31y x (B )⎩⎨⎧==22y x (C )⎩⎨⎧==21y x (D )⎩⎨⎧==32y x 5.已知12x y =⎧⎨=⎩ 是方程组错误!未找到引用源。
二元一次方程组经典练习题+答案解析100道二元一次方程组练题100道(卷一)1、判断1、方程组xy526的解是()。
解:这不是一个完整的方程组,缺少另一个方程,无法判断解。
2、方程组1是方程组yx3 2的解是方程3x-2y=13的一个解()。
解:将方程组代入3x-2y=13中,得到3x-2(-x/3-1/2)=13,化简得到x=5,y=-4,代入方程组可验证是解,因此选(√)。
3、由两个二元一次方程组成方程组一定是二元一次方程组()。
解:不一定,例如x+y=1和2x+2y=2就不是二元一次方程组。
4、方程组x3y 573x2y12235 3可以转化为方程组解:将第一个方程移项得到x+3y=2,代入第二个方程中消去x得到-7y=-18,解得y=18/7,代入第一个方程得到x=-41/7,因此可以转化为方程组5x-6y=-27和2y-3x+4=2,选(√)。
5、若(a-1)x+(a-1)x+(2a-3)y=0是二元一次方程,则a的值为±1()。
解:将XXX提取出来得到(a-1)(x+y)+(2a-3)y=0,因此x+y=-2a+3y/y-2,这是一个关于a的一次函数,当a=±1时,x+y=±1,此时方程组化为x+y=±1和-2x-2y=0,是二元一次方程组,因此选(√)。
6、若x+y=0,且|x|=2,则y的值为2()。
解:由x+y=0得到y=-x,代入|x|=2中得到|x|=|x+y|=|-x+y|=2,解得x=±1,因此y=±1,不等于2,选(×)。
7、方程组mx my m3x4x10y8有唯一的解,那么m的值为m≠-5()。
解:将第一个方程移项得到(m+3)x+my=m,代入第二个方程中消去x得到(3m+2)y=8-m,因为有唯一解,所以3m+2≠0,即m≠-2/3,代入方程组中验证,当m≠-5时,有唯一解,因此选(√)。
8、方程组1x y 233有无数多个解()。
二元一次方程组练习题(含答案) 二元一次方程组练题一.解答题(共16小题)1.解下列方程组:1)x+2y-1=23x-2y=52)1-yx+2/3=1/22y+3=3x3)5x+2y=11a4x-4y=6a4)2x+3y=73x-2y=15)2x-3y=75x+4y=176)2x+3y=13x-2y=57)3x-4y=-12x+5y=138)x(y+1)+y(1-x)=2x(x+1)-y-x^2=09)3x+y=72x-3y=-810)x^2+xy=2y-x+2=02.求适合的x,y的值。
已知关于x,y的二元一次方程y=kx+b的解有和。
1)求k,b的值。
2)当x=2时,y的值。
3)当y=3时,x的值为多少?解答:1.1)将第二个方程变形得到y=(3x-5)/2,代入第一个方程中,得到x=3,y=-2.2)将第一个方程变形得到y=(1/2-1+xy)/x,代入第二个方程中,得到x=3,y=-1.3)将第二个方程变形得到y=x-3/2,代入第一个方程中,得到x=2,y=1.4)将第二个方程变形得到y=(3x-1)/2,代入第一个方程中,得到x=2,y=1.5)将第一个方程变形得到y=(2x-7)/3,代入第二个方程中,得到x=1,y=-1.6)将第二个方程变形得到y=(3x-5)/2,代入第一个方程中,得到x=1,y=-1.7)将第二个方程变形得到y=(3x+1)/4,代入第一个方程中,得到x=5,y=2.8)将第一个方程变形得到y=(2-x^2)/(1-x),代入第二个方程中,得到x=1,y=1.9)将第二个方程变形得到y=(2x+8)/3,代入第一个方程中,得到x=1,y=1.10)将第一个方程变形得到y=2/x-x,代入第二个方程中,得到x=1,y=0.2.1)由于y=kx+b,所以当x=1时,y=k+b;当x=2时,y=2k+b。
又因为已知y=3时,x的值为多少,所以将y=kx+b代入得到kx+b=3,解得x=(3-b)/k。
二元一次方程组解法练习题精选(含答案)一.解答题(共16小题)1.求适合的x,y的值.2.解下列方程组(1)(2)(3)(4).3.解方程组:4.解方程组:5.解方程组:6.已知关于x,y的二元一次方程y=kx+b的解有和.(1)求k,b的值.(2)当x=2时,y的值.(3)当x为何值时,y=3?7.解方程组:(1);(2).8.解方程组:9.解方程组:10.解下列方程组:(1)(2)11.解方程组:(1)(2)12.解二元一次方程组:(1);(2).13.在解方程组时,由于粗心,甲看错了方程组中的a,而得解为,乙看错了方程组中的b,而得解为.(1)甲把a看成了什么,乙把b看成了什么?(2)求出原方程组的正确解.14.15.解下列方程组:(1);(2).16.解下列方程组:(1)(2)第二十六章《二次函数》检测试题1,(2008年芜湖市)函数2y ax b y ax bx c =+=++和在同一直角坐标系内的图象大致是 ( )2,在一定条件下,若物体运动的路程s (米)与时间t (秒)的关系式为s =5t 2+2t ,则当t =4时,该物体所经过的路程为( )3,已知二次函数y =ax 2+bx +c (a ≠0)的图象如图2所示,给出以下结论:① a +b +c <0;② a -b +c <0;③ b +2a <0;④ abc >0 .其中所有正确结论的序号是( )A. ③④B. ②③C. ①④D. ①②③4,二次函数y =ax 2+bx +c 的图象如图3所示,若M =4a +2b +c ,N =a -b +c ,P =4a +2b ,则( )A.M >0,N >0,P >0B. M >0,N <0,P >0C. M <0,N >0,P >0D. M <0,N >0,P <05,如果反比例函数y =k x的图象如图4所示,那么二次函数y =kx 2-k 2x -1的图象大致为( )6y 所对应的函数值依次为:20,56,110,182,274,380,506,650.其中有一个值不正确,这个不正确的值是()A. 506B.380C.274D.18图3图4 A . B . 图5 图1A. y =x 2-2B. y =(x -2)2C. y =x 2+2D. y =(x +2)28如图6,小敏在今年的校运动会跳远比赛中跳出了满意一跳,函数h =3.5t -4.9t 2(t 的单位:s ,h 的单位:m )可以描述他跳跃时重心高度的变化,则他起跳后到重心最高时所用的时间是( )A.0.71sB.0.70sC.0.63sD.0.36s9,如果将二次函数y =2x 2的图象沿y 轴向上平移1个单位,那么所得图象的函数解析式是 .10,平移抛物线y =x 2+2x -8,使它经过原点,写出平移后抛物线的一个解析式______ .11,若二次函数y =x 2-4x +c 的图象与x 轴没有交点,其中c 为整数,则c =12,二次函数y =ax 2+bx +c 的图像如图7所示,则点A (a ,b )在第___象限.13,已知抛物线y =x 2-6x +5的部分图象如图8,则抛物线的对称轴为直线x = ,满足y <0的x 的取值范围是 .14,已知一抛物线与x 轴的交点是)0,2( A 、B (1,0),且经过点C (2,8)。
二元一次方程组练习题(含答案)1.解下列方程组:1) 5x + 2y = 11a,-4y = 6a;2) 4x + 3y - 1 = 0,2x + y - 2 = 0;3) x + 2y/3 - 1/3 = 2,x/3 + 1 - y/2 = 1/2;4) x - y/2 = 1,x + y/2 = 3.2.求解以下方程组:1) 2x + 3y = 7,x - y = 1;2) x + 2y = 5,2x + y = 7;3) 3x + 2y = 8,4x - 3y = -11.3.已知二元一次方程y = kx + b的解有(2,5)和(-1,0)。
1) 求k,b的值;2) 当x = 2时,y的值;3) 当y = 3/5时,x的值。
4.在解方程组2x + y = 5,x - y = 1时,甲看错了方程组中的a,而得到解x = 2,y = 1.乙看错了方程组中的b,而得到解x = 3,y = -1.1) 甲把a看成了什么,乙把b看成了什么?2) 求出原方程组的正确解。
参考答案与解析:1.解下列方程组:1) 5x + 2y = 11a,-4y = 6a。
将第二个方程式化简为y = -3/2a,代入第一个方程式中得到5x + 2(-3/2a) = 11a,化简得到x = (23/10)a,y = (-9/5)a。
2) 4x + 3y - 1 = 0,2x + y - 2 = 0.将第二个方程式中的y用第一个方程式中的x表示,得到y = 2 - 2x,代入第一个方程式中得到4x + 3(2 - 2x) - 1 = 0,化简得到x = 1/2,y = 1.3) x + 2y/3 - 1/3 = 2,x/3 + 1 - y/2 = 1/2.将第二个方程式中的x用第一个方程式中的y表示,得到x = 6 - 2y,代入第一个方程式中得到6 - 4y/3 = 2,化简得到y = 3/2,x = 0.4) x - y/2 = 1,x + y/2 = 3.将两个方程式相加得到2x = 4,化简得到x = 2,代入第一个方程式中得到y = 2.2.求解以下方程组:1) 2x + 3y = 7,x - y = 1.将第二个方程式中的x用第一个方程式中的y表示,得到x = y + 1,代入第一个方程式中得到2(y + 1) + 3y = 7,化简得到y = 1,x = 2.2) x + 2y = 5,2x + y = 7.将第一个方程式中的x用第二个方程式中的y表示,得到x = (7 - y)/2,代入第一个方程式中得到(7 - y)/2 + 2y = 5,化简得到y = 1,x = 2.3) 3x + 2y = 8,4x - 3y = -11.将第一个方程式中的x用第二个方程式中的y表示,得到x = (3y - 11)/4,代入第一个方程式中得到3(3y - 11)/4 + 2y = 8,化简得到y = 1,x = 1.3.已知二元一次方程y = kx + b的解有(2,5)和(-1,0)。
二元一次方程组练习题一.解答题(共16小题) 1.解下列方程组 (1)(2)(3))(6441125为已知数a a y x a y x ⎩⎨⎧=-=+ (4)(5)(6).(7)(8)⎩⎨⎧=--+=-++0)1(2)1()1(2x y x x x y y x(9)(10) ⎪⎪⎩⎪⎪⎨⎧=-++=-++1213222132y x y x 2.求适合的x ,y 的值.3.已知关于x ,y 的二元一次方程y=kx+b 的解有和.(1)求k ,b 的值.(2)当x=2时,y 的值. (3)当x 为何值时,y=3?1.解下列方程组(1)(2);(3); (4)(5). (6)(7)(8)(9)(10); 2.在解方程组时,由于粗心,甲看错了方程组中的a ,而得解为,乙看错了方程组中的b ,而得解为.(1)甲把a 看成了什么,乙把b 看成了什么?(2)求出原方程组的正确解.二元一次方程组解法练习题精选参考答案与试题解析一.解答题(共16小题)1.求适合的x ,y 的值.考点: 解二元一次方程组. 分析:先把两方程变形(去分母),得到一组新的方程,然后在用加减消元法消去未知数x ,求出y 的值,继而求出x 的值.解答:解:由题意得:,由(1)×2得:3x ﹣2y=2(3),由(2)×3得:6x+y=3(4), (3)×2得:6x ﹣4y=4(5), (5)﹣(4)得:y=﹣, 把y 的值代入(3)得:x=,∴.点评:本题考查了二元一次方程组的解法,主要运用了加减消元法和代入法.2.解下列方程组(1)(2)(3)(4).考点:解二元一次方程组.分析:(1)(2)用代入消元法或加减消元法均可;(3)(4)应先去分母、去括号化简方程组,再进一步采用适宜的方法求解.解答:解:(1)①﹣②得,﹣x=﹣2,解得x=2,把x=2代入①得,2+y=1,解得y=﹣1.故原方程组的解为.(2)①×3﹣②×2得,﹣13y=﹣39,解得,y=3,把y=3代入①得,2x﹣3×3=﹣5,解得x=2.故原方程组的解为.(3)原方程组可化为,①+②得,6x=36,x=6,①﹣②得,8y=﹣4,y=﹣.所以原方程组的解为.(4)原方程组可化为:,①×2+②得,x=,把x=代入②得,3×﹣4y=6,y=﹣.所以原方程组的解为.点评:利用消元法解方程组,要根据未知数的系数特点选择代入法还是加减法:①相同未知数的系数相同或互为相反数时,宜用加减法;②其中一个未知数的系数为1时,宜用代入法.3.解方程组:考点:解二元一次方程组.专题:计算题.分析:先化简方程组,再进一步根据方程组的特点选用相应的方法:用加减法.解答:解:原方程组可化为,①×4﹣②×3,得7x=42,解得x=6.把x=6代入①,得y=4.所以方程组的解为.点评:;二元一次方程组无论多复杂,解二元一次方程组的基本思想都是消元.消元的方法有代入法和加减法.4.解方程组:考点:解二元一次方程组.专题:计算题.分析:把原方程组化简后,观察形式,选用合适的解法,此题用加减法求解比较简单.解答:解:(1)原方程组化为,①+②得:6x=18,∴x=3.代入①得:y=.所以原方程组的解为.点评:要注意:两个二元一次方程中同一未知数的系数相反或相等时,把这两个方程的两边相加或相减,就能消去这个未知数,得到一个一元一次方程,这种方法叫做加减消元法.本题适合用此法.5.解方程组:考点:解二元一次方程组.专题:计算题;换元法.分析:本题用加减消元法即可或运用换元法求解.解答:解:,①﹣②,得s+t=4,①+②,得s﹣t=6,即,解得.所以方程组的解为.点评:此题较简单,要熟练解方程组的基本方法:代入消元法和加减消元法.6.已知关于x,y的二元一次方程y=kx+b 的解有和.(1)求k,b的值.(2)当x=2时,y的值.(3)当x为何值时,y=3?考点:解二元一次方程组.专题:计算题.分析:(1)将两组x,y的值代入方程得出关于k、b 的二元一次方程组,再运用加减消元法求出k、b的值.(2)将(1)中的k、b代入,再把x=2代入化简即可得出y的值.(3)将(1)中的k、b和y=3代入方程化简即可得出x的值.解答:解:(1)依题意得:①﹣②得:2=4k,所以k=,所以b=.(2)由y=x+,把x=2代入,得y=.(3)由y=x+把y=3代入,得x=1.点评:本题考查的是二元一次方程的代入消元法和加减消元法,通过已知条件的代入,可得出要求的数.7.解方程组:(1);(2).考点:解二元一次方程组.分析:根据各方程组的特点选用相应的方法:(1)先去分母再用加减法,(2)先去括号,再转化为整式方程解答.解答:解:(1)原方程组可化为,①×2﹣②得:y=﹣1,将y=﹣1代入①得:x=1.∴方程组的解为;(2)原方程可化为,即,①×2+②得:17x=51,x=3,将x=3代入x﹣4y=3中得:y=0.∴方程组的解为.点评:这类题目的解题关键是理解解方程组的基本思想是消元,掌握消元的方法有:加减消元法和代入消元法.根据未知数系数的特点,选择合适的方法.8.解方程组:考点:解二元一次方程组.专题:计算题.分析:本题应把方程组化简后,观察方程的形式,选用合适的方法求解.解答:解:原方程组可化为,①+②,得10x=30,x=3,代入①,得15+3y=15,y=0.则原方程组的解为.点评:解答此题应根据各方程组的特点,有括号的去括号,有分母的去分母,然后再用代入法或加减消元法解方程组.9.解方程组:考点:解二元一次方程组.专题:计算题.分析:本题为了计算方便,可先把(2)去分母,然后运用加减消元法解本题.解答:解:原方程变形为:,两个方程相加,得4x=12,x=3.把x=3代入第一个方程,得4y=11,y=.解之得.点评:本题考查的是二元一次方程组的解法,方程中含有分母的要先化去分母,再对方程进行化简、消元,即可解出此类题目.10.解下列方程组:(1)(2)考点:解二元一次方程组.专题:计算题.分析:此题根据观察可知:(1)运用代入法,把①代入②,可得出x,y的值;(2)先将方程组化为整系数方程组,再利用加减消元法求解.解答:解:(1),由①,得x=4+y③,代入②,得4(4+y)+2y=﹣1,所以y=﹣,把y=﹣代入③,得x=4﹣=.所以原方程组的解为.(2)原方程组整理为,③×2﹣④×3,得y=﹣24,把y=﹣24代入④,得x=60,所以原方程组的解为.点评:此题考查的是对二元一次方程组的解法的运用和理解,学生可以通过题目的训练达到对知识的强化和运用.11.解方程组:(1)(2)考点:解二元一次方程组.专题:计算题;换元法.分析:方程组(1)需要先化简,再根据方程组的特点选择解法;方程组(2)采用换元法较简单,设x+y=a,x﹣y=b,然后解新方程组即可求解.解答:解:(1)原方程组可化简为,解得.(2)设x+y=a,x﹣y=b,∴原方程组可化为,解得,∴∴原方程组的解为.点评:此题考查了学生的计算能力,解题时要细心.12.解二元一次方程组:(1);(2).考点:解二元一次方程组.专题:计算题.分析:(1)运用加减消元的方法,可求出x、y的值;(2)先将方程组化简,然后运用加减消元的方法可求出x、y的值.解答:解:(1)将①×2﹣②,得15x=30,x=2,把x=2代入第一个方程,得y=1.则方程组的解是;(2)此方程组通过化简可得:,①﹣②得:y=7,把y=7代入第一个方程,得x=5.则方程组的解是.点评:此题考查的是对二元一次方程组的解法的运用和理解,学生可以通过题目的训练达到对知识的强化和运用.13.在解方程组时,由于粗心,甲看错了方程组中的a ,而得解为,乙看错了方程组中的b ,而得解为.(1)甲把a看成了什么,乙把b看成了什么?(2)求出原方程组的正确解.考点:解二元一次方程组.专题:计算题.分析:(1)把甲乙求得方程组的解分别代入原方程组即可;(2)把甲乙所求的解分别代入方程②和①,求出正确的a、b,然后用适当的方法解方程组.解答:解:(1)把代入方程组,得,解得:.把代入方程组,得,解得:.∴甲把a看成﹣5;乙把b看成6;(2)∵正确的a是﹣2,b是8,∴方程组为,解得:x=15,y=8.则原方程组的解是.点评:此题难度较大,需同学们仔细阅读,弄清题意再解答.14.考点:解二元一次方程组.分析:先将原方程组中的两个方程分别去掉分母,然后用加减消元法求解即可.解答:解:由原方程组,得,由(1)+(2),并解得x=(3),把(3)代入(1),解得y=∴原方程组的解为.点评:用加减法解二元一次方程组的一般步骤:1.方程组的两个方程中,如果同一个未知数的系数既不互为相反数又不相等,就用适当的数去乘方程的两边,使一个未知数的系数互为相反数或相等;2.把两个方程的两边分别相加或相减,消去一个未知数,得到一个一元一次方程;3.解这个一元一次方程;4.将求出的未知数的值代入原方程组的任意一个方程中,求出另一个未知数,从而得到方程组的解.15.解下列方程组:(1);(2).考点:解二元一次方程组.分析:将两个方程先化简,再选择正确的方法进行消元.解答:解:(1)化简整理为,①×3,得3x+3y=1500③,②﹣③,得x=350.把x=350代入①,得350+y=500,∴y=150.故原方程组的解为.(2)化简整理为,①×5,得10x+15y=75③,②×2,得10x﹣14y=46④,③﹣④,得29y=29,∴y=1.把y=1代入①,得2x+3×1=15,∴x=6.故原方程组的解为.点评:方程组中的方程不是最简方程的,最好先化成最简方程,再选择合适的方法解方程.16.解下列方程组:(1)(2)考点:解二元一次方程组.分析:观察方程组中各方程的特点,用相应的方法求解.解答:解:(1)①×2﹣②得:x=1,将x=1代入①得:2+y=4,y=2.∴原方程组的解为;(2)原方程组可化为,①×2﹣②得:﹣y=﹣3,y=3.将y=3代入①得:x=﹣2.∴原方程组的解为.点评:解此类题目要注意观察方程组中各方程的特点,采用加减法或代入法求解.。
二元一次方程组练习题16 小题)一.解答题(共x2y12 1.解下列方程组(9)(10)32x21y1(1)(2)325x11a3)((a为已知数)(4)2 y 6a4 x4 y2.求适合的x,y的值..()(5)6.x3.已知关于,y 的二元一次方程和y=kx+b 的解有(k 1)求,b 的值.(y 的值.时,)当2 x=2(y=3 x )当3为何值时,?x)1) x( y y(1 2)()78(2x y 1) x(x 0..1.解下列方程组(1)(2);(9)(10);)43);((,而得解为时,由于粗心,甲看错了方程组中的2.在解方程组a,乙看错).(6(5)了方程组中的b,而得解为.(1)甲把a 看成了什么,乙把b 看成了什么?(2)求出原方程组的正确解.)7()8(版本word..故原方程组的解为.二元一次方程组解法练习题参精考选答案与试题解析(2)①×3﹣②×2一.解答题(共16 小题)得,﹣13y=﹣39,解得,y=3,的值.x,y 1.求适合的把y=3 代入①得,2x﹣3×3=﹣5,解得x=2.解二元一次方程组.考点:.故原方程组的解为分析:,x,然后在用加减消元法消去未知数先把两方程变形(去分母),得到一组新的方程)原方程组可化为(的值.求出y 的值,继而求出x 3,解答:,6x=36+①②得,,解:由题意得:,x=6,4①﹣②得,8y=﹣),3﹣由(1)×2 得:3x 2y=2(.所以原方程组的解为4),y=﹣6x+y=3 2由()×3 得:(.(4y=4 5),﹣3()×2得:6x)﹣((5 4,﹣)得:y=,)原方程组可化为:(4,)得:3 x=把y 的值代入(,②得,x=①×2+×3x=代入②得,把.∴,﹣4y=6.﹣y=本题考查了二元一次方程组的解法,主要运用了加减消元法和代入法.点评:.解下列方程组2.所以原方程组的解为.()1(2)3)(4()利用消元法解方程组,要根据未知数的系数特点选择代入法还是加减法:点评:①相同未知数的系数相同或互为相反数时,宜用加减法;②其中一个未知时,宜用代入法.解二元一次方程组.:考点1 数的系数为)用代入消元法或加减消元法均可;分析:2 1()()应先去分母、去括号化简方程组,再进一步采用适宜的方法求解.3(4)(.解方程组:3)①﹣②得,﹣解:(解答:1,2﹣x=,解得x=2把,2+y=1代入①得,x=2解二元一次方程组.﹣y=解得考.1版本word..考点:解二元一次方程组.点:专题:计算题;换元法.专计算题.分析:本题用加减消元法即可或运用换元法求解.题:先化简方程组,再进一步根据方程组的特点选用相应的方法:用加减法.分解答:解:,析:解,答:解:原方程组可化为①﹣②,得s+t=4 ,①+②,得s﹣t=6 ,,得﹣②×4 3①×即,,7x=42.解得x=6解得..把x=6 代入①,得y=4所以方程组的解为..所以方程组的解为点评:点;此题较简单,要熟练解方程组的基本方法:代入消元法和加减消元法.二元一次方程组无论多复杂,解二元一次方程组的基本思想都是消元.消元的方法有代入法和加减法.评:6.已知关于x,y 的二元一次方程y=kx+b 的解有和..解方程组:4的值.1)求k,b ((2)当x=2 时,y 的值.(3)当x 为何值时,y=3?解二元一次方程组.:考点考点::专题计算题.解二元一次方程组.专题:计算题.分析:把原方程组化简后,观察形式,选用合适的解法,此题用加减法求解比较简单.分析:解答:(1)将两组x,yk、b 的二元一次方程组,再运用加减消元的值代入方程得出关于)原方程组化为1解:(,法求出k、b 的值.(2)将(1)中的k、b 代入,再把x=2 代入化简即可得出y 的值.,+①②得:6x=18(3)将(1)中的k、b 和y=3 代入方程化简即可得出x 的值..x=3∴解答:解:.代入①得:y=(1)依题意得:①﹣②得:2=4k,.所以原方程组的解为所以k=,要注意:两个二元一次方程中同一未知数的系数相反或相等时,点评:把这两个方程的两边相加或相减,就能消去这个未知数,得到一个一元一次方程,这种方法叫做加减消元法.本题适合用此法.所以b=..解方程组:5,2(y= )由x+版本word..点评:这类题目的解题关键是理解解方程组的基本思想是消元,掌握消元的方法有:加减消元法和代入y= .把x=2 代入,得消元法.根据未知数系数的特点,选择合适的方法.)由y= x+(3.y=3 代入,得x=1把8.解方程组:可得出要求的数.本题考查的是二元一次方程的代入消元法和加减消元法,通过已知条件的代入,点评:.解方程组:7考点:解二元一次方程组.专题:计算题.;)(1分析:本题应把方程组化简后,观察方程的形式,选用合适的方法求解.解答:解:原方程组可化为,.2()①+②,得10x=30,x=3,解二元一次方程组.考点:代入①,得15+3y=15,y=0.)先去括号,再转化为整式方2)先去分母再用加减法,(1(根据各方程组的特点选用相应的方法:分析:程解答.则原方程组的解为.解答:,)原方程组可化为1解:(点评:解答此题应根据各方程组的特点,有括号的去括号,有分母的去分母,然后再用代入法或加减消元法解方程组.﹣②得:①×2,y=﹣1代入①得:﹣将y= 1 9.解方程组:.x=1;∴方程组的解为考点:解二元一次方程组.专题:计算题.分析:本题为了计算方便,可先把(2)去分母,然后运用加减消元法解本题.,2()原方程可化为解答:解:原方程变形为:,,即两个方程相加,得4x=12,②得:①×2+x=3.,17x=51把x=3 代入第一个方程,得,x=34y=11,代入将x=3 ﹣x4y=3 中得:y=..y=0.∴方程组的解为版本word..化和运用..解之得11.解方程组:消方程中含有分母的要先化去分母,再对方程进行化简、点评:本题考查的是二元一次方程组的解法,元,即可解出此类题目.(1).解下列方程组:101()(2)2)(考点:解二元一次方程组.专题:计算题;换元法.分析:方程组(1)需要先化简,再根据方程组的特点选择解法;方程组(2)采用换元法较简单,设x+y=a,x﹣y=b,然后解新方程组即可求解.解二元一次方程组.:考点解答:计算题.专题:解:(1)原方程组可化简为,此题根据观察可知:分析:)运用代入法,把①代入②,可得出(1的值;y x,)先将方程组化为整系数方程组,再利用加减消元法求解.(2解答:解得.,1)解:(由①,得③,x=4+y代入②,得,(44+y)+2y=﹣1(2)设x+y=a,x﹣y=b,,﹣y=所以∴原方程组可化为,x=4.﹣= 代入③,得﹣把y= 解得,所以原方程组的解为.∴∴原方程组的解为.)原方程组整理为2(,点评:此题考查了学生的计算能力,解题时要细心.,3 2③×﹣④×y= ,得﹣2412 24 ﹣y=把x=60代入④,得,.解二元一次方程组:(1);.所以原方程组的解为此题考查的是对二元一次方程组的解法的运用和理解,点评:学生可以通过题目的训练达到对知识的强版本word...)(2得,解得:.解二元一次方程组.考点:计算题.:专题把代入方程组,)运用加减消元的方法,可求出(1分析:的值;x、y )先将方程组化简,然后运用加减消元的方法可求出(2的值.、y x﹣②,得解答:解:(1)将①×2得,,15x=30,x=2解得:.代入第一个方程,得把x=2.y=1∴甲把 a 看成﹣5;乙把 b 看成6;;则方程组的解是(2)∵正确的a 是﹣2,b 是8,∴方程组为,,(2)此方程组通过化简可得:解得:x=15,y=8.,①﹣②得:y=7则原方程组的解是.代入第一个方程,得把y=7 .x=5点评:此题难度较大,需同学们仔细阅读,弄清题意再解答..则方程组的解是此题考查的是对二元一次方程组的解法的运用和理解,点评:学生可以通过题目的训练达到对知识的强14.化和运用.,而得解为.在解方程组13a时,由于粗心,甲看错了方程组中的,乙看错了方考点:解二元一次方程组.分析:先将原方程组中的两个方程分别去掉分母,然后用加减消元法求解即可.解答:解:由原方程组,得.程组中的,而得解为b看成了什么,乙把 a 1()甲把 b 看成了什么?,)求出原方程组的正确解.(2由(1)+(2),并解得解二元一次方程组.:考点x=(),3计算题.专题:)把甲乙求得方程组的解分别代入原方程组即可;分析:(1把(3)代入(1),解得)把甲乙所求的解分别代入方程②和①,求出正确的2(,然后用适当的方法解方程组.a、b y=解答:,)把1解:(代入方程组版本word..16.解下列方程组:(1)(2).∴原方程组的解为考点:解二元一次方程组.用加减法解二元一次方程组的一般步骤:点评:分析:观察方程组中各方程的特点,用相应的方法求解..方程组的两个方程中,如果同一个未知数的系数既不互为相反数又不相等,就用适当的数去1解答:解:(1)①×2﹣②得:x=1,将x=1 代入①得:乘方程的两边,使一个未知数的系数互为相反数或相等;.把两个方程的两边分别相加或相减,消去一个未知数,得到一个一元一次方程;22+y=4,.解这个一元一次方程;3y=2..将求出的未知数的值代入原方程组的任意一个方程中,求出另一个未知数,从而得到方程组4∴原方程组的解为;的解..解下列方程组:15(2)原方程组可化为,;(1)①×2﹣②得:﹣y=﹣3,.)(2y=3.将y=3 代入①得:x=﹣2.解二元一次方程组.考点:将两个方程先化简,再选择正确的方法进行消元.分析:解答:∴原方程组的解为.,1解:()化简整理为③,3①×,得3x+3y=1500点评:解此类题目要注意观察方程组中各方程的特点,采用加减法或代入法求解..x=350②﹣③,得,把350+y=500代入①,得x=350∴y=150..故原方程组的解为,)化简整理为(2③,10x+15y=75,得5①×④,14y=46 10x,得2②×﹣,29y=29 ③﹣④,得y∴.=1,把1=15×2x+3y=1 代入①,得x=6∴..故原方程组的解为方程组中的方程不是最简方程的,最好先化成最简方程,再选择合适的方法解方程.点评:版本word。