七年级数学单项式多项式练习题修订版
- 格式:docx
- 大小:54.71 KB
- 文档页数:5
单项式与多项式例题及练习例: 试用尽可能多的方法对下列单项式进行分类: 3a3x, bxy, 5x2, -4b2y, a3, -b2x2, axy2解: (1)按单项式的次数分: 二次式有5x;三次式有bxy, -4b2y, a3;四次式有3a3x, •-b2x2, axy2。
(2)按字母x的次数分: x的零次式有-4b2y, a3;x的一次式有3a3x, bxy, axy2;x的二次式有5x2, -b2x2。
(3)按系数的符号分:系数为正的有3a3x, bxy, 5x2, a3, axy2;系数为负的有-4b2y, -b2x2。
(4)按含有字母的个数分: 只含有一个字母的有5x2, a3;•含有两个字母的有3a3x, •-4b2y, -b2x2;含有三个字母的有bxy, axy2。
评析: 对单项式进行分类的关键在于选择一个恰当的分类角度。
如按单项式的次数、按式中某个字母的次数、按系数的符号、按含有字母的个数等等。
1、把代数式和的共同点填在下列横线上, 例如:都是代数式。
①都是式;②都是。
2.写出一个系数为-1, 含字母、的五次单项式。
3、如果是关于x的五次四项式, 那么p+q= 。
4、若(4 -4)x2yb+1是关于x, y的七次单项式, 则方程ax-b=x-1的解为。
5.下列说法中正确的是()A. 的次数为0 B、的系数为C.-5是一次单项式D. 的次数是3次6.若是关于x, y的一个单项式, 且系数是, 次数是5, 则和b的值是多少7、已知:是关于a、b的五次单项式, 求下列代数式的值, 并比较(1)、(2)两题结果:(1), (2)●体验中考1.(2008年湖北仙桃中考题改编)在代数式, , , , , 中单项式有个。
2、(2009年江西南昌中考题改编)单项式xy2z 的系数是__________, 次数是__________。
3.(2008年四川达州中考题改编)代数式和的共同点是。
4、(2009年山东烟台中考题改编)如果是六次单项式, 则的值是( )A.1B.2C.3D.5参考答案:◆随堂检测1. , 32.—63.C4.D5.①×;②√;③×;④×◆课下作业●拓展提高1.①单项式;②5次2.3.94.x=5.D6. 7、由题意可知: , 解得 。
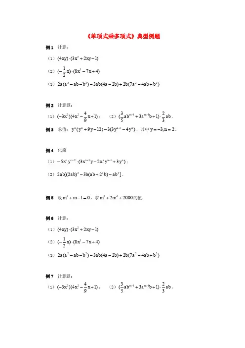
《单项式乘多项式》典型例题例1 计算:(1))123()4(2-+⋅xy x xy(2))478()21(3+-⋅-x x x (3))47(2)24(3)(22222b ab a b b a ab b ab a a +-+----例2 计算题:(1))1944)(3(22+--x x x ; (2)ab b a ab m m 32)1353(11⋅++--. 例3 求值:)43(3)129(1n n n n y yy y y ---++,其中2,3=-=n y .例4 化简(1))323(5132n n n n n n y y x y x y x +-⋅--++;(2)])2(3)2[(2222ab b ab b ab ab -+-.例5 设012=-+m m ,求2000223++m m 的值.例6 计算:(1))123()4(2-+⋅xy x xy(2))478()21(3+-⋅-x x x (3))47(2)24(3)(22222b ab a b b a ab b ab a a +-+----例7 计算题:(1))1944)(3(22+--x x x ; (2)ab b a ab m m 32)1353(11⋅++--。
例8 求值:)43(3)129(1n n n n y yy y y ---++,其中2,3=-=n y 。
例9 化简(1))323(5132n n n n n n y y x y x y x +-⋅--++;(2)])2(3)2[(2222ab b ab b ab ab -+-。
例10 设012=-+m m ,求2000223++m m 的值。
参考答案例1 解:(1)原式)1(424342-⋅+⋅+⋅=xy xy xy x xyxy y x y x 4812223-+= (2)原式4)21()7()21(8)21(3⋅-+-⋅-+⋅-=x x x x x x x x 227424-+-= (3)原式322222232814612222b ab b a ab b a ab b a a +-++---=323242b ab a +-=说明:单项式乘以多项式,积仍是一个多项式,其项数与所乘多项式的项数相等,要注意积的各项符号的确定.若是混合运算,运算顺序仍然是先乘方,再乘除,运算结果要检查,如有同类项要合并,结果要最简.例2 分析:(1)中单项式为23x -,多项式里含有24x ,x 94-,1,乘积结果为三项,特别是1这项不要漏乘.(2)中指数为字母,计算时要注意底数幂相乘底数不变指数相加.解:(1)原式1)3()94()3(432222⋅-+⋅-+⋅-=x x x x x 24433412x x x -+-= (2)ab ab b a ab m m 3232)1353(11+⋅++-- .322523232332532211ab b a b a ab ab b a ab ab m m m m ++=+⨯+⨯=-- 说明:单项式与多项式的第一项相乘时,要注意积的各项符号的确定;同号相乘得正,异号相乘得负.例3 解:原式n n n n n y y y y y129129112+--+=++n y 2=当2,3=-=n y 时, 81)3()3(4222=-=-=⨯n y说明:求值问题,应先化简,再代入求值.例4 分析:在计算单项式乘以多项式时,仍应按有理数的运算法则,先去小括号2)2(ab 和)(32b a ab b +,再去中括号.解:(1)原式)35()2)(5(3521232n n n n n n n n n n y y x y x y x y x yx --+--+⋅-=+-+++ 22122332151015++++-+-=n n n n n n y x y x y x(2)原式])3()3(4[22222ab b a b ab b b a ab --+-+= 323322222222222282)4(22]4[2]334[2b a b a ab ab b a ab ab b a ab ab b a ab b a ab -=-+⋅=-=---=例5 分析:由已知条件,显然12=+m m ,再将所求代数式化为m m +2的形式,整体代入求解.解: 2000223++m m 2000223+++=m m m20012000120002000)(200022222=+=++=+++=++⋅+⨯=m m m m m m m m m m m 说明:整体换元的数学方法,关键是识别转化整体换元的形式.例6 解:(1)原式)1(424342-⋅+⋅+⋅=xy xy xy x xyxy y x y x 4812223-+= (2)原式4)21()7()21(8)21(3⋅-+-⋅-+⋅-=x x x x x x x x 227424-+-= (3)原式322222232814612222b ab b a ab b a ab b a a +-++---=323242b ab a +-=说明:单项式乘以多项式,积仍是一个多项式,其项数与所乘多项式的项数相等,要注意积的各项符号的确定。
4 第2课时 单项式与多项式的乘法一、选择题1.计算2x (3x 2+1),正确的结果是()A .5x 3+2xB .6x 3+1C .6x 3+2xD .6x 2+2x2.下列计算正确的是 ()A .(2xy 2-3x 2y )·2xy =4x 2y 2-6x 3yB .-x (2x +3x 2-2)=-3x 2-2x 3-2xC.⎝ ⎛⎭⎪⎫34a n +1-b 2·ab =34a n +2b -12ab 2 D .-2ab (ab -3ab 2-1)=-2a 2b 2+6a 2b 3-2ab3.有两个连续的奇数,若较小的奇数是n ,则它们的积为()A .n 2B .n 2+2nC .n 2-2nD .n 2-n4.一个长方体的长、宽、高分别为3a -4,2a ,a ,则它的体积等于()A .3a 3-4a 2B .a 2C .6a 3-8a 2D .6a 3-8a5.已知x 2-2=y ,则x (x -3y )+y (3x -1)-2的值是 ()A .-2B .0C .2D .46.要使(y 2-ky +2y )·(-y )的展开式中不含y 2项,则k 的值为()A .-2B .0C .2D .37.通过计算几何图形的面积可得到一些代数恒等式,如图K -7-1可表示的代数恒等式是()图K -7-1A .(a -b )2=a 2-2ab +b 2B .2a (a +b )=2a 2+2abC .(a +b )2=a 2+2ab +b 2D .(a +b )(a -b )=a 2-b 2二、填空题8.计算:-2a 2(a -3)=________.9.已知3x ·(x n +5)=3x n +1-30,那么x =________.10.若一个直角三角形的两条直角边的长分别为4a 2,8(a +b ),则此直角三角形的面积是________.11.已知x (x +3)=1,则代数式2x 2+6x -5的值为________.12.当x =________时,3x (2x -5)+2x (1-3x )=52.三、解答题13.计算:(1)(x 2-2x )·x 2;(2)-2a 2(3ab 2-5ab 3);(3)-12ab (23ab 2-2ab +1).14.计算:(1)-2xy (x 2-3y 2)-4xy (2x 2+y 2);(2)(6x 2-4xy +3y 2)·(-23x 2y )-y ·(-2xy )2.15.先化简,再求值:3a (2a 2-4a +3)-2a 2(3a +4),其中a =-2.16.一条防洪堤坝,其横断面是梯形,上底宽a 米,下底宽(a +2b )米,坝高12a 米. (1)求防洪堤坝的横断面的面积;(2)如果防洪堤坝长100米,那么这段防洪堤坝的体积是多少立方米?17.下面是小宝和小贝的一段对话:小宝说:“我发现,对于代数式2x (7x +72)-7x (2x +12)+7(11x +4),当x =2019和x =2018时,值居然是相等的.”小贝说:“不可能,对于不同的x 的值,应该有不同的结果.”你认为谁说得对呢?说明你的理由.1.C 2.C3.[解析] B 两个连续奇数中较小的是n ,则较大的是n +2,它们的积为n·(n+2)=n 2+2n.4.[解析] C 根据“长方体的体积=长×宽×高”列出算式,再根据单项式乘多项式的运算法则计算.由题意知,V 长方体=(3a -4)·2a·a=6a 3-8a 2.故选C .5.B6.[解析] C 因为(y 2-ky +2y)(-y)的展开式中不含y 2项,所以-y 3+ky 2-2y 2中不含y 2项,所以k -2=0,解得k =2.故选C .7.[解析] B 长方形的面积等于2a(a +b),也等于四个小图形的面积之和a 2+a 2+ab +ab =2a 2+2ab ,即2a(a +b)=2a 2+2ab.故选B .8.-2a 3+6a 29.[答案] -2[解析] 因为3x·(x n +5)=3xn +1+15x =3x n +1-30,所以15x =-30,解得x =-2.故答案为-2.10.[答案] 16a 3+16a 2b[解析] 根据题意得S =12·4a 2·8(a+b)=16a 3+16a 2b ,故答案为16a 3+16a 2b. 11.-312.[答案] -4[解析] 先根据单项式与多项式的乘法法则去括号,然后合并同类项就可以求出x 的值.去括号,得6x 2-15x +2x -6x 2=52,-13x =52,解得x =-4.13.[解析] 根据单项式与多项式相乘的法则,先用单项式乘多项式的每一项,再把所得的积相加计算即可.解:(1)原式=x 4-2x 3.(2)原式=-2a 2·3ab 2-2a 2·(-5ab 3)=-6a 3b 2+10a 3b 3.(3)原式=-13a 2b 3+a 2b 2-12ab. 14.解:(1)原式=-2x 3y +6xy 3-8x 3y -4xy 3=-10x 3y +2xy 3.(2)原式=-4x 4y +83x 3y 2-2x 2y 3-4x 2y 3=-4x 4y +83x 3y 2-6x 2y 3. 15.解:3a(2a 2-4a +3)-2a 2(3a +4)=6a 3-12a 2+9a -6a 3-8a 2=-20a 2+9a. 当a =-2时,原式=-20×4-9×2=-98.16.解:(1)S =12[a +(a +2b)]·12a =14a(2a +2b)=(12a 2+12ab)米2. 故防洪堤坝的横断面的面积为(12a 2+12ab)平方米. (2)V =Sh =(12a 2+12ab)×100=(50a 2+50ab)米2. 故这段防洪堤坝的体积是(50a 2+50ab)立方米.17.[解析] 将代数式化简,进而可得出结论.解:小宝说得对.理由:原式=14x 2+7x -14x 2-84x +77x +28=28.由于结果中不含字母x ,所以当x =2019和x =2018时代数式的值相等,均等于28.。
一.选择题(共10小题)1.(2015•厦门)已知一个单项式的系数是2,次数是3,则这个单项式可所以()A.﹣2xy2B.3x2C.2xy3D.2x32.(2015•台州)单项式2a的系数是()A.2B.2aC.1D.a3.(2015•通辽)下列说法中,准确的是()A.﹣x2的系数是B.πa2的系数是C.3ab2的系数是3aD.xy2的系数是4.(2015•杭州模仿)整式﹣0.3x2y,0,,,,﹣2a2b3c中是单项式的个数有(A.2个B.3个C.4个D.5个5.(2015•浦东新区二模)下列各整式中,次数为5次的单项式是()A.xy4B.xy5C.x+y4D.x+y56.(2015•金山区二模)下列代数式中是二次二项式的是()A.xy﹣1B.C.x2+xy2D.7.(2015春•青羊区校级月考)在代数式a+bac,,π,3x2﹣4x ﹣2,,πab,0,中,下列结论准确的是(A.有4个单项式,2个多项式B.有4个单项式,3个多项式C.有7个整式D.有3个单项式,2个多项式8.(2015•佛山)多项式2a2b﹣ab2﹣ab的项数及次数分离是()A.3,3B.3,2C.2,3D.2,29.(2014•甘肃模仿)下列说法准确的是()A.﹣3x3y2z的系数是3B.x2+x3是5次多项式C.不是整式D.πr2是3次单项式10.(2015•临沂)不雅察下列关于x的单项式,探讨其纪律:x,3x2,5x3,7x4,9x5,11x6,…按照上述纪律,第2015个单项式是()A.2015x2015B.4029x2014C.4029x2015D.4031x2015二.填空题(共10小题)11.(2015•岳阳)单项式﹣x2y3的次数是.12.(2015•牡丹江)一列单项式:﹣x2,3x3,﹣5x4,7x5,…,按此纪律分列,则第7个单项式为13.(2015•长沙校级二模)单项式的系数与次数之积为.14.(2015春•乐平市期中)在代数式3xy2,m,6a2﹣a+3,12,,中,单项式有个,多项式有个.15.(2015春•濮阳校级期中)的系数是,次数是.16.(2014秋•根河市校级期中)在代数式,+3,﹣2,,,,单项式有个多项式有个,整式有个,代数式有个.17.(2015•咸阳模仿)是次项式.18.(2015春•芦溪县期末)有一个多项式为a8﹣a7b+a6b2﹣a5b3+…,按照此纪律写下来,这个多项式的第六项是19.(2014•咸阳模仿)﹣x4y﹣4a2b+是由..三项构成,它们的系数分离是,,.20.(2014秋•西城区校级期末)若3a2bcm为七次单项式,则m 的值为.三.解答题(共5小题)21.指出下列各式中哪些是单项式?哪些是多项式?哪些是整式?.22.(2014秋•曹县期末)不雅察下列各式:﹣a,a2,﹣a3,a4,﹣a5,a6,…(1)写出第2014个和2015个单项式;(2)写出第n个单项式.23.(2014秋•忠县校级期末)不雅察下列一串单项式的特色:xy,﹣2x2y,4x3y,﹣8x4y,16x5y,…(1)按此纪律写出第9个单项式;(2)试猜测第N个单项式为若干?它的系数和次数分离是若干?24.(2014秋•寿县校级期中)写出一个三次四项式,知足前提:①含有两个字母,②每个字母的指数都不大于2,③含有常数项.然后选出你所爱好的一正一负两个有理数作为字母的值代入求这个多项式的值25.(2012春•梅江区校级月考)已知多项式:x10﹣x9y+x8y2…﹣xy9+y10(1)该多项式有什么特色和纪律;(2)按纪律写出多项式的第六项,并指出它的次数和系数;(3)这个多项式是几回几项式?一.选择题(共10小题)1.D2.A3.D4.C5.A6.A7.A8.A9.C10.C二.填空题(共10小题)11.512.-13x813.-214.3215.-516.224617.三三18.-a3b519.-x4y-4a2b-1-420.4三.解答题(共5小题)21.解:的分母中含有字母,既不是单项式,也不是多项式,更不是整式.单项式有:;多项式有:;整式有:.22.解:(1)由﹣a,a2,﹣a3,a4,﹣a5,a6,…可得第n项的表达式为(﹣1)n,所以第2014个单项式为,第2015个单项式为﹣.(2)由单项式的特色可得第n个单项式为(﹣1)n.23.解:(1)∵当n=1时,xy,当n=2时,﹣2x2y,当n=3时,4x3y,当n=4时,﹣8x4y,当n=5时,16x5y,∴第9个单项式是29﹣1x9y,即256x9y.(2)∴n为偶数时,单项式为负数.x的指数为n时,2的指数为n ﹣1,∴当n为奇数时的单项式为2n﹣1xny,它的系数是2n﹣1,次数是n+1.24.解:此题答案不独一,知足前提的可为:a2b﹣a2+b﹣1.令a=1,b=﹣1,则a2b﹣a2+b﹣1=12×(﹣1)+(﹣1)﹣1=﹣1﹣1﹣1=﹣3.即该多项式的值是﹣3.25.解:(1)该多项式的特色是:x的次数在减小,y的次数在增长,纪律是:x的次数减小量等于y的次数增长量;(2)依据纪律可得第六项为:﹣x5y5,它的系数是﹣1,次数是10;(3)这个多项式是10次11项式.。
初中数学单项式多项式整式加减综合练习题一、单选题1.若长方形的周长为4m ,一边长为m n -,则另一边长为( )A.3m n +B.22m n +C.m n +D.2m n + 2.若5x y -=-,则()315y x --的值为( ). A.3- B.3 C.2- D.23.下列各组中是同类项的是( )A.23x y 与22xyB.413x y 与412yxC.2a -与0D.231π2a bc 与233a cb - 4.若单项式33m n x y -与单项式23n n x y 的和是6m n n x y -,则( )A.9m ≠B.3n ≠C.9m =,3n ≠D.9m =,3n = 5.如果整式252n x x --+是关于x 的三次三项式,那么n 等于( )A.3B.4C.5D.66.下列说法正确的是( ) A.17a+是多项式 B.22243562x x y y ---是四次四项式C.61x -的项数和次数都是6D.3a b +不是多项式 7.多项式221x x -+的各项分别是( )A. 2,2,1x x +B.2,2,1x x -+C. 2,2,1x x --D.2,2,1x x ---8.有理数a b ,在数轴上的位置如图,则2a b a b +--化简后为( )A.63a -B.2a b --C.2a b +D.a b --9.下列运算正确的是( )A.()23161x x --=--B.()23161x x --=-+C.()23162x x --=--D.()23162x x --=-+10.下列代数式中,既不是单项式,也不是多项式的是( )A.341553x y --B.2453m n - C.325118x y x D.2216a b +- 11.在多项式323238143x y x y xy --++中,最高次项为( )A.323x yB.323x y -C.328x yD.328x y -12.关于x 的多项式232x x -+的二次项系数、一次项系数和常数项分别为( )A.3,2,1B.3-,2,0C.3-,2,1D.3,2,0二、解答题13.指出下列多项式的项、项数、次数. (1)21212a ab -+. (2)22231122m m n mn ---. (3)2312xy x y --(4)223330.5x y xy x y --.14.已知549a x y ++和317b x y +-是同类项,求式子43433642b a b b ba --+的值.15.若代数式22269a kab b ab ++-+中不含ab 项,求k 的值.16.若代数式2231a a ++的值为5,求代数式2468a a ++的值.17.已知多项式212254531m x y x y x y +--.(1)求多项式中各项的系数和次数.(2)若该多项式是八次三项式,求m 的值.三、填空题18.若代数式13m n a b -与369a b -的和是单项式,则m n += 。
单项式和多项式☆☆☆知识讲解1、代数式:用基本的运算符号(包括加、减、乘、除、乘方、开方)把数、表示数的字母连结而成的式子叫做代数式,单独一个数或一个字母也是代数式。
2、单项式:只含有数字或字母的乘积的式子叫做单项式.①定义中的“积”是对数与字母而言的,只能是乘法或乘方运算,而不能是加、减、除等其他运算. 如ab 2+2,32y x -,mn2等都不是单项式. ②单独的一个数或一个字母也是单项式.(1)单项式的系数:单项式中的数字因数叫做这个单项式的系数.(2)单项式的次数:一个单项式中,所有字母的指数的和叫做这个单项数的次数.3、多项式:几个单项式的和叫做多项式.(1)多项式的项:是指在多项式中,每个单项式叫做多项式的项.多项式的项包括它前面的性质符号。
(2)多项式的项数:一个多项式中有几个单项式就有几项,这个多项式就叫几项式。
(3)常数项:在多项式中,不含有字母的项叫做多项式的常数项。
(4)多项式的次数:一个多项式中,次数最高的项的次数,叫做这个多项式的次数.(5)降(升)幂排列:把一个多项式按某一个字母的指数从大到小的顺序排列起来,叫做把多项式按这个字母降(升)幂排列.4、整式:单项式与多项式统称为整式. 注意:分母中含有字母的代数式是分式1. 对单项式、多项式、整式进行判断例1 判断下列各代数式,哪些是单项式,哪些是多项式,哪些不是整式.(1)-3xy 2;(2)2x 3+1;(3)21(x +y +1); (4)-a 2; (5)0;(6)yx 2; (7)32xy; (8)x21;(9)x 2+x 1-1; (10)11+x ;2、单项式、多项式的次数和项例2 指出下列各单项式的系数与次数:(1);832ab (2)-mn 3; (3)3432y x π (4)-3;例3 填空:(1)多项式2x 4-3x 5-2π4是次项式,最高次项的系数是,四次项的系数是,常数项是,补足缺项后按字母x 升幂排列得;(2)多项式a 3-3ab 2 +3a 2b-b 3是次项式,它的各项的次数都是,按字母b 降幂排列得.例1、 用代数式表示:一个两位数,个位数字是a ,十位数字是b ,则这个两位数可表示为___________。
七年级数学整式加减单项式多项式练习题(附答案)七年级数学整式加减单项式多项式练题一、单选题1.多项式$x^2-2x+1$的各项分别是(。
)A.$x^2,2x,+1$B.$x^2,-2x,+1$C.$-x^2,2x,-1$D.$-x^2,-2x,-1$2.下列各式是四次单项式的是(。
)A.$-13b^2$B.$-8\pi pq^2$C.$mnkt\pi ab^2c^2$D.$6$3.下列单项式中,书写格式规范的是(。
)A.$-\frac{1}{\pi}kt$B.$\frac{2}{19}x$C.$a^3\timesc^6\times 8$ D.$\frac{x}{y^2}$4.下列说法正确的是(。
)A.$b$的指数是$0$B.$-3$是一次单项式C.$m$没有系数D.$8$是单项式5.有下列各式:$2+x^2,x+1,xy^2,3x^2+2x-1,abc,1-2y$,其中多项式有()A.2个B.3个C.4个D.5个6.下列选项中,去括号正确的是(。
)A.$a+(b-1)=a-b-1$B.$a+(b-1)=a+b+1$C.$a-(b-1)=a-b+1$ D.$a-(b-1)=a-b-1$7.其中多项式有()$2x(x-y)$8.计算$1\div\frac{-3}{5}$时,除法变为乘法正确的是(。
)A.$1\times\frac{-3}{5}$ B.$1\times\frac{19}{5}$ C.$1\times\frac{5}{19}$ D.$1\ti mes\frac{-5}{19}$9.有理数$m,n$在数轴上的位置如图,则下列结论正确的是()A.$m>0,n>0$ B.$m>0,n0$ D.$m<0,n<0$10.下列说法中正确的有()1)$2$是整数;2)$-2$是负分数;3)$8.96$不是正数;4)自然数一定是正数;5)负数一定是有理数A.1个B.2个C.3个D.4个11.若四个有理数相乘,积为负数,则负因数的个数是(。
七年级上册-单项式和多项式专项练习题研究必备,欢迎下载单项式和多项式专题复一、基本练:1.单项式:由单个字母或字母的积与常数的积组成的代数式。
单独的一个字母或常数也是单项式。
2.练:判断下列各代数式哪些是单项式?1) 32 (2) x (3) abc (4) 2.6h (5) a+b+c (6) y (7) -3ab (8) -53.单项式系数:单项式中字母部分的系数因数叫做这个单项式的系数,对应单项式中的数字(包括数字符号)部分。
例如,x,π,ab,2.6h,-m它们都是单项式,系数分别为1,1,1,2.6,-1.4.单项式次数:一个单项式中,字母的指数的和叫做这个单项式的次数。
只与字母指数有关。
例如,x,ab,2.6h,-m,它们都是单项式,次数分别为1,2,3,1,分别叫做一次单项式,二次单项式,三次单项式。
5.判断下列代数式是否是单项式。
如果不是,请说明理由;如果是,请指出它的系数和次数。
1) -m (2) mnπa+3 (3) b - aπ (4) x+ y (5) 5x+16.请你写出三个单项式:(1) 此单项式含有字母x、y;(2)此单项式的次数是5;二、巩固练1.单项式-abcA。
系数是1,次数是3 B。
系数是-1,次数是6 C。
系数是1,次数是6 D。
系数是1,次数是22.判断下列代数式是否是单项式。
如果不是,请说明理由;如果是,请指出它的系数和次数。
1) -3 (2) ab (3) 23.制造一种产品,原来每件成本a元,先提价5%,后降价5%,则此时该产品的成本价为a(1+5%)(1-5%)。
4.(1) 若长方形的长与宽分别为a、b,则长方形的面积为ab。
2) 若某班有男生x人,每人捐款21元,则一共捐款21x 元。
3) 某次旅游分甲、乙两组,已知甲组有a名队员,平均门票m元,乙组有b名队员,平均门票n元,则一共要付门票am+bn元。
5.某公司职员,月工资a元,增加10%后达到1.1a元。
七年级_数学单项式多项式练习题四望中学七(3)单项式与多项式检测题四望中学严桂龙一(选择题:112122,ab,a,b,ab,b,1,,3,,,x,x,11.在下列代数式:中,多项式有() ,222(A)2个 (B)3个 (C)4个 (D)5个2.下列说法错误的是( )33222xy,xy,,,,x2233A(的系数是 B(数字0也是单项式C(的系数是 D(是一次单项式3.下列语句正确的是( )22(A)x,1是二次单项式 (B),m的次数是2,系数是12abc1(C)是二次单项式 (D)是三次单项式 23x22224.2a,3ab,2b,(2a,ab,3b)的值是( )2222(A)2ab,5b (B)4ab,5b (C),2ab,5b (D),4ab,5b25.减去,2x后,等于4x,3x,5的代数式是( )2222(A)4x,5x,5 (B),4x,5x,5 (C)4x,x,5 (D)4x,56( 下列说法正确的是( )55A(没有加、减运算的式子叫单项式; B(πab的系数是,次数是3 332C(单项式―1的次数是0 ; D(2ab―2ab+3是二次三项式7(如果一个多项式的次数是5,那么这个多项式的任何一项的次数( )A(都小于5 B. 都等于5 C.都不小于5 D.都不大于5第1页共4页8.下列多项式次数为3的是( )222222(A),5x,6x,1 (B)πx,x,1 (C)ab,ab,b (D)xy,2xy,1mnm,n9(设a=8,a=16,则a=( )A(24 B.32 C.64 D.128ab332mc10(在y+1,+1,―xy,―1,―8z,0中,整式的个数是( ) A. 6 B.3C.4D.5二、填空题:(本题共20分)2211( 单项式―xyz的系数、次数分别是241612(若x?x?( )=x,则括号内应填x的代数式为 13(如果一个多项式的次数是5,那么这个多项式的任何一项的次数3n,314.若单项式,2xy是一个关于x,y的5次单项式,则n=_________.223m,115.若多项式(m+2)y,3xy是五次二项式,则m=___________. x16.写出一个关于x的二次三项式,使得它的二次项系数为—6,则这个二次三项式是__________。
七年级数学上册同步练习2.1.2单项式与多项式时间:30分钟一、单选题1.代数式:①2a 3;①πr 2;①21x 12+;①﹣3a 2b ;①a bc +.其中整式的个数是( )A .2B .3C .4D .5 2.单项式﹣2πxy 2的系数和次数分别是( )A .﹣2和4B .2π和3C .2和4D .﹣2π和3 3.整式-0.3x 2y ,0,12x +,-22abc 2,13x 2,−14y ,−13ab 2-12a 2b 中单项式的个数有()A .6个B .5个C .4个D .3个 4.下列各式中不是单项式的是( )A .a +bB .-2aC .0D .π 5.多项式32281x x x -+-与多项式323253x mx x +-+的和不含二次项,则m 为( ) A .2 B .-2 C .4 D .-4 6.下列说法正确的是( )A .m 2+m ﹣1的常数项为1B .单项式32mn 3的次数是6次C .多项式5m n+的次数是1,项数是2D .单项式﹣12πmn 的系数是﹣127.下列判断中错误的是( )A .2a ab --是二次三项式B .3m n-是多项式C .22r π中,系数是2D .2020是单项式8.若(3x 3+M )(2x 2-1)是一个五次多项式,则下列说法中正确的是( ) A .M 是一个三次单项式 B .M 是一个三次多项式C .M 的次数不高于三D .M 不可能是一个常数9.下列说法正确的是( )A .﹣5,a 不是单项式B .﹣2abc的系数是﹣2C .223x y -的系数是﹣13,次数是4 D .x 2y 的系数为0,次数为210.下列各式是5次单项式的是( )A .45xy -B .32xyC .5x yD .32x x +二、填空题11.多项式112m x -﹣3x+7是关于x 的四次三项式,则m 的值是_____. 12.222324x y x y xy -+--的最高次项为_______.13.写出一个系数是﹣1,次数是3的单项式_____________.14.在112,,5,,22x y a x π+--中,是单项式的为_______. 15.在式子2a ,3a ,1+y x ,﹣12,1﹣x ﹣5xy 2,﹣x ,6xy+1,a 2+b 2中,多项式有_____个. 16.单项式317xy -的系数是____________,次数是____________. 17.写出系数为-1,含有字母x y 、的四次单项式___________.18.单项式212xy -的系数和次数的和为__________.三、解答题19.把下列各式式的序号分别填在相应的大括号内: ① 67ab -;① 23n p m -;① 1a +;① 2123xy xy +-;①3m y π;①2221352x y x y +-;①3. 单项式:{ };多项式:{ };20.分别写出下列各项的系数与次数(1)32x ;(2)2x y -;(3)35xy ; (4)23815x y -.21.已知多项式3322351x y x y x ---+.(1)求次数为3的项的系数和.(2)当1x =-,2y =-时,求该多项式的值.22.已知多项式2123536m x y xy x +-+--是六次四项式,且253n m x y -的次数跟它相同. (1)求m 、n 的值;(2)求多项式各项的系数和.23.把下列代数式的序号填入相应的集合括号里.A .3x 2+2y ;B .35x −x 2+1;C .2a b +;D .–23xy ;E .0;F .–x +3y ;G .2xy a . (1)单项式集合{____________________________…}(2)多项式集合{____________________________…}.24.若关于,x y 的多项式23m x nx y x --是一个三次三项式,且最高次项的系数是3-,求m n -的值. 25.一块原长分别为a 、b (1,1a b >>)的长方形,一边增加1,另一边减少1(1)当a b =时,变化后的面积是增加还是减少?(2)当a b >时,有两种方案,第一种方案如图1,第二种方案如图2,请你比较这两种方案,确定哪一种方案变化后的面积比较大.参考答案1.C【解析】①23a ;①πr 2;①12x 2+1;①﹣3a 2b ,都是整式, ①a b c+,分母中含有字母,不是整式,故选:C . 2.D【解析】解:单项式﹣2πxy 2的系数和次数分别是:﹣2π和3.故选:D .3.B【解析】根据单项式的定义:由数字和字母的积组成的代数式叫做单项式判断,有-0.3x 2y ,0,-22abc 2,13x 2,−14y 是单项式,共有5个,故选B. 4.A【解析】解:-2a ,0,π都是单项式,a +b 不是单项式,是多项式,故选A .5.C【解析】解:根据题意得:2x 3-8x 2+x -1+3x 3+2mx 2-5x +3=5x 3+(2m -8)x 2-4x +2, 由结果不含二次项,得到2m -8=0,解得:m =4.故选C .6.C【解析】解:A .m 2+m ﹣1的常数项为﹣1,故本选项错误;B .单项式32mn 3的次数是4次,故本选项错误;C .多项式5m n +的次数是1,项数是2,故本选项正确; D .单项式﹣12πmn 的系数是﹣12π,故本选项错误;故选:C .7.C【解析】解:A 、2a ab --是二次三项式,正确,不合题意;B 、3m n -是多项式,正确,不合题意;C 、22r π中,系数是2π,故此选项错误,符合题意;D 、2020是单项式,正确,不合题意.故选:C .8.C【解析】解:(3x 3+M )(2x 2-1)=6x 5-3x 3+2Mx 2-M ,因为结果是一个五次多项式,所以M 的次数不高于三,故选:C .9.C【解析】A 、﹣5,a 是单项式,故此选项错误;B 、2abc -的系数是12-,故此选项错误; C 、223x y -的系数是13-,次数是4,故此选项正确; D 、x 2y 的系数为1,次数为3,故此选项错误.故选:C .10.A【解析】解:A 、单项式45xy -的次数是1+4=5次,符合题意;B 、单项式32xy 的次数是1+1=2次,不符合题意;C 、单项式5x y 的次数是5+1=6次,不符合题意;D 、32x x +是多项式不是单项式,其次数是3次,不符合题意;故选择:A11.5【解析】解:①多项式112m x -﹣3x+7是关于x 的四次三项式, ①m ﹣1=4,解得m =5,故答案为:5.12.222x y -.【解析】解:222324x y x y xy -+--的最高次项为:222x y -.故答案为:222x y -.13.3a -.【解析】解:系数是-1、次数是3的单项式,如:3a -.故答案为:3a -.14.1,5,2a π- 【解析】解:在112,,5,,22x y a x π+--中, 单项式有:1,5,2a π-, 故答案为:1,5,2a π-. 15.3【解析】根据多项式的定义可知,上述各式中属于多项式的有:1﹣x ﹣5xy 2、6xy+1、a 2﹣b 2,共3个.故答案为3.16.17- 4 【解析】解:单项式317xy -的系数是17-,次数是1+3=4, 故答案为:17-;4. 17.3-x y【解析】解:系数为-1,含有字母x y 、的四次单项式为:3-x y .故答案为:3-x y .18.52【解析】解:单项式212xy -的系数和次数分别是:-12和3, ①单项式212xy -的系数和次数的和为-12+3=52. 故答案为:52. 19.① ① ①,① ① ①【解析】单项式:{ ① ① ① };多项式:{ ① ① ① };20.(1)系数:2,次数:3;(2)系数:-1,次数:3;(3)系数:35,次数:2;(4)系数:815-,次数:5 【解析】解:(1)32x 的系数:2,次数:3;(2)2x y -系数:-1,次数:3;(3)35xy 系数:35,次数:2; (4)23815x y -系数:815-,次数:5. 21.(1)3;(2)15【解析】解:(1)多项式3322351x y x y x ---+中,次数为3的项是33x ,3y -和25x y -,系数分别是3,-1,-5,①和为3-1-5=-3;(2)当1x =-,2y =-时,3322351x y x y x ---+=15.22.(1)3m =,2n =;(2)-13【解析】解:(1)①多项式2123536m x y xy x +-+--是六次四项式,①216m ++=,解得,3m =,5-m=5-3=2,253n m x y -的次数与多项式的次数相同,226n +=,解得,2n =.(2)各项的系数之和为:51(3)(6)13-++-+-=-.23.(1)D ,E (2)B ,C ,F【解析】(1)单项式集合:{D ,E…};(2)多项式集合:{B ,C ,F…}.24.-1【解析】①关于x ,y 的多项式23m x nx y x --是一个三次三项式,且最高次项的系数是3,①m +1=3,﹣n =- 3,解得:m =2,n =3, ①231m n -=-=-.25.(1)减小(2)方案2变化后面积大【解析】解:(1)设原来长方形的面积是S 前,变化后的长方形的面积是S 后, 根据题意得:S 前=ab ,S 后=(a +1)(b −1)=ab +b −a −1, ①S 后−S 前=ab +b −a −1−ab =b −a −1, ①a =b ,①b −a −1=−1<0,①S 后<S 前,①变化后面积减小了.(2)方案1,S 1=(a +1)(b −1)=ab −a +b −1, 方案2,S 2=(a −1)(b +1)=ab +a −b −1, ①S 1−S 2=−2a +2b =−2(a −b ), ①a >b ,①S 1−S 2<0,①方案2变化后面积大.。
2.1.4 多项式的乘法第1课时 单项式与多项式相乘基础题知识点1 单项式乘以多项式1.计算3x(2x 2+1),正确的结果是(C)A .6x 3B .6x 3+1C .6x 3+3xD .6x 2+3x2.下列说法正确的是(A)A .单项式乘以多项式的积可能是一个多项式,也可能是单项式B .单项式乘以多项式的积仍是一个单项式C .单项式乘以多项式的结果的项数与原多项式的项数相同D .单项式乘以多项式的结果的项数与原多项式的项数不同3.下列计算错误的是(B)A .-3x(2-x)=-6x +3x 2B .xy(x 2y -3xy 2-1)=x 3y 2-x 2y 3C .(2m 2n -3mn 2)(-mn)=-2m 3n 2+3m 2n 3D .-2x(x 2-3x -2)=-2x 3+6x 2+4x4.数学课上,同学们学习了单项式与多项式相乘,放学后,小丽回到家拿出课堂笔记,认真地复习课堂内容,她突然发现一道题:-3x 2(2x -________+1)=-6x 3+3x 2y -3x 2,空格的地方被钢笔水弄污了,你认为横线上应填写(B)A .-yB .yC .-xyD .xy5.若(x 2+ax +1)·(-6x 3)的展开式中不含x 4项,则a 的值为(D)A .-6B .-1C .1D .06.一个三角形的一边长是3x -4,这边上的高是2x ,则这个三角形的面积为(C)A .3x -4B .3x 2-4C .3x 2-4xD .4x -47.计算:(1)(上海中考)2(a -b)+3b =2a +b ; (2)4x ·(2x 2-3x +1)=8x 3-12x 2+4x ;(3)(-3x 2)(-x 2+2x -1)=3x 4-6x 3+3x 2;(4)(3x 2-14x -1)·(-2x 3)=-6x 5+12x 4+2x 3. 8.(常德中考)计算:b(2a +5b)+a(3a -2b)=5b 2+3a 2.9.计算:(1)-6x(x -3y);解:原式=-6x 2+18xy.(2)5x(2x 2-3x +4);解:原式=10x 3-15x 2+20x.(3)3x(x 2-2x -1)-2x 2(x -2).解:原式=3x 3-6x 2-3x -2x 3+4x 2=x 3-2x 2-3x.10.已知某长方形的长为(a +b)cm ,它的宽比长短(a -b)cm ,求这个长方形的周长与面积.解:由题意可得,所以这个长方形的周长为2(a +b +2b)=2a +6b(cm).面积为(a +b)×2b =2ab +2b 2(cm 2).知识点2 单项式乘以多项式的运用11.当x =2时,代数式x 2(2x)3-x(x +8x 4)的值是(B)A .4B .-4C .0D .112.(怀化中考)当x =1,y =15时,3x(2x +y)-2x(x -y)=5. 13.已知x(x +3)=1,则代数式2x 2+6x -5的值为-3.14.先化简,再求值:3a(2a 2-4a +3)-2a 2(3a +4),其中a =-2.解:原式=6a 3-12a 2+9a -6a 3-8a 2=-20a 2+9a.当a =-2时,原式=-20×4-9×2=-98.中档题15.已知x 2-2=y ,则x(x -3y)+y(3x -1)-2的值是(B)A .-2B .0C .2D .416.设P =a 2(-a +b -c),Q =-a(a 2-ab +ac),则P 与Q 的关系是(A)A .P =QB .P >QC .P <QD .互为相反数17.两个边长为a 的正方形和两个长为a ,宽为b 的长方形如图摆放组成一个大长方形;通过计算该图形的面积知,该图形可表示的代数恒等式是2a(a +b)=2a 2+2ab .18.计算:(1)-2ab ·(3a 2-2ab -b 2);解:原式=-6a 3b +4a 2b 2+2ab 3.(2)(-12a 2b)·(23b 2-13a +14); 解:原式=(-12a 2b)·23b 2+(-12a 2b)(-13a)+(-12a 2b)·14=-13a 2b 3+16a 3b -18a 2b.(3)(-6x 2y)2·(14x 3y 2-29x 2y +2xy). 解:原式=9x 7y 4-8x 6y 3+72x 5y 3.(4)(-2a 2)·(3ab 2-5ab 3)+8a 3b 2.解:原式=-6a 3b 2+10a 3b 3+8a 3b 2=2a 3b 2+10a 3b 3.解:去括号,得2x 2-4x +3x 2-3x =5x 2-15x +8.合并同类项,得5x 2-7x =5x 2-15x +8.移项、合并同类项,得8x =8.系数化为1,得x =1.20.设计一个商标图案如图中阴影部分所示,在长方形ABCD 中,AB =a ,BC =b ,以点A 为圆心,AD 为半径作圆与BA 的延长线相交于点F ,求商标图案的面积.解:S =ab +14πb 2-12b(a +b)=ab +14πb 2-12ab -12b 2=12ab +(14π-12)b 2.21.阅读下列文字,并解决问题.已知x 2y =3,求2xy(x 5y 2-3x 3y -4x)的值.分析:考虑到满足x 2y =3的x 、y 的可能值较多,不可以逐一代入求解,故考虑整体思想,将x 2y =3整体代入. 解:2xy(x 5y 2-3x 3y -4x)=2x 6y 3-6x 4y 2-8x 2y =2(x 2y)3-6(x 2y)2-8x 2y =2×33-6×32-8×3=-24.请你用上述方法解决问题:已知ab =3,求(2a 3b 2-3a 2b +4a)·(-2b)的值.解:原式=-4a 3b 3+6a 2b 2-8ab=-4×(ab)3+6(ab)2-8ab=-4×33+6×32-8×3=-108+54-24=-78.综合题22.某同学在计算一个多项式A 乘以-3x 2时,因抄错运算符号,算成了加上-3x 2,得到的结果是x 2-4x +1.(1)这个多项式A 是多少?(2)正确的计算结果是多少?解:(1)这个多项式A 是:(x 2-4x +1)-(-3x 2)=4x 2-4x +1.(2)正确的计算结果是:(4x 2-4x +1)·(-3x 2)=-12x 4+12x 3-3x 2.。
七年级数学(上)第三章单项式与多项式测试题班级_______姓名________学号________成绩____________一、填空题1.式子100t ,26a ,vt ,n -它们都是 ,像这样的式子叫做单项式;单独的一个 或 也是单项式;单项式中 叫做这个单项式的系数,例如:100,,,2t vt n r π-的系数分别为 , , , .2.一个单项式中,所有字母指数的 叫做这个单项式的次数,例如:单项式100t 的次数是 ,vt 的次数是 .3.几个单项式的 叫做多项式,其中的每个单项式叫做多项式的 ,多项式的每一项都包含它前面的符号;不含字母的项叫做 ;多项式里, 叫做这个多项式的次数;例如,多项式3218x x ++中,次数最高的项是 ,这个多项式的次数是 ;单项式和多项式统称为 .3.多项式223431723x y x y x y -+--+是______次______项式,最高次项是________ 。
4.多项式1523432232----ab b a b a b a 的次数是 ,项数是 ,常数项为 。
5.2143x x -+-是 次 项式,它的项分别是 , 其中常数项是 ;6.指出下列各式中哪些是单项式,哪些是多项式,哪些是整式?22222112,,,10,61,,,25,37a b x y x xy m n x x x x x ++-+--+ 单项式:___________ __________________多项式:_______________ ______________整式: 7.如果多项式2221m a b x π-+-是一个四次三项式,那么m=_________ .8.如果2x n +(m-1)x+1是关于x 的三次二项式,则n=_____,m=______.9.多项式x xy m y x m 3)2(52--- 如果的次数为4次,则m 为____,如果多项式只有二项,则m 为___.10.单项式853ab -的系数是 ___,次数是 ___;当5,2a b ==-时,这个代数式的值是 . 11.当a =-1时,34a = ; 单项式:3234y x -的系数是 ,次数是 ; 12.多项式:y y x xy x +-+3223534是 次 项式; 220053xy 是 次单项式; 13.多项式32(1)n m a a--++是关于a 的三次二项式,则m=_______,n=_________. 14.已知单项式632211037a x y x y π+--与的次数相同,则a=___________. 15.若(k-5)x |k-2|y 3是关于x 、y 的6次单项式,则k 的值是__________.16.如果多项式2221m a b x π-+-是一个四次三项式,那么m=_________ .17.如果2x n +(m-1)x+1是关于x 的三次二项式,则n=_____,m=______.18.若|2|3(5)k k x y --是关于,x y 的6次单项式,则k=_______________________.19. 若m m m z y x 21272--是一个七次单项式,则=m 。
七年级单项式和多项式专项训练题一、单项式相关题目。
1. 下列式子中,是单项式的是()- A. x + y- B. -2x- C. (2)/(x)- D. x^2+2x + 1- 解析:单项式是由数与字母的积组成的代数式叫做单项式,单独的一个数或一个字母也叫做单项式。
A选项x + y是多项式;C选项(2)/(x)分母含有字母,是分式不是单项式;D选项x^2+2x + 1是多项式;B选项-2x是数-2与字母x的积,是单项式,所以答案是B。
2. 单项式-frac{3x^2y}{4}的系数是()- A. -(3)/(4)- B. (3)/(4)- C. -3- D. 3.- 解析:单项式中的数字因数叫做这个单项式的系数。
对于单项式-frac{3x^2y}{4},其数字因数是-(3)/(4),所以系数是-(3)/(4),答案是A。
3. 单项式3x^2y^3的次数是()- A. 2.- B. 3.- C. 5.- D. 6.- 解析:一个单项式中,所有字母的指数的和叫做这个单项式的次数。
在单项式3x^2y^3中,x的次数是2,y的次数是3,所以单项式的次数为2 + 3=5,答案是C。
4. 写出一个系数为-2,含有字母x和y,且次数为4的单项式:______。
- 解析:根据单项式的系数和次数的定义,可写出-2x^3y(答案不唯一)。
因为x的次数是3,y的次数是1,3 + 1 = 4,系数为-2。
5. 若单项式2x^my^3与单项式-3x^2y^n是同类项,则m + n=______。
- 解析:如果两个单项式,他们所含的字母相同,并且相同字母的指数也分别相同,那么就称这两个单项式为同类项。
因为单项式2x^my^3与单项式-3x^2y^n是同类项,所以m = 2,n=3,则m + n=2 + 3 = 5。
6. 计算:(-3x^2y)×(4xy^2)- 解析:根据单项式乘法法则,系数与系数相乘,同底数幂相乘。
七年级数学下册第9章9.2 单项式乘多项式同步练习(含解析)(新版)苏科版编辑整理:尊敬的读者朋友们:这里是精品文档编辑中心,本文档内容是由我和我的同事精心编辑整理后发布的,发布之前我们对文中内容进行仔细校对,但是难免会有疏漏的地方,但是任然希望(七年级数学下册第9章9.2 单项式乘多项式同步练习(含解析)(新版)苏科版)的内容能够给您的工作和学习带来便利。
同时也真诚的希望收到您的建议和反馈,这将是我们进步的源泉,前进的动力。
本文可编辑可修改,如果觉得对您有帮助请收藏以便随时查阅,最后祝您生活愉快业绩进步,以下为七年级数学下册第9章9.2 单项式乘多项式同步练习(含解析)(新版)苏科版的全部内容。
第9章 9.2单项式乘多项式一、单选题(共9题;共18分)1、一个长方体的长,宽,高分别是5x﹣2,3x,2x,则它的体积是( )A、30x3﹣12x2B、25x3﹣10x2C、18x2D、10x﹣22、m(a2﹣b2+c)等于()A、ma2﹣mb2+mB、ma2+mb2+mcC、ma2﹣mb2+mcD、ma2﹣b2+c3、下列计算中正确的是( )A、(﹣3x3)2=9x5B、x(3x﹣2)=3x2﹣2xC、x2(3x3﹣2)=3x6﹣2x2D、x(x3﹣x2+1)=x4﹣x34、计算a(1+a)﹣a(1﹣a)的结果为()A、2aB、2a2C、0D、﹣2a+2a5、化简﹣3a•(2a2﹣a+1)正确的是( )A、﹣6a3+3a2﹣3aB、﹣6a3+3a2+3aC、﹣6a3﹣3a2﹣3aD、6a3﹣3a2﹣3a6、一个三角形的底为2m,高为m+2n,它的面积是()A、2m2+4mnB、m2+2mnC、m2+4mnD、2m2+2mn7、已知:(x4﹣n+y m+3)•x n=x4+x2y7 , 则m+n的值是()A、3B、4C、5D、68、要使(x3+ax2﹣x)•(﹣8x4)的运算结果中不含x6的项,则a的值应为()A、8B、﹣8C、D、09、下列说法正确的是( )A、多项式乘以单项式,积可以是多项式也可以是单项式B、多项式乘以单项式,积的次数等于多项式的次数与单项式次数的积C、多项式乘以单项式,积的系数是多项式系数与单项式系数的和D、多项式乘以单项式,积的项数与多项式的项数相等二、解答题(共1题;共5分)10、先化简,再求值:。
单项式和多项式练习题(总3页)--本页仅作为文档封面,使用时请直接删除即可----内页可以根据需求调整合适字体及大小--单项式和多项式练习题填空题1. 单项式:由____与____的积组成的代数式。
单独的一个___或_____也是单项式。
2. 单项式系数:单项式中的 因数叫这个单项式的系数,对应单项式中的数字(包括数字符号)部分。
如x 3,π,ab,,-m 它们都是单项式,系数分别为_______________________________3. 单项式次数:一个单项式中,______的指数的和叫这个单项式的次数。
只与字母指数有关。
如x 3,ab ,,-m, 它们都是单项式,次数分别为______分别叫做三次单项式,二次单项式,一次单项式。
4. ___________________________________叫做多项式。
5. ____________________________叫做多项式的项。
6. _______________________叫做常数项。
7. 一个多项式含有几项,就叫几项式。
______________多项式的次数.8. 若单项式-2x 3y n -3是一个关于x ,y 的5次单项式,则n=_________.9. 若多项式(m+2)12-m x y 2-3xy 3是五次二项式,则m=___________.10. 写出一个关于x 的二次三项式,使得它的二次项系数为21-,则这个二次三项式是__________。
11. 计算(a +3a +5a +…+2003a )-(2a +4a +6a +…+2004a )=________12. 请写出一个关于x 的二次三项式,使二次项的系数为1,一次项的系数为-3,常数项是2,则这个二次三项式是________.13. 若(m -1)xy n +1是关于x 、y 的系数为-2的三次单项式,则m =________,n =________. 选择题1. 在下列代数式:1,212,3,1,21,2122+-+++++x x b ab b a ab ππ中,多项式有( ) A. 2个 B. 3个 C. 4个 D. 5个2. 下列多项式次数为3的是( )A -5x 2+6x -1 B. πx 2+x -1 C. a 2b +ab +b 2 D. x 2y 2-2xy -13. 下列说法中正确的是( )A. 代数式一定是单项式B. 单项式一定是代数式C. 单项式x 的次数是0D. 单项式-π2x 2y 2的次数是64. 下列语句正确的是( )A. x 2+1是二次单项式B. -m 2的次数是2,系数是1C. 21x是二次单项式 D. 32abc 是三次单项式 5. 2a 2-3ab +2b 2-(2a 2+ab -3b 2)的值是( )A2ab -5b 2 B. 4ab +5b 2 C. -2ab -5b 2 D. -4ab +5b 26. 下列整式加减正确的是( )A. 2x -(x 2+2x )=x 2B. 2x -(x 2-2x )=x 2C. 2x +(y +2x )=yD. 2x -(x 2-2x )=x 27. 减去-2x 后,等于4x 2-3x -5的代数式是( )A4x 2-5x -5 B. -4x 2+5x +5 C. 4x 2-x -5 D. 4x 2-58. 一个多项式加上3x 2y -3xy 2得x 3-3x 2y ,这个多项式是( )Ax 3+3xy 2 B. x 3-3xy 2 C. x 3-6x 2y +3xy 2 D. x 3-6x 2y -3xy 29.下列说法正确的是( )A. 8―z 2是多项式B. -x 2yz 是三次单项式,系数为0C. x 2―3xy 2+2 x 2y 3―1是五次多项式D.xb 5 是单项式 10.下列结论中,正确的是( ) A. 单项式52ab 2的系数是2,次数是2 B. 单项式a 既没有系数,也没有指数 C. 单项式-ab 2c 的系数是—1,次数是4 D. 没有加减运算的代数式是单项式11. 单项式-x 2yz 2的系数、次数分别是( )A. 0,2B. 0,4C. -1,5D. 1,412.下列说法正确的是( )A. 没有加、减运算的式子叫单项式B. 35πab 的系数是35,次数是3 C. 单项式―1的次数是0 D. 2a 2b―2ab+3是二次三项式13.如果一个多项式的次数是5,那么这个多项式的任何一项的次数( )A .都小于5 B. 都等于5 C.都不小于5 D.都不大于514.在y 3+1,m 3+1,―x 2y ,cab ―1,―8z,0中,整式的个数是( )A. 6解答题1.如果多项式3x m ―(n―1)x+1是关于x 的二次二项式,试求m ,n 的值。
七年级数学单项式多项式整式求值练习题一、单选题1.如果22112n a b --是五次单项式,则n 的值为( ) A.1 B.2 C.3 D.4 2.多项式22124x xy y +--是( ) A.三次三项式 B.二次四项式 C.三次四项式 D.二次三项式 3.多项式23332x y xy --的次数和项数分别为( )A.5,3B.5,2C.2,3D.3,34.对于单项式22r π-的系数、次数分别为( )A. 2,2B. 2,3C. 2,2πD. 2,3π5.下列说法中正确的是( )A. 2332x x x -+-是六次三项式B.211x x x --是二次三项式C. 2522x x -+是五次三项式D.242521x x y -+-是六次三项式6.下列式子中不是整式的是( )A. 23x -B. 2a ba -C. 125x y +D. 07.下列说法中正确的是( )A. 5,a -不是单项式B. 2abc-的系数是2-C. 223x y -的系数是13-,次数是4D. 2x y 的系数为0,次数为28.下列用语言叙述式子“3a --”所表示的数量关系,错误的是() A. a -与3-的和B. a -与3的差C. a -与3的和的相反数D.3-与a 的差二、解答题9.写出一个只含字母,a b 的多项式,需满足以下条件:(1)五次四项式;(2)每一项的系数为1或1-;(3)不含常数项;(4)每一项必须同时含有字母,a b 不含有其它字母。
10.如n mxy -是关于,x y 的五次单项式,且系数为0.314-求,m n 的值.11.若321b a x y-+是关于,x y 的六次单项式,则,a b 满足什么条件?三、填空题 12.单项式243xy -的系数为____,次数为_____。
13.父亲年龄比儿子年龄的3倍少5岁,设儿子的年龄为x 岁,则父亲的年龄为 _________ 岁14.一个数比数x 的2倍小3,则这个数为________15.买一个篮球需要x (元),买一个排球需要y (元),买一个足球需要z (元),买3个篮球, 5个排球, 2个足球共需______元.16.如图,三角尺的面积为______.17.如图是一所住宅的建筑平面图,这所住宅的建筑面积是_____平方米.18.列式表示1.比a 的一半大3的数;2. a 与b 的差的c 倍3. a 与b 的倒数的和;4.a 与b 的和的平方的相反数参考答案1.答案:C解析:2.答案:C解析:3.答案:A解析:4.答案:C解析:5.答案:D解析:6.答案:D解析:7.答案:C解析:8.答案:C解析:9.答案:224ab ab a b a b +++ 解析:10.答案:0.314,4 解析:11.答案:0,5解析:12.答案:4,33-解析:13.答案:35x -解析:14.答案:23x -解析:15.答案:352x y z ++ 解析:16.答案:212ab r π-- 解析:17.答案:2218x x ++ 解析:18.答案:1.132a +2. ()a b c -3.11a b+4. 2()a b -+解析:。
七年级数学单项式多项式整式混合运算练习题一、单选题1.下列各式12mn -,m ,8,1a ,226x x ++,25x y -,24πx y +,1y 中,整式有( ) A.3个 B.4个 C.6个 D.7个2.下列说法正确的是( ) A.12不是单项式 B.b a 是单项式 C.x 的系数是0 D.322x y -是整式A.3个B.4个C.5个D.6个 4.下列式子22132,4,,5,07ab x x a ++-中,整式的个数是( ) A.6 B.5 C.4 D.3 5.下列式子()22122,,,,023a b a b x y a-+-中,整式的个数是( ) A.2 B.3 C.4 D.56.下列式子: 22132,?4,,,5,07ab ab x x a c ++-中,整式有( ) A.6个 B.5个 C.4个 D.3个7.下列式子: 2213,4,,,5,07ab ab x x a c +-中,整式的个数是: ( ) A.6 B.5 C.4 D.38.下列整式212a b -,227m n +,221x y ++,2x y -,332t 中,单项式有( ) A.2个 B.3个 C.4个 D.5个二、解答题9.下列代数式:a b -,15x ,13a,2xy ,17a -,,,5s x y m t +,23x x +-,23,1x y --.将它们按要求填入相应的横线内单项式: ;多项式: ;整式: 。
10.指出下列各式中哪些是单项式,哪些是多项式, 哪些是整式.222272112,,,10,61,,,25,,37a b x y x xy m n x x a x x x++-+--+. 11、化简求值::,其中12.先化简,再求值:()222213234322a b a b abc a c a c abc ⎡⎤-----⎢⎥⎣⎦,其中1a =-,3b =-,12c =. 三、填空题13.下列各式,221,,(),,3π15a x a b x y x x a b-+-+-有 .14、已知与 是同类项,则5m+3n 的值是 . 15、若单项式 与 的和仍为单项式,则16、已知: ,则代数式 的值为17.若21421242?n m a b a b a b ++-+=-, 则3?m n -=__________.参考答案1.答案:C解析:2.答案:D解析:3.答案:C式,共5个.4.答案:C解析:式子22132,4,,,5,07ab ab x x a c ++-符合整式的定义,都是整式;14,ab a c +这两个式子的分母中都含有字母,不是整式.故整式共有4个.故选C.5.答案:C解析:根据整式的定义可知其中()2212,,,023a b a b x y -+-是整式,共有4个,故选C. 6.答案:C 解析:整式有2232,,5,07ab x x +-,共4个. 7.答案:C解析:试题分析:根试题分析:根据整式的定义分析判断各个式子,即可得到结果.整式有223,,5,4,7ab x x -共4个,故选C. 点评:整式是有理式的一部分,在有理式中可以包含加,减,乘,除四种运算,但在整式中除式不能含有字母.单项式和多项式统称为整式.判断整式时,式子中含有等号和分母中含有字母的式子一定不是整式8.答案:A解析:下列整式212a b -,227m n +,221x y ++,2x y -,332t 中,单项式有212a b -,332t 共2个. 故选:A.分析:利用单项式的定义求解即可.9.答案:单项式:231,2,,,15x xy m x y --; 多项式:2,,35x y a b x x +--; 整式:2321,2,,,1,,,355x y x xy m x y a b x x +---+-. 解析:10.答案:单项式有:271,10,,7x m n a -; 多项式有:222,,61,253a b x y xy x x +++--; 整式有:22227212,,,10,61,,25,,37a b x y x xy m n x x a x x++-+--+. 解析:答案: 11、解析: 本题的关键是化简,然后把给定的知代入求值.解:原式=6a-2-6+15a-9a 2=21a-9a 2-8,把a=- 代入,原式=21×(- )-9×(- ) 2-8=-7-1-8=-16. 12.答案:()222213234322a b a b abc a c a c abc ⎡⎤-----⎢⎥⎣⎦ 222213624322a b a b abc a c a c abc ⎛⎫=--+-- ⎪⎝⎭ 222213624322a b a b abc a c a c abc =-+-+- 2232a b abc a c =-++. 当11,3,2a b c =-=-=时, 原式()()()()()2211113313218222=--⨯-+⨯-⨯-⨯+⨯-⨯=. 解析:13.答案:22,1x a b x a b-+-,21,(),3,0π5a x y x +- 解析:21,(),3,0π5a x y x +-的分母中均不含有字母,因此它们是整式,而不是分式。
七年级数学单项式多项式练习题修订版
IBMT standardization office【IBMT5AB-IBMT08-IBMT2C-ZZT18】
北师大版数学七年级
一.选择题:
1.在下列代数式:1,2
12,3,1,21,2122+-+++++x x b ab b a ab ππ中,多项式有【 】 (A )2个 (B )3个 (C )4个 (D )5个
2.下列多项式次数为3的是【 】
(A )-5x 2+6x -1 (B )πx 2+x -1 (C )a 2b +ab +b 2 (D )x 2y 2-2xy -1
3.下列说法中正确的是【 】
(A )代数式一定是单项式 (B )单项式一定是代数式
(C )单项式x 的次数是0 (D )单项式-π2x 2y 2的次数是6。
4.下列语句正确的是【 】
(A )x 2+1是二次单项式 (B )-m 2的次数是2,系数是1
(C )2
1x 是二次单项式 (D )32abc 是三次单项式 5.2a 2-3ab +2b 2-(2a 2+ab -3b 2)的值是【 】
(A )2ab -5b 2 (B )4ab +5b 2 (C )-2ab -5b 2 (D )-4ab +5b 2
6.下列整式加减正确的是【 】
(A )2x -(x 2+2x )=x 2 (B )2x -(x 2-2x )=x 2
(C )2x +(y +2x )=y (D )2x -(x 2-2x )=x 2
7.减去-2x 后,等于4x 2-3x -5的代数式是【 】
(A )4x 2-5x -5 (B )-4x 2+5x +5 (C )4x 2-x -5 (D )4x 2-5
8.一个多项式加上3x 2y -3xy 2得x 3-3x 2y ,这个多项式是【 】
(A )x 3+3xy 2 (B )x 3-3xy 2 (C )x 3-6x 2y +3xy 2 (D )x 3-6x 2y -3xy 2
9. 下列说法正确的是( )
A.8―z
2是多项式 B. ―x 2yz 是三次单项式,系数为0 C. x 2―3xy 2+2 x 2y 3―1是五次多项式 D.
x b 5 是单项式 10. 下列结论中,正确的是( )
A .单项式5
2ab 2的系数是2,次数是2; B .单项式a 既没有系数,也没有指数 C .单项式—ab 2c 的系数是—1,次数是4 ;D .没有加减运算的代数式是单项式
11. 单项式―x 2yz 2的系数、次数分别是( )
A .0,2 B.0,4 C. ―1,5 D. 1,4
12. 下列说法正确的是( )
A .没有加、减运算的式子叫单项式;
B .35πab 的系数是3
5,次数是3
C .单项式―1的次数是0 ;
D .2a 2b ―2ab+3是二次三项式
13.如果一个多项式的次数是5,那么这个多项式的任何一项的次数( )
A .都小于5 B. 都等于5 C.都不小于5 D.都不大于5
14.设a m =8,a n =16,则a n m +=( )
A .24 B.32 C.64 D.128
15.若x 2·x 4·( )=x 16,则括号内应填x 的代数式为( )
A .x 10 B. x 8 C. x 4 D. x 2
16.在y 3+1,m 3+1,―x 2y ,c
ab ―1,―8z ,0中,整式的个数是( ) A. 6 B.3 C.4 D.5
二、填空题:(本题共20分)
1.-a 3·(-a )5= ; x ·x 2·x 3y= .
2.a 5·a n +a 3·a 2+n –a ·a 4+n +a 2·a 3+n = .
3.(a-b )3·(a-b )5= ; (x+y )·(x+y )4= .
4.若单项式-2x 3y n -3是一个关于x ,y 的5次单项式,则n=_________.
5.若多项式(m+2)12-m x y 2-3xy 3
是五次二项式,则m=___________.
6.写出一个关于x 的二次三项式,使得它的二次项系数为2
1-
,则这个二次三项式是__________。
7.计算(a +3a +5a +…+2003a )-(2a +4a +6a +…+2004a )=________
8.请写出一个关于x 的二次三项式,使二次项的系数为1,一次项的系数为-3,常数项是2,则这个二次三项式是________.
9.若(m -1)xy n +1是关于x 、y 的系数为-2的三次单项式,则m =________,n =________.
三.解答题:
1.如果多项式3x m ―(n ―1)x+1是关于x 的二次二项式,试求m ,n 的值。
2.如果单项式3a 2b 43-m 的次数与单项式3
1x 3y 2z 2的次数相同,试求m 的值。
3.(2x -y )·(y -2x )3×(2x -y )4;
4.若代数式(x 2+ax -2y +7)-(bx 2-2x +9y -1)的值与字母x 的取值无关,求a 、b 的值。