光电三极管及光敏电阻型号参数表
- 格式:doc
- 大小:340.00 KB
- 文档页数:2
常用三极管数据三极管是一种常用的电子元件,用于放大和开关电路。
在电子设备中,三极管的性能参数对于电路的设计和性能至关重要。
下面是常用三极管的数据,包括型号、最大额定值、电流增益、最大功率和封装类型等。
1. 型号:BC547- 最大额定值:- 集电极-基极电压:45V- 集电极-发射极电压:45V- 集电极电流:100mA- 电流增益:200-800- 最大功率:500mW- 封装类型:TO-922. 型号:2N3904- 最大额定值:- 集电极-基极电压:40V- 集电极-发射极电压:6V- 集电极电流:200mA- 电流增益:100-300- 最大功率:625mW- 封装类型:TO-923. 型号:2N3906- 最大额定值:- 集电极-基极电压:40V - 集电极-发射极电压:6V - 集电极电流:200mA- 电流增益:100-300- 最大功率:625mW- 封装类型:TO-924. 型号:BC337- 最大额定值:- 集电极-基极电压:45V - 集电极-发射极电压:5V - 集电极电流:800mA- 电流增益:100-630- 最大功率:625mW- 封装类型:TO-925. 型号:BC327- 最大额定值:- 集电极-基极电压:45V- 集电极-发射极电压:5V- 集电极电流:800mA- 电流增益:100-630- 最大功率:625mW- 封装类型:TO-92以上是常用的五种三极管型号及其相关数据。
这些数据是根据厂商提供的规格书和测试数据整理得到的。
不同型号的三极管适合于不同的电路应用,如放大器、开关和稳压器等。
在选择三极管时,需要根据具体的电路要求和设计需求来确定最合适的型号。
常用电阻、二极管、三极管参数资料1.固定电阻器的主要参数固定电阻器的主要参数是标称阻值、允许误差和额定功率。
(1)标称阻值和允许误差电阻器上标志的阻值叫标称值,而实际值与标称值的偏差,除以标称值所得的百分数叫电阻的误差,它反映了电阻器的精度。
不同的精度有一个相应的误差,表1列出了常用电阻器的允许误差等级(精度等级)。
表1 常用电阻器允许误差的等级目前固定电阻器大都为I级或II级普通电阻,而且III级很少,能满足一般应用的要求,02、01、005级的精密电阻器,一般用于测量仪器,仪表及特殊设备电路中。
国家有关部门规定了阻值系列作产品的标准,表2是普通电阻器系列表。
表中的标称值可以乘以10n,例如,4.7这个标称值,就有0.47Ω、4.7Ω、47Ω、470Ω、4.7KΩ……。
选择阻值时必须在相应等级的系列表中进行。
表2 电阻器系列及允许误差(2)电阻器的额定功率电阻器长时间工作允许所加的最大功率叫额定功率。
电阻器的额定功率,通常有1/8、1/4、1/2、1、2、3、5、10瓦等。
表示电阻器额定功率的通用符号见图1。
大于1W的则用阿拉伯数字表示。
2.固定电阻器的主要参数的标志方法(1)电阻器的额定功率、阻值及允许误差一般都标在电阻器上。
额定功率较大的电阻器,一般都将额定功率直接印在电阻器上。
额定功率较小的电阻器,可以从它的几何尺寸和表面面积上看出,一般0.125 w、0.25w电阻器的直径约2.5毫米,长约7-8毫米;0.5W电阻器的直径约4.5毫米,长约10-12毫米。
(2)电阻值及允许误差有三种表示法,即直标法、文字符号法和色标法。
直标法是阻值和允许误差直接标明,如2KΩ±5%;文字符号法是阻值用数字与符号组合在一起表示,组合规律如下:文字符号Ω、K、M前面的数字表示整数阻值,文字符号Ω、K、M后面的数字表示小数点后面的小数阻值。
允许误差用符号、J=±5%、K=±10%、M=±20%。
光敏三极管的主要技术特性及参数1、光谱特性光敏三极管由于使用的材料不同,分为错光敏三极管和硅光敏三极管,使用较多的是硅光敏三极管。
光敏三极管的光谱特性与光敏二极管是相同的。
2、伏安特性光敏三极管的伏安特性是指在给定的光照度下光敏三极管上的电压与光电流的关系。
光敏三极管的伏安特性曲线如图下图所示。
3、光电特性与光照度之间的关光敏三极管的光电特性反映了当外加电压恒定时,光电流IL系。
下图给出了光敏三极管的光电特性曲线光敏三极管的光电特性曲线的线性度不如光敏二极管好,且在弱光时光电流增加较慢。
4、温度特性温度对光敏三极管的暗电流及光电流都有影响。
由于光电流比暗电流大得多,在一定温度范围内温度对光电流的影响比对暗电流的影响要小。
下两图中分别给出了光敏三极管的温度特性曲线及光敏三极管相对灵敏度和温度的关系曲线。
5、暗电流ID在无光照的情况下,集电极与发射极间的电压为规定值时,流过集电极的反向漏电流称为光敏三极管的暗电流。
6、光电流IL在规定光照下,当施加规定的工作电压时,流过光敏三极管的电流称为光电流,光电流越大,说明光敏三极管的灵敏度越高。
7、集电极一发射极击穿电压VCE在无光照下,集电极电流IC为规定值时,集电极与发射极之间的电压降称为集电极一发射极击穿电压。
8、最高工作电压VRM在无光照下,集电极电流Ie为规定的允许值时,集电极与发射极之间的电压降称为最高工作电压。
9、最大功率PM最大功率指光敏三极管在规定条件下能承受的最大功率。
10、峰值波长λp当光敏三极管的光谱响应为最大时对应的波长叫做峰值波长。
11、光电灵敏度在给定波长的入射光输入单位为光功率时,光敏三极管管芯单位面积输出光电流的强度称为光电灵敏度。
12、响应时间响应时间指光敏三极管对入射光信号的反应速度,一般为1X10-3---1X10-7S。
13、开关时间1.脉冲上升时间t:光敏三极管在规定工作条件下调节输入的脉冲光,使光敏三τ极管输出相应的脉冲电流至规定值,以输出脉冲前沿幅度的10%-90%所需的时间。
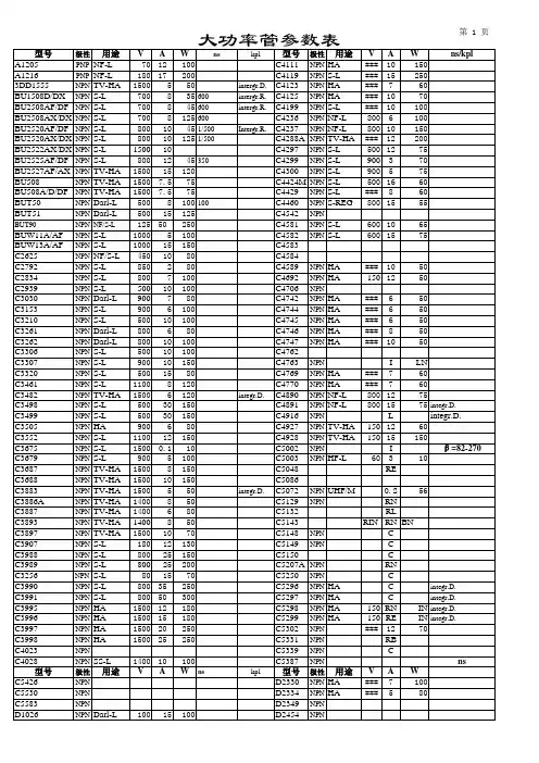
|常用三极管参数表下表是常用三极管的一些参数以及替换型号器件型号电压电流代换型号3DG9011 50V 0.3A 2N4124 CS9011 JE9011 9011 50V 0.03A L M9011 SS90119012 40V 0.5A LM90129012(HH) 40V 0.5A SS90129012LT1 40V 0.5A A12983DG9013 40V 0.5A CS9013 JE90139013 40V 0.5A LM90139013(HH) 40V 0.5A SS90139013LT1 40V 0.5A C32653DG9014 50V 0.15A C S9014 JE90149014 50V 0.1A LM9014 SS90149014LT1 50V 0.1A C16239015 50V 0.1A LM9015 SS9015TEC9015 50V 0.15A B C557 2N3906TEC9015A 50V 0.15A B C557 2N3906TEC9015B 50V 0.15A B C557 2N3906TEC9015C 50V 0.15A B C557 2N39063DG9016 30V 0.025A JE90169016 30V 0.25A S S9016TEC9016 40V 0.025A BF240 BF254 BF594 8050 40V 1.5A SS80508050LT1 40V 1.5A KA3265ED8050 50V 0.8A BC337SDT85501 60V 10A 3DK104CSDT85502 80V 10A 3DK104CSDT85503 100V 10A 3DK104DSDT85504 140V 10A 3DK104ESDT85505 170V 10A 3DK104FSDT85506 60V 10A 3DK104CSDT85507 80V 10A 3DK104CSDT85508 100V 10A 3DK104DSDT85509 140V 10A 3DK104EED8550 50V 0.8A BC3378550 40V 1.5A LM8550 SS85508550LT1 40V 1.5A KA32652SA1015 50V 0.15A B C177 BC204 BC212 BC213 BC251 BC257 BC307 BC512 BC557 CG1015 CG673 2SC1815 60V 0.15A B C174 BC182 BC184 BC190 BC384 BC414 BC546 DG458 DG18152SC1815L 60V 0.15A B C550 2SC2240 2S26742SC2675 2SC33782SC1815LT1 60V 0.15A 9014LT12SC945 60V 0.1A BC107 BC171 BC174 BC182 BC183 BC190 BC207 BC237 BC382 BC546 BC547 BC582 DG945 2N2220 2N2221 2N2222 3DG120B 3DG4312 MMBT3904 40V 0.2A BCW72 3DG120CMMBT3906 40V 0.2A BCW70 3DG120CMMBT2222 未知 0.8A BCX19 3DG120CMMBT2222A 75V 0.6A 3DK10CMMBT5401 160V 0.5A 3CA3FMMBTA92 300V 0.5A 3CG180HBC807 50V 0.5A BC338 BC537 BC635 3DK14BBC807R 50V 0.5A BCX17 BCX17R BCW68 BCW68R BC807-W 50V 0.5A BCX17 BCW68 2SB1219ABC817 50V 0.5A BCX19 BCW65 BCX66BC817R 50V 0.5A BCX19 BCX19R BCW65 BCW65R BCX66 BCW66RBC817-W 50V 0.5A BCX19 BCW65 BCW66 2SD1820 2SD1949BC846 80V 0.1A BCV71 BCV72BC846R 80V 0.1A BCV71 BCV71R BCV72 BCV72RBC846-W 80V 0.1A BCV71 BCV72 BCV72RBC847 50V 0.1A BCW71 BCW72 BCW81BC847R 50V 0.1A BCW71 BCW71R BCW72 BCW72R BCW81 BCW81RBC847-W 50V 0.1A BCW71 BCW72 BCW81 2SC4101 2SC4102BC848 30V 0.1A BCW31 BCW32 BCW33 BCW71 BCW72 BCW81BC848R 30V 0.1A BCW31 BCW31R BCW32 BCW32R BCW33 BCW33R BCW71 BCW71R BCW72 BCW72R BCW81 BCW81RBC848-W 30V 0.1A BCW31 BCW32 BCW33 BCW71 BCW72 BCW81 2SC4101 2SC4102 2SC4117BC856 50V 0.1A BCW89BC856R 80V 0.1A BCW89 BCW89RBC856-W 80V 0.1A BCW89 2SA1507 2SA1527 BC857 50V 0.1A BCW69 BCW70 BCW89BC857R 50V 0.1A BCW69 BCW69R BCW70 BCW70R BCW89 BCW89RBC857-W 50V 0.1A BCW69 BCW70 BCW89 2SA1507 2SA1527BC858 30V 0.1A BCW29 BCW30 BCW69 BCW70 BCW89BC858R 30V 0.1A BCW29 BCW29R BCW30 BCW30R BCW69 BCW69R BCW70 BCW70R BCW89 BCW89RBC858-W 30V 0.1A BCW29 BCW30 BCW69 BCW70 BCW89 2SA1507 2SA15272SA733 60V 0.1A BC177 BC204 BC212 BC213 BC251 BC257 BC307 BC513 BC557 3CG120C 3CG4312 MMUN2111 50V 0.1A UN2111MUN2111 50V 0.1A MMUN2111UN2111 50V 0.1A FN1A4M DTA114EK RN24022SA1344MMUN2112 50V 0.1A UN2112MUN2112 50V 0.1A MMUN2112UN2112 50V 0.1A FN1F4M DTA124EK RN24032SA1342MMUN2113 50V 0.1A UN2113MUN2113 50V 0.1A MMUN2113UN2113 50V 0.1A FN1L4M DTA144EK RN24042SA1341MMUN2211 50V 0.1A UN2211MUN2211 50V 0.1A MMUN2211UN2211 50V 0.1A DTC114EK FA1A4M RN14022SC3398MMUN2212 50V 0.1A UN2212MUN2212 50V 0.1A MMUN2212UN2212 50V 0.1A DTC124EK FA1F4M RN14032SC3396MMUN2213 50V 0.1A UN2213MUN2213 50V 0.1A MMUN2213UN2213 50V 0.1A DTC144EK FA1L4M RN14042SC33952SC3356 20V 0.1A 2SC3513 2SC3606 2SC38292SC3838K 30V 0.05A B F517 BF799 2SC3015 2SC3016彩显中易损大功率三极管主要参数表型号功率(W) 反压(V) 电流(A) 功能BU208A 50 1500 5 电源开关管BU508A 75 1500 8 电源开关管BU2508AF 45 1500 8 行管*BU2508DF 125 1500 8 行管*BU2508D 125 1500 8 行管BU2520AF 45 1500 10 行管BU2520AX 45 1500 10 行管*BU2520DF 125 1500 10 行管BU2522AF 45 1500 10 行管*BU2522DF 80 1500 10 行管* BU2525DF 45 800 12 行管BUH515 60 1500 8 行管C1520 10 250 0.2 视放C1566 1.2 250 0.1 视放C1573 0.6 250 0.07 视放C1875 50 1500 3.5 电源开关管C3153 100 900 6 电源开关管C3026 50 1700 5 行管C3457 50 1100 3 电源开关管C3459 90 1100 4.5 电源开关管C3460 100 1100 6 电源开关管C3461 140 1100 8 行管*C3683 50 1500 5 行管C3686 50 1400 8 行管C3687 150 1500 8 行管C3481 120 1500 5 电源开关管C3688 150 1500 10 行管*C3883 50 1500 5 行管C3885 50 1400 7 行管C3886 50 1400 8 行管C3887 80 1400 7 行管C3888 80 1400 80 行管C3889 80 1400 80 行管*C3891 50 1400 6 行管*C3892 50 1400 7 行管*C3893 50 1400 8 行管C3895 60W 1400V 7A 行管C3896 70 1400 8 行管*C3897 180 1500 12 行管C3897 250 1500 25 行管C3998 250 1500 25 行管*C4122 60 1500 6 行管*C4124 70 1500 8 行管*C4125 70 1500 10 行管C4237 150 800 10 行管*C4269 60 1500 7 行管*C4293 50 1500 5 行管*C4294 50 1500 6 行管*C4589 50 1500 10 行管*C4742 50 1500 6 行管*C4744 50 1500 6 行管C4747 50 1500 10 行管*C4769 60 1500 7 行管C4770 60 1500 7 行管C5048 50 1500 12 行管C5088 45 1500 8 行管C5129 50 1500 6 行管C5148 50 1500 8 行管C5250 50 1500 8 行管C5297 60 1500 8 行管C5299 60 1400 8 行管C5339 50 1500 7 行管C5418 120 1500 6 行管*D1396 50 1500 2 行管*D1398 50 1500 5 行管D1402 120 1500 5 电源开关管D1403 120 1500 6 电源开关管*D1426 80 1500 3.5 行管*D1427 80 1500 5 行管*D1428 80 1500 6 行管D1433 80 1500 7 行管D1434 80 1500 5 行管*D1554 40 1500 3.5 行管D1555 50 1500 5 电源开关管*D1878 60 1500 6 行管*D1879 60W 1500V 5A 行管*D1880 70 1500 8 行管*D1881 70 1500 10 行管D1886 70 1500 8 行管D1887 70 1500 10 行管*D2125 50 1500 5 行管*D870 50 1500 5 行管功率Pcm/W 反压BVCBO 电流ICM/A(*带阻尼)进口与国产显示器常用三极管代换表型号可代用型号用途价格2SA562 CG673B、2SB689 预视放2SA670 2SA1069、2SB513 电源调整管2SA673 2SA719、2SA697 帧激励2SA715 3CF3A、2SB529 场输出管2SA778A 3CG21C、CG75-1AB 开关电源误差放大2SA778AK C3CG21G、CG75-1A 开关电源误差放大2SA844D 3CG21C、CG75-1AB 视放2SA844E 3CG21G 视放2SA940 CD568B 场输出管2SA6395 2SA778、2SA858 行激励管2SB337 B337 电源调整管2SB407 3L780 电源调整管2SB548 3CF3B、2SA794 场输出管2SB566AK CD77-1A、3CF5A 电源调整管2SB556K CD77-1A、3CF5B 电源调整2SB621 3CG23B、2SB1035 电源推动管2SC458 3DG4A、2SC664 行振荡2SC536 3DG4A、2SC2320 电源推动管2SC562 G6738、B689 预视放2SC633 3DG6B、2SC1684 行振荡管2SC634 3DG12B 行振荡管2SC643A D2027、2SD818 行输出管2SC680A 3DD205B、2SC1025 场输出2SC681 3DD102B、2SC901 行输出2SC734 3DX200B、2SC2274 行振荡管2SC828 3DG56B、2SC3330 电源误差放大管2SC935 3DD102D、2SD320 电源调整管2SC8937 D2027、2SD818 行输出管2SC1034 2SD818、2SD299 行输出管2SC1162 FA433A、2SC2068 场输出枕形校正2SC1172 D2027、2SD820 行输出管2SC1209 3DG12A、2SD734 电源误差放大管2SC1213 3DG130A、2SC2120 电源误差放大管2SC1213A 3DG12B、2SC1247A 电源误差放大2SC1214 3DA151A、2SC2002 枕形校正2SC1308 D209、2SD820 行输出管2SC1318 3DG12A、2SC2274 行激励管2SC1364 3DX2038、2SC2320 行激励管2SC1505 DA1722B、2SC1757 行视放2SC1507 DA1722B、2SC1756、2SC1757 行激励管2SC1364 3DX2038、C23020 行激励管2SC1520 DA1722B、2SC2068 预视放2SC1566 3DA151D、2SC1514 视放2SC1573 3DA87C、2SC1762 视放2SC1672 3DD102B、2SC2433 电源调整管2SC1685 3DD180、2SC1570 脉冲开关2SC1819 3DA151D、2SC2425 视放2SC1890A 3DA878、2SC2363 视放2SC1905 3DA151D、2SD1163 视放2SC1942 D209、2SD1401 行输出管2SC2233 3DD12B、2SC2373 行输出2SD201 3DD102A、2SD125A 电源调整管2SD226 3DD207、2SD315 电源调整管2SD299 D2027、2SC1308 行输出管2SD350 D2027、2SD348 行输出管2SD380 D209、2SD348 行输出管2SD869 2SD993、2SD898B 行输出管C3150 C3151、C3152 开关管BU508A BU508D、C3893、C3895、C3897 开关管彩显中易损场效应管主要参数表型号功率Pcm/W 最大电流IDM/A D-S极间耐压价格2SK534 100W 5A 800V2SK538 100 3 9002SK557 100 12 5002SK560 100 15 5002SK566 78 3 800 2SK644 125 10 500 2SK719 120 5 900 2SK725 125 15 500 2SK727 125 5 900 2SK774 120 18 500 2SK785 150 20 500 2SK787 150 8 900 2SK788 150 13 500 2SK790 150 15 500 2SK872 150 6 900 2SK955 150 9 800 2SK956 150 9 800 2SK962 150 8 900 2SK1019 300 30 500 2SK1020 300 30 5002SK1081 125 7 800 2SK1082 125 6 800 2SK1117 100 6 600 2SK1118 45 6 600 2SK1119 100 4 1000 2SK1120 150 8 1000 2SK1171 240 5 1400 2SK1198 75 3 800 2SK1249 130 15 500 2SK1250 150 20 500 2SK1271 240 15 1400 2SK1280 150 18 500 2SK1281 120 4 700 2SK1341 100 5 900 2SK1342 100 8 9002SK1357 125 5 900 2SK1358 150 9 900 2SK1451 120 5 900 2SK1498 120 20 500 2SK1500 160 25 500 2SK1502 120 7 900 2SK1507 50 6 600 2SK1512 150 10 850 2SK1531 150 15 500 2SK1537 100 5 900 2SK1539 150 10 900 2SK1563 150 12 500 2SK1649 100 6 900 2SK1794 150 6 900 2SK2038 125 6 9002N7000 0.4 0.2 60BUZ385 125 6 500 GH30N60 180 30 600 GH30N100 250 30 1000 GH40N60 200 40 600H1245 120 12 450H13N50 150 13 500IBF834 100 3 500IPF440 125 8 500IRT450 150 13 500IRF350 150 13 500IRF360 300 25 400IRF440 125 8 500IRF451 150 13 450IRF460 300 21 500IRF620 40 5 200IRF634 75 8.1 250 IRF640 125 18 200 IRF730 75 5.5 400 IRF740 125 10 400 IRF820 50 2.5 500 IRF830 75 4.5 500 IRF834 100 5 500 IRF840 125 8 500 IRF841 125 8 450 IRF842 125 7 500 IRF9610 20 1 200 IRF9630 75 6.5 200 IRF9640 125 11 200 IRF450 150 13 500 IRFD113 1 0.8 80FIRP150 180 41 100IRFP151 180 19 60IRFP240 150 31 200IRFP250 180 31 200IRFP251 180 33 150IRFP254 180 23 250IRFP350 180 16 400IRFP351 180 16 350IRFP360 250 23 400IRFP450 180 14 500IRFP452 180 12 500IRFP460 250 20 500 IRFBC40 125 6.2 600IRF4P51 180 14 450 IXGH10N100 100 10 1000IXGH15N100 150 150 1000 IXGH20N60 150 20 600 IXTH50N30 150 50 300 IXTH50X20 250 50 200 IXTH67N10 200 67 100 LXTH24N50 250 24 500 LXTH30N20 180 30 200 LXTH30N30 180 30 300 LXTH30N50 300 30 500 LXTH40N30 250 40 300 LXTH50N10 150 50 100 LXTH50N20 150 50 200 LXTH67N70 200 67 100 LXTH75N10 200 75 100MTH8N50 120 8 500MTM6N80 120 6 800METH10N50 120 10 500 MTH12N50 120 12 500 MTH14N50 150 14 500 MTH20N20 120 20 200 MTH25N10 150 25 200 MTH30N10 120 30 100 MTH35N15 150 35 150 MTH40N10 150 40 100 MTH8N60 120 8 600 MTM10N20 75 10 200 MTM20N20 125 20 200 MTM25N10 100 25 100 MTM30N10 120 30 100 MTM40N10 150 40 100 MTM6N90 150 6 900 MTM8N50 100 8 500MTM8N90 150 8 900 MTP3N60 75 3 600 MTP3N100 75 3 1000 MTP4N60 50 4 600 MTP4N80 50 4 800 MTP5P25 75 5 250 MTP5N45 75 5 450 MTP5N50 75 5 500 MTP6N60 125 6 600 MTP6N60E 125 6 600 RFP50N05 132 50 50 RFP50N05L 110 50 50型号反压(V) 电流(A) 功率(W) β值阻尼D1175 1500 5 100 15 有D1279 1500 10 50 20 无D1391 1500 5 80 12 有D1398 1500 5 50 12 有D1403 1500 6 120 20 无D1426 1500 3.5 80 有D1427 1500 5 80 有D1428 1500 6 80 12 有D1429 1500 2.5 80 20 有D1431 1500 5 80 无D1432 1500 6 80 20 有D1433 1500 7 80 20 有D1439 1500 3 50 有D1453 1500 3 50 无D1497 1500 6 50 15 有D1545 1500 5 50 20 无D1547 1500 7 50 20 无D1554 1500 3.5 40 有D1555 1500 5 50 有D1556 1500 6 50 12 有D1651 1500 5 60 有D1652 1500 6 60 15 有D1710 1500 6 100 20 无D1878 1500 6 50 15 有D1879 1500 6 60 15 有D1880 1500 8 70 有D1881 1500 10 70 有D1884 1500 5 60 无D1885 1500 6 60 无D1887 1500 10 70 12 无D1910 1500 3 40 20 有D1959 1400 10 50 20 无D2125 1500 5 50 12 有D2251 1500 7 60 有D2252 1500 7 60 无D2253 1700 6 50 有D2334 1500 5 80 15 无D2335 1500 7 100 15 无型号P/N 参数备注及用途型号P/N 参数A940 P 150V1.5A25W 4MHz TO-220 D1271 N150V7A40WC2073 N 150V1.5A25W 4MHz TO-220 D1273A N100V3A40WA1304C3296 150V1.5A20W 4MHz D1275A N 80V2A35WB647D667 120V1A0.9W 140MHz D1266 N 80V3A35WB649D669 180V1.5A 140MHz D1264A N 200V2A30WB834D880 60V3A30W TO-220 D1309 N 150V8A40WB546D401 200V2A20W 5MHz D1365 N 800V3A40WB772D882 40V3A10W 80MHz D1415 N 100V7A40W56105609 50V0.8A0.625W 100MHz D1499 N 100V5A40WB1185D1762 60V3A25W 70MHz D2025 N 100V8A30WB1186D1763 120V1.5A20W 50MHz TIP102 N 100V8A80WTIP42CTIP41C 100V5A65W >3MHz TOP202 TOP222TIP127TIP122 100V5A65W >1000 TOP223 TOP224 封装MJE13003 N 400V1.5A40WC2335 N 400V7A40W MJE13005 N 400V4A75W C3148 N 800V3A40W MJE13007 N 400V8A80W C3309 N 400V2A20W MJE13009 N 400V12A100WC3310 N 400V5A30WC4004 N 800V1A30W C388A N 25V0.02AC3039 N 400V7A50W C458 N 30V0.1A0.2WC2233 N 200V4A40W C536 N 40V0.1A0.2WC2373 N 200V7.5A40W C945 N 60V0.1A0.25W C3852A N 100V3A25W 15MHz >500 C752 N30V0.1A0.1WC4834 N 400V8A45W <300/140nS C1047 N30V0.02A65MHzC5027 N C1162 N 35V2.5A10WC5249 N C1213 N 50V0.5A0.4W D313 N 60V3A30W 8MHz C1360 N 50V0.05A1WD1138 N C1383 N 30V1A1WD1071 N 450V6A40W >500 C1473 N 300V0.07A0.75W 参数备注及用途型号参数备注及用途N 1500/600V3.5A40W 行TOS BUW11A N1000/450V5A100W 电源AF=50W PHIN 1500/600V5A50W 行TOS BUW12A N1000/450V10A125W 电源AF=50W PHIN 1500/600V6A50W 行TOS BUW13A N1000/450V15A175W 电源AF=50W PHIN 1700/600V6A50W 行TOS BU2508AF N1500/700V8A50W 电源PHI1500/700V8A50W 行PHIN 1500/600V5A80W 行TOS BU2508AX N 1500/700V8A50W 电源PHIN 1500/600V7A80W 电源TOS BU2508DX N 1500/700V8A50W 行PHIN 1500/600V7A80W 行TOS BU2520AF N 1500/800V10A50W 电源PHIN 1500/600V6A80W 行TOS BU2520DF N 1500/800V10A50W 行PHIN 1500V5A50W 电源/行TOS BU2520AX N 1500/800V10A50W 电源/行PHIN 1500V7A50W 电源/行TOS BU2520DX N 1500/800V10A60W 行PHIN 1400V10A50W 电源/行TOS BU2522AX N 1500/800V10A60W 电源/行PHIN 1500/600V6A50W 电源TOS BU2523AX N 1500/800V10A60W 电源/行PHI1500/800V12A60W 电源/行PHIN 1500/600V10A50W 电源TOS BU2527DX N1500/800V12A60W 行PHIN 1500/600V8A50W 电源TOS C4236 N1200/800V6A100W 电源SHIN 1500/600V8A50W 行TOS C4237 N1200/800V10A50W 电源SHIN 1700/600V8A50W 行TOS D1541 N 1500V3A50W 行MATN 1500/600V7A50W 行TOS C4111 N1500/700V10A150W 电源MATN 1500/600V8A50W 行TOS MN650 N 1500/600V5A80W电源SAKN 1500/600V10A50W 电源TOS C4058 N600/450V10A100W 电源SHIN 1500/600V8A50W 电源TOS D2333 N1500/600V5A80W 行MATN 1400/600V12A200W 电源TOS D2334 N1500/600V5A80W 电源MATN 900/800V5A100W 电源TOS D2335 N1500/600V7A100W 行MATN 1500V8A125W 电源TOS C4706 N 900/600V14A130W电源SAKN 1500/700V8A60W 电源ST BUH715N N1500/700V10A60W 电源STN 1500/700V8A60W 行ST C3927 N 900/600V10A120W电源SAKN 1500/700V10A57W 电源ST C3679 N900/800V5A100W 电源SAKN 1500/700V7A50W 行ST C5287 N 900/550V5A80W 电源SAK型号P/N 参数备注及用途型号P/N 参数D2445 N 1500/800V6A50W K30A 50VIdss>0.3up<5V C4745 N 1500/800V6A50W 电源HIT K11750VIdss>0.6up<10VC4746 N 1500/800V8A50W 电源HIT K11850VIdss>0.3up<1.5VC5250 N 1500V8A50W 行HIT K304 30VIdss>0.6up<4V C5207A N 1500/800V10A50W 电源HIT K1117600V6A100WD2300 N 1500V5A50W 行HIT K1118 600V6A45W C4297 N 500/400V12A75W 电源SAK K11191000V4A100WC4927 N 1500V8A50W 行HIT K2141 600V+/-6A35W D1959 N 1400/650V10A50W 电源HIT K1507600V9A50WC4589 N 1500/800V10A50W 电源HIT K1995900V+/-3A35WC4877 N 1500V8A50W 行HIT K1445 450V5A30WKSD5072 N 1500/800V5A60W 行SAM K2056800V4A40WKSD5076 N 1500/800V5A60W 行SAM IRFBC30600V3.6A74WKSC5802 IRFBC40R 600V6.2A125W KSC5803 N 1500/800V7A50W 行SAM IRFBC60KSC5386 N 1500/800V7A50W 行SAM IRF530N100V15A80WKSC5088 N 1500/800V8A50W 电源SAM IRF9530N100V13A75WKSD5702 N 1500V6A70W 行SAM IRF540N100V27A94WKSD5703 IRF9540N 100V19A94WBUS13A N 1000/450V15A175W 电源VAL TO-3 IRF610200V3.3A43WBUS14A N 1000/450V30A250W 电源VAL TO-3 IRF9610200V1.8A20WBUV48A N 1000/450V15A150W 电源ST IRF620200V5A40WC3552 N 1100/800V12A150W 电源SAK IRF9620200V5A40WC5386 N 1500/600V8A50W 电源TOS IRF630200V9A75WC4119 N 1500/800V15A250W 达林顿+阻尼IRF9630200V6.5A75W系列晶振455KHz-503KHz IRF640 200V18A125W3.57MHz-30MHz IRF9640 200V11A125W二极管开关管快恢复整流管IRF730 400V5.5A75W 稳压管阻尼管IRF740 400V10A125W型号参数特性型号参数BC327 P 50V0.8A0.625W 100MHz BTA08 8A双向BC337 N 50V0.8A0.625W 100MHz BTA12 12A双向BC328 P 30V0.8A0.625W 100MHz BTA20 20A双向BC338 N 30V0.8A0.625W 100MHz BTA26 26A双向BC369 P 25V1A.8W 65MHz BTA41 41A双向BC546 N 80V0.1A0.5W 300MHz BTA16 16A双向BC547 N 50V0.1A0.5W 300MHz 2P4M 3A单向BC558 N 30V0.1A0.5W 150MHz CR3AM 3A单向BC556 P 80V01A0.5W 150MHz TLC336 3A双向BC557 P 50V0.1A0.5W 150MHz BCR3AM 3A双向9011 N 50V0.03A0.4W 150MHz FD312 彩电用9012 P 40V0.5A0.625W FD315 彩电用9013 N 40V0.5A0.625W PH2369 彩电用9014 N 50V0.1A0.45W 150MHz 1W稳压管9015 P 50V0.1A0.45W 100MHz 1N4728A 3.3V 9016 N 30V0.025A0.4W 620MHz 1N4730A3.9V 9018 N 30V0.05A0.4W 700MHz 1N4732A 4.7V8050 N 40V1.5A1W 100MHz 1N4734A5.6V8550 P 40V1.5A1W 100MHz 1N4736A 6.8V2N5551 N 180V0.6A0.625W 100MHz 1N4738A 8.2V 2N5401 P 180V0.6A0.625W 100MHz 1N4740A 10V可控硅1N4742A 12V1A单向BT169 100-6 100-8 FOR1B FOR3G 1N4744A15V1A双向97A6 94A4 97A4 1N4746A 18V BT136 6A双向中间引线通散热片1N4748A 22VBT137 8A双向中间引线通散热片1N4750A 27VBT138 10A 双向中间引线通散热片1N4752A 33V BT139 12A双向中间引线通散热片1N4756A 47V BTA06 6A双向中间线不通散热片1N4764A 100V型号参数特性型号参数D820 N 1500/600V5A80W 电源D1047 N 160V12A100W D869 N 1500/600V3.5A50W 行B817 P 160V12A100W D850 N 1500/700V3A65W 电源D1559 N 100V20A100W D870 N 1500/600V5A50W 行B1079 P 100V20A100W D905 N 1400/650W8A50W 电源D2256 N 120V25A120W D871 N 1500/600V6A50W 行B1494 P 120V25A120W D1204 N 500/400V15A100W 电源D718 N 120V8A80WD898 N 1500V3.5A50W 行B688 P 120V8A80W D1279 N 1400/700V10A50W 电源D1435 N100V15A100WD951 N 1500V3A65W 行B1031 P 100V15A100W C1942 N 1500/800V3A50W 电源带阻三极管D1173 N 1500V5A70W 行RN1201 RN1202C2027 N 1500/800V5A50W 电源RN1206 RN2201 D1175 N 1500V5A100W 行RN1001 RN1001 大功率功放管DTA114 DTA144C3280 N 160V12A120W HiFi TOS DTC144A1301 P 160V12A120W HiFi TOD 光藕及三端C3281 N 200V15A150W HiFi TOS 521-1 621-1A1302 P 200V15A150W HiFi TOS 631 632C5200 N 230V15A150W HiFi TOS 4N35 CNX62A A1943 P 230V15A150W HiFi TOS PC113 PC117 D2155 N 180V15A150W HiFi TOS SE090 SE110B1429 P 180V15A150W HiFi TOS SE120 SE125C5198 N 140V10A100W HiFi TOS SE135 SE140A1941 P 140V10A100W HiFi TOS 78(L)06 78(L)08 C5196 N 120V6A60W HiFi TOS 78(L)12 78(L)15A1939 P 120V6A60W HiFi TOS 78(L)24 79(L)05C3182 N 140V10A100W HiFi TOS 79(L)08 79(L)09 A1265 P 140V10A100W HiFi TOS 79(L)15 79(L)18 型号P/N 参数备注及用途型号P/N 参数C1514 N 300V0.1A1.25W 80MHz Vid-L HIT C2481 N150V1.5A20WC1507 N 300V0.2A15W 80MHz Vid-L NIP C2611 N300V0.1A0.8WC1569 N 300V0.15A12.5W 100MHz Vid TOS C2330 N300V0.1A1WC1573 N 300V0.07A1W 80MHz NF Vid MAT C2331 N80V0.7A1WC1627 N 80V0.4A0.8W Uni TOS C2655 N 60V2A0.9WC1687 N 40V0.03A0.4W NF/ZF MAT C2688 N300V0.2A10WC1756 N 300V0.2A15W >50MHz SAY C2653 N350V0.2A15WC1740 N 50V0.1A0.3W 180MHz Uni TOS C2785 N60V0.1A0.25WC1815 N 60V0.15A0.4W >80MHz Uni TOS C2878 N50V0.3A0.4WC1846 N 45V1A5W 200MHzNF/S-LMAT C3355 N20V0.1A0.6WC1906 N 30V0.05A1GHz UHF HIT C3417 N 300V0.1A5W C1959 N 35V0.5A0.5W 300MHz Uni TOS C3419 N40V0.8A5WC2001 N 30V0.7A0.6W 70MHz Uni NIP C3420 N50V5A10WC2068 N 300V0.05A1.5W 95MHz Vid TOS C3807 N30V2A15WC2120 N 30V0.8A0.6W 120MHz Uni TOS C3789 N300V0.1A7WC2026 N 30V0.05A0.25W 2GHz UHF NIP C3198 N60V0.15A0.4WC2060 N 40V1A0.75W 150MHz Uni TOY C4075 N300V0.2A10WC2229 N 200V0.05A0.8W 120MHz Vid TOS C4544 N300V0.1A8WC2230 N 200V0.1A0.8W >50MHz Vid TOS D400 N25V1A1WC2271 N 300V0.1A0.9W Vid TOS D471 N 30V1A1W C2258 N 300V0.1A4W Vid MAT D965 N 40V5A0.75W C2240 N 120V0.1A0.3W 100MHz NF.rd TOS D966 N40V5A1WC2482 N 300V0.1A0.9W Vid TOS D612 N 35V2A10W C2236 N 30V1.5A0.9W Uni TOS D789 N 100V1A0.9W C2371 N 300V0.1A10W Vid NIP D1640 N 120V2A1.2WC2383 N 160V1A0.9W NF/VA TOS D415 N 120V0.8A10W C2482 N 300V0.1A0.9W Vid TOS C3946 N 350V0.2A15W C2594 N 40V5A10W 150MHz D1406 N 60V3A30W C2500 N 30V2A0.9W 150MHz Uni TOS。
常用三极管参数表下表是常用三极管的一些参数以及替换型号器件型号电压电流代换型号LM9011 SS9011LM901240V SS901240V A129840V CS9013 JE9013LM901340V SS901340V C326550V CS9014 JE9014LM9014 SS901450V C1623LM9015 SS9015TEC9015 50V TEC9015A 50V TEC9015B 50V TEC9015C 50V BC557 2N3906 BC557 2N3906 BC557 2N3906 BC557 2N39063DG9011 50V9011 50V9012 40V9012(HH)9012LT13DG90139013 40V9013(HH)9013LT13DG90149014 50V9014LT19015 50V2N4124 CS9011 JE90113DG9016 30V JE90169016 30V SS9016TEC9016 40V BF240 BF254 BF5948050 40V SS80508050LT1 40V KA3265ED8050 50V BC337SDT85501 60V 10A 3DK104CSDT85502 80V 10A 3DK104CSDT85503 100V 10A 3DK104DSDT85504 140V 10A 3DK104ESDT85505 170V 10A 3DK104FSDT85506 60V 10A 3DK104CSDT85507 80V 10A 3DK104CSDT85508 100V 10A 3DK104DSDT85509 140V 10A 3DK104EED8550 50V BC3378550 40V LM8550 SS85508550LT1 40V KA32652SA1015 50V BC177 BC204 BC212BC213BC251 BC257 BC307 BC512 BC557 CG1015 CG673 2SC1815 60V BC174 BC182 BC184 BC190 BC384 BC414 BC546 DG458 DG18152SC1815L 60V BC550 2SC2240 2S26742SC2675 2SC33782SC1815LT1 60V 9014LT12SC945 60V BC107 BC171 BC174 BC182BC183 BC190 BC207 BC237 BC382 BC546 BC547 BC582 DG945 2N2220 2N2221 2N2222 3DG120B 3DG4312 MMBT3904 40V BCW72 3DG120CMMBT3906 40V BCW70 3DG120CMMBT2222 木知BCX19 3DG120CMMBT2222A 75V 3DK10CMMBT5401 160V 3CA3FMMBTA92 300V 3CG180HBC807 50V BC338 BC537 BC635 3DK14BBC807R 50V BCX17 BCX17R BCW68BCW68RBC807-W 50V BCX17 BCW68 2SB1219ABC817 50V BCX19 BCW65 BCX66BC817R 50V BCX19 BCX19R BCW65BCW65R BCX66 BCW66RBC817-W 50V BCX19 BCW65 BCW66 2SD1820 2SD1949BC846 80V BCV71 BCV72BC846R 80V BCV71 BCV71R BCV72 BCV72RBC846-W 80V BCV71 BCV72 BCV72RBC847 50V BCW71 BCW72 BCW81BC847R 50V BCW71 BCW71R BCW72BCW72R BCW81 BCW81RBC847-W 50V BCW71 BCW72 BCW812SC4101 2SC4102BC848 30V BCW31 BCW32 BCW33 BCW71BCW72 BCW81BC848R 30V BCW31 BCW31R BCW32BCW32R BCW33 BCW33R BCW71 BCW71R BCW72 BCW72R BCW81 BCW81RBC848-W 30V BCW31 BCW32 BCW33 BCW71 BCW72 BCW81 2SC4101 2SC4102 2SC4117BC856 50V BCW89BC856R 80V BCW89 BCW89RBC856-W 80V BCW89 2SA1507 2SA1527BC857 50V BCW69 BCW70 BCW89BC857R 50V BCW69 BCW69R BCW70BCW70R BCW89 BCW89RBC857-W 50V BCW69 BCW70 BCW892SA1507 2SA1527BCW89BC858R 30V BCW29 BCW29R BCW30BC858 30V BCW29 BCW30 BCW69 BCW70 BCW30R BCW69 BCW69R BCW70 BCW70R BCW89BCW89RBC858-W 30V BCW29 BCW30 BCW69 BCW70 BCW89 2SA1507 2SA15272SA733 60V BC177 BC204 BC212 BC213 BC251 BC257 BC307 BC513 BC557 3CG120C 3CG4312MMUN211150V UN2111MUN2111 50V MMUN2111UN2111 50V FN1A4M DTA114EK RN24022SA1344MMUN2112 50V UN2112MUN2112 50V MMUN2112UN2112 50V FN1F4M DTA124EK RN24032SA1342MMUN2113 50V UN2113MUN2113 50V MMUN2113UN2113 50V FN1L4M DTA144EK RN24042SA1341MMUN221150V UN2211MUN2211 50V MMUN2211UN2211 50V DTC114EK FA1A4M RN14022SC3398MMUN2212 50V UN2212MUN2212 50V MMUN2212UN2212 50V DTC124EK FA1F4M RN14032SC3396MMUN2213 50V UN2213MUN2213 50V MMUN2213UN2213 50V DTC144EK FA1L4M RN14042SC33952SC3356 20V 2SC3513 2SC3606 2SC38292SC3838K 30V BF517 BF799 2SC30152SC3016彩显中易损大功率三极管主要参数表型号功率(W) 反压(V) 电流(A) 功能BU208A 50 1500 5电源开关管BU508A 75 1500 8电源开关管BU2508AF 45 1500 8行管* BU2508DF 125 1500 8行管* BU2508D 1251500 8 行管BU2520AF 45 1500 10行管BU2520AX 45 1500 10行管* BU2520DF 125 1500 10行管BU2522AF 45 1500 10行管* BU2522DF 80 1500 10行管* BU2525DF 45 800 12行管BUH51560 1500 8 行管C1520 10 250 视放C1566 250 视放C1573 250 视放C1875 50 1500 电源开关管C3153 100 900 6电源开关管C3026 50 1700 5 行管C3457 50 1100 3电源开关管C3459 90 1100 电源开关管C3460 100 1100 6电源开关管C3461 140 1100 8 行管*C3683 50 1500 5 行管C3686 50 1400 8 行管C3687 150 1500 8 行管C3481 120 1500 5电源开关管迦9 oom o g o s coQ *迦08。
|常用三极管参数表下表是常用三极管的一些参数以及替换型号器件型号电压电流代换型号3DG901150V0.3A2N4124 CS9011 JE9011 901150V0.03ALM9011 SS9011901240V0.5A LM90129012(HH)40V0.5A SS90129012LT140V0.5A A12983DG901340V0.5A CS9013 JE9013 901340V0.5A LM90139013(HH)40V0.5A SS90139013LT140V0.5A C32653DG901450V0.15ACS9014 JE9014 901450V0.1A LM9014 SS90149014LT150V0.1A C1623901550V0.1A LM9015 SS9015TEC901550V0.15ABC557 2N3906TEC9015A50V0.15ABC557 2N3906TEC9015B50V0.15ABC557 2N3906TEC9015C50V0.15ABC557 2N39063DG901630V0.025A JE9016901630V0.25ASS9016TEC901640V0.025A BF240 BF254 BF594 805040V 1.5A SS80508050LT140V 1.5A KA3265ED805050V0.8A BC337SDT8550160V10A3DK104CSDT8550280V10A3DK104CSDT85503100V10A3DK104DSDT85504140V10A3DK104ESDT85505170V10A3DK104FSDT8550660V10A3DK104CSDT8550780V10A3DK104CSDT85508100V10A3DK104DSDT85509140V10A3DK104EED855050V0.8A BC337855040V 1.5A LM8550 SS85508550LT140V 1.5A KA32652SA101550V0.15ABC177 BC204 BC212 BC213 BC251 BC257 BC307 BC512 BC557 CG1015 CG673 2SC181560V0.15ABC174 BC182 BC184 BC190 BC384 BC414 BC546 DG458 DG18152SC1815L60V0.15ABC550 2SC2240 2S26742SC2675 2SC33782SC1815LT160V0.15A9014LT12SC94560V0.1A BC107 BC171 BC174 BC182 BC183 BC190 BC207 BC237 BC382 BC546 BC547BC582 DG945 2N2220 2N2221 2N2222 3DG120B3DG4312MMBT390440V0.2A BCW72 3DG120CMMBT390640V0.2A BCW70 3DG120CMMBT2222未知0.8A BCX19 3DG120CMMBT2222A75V0.6A3DK10CMMBT5401160V0.5A3CA3FMMBTA92300V0.5A3CG180HBC80750V0.5A BC338 BC537 BC635 3DK14BBC807R50V0.5A BCX17 BCX17R BCW68 BCW68R BC807-W50V0.5A BCX17 BCW68 2SB1219ABC81750V0.5A BCX19 BCW65 BCX66BC817R50V0.5A BCX19 BCX19R BCW65 BCW65R BCX66 BCW66RBC817-W50V0.5A BCX19 BCW65 BCW66 2SD1820 2SD1949BC84680V0.1A BCV71 BCV72BC846R80V0.1A BCV71 BCV71R BCV72 BCV72R BC846-W80V0.1A BCV71 BCV72 BCV72RBC84750V0.1A BCW71 BCW72 BCW81BC847R50V0.1A BCW71 BCW71R BCW72 BCW72R BCW81 BCW81RBC847-W50V0.1A BCW71 BCW72 BCW81 2SC4101 2SC4102BC84830V0.1A BCW31 BCW32 BCW33 BCW71 BCW72 BCW81BC848R30V0.1A BCW31 BCW31R BCW32 BCW32R BCW33 BCW33R BCW71 BCW71R BCW72 BCW72R BCW81 BCW81RBC848-W30V0.1A BCW31 BCW32 BCW33 BCW71 BCW72 BCW81 2SC4101 2SC4102 2SC4117BC85650V0.1A BCW89BC856R80V0.1A BCW89 BCW89RBC856-W80V0.1A BCW89 2SA1507 2SA1527BC85750V0.1A BCW69 BCW70 BCW89BC857R50V0.1A BCW69 BCW69R BCW70 BCW70R BCW89 BCW89RBC857-W50V0.1A BCW69 BCW70 BCW89 2SA1507 2SA1527BC85830V0.1A BCW29 BCW30 BCW69 BCW70 BCW89 BC858R30V0.1A BCW29 BCW29R BCW30 BCW30R BCW69 BCW69R BCW70 BCW70R BCW89 BCW89RBC858-W30V0.1A BCW29 BCW30 BCW69 BCW70 BCW89 2SA1507 2SA15272SA73360V0.1A BC177 BC204 BC212 BC213 BC251 BC257 BC307 BC513 BC557 3CG120C 3CG4312 MMUN211150V0.1A UN2111MUN211150V0.1A MMUN2111UN211150V0.1A FN1A4M DTA114EK RN24022SA1344MMUN211250V0.1A UN2112MUN211250V0.1A MMUN2112UN211250V0.1A FN1F4M DTA124EK RN24032SA1342MMUN211350V0.1A UN2113MUN211350V0.1A MMUN2113UN211350V0.1A FN1L4M DTA144EK RN24042SA1341MMUN221150V0.1A UN2211MUN221150V0.1A MMUN2211UN221150V0.1A DTC114EK FA1A4M RN1402 2SC3398MMUN221250V0.1A UN2212MUN221250V0.1A MMUN2212UN221250V0.1A DTC124EK FA1F4M RN1403 2SC3396MMUN221350V0.1A UN2213MUN221350V0.1A MMUN2213UN221350V0.1A DTC144EK FA1L4M RN1404 2SC33952SC335620V0.1A2SC3513 2SC3606 2SC3829 2SC3838K30V0.05ABF517 BF799 2SC30152SC3016彩显中易损大功率三极管主要参数表型号功率(W) 反压(V) 电流(A) 功能BU208A 50 1500 5 电源开关管BU508A 75 1500 8 电源开关管BU2508AF 45 1500 8 行管*BU2508DF 125 1500 8 行管*BU2508D 125 1500 8 行管BU2520AF 45 1500 10 行管BU2520AX 45 1500 10 行管* BU2520DF 125 1500 10 行管BU2522AF 45 1500 10 行管* BU2522DF 80 1500 10 行管* BU2525DF 45 800 12 行管BUH515 60 1500 8 行管C1520 10 250 0.2 视放C1566 1.2 250 0.1 视放C1573 0.6 250 0.07 视放C1875 50 1500 3.5 电源开关管C3153 100 900 6 电源开关管C3026 50 1700 5 行管C3457 50 1100 3 电源开关管C3459 90 1100 4.5 电源开关管C3460 100 1100 6 电源开关管C3461 140 1100 8 行管*C3683 50 1500 5 行管C3686 50 1400 8 行管C3687 150 1500 8 行管C3481 120 1500 5 电源开关管C3688 150 1500 10 行管*C3883 50 1500 5 行管C3885 50 1400 7 行管C3886 50 1400 8 行管C3887 80 1400 7 行管C3888 80 1400 80 行管C3889 80 1400 80 行管*C3891 50 1400 6 行管*C3892 50 1400 7 行管*C3893 50 1400 8 行管C3895 60W 1400V 7A 行管C3896 70 1400 8 行管*C3897 180 1500 12 行管C3897 250 1500 25 行管C3998 250 1500 25 行管*C4122 60 1500 6 行管*C4124 70 1500 8 行管*C4125 70 1500 10 行管C4237 150 800 10 行管*C4269 60 1500 7 行管*C4293 50 1500 5 行管*C4294 50 1500 6 行管*C4589 50 1500 10 行管*C4742 50 1500 6 行管*C4744 50 1500 6 行管C4747 50 1500 10 行管*C4769 60 1500 7 行管C4770 60 1500 7 行管C5048 50 1500 12 行管C5088 45 1500 8 行管C5129 50 1500 6 行管C5148 50 1500 8 行管C5250 50 1500 8 行管C5297 60 1500 8 行管C5299 60 1400 8 行管C5339 50 1500 7 行管C5418 120 1500 6 行管*D1396 50 1500 2 行管*D1398 50 1500 5 行管D1402 120 1500 5 电源开关管D1403 120 1500 6 电源开关管*D1426 80 1500 3.5 行管*D1427 80 1500 5 行管*D1428 80 1500 6 行管D1433 80 1500 7 行管D1434 80 1500 5 行管*D1554 40 1500 3.5 行管D1555 50 1500 5 电源开关管*D1878 60 1500 6 行管*D1879 60W 1500V 5A 行管*D1880 70 1500 8 行管*D1881 70 1500 10 行管D1886 70 1500 8 行管D1887 70 1500 10 行管*D2125 50 1500 5 行管*D870 50 1500 5 行管功率Pcm/W 反压BVCBO 电流ICM/A(*带阻尼)进口与国产显示器常用三极管代换表型号可代用型号用途价格2SA562 CG673B、2SB689 预视放2SA670 2SA1069、2SB513 电源调整管2SA673 2SA719、2SA697 帧激励2SA715 3CF3A、2SB529 场输出管2SA778A 3CG21C、CG75-1AB 开关电源误差放大2SA778AK C3CG21G、CG75-1A 开关电源误差放大2SA844D 3CG21C、CG75-1AB 视放2SA844E 3CG21G 视放2SA940 CD568B 场输出管2SA6395 2SA778、2SA858 行激励管2SB337 B337 电源调整管2SB407 3L780 电源调整管2SB548 3CF3B、2SA794 场输出管2SB566AK CD77-1A、3CF5A 电源调整管2SB556K CD77-1A、3CF5B 电源调整2SB621 3CG23B、2SB1035 电源推动管2SC458 3DG4A、2SC664 行振荡2SC536 3DG4A、2SC2320 电源推动管2SC562 G6738、B689 预视放2SC633 3DG6B、2SC1684 行振荡管2SC634 3DG12B 行振荡管2SC643A D2027、2SD818 行输出管2SC680A 3DD205B、2SC1025 场输出2SC681 3DD102B、2SC901 行输出2SC734 3DX200B、2SC2274 行振荡管2SC828 3DG56B、2SC3330 电源误差放大管2SC935 3DD102D、2SD320 电源调整管2SC8937 D2027、2SD818 行输出管2SC1034 2SD818、2SD299 行输出管2SC1162 FA433A、2SC2068 场输出枕形校正2SC1172 D2027、2SD820 行输出管2SC1209 3DG12A、2SD734 电源误差放大管2SC1213 3DG130A、2SC2120 电源误差放大管2SC1213A 3DG12B、2SC1247A 电源误差放大2SC1214 3DA151A、2SC2002 枕形校正2SC1308 D209、2SD820 行输出管2SC1318 3DG12A、2SC2274 行激励管2SC1364 3DX2038、2SC2320 行激励管2SC1505 DA1722B、2SC1757 行视放2SC1507 DA1722B、2SC1756、2SC1757 行激励管2SC1364 3DX2038、C23020 行激励管2SC1520 DA1722B、2SC2068 预视放2SC1566 3DA151D、2SC1514 视放2SC1573 3DA87C、2SC1762 视放2SC1672 3DD102B、2SC2433 电源调整管2SC1685 3DD180、2SC1570 脉冲开关2SC1819 3DA151D、2SC2425 视放2SC1890A 3DA878、2SC2363 视放2SC1905 3DA151D、2SD1163 视放2SC1942 D209、2SD1401 行输出管2SC2233 3DD12B、2SC2373 行输出2SD201 3DD102A、2SD125A 电源调整管2SD226 3DD207、2SD315 电源调整管2SD299 D2027、2SC1308 行输出管2SD350 D2027、2SD348 行输出管2SD380 D209、2SD348 行输出管2SD869 2SD993、2SD898B 行输出管C3150 C3151、C3152 开关管BU508A BU508D、C3893、C3895、C3897 开关管彩显中易损场效应管主要参数表型号功率Pcm/W 最大电流IDM/A D-S极间耐压价格2SK534 100W 5A 800V2SK538 100 3 9002SK557 100 12 5002SK560 100 15 5002SK566 78 3 800 2SK644 125 10 500 2SK719 120 5 900 2SK725 125 15 500 2SK727 125 5 900 2SK774 120 18 500 2SK785 150 20 500 2SK787 150 8 900 2SK788 150 13 500 2SK790 150 15 500 2SK872 150 6 900 2SK955 150 9 800 2SK956 150 9 800 2SK962 150 8 900 2SK1019 300 30 500 2SK1020 300 30 5002SK1081 125 7 800 2SK1082 125 6 800 2SK1117 100 6 600 2SK1118 45 6 600 2SK1119 100 4 1000 2SK1120 150 8 1000 2SK1171 240 5 1400 2SK1198 75 3 800 2SK1249 130 15 500 2SK1250 150 20 500 2SK1271 240 15 1400 2SK1280 150 18 500 2SK1281 120 4 700 2SK1341 100 5 900 2SK1342 100 8 9002SK1357 125 5 900 2SK1358 150 9 900 2SK1451 120 5 900 2SK1498 120 20 500 2SK1500 160 25 500 2SK1502 120 7 900 2SK1507 50 6 600 2SK1512 150 10 850 2SK1531 150 15 500 2SK1537 100 5 900 2SK1539 150 10 900 2SK1563 150 12 500 2SK1649 100 6 900 2SK1794 150 6 900 2SK2038 125 6 9002N7000 0.4 0.2 60BUZ385 125 6 500 GH30N60 180 30 600 GH30N100 250 30 1000 GH40N60 200 40 600H1245 120 12 450H13N50 150 13 500IBF834 100 3 500IPF440 125 8 500IRT450 150 13 500IRF350 150 13 500IRF360 300 25 400IRF440 125 8 500IRF451 150 13 450IRF460 300 21 500IRF620 40 5 200IRF634 75 8.1 250 IRF640 125 18 200 IRF730 75 5.5 400 IRF740 125 10 400 IRF820 50 2.5 500 IRF830 75 4.5 500 IRF834 100 5 500 IRF840 125 8 500 IRF841 125 8 450 IRF842 125 7 500 IRF9610 20 1 200 IRF9630 75 6.5 200 IRF9640 125 11 200 IRF450 150 13 500 IRFD113 1 0.8 80FIRP150 180 41 100IRFP151 180 19 60IRFP240 150 31 200IRFP250 180 31 200IRFP251 180 33 150IRFP254 180 23 250IRFP350 180 16 400IRFP351 180 16 350IRFP360 250 23 400IRFP450 180 14 500IRFP452 180 12 500IRFP460 250 20 500 IRFBC40 125 6.2 600IRF4P51 180 14 450 IXGH10N100 100 10 1000IXGH15N100 150 150 1000 IXGH20N60 150 20 600 IXTH50N30 150 50 300 IXTH50X20 250 50 200 IXTH67N10 200 67 100 LXTH24N50 250 24 500 LXTH30N20 180 30 200 LXTH30N30 180 30 300 LXTH30N50 300 30 500 LXTH40N30 250 40 300 LXTH50N10 150 50 100 LXTH50N20 150 50 200 LXTH67N70 200 67 100 LXTH75N10 200 75 100MTH8N50 120 8 500MTM6N80 120 6 800METH10N50 120 10 500 MTH12N50 120 12 500 MTH14N50 150 14 500 MTH20N20 120 20 200 MTH25N10 150 25 200 MTH30N10 120 30 100 MTH35N15 150 35 150 MTH40N10 150 40 100 MTH8N60 120 8 600 MTM10N20 75 10 200 MTM20N20 125 20 200 MTM25N10 100 25 100 MTM30N10 120 30 100 MTM40N10 150 40 100 MTM6N90 150 6 900 MTM8N50 100 8 500MTM8N90 150 8 900 MTP3N60 75 3 600 MTP3N100 75 3 1000 MTP4N60 50 4 600 MTP4N80 50 4 800 MTP5P25 75 5 250 MTP5N45 75 5 450 MTP5N50 75 5 500 MTP6N60 125 6 600 MTP6N60E 125 6 600 RFP50N05 132 50 50 RFP50N05L 110 50 50型号反压(V) 电流(A) 功率(W) β值阻尼D1175 1500 5 100 15 有D1279 1500 10 50 20 无D1391 1500 5 80 12 有D1398 1500 5 50 12 有D1403 1500 6 120 20 无D1426 1500 3.5 80 有D1427 1500 5 80 有D1428 1500 6 80 12 有D1429 1500 2.5 80 20 有D1431 1500 5 80 无D1432 1500 6 80 20 有D1433 1500 7 80 20 有D1439 1500 3 50 有D1453 1500 3 50 无D1497 1500 6 50 15 有D1545 1500 5 50 20 无D1547 1500 7 50 20 无D1554 1500 3.5 40 有D1555 1500 5 50 有D1556 1500 6 50 12 有D1651 1500 5 60 有D1652 1500 6 60 15 有D1710 1500 6 100 20 无D1878 1500 6 50 15 有D1879 1500 6 60 15 有D1880 1500 8 70 有D1881 1500 10 70 有D1884 1500 5 60 无D1885 1500 6 60 无D1887 1500 10 70 12 无D1910 1500 3 40 20 有D1959 1400 10 50 20 无D2125 1500 5 50 12 有D2251 1500 7 60 有D2252 1500 7 60 无D2253 1700 6 50 有D2334 1500 5 80 15 无D2335 1500 7 100 15 无型号P/N 参数备注及用途型号P/N 参数A940 P 150V1.5A25W 4MHz TO-220 D1271 N150V7A40WC2073 N 150V1.5A25W 4MHz TO-220 D1273A N100V3A40WA1304C3296 150V1.5A20W 4MHz D1275A N 80V2A35WB647D667 120V1A0.9W 140MHz D1266 N 80V3A35WB649D669 180V1.5A 140MHz D1264A N 200V2A30WB834D880 60V3A30W TO-220 D1309 N 150V8A40WB546D401 200V2A20W 5MHz D1365 N 800V3A40WB772D882 40V3A10W 80MHz D1415 N 100V7A40W56105609 50V0.8A0.625W 100MHz D1499 N 100V5A40WB1185D1762 60V3A25W 70MHz D2025 N 100V8A30WB1186D1763 120V1.5A20W 50MHz TIP102 N 100V8A80WTIP42CTIP41C 100V5A65W >3MHz TOP202 TOP222TIP127TIP122 100V5A65W >1000 TOP223 TOP224封装MJE13003 N 400V1.5A40WC2335 N 400V7A40W MJE13005 N 400V4A75W C3148 N 800V3A40W MJE13007 N 400V8A80W C3309 N 400V2A20W MJE13009 N 400V12A100WC3310 N 400V5A30WC4004 N 800V1A30W C388A N 25V0.02AC3039 N 400V7A50W C458 N 30V0.1A0.2WC2233 N 200V4A40W C536 N 40V0.1A0.2WC2373 N 200V7.5A40W C945 N 60V0.1A0.25W C3852A N 100V3A25W 15MHz >500 C752 N30V0.1A0.1WC4834 N 400V8A45W <300/140nS C1047 N30V0.02A65MHzC5027 N C1162 N 35V2.5A10WC5249 N C1213 N 50V0.5A0.4W D313 N 60V3A30W 8MHz C1360 N 50V0.05A1WD1138 N C1383 N 30V1A1WD1071 N 450V6A40W >500 C1473 N 300V0.07A0.75W 参数备注及用途型号参数备注及用途N 1500/600V3.5A40W 行TOS BUW11A N1000/450V5A100W 电源AF=50W PHIN 1500/600V5A50W 行TOS BUW12A N1000/450V10A125W 电源AF=50W PHIN 1500/600V6A50W 行TOS BUW13A N1000/450V15A175W 电源AF=50W PHIN 1700/600V6A50W 行TOS BU2508AF N1500/700V8A50W 电源PHI1500/700V8A50W 行PHIN 1500/600V5A80W 行TOS BU2508AX N 1500/700V8A50W 电源PHIN 1500/600V7A80W 电源TOS BU2508DX N 1500/700V8A50W 行PHIN 1500/600V7A80W 行TOS BU2520AF N 1500/800V10A50W 电源PHIN 1500/600V6A80W 行TOS BU2520DF N 1500/800V10A50W 行PHIN 1500V5A50W 电源/行TOS BU2520AX N 1500/800V10A50W 电源/行PHIN 1500V7A50W 电源/行TOS BU2520DX N 1500/800V10A60W 行PHIN 1400V10A50W 电源/行TOS BU2522AX N 1500/800V10A60W 电源/行PHIN 1500/600V6A50W 电源TOS BU2523AX N 1500/800V10A60W 电源/行PHI1500/800V12A60W 电源/行PHIN 1500/600V10A50W 电源TOS BU2527DX N1500/800V12A60W 行PHIN 1500/600V8A50W 电源TOS C4236 N1200/800V6A100W 电源SHIN 1500/600V8A50W 行TOS C4237 N1200/800V10A50W 电源SHIN 1700/600V8A50W 行TOS D1541 N 1500V3A50W 行MATN 1500/600V7A50W 行TOS C4111 N1500/700V10A150W 电源MATN 1500/600V8A50W 行TOS MN650 N 1500/600V5A80W电源SAKN 1500/600V10A50W 电源TOS C4058 N600/450V10A100W 电源SHIN 1500/600V8A50W 电源TOS D2333 N1500/600V5A80W 行MATN 1400/600V12A200W 电源TOS D2334 N1500/600V5A80W 电源MATN 900/800V5A100W 电源TOS D2335 N1500/600V7A100W 行MATN 1500V8A125W 电源TOS C4706 N 900/600V14A130W电源SAKN 1500/700V8A60W 电源ST BUH715N N1500/700V10A60W 电源STN 1500/700V8A60W 行ST C3927 N 900/600V10A120W电源SAKN 1500/700V10A57W 电源ST C3679 N900/800V5A100W 电源SAKN 1500/700V7A50W 行ST C5287 N 900/550V5A80W 电源SAK型号P/N 参数备注及用途型号P/N 参数D2445 N 1500/800V6A50W K30A 50VIdss>0.3up<5V C4745 N 1500/800V6A50W 电源HIT K11750VIdss>0.6up<10VC4746 N 1500/800V8A50W 电源HIT K11850VIdss>0.3up<1.5VC5250 N 1500V8A50W 行HIT K304 30VIdss>0.6up<4V C5207A N 1500/800V10A50W 电源HIT K1117600V6A100WD2300 N 1500V5A50W 行HIT K1118 600V6A45W C4297 N 500/400V12A75W 电源SAK K11191000V4A100WC4927 N 1500V8A50W 行HIT K2141 600V+/-6A35W D1959 N 1400/650V10A50W 电源HIT K1507600V9A50WC4589 N 1500/800V10A50W 电源HIT K1995900V+/-3A35WC4877 N 1500V8A50W 行HIT K1445 450V5A30WKSD5072 N 1500/800V5A60W 行SAM K2056800V4A40WKSD5076 N 1500/800V5A60W 行SAM IRFBC30600V3.6A74WKSC5802 IRFBC40R 600V6.2A125W KSC5803 N 1500/800V7A50W 行SAM IRFBC60KSC5386 N 1500/800V7A50W 行SAM IRF530N100V15A80WKSC5088 N 1500/800V8A50W 电源SAM IRF9530N100V13A75WKSD5702 N 1500V6A70W 行SAM IRF540N100V27A94WKSD5703 IRF9540N 100V19A94WBUS13A N 1000/450V15A175W 电源VAL TO-3 IRF610200V3.3A43WBUS14A N 1000/450V30A250W 电源VAL TO-3 IRF9610200V1.8A20WBUV48A N 1000/450V15A150W 电源ST IRF620200V5A40WC3552 N 1100/800V12A150W 电源SAK IRF9620200V5A40WC5386 N 1500/600V8A50W 电源TOS IRF630200V9A75WC4119 N 1500/800V15A250W 达林顿+阻尼IRF9630200V6.5A75W系列晶振455KHz-503KHz IRF640 200V18A125W3.57MHz-30MHz IRF9640 200V11A125W二极管开关管快恢复整流管IRF730 400V5.5A75W 稳压管阻尼管IRF740 400V10A125W型号参数特性型号参数BC327 P 50V0.8A0.625W 100MHz BTA08 8A双向BC337 N 50V0.8A0.625W 100MHz BTA12 12A双向BC328 P 30V0.8A0.625W 100MHz BTA20 20A双向BC338 N 30V0.8A0.625W 100MHz BTA26 26A双向BC369 P 25V1A.8W 65MHz BTA41 41A双向BC546 N 80V0.1A0.5W 300MHz BTA16 16A双向BC547 N 50V0.1A0.5W 300MHz 2P4M 3A单向BC558 N 30V0.1A0.5W 150MHz CR3AM 3A单向BC556 P 80V01A0.5W 150MHz TLC336 3A双向BC557 P 50V0.1A0.5W 150MHz BCR3AM 3A双向9011 N 50V0.03A0.4W 150MHz FD312 彩电用9012 P 40V0.5A0.625W FD315 彩电用9013 N 40V0.5A0.625W PH2369 彩电用9014 N 50V0.1A0.45W 150MHz 1W稳压管9015 P 50V0.1A0.45W 100MHz 1N4728A 3.3V 9016 N 30V0.025A0.4W 620MHz 1N4730A3.9V 9018 N 30V0.05A0.4W 700MHz 1N4732A 4.7V8050 N 40V1.5A1W 100MHz 1N4734A5.6V8550 P 40V1.5A1W 100MHz 1N4736A 6.8V2N5551 N 180V0.6A0.625W 100MHz 1N4738A 8.2V 2N5401 P 180V0.6A0.625W 100MHz 1N4740A 10V可控硅1N4742A 12V1A单向BT169 100-6 100-8 FOR1B FOR3G 1N4744A15V1A双向97A6 94A4 97A4 1N4746A 18V BT136 6A双向中间引线通散热片1N4748A 22VBT137 8A双向中间引线通散热片1N4750A 27VBT138 10A 双向中间引线通散热片1N4752A 33V BT139 12A双向中间引线通散热片1N4756A 47V BTA06 6A双向中间线不通散热片1N4764A 100V型号参数特性型号参数D820 N 1500/600V5A80W 电源D1047 N 160V12A100W D869 N 1500/600V3.5A50W 行B817 P 160V12A100W D850 N 1500/700V3A65W 电源D1559 N 100V20A100W D870 N 1500/600V5A50W 行B1079 P 100V20A100W D905 N 1400/650W8A50W 电源D2256 N 120V25A120W D871 N 1500/600V6A50W 行B1494 P 120V25A120W D1204 N 500/400V15A100W 电源D718 N 120V8A80WD898 N 1500V3.5A50W 行B688 P 120V8A80W D1279 N 1400/700V10A50W 电源D1435 N100V15A100WD951 N 1500V3A65W 行B1031 P 100V15A100W C1942 N 1500/800V3A50W 电源带阻三极管D1173 N 1500V5A70W 行RN1201 RN1202C2027 N 1500/800V5A50W 电源RN1206 RN2201 D1175 N 1500V5A100W 行RN1001 RN1001大功率功放管DTA114 DTA144C3280 N 160V12A120W HiFi TOS DTC144A1301 P 160V12A120W HiFi TOD 光藕及三端C3281 N 200V15A150W HiFi TOS 521-1 621-1A1302 P 200V15A150W HiFi TOS 631 632C5200 N 230V15A150W HiFi TOS 4N35 CNX62A A1943 P 230V15A150W HiFi TOS PC113 PC117 D2155 N 180V15A150W HiFi TOS SE090 SE110B1429 P 180V15A150W HiFi TOS SE120 SE125C5198 N 140V10A100W HiFi TOS SE135 SE140A1941 P 140V10A100W HiFi TOS 78(L)06 78(L)08 C5196 N 120V6A60W HiFi TOS 78(L)12 78(L)15A1939 P 120V6A60W HiFi TOS 78(L)24 79(L)05C3182 N 140V10A100W HiFi TOS 79(L)08 79(L)09 A1265 P 140V10A100W HiFi TOS 79(L)15 79(L)18型号P/N 参数备注及用途型号P/N 参数C1514 N 300V0.1A1.25W 80MHz Vid-L HIT C2481 N150V1.5A20WC1507 N 300V0.2A15W 80MHz Vid-L NIP C2611 N300V0.1A0.8WC1569 N 300V0.15A12.5W 100MHz Vid TOS C2330 N300V0.1A1WC1573 N 300V0.07A1W 80MHz NF Vid MAT C2331 N80V0.7A1WC1627 N 80V0.4A0.8W Uni TOS C2655 N 60V2A0.9WC1687 N 40V0.03A0.4W NF/ZF MAT C2688 N300V0.2A10WC1756 N 300V0.2A15W >50MHz SAY C2653 N350V0.2A15WC1740 N 50V0.1A0.3W 180MHz Uni TOS C2785 N60V0.1A0.25WC1815 N 60V0.15A0.4W >80MHz Uni TOS C2878 N50V0.3A0.4WC1846 N 45V1A5W 200MHzNF/S-LMAT C3355 N20V0.1A0.6WC1906 N 30V0.05A1GHz UHF HIT C3417 N 300V0.1A5W C1959 N 35V0.5A0.5W 300MHz Uni TOS C3419 N40V0.8A5WC2001 N 30V0.7A0.6W 70MHz Uni NIP C3420 N50V5A10WC2068 N 300V0.05A1.5W 95MHz Vid TOS C3807 N30V2A15WC2120 N 30V0.8A0.6W 120MHz Uni TOS C3789 N300V0.1A7WC2026 N 30V0.05A0.25W 2GHz UHF NIP C3198 N60V0.15A0.4WC2060 N 40V1A0.75W 150MHz Uni TOY C4075 N300V0.2A10WC2229 N 200V0.05A0.8W 120MHz Vid TOS C4544 N300V0.1A8WC2230 N 200V0.1A0.8W >50MHz Vid TOS D400 N25V1A1WC2271 N 300V0.1A0.9W Vid TOS D471 N 30V1A1W C2258 N 300V0.1A4W Vid MAT D965 N 40V5A0.75W C2240 N 120V0.1A0.3W 100MHz NF.rd TOS D966 N40V5A1WC2482 N 300V0.1A0.9W Vid TOS D612 N 35V2A10W C2236 N 30V1.5A0.9W Uni TOS D789 N 100V1A0.9W C2371 N 300V0.1A10W Vid NIP D1640 N 120V2A1.2WC2383 N 160V1A0.9W NF/VA TOS D415 N 120V0.8A10W C2482 N 300V0.1A0.9W Vid TOS C3946 N 350V0.2A15W C2594 N 40V5A10W 150MHz D1406 N 60V3A30W C2500 N 30V2A0.9W 150MHz Uni TOS。
自己归纳的常用三极管参数预览说明:预览图片所展示的格式为文档的源格式展示,下载源文件没有水印,内容可编辑和复制常用三极管参数2SA1216 SK MT-200 DIP/三极管PNP -180V -17A2SC2922 SK MT-200 DIP/三极管NPN 180V 17AFZT753 ZETEX SOT-223 SMD/三极管PNP -100V -3ABCP53 PHILIPS SOT-223 SMD/三极管PNP -80V -1ASTN817 ST SOT-223 SMD/三极管PNP -80V -1.5AFZT792A ZETEX SOT-223 SMD/三极管PNP -70V -2ABCP52 PHILIPS SOT-223 SMD/三极管PNP -60V -1AFZT591 ZETEX SOT-223 SMD/三极管PNP -60V -1AFZT751 ZETEX SOT-223 SMD/三极管PNP -60V -3ABCP51 PHILIPS SOT-223 SMD/三极管PNP -45V -1AFZT1151A ZETEX SOT-223 SMD/三极管PNP -40V -3AFZT790A ZETEX SOT-223 SMD/三极管PNP -40V -3APBSS5540Z PHILIPS SOT-223 SMD/三极管PNP -40V -5AFZT549 ZETEX SOT-223 SMD/三极管PNP -30V -1AFZT949 ZETEX SOT-223 SMD/三极管PNP -30V -5.5AFZT749 ZETEX SOT-223 SMD/三极管PNP -25V -3AFZT789A ZETEX SOT-223 SMD/三极管PNP -25V -3A2SB1386 ROHM SOT-223 SMD/三极管PNP -20V -5AFZT948 ZETEX SOT-223 SMD/三极管PNP -20V -6AFZT788B ZETEX SOT-223 SMD/三极管PNP -15V 3AFZT717 ZETEX SOT-223 SMD/三极管PNP -12V -3ASTN851 ST SOT-223 SMD/三极管NPN 60V 5AFZT692B ZETEX SOT-223 SMD/三极管NPN 70V 2ASTN715 ST SOT-223 SMD/三极管NPN 80V 1.5AFMMT560 ZETEX SOT-23 SMD/三极管PNP -500V -0.15AMMBT5401 ON SOT-23 SMD/三极管PNP -150V -0.1AMMBT2907A FAIRCHILD SOT-23 SMD/三极管PNP -60V -0.6A A1015 SOT-23 SMD/三极管PNP -50V -0.15APDTA144WK PHILIPS SOT-23 SMD/三极管PNP -50V -0.1AMMBT8550 ON SOT-23 SMD/三极管PNP -25V -0.6AS8550 贴片长电SOT-23 SMD/三极管PNP -25V -0.5AS9012 长电SOT-23 SMD/三极管PNP -25V -0.5ASS8550 贴片长电SOT-23 SMD/三极管PNP -25V -1.5A2SC9012 LRC SOT-23 SMD/三极管0V 0A2SC3904 NEC SOT-23 SMD/三极管NPN 10V 0.065A2SC3356 台产SOT-23 SMD/三极管NPN 12V 0.1A2SC3356-R25 NEC SOT-23 SMD/三极管NPN 12V 0.1A2SC3356-R25原NEC SOT-23 SMD/三极管NPN 12V 0.1ABF771 infineon SOT-23 SMD/三极管NPN 12V 0.08AL8050 LRC SOT-23 SMD/三极管NPN 25V 1.5AMMBT8050D ST/泰丰SOT-23 SMD/三极管NPN 25V 1.5AS8050 LRC LRC SOT-23 SMD/三极管NPN 25V 1.5AS8050 长电长电SOT-23 SMD/三极管NPN 25V 1.5ASS8050 贴片长电SOT-23 SMD/三极管NPN 25V 1.5A2SC5551 LRC SOT-23 SMD/三极管NPN 30V 0.3ALMBT3904LT1G SOT-23 SMD/三极管NPN 40V 0.2AMMBT2222ALT1 ON SOT-23 SMD/三极管NPN 40V 0.6AMMBT2222ALT1 英飞凌infineon SOT-23 SMD/三极管NPN 40V 0.6A MMBT3904 LRC LRC SOT-23 SMD/三极管NPN 40V 0.2A BCW66 infineon SOT-23 SMD/三极管NPN 45V 0.8AS9014C ST SOT-23 SMD/三极管NPN 45V 0.1A2SC1623 NEC SOT-23 SMD/三极管NPN 50V 0.1A2SC1815 长电SOT-23 SMD/三极管NPN 50V 0.15A2SC1815 环保SOT-23 SMD/三极管NPN 50V 0.15A2SC2412K-Q ROHM SOT-23 SMD/三极管NPN 50V 0.15A2SC2712-Y TOSHIBA SOT-23 SMD/三极管NPN 50V 0.15APDTC144WK PHILIPS SOT-23 SMD/三极管NPN 50V 0.1AMMBT5551 SOT-23 SMD/三极管NPN 160V 0.06AMMBT5551 国产ON SOT-23 SMD/三极管NPN 160V 0.06A MMBTA42 长电SOT-23 SMD/三极管NPN 300V 0.3AMMBTA44 ON SOT-23 SMD/三极管NPN 400V 0.3A2SA1700 SANYO SOT-252 SMD/三极管PNP -400V -0.2A2SA1773 SANYO SOT-252 SMD/三极管PNP -400V -2AMJD5731 ON SOT-252 SMD/三极管PNP -350V -1ACJD350 HJ/华昕SOT-252 SMD/三极管PNP -300V -0.5AMJD350T4 ST SOT-252 SMD/三极管PNP -300V -0.5AMJD350 ON SOT-252 SMD/三极管PNP -300V -0.5A2SA1552 SANYO SOT-252 SMD/三极管PNP -180V -1.5A2SB1216-ZK NEC SOT-252 SMD/三极管PNP -100V -4ACJD32C HJ/华昕SOT-252 SMD/三极管PNP -100V -3AMJD253 ON SOT-252 SMD/三极管PNP -100V -4AMJD32CT4G ON SOT-252 SMD/三极管PNP -100V -3AMJD42CT4G ON SOT-252 SMD/三极管PNP -100V -6A2SB1181S-R ROHM SOT-252 SMD/三极管PNP -80V -1AMJD45H11T4G ON SOT-252 SMD/三极管PNP -80V -8AMJD45H11T4G马来ON SOT-252 SMD/三极管PNP -80V -8A 2SA1012L-TN3-R UTC SOT-252 SMD/三极管PNP -60V -5A 2SA1244S-Y TOSHIBA SOT-252 SMD/三极管PNP -60V -5A 2SA1385-ZK NEC SOT-252 SMD/三极管PNP -60V -5A2SA1952R-Q ROHM SOT-252 SMD/三极管PNP -60V -5A2SA1952TLQ ROHM SOT-252 SMD/三极管PNP -60V -5A2SB1184 P档长电SOT-252 SMD/三极管PNP -60V -3A2SB1184S-R ROHM SOT-252 SMD/三极管PNP -60V -3A2SB1184 ROHM SOT-252 SMD/三极管PNP -60V -3A2SB1202S-23 SANYO SOT-252 SMD/三极管PNP -60V -3A2SB1202S-34 SANYO SOT-252 SMD/三极管PNP -60V -3A 2SB1202S-TL SANYO SOT-252 SMD/三极管PNP -60V -3A 2SB1202T-TL-E SANYO SOT-252 SMD/三极管PNP -60V -3A 2SB1203S-23 SANYO SOT-252 SMD/三极管PNP -60V -5A 2SB1203S-34 SANYO SOT-252 SMD/三极管PNP -60V -5A 2SB1203T-23 SANYO SOT-252 SMD/三极管PNP -60V -5A 2SB1204R-23 SANYO SOT-252 SMD/三极管PNP -60V -8A 2SB1204R-34 SANYO SOT-252 SMD/三极管PNP -60V -8A 2SB1204S-34 SANYO SOT-252 SMD/三极管PNP -60V -8A 2SB1214T-23 SANYO SOT-252 SMD/三极管PNP -60V -3A 2SB1214T-34 SANYO SOT-252 SMD/三极管PNP -60V -3A 2SB1261-ZK NEC SOT-252 SMD/三极管PNP -60V -3A MJD2955GT4 ON SOT-252 SMD/三极管PNP -60V -10A2SA2039-TL-E SANYO SOT-252 SMD/三极管PNP -50V -5A 2SA2039-T-TL SANYO SOT-252 SMD/三极管PNP -50V -5A 2SA2040T-TL SANYO SOT-252 SMD/三极管PNP -50V -8A 2SA1242S-Y TOSHIBA SOT-252 SMD/三极管PNP -35V -5A 2SB1182R-T ROHM SOT-252 SMD/三极管PNP -32V -2A 2SB1182TLQ ROHM SOT-252 SMD/三极管PNP -32V -2A2SA1615-Z NEC SOT-252 SMD/三极管PNP -30V -10A2SB772S NEC SOT-252 SMD/三极管PNP -30V -3A2SB772 FAIRCHILD SOT-252 SMD/三极管PNP -30V -3A2SB1205S-34 SANYO SOT-252 SMD/三极管PNP -25V -5A 2SB1205T-TL SANYO SOT-252 SMD/三极管PNP -25V -5A MJD210T4G ON SOT-252 SMD/三极管PNP -25V -5A MJD210TF FAIRCHILD SOT-252 SMD/三极管PNP -25V -5A MJD210TM FAIRCHILD SOT-252 SMD/三极管PNP -25V -5AMJD210 ON SOT-252 SMD/三极管PNP -25V -5A2SA1834S-R ROHM SOT-252 SMD/三极管PNP -20V -10A2SB1412P-34 ROHM SOT-252 SMD/三极管PNP -20V -5A2SB1412R-U ROHM SOT-252 SMD/三极管PNP -20V -5A NPN 252 SOT-252 SMD/三极管NPN 0V 0ANPN 252大电流SOT-252 SMD/三极管0V 0APNP 252 SOT-252 SMD/三极管PNP 0V 0A2SC4306 SANYO SOT-252 SMD/三极管NPN 20V 8A2SC5001LTR ROHM SOT-252 SMD/三极管NPN 20V 10A2SD1805S-34 SANYO SOT-252 SMD/三极管NPN 20V 5A2SD2118S-R ROHM SOT-252 SMD/三极管NPN 20V 5A CJD200 HJ/华昕SOT-252 SMD/三极管NPN 25V 5AMJD200 ON SOT-252 SMD/三极管NPN 25V 5A2SD882S NEC SOT-252 SMD/三极管NPN 30V 3A2SD882 FAIRCHILD SOT-252 SMD/三极管NPN 30V 3A2SD1758S-R ROHM SOT-252 SMD/三极管NPN 32V 2A2SC3072S-Y TOSHIBA SOT-252 SMD/三极管NPN 50V 5A2SC3074S-Y TOSHIBA SOT-252 SMD/三极管NPN 50V 5A2SC5706-G-TL-E SANYO SOT-252 SMD/三极管NPN 50V 5A 2SC5706-T-TL-E SANYO SOT-252 SMD/三极管NPN 50V 5A 2SC5706-T-TL-E PB SANYO SOT-252 SMD/三极管NPN 50V 5A 2SC5707T-34 SANYO SOT-252 SMD/三极管NPN 50V 8A 2SD1760 ROHM SOT-252 SMD/三极管NPN 50V 3A2SD1760S-Q ROHM SOT-252 SMD/三极管NPN 50V 3A2SD1760S-R ROHM SOT-252 SMD/三极管NPN 50V 3A2SD1801 SANYO SOT-252 SMD/三极管NPN 50V 2A2SD1801S-34 SANYO SOT-252 SMD/三极管NPN 50V 2A2SD1802S-23 SANYO SOT-252 SMD/三极管NPN 50V 3A2SD1802S-34 SANYO SOT-252 SMD/三极管NPN 50V 3A2SD1802S-TL SANYO SOT-252 SMD/三极管NPN 50V 3A2SD1802T-02 SANYO SOT-252 SMD/三极管NPN 50V 3A2SD1803S-34 SANYO SOT-252 SMD/三极管NPN 50V 5A2SD1803S-OH SANYO SOT-252 SMD/三极管NPN 50V 5A2SD1804S-23 SANYO SOT-252 SMD/三极管NPN 50V 8A2SD1804S-2H SANYO SOT-252 SMD/三极管NPN 50V 8A2SD1804S-34 SANYO SOT-252 SMD/三极管NPN 50V 8A2SD1804T-34 SANYO SOT-252 SMD/三极管NPN 50V 8ANJD2873T4 ON SOT-252 SMD/三极管NPN 50V 2ANZD560A FAIRCHILD SOT-252 SMD/三极管NPN 55V 3A2SC3518-ZK NEC SOT-252 SMD/三极管NPN 60V 5A2SC5103R-T ROHM SOT-252 SMD/三极管NPN 60V 5A2SD1817S-34 SANYO SOT-252 SMD/三极管NPN 60V 3A2SD1817T-34 SANYO SOT-252 SMD/三极管NPN 60V 3A2SD1899-ZK NEC SOT-252 SMD/三极管NPN 60V 3AMJD3055T4G ON SOT-252 SMD/三极管NPN 60V 10A2SC3303S-Y TOSHIBA SOT-252 SMD/三极管NPN 80V 5AMJD44H11T4G ON SOT-252 SMD/三极管NPN 80V 8A2SC4135 SANYO SOT-252 SMD/三极管NPN 100V 2A2SD1815 SANYO SOT-252 SMD/三极管NPN 100V 3AMJD243 ON SOT-252 SMD/三极管NPN 100V 4AMJD31CT4G ON SOT-252 SMD/三极管NPN 100V 3AMJD31C原ON SOT-252 SMD/三极管NPN 100V 3AMJD41CT4G ON SOT-252 SMD/三极管NPN 100V 6A2SC4027 SANYO SOT-252 SMD/三极管NPN 160V 1.5AMJD340T4 ST SOT-252 SMD/三极管NPN 300V 0.5AMJD340 FAIRCHILD SOT-252 SMD/三极管NPN 300V 0.5A2SC4003 SANYO SOT-252 SMD/三极管NPN 400V 0.2A2SC4615 SANYO SOT-252 SMD/三极管NPN 400V 1AKSH50TF FAIRCHILD SOT-252 SMD/三极管NPN 400V 1A MJD50 ON SOT-252 SMD/三极管NPN 400V 1AMJD18002D2 ON SOT-252 SMD/三极管NPN 450V 2A2SA1870S ROHM SOT-263 SMD/三极管PNP -100V -12A2SC4226-R25 NEC SOT-323 SMD/三极管NPN 12V 0.1A2SB1122S-TD-E SANYO SOT-89 SMD/三极管PNP -50V -1A 2SC3357-T1B NEC SOT-89 SMD/三极管NPN 12V 0.1A 2SD965-TX panasonic SOT-89 SMD/三极管NPN 20V 5A2SD882-89 SOT-89 SMD/三极管NPN 30V 3A2SD1664 ROHM SOT-89 SMD/三极管NPN 32V 1A2SC2412K-R ROHM SOT-89 SMD/三极管NPN 50V 0.15A2SC5569-TD SANYO SOT-89 SMD/三极管NPN 50V 7A2SD1622-TD SANYO SOT-89 SMD/三极管NPN 50V 1A FCX458TA ZEXET SOT-89 SMD/三极管NPN 400V 0.225A 2SA1360 TOSHIBA TO-126 DIP/三极管PNP -150V -0.05A BD140 PHILIPS TO-126 DIP/三极管PNP -80V -1.5ABD238 PHILIPS TO-126 DIP/三极管PNP -80V -2ABD138 PHILIPS TO-126 DIP/三极管PNP -60V -1.5ABD236 PHILIPS TO-126 DIP/三极管PNP -60V -2ABD440 PHILIPS TO-126 DIP/三极管PNP -60V -4ABD136 PHILIPS TO-126 DIP/三极管PNP -45V -1.5ABD438 PHILIPS TO-126 DIP/三极管PNP -45V -4ABD436 PHILIPS TO-126 DIP/三极管PNP -32V -4ABD436 ST摩洛哥ST TO-126 DIP/三极管PNP -32V -4A2SB772-P NEC TO-126 DIP/三极管PNP -30V -3A2SB772-Q NEC TO-126 DIP/三极管PNP -30V -3A2SB772-Q NEC TO-126 DIP/三极管PNP -30V -3AB772-P NEC TO-126 DIP/三极管PNP -30V -3AN 126 TO-126 DIP/三极管NPN 0V 0A2SD2583 NEC TO-126 DIP/三极管NPN 30V 5A2SD882-P NEC TO-126 DIP/三极管NPN 30V 3A2SD882-Q NEC TO-126 DIP/三极管NPN 30V 3AD882-P NEC TO-126 DIP/三极管NPN 30V 3ABD435 PHILIPS TO-126 DIP/三极管NPN 32V 4A2SC2314 SANYO TO-126 DIP/三极管NPN 45V 1ABD437 PHILIPS TO-126 DIP/三极管NPN 45V 4ABD437白字摩洛哥ST TO-126 DIP/三极管NPN 45V 4ABD437激光摩洛哥ST TO-126 DIP/三极管NPN 45V 4ABD235 PHILIPS TO-126 DIP/三极管NPN 60V 2ABD237 PHILIPS TO-126 DIP/三极管NPN 80V 2A2SC3423 TOSHIBA TO-126 DIP/三极管NPN 150V 0.05A2SC2258 panasonic TO-126 DIP/三极管NPN 250V 0.1A2SC2611 HIT TO-126 DIP/三极管NPN 300V 0.1A2SC2688 NEC TO-126 DIP/三极管NPN 300V 0.2AMJE13003 FAIRCHILD TO-126 DIP/三极管NPN 400V 1.5A MJE170S FAIRCHILD TO-126F DIP/三极管PNP -40V -3A 2SB772-Y FAIRCHILD TO-126F DIP/三极管PNP -30V -3APNP-126F TO-126F DIP/三极管PNP 0V 0A2SD882F NEC TO-126F DIP/三极管NPN 30V 3AKSE180-Y FAIRCHILD TO-126F DIP/三极管NPN 40V 3ABD13516STU FAIRCHILD TO-126F DIP/三极管NPN 45V 1.5A 2SD1683T SANYO TO-126F SMD/三极管NPN 50V 4A KSD1691-Y FAIRCHILD TO-126F DIP/三极管NPN 60V 5A NPN 126F TO-126F DIP/三极管60V 5A2SD1381F ROHM TO-126F DIP/三极管NPN 80V 1ABD139F PHILIPS TO-126F DIP/三极管NPN 80V 1.5AKSC3953-D-S FAIRCHILD TO-126F DIP/三极管NPN 120V 0.2A HSD1609 HJ/华昕TO-126F DIP/三极管NPN 160V 0.1A HSD1609 台产TO-126F DIP/三极管NPN 160V 0.1AKSC2682-Y SAM/三星TO-126F DIP/三极管NPN 180V 0.1A KSC2682-Y FAIRCHILD TO-126F DIP/三极管NPN 180V 0.1A KSC3502-E SAM/三星TO-126F DIP/三极管NPN 200V 0.1A2SC3619 TOSHIBA TO-126F DIP/三极管NPN 300V 0.1AKTA968A KEC TO-220 DIP/三极管PNP -180V -1.5A2SB861 HIT TO-220 DIP/三极管PNP -150V -2AKSA940 FAIRCHILD TO-220 DIP/三极管PNP -150V -1.5AKSB546 FAIRCHILD TO-220 DIP/三极管PNP -150V -2ABD242C FAIRCHILD TO-220 DIP/三极管PNP -100V -3ABD244C FAIRCHILD TO-220 DIP/三极管PNP -100V -6ATIP32C FAIRCHILD TO-220 DIP/三极管PNP -100V -3ATIP42C FAIRCHILD TO-220 DIP/三极管PNP -100V -6ATIP42C合资FAIRCHILD TO-220 DIP/三极管PNP -100V -6A TIP42C原FAIRCHILD TO-220 DIP/三极管PNP -100V -6A UTCTIP42C UTC TO-220 DIP/三极管PNP -100V -6A2SB1273 SANYO TO-220 DIP/三极管PNP -60V -3AKTA1036 KEC TO-220 DIP/三极管PNP -60V -3AKTB988 KEC TO-220 DIP/三极管PNP -60V -3AKSA614 FAIRCHILD TO-220 DIP/三极管PNP -55V -3AKSA614YTU FAIRCHILD TO-220 DIP/三极管PNP -55V -3A2SB1134R SANYO TO-220 DIP/三极管PNP -50V -5A2SB824R SANYO TO-220 DIP/三极管PNP -50V -5A2SB824S SANYO TO-220 DIP/三极管PNP -50V -5A2SB857 HIT TO-220 DIP/三极管PNP -50V -4A2SC5679 FUJ TO-220 DIP/三极管NPN 0V 0AHSD940 华汕TO-220 DIP/三极管PNP 0V 0AKSD313 FAIRCHILD TO-220 DIP/三极管NPN 0V 0ANPN 220 TO-220 DIP/三极管NPN 0V 0ASTD880 ST TO-220 DIP/三极管NPN 0V 0AKTC3230 KEC TO-220 DIP/三极管NPN 30V 3A2SD1060S-JK SANYO TO-220 DIP/三极管NPN 50V 5A2SD1062R-UA SANYO TO-220 DIP/三极管NPN 50V 12AKSD288 FAIRCHILD TO-220 DIP/三极管NPN 55V 3A2SC1983 FAIRCHILD TO-220 DIP/三极管NPN 60V 3ABD241A ST TO-220 DIP/三极管NPN 60V 3AKSC2233粉脚FAIRCHILD TO-220 DIP/三极管NPN 60V 4AKSC2233亮脚FAIRCHILD TO-220 DIP/三极管NPN 60V 4AKSD73 FAIRCHILD TO-220 DIP/三极管NPN 60V 5AKSD880-Y FAIRCHILD TO-220 DIP/三极管NPN 60V 3AKSD880-Y 环保FAIRCHILD TO-220 DIP/三极管NPN 60V 3A KTC2016-Y KEC TO-220 DIP/三极管NPN 60V 3AKTC2016-Y KEC TO-220 DIP/三极管NPN 60V 3AKTC3231 KEC TO-220 DIP/三极管NPN 60V 4AKTD1351 KEC TO-220 DIP/三极管NPN 60V 3ATIP31A ST TO-220 DIP/三极管NPN 60V 3ATIP31A ST TO-220 DIP/三极管NPN 60V 3AKSD362RTU FAIRCHILD TO-220 DIP/三极管NPN 70V 5ABDW23B FAIRCHILD TO-220 DIP/三极管NPN 80V 6AH1061 HIT TO-220 DIP/三极管NPN 80V 4AKSD526YTU FAIRCHILD TO-220 DIP/三极管NPN 80V 4AKSE44H11 FAIRCHILD TO-220 DIP/三极管NPN 80V 10A5101FABD HARRIS/哈里斯TO-220 DIP/三极管NPN 100V 0A BD239C FAIRCHILD TO-220 DIP/三极管NPN 100V 2AKSC2334-Y FAIRCHILD TO-220 DIP/三极管NPN 100V 7ATIP41C FAIRCHILD TO-220 DIP/三极管NPN 100V 6ATIP41C FAIRCHILD TO-220 DIP/三极管NPN 100V 6A2SD1138 HIT TO-220 DIP/三极管NPN 150V 2AKSC2073 FAIRCHILD TO-220 DIP/三极管NPN 150V 1.5AKSC2073 国产FAIRCHILD TO-220 DIP/三极管NPN 150V 1.5A KSD401 FAIRCHILD TO-220 DIP/三极管NPN 150V 2A KTC2073 KEC TO-220 DIP/三极管NPN 150V 1.5A2SC4566 SANYO TO-220 DIP/三极管NPN 200V 0.3ABU406 FAIRCHILD TO-220 DIP/三极管NPN 200V 7ABU406TU FAIRCHILD TO-220 DIP/三极管NPN 200V 7ABU406 FAIRCHILD TO-220 DIP/三极管NPN 200V 7ABU806 FAIRCHILD TO-220 DIP/三极管NPN 200V 8ABU806 FAIRCHILD TO-220 DIP/三极管NPN 200V 8A5101FABB HARRIS/哈里斯TO-220 DIP/三极管NPN 250V 0A KSC1507-Y FAIRCHILD TO-220 DIP/三极管NPN 300V 0.0002A KSC1507YTU FAIRCHILD TO-220 DIP/三极管NPN 300V 0.0002A 2SC2553 TOSHIBA TO-220 DIP/三极管NPN 400V 5A2SC4242 FUJ TO-220 DIP/三极管NPN 400V 7A2SC5763 SANYO TO-220 DIP/三极管NPN 400V 7A3DD13007K 华微TO-220 DIP/三极管NPN 400V 8ABUL128A ST TO-220 DIP/三极管NPN 400V 4ABUL138 ST TO-220 DIP/三极管NPN 400V 5AFJP5555TU FAIRCHILD TO-220 DIP/三极管NPN 400V 5A KSC2335 FAIRCHILD TO-220 DIP/三极管NPN 400V 7A KSC5039 FAIRCHILD TO-220 DIP/三极管NPN 400V 5AKSC5039-2 FAIRCHILD TO-220 DIP/三极管NPN 400V 5A KSC5302D FAIRCHILD TO-220 DIP/三极管NPN 400V 2A KSC5305D FAIRCHILD TO-220 DIP/三极管NPN 400V 5A KSE13003H2 FAIRCHILD TO-220 DIP/三极管NPN 400V 1.5A KSE13005-1 FAIRCHILD TO-220 DIP/三极管NPN 400V 4A KSE13009TU FAIRCHILD TO-220 DIP/三极管NPN 400V 12A PHE13005 PHILIPS TO-220 DIP/三极管NPN 400V 4APHE13007 PHILIPS TO-220 DIP/三极管NPN 400V 8AST13005A ST TO-220 DIP/三极管NPN 400V 4AST13007A ST TO-220 DIP/三极管NPN 400V 8ATIP50 FAIRCHILD TO-220 DIP/三极管NPN 400V 1ATT2146 SANYO TO-220 DIP/三极管NPN 400V 7ABUT12A FAIRCHILD TO-220 DIP/三极管NPN 450V 8ABUT12AI PHILIPS TO-220 DIP/三极管NPN 450V 8AKSC5338D FAIRCHILD TO-220 DIP/三极管NPN 450V 5A FJP5321TU FAIRCHILD TO-220 DIP/三极管NPN 500V 5A KSC5021-O FAIRCHILD TO-220 DIP/三极管NPN 500V 5A BUL1203E ST TO-220 DIP/三极管NPN 550V 5A2SC3148 TOSHIBA TO-220 DIP/三极管NPN 800V 3A2SC3150 SANYO TO-220 DIP/三极管NPN 800V 3AFJP5027RTU FAIRCHILD TO-220 DIP/三极管NPN 800V 3A KSC5603D FAIRCHILD TO-220 DIP/三极管NPN 800V 3A 2SA1837 TOSHIBA TO-220F DIP/三极管PNP -230V -1A2SA1930 TOSHIBA TO-220F DIP/三极管PNP -180V -2AKTB1369 KEC TO-220F DIP/三极管PNP -180V -2AKSA1304 FAIRCHILD TO-220F DIP/三极管PNP -150V -1.5A 2SA1757 ROHM TO-220F DIP/三极管PNP -60V -5A2SB1133R SANYO TO-220F DIP/三极管PNP -60V -3A2SB1274S SANYO TO-220F DIP/三极管PNP -60V -3A2SB1375 TOSHIBA TO-220F DIP/三极管PNP -60V -3AKSB1366 FAIRCHILD TO-220F DIP/三极管PNP -60V -3A2SA2022 SANYO TO-220F DIP/三极管PNP -50V -7A2SA2099 SANYO TO-220F DIP/三极管PNP -50V -10A2SA2180 SANYO TO-220F DIP/三极管PNP -50V -5A2SB1135R SANYO TO-220F DIP/三极管PNP -50V -7A2SB1136R SANYO TO-220F DIP/三极管PNP -50V -12A2SB1136S SANYO TO-220F DIP/三极管PNP -50V -12A2SC5842 panasonic TO-220F DIP/三极管NPN 0V 0AKTC4369-Y KEC TO-220F DIP/三极管NPN 30V 3A2SD1667S SANYO TO-220F DIP/三极管NPN 50V 5A2SD1273-P FAIRCHILD TO-220F DIP/三极管NPN 60V 3A2SD1913R-RA SANYO TO-220F DIP/三极管NPN 60V 3A2SD1944 K ROHM TO-220F DIP/三极管NPN 60V 3A2SD2012 TOSHIBA TO-220F DIP/三极管NPN 60V 3A2SD2061 ROHM TO-220F DIP/三极管NPN 60V 3A2SD2396 K ROHM TO-220F DIP/三极管NPN 60V 3AKSD2058-Y FAIRCHILD TO-220F DIP/三极管NPN 60V 3AKTD2058-Y-CU KEC TO-220F DIP/三极管NPN 60V 3AKSC3296 FAIRCHILD TO-220F DIP/三极管NPN 150V 1.5A2SC4159 SANYO TO-220F DIP/三极管NPN 160V 1.5AKTC4370 KEC TO-220F DIP/三极管NPN 160V 1.5A2SC5171 TOSHIBA TO-220F DIP/三极管NPN 180V 2AKTD2061 KEC TO-220F DIP/三极管NPN 180V 2A2SC4793 TOSHIBA TO-220F DIP/三极管NPN 230V 1AKTC3229 KEC TO-220F DIP/三极管NPN 300V 0.1A2SC4546 SK TO-220F DIP/三极管NPN 400V 7A2SC4977 FUJ TO-220F DIP/三极管NPN 400V 7A2SC5172 TOSHIBA TO-220F DIP/三极管NPN 400V 5A2SC5459 TOSHIBA TO-220F DIP/三极管NPN 400V 3ABUL138FP ST TO-220F DIP/三极管NPN 400V 5ABUL146F MOT TO-220F DIP/三极管NPN 400V 6ABUL903EDFP摩洛哥ST TO-220F DIP/三极管NPN 400V 5A FJPF13009TU FAIRCHILD TO-220F DIP/三极管NPN 400V 12A FJPF3305H1TU FAIRCHILD TO-220F DIP/三极管NPN 400V 4A KSE13005F FAIRCHILD TO-220F DIP/三极管NPN 400V 4A KSE13005F1 FAIRCHILD TO-220F DIP/三极管NPN 400V 4A KSE13005F2 FAIRCHILD TO-220F DIP/三极管NPN 400V 4A KSE13005FH1TU FAIRCHILD TO-220F DIP/三极管NPN 400V 4A KSE13007F FAIRCHILD TO-220F DIP/三极管NPN 400V 8A KSE13007F1 FAIRCHILD TO-220F DIP/三极管NPN 400V 8A KSE13007F2 FAIRCHILD TO-220F DIP/三极管NPN 400V 8A KSE13009FTU FAIRCHILD TO-220F DIP/三极管NPN 400V 12A STD13005FB AUK TO-220F DIP/三极管NPN 400V 4ABUT12AX NXP/恩智浦TO-220F DIP/三极管NPN 450V 8AMJF18004 MOT TO-220F DIP/三极管NPN 450V 5A2SC5809 panasonic TO-220F DIP/三极管NPN 500V 3AKSC5021F-O FAIRCHILD TO-220F DIP/三极管NPN 500V 5A KSC5021F-R FAIRCHILD TO-220F DIP/三极管NPN 500V 5A 2SC5353 TOSHIBA TO-220F DIP/三极管NPN 800V 3AFJPF5027-OTU FAIRCHILD TO-220F DIP/三极管NPN 800V 3A KSC5027F-R FAIRCHILD TO-220F DIP/三极管NPN 800V 3A KSC5367F FAIRCHILD TO-220F DIP/三极管NPN 800V 3A KSC5042FTU FAIRCHILD TO-220F DIP/三极管NPN 900V 0.1A KSC5042F FAIRCHILD TO-220F DIP/三极管NPN 900V 0.1A KTB2955-O KEC TO-220定型脚DIP/三极管PNP -120V -10A 2SC3148定型脚TOSHIBA TO-220定型脚DIP/三极管NPN 800V 3A KSD73短脚FAIRCHILD TO-220短DIP/三极管NPN 60V 5ATIP29C短脚FAIRCHILD TO-220短DIP/三极管NPN 100V 1A 2SA1412-S35 NEC TO-251 DIP/三极管PNP -400V -2AHI350 HJ/华昕TO-251 DIP/三极管PNP -300V -0.5A2SA1552S SANYO TO-251 DIP/三极管PNP -180V -1.5AMJD253 ON TO-251 DIP/三极管PNP -100V -4AMJD32C ON TO-251 DIP/三极管PNP -100V -3AMJD45H11-251 MOT TO-251 DIP/三极管PNP -80V -8A2SA1012L-TM3-R UTC TO-251 DIP/三极管PNP -60V -5A2SA1244-Y TOSHIBA TO-251 DIP/三极管PNP -60V -5A2SA1385-K NEC TO-251 DIP/三极管PNP -60V -5A2SB1184-R ROHM TO-251 DIP/三极管PNP -60V -3A2SB1202-S23 SANYO TO-251 DIP/三极管PNP -60V -3A2SB1203-S34 SANYO TO-251 DIP/三极管PNP -60V -5A2SB1203-S3H SANYO TO-251 DIP/三极管PNP -60V -5A2SB1203-S45 SANYO TO-251 DIP/三极管PNP -60V -5A2SB1204-R23 SANYO TO-251 DIP/三极管PNP -60V -8A2SB1204-R34 SANYO TO-251 DIP/三极管PNP -60V -8A 2SB1204-R45 SANYO TO-251 DIP/三极管PNP -60V -8A 2SB1204-R5C SANYO TO-251 DIP/三极管PNP -60V -8A 2SB1204-S34 SANYO TO-251 DIP/三极管PNP -60V -8A 2SB1214-K SANYO TO-251 DIP/三极管PNP -60V -3A 2SB1214-P34 SANYO TO-251 DIP/三极管PNP -60V -3A 2SB1261-K NEC TO-251 DIP/三极管PNP -60V -3A2SA1214-K NEC TO-251 DIP/三极管PNP -50V -2A2SA2039-G-E SANYO TO-251 DIP/三极管PNP -50V -5A 2SA2040-G-E SANYO TO-251 DIP/三极管PNP -50V -8A 2SB1201 SANYO TO-251 DIP/三极管PNP -50V -2A2SA1649 NEC TO-251 DIP/三极管PNP -40V -10A2SA1242-Y TOSHIBA TO-251 DIP/三极管PNP -35V -5A 2SA1615 NEC TO-251 DIP/三极管PNP -30V -10A2SB1184 ROHM TO-251 DIP/三极管PNP -30V -3A2SB772 NEC TO-251 DIP/三极管PNP -30V -3A2SB1205-S34 SANYO TO-251 DIP/三极管PNP -25V -5A 2SB1205T-E SANYO TO-251 DIP/三极管PNP -25V -5A MJD210 ON TO-251 DIP/三极管PNP -25V -5ANPN 251 TO-251 DIP/三极管NPN 0V 0APNP 251 TO-251 DIP/三极管PNP 0V 0A2SC5001 SANYO TO-251 DIP/三极管NPN 20V 10A2SD1805-OH SANYO TO-251 DIP/三极管NPN 20V 5A 2SD1805-S23 SANYO TO-251 DIP/三极管NPN 20V 5A 2SD1805-S34 SANYO TO-251 DIP/三极管NPN 20V 5A MJD200 ON TO-251 DIP/三极管NPN 25V 5A2SD882-M73 NEC TO-251 DIP/三极管NPN 30V 3A2SD1758Q ROHM TO-251 DIP/三极管NPN 32V 2A2SC3072-Y TOSHIBA TO-251 DIP/三极管NPN 50V 5A 2SC3074-O TOSHIBA TO-251 DIP/三极管NPN 50V 5A2SC3074-Y TOSHIBA TO-251 DIP/三极管NPN 50V 5A2SC5706-5L SANYO TO-251 DIP/三极管NPN 50V 5A2SC5706-G-E SANYO TO-251 DIP/三极管NPN 50V 5A2SC5707-5L SANYO TO-251 DIP/三极管NPN 50V 8A2SC5707-6L SANYO TO-251 DIP/三极管NPN 50V 8A2SD1760-R ROHM TO-251 DIP/三极管NPN 50V 3A2SD1802S SANYO TO-251 DIP/三极管NPN 50V 3A2SD1802-S02 SANYO TO-251 DIP/三极管NPN 50V 3A2SD1802-S23 SANYO TO-251 DIP/三极管NPN 50V 3A2SD1802-S34 SANYO TO-251 DIP/三极管NPN 50V 3A2SD1802-S3H SANYO TO-251 DIP/三极管NPN 50V 3A2SD1803-S34 SANYO TO-251 DIP/三极管NPN 50V 5A2SD1803-S45 SANYO TO-251 DIP/三极管NPN 50V 5A2SD1804-S23 SANYO TO-251 DIP/三极管NPN 50V 8A2SD1804-S34 SANYO TO-251 DIP/三极管NPN 50V 8A2SD1804-S3H SANYO TO-251 DIP/三极管NPN 50V 8A2SD1804-S45 SANYO TO-251 DIP/三极管NPN 50V 8A2SD1817-S34 SANYO TO-251 SMD/三极管NPN 60V 3A2SD1899-K NEC TO-251 DIP/三极管NPN 60V 3AHSD1616T HJ/华昕TO-251 SMD/三极管NPN 60V 1AMJD3055G ON TO-251 DIP/三极管NPN 60V 10AHI3669 HJ/华昕TO-251 DIP/三极管NPN 80V 2A2SC2334 SANYO TO-251 DIP/三极管NPN 100V 7A2SD1816-S34 SANYO TO-251 DIP/三极管NPN 100V 4AHI3953 HJ/华昕TO-251 DIP/三极管NPN 120V 0.2A2SC4027T SANYO TO-251 DIP/三极管NPN 160V 1.5AHI1609 HJ/华昕TO-251 DIP/三极管NPN 160V 0.1A2SC3631 NEC TO-251 DIP/三极管NPN 400V 2A2SC4615 SANYO TO-251 DIP/三极管NPN 400V 1A50K3BRH10 FAIRCHILD TO-262 DIP/三极管N场30V 0AKSA1962-O FAIRCHILD TO-3P DIP/三极管PNP -230V -10A 2SA1941 TOSHIBA TO-3P DIP/三极管PNP -140V -10A FJA4210 FAIRCHILD TO-3P DIP/三极管PNP -140V -10A KSA1695-O FAIRCHILD TO-3P DIP/三极管PNP -140V -8A 2SC3320 FUJ TO-3P DIP/三极管NPN 0V 0A2SC5198 TOSHIBA TO-3P DIP/三极管NPN 140V 10A2SD1047 TOSHIBA TO-3P DIP/三极管NPN 140V 12A2SD1047C SANYO TO-3P DIP/三极管NPN 140V 12AKSC4468-O FAIRCHILD TO-3P DIP/三极管NPN 140V 8A2SC5200-O TOSHIBA TO-3P DIP/三极管NPN 230V 15A2SC2625 原FUJ TO-3P DIP/三极管NPN 400V 10A2SC2938 MOSPEC TO-3P DIP/三极管NPN 400V 10A2SC3306 TOSHIBA TO-3P DIP/三极管NPN 400V 10AKSE13009L FAIRCHILD TO-3P DIP/三极管NPN 400V 12A TT2148 SANYO TO-3P DIP/三极管NPN 400V 12A2SD2498 TOSHIBA TO-3P DIP/三极管NPN 600V 6AFJAF4310 FAIRCHILD TO-3PF DIP/三极管NPN 140V 10A2SC5855 TOSHIBA TO-3PF DIP/三极管700V 10AMD2310FX ST TO-3PF DIP/三极管NPN 700V 14A2SC5857 TOSHIBA TO-3PF DIP/三极管NPN 750V 21A2SC5793-YD SANYO TO-3PF DIP/三极管NPN 800V 20A KSC5386 FAIRCHILD TO-3PF DIP/三极管NPN 800V 7A KSC5802D FAIRCHILD TO-3PF DIP/三极管NPN 800V 10A KSC5803D FAIRCHILD TO-3PF DIP/三极管NPN 800V 12A 2SA1943-O TOSHIBA TO-3PL DIP/三极管PNP -230V -15A KSC5200 FAIRCHILD TO-3PL DIP/三极管NPN 230V 13A FJL6920TU FAIRCHILD TO-3PL DIP/三极管NPN 800V 20A 2SA970 TOSHIBA TO-92 DIP/三极管PNP -120V -0.1ABC640 FAIRCHILD TO-92 DIP/三极管PNP -80V -1AKSP2907A FAIRCHILD TO-92 DIP/三极管PNP -60V -0.6A2SA1015 TOSHIBA TO-92 DIP/三极管PNP -50V -0.15A2SA1015-GR TOSHIBA TO-92 DIP/三极管PNP -50V -0.15A 2SA1266-GR KEC TO-92 DIP/三极管PNP -50V -0.15A 2SB1243 ROHM TO-92 DIP/三极管PNP -50V -3ABC327-25 PHILIPS TO-92 DIP/三极管PNP -45V -0.5A2SA1273 FGX TO-92 DIP/三极管PNP -30V -2A2SA562-Y TOSHIBA TO-92 DIP/三极管PNP -30V -0.5A2SA966 TOSHIBA TO-92 DIP/三极管PNP -30V -1.5ASS8550 TO-92 DIP/三极管PNP -25V -1.5ASS8550 C中TO-92 DIP/三极管PNP -25V -0.5AACT30AHT TO-92 DIP/三极管0V 0AC945 广半TO-92 DIP/三极管NPN 0V 0AKSC1730YBU FAIRCHILD TO-92 DIP/三极管NPN 15V 0.05A 2SC2538 RENESAS/瑞萨TO-92 DIP/三极管NPN 17V 0.4A 2SC1906 HIT TO-92 DIP/三极管NPN 19V 0.05A8050D ST/泰丰TO-92 DIP/三极管NPN 25V 0AHIT468-EQ RENESAS/瑞萨TO-92 DIP/三极管NPN 25V 1A KSP10 FAIRCHILD TO-92 DIP/三极管NPN 25V 0ASC8050D 广半TO-92 DIP/三极管NPN 25V 1.5ASS8050 TO-92 DIP/三极管NPN 25V 1.5ASS8050 C中TO-92 DIP/三极管NPN 25V 1.5ASS8050D 国产TO-92 DIP/三极管NPN 25V 1.5A2SC1923-Y TOSHIBA TO-92 DIP/三极管NPN 30V 0.02A2SC458C HIT TO-92 DIP/三极管NPN 30V 0.1AKTC9011-F KEC TO-92 DIP/三极管NPN 30V 0.05AKTC9013-H KEC TO-92 DIP/三极管NPN 30V 0.5AKSP2222A FAIRCHILD TO-92 DIP/三极管NPN 40V 0.6APN2222A FAIRCHILD TO-92 DIP/三极管N场40V 1APN2907 FAIRCHILD TO-92 DIP/三极管NPN 40V 0.8ABC337-25 PHILIPS TO-92 DIP/三极管NPN 45V 0.5ABC337-40 PHILIPS TO-92 DIP/三极管NPN 45V 0.5A2SC1815-GR TOSHIBA TO-92 DIP/三极管NPN 50V 0.15A2SC1815-Y TOSHIBA TO-92 DIP/三极管NPN 50V 0.15A2SC2458-Y TOSHIBA TO-92 DIP/三极管NPN 50V 0.15ABC546B PHILIPS TO-92 DIP/三极管NPN 65V 0.1A2SD667 RENESAS/瑞萨TO-92 DIP/三极管NPN 80V 1ABC639 FAIRCHILD TO-92 DIP/三极管NPN 80V 1ASTPSA42 ST TO-92 DIP/三极管NPN 300V 0.5AA44 广半TO-92 DIP/三极管NPN 400V 0.2AKSE13001 广半TO-92 DIP/三极管NPN 400V 0.1AKSP44 FAIRCHILD TO-92 DIP/三极管NPN 400V 0.3A2SA1208T-AE SANYO TO-92L DIP/三极管PNP -180V -0.07A 2SA1207 SANYO TO-92L DIP/三极管PNP -160V -0.07A 2SA965-Y TOSHIBA TO-92L DIP/三极管PNP -120V -0.8A2SA1020-Y TOSHIBA TO-92L DIP/三极管PNP -50V -2A2SA684 TOSHIBA TO-92L DIP/三极管PNP -50V -1AKSA928-Y FAIRCHILD TO-92L DIP/三极管PNP -30V -2A2SC2330-Y TOSHIBA TO-92L DIP/三极管NPN 18V 6A2SD965-Y TOSHIBA TO-92L DIP/三极管NPN 20V 5A2SC2703 TOSHIBA TO-92L DIP/三极管NPN 30V 1A2SC3205 FGX TO-92L DIP/三极管NPN 30V 2A2SC2310-Y HIT TO-92L DIP/三极管NPN 50V 0.1A2SC4408 TOSHIBA TO-92L DIP/三极管NPN 50V 2A2SC1384-R TOSHIBA TO-92L DIP/三极管NPN 60V 1A2SC2655 TOSHIBA TO-92L DIP/三极管NPN 60V 2A2SC2655 09 TOSHIBA TO-92L DIP/三极管NPN 60V 2A2SC2230-Y排带TOSHIBA TO-92L DIP/三极管PNP 160V 0.1A 2SC2383 TOSHIBA TO-92L DIP/三极管NPN 160V 1A2SC2230A-GR TOSHIBA TO-92L DIP/三极管PNP 180V 0.1A 2SC2482 TOSHIBA TO-92L DIP/三极管NPN 300V 0.1A2SC1740 FAIRCHILD TO-92S DIP/三极管NPN 50V 0.15A BFR360F infineon TSFP-3 SMD/三极管NPN 6V 0.035A。
三极管参数查询表名称封装极性功能耐压电流功率频率配对管D633 28 NPN 音频功放100V 7A 40W 达林顿9013 21 NPN 低频放大50V 0.5A 0.625W 90129014 21 NPN 低噪放大50V 0.1A 0.4W 150HMZ 90159015 21 PNP 低噪放大50V 0.1A 0.4W 150MHZ 90149018 21 NPN 高频放大30V 0.05A 0.4W 1000MHZ8050 21 NPN 高频放大40V 1.5A 1W 100MHZ 85508550 21 PNP 高频放大40V 1.5A 1W 100MHZ 80502N2222 21 NPN 通用60V 0.8A 0.5W 25/200NS2N2369 4A NPN 开关40V 0.5A 0.3W 800MHZ2N2907 4A NPN 通用60V 0.6A 0.4W 26/70NS2N3055 12 NPN 功率放大100V 15A 115W MJ29552N3440 6 NPN 视放开450V 1A 1W 15MHZ 2N66092N3773 12 NPN 音频功放160V 16A 50W2N3904 21E NPN 通用60V 0.2A2N2906 21C PNP 通用40V 0.2A2N2222A 21铁NPN 高频放大75V 0.6A 0.625W 300MHZ2N6718 21铁NPN 音频功放100V 2A 2W2N5401 21 PNP 视频放大160V 0.6A 0.625W 100MHZ 2N5551 2N5551 21 NPN 视频放大160V 0.6A 0.625W 100MHZ 2N5401 2N5685 12 NPN 音频功放60V 50A 300W2N6277 12 NPN 功放开180V 50A 250W9012 21 PNP 低频放大50V 0.5A 0.625W 90132N6678 12 NPN 音频功放650V 15A 175W 15MHZ9012 贴片PNP 低频放大50V 0.5A 0.625W 90133DA87A 6 NPN 视频放大100V 0.1A 1W3DG6B 6 NPN 通用20V 0.02A 0.1W 150MHZ3DG6C 6 NPN 通用25V 0.02A 0.1W 250MHZ3DG6D 6 NPN 通用30V 0.02A 0.1W 150MHZMPSA42 21E NPN 电话视频300V 0.5A 0.625W MPSA92 MPSA92 21E PNP 电话视频300V 0.5A 0.625W MPSA42 MPS2222A 21 NPN 高频放大75V 0.6A 0.625W 300MHZ 9013 贴片NPN 低频放大50V 0.5A 0.625W 90123DK2B 7 NPN 开关30V 0.03A 0.2W3DD15D 12 NPN 电源开关300V 5A 50W3DD102C 12 NPN 电源开关300V 5A 50W3522V 5V稳压管A634 28E PNP 音频功放40V 2A 10WA708 6 PNP 音频开关80V 0.7A 0.8WA715C 29 PNP 音频功放35V 2.5A 10W 160MHZA733 21 PNP 通用50V 0.1A 180MHZA741 4 PNP 开关20V 0.1A 70/120NSA781 39B PNP 开关20V 0.2A 80/160NSA928 ECB PNP 通用20V 1A 0.25WA933 21 PNP 通用50V 0.1A 140MHZA940 28 PNP 音频功放150V 1.5A 25W 4MHZ C2073A966 21 PNP 音频激励30V 1.5A 0.9W 100MHZ C2236A950 21 PNP 通用30V 0.8A 0.6WA968 28 PNP 音频功放160V 1.5A 25W 100MHZ C2238A1009 BCE PNP 功放开关350V 2A 15WA1220P 29 PNP 音频功放120V 1.5A 20W 150MHZA1013 21 PNP 视频放大160V 1A 0.9W C2383A1015 21 PNP 通用60V 0.1A 0.4W 8MHZ C18152N6050 12 PNP 音频功放60V 12A 150W2N6051 12 PNP 音频功放80V 12A 150WA1175 PNP 通用60V 0.10A 0.25W 180MHZA1213 贴片PNP 超高频50V 0.15A 80MHZA719 ECB PNP 通用30V 0.50A 0.625W 200MHZB12 G-PNP 音频30V 0.05A 0.05WB1114 ECB PNP 通用贴20V 2A 180MHZB205 锗管PNP 音频功放80V 20A 80WB1215 BCE PNP 功放开关120V 3A 20W 130MHZC294 6 NPN 栾生对管25V 0.05A 200MHZC1044 6 NPN 视放45V 0.3A 2.2GHZC1216 6 NPN 高速开关40V 0.2A T,20nSC1344 ECB NPN 通用低噪30V 0.10 230MHZC1733 6 NPN 栾生对管30V 0.05A 2GHZC1317 21ECB NPN 通用30V 0.5A 0.625W 200MHZC546 21ECB NPN 高放30V 0.03A 0.15W 600MHZC680 11 NPN 音频功放200V 2A 30W 20MHZC665 12 NPN 音频功放125V 5A 50W 15MHZC4581 BCE NPN 电源开关600V 10A 65W 20MHZ.C4584 BCE NPN 电源开关1200V 6A 65W 20MHZC4897 BCE NPN 行管1500V 20A 150WC4928 BCE NPN 行管1500V 15A 150WC5411 BCE NPN 彩显行管1 1500V 14A 60WHQ1F3P 贴片NPN 功放开关20V 2A 2WTIP132 28 NPN 音频功放100V 8A 70W TIP137A1020 21 PNP 音频开50V 2A 0.9WA1123 21 PNP 低噪放大150V 0.05A 0.75WA1162 21D PNP 通用贴50V 0.15A 0.15WA1216 BCE PNP 功放开关180V 17A 200W 20MHZ C2922 A1265 BCE PNP 功放开关140V 10A 100W 30MHZ C3182 A1295 BCE PNP 功放开关230V 17A 200W 30MHZ C3264 A1301 BCE PNP 功放开关160V 12A 120W 30MHZ C3280 C3280 BCE NPN 功放开关160V 12A 120W 30MHZ A1301A1302 BCE PNP 功放开关200V 15A 120W 30MHZ C3281 C3281 BCE NPN 功放开关200V 15A 120W 30MHZ A1302 A1358 BCE PNP 120V 1A 10W 120MHZA1444 BCE PNP 高速电源100V 15A 30W 80MHZA1494 BCE PNP 功放开关200V 17A 200W 20MHZ C3858 A1516 BCE PNP 功放开关180V 12A 130W 25MHZA1668 BCE PNP 电源开关200V 2A 25W 20MHZA1785 BCE PNP 驱动120V 1A 1W 140MHZA1941 BCE PNP 音频功放140V 10A 100W C5198C5198 BCE NPN 音频功放140V 10A 100W A1941A1943 BCE PNP 功放开关230V 15AA 150W C5200C5200 BCE NPN 功放开关230V 15A 150W A1943A1988 BCE PNP 功放开关B449 锗12 PNP 功放开关50V 3.5A 22.5WB647 21 PNP 通用120V 1A 0.9W 140MHZ D667D667 21 NPN 通用120V 1A 0.9W 140MHZ B649B1375 BCE PNP 音频功放60V 3A 2W 9MHZD40C BCE NPN对讲机用40V 0.5A 40W 75MHB688 BCE PNP 音频功放120V 8A 80W D718B734 39B PNP 通用60V 1A 1W D774B649 29 PNP 视放180V 1.5A 20W D669D669 29 NPN 视频放大180V 1.5A 20W 140MHZ B649B669 28 PNP 达林顿功70V 4A 40WB675 28 PNP 达林顿功60V 7A 40WB673 28 PNP 达林顿功100V 7A 40WB631K 29 PNP 音频功放120V 1A 8W 130MHZ D600KD600K 29 NPN 音频功放120V 1A 8W 130MHZ B631KC3783 BCE NPN 高压高速900V 5A 100WB1400 28B PNP 达林顿功120V 6A 25W D1590B744 29 PNP 音频功放70V 3A 10WB1020 28 PNP 功放开关100V 7A 40WB1240 39B PNP 功放开40V 2A 1W 100MHZB1185 28B PNP 功放开60V 3A 25W 70MHZ D1762B1079 30 PNP 达林顿功100V 20A 100W D1559B772 29 PNP 音频功放40V 3A 10W D882B774 21 PNP 通用30V 0.1A 0.25WB817 30 PNP 音频功放160V 12A 100W D1047B834 28 PNP 功放开关60V 3A 30WB1316 54B PNP 达林顿功100V 2A 10WB1317 BCE PNP 音频功放180V 15A 150W D1975B1494 BCE PNP 达林顿功120V 20A 120W D2256B1429 BCE PNP 功放开关180V 15A 150WC380 21 NPN 高频放大35V 0.03A 250MHZC458 21 NPN 通用30V 0.1A 230MHZC536 21 NPN 通用40V 0.1A 180MHZ2N6609 12 PNP 音频功放160V 15A 150W >2MHZ 2N3773 C3795 BCE NPN 高压高速900V 5A 40WC2458 21ECB NPN 通用低噪50V 0.15A 0.2WC3030 BCE NPN 开关管900V 7A 80W. 达林顿C3807 BCE NPN 低噪放大30V 2A 1.2W 260MHZC3858 BCE NPN 功放开关200V 17A 200W 20MHZ A1494 D985 29 NPN 达林顿功150V ±1.5A 10WC2036 29 NPN 高放低噪80V 1A 1-4WC2068 28E NPN 视频放大300V 0.05A 1.5W 80MHZC2073 28 NPN 功率放大150V 1.5A 25W 4MHZ A940C3039 28 NPN 电源开关500V 7A 50WC3058 12 NPN 开关管600V 30A 200WC3148 28 NPN 电源开关900V 3A 40WC3150 28 NPN 电源开关900V 3A 50WC3153 30 NPN 电源开关900V 6A 100WC3182 30 NPN 功放开关140V 10A 100W A1265C3198 21 NPN 高频放大60V 0.15A 0.4W 130MHZ3DK4B 7 NPN 开关40V 0.8A 0.8W3DK7C 7 NPN 开关25V 0.05A 0.3W3D15D 12 NPN 电源开关300V 5A 50WC2078 28 NPN 音频功放80V 3A 10W 150MHZC2120 21 NPN 通用30V 0.8A 0.6WC2228 21 NPN 视频放大160V 0.05A 0.75WC2230 21 NPN 视频放大200V 0.1A 0.8WC2233 28 NPN 音频功放200V 4A 40WC2236 21 NPN 通用30V 1.5A 0.9W A966C1733 小铁NPN 孪生对管30V 2GHZC1317 21EBC NPN 通用30V 0.5A 0.625W 200MHZC2238 28 NPN 音频功放160V 1.5A 25W 100MHZ A968C752 21 NPN 通用30V 0.1A 300MHZC815 21 NPN 通用60V 0.2A 0.25WC828 21 NPN 通用45V 0.05A 0.25WC900 21 NPN 低噪放大30V 0.03A 100MHZC945 21 NPN 通用50V 0.1A 0.5W 250MHZC1008 21 NPN 通用80V 0.7A 0.8W 50MHZC1162 21 NPN 音频功放35V 1.5A 10WC1213 39B NPN 监视器专30V 0.5A 0.4WC1222 21 NPN 低噪放大60V 0.1A 100MHZC1494 40A NPN 发射36V 6A PQ=40W 175MHZC1507 28 NPN 视放300V 0.2A 15WC1674 21 NPN HF/ZF 30V 0.02A 600MHZC1815 21 NPN 通用60V 0.15A 0.4W 8MHZ A1015C1855 21F NPN HF/ZF 20V 0.02A 550MHZC1875 12 NPN 彩行1500V 3.5A 50WC1906 21 NPN 高频放大30V 0.05A 1000MHZC1942 12 NPN 彩行1500V 3A 50WC1959 21 NPN 通用30V 0.4A 0.5W 300MHZC1970 28 NPN 手机发射40V 0.6A PQ=1.3W 175MHZ C1971 28A NPN 手机发射35V 2A PQ-7.0W 175MHZ C1972 28A NPN 手机发射35V 3.5A PQ=15W 175MHZ C2320 21 NPN 通用50V 0.2A 0.3W 200MHZC2012 21 NPN 高放30V 0.03A 200MHZC2027 12 NPN 行管1500V 5A 50WD814 BCE NPN 低噪放大150V 0.05A 150MHZC5142 BCE NPN 彩行1500V 20A 200WD998 BCE NPN 音频功放120V 10A 80W <1/3USD2253 BCE NPN 彩显行管1700V 6A 50WD110 12 NPN 音频功放130V 10A 100W 1MHZC2335 28 NPN 视频功500V 7A 40WC2373 28 NPN 功放200V 7.5A 40WC2383 21 NPN 视频开关160V 1A 0.9W A1013C3300 30 NPN 音频功放100V 15A 100WC3310 28C NPN 电源开关500V 5A 40WC3320 28C NPN 电源开头500V 15A 80WC3355 21F NPN 高频放大20V 0.1A 6500MHZC3358 40B NPN 高频放大20V 0.1A 7000MHZC3457 BCE NPN 电源开关1100V 3A 50WC3460 BCE NPN 电源开关1100V 6A 100WC3466 BCE NPN 电源开关1200V 8A 120WC3505 28B NPN 电源开关900V 6A 80WC3527 BCE NPN 电源开关500V 15A 100WC3528 BCE NPN 电源开关500V 20A 150WC3866 BCE NPN 高压高速900V 3A 40WC2443 大铁NPN 功放开关600V 50A 400WC2481 29 NPN 音频功放150V 1.5A 20WC2482 21 NPN 视频放大300V 0.1A 0.9WC2500 21 NPN 通用30V 2A 0.9W 150MHZC2594 29 NPN 音频功放40V 5A 10WC2611 29 NPN 视频放大300V 0.1A 1.25WC2625 30 NPN 音频功放450V 10A 80WC2682 29 NPN NF/Vid 180V 0.1A 8WC2688 29 NPN 视放管300V 0.2A 10W 80MHZC2690 29 NPN 音频功放120V 1.2A 20W 150MHZ A1220P C2751 BCE NPN 电源开关500V 15A 120WC2837 30 NPN 音频功放150V 10A 100WC3873 BCE NPN 高压高速500V 12A 75W 30MHZC3886 BCE NPN 开关行1400V 8A 50W 8MHZC3893 28B NPN 行管1400V 8A 50W 8MHZC3907 28B NPN 功放开关180V 12A 130W 30MHZC3595 29 NPN 射频30V 0.5A 1.2WC4059 BCE NPN 高速开关600V 15V 130W 0.5/2.2USC4106 BCE NPN 电源开关500V 7A 50W 20MHZ?C4111 BCE NPN 开关行1500V 10A 150WC3679 BCE NPN 电源开关900V 5A 100W 6MHZC2898 28 NPN 音频功放500V 8A 50WC2922 43 NPN 音频功放180V 17A 200W 50MHZ A1216 C3026 12 NPN 开关管1700V 5A 50WD986 29 NPN 达林顿功150-80V ±1.5A 10WC3262 BCE NPN 功放800V 10A 100WC3264 BCE NPN PA功放230V 17A 200WB=170 A1295 C3280 30 NPN 音频功放160V 12A 120WB=100C3281 30 NPN 音频功放200V 15A 150W 30MHZC3680 BCE NPN 电源开关900V 7A 120W 6MHZC3688 BCE NPN 彩行1500V 10A 150WC3720 12 NPN 彩行1200V 10A 200WC3953 29 NPN 视放120V 0.2A 1.3W 400MHZC3987 28 NPN 达林顿50V 3A 20WC3995 BCE NPN 行管1500V 12A 180WD1025 28 NPN 达林顿功200V 8A 50WC3997 BCE NPN 行管1500V 15A 250WC3998 BCE NPN 行管1500V 25A 250WC4024 BCE NPN 功放开关100V 10A 35W 24MHZC4038 BCE NPN 门电路50V 0.1A 0.3W 180MHZD1037 BCE NPN 音频功放150V 30A 180WD1047 30 NPN 音频功放160V 12A 100W B817C4119 BCE NPN 微波炉1500V 15A 250WC4231 50C NPN 音频功放800V 2A 30WC4237 BCE NPN 高压高速1000V 8A 120W 30MHZC4242 BCE NPN 高压高速450V 7A 40WC4297 BCE NPN 电源开关500V 12A 75W 10MHZC4429 BCE NPN 电源开关1100V 8A 60WC4517 BCE NPN 音频功放550V 3A 30W 6MHZC4532 BCE NPN 大屏行管1700V 10A 200WC4582 BCE NPN 电源开关600V 15A 75W 20MHZON4673 BCE NPNON4873 BCE NPNC5244 BCE NPN 彩行1700V 15A 200WC5249 BCE NPN 功放开关600V 3A 35W 6MHZC5250 BCE NPN 开关1000V 7A 100WC5251 BCE NPN 彩行1500V 12A 50WD1071 28 NPN 达林顿功300V 6A 40WC4706 BCE NPN 电源开关900V 14A 130W 6MHZC4382 BCE NPN 功放开关200V 2A 25W 20MHZ A1668 C4742 46 NPN 彩行1500V 6A 50WC4745 46 NPN 彩行1500V 6A 50WC4747 46 NPN 彩行1500V 10A 50WC4769 BCE NPN 微机行管1500V 7A 60WC4913 BCE NPN 大屏视放2000V 0.02A 35WC4924 BCE NPN 音频功放800V 10A 70WC4927 BCE NPN 行管1500V 8A 50WC4927 BCE NPN SONY29行1500V 8A 50WC4941 BCE NPN 行管1500V 6A 65W 500/380NSC4953 BCE NPN 功放开关500V 2A 25W t=300nSC5020 BCE NPN 彩行1000V 7A 100WC5068 BCE NPN 彩行1500V 10A 50WC5086 BCE NPN 彩行1500V 10A 50WC5088 BCE NPN 彩行1500V 10A 50WC5129 BCE NPN 彩显行管1500V 8A 50WD1163A 28 NPN 行偏转用350V 7A 40W 60MHZD1175 12 NPN 行偏转用1500V 5A 100WC5132 BCE NPN 彩行1500V 16A 50WC5144 BCE NPN 大屏彩行1700V 20A 200WC5148 BCE NPN 大屏彩行1500V 8A 50WC5149 BCE NPN 高速高频1500V 8A 50WC5198 BCE NPN 功放开关140V 10A 100WC5200 BCE NPN 功放开关230V 15A 150W A1943D1273 28 NPN 音频功放80V 3A 40W 50MHZC5207 BCE NPN 彩行1500V 10A 50WC5243 BCE NPN 彩行1700V 15A 200WC5252 BCE NPN 彩行1500V 15A 100WC5294 BCE NPN 彩行1500V 20A t=200MSC5296 BCE NPN 开关管1500V 8A 80WC5297 BCE NPN 开关管1500V 16A 60WC5331 BCE NPN 大屏彩显1500V 15A 180WD325 BCE NPN 功放开关50V 3A 25WD385 11 NPN 达林顿功100V 7A 30WD400 21 NPN 通用25V 1A 0.75WD1302 21 NPN 音频25V 0.5A 0.5W 200MHZD1397 BCE NPN 开关1500V 3.5A 50W 3MHZD1398 BCE NPN 开关1500V 5A 50W 3MHZD1403 BCE NPN 彩行1500V 6A 120WD401 28 NPN 音频功放200V 2A 20WD415 29 NPN 音频功放120V 0.8A 5WD438 21 NPN 通用500V 1A 0.75W 100MHZD560 BCE NPN 达林顿功150V 5A 30WD637 39E NPN 通用60V 0.1A 150MHZD667 21 NPN 视频放大120V 1A 0.9W 140MHZ B647 D1403 BCE NPN 彩行1500V 6A 120WD1415 BCE NPN 功放电源100V 7A 40W 达林顿D718 30 NPN 音频功放120V 8A 80W B668D774 39B NPN 通用100V 1A 1W B734D789 21 NPN 音频输出100V 1A 0.90D820 12 NPN 彩行1500V 5A 50WD870 12 NPN 彩行1500V 5A 50WD880 28 NPN 音频功放60V 3A 10WD882 29 NPN 音频功放40V 3A 30W B772D884 28 NPN 音频功放330V 7A 40WD898 12 NPN 彩行1500V 3A 50WD951 12 NPN 彩行1500V 3A 65WD965 21 NPN 音频40V 5A 0.75WD966 21 NPN 音频40V 5A 1WD633拆28 NPN 音频功放100V 7A 40W达林顿D1431 28B NPN 彩行1500V 5A 80WD1433 28B NPN 彩行1500V 7A 80WD1980 61B NPN 达林顿100V 2A 10WD1981 EBC NPN 达林顿100V 2A 1WD1993 45B NPN 音频低噪55V 0.1A 0.4WD1416 BCE NPN 功放电源80V 7A 40W 达林顿D1427 BCE NPN 彩行1500V 5A 80W 带阻尼BU2525AF 30 NPN 开关功放1500V 12A 150W 350NS D1428 28B NPN 彩行1500V 6A 80W 带阻尼BU2525AX 30 NPN 开关功放1500V 12A 150W 350NS D1439 BCE NPN 彩行1500V 3A 80WD1541 28B NPN 彩行1500V 3A 80WD1545 28B NPN 彩行1500V 5A 50WD1547 BCE NPN 彩行1500V 7A 80WBU2527AF 30 NPN 开关功放1500V 15A 150WD1554 BCE NPN 彩行1500V 3.5A 80WD1555 BCE NPN 彩行1500V 5A 80WD1556 BCE NPN 彩行1500V 6A 80WD1559 BCE NPN 达林顿功100V 20A 100W B1079D1623 28B NPN 彩行1500V 4A 70WD1640 29 NPN 达林顿功120V 2A 1.2WD1651 SP NPN 彩行1500V 5A 60W 3MHZD1710 BCE NPN 彩行1500V 5A 50WD1718 28C NPN 音频功放180V 15A 150W 20MHZD1762 BCE NPN 音频功放60V 3A 25W 90MHZ B1185 D1843 BCE NPN 低噪50V 1A 1WD1849 50A NPN 彩行1500V 7A 120WD1850 50A NPN 彩行1500V 7A 120WD1859 50A NPN 音频80V 0.7A 1W 120MHZD1863 50A NPN 音频120V 1A 1W 100MHZD1724 29 NPN 开关120V 3A 180MHZD1877 30 NPN 彩行1500V 4A 50W 带阻尼D1879 30 NPN 彩行1500V 6A 60W 带阻尼D1887 20 NPN 彩行1500V 10 70WD1930 21 NPN 达林顿100V 2A 1.2W 达林顿D1975 53A NPN 音频功放180V 15A 150W B1317BU2532AW 30 NPN 开关功放1500V 15A 150WD1978 21 NPN 达林顿120V 1.5A 0.9WD1994A EBC NPN 音频驱动60V 1A 1WBD237 29 NPN 音频功100V 2A 25W BD238BD238 29 PNP 音频功100V 2A 25W BD237BU2520AF 30 NPN 开关功放1500V 10A 150W 1/500NS BU2520DF 30 NPN 开关功放1500V 10A 150W 1/500NS BU2520DX 30 NPN 开关功放1500V 10A 50W 600NS BUH515 BCE NPN 行管1500V 10A 80WBUH515D BCE NPN 行管1500V 10A 80WBUS13A 12 NPN 开关功放1000V 15A 175WD1997 45B NPN 激励管40V 3A 1.5W 100MHZD2008 EBC NPN 音频功放80V 1A 1.2WD2012 BCE NPN 音频功放60V 3A 2W 3MHZD2136 EBC NPN 功放80V 1A 1.2WD2155 53A NPN 音频功放180V 15A 150WD2256 46 NPN 达林顿功120V 25A 125W B1494D2334 28B NPN 彩行1500V 5A 80WD2335 BCE NPN 彩行1500V 7A 100W 带阻尼D2349 BCE NPN 大屏彩显1500V ±10A 50WD1959 BCE NPN 彩行1400V 10A 50WD2374 BCE NPN 功放开关60V 3A 25W 30MHZD2375 BCE NPN 高放大倍80V 3A 25W 50MHZD2388 EBC NPN 达林顿90V 3A 1.2WD2445 BCE NPN 彩行1500V 12.5A 120WD2588 BCE NPN 点火器用DK55 BCE NPN 开关400V 4A 60WBC307 21a PNP 通用50V 0.2A 0.3WBC327 CBE PNP 低噪音50V 0.8A 0.625W BC337BC337 21a NPN 音频激励50V 0.8A 0.625W BC327BC338 21a NPN 通用激50V 0.8A 0.6WBC546 21a NPN 通用80V 0.2A 0.5WBC547 CBE NPN 通用50V 0.2A 0.5W 300MHZBD135 29 NPN 音频功45V 1.5A 12.5WBD136 29 PNP 音频功45V 1.5A 12.5W BD137BD137 29 NPN 音频功60V 1.5A 12.5W BD136BD138 29 PNP 音频功60V 1.5A 12.5W BD139BD139 29 PNP 音频功80V 1.5A 12.5W BD138BUS14A 12 NPN 开关功放1000V 30A 250WBUT11A 28 NPN 开关功放1000V 5A 100WBD243 28 NPN 音频功45V 6A 65W BD244BD244 28 PNP 音频功45V 6A 65W BD243BD681 29 NPN 达林顿功100V 4A 40W BD682BD682 29 PNP 达林顿功100V 4A 40W BD681BF458 29 NPN 视放250V 0.1A 10WBU208A 12 NPN 彩行1500V 5A 12.5WBU208D 12 NPN 彩行1500V 5A 12.5WBU323 28 NPN 达林顿功450V 10A 125WBU406 28 NPN 行管400V 7A 60WBU508A 28 NPN 行管1500V 7.5A 75WBU508A 28 NPN 行管1500V 7.5A 75WBU508D 28 NPN 行管1500V 7.5A 75WBU806 28 NPN 功放400V 8A 60WBU932R 12 NPN 功放500V 15A 150WBUT12A 28 NPN 开关功放450V 10A 125WBU941 12 NPN 功放开关500V 15A 175W 达林顿BU1508DX 28 NPN 开关功放1500V 8A 35WBU2506DX 30 NPN 开关功放1500V 7A 50W 600NSBU2508AF 30 NPN 开关功放1500V 8A 125W 600NSBU2508AX 30 NPN 开关功放1500V 8A 125W 600NSBU2508DF 30 NPN 开关功放1500V 8A 125W 600NSBU2508DX 30 NPN 开关功放1500V 8A 50W 600NSBUV26 28 NPN 音频功放90V 14A 65W 250NSBU2522AF 30 NPN 开关功放1500V 11A 150W 350NSMJ15024 12 NPN 音频功放400V 16A 250W 4MHZ MJ15025 MJ15025 12 PNP 音频功放400V 16A 250W 4MHZ MJ15024 MJE271 29 PNP 达林顿100V 2A 15W 6MHZBUV28A 28 NPN 音频功放225V 10A 65W 250NSBUV48A 30 NPN 音频功放450V 15A 150WBUW13A 30 NPN 功放开关1000V 15A 150WBUX48 12 NPN 功放开关850V 15A 125WBUX84 30 NPN 功放开关800V 2A 40WBUX98A 12 NPN 功放开关400V 30A 210W 5MHZDK55 28 NPN 功放开关400V 4A 65WDTA114 PNP 10K-10K 160V 0.6A 0.625WDTC143 NPN 录像机用4.7kHPA100 BCE NPN 大屏彩显1500V 10A 150WHPA150 BCE NPN 大屏彩显1500V 15A 150WHSE830 BCE PNP 音频功放80V 115W 1MHZ HSE800HSE838 BCE NPN 音频功放80V 115W 1MHZ HSE830MN650 BCE NPN 行管1500V 6A 80WMJ802 12 NPN 音频功放90V 30A 200W MJ4502MJ2955 12 PNP 音频功放60V 15A 115W MJ3055MJ3055 12 NPN 音频功放60V 15A 115W MJ2955MJ4502 12 PNP 音频功放90V 30A 200W MJ802MJ10012 12 NPN 达林顿400V 10A 175WMJ10015 12 NPN 电源开关400V 50A 200WMJ10016 12 NPN 电源开关500V 50A 200WMJ10025 12 电源开关850V 20A 250WMJ11032 12 NPN 电源开关120V 50A 300W MJ11033MJ11033 12 PNP 电源开关120V 50A 300W MJ11032MJ13333 12 NPN 电源开关400V 20A 175WMJ11015 12 PNP 铁达林顿500V 10AMJ14003 12 PNP 铁MJE340 29 NPN 视放300V 0.5A 20W MJE350MJE350 29 PNP 视放300V 0.5A 20W MJE340MJE2955T BCE PNP 音频功放60V 10A 75W 2MHZ MJE3055T MJE3055T BCE NPN 音频功放70V 10A 75W 2MHZ MJE2955T MJE5822 BCE PNP 音频功放500V 8A 80WMJE9730 BCE NPNMJE13003 29 NPN 功放开关400V 1.5A 14WMJE13005 28 NPN 功放开关400V 4A 60WMJE13007 28 NPN 功放开关1500V 2.5A 60WKSE800 28 NPN 达林顿140V 4A 20WTIP31C BCE NPN 功放开关100V 3A 40W 3MHZ TIP32TIP32C BCE PNP 功放开关100V 3A 40W 3MHZ TIP31TIP35C 30 NPN 音频功放100V 25A 125W 3MHZ TIP36TIP36C 30 PNP 音频功放100V 25A 125W 3MHZ TIP35TIP41C 30 NPN 音频功放100V 6A 65W 3MHZ TIP42TIP42C 30 PNP 音频功放100V 6A 65W 3MHZ TIP41TIP102 28 NPN 音频功放100V 8A 2WTIP105 28 PNP 音频功放60V 15A 80W 达林顿TIP122 28 NPN 音频功放100V 5A 65W TIP127TIP127 28 PNP 音频功放100V 5A 65W TIP122TIP137 28 PNP 音频功放100V 8A 70W TIP132TIP142 30 NPN 音频功放100V 10A 125W TIP147 TIP142大30 NPN 音频功放100V 10A 125W TIP147 TIP147 30 PNP 音频功放100V 10A 125W TIP142 TIP147大30 PNP 音频功放100V 10A 125W TIP142 TIP152 BCE 电梯用达400V 3A 65WTL431 21 电压基准源BT33 电压结晶体管UGN3144 SGO 霍尔开关60MIAL1 电磁/微1000V 60A 300WT30G40 BCE NPN 大功率开400V 30A 300W5609 21 NPN 音频低频50V 0.8A 0.625W 56105610 21 PNP 音频低频50V 0.8A 0.625W 56109626 21 NPN 通用。
常用电阻、二极管、三极管参数资料1.固定电阻器的主要参数固定电阻器的主要参数是标称阻值、允许误差和额定功率。
(1)标称阻值和允许误差电阻器上标志的阻值叫标称值,而实际值与标称值的偏差,除以标称值所得的百分数叫电阻的误差,它反映了电阻器的精度。
不同的精度有一个相应的误差,表1列出了常用电阻器的允许误差等级(精度等级)。
表1 常用电阻器允许误差的等级目前固定电阻器大都为I级或II级普通电阻,而且III级很少,能满足一般应用的要求,02、01、005级的精密电阻器,一般用于测量仪器,仪表及特殊设备电路中。
国家有关部门规定了阻值系列作产品的标准,表2是普通电阻器系列表。
表中的标称值可以乘以10n,例如,4.7这个标称值,就有0.47Ω、4.7Ω、47Ω、470Ω、4.7KΩ……。
选择阻值时必须在相应等级的系列表中进行。
表2 电阻器系列及允许误差(2)电阻器的额定功率电阻器长时间工作允许所加的最大功率叫额定功率。
电阻器的额定功率,通常有1/8、1/4、1/2、1、2、3、5、10瓦等。
表示电阻器额定功率的通用符号见图1。
大于1W的则用阿拉伯数字表示。
2.固定电阻器的主要参数的标志方法(1)电阻器的额定功率、阻值及允许误差一般都标在电阻器上。
额定功率较大的电阻器,一般都将额定功率直接印在电阻器上。
额定功率较小的电阻器,可以从它的几何尺寸和表面面积上看出,一般0.125 w、0.25w电阻器的直径约2.5毫米,长约7-8毫米;0.5W电阻器的直径约4.5毫米,长约10-12毫米。
(2)电阻值及允许误差有三种表示法,即直标法、文字符号法和色标法。
直标法是阻值和允许误差直接标明,如2KΩ±5%;文字符号法是阻值用数字与符号组合在一起表示,组合规律如下:文字符号Ω、K、M前面的数字表示整数阻值,文字符号Ω、K、M后面的数字表示小数点后面的小数阻值。
允许误差用符号、J=±5%、K=±10%、M=±20%。
三极管参数代换表三极管参数大全型号耐压(V) 电流(A) 功率(W) 型号耐压(V) 电流(A) 功率(W) B857 70V 4A 40W BU2508A 1500V 8A 125WBU2508AF 1500V 8A 45W BU2508DF 1500V 8A 45WBU2520AF 1500V 10A 45W BU2520AX 1500V 10A 45WBU2520DF 1500V 10A 45W BU2520DX 1500V 10A 45WBU2522AF 1500V 10A 45W BU2522AX 1500V 10A 45WBU2522DF 1500V 10A 45W BU2522DX 1500V 10A 45WBU2525AF 1500V 12A 45W BU2525AX 1500V 12A 45WBU2527AF 1500V 12A 45W BU2527AX 1500V 12A 45WBU2532AL 1500V 15A 150W BU2532AW 1500V 16A 125WBU2725DX 1700V 12A 45W BU406 400V 5A 60WBU4522AF 1500V 10A 45W BU4522AX 1500V 10A 45WBU4523AF 1500V 11A 45W BU4523AX 1500V 11A 45WBU4525AF 1500V 12A 45W BU4525DF 1500V 12A 45WBU4530AL 1500V 16A 125W BU4530AW 1500V 16A 125WBUH1015 1500V 14A 70W BUH315D 1500V 6A 44WBUT11A 1000V 5A 100W C3039 500V 7A 50WC3886A 1500V 8A 50W C3996 1500V 15A 180WC3997 1500V 20A 250W C3998 1500V 25A 250Wc4242 450V 7A 40W C4288A 1600V 12A 200WC4532 1700V 10A 200W C4634 1500V 0.01A 2WC4686A 1500V 50mA 10W C4762 1500V 7A 50WC4769 1500V 7A 60W C4891 1500V 15A 75WC4897 1500V 20A 150W C4924 1500V 10A 70WC5027 1100V 50W C5039 800V 5A 30WC5045 1600V 15A 75W C5047 1600V 25A 25WC5048 1500V 12A 50W C5086 1500V 10A 50WC5088 1500V 8A 60W C5129 1500V 10A 50WC5142 1500V 20A 200W C5144 1700V 20A 200WC5148 1500V 8A 50W C5149 1500V 8A 50WC5243 1700V 15A 200W C5243 1700V 15A 200WC5244 1500V 20A 200W C5244A 1600V 20A 200WC5250 1500V 8A 50W C5251 1500V 12A 50WC5252 1500V 15A 50W C5294 1500V 20A 120WC5296 1500V 8A 60W C5297 1500V 8A 60WC5301 1500V 20A 120W C5302 1500V 15A 75WC5331 1500V 15A 180W C5386 1500V 7A 50WC5387 1500V 10A 50W C5404 1500V 9A 50WC5404 1500V 9A 50W C5406 1500V 14A 100WC5407 1700V 15A 100W C5411 1500V 14A 60WC5423 1700V 15A 100W C5440 1500V 15A 60WC5445 1500V 25A 200W C5446 1700V 18A 200WC5449 1500 12A 50W C5515 1500V 17AC5516 1500V 20A C5521 1500V 13A 50WC5552 1700V 16A 65W C5570 1700V 28A 220WC5583 1500V 17A 150W C5584 1500V 20A 150WC5587 1500V 17A 75W C5589 1500V 18A 200WC5597 1700V 22A 200W C5612 2000V 22A 220WC5686 2000V 20A 70W C5801 1500V 8A 50W 48kHzC5802 1500V 10A 60W 69KHz C5803 1500V 12A 70W 84KHz C5855 1500V 12A 50W C5904 1500V 17AC5905 1700V 20A C5914 1500V 12AC5928 约13A C5929 约15AC5931 1700V 15A 8 D1088 300V 6A 30W B>2000D1273-P NPN 80V 3A 40W D1878 1500V 5A 60WD1879 1500V 6A 60W D2058 60V 3A 25WD2356 1500V 20A 200W D5703 1500V 10A 70WHPA100 1500V 10A 150W HPA150 1500V 15A 150WJ5804 1500V 14A J6810 1500V 10AJ6812 1500V 12A 60W J6815 1500V 15A 60WJ6820 1500V 20A 60W J6825 1500V 25A 150WJ6910 1700V 10A 60W J6916 1700V 16A 60WJ6920 1700V 20A 60W MJE13007 NPN 700V 80WMJE13009 NPN 700V 100W MJL16218 1500V 15A 170W MJW16212 1500V 10A ST2001 1500V 10A 55WST2310FX 1500V 12A TIP102 NPN 100V 8A 80WTIP122 NPN 100V 5A 65W TIP127 PNP 100V 8A 65WTIP31C NPN 100V 3A 40W TIP32C PNP 100V 3A 40WTIP41C NPN 100V 6A 65W TIP42 PNP 40V 6A 65WTIP42A PNP 60V 6A 65W TIP42C PNP 100V 6A 65WTIP50C 400V 1A 40W用大功率高耐压场效应管参数114种2SK534 800 5 100 2SK1045 900 5 1502SK538 900 3 100 2SK1081 800 7 1252SK557 500 12 100 2SK1082 800 6 1252SK560 500 15 100 2SK1119 1000 4 1002SK56 500 9 125 2SK1120 1000 8 1502SK566 800 3 78 2SK1198 800 3 752SK644 500 10 125 2SK1249 500 15 1302SK719 900 5 120 2SK1250 500 20 1502SK725 500 15 125 2SK1271 1400 15 2402SK727 900 5 125 2SK1280 500 18 1502SK774 500 18 120 2SK1341 900 5 1002SK785 500 20 150 2SK1342 900 8 1002SK787 900 8 150 2SK1357 900 5 1252SK788 500 13 150 2SK1358 900 9 1502SK790 500 15 150 2SK1451 900 5 1202SK955 800 9 150 2SK1498 500 20 1202SK962 900 8 150 2SK1500 500 25 1602SK1019 500 30 300 2SK1502 900 7 1202SK1020 500 30 300 2SK1512 850 10 1502SK1531 500 15 150 IRFP150 100 41 1802SK1537 900 5 100 IRFP151 60 19 1802SK1539 900 10 150 IRFP240 200 31 1502SK1563 500 12 150 IRFP250 200 31 1802SK1649 900 6 100 IRFP251 150 33 1802SK1794 900 6 150 IRFP254 250 23 1802SK2038 900 6 125 IRFP350 400 16 180IRF350 500 13 150 IRFP351 350 16 180IRF360 400 25 300 IRFP360 400 23 250IRF440 500 8 125 IRFP450 500 14 180IRF450 500 13 150 IRFP451 450 14 180IRF451 450 13 150 IRFP452 500 12 180IRF460 500 21 300 IRFP460 500 20 250IRF740 400 10 125 MTH8N50 500 8 120IRF820 500 2.5 50 MTH8N60 600 8 120IRF834 500 5 100 MTH10N50 500 10 120IRF840 500 8 125 MTH12N50 500 12 120IRF841 450 8 125 H12N45 450 12 120IRF842 500 7 125 H13N50 500 13 150MTH14N50 500 14 150 MTP5N45 450 5 75MTH20N20 200 20 120 MTP5N50 500 5 75MTH25N20 200 25 150 MTP6N60 600 6 125 MTH30N10 100 30 120 IXGH10N100 1000 10 100 MTH35N15 150 35 150 IXGH15N100 1000 15 150 MTH40N10 100 40 150 IXGH20N60 600 20 150 MTM6N80 800 6 120 IXGH25N100 1000 25 200 MTM6N90 900 6 150 GH30N60 600 30 180MTM8N50 500 8 100 GH30N100 1000 30 250 MTM8N90 900 8 150 GH40N60 600 40 200MTM10N20 200 10 75 IXTH24N50 500 24 250 MTM20N20 200 20 125 IXTH30N20 200 30 180 MTM25N10 100 25 100 IXTH30N30 300 30 180 MTM30N10 100 30 120 IXTH30N50 500 30 300 MTM40N10 100 40 150 IXTH40N30 300 40 250 MTP3N60 600 3 75 IXTH50N10 100 50 150MTP3N100 1000 3 75 IXTH50N20 200 50 150MTP4N60 600 4 50 IXTH67N10 100 67 200MTP4N80 800 4 50 IXTH75N10 100 75 13553D633 NPN 音频功放100V 达林顿7A 40W 达林顿9013 NPN 低频放大50V 0.5A 0.625W 90129014 NPN 低噪放大50V 0.1A 0.4W 150HMZ 90159015 PNP 低噪放大50V 0.1A 0.4W 150MHZ 90149018 NPN 高频放大30V 0.05A 0.4W 1000MHZ8050 NPN 高频放大40V 1.5A 1W 100MHZ 85508550 PNP 高频放大40V 1.5A 1W 100MHZ 80502N2222 NPN 通用60V 0.8A 0.5W 25/200NS2N2369 NPN 开关40V 0.5A 0.3W 800MHZ2N2907 NPN 通用60V 0.6A 0.4W 26/70NS2N3055 NPN 功率放大100V 15A 115W MJ29552N3440 NPN 视放450V 1A 1W 15MHZ 2N66092N3773 NPN 音频功放160V 16A 50W2N3904 NPN 通用60V 0.2A2N2906 PNP 通用40V 0.2A2N2222A NPN 高频放大75V 0.6A 0.625W 300MHZ2N6718 NPN 音频放大100V 2A 2W2N5401 PNP 视频放大160V 0.6A 0.625W 100MHZ 2N5551 2N5551 NPN 视频放大160V 0.6A 0.625W 100MHZ 2N5401 2N5685 NPN 音频功放60V 50A 300W2N6277 NPN 功放180V 50A 250W9012 PNP 低频放大50V 0.5A 0.625W 90132N6678 NPN 音频功放650V 15A 175W 15MHZ9012 PNP 低频放大50V 0.5A 0.625W 90133DA87A NPN 视频放大100V 0.1A 1W3DG6B NPN 通用20V 0.02A 0.1W 150MHZ3DG6C NPN 通用25V 0.02A 0.1W 250MHZ3DG6D NPN 通用30V 0.02A 0.1W 150MHZMPSA42 NPN 电话视频300V 0.5A 0.625W MPSA92MPSA92 PNP 电话视频300V 0.5A 0.625W MPSA42MPS2222ANPN 高频放大75V 0.6A 0.625W 300MHZ9013 NPN 低频放大50V 0.5A 0.625W 90123DK2B NPN 开关30V 0.03A 0.2W3DD15D NPN 电源开关300V 5A 50W3DD102C NPN 电源开关300V 5A 50W3522V 稳压管5VA634 PNP 音频功放40V 2A 10WA708 PNP 音频开关80V 0.7A 0.8WA715C PNP 音频功放35V 2.5A 10W 160MHZA733 PNP 通用50V 0.1A 180MHZA741 PNP 开关20V 0.1A 70/120NSA781 PNP 开关20V 0.2A 80/160NSA928 PNP 通用20V 1A 0.25WA933 PNP 通用50V 0.1A 140MHZA940 PNP 音频功放150V 1.5A 25W 4MHZ C2073 A966 PNP 音频激励30V 1.5A 0.9W 100MHZ C2236 A950 PNP 通用30V 0.8A 0.6WA968 PNP 音频功放160V 1.5A 25W 100MHZ C2238 A1009 PNP 功放开关350V 2A 15WA1220P PNP 音频功放120V 1.5A 20W 150MHZA1013 PNP 视频放大160V 1A 0.9W C2383A1015 PNP 通用60V 0.1A 0.4W 8MHZ C18152N6050 PNP 音频功放60V 12A 150W2N6051 PNP 音频功放80V 12A 150W名称极性功能耐压V 电流A 功率W 频率配对管A1175 PNP 通用60V 0.10A 0.25W 180MHZA1213 PNP 超高频50V 0.15A 80MHZA719 PNP 通用30V 0.50A 0.625W 200MHZB12 PNP 音频30V 0.05A 0.05WB1114 PNP 通用20V 2A 180MHZB205 PNP 音频功放80V 20A 80WB1215 PNP 功放开关120V 3A 20W 130MHZC294 NPN 栾生对管25V 0.05A 200MHZC1044 NPN 视放45V 0.3A 2.2GHZC1216 NPN 高速开关40V 0.2A T,20nSC1344 NPN 通用低噪30V 0.10 230MHZC1733 NPN 栾生对管30V 0.05A 2GHZC1317 NPN 通用30V 0.5A 0.625W 200MHZC546 NPN 高放30V 0.03A 0.15W 600MHZC680 NPN 音频功放200V 2A 30W 20MHZC665 NPN 音频功放125V 5A 50W 15MHZC4581 NPN 电源开关600V 10A 65W 20MHZC4584 NPN 电源开关1200V 6A 65W 20MHZC4897 NPN 行管1500V 20A 150WC4928 NPN 行管1500V 15A 150WC5411 NPN 彩显行管1500V 14A 60WHQ1F3P NPN 功放开关20V 2A 2WTIP132 NPN 音频功放100V 8A 70W TIP137A1020 PNP 音频50V 2A 0.9WA1123 PNP 低噪放大150V 0.05A 0.75WA1162 PNP 通用50V 0.15A 0.15WA1216 PNP 功放开关180V 17A 200W 20MHZ C2922 A1265 PNP 功放开关140V 10A 100W 30MHZ C3182 A1295 PNP 功放开关230V 17A 200W 30MHZ C3264 A1301 PNP 功放开关160V 12A 120W 30MHZ C3280C3280 NPN 功放开关160V 12A 120W 30MHZ A1301 A1302 PNP 功放开关200V 15A 120W 30MHZ C3281 C3281 NPN 功放开关200V 15A 120W 30MHZ A1302 A1358 PNP 120V 1A 10W 120MHZA1444 PNP 高速电源100V 15A 30W 80MHZA1494 PNP 功放开关200V 17A 200W 20MHZ C3858 A1516 PNP 功放开关180V 12A 130W 25MHZA1668 PNP 电源开关200V 2A 25W 20MHZA1785 PNP 驱动120V 1A 1W 140MHZA1941 PNP 音频功放140V 10A 100W C5198C5198 NPN 音频功放140V 10A 100W A1941A1943 PNP 功放开关230V 15AA 150W C5200C5200 NPN 功放开关230V 15A 150W A1943A1988 PNP 功放开关B449 PNP 功放开关50V 3.5A 22.5WB647 PNP 通用120V 1A 0.9W 140MHZ D667D667 NPN 通用120V 1A 0.9W 140MHZ B649B1375 PNP 音频功放60V 3A 2W 9MHZD40C NPN 对讲机用40V 0.5A 40W 75MHB688 PNP 音频功放120V 8A 80W D718B734 PNP 通用60V 1A 1W D774B649 PNP 视放180V 1.5A 20W D669D669 NPN 视频放大180V 1.5A 20W 140MHZ B649 B669 PNP 达林顿功70V 4A 40WB675 PNP 达林顿功60V 7A 40WB673 PNP 达林顿功100V 7A 40WB631K PNP 音频功放120V 1A 8W 130MHZ D600K D600K NPN 音频功放120V 1A 8W 130MHZ B631K C3783 NPN 高压高速900V 5A 100WB1400 PNP 达林顿功120V 6A 25W D1590B744 PNP 音频功放70V 3A 10WB1020 PNP 功放开关100V 7A 40WB1240 PNP 功放40V 2A 1W 100MHZB1185 PNP 功放60V 3A 25W 70MHZ D1762B1079 PNP 达林顿功100V 20A 100W D1559B772 PNP 音频功放40V 3A 10W D882B774 PNP 通用30V 0.1A 0.25WB817 PNP 音频功放160V 12A 100W D1047B834 PNP 功放开关60V 3A 30WB1316 PNP 达林顿功100V 2A 10WB1317 PNP 音频功放180V 15A 150W D1975B1494 PNP 达林顿功120V 20A 120W D2256B1429 PNP 功放开关180V 15A 150WC380 NPN 高频放大35V 0.03A 250MHZC458 NPN 通用30V 0.1A 230MHZC536 NPN 通用40V 0.1A 180MHZ2N6609 PNP 音频功放160V 15A 150W >2MHZ 2N3773 C3795 NPN 高压高速900V 5A 40WC2458 NPN 通用低噪50V 0.15A 0.2WC3030 NPN 开关管900V 7A 80W 达林顿C3807 NPN 低噪放大30V 2A 1.2W 260MHZC3858 NPN 功放开关200V 17A 200W 20MHZ A1494D985 NPN 达林顿功150V ±1.5A 10WC2036 NPN 高放低噪80V 1A 1-4WC2068 NPN 视频放大300V 0.05A 1.5W 80MHZC2073 NPN 功率放大150V 1.5A 25W 4MHZ A940C3039 NPN 电源开关500V 7A 50WC3058 NPN 开关管600V 30A 200WC3148 NPN 电源开关900V 3A 40WC3150 NPN 电源开关900V 3A 50WC3153 NPN 电源开关900V 6A 100WC3182 NPN 功放开关140V 10A 100W A1265C3198 NPN 高频放大60V 0.15A 0.4W 130MHZ3DK4B NPN 开关40V 0.8A 0.8W3DK7C NPN 开关25V 0.05A 0.3W3D15D NPN 电源开关300V 5A 50WC2078 NPN 音频功放80V 3A 10W 150MHZC2120 NPN 通用30V 0.8A 0.6WC2228 NPN 视频放大160V 0.05A 0.75WC2230 NPN 视频放大200V 0.1A 0.8WC2233 NPN 音频功放200V 4A 40WC2236 NPN 通用30V 1.5A 0.9W A966C1733 NPN 孪生对管30V 2GHZC1317 NPN 通用30V 0.5A 0.625W 200MHZC2238 NPN 音频功放160V 1.5A 25W 100MHZ A968C752 NPN 通用30V 0.1A 300MHZ名称极性功能耐压V 电流A 功率W 频率配对管C815 NPN 通用60V 0.2A 0.25WC828 NPN 通用45V 0.05A 0.25WC900 NPN 低噪放大30V 0.03A 100MHZC945 NPN 通用50V 0.1A 0.5W 250MHZC1008 NPN 通用80V 0.7A 0.8W 50MHZC1162 NPN 音频功放35V 1.5A 10WC1213 NPN 监视器专30V 0.5A 0.4WC1222 NPN 低噪放大60V 0.1A 100MHZC1494 NPN 发射36V 6A PQ=40W 175MHZC1507 NPN 视放300V 0.2A 15WC1674 NPN HF/ZF 30V 0.02A 600MHZC1815 NPN 通用60V 0.15A 0.4W 8MHZ A1015C1855 NPN HF/ZF 20V 0.02A 550MHZC1875 NPN 彩行1500V 3.5A 50WC1906 NPN 高频放大30V 0.05A 1000MHZC1942 NPN 彩行1500V 3A 50WC1959 NPN 通用30V 0.4A 0.5W 300MHZC1970 NPN 手机发射40V 0.6A 1.3W 175MHZC1971 NPN 手机发射35V 2A 7.0W 175MHZC1972 NPN 手机发射35V 3.5A 15W 175MHZC2320 NPN 通用50V 0.2A 0.3W 200MHZC2012 NPN 高放30V 0.03A 200MHZC2027 NPN 行管1500V 5A 50WD814 NPN 低噪放大150V 0.05A 1 50MHZC5142 NPN 彩行1500V 20A 200WD998 NPN 音频功放120V 10A 80W <1/3USD2253 NPN 彩显行管1700V 6A 50WD110 NPN 音频功放130V 10A 100W 1MHZC2335 NPN 视频500V 7A 40WC2373 NPN 功放200V 7.5A 40WC2383 NPN 视频开关160V 1A 0.9W A1013C3300 NPN 音频功放100V 15A 100WC3310 NPN 电源开关500V 5A 40WC3320 NPN 电源开头500V 15A 80WC3355 NPN 高频放大20V 0.1A 6500MHZC3358 NPN 高频放大20V 0.1A 7000MHZC3457 NPN 电源开关1100V 3A 50WC3460 NPN 电源开关1100V 6A 100WC3466 NPN 电源开关1200V 8A 120WC3505 NPN 电源开关900V 6A 80WC3527 NPN 电源开关500V 15A 100WC3528 NPN 电源开关500V 20A 150WC3866 NPN 高压高速900V 3A 40WC2443 NPN 功放开关600V 50A 400WC2481 NPN 音频功放150V 1.5A 20WC2482 NPN 视频放大300V 0.1A 0.9WC2500 NPN 通用30V 2A 0.9W 150MHZC2594 NPN 音频功放40V 5A 10WC2611 NPN 视频放大300V 0.1A 1.25WC2625 NPN 音频功放450V 10A 80WC2682 NPN NF/Vid 180V 0.1A 8WC2688 NPN 视放管300V 0.2A 10W 80MHZC2690 NPN 音频功放120V 1.2A 20W 1 50MHZ A1220P C2751 NPN 电源开关500V 15A 120WC2837 NPN 音频功放150V 10A 100WC3873 NPN 高压高速500V 12A 75W 30MHZC3886 NPN 开关行1400V 8A 50W 8MHZC3893 NPN 行管1400V 8A 50W 8MHZC3907 NPN 功放开关180V 12A 130W 30MHZC3595 NPN 射频30V 0.5A 1.2WC4059 NPN 高速开关600V 15V 130W 0.5/2.2US C4106 NPN 电源开关500V 7A 50W 20MHZ?C4111 NPN 开关行1500V 10A 150WC3679 NPN 电源开关900V 5A 100W 6MHZC2898 NPN 音频功放500V 8A 50WC2922 NPN 音频功放180V 17A 200W 50MHZ A1216 C3026 NPN 开关管1700V 5A 50WD986 NPN 达林顿功150-80V 1.5A 10WC3262 NPN 功放800V 10A 100WC3264 NPN PA功放230V 17A 200WB=170 A1295 C3280 NPN 音频功放160V 12A 120WB=100C3281 NPN 音频功放200V 15A 150W 30MHZC3680 NPN 电源开关900V 7A 120W 6MHZC3688 NPN 彩行1500V 10A 150WC3720 NPN 彩行1200V 10A 200WC3953 NPN 视放120V 0.2A 1.3W 400MHZC3987 NPN 达林顿50V 3A 20WC3995 NPN 行管1500V 12A 180WD1025 NPN 达林顿功200V 8A 50WC3997 NPN 行管1500V 15A 250WC3998 NPN 行管1500V 25A 250WC4024 NPN 功放开关100V 10A 35W 24MHZC4038 NPN 门电路50V 0.1A 0.3W 180MHZD1037 NPN 音频功放150V 30A 180WD1047 NPN 音频功放160V 12A 100W B817C4119 NPN 微波炉1500V 15A 250WC4231 NPN 音频功放800V 2A 30WC4237 NPN 高压高速1000V 8A 120W 30MHZC4242 NPN 高压高速450V 7A 40WC4297 NPN 电源开关500V 12A 75W 10MHZC4429 NPN 电源开关1100V 8A 60WC4517 NPN 音频功放550V 3A 30W 6MHZC4532 NPN 大屏行管1700V 10A 200WC4582 NPN 电源开关600V 15A 75W 20MHZC5244 NPN 彩行1700V 15A 200WC5249 NPN 功放开关600V 3A 35W 6MHZC5250 NPN 开关1000V 7A 100WC5251 NPN 彩行1500V 12A 50WD1071 NPN 达林顿功300V 6A 40WC4706 NPN 电源开关900V 14A 130W 6MHZC4382 NPN 功放开关200V 2A 25W 20MHZ A1668 C4742 NPN 彩行1500V 6A 50WC4745 NPN 彩行1500V 6A 50WC4747 NPN 彩行1500V 10A 50WC4769 NPN 微机行管1500V 7A 60WC4913 NPN 大屏视放2000V 0.02A 35WC4924 NPN 音频功放800V 10A 70WC4927 NPN 行管1500V 8A 50WC4927 NPN SONY29行1500V 8A 50WC4941 NPN 行管1500V 6A 65W 500/380NSC4953 NPN 功放开关500V 2A 25W t=300nSC5020 NPN 彩行1000V 7A 100WC5068 NPN 彩行1500V 10A 50WC5086 NPN 彩行1500V 10A 50WC5088 NPN 彩行1500V 10A 50WC5129 NPN 彩显行管1500V 8A 50WD1163A NPN 行偏转用350V 7A 40W 60MHZD1175 NPN 行偏转用1500V 5A 100WC5132 NPN 彩行1500V 16A 50WC5144 NPN 大屏彩行1700V 20A 200WC5148 NPN 大屏彩行1500V 8A 50WC5149 NPN 高速高频1500V 8A 50WC5198 NPN 功放开关140V 10A 100WC5200 NPN 功放开关230V 15A 150W A1943D1273 NPN 音频功放80V 3A 40W 50MHZC5207 NPN 彩行1500V 10A 50WC5243 NPN 彩行1700V 15A 200WC5252 NPN 彩行1500V 15A 100WC5294 NPN 彩行1500V 20A 200MSC5296 NPN 开关管1500V 8A 80WC5297 NPN 开关管1500V 16A 60WC5331 NPN 大屏彩显1500V 15A 180WD325 NPN 功放开关50V 3A 25WD385 NPN 达林顿功100V 7A 30WD400 NPN 通用25V 1A 0.75WD1302 NPN 音频25V 0.5A 0.5W 200MHZD1397 NPN 开关1500V 3.5A 50W 3MHZD1398 NPN 开关1500V 5A 50W 3MHZD1403 NPN 彩行1500V 6A 120WD401 NPN 音频功放200V 2A 20WD415 NPN 音频功放120V 0.8A 5WD438 NPN 通用500V 1A 0.75W 100MHZD560 NPN 达林顿功150V 5A 30WD637 NPN 通用60V 0.1A 150MHZD667 NPN 视频放大120V 1A 0.9W 140MHZ B647 D1403 NPN 彩行1500V 6A 120WD1415 NPN 功放电源100V 7A 40W 达林顿D718 NPN 音频功放120V 8A 80W B668D774 NPN 通用100V 1A 1W B734D789 NPN 音频输出100V 1A 0.90D820 NPN 彩行1500V 5A 50WD870 NPN 彩行1500V 5A 50WD880 NPN 音频功放60V 3A 10WD882 NPN 音频功放40V 3A 30W B772D884 NPN 音频功放330V 7A 40WD898 NPN 彩行1500V 3A 50WD951 NPN 彩行1500V 3A 65WD965 NPN 音频40V 5A 0.75WD966 NPN 音频40V 5A 1WD633 拆NPN 音频功放100V 7A 40W 达林顿D1431 NPN 彩行1500V 5A 80WD1433 NPN 彩行1500V 7A 80WD1980 NPN 达林顿100V 2A 10WD1981 NPN 达林顿100V 2A 1WD1993 NPN 音频低噪55V 0.1A 0.4WD1416 NPN 功放电源80V 7A 40W 达林顿D1427 NPN 彩行1500V 5A 80W 带阻尼BU2525AFNPN 开关功放1500V 12A 150W 350NS D1428 NPN 彩行1500V 6A 80W 带阻尼BU2525AXNPN 开关功放1500V 12A 150W 350NS D1439 NPN 彩行1500V 3A 80WD1541 NPN 彩行1500V 3A 80WD1545 NPN 彩行1500V 5A 50WD1547 NPN 彩行1500V 7A 80WBU2527AFNPN 开关功放1500V 15A 150WD1554 NPN 彩行1500V 3.5A 80WD1555 NPN 彩行1500V 5A 80WD1556 NPN 彩行1500V 6A 80WD1559 NPN 达林顿功100V 20A 100W B1079D1590 NPN 达林顿功150V 8A 25WD1623 NPN 彩行1500V 4A 70WD1640 NPN 达林顿功120V 2A 1.2WD1651 NPN 彩行1500V 5A 60W 3MHZD1710 NPN 彩行1500V 5A 50WD1718 NPN 音频功放180V 15A 50W 20MHZD1762 NPN 音频功放60V 3A 25W 90MHZ B1185 D1843 NPN 低噪50V 1A 1WD1849 NPN 彩行1500V 7A 120WD1850 NPN 彩行1500V 7A 120WD1859 NPN 音频80V 0.7A 1W 120MHZD1863 NPN 音频120V 1A 1W 100MHZD1724 NPN 开关120V 3A 180MHZD1877 NPN 彩行1500V 4A 50W 带阻尼D1879 NPN 彩行1500V 6A 60W 带阻尼D1887 NPN 彩行1500V 10 70WD1930 NPN 达林顿100V 2A 1.2W 达林顿D1975 NPN 音频功放180V 15A 150W B1317BU2532AWNPN 开关功放1500V 15A 150WD1978 NPN 达林顿120V 1.5A 0.9WD1994A NPN 音频驱动60V 1A 1WBD237 NPN 音频功100V 2A 25W BD238BD238 PNP 音频功100V 2A 25W BD237BU2520AFNPN 开关功放1500V 10A 150W 1/500NS BU2520DFNPN 开关功放1500V 10A 150W 1/500NS BU2520DXNPN 开关功放1500V 10A 50W 600NS BUH515 NPN 行管1500V 10A 80WBUH515D NPN 行管1500V 10A 80WBUS13A NPN 开关功放1000V 15A 175WD1997 NPN 激励管40V 3A 1.5W 100MHZD2008 NPN 音频功放80V 1A 1.2WD2012 NPN 音频功放60V 3A 2W 3MHZD2136 NPN 功放80V 1A 1.2WD2155 NPN 音频功放180V 15A 150WD2256 NPN 达林顿功120V 25A 125W B1494D2334 NPN 彩行1500V 5A 80WD2335 NPN 彩行1500V 7A 100W 带阻尼D2349 NPN 大屏彩显1500V 10A 50WD1959 NPN 彩行1400V 10A 50WD2374 NPN 功放开关60V 3A 25W 30MHZD2375 NPN 高放大倍80V 3A 25W 50MHZD2388 NPN 达林顿90V 3A 1.2WD2445 NPN 彩行1500V 12.5A 120WD2498 NPN 彩行1500V 6A 50WD2588 NPN 点火器用DK55 NPN 开关400V 4A 60WBC307 PNP 通用50V 0.2A 0.3WBC327 PNP 低噪音50V 0.8A 0.625W BC337BC337 NPN 音频激励50V 0.8A 0.625W BC327 BC338 NPN 通用激50V 0.8A 0.6WBC546 NPN 通用80V 0.2A 0.5WBC547 NPN 通用50V 0.2A 0.5W 300MHZBD135 NPN 音频功45V 1.5A 12.5WBD136 PNP 音频功45V 1.5A 12.5W BD137BD137 NPN 音频功60V 1.5A 12.5W BD136BD138 PNP 音频功60V 1.5A 12.5W BD139BD139 PNP 音频功80V 1.5A 12.5W BD138BUS14A NPN 开关功放1000V 30A 250WBUT11A NPN 开关功放1000V 5A 100WBD243 NPN 音频功45V 6A 65W BD244BD244 PNP 音频功45V 6A 65W BD243BD681 NPN 达林顿功100V 4A 40W BD682BD682 PNP 达林顿功100V 4A 40W BD681BF458 NPN 视放250V 0.1A 10WBU208A NPN 彩行1500V 5A 12.5WBU208D NPN 彩行1500V 5A 12.5WBU323 NPN 达林顿功450V 10A 125WBU406 NPN 行管400V 7A 60WBU508A NPN 行管1500V 7.5A 75WBU508A NPN 行管1500V 7.5A 75WBU508D NPN 行管1500V 7.5A 75WBU806 NPN 功放400V 8A 60WBU932R NPN 功放500V 15A 150WBUT12A NPN 开关功放450V 10A 125WBU941 NPN 功放开关500V 15A 175W 达林顿BU1508DXNPN 开关功放1500V 8A 35WBU2506DXNPN 开关功放1500V 7A 50W 600NSBU2508AFNPN 开关功放1500V 8A 125W 600NSBU2508AXNPN 开关功放1500V 8A 125W 600NSBU2508DFNPN 开关功放1500V 8A 125W 600NSBU2508DXNPN 开关功放1500V 8A 50W 600NSBUV26 NPN 音频功放90V 14A 65W 250NSBU2522AFNPN 开关功放1500V 11A 150W 350NSMJ15024 NPN 音频功放400V 16A 250W 4MHZ MJ15025 MJ15025 PNP 音频功放400V 16A 250W 4MHZ MJ15024 MJE271 PNP 达林顿100V 2A 15W 6MHZBUV28A NPN 音频功放225V 10A 65W 250NSBUV48A NPN 音频功放450V 15A 150WBUW13A NPN 功放开关1000V 15A 150WBUX48 NPN 功放开关850V 15A 125WBUX84 NPN 功放开关800V 2A 40WBUX98A NPN 功放开关400V 30A 210W 5MHZDK55 NPN 功放开关400V 4A 65WDTA114 PNP 10K-10K 160V 0.6A 0.625WDTC143 NPN 录像机用4.7kHPA100 NPN 大屏彩显1500V 10A 150WHPA150 NPN 大屏彩显1500V 15A 150WHSE830 PNP 音频功放80V 115W 1MHZ HSE800HSE838 NPN 音频功放80V 115W 1MHZ HSE830MN650 NPN 行管1500V 6A 80WMJ802 NPN 音频功放90V 30A 200W MJ4502MJ2955 PNP 音频功放60V 15A 115W MJ3055MJ3055 NPN 音频功放60V 15A 115W MJ2955MJ4502 PNP 音频功放90V 30A 200W MJ802MJ10012 NPN 达林顿400V 10A 175WMJ10015 NPN 电源开关400V 50A 200WMJ10016 NPN 电源开关500V 50A 200WMJ10025 NPN 电源开关850V 20A 250WMJ11032 NPN 电源开关120V 50A 300W MJ11033MJ11033 PNP 电源开关120V 50A 300W MJ11032MJ13333 NPN 电源开关400V 20A 175WMJ11015 PNP 铁达林顿500V 10AMJ14003 PNP 铁MJE340 NPN 视放300V 0.5A 20W MJE350MJE350 PNP 视放300V 0.5A 20W MJE340MJE2955TPNP 音频功放60V 10A 75W 2MHZ MJE3055T MJE3055TNPN 音频功放70V 10A 75W 2MHZ MJE2955T MJE5822 PNP 音频功放500V 8A 80WMJE13003NPN 功放开关400V 1.5A 14WMJE13005NPN 功放开关400V 4A 60WMJE13007NPN 功放开关1500V 2.5A 60WKSE800 NPN 达林顿140V 4A 20WTIP31C NPN 功放开关100V 3A 40W 3MHZ TIP32TIP32C PNP 功放开关100V 3A 40W 3MHZ TIP31TIP35C NPN 音频功放100V 25A 125W 3MHZ TIP36 TIP36C PNP 音频功放100V 25A 125W 3MHZ TIP35 TIP41C NPN 音频功放100V 6A 65W 3MHZ TIP42TIP42C PNP 音频功放100V 6A 65W 3MHZ TIP41TIP102 NPN 音频功放100V 8A 2WTIP105 PNP 音频功放60V 80W 达林顿TIP122 NPN 音频功放100V 5A 65W TIP127TIP127 PNP 音频功放100V 5A 65W TIP122TIP137 PNP 音频功放100V 8A 70W TIP132TIP142 NPN 音频功放100V 10A 125W TIP147TIP142 大NPN 音频功放100V 10A 125W TIP147 TIP147 PNP 音频功放100V 10A 125W TIP142TIP147 大PNP 音频功放100V 10A 125W TIP142 TIP152 BCE 电梯用达400V 3A 65WTL431 电压基准源BT33 电压结晶体管UGN3144 SGO 霍尔开关60MIAL1 电磁/微1000V 60A 300WT30G40 NPN 大功率开400V 30A 300W 5609 NPN 音频低频50V 0.8A 0.625W 5610 5610 PNP 音频低频50V 0.8A 0.625W 5610 9626 NPN 通用TT2062 1500V 18A 85WBU208A 50W 1500V 5A 电源开关管BU508A 75W 1500V 8A 电源开关管BU2508AF 45W 1500V 8A 行管BU2508DF* 125W 1500V 8A 行管BU2508D* 125W 1500V 8A 行管BU2520AF 45W 1500V 10A 行管BU2520AX 45W 1500V 10A 行管BU2520DF* 125W 1500V 10A 行管BU2522AF 45W 1500V 10A 行管BU2522DF* 80W 1500V 10A 行管BU2525DF* 45W 800V 12A 行管BUH515 60W 1500V 8A 行管BUH515D 60W 1500V 8A 行管C1520 10W 250V 0.2A 视放C1566 1.2W 250V 0.1A 视放C1573 0.6W 250V 0.07A 视放C1875 50W 1500V 3.5A 电源开关管C3153 100W 900V 6A 电源开关管C3026 50W 1700V 5A 行管C3457 50W 1100V 3A 电源开关管C3459 90W 1100V 4.5A 电源开关管C3460 100W 1100V 6A 电源开关管C3461 140W 1100V 8A 行管C3683* 50W 1500V 5A 行管C3686 50W 1400V 8A 行管C3687 150W 1500V 8A 行管C3481 120W 1500V 5A 电源开关管C3688 150W 1500V 10A 行管C3842* 120W 1500V 6A 行管C3883* 50W 1500V 5A 行管C3885 50W 1400V 7A 行管C3886 50W 1400V 8A 行管C3887 80W 1400V 7A 行管C3888 80W 1400V 80A 行管C3889 80W 1400V 80A 行管C3891* 50W 1400V 6A 行管C3892* 50W 1400V 7A 行管C3895 60W 1400V 7A 行管C3896 70W 1400V 8A 行管C3897* 180W 1500V 12A 行管C3897 250W 1500V 25A 行管C3998 250W 1500V 25A 行管C4122* 60W 1500V 6A 行管C4123* 60W 1500V 7A 行管C4124* 70W 1500V 8A 行管C4125* 70W 1500V 10A 行管C4237 150W 800V 10A 行管C4269* 60W 1500V 7A 行管C4293* 50W 1500V 5A 行管C4294* 50W 1500V 6A 行管C4589* 50W 1500V 10A 行管C4742* 50W 1500V 6A 行管C4744* 50W 1500V 6A 行管C4747 50W 1500V 10A 行管C4769* 60W 1500V 7A 行管C4770 60W 1500V 7A 行管C5048 50W 1500V 12A 行管C5088 45W 1500V 8A 行管C5129 50W 1500V 6A 行管C5144 200W 1700V 20A 行管C5148 50W 1500V 8A 行管C5250 50W 1500V 8A 行管C5297 60W 1500V 8A 行管C5299 60W 1400V 8A 行管C5339 50W 1500V 7A 行管C5418 120W 1500V 6A 行管D1396* 50W 1500V 2A 行管D1398* 50W 1500V 5A 行管D1402 120W 1500V 5A 电源开关管D1403 120W 1500V 6A 电源开关管D1426* 80W 1500V 3.5A 行管D1427* 80W 1500V 5A 行管D1428* 80W 1500V 6A 行管D1433 80W 1500V 7A 行管D1434 80W 1500V 5A 行管D1455* 50W 1500V 5A 行管D1554* 40W 1500V 3.5A 行管D1555 50W 1500V 5A 电源开关管D1878* 60W 1500V 6A 行管D1879* 60W 1500V 5A 行管D1881* 70W 1500V 10A 行管D1886 70W 1500V 8A 行管D1887 70W 1500V 10A 行管D2125* 50W 1500V 5A 行管D870* 50W 1500V 5A 行管2SA562 CG673B.2SB689 预视放2SA670 2SA1069.2SB513 电源调整管2SA673 2SA719.2SA697 帧激励2SA715 3CF3A.2SB529 场输出管2SA778A 3CG21C.CG75-1AB 开关电源误差放大2SA778AK C3CG21G、CG75-1A 开关电源误差放大2SA844D 3CG21C、CG75-1AB 视放2SA844E 3CG21G 视放2SA940 CD568B 场输出管2SA6395 2SA778、2SA858 行激励管2SB337 B337 电源调整管2SB407 3L780 电源调整管2SB548 3CF3B、2SA794 场输出管2SB566AK CD77-1A、3CF5A 电源调整管2SB556K CD77-1A、3CF5B 电源调整2SB621 3CG23B、2SB1035 电源推动管2SC458 3DG4A、2SC664 行振荡2SC536 3DG4A、2SC2320 电源推动管2SC562 G6738、B689 预视放2SC633 3DG6B、2SC1684 行振荡管2SC634 3DG12B 行振荡管2SC643A D2027、2SD818 行输出管2SC680A 3DD205B、2SC1025 场输出2SC681 3DD102B、2SC901 行输出2SC734 3DX200B、2SC2274 行振荡管2SC828 3DG56B、2SC3330 电源误差放大管2SC935 3DD102D、2SD320 电源调整管2SC8937 D2027、2SD818 行输出管进口与国产显示器常用三极管代换表2SC1034 2SD818、2SD299 行输出管2SC1162 FA433A、2SC2068 场输出枕形校正2SC1172 D2027、2SD820 行输出管2SC1209 3DG12A、2SD734 电源误差放大管2SC1213 3DG130A、2SC2120 电源误差放大管2SC1213A 3DG12B、2SC1247A 电源误差放大2SC1214 3DA151A、2SC2002 枕形校正2SC1308 D209、2SD820 行输出管2SC1318 3DG12A、2SC2274 行激励管2SC1364 3DX2038、2SC2320 行激励管2SC1505 DA1722B、2SC1757 行视放2SC1507 DA1722B、2SC1756、2SC1757 行激励管2SC1364 3DX2038、C23020 行激励管2SC1520 DA1722B、2SC2068 预视放2SC1566 3DA151D、2SC1514 视放2SC1573 3DA87C、2SC1762 视放2SC1672 3DD102B、2SC2433 电源调整管2SC1685 3DD180、2SC1570 脉冲开关2SC1819 3DA151D、2SC2425 视放2SC1890A 3DA878、2SC2363 视放2SC1905 3DA151D、2SD1163 视放2SC1942 D209、2SD1401 行输出管2SC2233 3DD12B、2SC2373 行输出2SD201 3DD102A、2SD125A 电源调整管2SD226 3DD207、2SD315 电源调整管2SD299 D2027、2SC1308 行输出管2SD350 D2027、2SD348 行输出管2SD380 D209、2SD348 行输出管2SD869 2SD993、2SD898B 行输出管C3150 C3151、C3152 开关管BU508A BU508D、C3893、C3895、C3897 开关管场效应管主要参数表2SK534 100W 5A 800V2SK538 100W 3A 900V2SK557 100W 12A 500V2SK560 100W 15A 500V2SK566 78W 3A 800V2SK644 125W 10A 500V2SK719 120W 5A 900V2SK725 125W 15A 500V2SK727 125W 5A 900V2SK774 120W 18A 500V2SK785 150W 20A 500V2SK787 150W 8A 900V2SK788 150W 13A 500V2SK790 150W 15A 500V2SK872 150W 6A 900V2SK955 150W 9A 800V2SK956 150W 9A 800V2SK962 150W 8A 900V2SK1019 300W 30A 500V2SK1020 300W 30A 500V2SK1045 150W 5A 900V2SK1081 125W 7A 800V2SK1082 125W 6A 800V2SK1117 100W 6A 600V2SK1118 45W 6A 600V2SK1119 100W 4A 1000V 2SK1120 150W 8A 1000V 2SK1171 240W 5A 1400V 2SK1198 75W 3A 800V2SK1249 130W 15A 500V 2SK1250 150W 20A 500V 2SK1271 240W 15A 1400V 2SK1280 150W 18A 500V 2SK1281 120W 4A 700V2SK1341 100W 5A 900V2SK1342 100W 8A 900V2SK1356 40W 3A 900V2SK1357 125W 5A 900V2SK1358 150W 9A 900V2SK1451 120W 5A 900V2SK1498 120W 20A 500V 2SK1500 160W 25A 500V 2SK1502 120W 7A 900V2SK1507 50W 6A 600V2SK1512 150W 10A 850V 2SK1531 150W 15A 500V 2SK1537 100W 5A 900V2SK1539 150W 10A 900V 2SK1563 150W 12A 500V 2SK1649 100W 6A 900V2SK1794 150W 6A 900V2SK2038 125W 6A 900V2N7000 0.4W 0.2A 60V BUZ385 125W 6A 500VGH30N60 180W 30A 600V GH30N100 250W 30A 1000V GH40N60 200W 40A 600V H1245 120W 12A 450VH13N50 150W 13A 500V IBF834 100W 3A 500VIPF440 125W 8A 500VIRT450 150W 13A 500V IRF350 150W 13A 500V IRF360 300W 25A 400V IRF440 125W 8A 500VIRF451 150W 13A 450VIRF460 300W 21A 500VIRF620 40W 5A 200VIRF630 75W 9A 200VIRF634 75W 8.1A 250VIRF640 125W 18A 200VIRF730 75W 5.5A 400VIRF740 125W 10A 400VIRF820 50W 2.5A 500VIRF830 75W 4.5A 500VIRF834 100W 5A 500VIRF840 125W 8A 500VIRF841 125W 8A 450VIRF842 125W 7A 500VIRF9610 20W 1A 200VIRF9630 75W 6.5A 200VIRF9640 125W 11A 200VIRF450 150W 13A 500VIRFD113 1W 0.8A 80VIRFD123 1W 1.1A 80VFIRP150 180W 41A 100V IRFP151 180W 19A 60VIRFP240 150W 31A 200V IRFP250 180W 31A 200V IRFP251 180W 33A 150V IRFP254 180W 23A 250V IRFP350 180W 16A 400V IRFP351 180W 16A 350V IRFP360 250W 23A 400V IRFP450 180W 14A 500V IRFP452 180W 12A 500V IRFP460 250W 20A 500V IRFBC40 125W 6.2A 600VIRF4P51 180W 14A 450V IXGH10N100 100W 10A 1000V IXGH15N100 150W 150A 1000V IXGH20N60 150W 20A 600V IXTH50N30 150W 50A 300V IXTH50X20 250W 50A 200V IXTH67N10 200W 67A 100V LXTH24N50 250W 24A 500V LXTH30N20 180W 30A 200V LXTH30N30 180W 30A 300V LXTH30N50 300W 30A 500V。
三极管、场效应管参数大全三极管、场效应管参数大说明:三极管标有(达)字即达林顿管;(D)字即带阻尼管。
2SA.2SB是PNP管 2SC.2SD是NPN管. 2管,2S、2SD是低频管.三极管系列型号结构外形参数2N2222NPN TO-9260V 0.8A 0.5W2N2907PNP TO-9260V 0.4A 0.4W2N3055NPN TO-3100V 15A 117W2N3772NPN TO-3100V 30A 150W2N3904NPN TO-9260V 0.2A 0.3W2N3906NPN TO-9240V 0.2A 0.3W2N3907NPN TO-9260V 0.03A 60MHZ2N4126PNP TO-9225V 0.2A 0.3W2N4400NPN TO-9260V 0.6A2N4401NPN TO-9260V 0.6A2N4402PNP TO-9240V 0.6A2N4403PNP TO-9240V 0.6A2N5191NPN TO-12660V 4A 40W2N5192NPN TO-12680V 4A 40W2N5193PNP TO-12640V 4A 40W2N5194PNP TO-12660V 4A 40W2N5195PNP TO-12680V 4A 40W2N5210PNP TO-926V 0.05A2N5401PNP TO-92160V 0.6A 0.3W2N5460PNP TO-9240V 1MA2N5551NPN TO-92180V 0.6A 0.3W2N5609PNP80V 5A 25W Hfe70~1002N5684PNP TO-380V 50A 300W2N5686NPN TO-380V 50A 300W2N6274NPN TO-3120V 50A 250W2N6034PNP达TO-12640V 4A 40W2N6037NPN达TO-12640V 4A 40W2N6277NPN TO-3180V 50A 250W2N6284NPN达TO-3100V 20A 160W2N6286PNP达TO-380V 20A 160W2N6287PNP达TO-3100V 20A 160W2N6338NPN TO-3120V 25A 200W2N6517NPN TO-92350V 0.5A 0.6W2N6520PNP TO-92350V 0.5A 0.6W2N6547NPN TO-3850V 15A 175W2N6576NPN TO-3450V 20A 175W2N6678NPN TO-3650V 20A 175W2N7000N沟道60V 300MA 830MW 3DD15A NPN TO-360V 5A 50W3DD15D NPN TO-3200V 5A 50W3DD15D塑NPN TO-220200V 5A 50W3DD102B NPN TO-3150V 2A 50W3DD102C NPN TO-3150V 2A 50W3DD200NPN TO-3150V 2A 40W3DD207NPN TO-3150V 2A 40W3DD303A NPN TO-3150V 2A 40WBD135NPN TO-12645V 1.5A 12.5W BD136PNP TO-12645V 1.5A 12.5W BD137NPN TO-12660V 1.5A 12.5W BD138PNP TO-12660V 1.5A 12.5W BD139NPN TO-12680V 1.5A 12.5W BD140PNP TO-12680V 1.5A 12.5W BD228NPN TO-12660V 1.5A 12.5W BD234PNP TO-12645V 2A 25WBD235NPN TO-12660V 2A 25WBD237NPN TO-126100V 2A 25WBD238PNP TO-126100V 2A 25WBD239NPN TO-12645V 2A 30WBD241NPN TO-22045V 3A 40WBD242PNP TO-22045V 3A 40WBD243NPN TO-22045V 6A 65WBD244NPN TO-22045V 6A 65WBD330PNP TO12635V 3A 15WBD245NPN TO-22045V 10A 80WBD646PNP达TO-22060V 8A 62.5WBD647NPN达TO-22060V 8A 62.5WBD648PNP达TO-22080V 8A 62.5WBD649NPN达TO-220100V 8A 62.5W BD650PNP达TO-220100V 8A 62.5W BD651NPN达TO-220120V 8A 62.5W BD652PNP达TO-220120V 8A 62.5W BD678PNP达TO-12660V 4A 40WBD679NPN达TO-12680V 4A 40WBD680PNP达TO-12680V 4A 40WBD682PNP达TO-126100V 4A 40WBC327PNP TO-9250V 0.8A 0.6WBC328PNP TO-9230V 0.8A 0.6WBC337NPN TO-9250V 0.8A 0.6WBC338NPN TO-9230V 0.8A 0.6WBC368NPN TO-9220V 1A 0.8WBC369PNP TO-9220V 1A 0.8WBC546NPN TO-9280V 0.2A 0.5WBC547NPN TO-9250V 0.2A 0.5WBC548NPN TO-9230V 0.2A 0.5WBC549NPN TO-9230V 0.2A 0.5WBC556PNP TO-9280V 0.2A 0.5WBC557PNP TO-9250V 0.2A 0.5WBC558PNP TO-9230V 0.2A 0.5W 150MHZ BC559PNP TO-9230V 0.2A 0.5WBC560PNP TO-9250V 0.2A 0.5WBC635NPN TO-9245V 1A 0.8WBC636PNP TO-9245V 1A 0.8WBC638PNP TO-9260V 1A 0.8WBC640PNP TO-9280V 1A 0.8WBC879NPN达TO-126100V 1A 0.8WBF198NPN TO-9240V 25MA 0.25W BF199NPN TO-9240V 25MA 0.25W BF240NPN TO-9215V 0.1A 0.3WBF241NPN TO-9240V 25MA 0.25W BF324PNP TO-9240V 25MA 0.3WBF420NPN TO-92300V 0.1A 0.8WBF421PNP TO-92300V 0.1A 0.8WBF422NPN TO-92250V 0.1A 0.8WBF423PNP TO-92250V 0.1A 0.83W BF458NPN TO-126250V 0.1A 10WBF459NPN TO-126300V 0.1A 10WBF483NPN TO-92300V 0.5A 0.8WBF485NPN TO-92350V 0.5A 0.6WBF494NPN TO-9230V 0.03A 0.3WBF495NPN TO-9230V 0.03A 0.3WBF869NPN TO-202250V 0.1A 1.8WBF871NPN TO-202300V 0.1A 1.8W BFX85NPN100V 1A 8W BS107N TO-92200V 0.13A 1WBS170N TO-9260V 0.3A 0.6WBU208A NPN TO-31500V 5A 12.5W BU208D NPN D TO-31500V 5A 50WBU290A NPN330V 8A 90WBU326NPN TO-3800V 6A 60W BU406NPN TO-220400V 7A 60W BU406D NPN D TO-220400V 7A 60W BU407NPN TO-220330V 7A 60W BU407D NPN D TO-220330V 7A 60W BU408NPN TO-220400V 7A 60W BU408D NPN D TO-220400V 7A 60W BU508A NPN TOP-3A1500V 7.5A 75W BU415NPN800V 12A 120W BU508D NPN D TOP-3A1500V 7.5A 75W BU508AF NPN TOP-3F1500V 8A 45W BU508DF NPN D TOP-3F1500V 8A 45W BU626A1000V 10A 100W BU806NPN达TO-220400V 8A 60W BU807NPN达TO-22033V 8A 60W BU932R NPN达TO-3500V 15A 150W BU932RD NPN TOP-3F450V 15A 125W BU941NPN达TO-3500V 15A 175W BU1508DX NPN D1500V 10A 125W BU2506AF NPN TOP-3F1500V 5A 45W BU2506DF NPN D TOP-3F1500V 5A 45W BU2507DF NPN D1500V 6A 125W BU2508AF NPN TOP-3F1500V 8A 45W BU2508DF NPN D TOP-3F1500V 8A 125W BU2508AX NPN TOP-3F1500V 8A 45W BU2508DX NPN D TOP-3F1500V 8A 45W BU2520A NPN D TOP-3F800V 8A 125W BU2520AF NPN TOP-3F1500V 10A 45W BU2520DF NPN D TOP-3F1500V 10A 125W BU2520AX NPN TOP-3E1500V 10A 45W BU2520DP NPN D800V 10A 45W BU2520DX NPN D TOP-3E1500V 10A 45W BU2522A NPN D TOP-3E800V 10A 125W BU2522AF NPN TOP-3F1500V 10A 80W BU2522DF NPN D TOP-3F1500V 10A 80W BU2522AX NPN TOP-3E1500V 10A 45W BU2522DX NPN D TOP-3E1500V 10A 45W BU2523AF NPN TOP-3F1500V 10A 80W BU2523DF NPN D TOP-3F1500V 10A 80W BU2523AX NPN TOP-3E1500V 10A 45W BU2525AF NPN TOP-3F1500V 12A 80W BU2525DF NPN D TOP-3F1500V 12A 125W BU2525AX NPN TOP-3E1500V 12A 45WBU2525DX NPN TOP-3E1500V 12A 45W BU2527A NPN DTOP-3E800V 10A 125W BU2527AF NPN TOP-3F1500V 12A 125W BU2527DF NPN D TOP-3F1500V 12A 125W BU2527AX NPN TOP-3E1500V 12A 125W BU2527DX NPN D TOP-3E1500V 12A 125W BUH315NPN TOP-3E1500V 5A 50W BUH315D NPN D TOP-3E1500V 5A 50W BUH515NPN TOP-3E1500V 8A 60W BUH515D NPN D TOP-3E1500V 8A 60W BUH1215NPN TOP-31500V 19A 200W BUH51501500V 5A 50W BUT11A NPN D TO-2201000V 5A 100W BUT11AF NPN TO-220450V 5A 40W BUT11AX NPN TO-220450V 5A 40W BUT12A NPN TO-2201000V 10A 100W BUT12AF NPN TO-220450V 8A 23W BUT18AF NPN TO-220450V 6A 110W BUS12NPN TO-3850V 10A 125W BUS12A NPN TO-31000V 10A 125W BUS13A NPN TO-3850V 15A 175W BUS13A NPN TO-31000V 15A 175W BUS14A NPN TO-3850V 30A 250W BUS14A NPN TO-31000V 30A 250W BUS48NPN TO-3850V 15A 175W BUS48A NPN D TO-31000V 15A 175W BUW11AF NPN TO-31000V 5A 100W BUW12A NPN TO-31000V 10A 125W BUW12AF NPN TO-31000V 8A 125W BUW13A NPN D TO-31000V 15A 150W BUW13AF NPN TO-31000V 15A 175W BUW13F NPN TO-31000V 15A 175W BUW14NPN450V0.5A 20W BUW14AF NPN TO-31000V 20A 175W BUW26NPN TO-3800V 10A 125W BUW35NPN TO-3800V 10A 125W BUW36NPN TO-3900V 10A 125W BUW45NPN TO-3800V 15A 175W BUW46NPN TO-3900V 15A 175W BUW48A NPN TO-3120V 30A 150W BUW48AF NPN TO-31000V 60A 150W BUV20NPN TO-3125V 50A 250W BUV21NPN TO-3200V 50A 250WBUV22NPN TO-3250V 50A 250W BUV28NPN D TO-3400V 12A 85W BUV28A NPN TO-220200V 12A 85W BUV37NPN 达TOP-3400V 15A 100W BUV46A NPN TO-220400V 6A 70W BUV46C NPN TO-220400V 6A 70W BUV47A NPN D TO-31000V 8.5A 120W BUV48A NPN TOP-3700V 15A 150W BUV90NPN达TOP-3400V 12A 125W BUX20NPN TO-3160V 50A 250W BUX21NPN TO-3250V 40A 250W BUX22NPN TO-3300V 40A 250W BUX48A NPN TO-31000V 7A 150W BUX48B NPN TO-31100V 10A 175W BUX48C NPN TO-31200V 15A 175W BUX81NPN TO-31000V 10A 125W BUX85NPN TO-2201000V 2A 40W BUX87NPN TO-1261000V 0.5A 20W BUX98NPN TO-3850V 30A 250W BUX98A NPN TO-31000V 30A 250W BUX98C NPN TO-31200V 30A 250W YTFP250N200V 30A 150W BUY71NPN TO-32200V 2A 40W BDX33NPN达TO-220100V 10A 70W BDX34C PNP达TO-220100V 10A 70W BDX53C NPN达TO-220100V 8A 60W BDX54C PNP达TO-220100V 8A 60W HPA100NPN TO-3PL1500V 10A 150W HPA150NPN TO-3PL1500V 10A 150W BFR91NPN40A15V 0.03A 0.18W BFR96S NPN40A20V 0.1A 0.7W CS8050NPN TO-9230V 1A 0.6W CS8550PNP TO-9230V 1A 0.6W CS9011NPN TO-9235V 20MA 0.15W CS9012PNP TO-9240V 0.1A 0.5W CS9013NPN TO-9240V 0.1A 0.5W CS9014NPN TO-9230V 50MA 0.3W CS9015PNP TO-9230V 50MA 0.3W CS9016NPN TO-9230V 20MA 0.2W CS9018NPN TO-9230V 20MA 0.2W MJ2955PNP TO-360V 15A 150W MJ10001PNP TO-3500V 20A 150W MJ10004PNP TO-3450V 20A 175WMJ10005NPN TO-3500V 20A 175W MJ10009NPN TO-3700V 20A 175W MJ10012NPN TO-3550V 10A 175W MJ10014NPN TO-3700V 10A 175W MJ10015NPN TO-3600V 50A 250W MJ10016NPN TO-3700V 50A 250W MJ10024NPN TO-31000V 20A 250W MJ10025NPN TO-31200V 20A 250W MJ11015PNP TO-3120V 30A 200W MJ11016NPN TO-3120V 30A 200W MJ11032NPN TO-3120V 50A 300W MJ11033PNP TO-3120V 50A 300W MJ12005NPN TO-31500V 8A 100W MJ13081NPN TO-3750V 8A 150W MJ13333NPN TO-3700V 20A 175W MJ13334NPN TO-3750V 20A 175W MJ13335NPN TO-3800V 20A175W MJ15003NPN TO-3140V 20A 200W MJ15004PNP TO-3140V 20A 200W MJ15015NPN TO-3140V 20A 200W MJ15016PNP TO-3120V 15A 180W MJ15022NPN TO-3400V 16A 250W MJ15023PNP TO-3400V 16A 250W MJ15024NPN TO-3400V 16A 250W MJ15025PNP TO-3400V 16A 250W MJ13008TO-3MJ13009TO-3MJ4502PNP TO-390V 30A 200W MJ802NPN TO-390V 30A 200W MPSA05NPN TO-9260V 0.5A 0.6W MPSA06NPN TO-9280V 0.5A 0.6W MPSA42NPN TO-92300V 0.5A 0.6W MPSA43NPN TO-92200V 0.5A 0.6W MPSA44NPN TO-92350V 0.5A 0.6W MPSA55PNP TO-9280V 0.5A 0.6W MPSA92PNP TO-92300V 0.5A 0.6W MPSA94PNP TO-92350V 0.5A 0.6W MJE13001NPN TO-92MJE13003NPN TO-126400V 1.5A 40W MJE13005NPN TO220400V 8A 75W MJE13007NPN TO-220400V 4A 80W MJE13009NPN TO-220400V 12A 100W MN650NPN TOP-3A MN651NPN TOP-3ANT407F1500V 5A 60W TIP29C NPN TO-220100V 2A 30W TIP30C PNP TO-220100V 2A 30W TIP31C NPN TO-220100V 3A 40W TIP32C PNP TO-220100V 3A 40W TIP35C NPN TOP-3100V 25A 125W TIP36C PNP TOP-345V 25A 125W TIP41C NPN TO-220100V 6A 65W TIP42C PNP TO-220100V 6A 65W TIP47NPN TO-220250V 1A 40W TIP48NPN TO-220300V 1A 40W TIP49NPN TO-220350V 1A 40W TIP50NPN TO-220400V 1A 40W TIP120NPN达TO-22060V 5A 65W TIP121NPN达TO-22080V 5A 65W TIP122NPN达TO-220100V 5A 65W TIP127PNP达TO-220100V 5A 65W TIP132PNP达TO-220100V 8A 70W TIP137PNP 达TO-220100V 8A 70W TIP142大NPN达TOP-3100V 10A 125W TIP142小NPN达TO-220100V 10A 125W TIP147大NPN达TOP-3100V 10A 125W TIP147小NPN TO-220100V 10A 125W TIP2955大PNP TOP-3100V 15A 90W TIP2955小PNP TO-22070V 10A 75W TIP3055大NPN TOP-3100V 15A 90W TIP3055小NPN TO-22070V 10A 75W DTC124ES NPN RB=RBE=22K50V 100MA KAA11508NPN1500V 6A 50W THD25HI NPN1500V 20A 57W ULBM10NPN36V 2.5A 58W FS407D NPN D500V 7A 60W FS7KM250V 7A 30W F18004NPN1500V 5A 80WUN 2211NPN50V 100MARB=RBE=10K(RB基极电阻,RBE为基射之间电阻).UN2212NPN50V 100MARB=RBE=22K(RB基极电阻,RBE为基射之间电阻).UN2213NPN50V 100MARB=RBE=47K(RB基极电阻,RBE为基射之间电阻)2SA114PNP锗TO-9234V 10MA 20MHZ 2SA115PNP锗TO-9234V 10MA 20MHZ 2SA124PNP锗TO-9215V 2MA 120MHZ 2SA144PNP锗TO-9215V 10MA 15MHZ 2SA536PNP TO-9250V 0.7A 0.5W2SA539PNP TO-9260V 0.2A 0.25W 2SA562PNP TO-9230V 0.4A 0.3W2SA564PNP TO-9225V 0.1A 0.25W 2SA608PNP TO-9230V 0.1A 180MHZ 2SA634PNP TO-20240V 2A 10W2SA671PNP TO-22050V 3A 25W2SA673PNP TO-9235V 0.5A 0.4W2SA683PNP TO-9230V 1A 0.75W2SA684PNP TO-9260V 1A 0.75W2SA708PNP TO-9280V 0.7A 0.8W2SA715PNP TO-12635V 1.5A 10W2SA720PNP TO-9250V 0.5A 0.4W2SA733PNP TO-9250V 0.1A 180MHZ 2SA768PNP TO-22060V 4A 30W2SA769PNP TO-22080V 4A 30W2SA817PNP TO-9270V 0.75A 0.6W 2SA838PNP TO-9230V 0.03A300MHZ 2SA844PNP TO-9255V 0.1A 200MHZ 2SA893PNP TO-9290V 0.05A 120MHZ 2SA916PNP TO-92160V 0.05A 0.8W 2SA928PNP TO-9220V 1A 0.25W2SA933PNP TO-9250V 0.1A 140MHZ 2SA934PNP TO-9240V 0.7A 0.75W 2SA935PNP TO-9280V 0.7A 0.75W 2SA940PNP TO-220130V 0.8A 25W2SA949PNP TO-92150V 0.05A 0.8W 2SA950PNP TO-9230V 0.8A 0.6W2SA952PNP TO-9230V 0.7A 0.6W2SA953PNP TO-9260V 0.3A 0.6W2SA954PNP TO-9280V 0.3A 0.6W2SA959PNP TO-3100V 10A 150W 2SA965PNP TO-92120V 0.8A 0.9W 2SA966PNP TO-9230V 1.5A 0.9W2SA984PNP TO-9260V 0.5A 0.5W2SA988PNP TO-92120V 0.05A 100MHZ2SA992PNP TO-92120V 0.05A 0.25W2SA1013PNP TO-92160V 1A 0.9W2SA1015PNP TO-9250V 0.15A 0.4W2SA1018PNP TO-92250V 0.07A 0.75W2SA1020PNP TO-9250V 2A 0.9W2SA1038PNP TO-92120V 0.05A 0.3W2SA1048PNP TO-9250V 0.15A 0.2W2SA1061PNP TO-220100V 6A 70W2SA1091PNP TO-92300V 0.1A 0.4W2SA1147PNP TO-92180V 15A 150W2SA1150PNP TO-9235V 0.8A 0.3W2SA1152PNP TO-9280V 0.3A 0.6W2SA1156PNP TO-126400V 0.5A 10W2SA1160PNP TO-9220V 2A 0.9W2SA1175PNP TO-9260V 0.1A 0.3W2SA1198PNP TO-9280V 0.05A 0.4W2SA1199PNP TO-9250V 0.7A 0.4W2SA1205PNP TO-9270V 12A 100W2SA1207PNP TO-92180V 0.07A 0.6W2SA1208PNP TO-92180V 0.07A 0.9W2SA1209PNP TO-126180V 0.07A 10W2SA1242PNP35V 5A 1W 170MHZ 2SA1266PNP TO-9250V 0.15A 0.4W2SA1267PNP TO-9250V 0.15A 0.2W2SA1268PNP TO-92120V 0.1A 0.3W2SA1270PNP TO-9235V 0.5A 0.5W2SA1271PNP TO-9235V 0.8A 0.6W2SA1273PNP TO-9230V 2A 1W2SA1276PNP TO-22030V 3A 10W2SA1282PNP TO-9220V 2A 0.9W2SA1286PNP TO-9230V 1.5A 0.9W2SA1296PNP TO-9230V 2A 0.75W2SA1300PNP TO-9220V 2A 0.75W2SA1309PNP TO-9220V 0.1A 0.3W2SA1317PNP TO-9260V 0.2A 0.3W2SA1318PNP TO-9260V 0.2A 0.6W2SA1328PNP TO-9260V 1A 40W2SA1370PNP TO-92200V 0.1A 1W2SA1371PNP TO-92300V 0.1A 1W2SA1390PNP TO-9235V 0.5A 0.3W 120MHZ 2SA1451PNPTO-22060V 12A 30W2SA1486PNP TO-12660V 1A 15W2SA1515PNP TO-9240V 1A 0.5W2SA1538PNP TO-126120V 0.2A 8W 2SA1564PNP TO-9250V 0.1A 0.3W 2SA1568PNP TO-22060V 12A 35W 2SA1583PNP TO-9260V 0.1A 1W2SA1614PNP TO-92400V 0.5A 25W 2SA1619PNP TO-9230V 1A 1W2SA1624PNP TO-92250V 0.1A 0.5W 2SA1625PNP TO-92400V 0.5A 0.75W 2SA1668PNP TO-220F200V 2A 25W 2SA1680PNP TO-9260V 2A 0.9W2SA1758PNP TO-220F100V 12A 30W 2SA1767PNP TO-92300V 0.07A 0.75W 2SA1775PNP TO-126400V 0.5A 10W 2SA1778PNP TO-9215V 0.05A 0.25W 2SA1784PNP TO-92400V 0.2A 1W 2SA1884PNP TO-92400V 1A 0.9W 2SB511PNP TO-22035V 1.5A 10W 2SB535PNP锗TO-22035V 1A 5W2SB536PNP TO-220140V 1.5A 20W 2SB544PNP TO-9225V 1A 0.75W 2SB546PNP TO-220200V 2A 20W 2SB553PNP TO-22070V 7A 40W2SB554PNP TO-220160V 15A 150W 2SB561PNP TO-9225V 0.7A 0.5W 2SB562PNP TO-9225V 1A 0.9W 2SB566PNP TO-22050V 4A 40W2SB595PNP TO-220100V 5A 40W 2SB596PNP TO-22080V 4A 30W2SB598PNP TO-9225V 1A 0.5W2SB649PNP TO-126180V 1.5A 1W 2SB673PNP达TO-220100V 7A 40W 2SB674PNP达TO-22080V 7A 40W 2SB689PNP TO-220100V 4A 40W 2SB703PNP TO-220100V 4A 40W 2SB707PNP TO-22080V 7A 40W2SB734PNP TO-12660V 1A 1W2SB739PNP TO-9260V 2A 0.9W2SB744PNP TO-12670V 3A 10W2SB761PNP TO-22060V 3A 35W2SB764PNP TO-9260V 1A 0.9W2SB772PNP TO-12640V 3A 10W2SB774PNP TO-9230V 0.1A 0.25W 2SB795PNP达TO-12680V 1.5A 10W2SB810PNP TO-12630V 0.7A 0.35W 2SB826PNP TO-22060V 12A 40W 2SB834PNP TO-22060V 3A 30W 2SB859PNP TO-220100V 4A 40W 2SB861PNP TO-220100V 2A 30W 2SB889PNP TO-12680V 0.7A 5W 2SB891PNP TO-12640V 2A 5W 2SB892PNP TO-9260V 2A 1W 2SB926PNP TO-9230V 2A 0.75W 2SB927PNP TO-9230V 2A 1W 2SB928PNP TO-126200V 2A 30W 2SB940PNP TO-220F200V 2A 30W 2SB941PNP TO-220F60V 3A 35W 2SB950PNP达TO-220F60V 4A 40W 2SB951PNP达TO-220F60V 8A 45W 2SB1007PNP TO-12680V 0.7A 10W 2SB1008PNP达TO-12640V 2A 10W 2SB1009PNP TO-12640V 2A 10W 2SB1012PNP 达TO-126120V 1.5A 8W 2SB1013PNP TO-9220V 2A 0.7W 2SB1014PNP TO-9260V 1A 0.7W 2SB1015PNP TO-220F60V 3A 20W 2SB1023PNP达TO-220F60V 3A 25W 2SB1068PNP TO-9220V 2A 0.75W 2SB1096PNP TO-220F20V 2A 25W 2SB1116PNP TO-9260V 1A 0.75W 2SB1135PNP TO-22060V 7A 30W 2SB1156PNP TO-22060V 12A 30W 2SB1165PNP TO-12660V 5A 20W 2SB1166PNP TO-12660V 8A 20W 2SB1167PNP TO-126120V 3A 20W 2SB1168PNP TO-126120V 4A 20W 2SB1214PNP达TO-12680V 3A 15W 2SB1223PNP达TO-220F70V 4A 20W 2SB1236PNP TO-126120V 1.5A 1W 2SB1237PNP TO-12640V1A 1W2SB1239PNP达TO-12640V 2A 1W 2SB1284PNP达TO-220F100V 10A 35W 2SB1286PNP达TO-220F100V 2A 25W2SB1287PNP达TO-220F100V 2A 20W 2SB1331PNP TO-12660V 0.5A 0.6W 2SB1326PNP TO-9230V 5A 1W 2SB1329PNP TO-12632V 1A 1.2W2SB1366PNP TO-220F20V 5A 2W2SB1370PNP TO-220F60V 3A 30W2SB1375PNP TO-220F60V 3A 25W2SB1376PNP TO-9250V 0.1A 1W2SB1406PNP达TO-9280V 1.5A 1W2SB1413PNP TO-12630V 1A 1.5W2SB1423PNP TO-12620V 5A 10W2SB1425PNP TO-9220V 2A 1W2SB1548PNP TO-220F2SB1565PNP TO-220F60V 3A 25W2SB1566PNP50V 3A 25W2SB1569PNP TO-220F120V 1.5A 20W2SB1682PNP2SB1978PNP2SC124NPN TO-9240V 0.025A 200MHZ 2SC144NPN TO-9250V 0.2A 450MHZ 2SC317NPN TO-9270V 0.1A 240MHZ 2SC368NPN TO-92250V 0.1A 150MHZ 2SC380NPN TO-9235V 0.03A 250MHZ 2SC388A NPN TO-9225V 0.02A f>300MHZ 2SC458NPN TO-9230V 0.1A 230MHZ 2SC460NPN TO-9230V 0.1A 230MHZ 2SC535NPN TO-9230V 0.02A 700MHZ 2SC761NPN TO-9230V 0.02A 675MHZ 2SC790NPN TO-9250V 3A 25W2SC829NPN TO-9230V 0.03A 230MHZ 2SC930NPN TO-9215V 0.03A 300MHZ 2SC945NPN TO-9260V 0.1A 250MHZ 2SC979NPN TO-9270V 0.1A 0.3W Ft=250MHZ2SC1008NPN TO-9280V 0.7A 0.8W2SC1026NPN TO-9225V 0.025A 200MHZ 2SC1047NPN TO-9230V 0.015A 650MHZ 2SC1061NPN TO-22050V 3A 25W 2SC1070NPN TO-9230V 0.02A 900MHZ 2SC1106NPN TO-3350V 3A 80W2SC1114300V 4A 100W2SC1127NPN TO-220180V 0.1A 7.9W 2SC1162NPN TO-12635V 2.5A 10W2SC1170NPN TO-31200V 3.5A 50W 2SC1172NPN TO-31500V 5A 50W2SC1173NPN TO-22030V 3A 10W2SC1202NPN2SC1213NPN TO-9235V 0.5A 0.4W2SC1279NPN TO-92180V 0.05A 0.25W 2SC1308NPN TO-31500V 7A 50W2SC1309NPN TO-31200V 5A 80W2SC1318NPN TO-9260V 0.5A 0.4W2SC1325NPN TO-31500V 6A 80W2SC1327NPN TO-9235V 0.05A 250MHZ 2SC1328NPN TO-9235V 0.05A 250MHZ 2SC1348NPN TO-31000V 4A 125W 2SC1358NPN TO-31400V 4.5A 50W 2SC1359NPN TO-9230V 0.03A 300MHZ 2SC1360NPN TO-9250V 0.05A 500MHZ 2SC1383NPN TO-9230V 1A 0.75W2SC1384NPN TO-9260V 1A 0.75W2SC1390NPN TO-9220V 0.09A 0.2W 2SC1473NPN TO-92250V 0.07A 0.6W 2SC1501NPN TO-126300V 0.1A 10W 2SC1505NPN TO-220300V 0.2A 15W2SC1507NPN TO-220300V 0.2A 15W2SC1514NPN TO-202300V 0.1A 1.25W 2SC1519NPN TO-202250V 0.2A 10W2SC1565NPN TO-126150V 0.25A 10W 2SC1566NPN TO-126250V 0.1A 4W2SC1569NPN TO-220300V 0.15A 1.5W 2SC1573NPN TO-92250V 0.07A 0.6W 2SC1574NPN TO-9220V 0.03A 4.5GHZ 2SC1579NPN TO-3500V 15A 150W 2SC1625NPN TO-220100V 1A 15W2SC1626NPN TO-22080V 0.7A 15W2SC1627NPN TO-9270V 0.2A 150MHZ 2SC1641NPN TO-9240V 0.15A 0.3W 2SC1651NPN40A210V 0.03A 0.25W 2SC1661NPN TO-9220V 0.08A 7GHZ 2SC1669NPN TO-220150V 1.5A 25W2SC1674NPN TO-9230V 0.02A 600MHZ 2SC1676NPN40A50V 3A 300MHZ 2SC1685NPN TO-9260V 0.1A 150MHZ 2SC1709NPN TO-9230V 0.3A 0.3W2SC1719NPN TO-92150V 0.05A 130MHZ 2SC1720NPN TO-92150V 0.05A 130MHZ 2SC1722NPN TO-92300V 0.2A 15W 2SC1740NPN TO-9220V 32MA 180MHZ 2SC1755NPN TO-220300V 0.2A 15W2SC1756NPN TO-220300V 0.2A 15W2SC1757NPN TO-220300V 0.2A 15W2SC1758NPN TO-202300V 0.1A 10W2SC1767NPN2SC1815NPN TO-9260V 0.15A 0.4W2SC1819NPN TO-220300V 0.1A 15W2SC1826NPN TO-22080V 4A 30W2SC1841NPN TO-92120V 0.05A 0.25W2SC1842NPN TO-126 40V 0.1A 0.25W2SC1845NPN TO-92120V 0.05A 110MHZ 2SC1846NPN TO-12645V 1A 1.2W2SC1852NPN TO-9260V 0.5A 0.6W2SC1875NPN TO-31500V 3.5A 50W2SC1892NPN TO-31500V 2.5A 50W2SC1895NPN TO-31500V 6A 50W2SC1905NPN TO-220350V 0.2A 15W2SC1906NPN TO-9230V 0.05A 1GHZ2SC1907NPN TO-9230V 0.05A 1.1GHZ 2SC1908NPN TO-9230V 0.03A 200MHZ 2SC1921NPN TO-92250V 0.05A 0.6W 2SC1922NPN TO-31500V 2.5A 50W2SC1923NPN TO-9240V 0.02A 500MHZ 2SC1942NPN TO-31500V 3A 50W2SC1954NPN TO-9220V 0.15A 0.5W2SC1959NPN TO-9235V 0.5A 0.5W2SC1964NPN TO-220F80V 3.5A 12.5W2SC1969NPN TO-22060V 6A 20W2SC1971NPN TO-22035V 2A 12.5W 175MHZ 2SC1972NPN TO-22035V 3.5A 25W 175MHZ 2SC1973NPN TO-9250V 0.5A 1W 2SC1984NPN达TO-220100V 3A 30W2SC2001NPN TO-9230V 0.7A 0.6W2SC2002NPN TO-9260V 0.3A 0.6W2SC2003NPN TO-9280V 0.3A 0.6W2SC2026NPN TO-9230V 0.05A 2GHZ2SC2027NPN TO-31500V 5A 50W2SC2058NPN TO-9240V 0.05A 300MHZ 2SC2060NPN TO-9240V 0.7A 150MHZ2SC2061NPN TO-9280V 0.7A 150MHZ2SC2068NPN TO-202300V 0.05A 1.5W2SC2071NPN TO-126250V 0.05A 1W2SC2073NPN TO-220150V 1.5A 25W2SC2075NPN TO-22080V 4A 10W2SC2078NPN TO-22080V 3A 10W2SC2085NPN TO-220300V 0.1A 10W 2SC2120NPN TO-9230V 0.8A 0.5W 2SC2121NPN TO-3750V 3A 50W2SC2147NPN TO-3400V 50A 200W 2SC2166NPN TO-220750V 4A 12.5W 2SC2204NPN TO-3800V 30A 250W 2SC2224NPN TO-220200V 0.2A 10W 2SC2228NPN TO-92160V 0.05A 0.75W 2SC2229NPN TO-92200V 0.05A 0.8W 2SC2230NPN TO-92200V 0.1A 0.8W 2SC2233NPN TO-220200V 4A 40W 2SC2235NPN TO-92120V 0.8A 0.9W 2SC2236NPN TO-9230V 1.5A 0.9W 2SC2240NPN TO-92120V 0.1A 100MHZ 2SC2246NPN TO-3450V 15A 100W 2SC2250NPN TO-3大450V 30A 200W 2SC2258NPN TO-126250V 0.1A 1W2SC2271NPN TO-92300V 0.1A 0.75W 2SC2274NPN TO-9260V 0.5A 0.5W 2SC2279NPN TO-220300V 0.1A 10W 2SC2300NPN TO-9250V 1A 0.5W2SC2306NPN TO-3450V 15A 150W 2SC2307NPN TOP-3A500V 12A 100W 2SC2324NPN达TO-12660V 1A 9W 2SC2330NPN达TO-9238V 6A 20W2SC2331NPN TO-220150V 2A 15W2SC2335NPN达TO-220500V 7A 40W2SC2356NPN达TO-3500V 10A 100W 2SC2369NPN达TO-9225V 0.07A 4.5GHZ 2SC2371NPN TO-126300V 0.1A 10W 2SC2373NPN TO-220200V 7.5A 40W 2SC2383NPN TO-92160V 1A 0.9W2SC2456NPN TO-126300V 0.1A 10W 2SC2458NPN TO-9250V 0.15A 0.2W 2SC2481NPN TO-126150V 1.5A 20W 2SC2482NPN TO-92300V 0.1A 0.9W 2SC2500NPN TO-9230V 2A 0.9W2SC2535NPN TO-220500V 5A 40W2SC2551NPN TO-92300V 0.1A 0.4W 2SC2553NPN TO-220500V 5A 40W2SC2562NPN TO-22060V 5A 25W2SC2564NPN MT200140V 12A 120W2SC2568NPN TO-126300V 0.2A 10W 2SC2571NPN TOP-3A100V 10A 95W 2SC2577NPN TOP-3A120V 6A 60W 2SC2581NPN TOP-3E200V 10A 100W 2SC2594NPN TO-12640V 5A 10W 2SC2603NPN TO-9250V 0.2A 0.3W 2SC2610NPN TO-92300V 0.1A 0.8W 2SC2611NPN TO-126300V 0.1A 1.25W 2SC2625NPN TOP-3A450V 10A 80W 2SC2634NPN TO-9260V 0.1A 0.4W 2SC2637NPN TO-92300V 0.1A2SC2655NPN TO-9260V 2A 0.9W f>100MHZ2SC2668NPN TO-9240V 0.02A 550MHZ 2SC2676NPN TO-12680V 10MA2SC2688NPN TO-126300V 0.2A 10W 2SC2707NPN TO-3180V 15A 150W 2SC2717NPN TO-9230V 0.05A 0.3W 2SC2719NPN TO-9280V 0.3A 0.6W 2SC2750NPN TOP-3A150V 15A 100W 2SC2773NPN MT200200V 15A 150W 2SC2774NPN MT200200V 17A 200W 2SC2785NPN TO-9260V 0.1A 0.3W 2SC2787NPN TO-9250V 0.03A 250MHZ 2SC2792NPN TOP-3A850V 2A 80W2SC2810NPN TO-220500V 7A 50W2SC2837NPN TOP-3A150V 10A 100W 2SC2878NPN TO-9250V 0.3A 0.4W 2SC2898NPN TO-220500V 8A 50W 2SC2899NPN TO-126500V 0.5A 10W 2SC2901NPN TO-9240V 0.2A2SC2910NPN TO-92180V 0.07A 0.9W 2SC2911NPN TO-92180V 0.14A 10W 2SC2930NPN TO-3500V 30A 200W 2SC2958NPN TO-126160V 0.5A 1W2SC2979NPN TO-220900V 3A 40W2SC3026NPN1700V 5A 50W 2SC3038NPN TO-220500V 4A 40W2SC3039NPN TO-220500V 7A 50W2SC3050NPN TP-31200V 5A 150W 2SC3058NPN TO-3600V30A 200W 2SC3063NPN TO-126300V 0.1A 1.2W 2SC3068NPN TO-9230V 0.3A 0.6W2SC3086NPN TO-220800V 3A 40W2SC3089NPN TOP-3A800V 7A 80W2SC3114NPN60V 0.15A 100MHZ 2SC3148NPN TO-220900V 3A 40W2SC3150NPN TO-220900V 3A 50W2SC3152NPN TOP-3A900V 3A 80W2SC3153NPN TOP-3A900V 6A 100W 2SC3158NPN TO-220F500V 7A 60W2SC3159NPN TO-220F500V 10A 80W 2SC3169NPN TO-220F500V 2A 25W2SC3178NPN TO-220F1200V 2A 60W 2SC3190NPN TO-9235V 0.1A 0.4W 2SC3192NPN TO-9235V 0.05A 0.3W 2SC3195NPN TO-9240V 0.02A 0.1W 2SC3198NPN TO-9260V 0.15A 0.4W 2SC3199NPN TO-9250V 0.15A 0.2W 2SC3200NPN TO-92120V 0.1A 0.3W 2SC3203NPN TO-9235V 0.8A 0.6W 2SC3204NPN TO-9235V 0.8A 0.3W 2SC3205NPN TO-9230V 2A 1W2SC3206NPN TO-92200V 0.05A 0.5W 2SC3209NPN TO-126300V 0.2A 0.9W 2SC3220NPN TOP-3A230V 10A 100W 2SC3230NPN TO-220300V 3A 10W2SC3231NPN TO-220200V 4A 40W2SC3258NPN TO-220100V 5A 25W2SC3260NPN达TOP-3A100V 5A 25W2SC3261NPN达TO-220F800V 3A 50W2SC3269NPN达TO-126300V 0.1A 0.75W 2SC3271NPN达TO-126300V 0.1A 5W2SC3272NPN TO-126300V 0.1A 10W 2SC3300NPN达TOP-3A100V 15A 100W 2SC3303NPN达TO-126100V 5A 20W2SC3306NPN达TOP-3A500V 10A 100W 2SC3307NPN达TOP-3A900V 10A 150W 2SC3310NPN达TO-220F500V 5A 40W 2SC3311NPN达TO-9230V 0.1A 0.3W 2SC3330NPN达TO-9260V 0.2A 0.3W 2SC3331NPN达TO-9260V 0.2A 0.5W 2SC3355NPN达TO-9220V 0.1A 0.6W 2SC3356NPN达贴片20V 0.1A 0.2W 2SC3358NPN达40A20V 0.1A 0.25W 2SC3399NPN达TO-9250V 0.1A 0.3W2SC3400NPN达TO-9250V 0.1A 0.3W 2SC3415NPN达TO-92300V 0.1A 0.6W 2SC3417NPN达TO-126300V 0.1A 1.2W 2SC3421NPN达TO-126120V 1A 10W 2SC3422NPN达TO-12640V 3A 10W 2SC3447800V 5A 50W 2SC3457NPN1100V 3A 50W 2SC3459NPN1100V 4.5A 90W 2SC3460NPN1100V 6A 100W 2SC3461NPN TO-31100V 8A 120W 2SC3467NPN达TO-92200V 0.1A 1W 2SC3468NPN达TO-92300V 0.1A 1W 2SC3481NPN D TO-31500V 5A 120W 2SC3482NPN D TOP-3A1500V 6A 120W 2SC3486NPN D TOP-3A1500V 6A 120W 2SC34911000V 4A 60W 2SC3497NPN500V 6A 30W 2SC3498NPN TO-3PL500V 30A 150W 2SC3499NPN TO-3PL500V 30A 150W 2SC4199NPN TO-3PL1400V 10A 100W 2SC3502NPN TO-126200V 0.1A 5W 2SC3503NPN TO-126300V 0.1A 7W 2SC3505NPN TOP-3A900V 6A 80W 2SC3506NPN TOP-3F1000V 3A 70W 2SC3507NPN TOP-3F1000V 5A 80W 2SC3552NPN TOP-3A1100V 12A 150W 2SC3679NPN TOP-3A900V 5A 100W 2SC3685NPN TOP-3A1500V 6A 120W 2SC3686NPN TOP-3A1500V 7A 120W 2SC3687NPN TOP-3A1500V 8A 150W 2SC3688NPN D TOP-3A1500V 10A 150W 2SC3714NPN500V 20A 200W 2SC3738NPN TOP-3A1200V 10A 175W 2SC3783NPN TOP-3A900V 5A 100W 2SC3784NPN达TO-12650V 1.2A 20W 2SC3789NPN TO-12630V 0.1A 7W 2SC3807NPN TO-12630V 2A 15W 2SC3821NPN TO-126450V 5A 40W 2SC3830NPN TO-220600V 6A 50W 2SC3832NPN TO-220500V 7A 50W 2SC3833NPN TO-220500V 12A 100W 2SC3834NPN TO-220200V 7A 50W 2SC3843NPN TOP-3A600V 10A 75W。