最新2018全国重点大学50强排名
- 格式:doc
- 大小:33.00 KB
- 文档页数:7
2018年中国大学教学质量排行榜作者:来源:《百科知识》2018年第12期艾瑞深中国校友会网发布《2018中国大学教学质量评价报告》,公布最新2018中国大学教学质量排行榜和2018中国大学富豪校友排行榜。
北京大学的本科生和研究生教育教学质量最高、毕业生质量最高、校友最杰出,居2018中国大学教学质量排行榜首位,清华大学第二,中国人民大學第三,复旦大学第四,南京大学第五。
武昌首义学院、文华学院和山东英才学院居2018中国民办大学教学质量排行榜前三强;吉林大学珠海学院、云南师范大学商学院和四川大学锦江学院列2018中国独立学院教学质量排行榜前三甲。
最引人关注的是,北京大学造富能力最强,培养了160名亿万富豪,居2018中国大学富豪校友排行榜榜首,堪称“中国亿万富豪摇篮”。
由于日本人的姓氏大多是自己取的,所以日本的姓氏特别多。
仅仅1亿多人口的日本,姓氏却有12万个,平均下来每个姓氏只有几百人。
而高高在上的日本天皇却没有姓氏。
因为天皇在日本是一个神,被认为和普通日本老百姓不属于同一物种,所以天皇不像日本的老百姓一样有姓氏。
天皇的这种神性曾经在日本被深信不疑。
到了现代社会,这种认识逐渐被打破,天皇成为了象征性的国家统治者。
1946年,裕仁天皇发表《人间宣言》,否定天皇的神圣地位,承认自己与平民百姓一样也是人。
我们常用“俯首甘为孺子牛”来形容甘愿为人民大众服务的人。
那么“孺子牛”是什么意思呢?原来,“孺子”是古时对小孩子的称谓。
“孺子牛”来自《左传》中的一个典故:春秋时,齐景公宠爱儿子荼,一次与儿子嬉戏,景公叼着绳子当牛,让儿子牵着走。
后来鲁迅的“横眉冷对千夫指,俯首甘为孺子牛”名句,使孺子牛的精神得到升华和拓展,也更为人们所熟知。
现在各种各样的体育赛事中,裁判除了手势外,一般都会使用吹哨子来作为判罚的信号。
事实上,世界上最早的一声裁判哨声来自足球赛场,是由一个警察吹响。
1863年英国才开始出现最初的足球裁判,但他们只能通过吆喝、喊叫和手势来判罚。
2018年中国最好大学排名/ueditor/201802/26/ec7d5f003629ac071ef10859b629711 d.jpg" title="1.jpg" alt="1.jpg"/>“双一流”高校在2018中国最好大学排名中占据绝对优势地位,排名前30位的全部是“双一流”高校,其中28所是一流大学建设高校,2所是一流学科建设高校。
百强大学中,“双一流”高校有88所。
与此同时,也有13所非“双一流”高校凭借过硬的指标表现跻身百强,这13所学校主要是医科院校以及地处江苏(江苏大学、南京工业大学、扬州大学)、广东(南方科技大学、深圳大学)、浙江(浙江工业大学)、福建(华侨大学)等沿海发达地区的高校。
由于今年达到综合排名门槛标准的学校数量比去年有所增加,2018中国最好大学排名的发布名单也从去年的500所增加到今年的600所。
这600所高校完整覆盖了我国内地所有31个省级行政区以及除军事、艺术以外的所有院校类型。
以下是软科2018中国最好大学排名的完整结果名单。
2018排名学校名称省市总分1清华大学北京95.32北京大学北京78.63浙江大学浙江73.94上海交通大学上海73.15复旦大学上海66.06中国科学技术大学安徽61.97南京大学江苏59.88华中科技大学湖北59.19中山大学广东58.610哈尔滨工业大学黑龙江57.411同济大学上海56.412武汉大学湖北55.513东南大学江苏55.314西安交通大学陕西54.215北京航空航天大学北京54.016南开大学天津53.917四川大学四川53.318天津大学天津52.419华南理工大学广东51.820北京师范大学北京51.721北京理工大学北京51.122厦门大学福建50.923吉林大学吉林50.224山东大学山东50.025大连理工大学辽宁49.726中南大学湖南49.527苏州大学江苏48.828对外经济贸易大学北京47.729西北工业大学陕西47.630中国人民大学北京47.531湖南大学湖南47.432华东师范大学上海46.533电子科技大学四川46.434华东理工大学上海45.535重庆大学重庆45.235南京航空航天大学江苏45.237北京科技大学北京44.537南京理工大学江苏44.539上海财经大学上海44.340中国农业大学北京43.741上海大学上海43.642东北大学辽宁43.543华中师范大学湖北43.343南方科技大学广东43.345北京交通大学北京43.046首都医科大学北京42.947武汉理工大学湖北42.848北京化工大学北京42.448北京邮电大学北京42.448东华大学上海42.451北京外国语大学北京42.152天津医科大学天津42.052中央财经大学北京42.054西安电子科技大学陕西41.955南京医科大学江苏41.756暨南大学广东41.657兰州大学甘肃41.458江南大学江苏40.859华北电力大学北京40.560中国海洋大学山东40.361哈尔滨工程大学黑龙江40.261中国地质大学(武汉)湖北40.263华中农业大学湖北40.163南京师范大学江苏40.165东北师范大学吉林40.066西南财经大学四川39.967福州大学福建39.867中国药科大学江苏39.869中国地质大学(北京)北京39.770上海外国语大学上海39.671南京农业大学江苏39.572北京工业大学北京39.272河海大学江苏39.274西南交通大学四川39.174中国医科大学辽宁39.176西南大学重庆39.077南方医科大学广东38.877中南财经政法大学湖北38.879南京信息工程大学江苏38.480江苏大学江苏38.380中国石油大学(华东)山东38.382合肥工业大学安徽38.283上海中医药大学上海38.183中国矿业大学江苏38.185浙江工业大学浙江38.086北京中医药大学北京37.986华侨大学福建37.986西北农林科技大学陕西37.989北京林业大学北京37.889东北财经大学辽宁37.891南京邮电大学江苏37.791深圳大学广东37.791中央民族大学北京37.794南京工业大学江苏37.694中国政法大学北京37.696大连医科大学辽宁37.597中国石油大学(北京)北京37.398西北大学陕西37.298中国传媒大学北京37.2100宁波大学浙江36.8100扬州大学江苏36.8102华南师范大学广东36.7102陕西师范大学陕西36.7104浙江师范大学浙江36.5105首都经济贸易大学北京36.4105西交利物浦大学江苏36.4107首都师范大学北京36.2107浙江理工大学浙江36.2109广东外语外贸大学广东36.1110湖南师范大学湖南35.9110汕头大学广东35.9110燕山大学河北35.9113杭州电子科技大学浙江35.8114广西医科大学广西35.7115南京财经大学江苏35.6115中国矿业大学(北京)北京35.6117哈尔滨医科大学黑龙江35.5118安徽大学安徽35.4118河北医科大学河北35.4120湖北大学湖北35.3121河北工业大学河北35.2121云南大学云南35.2123大连海事大学辽宁35.1123上海理工大学上海35.1125湘潭大学湖南35.0126长安大学陕西34.8126杭州师范大学浙江34.8128太原理工大学山西34.6129重庆医科大学重庆34.5130浙江工商大学浙江34.3131沈阳药科大学辽宁34.1132上海对外经贸大学上海33.9132温州医科大学浙江33.9134上海师范大学上海33.7135南昌大学江西33.5135浙江财经大学浙江33.5137广西大学广西33.4137江西财经大学江西33.4137辽宁大学辽宁33.4137青岛大学山东33.4137武汉科技大学湖北33.4142东北农业大学黑龙江33.3143华南农业大学广东33.2144广东工业大学广东33.0145山西大学山西32.8146安徽医科大学安徽32.7147东北林业大学黑龙江32.6147徐州医科大学江苏32.6147郑州大学河南32.6150广州医科大学广东32.5150三峡大学湖北32.5152黑龙江大学黑龙江32.4153上海海事大学上海32.3154福建医科大学福建32.1154河北大学河北32.1154江苏师范大学江苏32.1157广西师范大学广西32.0157济南大学山东32.0157石家庄铁道大学河北32.0157天津师范大学天津32.0161北京体育大学北京31.9161武汉工程大学湖北31.9163北京工商大学北京31.8164天津财经大学天津31.7165北京物资学院北京31.6165天津工业大学天津31.6167长沙理工大学湖南31.5167中南民族大学湖北31.5169渤海大学辽宁31.4169湖北工业大学湖北31.4169南京审计大学江苏31.4169南京中医药大学江苏31.4173河北师范大学河北31.3173河南大学河南31.3173中国人民公安大学北京31.3176广州大学广东31.2176山东师范大学山东31.2176四川农业大学四川31.2179常州大学江苏31.1179南通大学江苏31.1181中国民航大学天津31.0182广州中医药大学广东30.9183北京建筑大学北京30.8184安徽财经大学安徽30.7184天津中医药大学天津30.7184武汉纺织大学湖北30.7187江苏科技大学江苏30.6188重庆工商大学重庆30.5188河北科技大学河北30.5188温州大学浙江30.5191华北理工大学河北30.4191辽宁工业大学辽宁30.4191青岛科技大学山东30.4191西安理工大学陕西30.4195北方工业大学北京30.3195重庆邮电大学重庆30.3195昆明医科大学云南30.3195云南师范大学云南30.3199长春理工大学吉林30.2199福建师范大学福建30.2199宁夏医科大学宁夏30.2199浙江农林大学浙江30.2199中国计量大学浙江30.2204湖北中医药大学湖北30.1204内蒙古大学内蒙古30.1204沈阳航空航天大学辽宁30.1207河南师范大学河南30.0207上海海洋大学上海30.0207苏州科技大学江苏30.0207天津理工大学天津30.0211山东财经大学山东29.9212安徽工业大学安徽29.7212湖北第二师范学院湖北29.7212沈阳医学院辽宁29.7215安徽师范大学安徽29.6215海南大学海南29.6217黑龙江中医药大学黑龙江29.5217湖南农业大学湖南29.5217新乡医学院河南29.5220长江大学湖北29.4220福建农林大学福建29.4220西安建筑科技大学陕西29.4223江西师范大学江西29.3223山东科技大学山东29.3225贵州大学贵州29.2225辽宁师范大学辽宁29.2225上海电力学院上海29.2228湖南中医药大学湖南29.1228上海立信会计金融学院上海29.1228天津科技大学天津29.1228武汉轻工大学湖北29.1228延边大学吉林29.1233集美大学福建29.0233闽南师范大学福建29.0235北京信息科技大学北京28.9235河北农业大学河北28.9235湖北经济学院湖北28.9235湖南工业大学湖南28.9235南京工程学院江苏28.9235西南民族大学四川28.9241山西财经大学山西28.8241西华师范大学四川28.8243广西民族大学广西28.7243桂林医学院广西28.7243江汉大学湖北28.7243四川师范大学四川28.7247成都理工大学四川28.6247重庆交通大学重庆28.6247山西师范大学山西28.6250锦州医科大学辽宁28.5250南华大学湖南28.5250西南石油大学四川28.5250浙江中医药大学浙江28.5254河南理工大学河南28.4254湖南科技大学湖南28.4256桂林电子科技大学广西28.3256信阳师范学院河南28.3258福建中医药大学福建28.2258广西中医药大学广西28.2258湖北师范大学湖北28.2258吉林师范大学吉林28.2258昆明理工大学云南28.2258新疆医科大学新疆28.2258中北大学山西28.2265长春中医药大学吉林28.1265西南医科大学四川28.1265浙江传媒学院浙江28.1268曲阜师范大学山东28.0268陕西科技大学陕西28.0270重庆师范大学重庆27.9270东北电力大学吉林27.9270中南林业科技大学湖南27.9273哈尔滨师范大学黑龙江27.8273湖州师范学院浙江27.8273吉林财经大学吉林27.8273辽宁中医药大学辽宁27.8273南京林业大学江苏27.8278云南财经大学云南27.7279常熟理工学院江苏27.6279重庆理工大学重庆27.6279广东医科大学广东27.6279哈尔滨理工大学黑龙江27.6279河南财经政法大学河南27.6279西安邮电大学陕西27.6285广东财经大学广东27.5285青岛理工大学山东27.5287湖北医药学院湖北27.4287山西医科大学山西27.4289东北石油大学黑龙江27.3289兰州交通大学甘肃27.3289山东农业大学山东27.3289西北师范大学甘肃27.3289右江民族医学院广西27.3294河南工业大学河南27.2294上海体育学院上海27.2296黄冈师范学院湖北27.0296宁夏大学宁夏27.0296绍兴文理学院浙江27.0296沈阳建筑大学辽宁27.0296浙江科技学院浙江27.0301大连交通大学辽宁26.9302安徽农业大学安徽26.8302成都中医药大学四川26.8302广西师范学院广西26.8302河北经贸大学河北26.8302河南农业大学河南26.8302浙江海洋大学浙江26.8308桂林理工大学广西26.7308上海工程技术大学上海26.7308新疆大学新疆26.7308烟台大学山东26.7312上海应用技术大学上海26.6313长春工业大学吉林26.5313大连民族大学辽宁26.5313河北工程大学河北26.5313河南科技大学河南26.5313兰州理工大学甘肃26.5313上海第二工业大学上海26.5319大理大学云南26.4320重庆文理学院重庆26.3320河北北方学院河北26.3320盐城工学院江苏26.3323大连大学辽宁26.2323广东药科大学广东26.2323华东交通大学江西26.2323江苏理工学院江苏26.2323沈阳师范大学辽宁26.2323西安工业大学陕西26.2329北京印刷学院北京26.1329淮阴师范学院江苏26.1329内蒙古医科大学内蒙古26.1329玉林师范学院广西26.1333大连工业大学辽宁26.0333河北地质大学河北26.0333湖北工程学院湖北26.0333沈阳工业大学辽宁26.0337贵州医科大学贵州25.9337厦门理工学院福建25.9337云南中医学院云南25.9340承德医学院河北25.8340广东海洋大学广东25.8340太原科技大学山西25.8340天津商业大学天津25.8340徐州工程学院江苏25.8340盐城师范学院江苏25.8346长春大学吉林25.7346金陵科技学院江苏25.7348湖北汽车工业学院湖北25.6348南京晓庄学院江苏25.6348西安科技大学陕西25.6348郑州师范学院河南25.6352广东技术师范学院广东25.5352哈尔滨商业大学黑龙江25.5352海南师范大学海南25.5352湖南商学院湖南25.5352山西大同大学山西25.5352沈阳农业大学辽宁25.5358安阳师范学院河南25.4358嘉兴学院浙江25.4358齐齐哈尔医学院黑龙江25.4358山东中医药大学山东25.4358太原师范学院山西25.4358潍坊医学院山东25.4364安徽建筑大学安徽25.3364滨州医学院山东25.3364川北医学院四川25.3364广东金融学院广东25.3364淮北师范大学安徽25.3364吉首大学湖南25.3364南昌航空大学江西25.3364西安医学院陕西25.3364郑州轻工业学院河南25.3373长沙学院湖南25.2373大连海洋大学辽宁25.2373辽宁工程技术大学辽宁25.2373山西农业大学山西25.2377湖南第一师范学院湖南25.1377吉林农业大学吉林25.1377济宁医学院山东25.1377西华大学四川25.1381北京农学院北京25.0381佛山科学技术学院广东25.0381淮海工学院江苏25.0381江苏第二师范学院江苏25.0385西安石油大学陕西24.9386海南医学院海南24.8386河北科技师范学院河北24.8386湖北民族学院湖北24.8386陕西中医药大学陕西24.8386石河子大学新疆24.8391北华大学吉林24.7391长治医学院山西24.7391牡丹江医学院黑龙江24.7391浙江外国语学院浙江24.7395安徽工程大学安徽24.6395湖南理工学院湖南24.6397西安工程大学陕西24.5398北京石油化工学院北京24.4398河南中医药大学河南24.4398江西理工大学江西24.4401长春师范大学吉林24.3401湖北科技学院湖北24.3403福建工程学院福建24.2403贵州师范学院贵州24.2403吉林医药学院吉林24.2403泰山医学院山东24.2403云南民族大学云南24.2408湖北理工学院湖北24.1408江西科技师范大学江西24.1408青海大学青海24.1408山东建筑大学山东24.1408西安财经学院陕西24.1408忻州师范学院山西24.1408云南农业大学云南24.1415安徽理工大学安徽24.0415广东第二师范学院广东24.0415宁波工程学院浙江24.0415沈阳大学辽宁24.0415沈阳化工大学辽宁24.0420赣南医学院江西23.9420沈阳理工大学辽宁23.9420西南科技大学四川23.9420延安大学陕西23.9420遵义医学院贵州23.9425鲁东大学山东23.8425西安文理学院陕西23.8427东华理工大学江西23.7427哈尔滨学院黑龙江23.7427江西农业大学江西23.7427辽宁石油化工大学辽宁23.7427闽江学院福建23.7427曲靖师范学院云南23.7427西南林业大学云南23.7434常州工学院江苏23.6434东莞理工学院广东23.6434石家庄学院河北23.6434中原工学院河南23.6438蚌埠医学院安徽23.5438湖南文理学院湖南23.5438辽宁科技大学辽宁23.5438唐山学院河北23.5438天津城建大学天津23.5443北京服装学院北京23.4443广东石油化工学院广东23.4443江西中医药大学江西23.4443齐齐哈尔大学黑龙江23.4443山东理工大学山东23.4443陕西理工大学陕西23.4443通化师范学院吉林23.4450成都学院四川23.3450廊坊师范学院河北23.3450齐鲁工业大学山东23.3450五邑大学广东23.3454宝鸡文理学院陕西23.2454贵州财经大学贵州23.2454华北水利水电大学河南23.2454吉林建筑大学吉林23.2454青岛农业大学山东23.2454上海电机学院上海23.2460佳木斯大学黑龙江23.1460沈阳工程学院辽宁23.1460郑州航空工业管理学院河南23.1463成都信息工程大学四川23.0463河南工程学院河南23.0463黑龙江科技大学黑龙江23.0463湖南财政经济学院湖南23.0467甘肃农业大学甘肃22.9467贵州师范大学贵州22.9467临沂大学山东22.9467四川理工学院四川22.9467皖南医学院安徽22.9472岭南师范学院广东22.8472运城学院山西22.8474赣南师范大学江西22.7474洛阳理工学院河南22.7474太原工业学院山西22.7474唐山师范学院河北22.7474中国民用航空飞行学院四川22.7479长江师范学院重庆22.5479湖北文理学院湖北22.5479昆明学院云南22.5479内江师范学院四川22.5479天津农学院天津22.5479仲恺农业工程学院广东22.5485贵州民族大学贵州22.4485黑龙江工程学院黑龙江22.4485景德镇陶瓷大学江西22.4485许昌学院河南22.4489重庆第二师范学院重庆22.3489内蒙古工业大学内蒙古22.3489钦州学院广西22.3489泉州师范学院福建22.3493北京联合大学北京22.2493重庆科技学院重庆22.2493新疆师范大学新疆22.2496衡阳师范学院湖南22.1496荆楚理工学院湖北22.1496龙岩学院福建22.1496山东工商学院山东22.1496天津职业技术师范大学天津22.1496邢台学院河北22.1496肇庆学院广东22.1503湖南工程学院湖南22.0503惠州学院广东22.0503湘南学院湖南22.0506鞍山师范学院辽宁21.9506淮阴工学院江苏21.9506洛阳师范学院河南21.9506商丘师范学院河南21.9510广西科技大学广西21.8511安庆师范大学安徽21.7511北华航天工业学院河北21.7511成都医学院四川21.7511丽水学院浙江21.7511聊城大学山东21.7511南阳师范学院河南21.7517乐山师范学院四川21.6518安徽中医药大学安徽21.5518井冈山大学江西21.5518南昌工程学院江西21.5521韩山师范学院广东21.4521合肥学院安徽21.4521湖南城市学院湖南21.4521莆田学院福建21.4525青海师范大学青海21.3526合肥师范学院安徽21.2526吉林化工学院吉林21.2526兰州城市学院甘肃21.2526绵阳师范学院四川21.2526韶关学院广东21.2526咸阳师范学院陕西21.2532河南科技学院河南21.1532新乡学院河南21.1534西北民族大学甘肃21.0535黑龙江八一农垦大学黑龙江20.9535内蒙古民族大学内蒙古20.9537邯郸学院河北20.8537宜宾学院四川20.8539北方民族大学宁夏20.7539贵阳中医学院贵州20.7539黄淮学院河南20.7542贺州学院广西20.6542红河学院云南20.6542辽东学院辽宁20.6542内蒙古农业大学内蒙古20.6542齐鲁师范学院山东20.6542渭南师范学院陕西20.6548长春工程学院吉林20.5548内蒙古科技大学内蒙古20.5548周口师范学院河南20.5551牡丹江师范学院黑龙江20.4551四川文理学院四川20.4553南阳理工学院河南20.3553内蒙古师范大学内蒙古20.3553山东交通学院山东20.3553泰山学院山东20.3557滨州学院山东20.1557黄山学院安徽20.1557嘉应学院广东20.1557衢州学院浙江20.1561池州学院安徽20.0562华北科技学院河北19.9562新疆农业大学新疆19.9564河西学院甘肃19.8564湖南工学院湖南19.8566楚雄师范学院云南19.7566铜陵学院安徽19.7566榆林学院陕西19.7566玉溪师范学院云南19.7570河南城建学院河南19.6570天水师范学院甘肃19.6572商洛学院陕西19.5572邵阳学院湖南19.5574贵阳学院贵州19.4574湖南科技学院湖南19.4574浙江万里学院浙江19.4577皖西学院安徽19.3578安阳工学院河南19.2578宜春学院江西19.2580怀化学院湖南19.1581九江学院江西18.8582重庆三峡学院重庆18.7582济宁学院山东18.7584攀枝花学院四川18.6585滁州学院安徽18.5585桂林航天工业学院广西18.5587潍坊学院山东18.4588安徽科技学院安徽18.1588伊犁师范学院新疆18.1590蚌埠学院安徽18.0590平顶山学院河南18.0592成都工业学院四川17.8593淮南师范学院安徽17.7594陇东学院甘肃17.5595德州学院山东17.4596赤峰学院内蒙古17.0596塔里木大学新疆17.0598巢湖学院安徽16.7599铜仁学院贵州16.6600西藏大学西藏16.4600枣庄学院山东16.4。
排名学校名称省市总分生源质量(新生高考成绩得分)培养结果(毕业生就业率)1清华大学北京95.3100.097.50%2北京大学北京78.696.497.39%3浙江大学浙江73.986.396.56%4上海交通大学上海73.190.598.65%5复旦大学上海66.091.597.23%6中国科学技术大学安徽61.992.193.60%7南京大学江苏59.888.493.77%8华中科技大学湖北59.182.494.48%9中山大学广东58.681.192.01%10哈尔滨工业大学黑龙江57.478.296.16%11同济大学上海56.487.098.67%12武汉大学湖北55.584.496.51%13东南大学江苏55.381.898.27%14西安交通大学陕西54.283.697.48%15北京航空航天大学北京54.085.498.64%16南开大学天津53.985.997.16%17四川大学四川53.375.795.33%18天津大学天津52.482.597.20%19华南理工大学广东51.874.899.00%20北京师范大学北京51.785.198.89%593淮南师范学院安徽17.716.392.44% 594陇东学院甘肃17.524.5595德州学院山东17.413.796.76% 596赤峰学院内蒙古17.013.089.14% 596塔里木大学新疆17.019.670.70% 598巢湖学院安徽16.715.794.53% 599铜仁学院贵州16.611.696.85% 600西藏大学西藏16.414.1600枣庄学院山东16.411.893.53% 微信公众号:软科 |更多排名请访问官方网址:www.zuihaodaxue.c社会声誉(社会捐赠收入·千元)科研规模(论文数量·篇)科研质量(论文质量·FWCI)顶尖成果(高被引论文·篇)1,182,14544,730 1.4471,556665,61643,731 1.3741,278452,41447,915 1.131939226,27949,749 1.176960257,46831,039 1.37177763,40622,240 1.54884784,66825,729 1.40869129,66629,130 1.262761148,62129,393 1.30463958,31928,364 1.09363993,99525,319 1.00343981,79924,845 1.14953438,17021,546 1.11154538,18726,563 1.09349953,06718,945 1.01035569,02612,159 1.48741546,52131,5070.967452162,74722,023 1.04642148,58719,220 1.230518185,22812,5521.243286。
中国六大行政区域哪所大学的综合办学实力最强、办学水平最高的大学?哪些大学跻身2018年世界一流大学、世界高水平大学、中国顶尖大学和中国一流大学行列?艾瑞深中国校友会网编写完成、科学出版社即将出版的《2018中国大学评价研究报告—中国高考志愿填报指南(校友会版)》发布2018中国大学排行榜1200强和2018中国各行政区域大学排行榜等榜单,北京大学(分数线,专业设置)和清华大学(分数线,专业设置)问鼎2018中国大学排行榜冠亚军,浙江大学、复旦大学和中国人民大学(分数线,专业设置)跻身全国前5强;清华大学、北京大学、中国人民大学、香港大学和台湾大学荣膺2018中国八星级大学,晋升世界一流大学行列。
北京大学问鼎2018华北地区大学综合实力排行榜榜首在最新校友会2018中国大学排行榜700强中,北京大学、清华大学、中国人民大学、天津大学、南开大学、北京师范大学、北京航空航天大学(分数线,专业设置)、北京理工大学、中国农业大学、北京交通大学(分数线,专业设置)名列校友会2018华北地区大学综合实力排行榜前10强。
校友会2018中国华北地区大学排行榜10强西安交通大学问鼎2018西北地区大学综合实力排行榜榜首在最新校友会2018中国大学排行榜700强中,西安交通大学、西北工业大学、兰州大学、西安电子科技大学、西北大学、西北农林科技大学、长安大学、陕西师范大学、新疆大学、西北师范大学名列校友会2018西北地区大学综合实力排行榜前10强。
校友会2018中国西北地区大学排行榜10强四川大学问鼎2018西南地区大学综合实力排行榜榜首在最新校友会2018中国大学排行榜700强中,四川大学、重庆大学、电子科技大学、西南大学、西南交通大学、云南大学、昆明理工大学、西南财经大学、贵州大学、西南政法大学名列校友会2018西南地区大学综合实力排行榜前10强。
校友会2018中国西南地区大学排行榜10强武汉大学问鼎2018中南地区大学综合实力排行榜榜首在最新校友会2018中国大学排行榜700强中,武汉大学、中山大学、华中科技大学、中南大学、华南理工大学、湖南大学、武汉理工大学、华中师范大学、华中农业大学、郑州大学名列校友会2018中南地区大学综合实力排行榜前10强。
2018中国综合类大学排行榜名次学校名称全国排名星级排名办学层次1 北京大学 1 8星级世界一流大学2 浙江大学3 7星级世界知名高水平、中国顶尖大学3 复旦大学4 7星级世界知名高水平、中国顶尖大学4 中国人民大学5 8星级世界一流大学5 上海交通大学6 7星级世界知名高水平、中国顶尖大学6 武汉大学7 7星级世界知名高水平、中国顶尖大学7 南京大学8 7星级世界知名高水平、中国顶尖大学8 中山大学9 7星级世界知名高水平、中国顶尖大学9 吉林大学10 7星级世界知名高水平、中国顶尖大学10 四川大学12 7星级世界知名高水平、中国顶尖大学11 南开大学14 7星级世界知名高水平、中国顶尖大学11 西安交通大学14 7星级世界知名高水平、中国顶尖大学13 中南大学17 6星级世界高水平、中国顶尖大学14 山东大学20 6星级世界高水平、中国顶尖大学15 厦门大学21 6星级世界高水平、中国顶尖大学16 东南大学22 6星级世界高水平、中国顶尖大学17 重庆大学31 5星级世界知名、中国一流大学18 兰州大学32 6星级世界高水平、中国顶尖大学19 湖南大学35 5星级世界知名、中国一流大学20 西南大学37 4星级世界知名、中国高水平大学21 郑州大学49 5星级世界知名、中国一流大学22 中国海洋大学50 5星级世界知名、中国一流大学23 西北大学51 4星级世界知名、中国高水平大学24 上海大学55 4星级世界知名、中国高水平大学25 苏州大学58 4星级世界知名、中国高水平大学26 云南大学64 5星级世界知名、中国一流大学27 南昌大学70 4星级世界知名、中国高水平大学28 深圳大学73 4星级世界知名、中国高水平大学29 暨南大学74 4星级世界知名、中国高水平大学30 江南大学75 4星级世界知名、中国高水平大学31 广西大学83 4星级世界知名、中国高水平大学32 河南大学84 4星级世界知名、中国高水平大学33 宁波大学87 4星级世界知名、中国高水平大学34 山西大学90 4星级世界知名、中国高水平大学35 扬州大学97 4星级世界知名、中国高水平大学36 河北大学102 4星级世界知名、中国高水平大学37 安徽大学103 4星级世界知名、中国高水平大学38 辽宁大学104 4星级世界知名、中国高水平大学39 新疆大学107 5星级世界知名、中国一流大学40 湘潭大学108 4星级世界知名、中国高水平大学41 黑龙江大学112 4星级世界知名、中国高水平大学42 江苏大学113 4星级世界知名、中国高水平大学43 贵州大学122 4星级世界知名、中国高水平大学44 内蒙古大学123 4星级世界知名、中国高水平大学45 青岛大学137 3星级中国知名、区域一流大学46 河南科技大学138 3星级中国知名、区域一流大学47 华侨大学144 3星级中国知名、区域一流大学48 广州大学146 3星级中国知名、区域一流大学48 山东科技大学146 3星级中国知名、区域一流大学50 海南大学149 3星级中国知名、区域一流大学51 湖北大学154 3星级中国知名、区域一流大学52 汕头大学159 3星级中国知名、区域一流大学53 石河子大学162 3星级中国知名、区域一流大学54 延边大学182 3星级中国知名、区域一流大学55 大连大学184 3星级中国知名、区域一流大学55 济南大学184 3星级中国知名、区域一流大学57 宁夏大学204 3星级中国知名、区域一流大学58 长江大学209 3星级中国知名、区域一流大学59 湖南科技大学211 3星级中国知名、区域一流大学60 三峡大学219 2星级区域高水平大学61 烟台大学234 2星级区域高水平大学62 集美大学243 2星级区域高水平大学62 南通大学243 2星级区域高水平大学64 西藏大学247 3星级中国知名、区域一流大学65 北华大学254 2星级区域高水平大学66 重庆工商大学265 2星级区域高水平大学67 南华大学273 2星级区域高水平大学68 鲁东大学278 2星级区域高水平大学69 内蒙古科技大学284 2星级区域高水平大学70 青海大学294 3星级中国知名、区域一流大学71 聊城大学304 2星级区域高水平大学72 齐齐哈尔大学306 2星级区域高水平大学73 北京联合大学309 2星级区域高水平大学74 渤海大学317 2星级区域高水平大学74 西华大学317 2星级区域高水平大学76 长春大学348 2星级区域高水平大学76 吉首大学348 2星级区域高水平大学78 延安大学355 2星级区域高水平大学79 佳木斯大学357 2星级区域高水平大学79 内蒙古民族大学357 2星级区域高水平大学81 临沂大学374 1星级区域知名大学82 塔里木大学375 1星级区域知名大学83 丽水学院387 1星级区域知名大学84 沈阳大学389 2星级区域高水平大学84 绍兴文理学院389 1星级区域知名大学86 五邑大学407 1星级区域知名大学87 大理大学424 1星级区域知名大学87 井冈山大学424 1星级区域知名大学87 重庆文理学院424 1星级区域知名大学90 江汉大学435 1星级区域知名大学91 成都学院441 1星级区域知名大学91 佛山科学技术学院441 1星级区域知名大学91 金陵科技学院441 1星级区域知名大学94 湖南文理学院452 1星级区域知名大学94 黄山学院452 1星级区域知名大学96 绥化学院458 1星级区域知名大学97 韶关学院467 1星级区域知名大学98 湖南科技学院480 1星级区域知名大学98 黄淮学院480 1星级区域知名大学98 九江学院480 1星级区域知名大学101 湖南城市学院499 1星级区域知名大学101 洛阳理工学院499 1星级区域知名大学103 上海海关学院505 1星级区域知名大学104 滨州学院507 1星级区域知名大学104 巢湖学院507 1星级区域知名大学104 滁州学院507 1星级区域知名大学107 惠州学院518 1星级区域知名大学107 莆田学院518 1星级区域知名大学107 三明学院518 1星级区域知名大学107 山西大同大学518 1星级区域知名大学107 皖西学院518 1星级区域知名大学107 肇庆学院518 1星级区域知名大学113 常熟理工学院531 1星级区域知名大学113 德州学院531 1星级区域知名大学113 河西学院531 1星级区域知名大学113 湖南人文科技学院531 1星级区域知名大学113 嘉应学院531 1星级区域知名大学113 武夷学院531 1星级区域知名大学113 宜宾学院531 1星级区域知名大学113 重庆三峡学院531 1星级区域知名大学121 台州学院547 1星级区域知名大学121 潍坊学院547 1星级区域知名大学123 湖北文理学院552 1星级区域知名大学123 昆明学院552 1星级区域知名大学125 海南热带海洋学院563 2星级区域高水平大学125 宝鸡文理学院563 1星级区域知名大学125 怀化学院563 1星级区域知名大学128 百色学院570 1星级区域知名大学128 贺州学院570 1星级区域知名大学128 龙岩学院570 1星级区域知名大学128 钦州学院570 1星级区域知名大学128 泰山学院570 1星级区域知名大学128 梧州学院570 1星级区域知名大学128 西安文理学院570 1星级区域知名大学128 宜春学院570 1星级区域知名大学128 运城学院570 1星级区域知名大学137 赤峰学院590 1星级区域知名大学137 喀什大学590 1星级区域知名大学137 陇东学院590 1星级区域知名大学137 山东青年政治学院590 1星级区域知名大学141 黑河学院607 1星级区域知名大学141 晋中学院607 1星级区域知名大学141 攀枝花学院607 1星级区域知名大学141 榆林学院607 1星级区域知名大学145 安顺学院617 1星级区域知名大学145 哈尔滨学院617 1星级区域知名大学145 凯里学院617 1星级区域知名大学145 兰州城市学院617 1星级区域知名大学145 兰州文理学院617 1星级区域知名大学145 枣庄学院617 1星级区域知名大学151 安康学院633 1星级区域知名大学151 贵阳学院633 1星级区域知名大学151 呼伦贝尔学院633 1星级区域知名大学151 平顶山学院633 1星级区域知名大学151 宿州学院633 1星级区域知名大学156 红河学院644 1星级区域知名大学156 太原学院644 1星级区域知名大学158 长治学院650 1星级区域知名大学158 邯郸学院650 1星级区域知名大学158 衡水学院650 1星级区域知名大学158 济宁学院650 1星级区域知名大学158 山东女子学院650 1星级区域知名大学158 泰州学院650 1星级区域知名大学164 池州学院659 1星级区域知名大学164 西昌学院659 1星级区域知名大学166 菏泽学院671 1星级区域知名大学166 吕梁学院671 1星级区域知名大学166 萍乡学院671 1星级区域知名大学166 铜仁学院671 1星级区域知名大学166 新余学院671 1星级区域知名大学171 商洛学院678 1星级区域知名大学171 四川旅游学院678 1星级区域知名大学171 四川文理学院678 1星级区域知名大学171 文山学院678 1星级区域知名大学171 新乡学院678 1星级区域知名大学176 邢台学院684 1星级区域知名大学176 张家口学院684 1星级区域知名大学178 景德镇学院689 1星级区域知名大学179 普洱学院692 1星级区域知名大学180 河套学院697 1星级区域知名大学181 昭通学院713 1星级区域知名大学182 亳州学院719 1星级区域知名大学182 滇西应用技术大学719 1星级区域知名大学中国社会科学院大6星级世界高水平、中国顶尖大学学2018中国综合类合作办学大学排行榜名次学校名称综合排名星级排名办学层次1 西交利物浦大学- 6星级中国顶尖民办大学2 北京师范大学-香港浸会大学联合国际学院- 6星级中国顶尖民办大学3 宁波诺丁汉大学- 6星级中国顶尖民办大学4 昆山杜克大学- 5星级中国一流民办大学5 上海纽约大学- 5星级中国一流民办大学6 香港中文大学(深圳)- 5星级中国一流民办大学7 温州肯恩大学- 4星级中国高水平民办2018中国综合类独立学院排行榜名次学校名称综合排名星级排名办学层次1 吉林大学珠海学院 1 6星级中国顶尖独立学院2 四川大学锦江学院3 6星级中国顶尖独立学院3 北京师范大学珠海分校4 6星级中国顶尖独立学院4 中国地质大学长城学院10 6星级中国顶尖独立学院5 同济大学浙江学院11 6星级中国顶尖独立学院6 南京大学金陵学院12 6星级中国顶尖独立学院7 中山大学南方学院13 6星级中国顶尖独立学院8 南开大学滨海学院14 6星级中国顶尖独立学院9 天津大学仁爱学院15 6星级中国顶尖独立学院10 厦门大学嘉庚学院16 6星级中国顶尖独立学院11 四川大学锦城学院19 5星级中国一流独立学院12 北京理工大学珠海学院20 5星级中国一流独立学院13 云南大学滇池学院21 5星级中国一流独立学院14 河北大学工商学院23 5星级中国一流独立学院15 东北师范大学人文学院24 5星级中国一流独立学院16 东南大学成贤学院27 5星级中国一流独立学院17 重庆大学城市科技学院29 5星级中国一流独立学院18 云南师范大学文理学院30 4星级中国高水平独立学院19 云南大学旅游文化学院32 5星级中国一流独立学院20 中山大学新华学院33 5星级中国一流独立学院21 电子科技大学中山学院34 4星级中国高水平独立学院21 河南大学民生学院34 4星级中国高水平独立学院23 昆明理工大学津桥学院41 4星级中国高水平独立学院24 西北工业大学明德学院43 4星级中国高水平独立学院25 河海大学文天学院49 4星级中国高水平独立学院26 南昌大学科学技术学院56 3星级中国知名、区域一流独立学院27 集美大学诚毅学院60 3星级中国知名、区域一流独立学院28 北京科技大学天津学院64 3星级中国知名、区域一流独立学院29 福建师范大学协和学院65 3星级中国知名、区域一流独立学院30 北京邮电大学世纪学院67 4星级中国高水平独立学院31 湘潭大学兴湘学院69 3星级中国知名、区域一流独立学院32 贵州大学明德学院71 3星级中国知名、区域一流独立学院33 北京工业大学耿丹学院73 3星级中国知名、区域一流独立学院34 宁波大学科学技术学院74 3星级中国知名、区域一流独立学院35 浙江师范大学行知学院75 3星级中国知名、区域一流独立学院36 南京邮电大学通达学院76 3星级中国知名、区域一流独立学院37 南京信息工程大学滨江学院87 3星级中国知名、区域一流独立学院38 苏州大学文正学院88 3星级中国知名、区域一流独立学院39 江西师范大学科学技术学院95 3星级中国知名、区域一流独立学院40 北京航空航天大学北海学院98 3星级中国知名、区域一流独立学院41 天津师范大学津沽学院101 3星级中国知名、区域一流独立学院42 广西大学行健文理学院103 3星级中国知名、区域一流独立学院43 上海师范大学天华学院104 3星级中国知名、区域一流独立学院44 扬州大学广陵学院107 2星级区域高水平独立学院45 福州大学至诚学院117 2星级区域高水平独立学院46 广西师范大学漓江学院118 2星级区域高水平独立学院47 西南交通大学希望学院122 2星级区域高水平独立学院48 烟台大学文经学院123 2星级区域高水平独立学院49 贵州大学科技学院124 2星级区域高水平独立学院50 江苏师范大学科文学院128 2星级区域高水平独立学院51 广州大学松田学院130 2星级区域高水平独立学院52 南京工业大学浦江学院131 2星级区域高水平独立学院53 河北地质大学华信学院133 2星级区域高水平独立学院54 南通大学杏林学院140 2星级区域高水平独立学院55 南昌大学共青学院142 2星级区域高水平独立学院56 苏州科技大学天平学院145 2星级区域高水平独立学院57 长安大学兴华学院146 2星级区域高水平独立学院58 广西民族大学相思湖学院156 1星级区域知名独立学院59 绍兴文理学院元培学院157 1星级区域知名独立学院60 江苏大学京江学院159 1星级区域知名独立学院61 广东海洋大学寸金学院161 1星级区域知名独立学院62 中国矿业大学银川学院162 1星级区域知名独立学院63 天津财经大学珠江学院163 1星级区域知名独立学院64 南京财经大学红山学院166 1星级区域知名独立学院65 安徽大学江淮学院171 1星级区域知名独立学院66 温州大学瓯江学院175 1星级区域知名独立学院67 阜阳师范学院信息工程学院180 1星级区域知名独立学院68 长春大学旅游学院182 1星级区域知名独立学院69 新疆大学科学技术学院183 1星级区域知名独立学院70 贵州民族大学人文科技学院185 1星级区域知名独立学院71 延安大学西安创新学院187 1星级区域知名独立学院72 江西农业大学南昌商学院189 1星级区域知名独立学院73 安徽农业大学经济技术学院192 1星级区域知名独立学院74 广西师范学院师园学院193 1星级区域知名独立学院75 南京师范大学中北学院197 1星级区域知名独立学院76 苏州大学应用技术学院199 1星级区域知名独立学院77 宁夏大学新华学院200 1星级区域知名独立学院78 天津理工大学中环信息学院202 1星级区域知名独立学院79 浙江农林大学暨阳学院203 1星级区域知名独立学院80 南京审计大学金审学院204 1星级区域知名独立学院81 湖南科技大学潇湘学院209 1星级区域知名独立学院82 江苏科技大学苏州理工学院212 1星级区域知名独立学院83 吉首大学张家界学院219 1星级区域知名独立学院84 聊城大学东昌学院222 1星级区域知名独立学院85 青海大学昆仑学院223 1星级区域知名独立学院86 南京医科大学康达学院225 1星级区域知名独立学院87 常州大学怀德学院227 1星级区域知名独立学院88 湖南文理学院芙蓉学院228 1星级区域知名独立学院89 济南大学泉城学院231 1星级区域知名独立学院90 南京中医药大学翰林学院232 1星级区域知名独立学院91 内蒙古大学创业学院239 1星级区域知名独立学院2018中国综合类民办大学排行榜名次学校名称综合排名星级排名办学层次1 山东英才学院 3 6星级中国顶尖民办大学2 三亚学院 5 6星级中国顶尖民办大学3 武汉学院8 6星级中国顶尖民办大学4 西安培华学院9 6星级中国顶尖民办大学5 仰恩大学11 6星级中国顶尖民办大学6 上海建桥学院12 6星级中国顶尖民办大学7 西安外事学院13 6星级中国顶尖民办大学8 武汉工商学院14 5星级中国一流民办大学9 汉口学院15 5星级中国一流民办大学10 北京城市学院16 6星级中国顶尖民办大学11 西安翻译学院20 5星级中国一流民办大学12 武汉东湖学院23 5星级中国一流民办大学13 沈阳城市学院27 5星级中国一流民办大学14 湖南涉外经济学院31 5星级中国一流民办大学15 青岛滨海学院32 4星级中国高水平民办大学16 上海杉达学院35 5星级中国一流民办大学17 黑龙江东方学院36 5星级中国一流民办大学18 三江学院44 4星级中国高水平民办大学19 重庆人文科技学院50 4星级中国高水平民办大学20 无锡太湖学院51 4星级中国高水平民办大学21 武汉晴川学院54 4星级中国高水平民办大学22 天津天狮学院76 3星级中国知名、区域一流民办大学23 成都文理学院78 3星级中国知名、区域一流民办大学24 南宁学院80 3星级中国知名、区域一流民办大学25 宁夏理工学院82 3星级中国知名、区域一流民办大学26 云南工商学院89 2星级区域高水平民办大学27 商丘学院92 2星级区域高水平民办大学28 黑龙江工商学院95 2星级区域高水平民办大学29 哈尔滨广厦学院96 2星级区域高水平民办大学30 哈尔滨剑桥学院100 2星级区域高水平民办大学31 武汉设计工程学院107 2星级区域高水平民办大学32 信阳学院110 2星级区域高水平民办大学33 安阳学院111 1星级区域知名民办大学34 宿迁学院117 1星级区域知名民办大学35 山东现代学院146 1星级区域知名民办大学36 茅台学院148 2星级区域高水平民办大学37 厦门华厦学院150 1星级区域知名民办大学38 河北东方学院151 1星级区域知名民办大学。
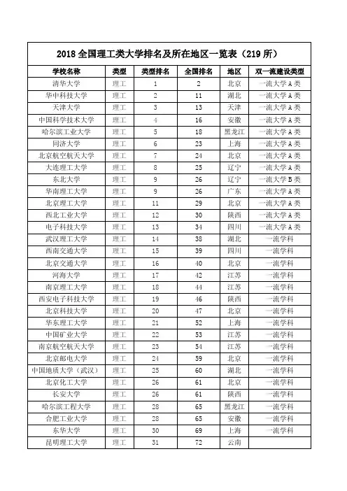
---------------------------------------------------------------范文最新推荐------------------------------------------------------ 最新2018全国重点大学50强排名
1 北京大学
2 清华大学
3 复旦大学
4 中国国民大学
5 浙江大学
6 南京大学
7 中国科学技巧大学
8 上海交通大学
9 北京师范大学
10 南开大学
11 北京航空航天大学
12 哈尔滨工业大学
13 西安交通大学
14 武汉大学
15 天津大学
16 中山大学
17 华中科技大学
18 厦门大学
19 同济大学
1 / 7
20 中国农业大学
21 四川大学
22 东南大学
23 中南大学
24 北京理工大学
25 大连理工大学
26 山东大学
27 华东师范大学
28 北京科技大学
29 吉林大学
30 中央财经大学
31 上海财经大学
32 西北工业大学
33 对外经济贸易大学
34 湖南大学
35 北京交通大学
36 华南理工大学
37 北京外国语大学
38 中国海洋大学
39 中国政法大学
40 南京航空航天大学
41 华东理工大学
---------------------------------------------------------------范文最新推荐------------------------------------------------------
42 北京邮电大学
43 重庆大学
44 南京理工大学
45 电子科技大学
46 上海外国语大学
47 兰州大学
48 北京语言大学
49 华中师范大学
50 东北大学
尊敬的党组织:
敬爱的党组织,今天我郑重地递上申请书,是我人生历程中最庄严神圣的一件事,是我在入党前对人生的一次宣誓。
若党组织在严格审查后能予以批准,我将认真履行党章上所要求的一切,严格要求自己,接受党组织和同志们的监督,严于律己、勤奋进取,努力作一名合格而且先进的共产党员,为党的事业、为我国的社会主义向现代化事业贡献我毕生的精力和热血。
我自愿要求加入中国共产党,因为共产党是中国工人阶级的先锋队,是中国各族人民利益的忠实代表,是中国社会主义事业的领导核心。
3 / 7
中国共产党以马克思列宁主义、毛泽东思想作为自己的行动指南。
马克思列宁主义揭示了人类社会发展的普遍规律,分析了资本主义制度本身无法克服的固有矛盾,指出社会主义必将代替资本主义,共产主义必将在全人类实现。
毛泽东思想是马克思列宁主义普遍真理与中国革命具体实践相结合的产物,是中国共产党集体智慧的结晶,是被实践证明了的关于中国革命和建设的正确的理论原则和经验的总结。
实践证明,中国共产党是伟大、光明、正确的党,它善于在实践中不断的总结经验,完善自己,保持正确的航向;它一切从实际出发,理论联系实际、实事求是;它全心全意为人民服务,把群众利益放在第一位,同广大人民同甘共苦;它坚持民主集中制,充分发挥各级党组织和广大党员的积极性和创造性;它实行民主的科学决策,制定和执行正确的路线、方针和政策;它坚持四项基本原则,从严治党、发扬党的优良传统和作风,提高党的战斗力;它维护和发展国内各民族的平等、团结、互助关系,坚持实行和不断完善民族区域自治制度,帮助少数民族地区发展经济、文化,实现各民族的共同繁荣和全面进步;它积极团结各民主党派、无党派人士、各种爱国力量,加强同港、澳、台同胞的联系,按照”一国两制”的方针,完成祖国统一大业;它积极发展对外关系,在国际事务中,坚持独立自主的和平外交政策,反对霸权主义和强权政治。
我生在新中国,长在红旗下,党的教育伴随我走过了21年的人生历程。
还在孩提时,电影里、课本上革命先烈的英勇行为,便使我感受到了党的神圣和伟大。
那鲜艳的党旗如熊熊燃烧的烈火,温暖着我
---------------------------------------------------------------范文最新推荐------------------------------------------------------ 的心窝。
我常常梦想着自己有一天也能站在党旗下,向党宣誓,成为一名优秀的中国共产党党员。
在那时,我已深深地懂得正是那金色的镰刀和锄头砸碎了禁锢在劳动人民身上的铁链,打破黑暗旧社会的枷锁,推翻了几千年来压在中华民族头上的三座大山,是中国共产党,给处在水深火热中的炎黄子孙带来了新生活。
本人加入党的愿望由来已久。
这种愿望不是一时冲动,而是发自内心深处的一种执著与崇高的信念,这种信念给了我克服一切障碍、追随中国共产党建设社会主义中国的勇气、信心和力量。
即使组织上认为我尚未符合一个党员的资格,我也将按党章的标准,严格要求自己,总结经验,寻找差距,继续努力,争取早日加入党组织。
请党组织在实践中考验我!
此致
敬礼
申请人
朔县属于雁门郡,马邑县。
马邑故址是两汉时期北方的军事重镇,汉王朝派驻重兵扼守,抗击匈奴的进扰。
因为汉代盛行原葬,所以两汉仅400年间,在这平沙莽莽的边陲,遗留下大批的戍边官吏、士兵和平民的墓葬。
朔阳汉墓群之大,分布之广,保存之完整是全国少见的。
5 / 7
从1983年3月组织朔县汉墓群的发掘,对研究汉代社会、经济、文化具有重要的价值,同时对墓葬、器物的分期断代提供了重要依据。
在平朔露天煤矿生活区就有汉墓800多座,年代是从西汉初到东汉末的400年间。
从墓葬的开制看,有坚穴墓、洞室墓、砖室墓、木椁墓等不同形制的墓葬。
墓有方形和长方形两种,均有墓道;木椁墓,椁室由椁盖、椁壁、铺地板、垫木组成。
从这些墓葬形制的发展中,可窥视到汉代社会的逐渐进步。
在汉墓挖掘过程中,发现了许多极有价值的现象。
在一个墓穴中,土壁上完整保留着当年挖墓人的足窝和一道道的镐痕。
在一个墓穴的陶罐里,竟然发现了一只汉代老鼠。
至今肢体保存完好。
从墓葬形制和随葬器物看,这里汉墓中的主人不是当年战死沙场的将士,而是屯居边塞正常死亡的军民。
从出土印章看,基本属于王、秦两大家族。
这些墓大多为一棺一椁,仰身直肢。
但也有罕见的现象:一座母子合葬墓,墓中有一大一小两具骨骸,妈妈搂着孩子,相依为命,其情悲伤,催人泪下。
俩人是同死的?先后死的?还有一座夫妻合葬墓,棺内有两副骨架,侧身曲肢,紧紧搂抱,女尸头枕在男尸的胳膊上,男尸紧搂女尸于怀中,真可谓至死不分离。
“在天愿作比翼鸟,在地愿为连理枝”
---------------------------------------------------------------范文最新推荐------------------------------------------------------ 啊!另一个小小墓穴中,有一对骨骸被反缚着手,首体分离,跪卧于土穴之中。
他们是战俘,还是奴隶?是被杀,还是被活埋?还有一座墓穴中,有两架肢体,一架躺在棺内,另一架在棺外作爬行状。
这些奇特怪异的骨骸和葬法,给考古工作者提出了一道新课题。
这批汉墓的出土文物相当丰富。
在已经发掘的随葬器物中有陶器、漆器、玉器、铜器、铅器等。
其中有一组铜质伎人镇,造型粗犷、线条简练,形态各异,还有一件直径为18厘米的百乳镜,铜质佳、制作精、乳钉聚于镜面,似浩字繁星,是汉镜中的珍品。
铜质的四神熏炉和龟鹤博山炉,一个制作精细,一个刻工精细,具有一定的艺术价值,也是珍贵的文物。
还有汉武帝、宣帝、文帝、新莽及东汉等时期的各式钱币。
此外还出土大量兵器,这证明雁朔地区确实是个大动干戈、兵家争夺的古战场。
7 / 7。