高一周周练
- 格式:docx
- 大小:19.70 KB
- 文档页数:2
高中物理学习材料桑水制作洛阳市第一高级中学高一物理周周练一、选择题(1、6、8、9、10为单选题,每小题3分,共33分)1.下列说法不正确的是()A.在不需要考虑物体本身的大小和形状时,用质点来代替物体的方法叫假设法B. 我们有时会用比值法定义一些物理量,如速度、密度及加速度等。
C.根据速度定义式v=ΔxΔt,当Δt极短时,ΔxΔt就可以表示物体在t时刻的瞬时速度,该定义应用了物理的极限法D.用打点计时器测速度的实验中用了留迹法2.下列几种全运会比赛项目中的研究对象可视为质点的是( )A.帆船比赛中确定帆船在大海中的位置B.跆拳道比赛中研究运动员的动作C.铅球比赛中研究铅球被掷出后在空中飞行的时间D.撑杆跳高比赛中研究运动员手中的支撑杆在支撑地面过程中的转动情况时3.根据中国已经确定的探月工程的计划,整个探月工程分为三个阶段:一期工程为“绕”,二期工程为“落”,2017年进行的三期工程为“回”.中国首枚绕月探测卫星“嫦娥一号”由“长征三号甲”运载火箭成功送入太空,在“嫦娥一号”卫星飞向38万千米外的月球的漫长旅途中,需要进行一系列高度复杂且充满风险的动作,即进行三次绕地球变轨,然后进入地月转移轨道,再进行三次绕月球变轨,最后绕月球做圆周运动.图L112是“嫦娥一号”升空的路线图,下列说法正确的是( )图L11 2A.图中描述卫星绕地球运行情景的三个椭圆轨道都是以地球为参考系的B.图中描述卫星绕月球运动情景的三个轨道都是以月球为参考系的C.图中描述卫星运动情景的所有轨道都是以地球为参考系的D.图中描述卫星运动情景的所有轨道都是以太阳为参考系的4.为了研究车轮上A、B两点的运动,在车轮后面的路面上埋设一根固定不动的木棒作为参考系,木棒与车轮上的A、B两点连线重合,如图C12所示.当车轮往前(右)滚动了一段距离后,对滚动过程,下列说法正确的是( )图C1 2A.车轮上A点的位移方向向右偏上B.车轮上A点的位移方向向右偏下C.车轮上B点的位移方向向右D.车轮上B点的位移方向向右偏上5.三个质点A、B、C的运动轨迹如图所示,三质点同时从N点出发,同时到达M点,下列说法正确的是 ( )A.三个质点从N到M的平均速度相同B.B质点从N到M的平均速度方向与任意时刻的瞬时速度方向相同C.三个质点平均速度的方向不可能相同D.三个质点的瞬时速度有可能相同6、关于加速度的相关知识,下列说法正确的是 ( )A.某物体在运动过程中,速度变化得越多,加速度一定越大B.某物体在运动过程中,速度变化得越快,加速度可能越小C.某物体在运动过程中,加速度方向保持不变,则其速度方向也一定保持不变D.某物体在运动过程中,可能会出现,加速度在变大,但其速度在变小的情况7.汽车在一条平直公路上行驶,其加速度方向与速度方向一致.现有加速度减小时的四种说法,其中正确的是( )A.汽车的速度也减小B.汽车的速度仍在增大C.当加速度减小到零时,汽车静止D.当加速度减小到零时,汽车的速度达到最大8. 某人在医院做了一次心电图,结果如图所示.如果做心电图的仪器卷动纸带的速度为1.5 m/min,图中方格纸每小格长为1 mm,则此人的心率为( )A. 80次/minB. 70次/minC. 60次/minD. 50次/min9、如图所示的位移(x)—时间(t)图像和速度(v)—时间(t)图像中给出四条图线,甲、乙、丙、丁代表四辆车由同一地点向同一方向运动的情况,则下列说法正确的是( )A.甲车做直线运动,乙车做曲线运动B.0~t 1时间内,甲车通过的路程大于乙车通过的路程C.0~t 2时间内,丙、丁两车在t 2时刻相距最远D.0~t 2时间内,丙、丁两车的平均速度相等10. 设物体运动的加速度为a 、速度为v 、位移为x .现有4个不同物体的运动过程中某物理量与时间的关系图象,如图所示,已知t =0时物体的速度均为零,则其中表示物体做单向直线运动的图象是( )11物体A 、B 从同一地点开始沿同一方向做直线运动,它们的速度图象如图中的A 、B 所示。
高一上学期数学周练13一、选择题.请把答案直接填涂在答题卡相应位置上......... 1.已知函数()f x 的定义域为[]-2,2,则函数()()3g x f x = ( D )A .2,13⎡⎤⎢⎥⎣⎦B .[]1,1-C .123,⎡⎤-⎢⎥⎣⎦D .22,33⎡⎤-⎢⎥⎣⎦2.设⎭⎬⎫⎩⎨⎧-∈3,21,1,1α,则使函数αx y =的定义域为R 且为奇函数的所有的α的值为 ( A )A.1,3B.-1,1C.-1,3D.-1,1,3 3.若幂函数()()22433m f x m m x -=--在()0,+∞上为减函数,则实数m =( B )A.41m m ==-或B.1m =-C. 21m m ==-或D. 4m =4.已知ba cb a ==⎪⎭⎫ ⎝⎛=,2.0log ,31312.0,则c b a 、、的大小关系为( B )A 、c b a <<B 、b a c <<C 、b c a <<D 、a c b <<5.已知函数()()log 4(0a f x ax a =->且1a ≠)在[]0,2上单调递减,则a 的取值范围是 ( B ) A .()0,1 B .()1,2 C .()0,2 D .[)2,+∞6.已知函数()()()()21,11log ,013aa x x f x x x ⎧->⎪=⎨-<≤⎪⎩,当1>0x ,20x >,且12x x ≠时,()()12120f x f x x x -<-,则实数a 的取值范围是 ( C )A .10,2⎛⎫ ⎪⎝⎭B .11,32⎡⎫⎪⎢⎣⎭C .10,3⎛⎤ ⎥⎝⎦D .1,3⎛⎤-∞ ⎥⎝⎦ 7.函数()ln 1f x x =-的图象大致是 ( B )A .B .C .D .8.已知函数()3122xxf x x =+-,若()()2120f a f a -+≤,则实数a 的取值范围为 ( D )春雨教育A. (]1,1,2⎡⎫-∞-+∞⎪⎢⎣⎭B. 1,12⎡⎤-⎢⎥⎣⎦ C. [)1,1,2⎛⎤-∞-+∞ ⎥⎝⎦ D.11,2⎡⎤-⎢⎥⎣⎦二、多选题:(每小题给出的四个选项中,不止一项是符合题目要求的,请把正确的所有选项填涂在答题卡相应的位置上)9.(多选)下列各式比较大小,正确的是 ( BC )A .1.72.5>1.73 B .24331()22-> C .1.70.3>0.93.1D .233423()()34>10.(多选)若,,()()(y)x y R f x y f x f ∀∈+=+有,则函数()f x 满足 ( ACD )A. (0)0f = B.为偶函数()f x C.()f x 为奇函数 D.(2020)2020(1)f f = 11.(多选)下列说法正确的是 ( ABD )A .函数()24f x x x =-在区间()2,+?上单调递增B .函数()24xxf x e -=在区间()2,+?上单调递增C .函数()()2ln 4f x x x =-在区间()2,+?上单调递增D .若函数()()1f x x ax =-在区间()0,+?上单调递增,则0a ≤12.高斯是德国著名的数学家,近代数学奠基者之一,享有“数学王子”的称号,他和阿基米德、牛顿并列为世界三大数学家,用其名字命名的“高斯函数“为:设x ∈R ,用[]x 表示不超过x 的最大整数,则[]y x =称为高斯函数,例如:[ 3.5]4-=-,[2.1]2=.已知函数1()12=-+x xe f x e ,则关于函数()[()]g x f x =的叙述中正确的是 ( BC )A.()g x 是偶函数 B.()f x 是奇函数C.()f x 在R 上是增函数D.()g x 的值域是{}1,0,1-【解析】选BC ()()()111[012e g f e ==-=+,1111(1)[(1)][[]112121e g f e e-=-=-=-=-++,()()11g g ∴≠-,则()g x 不是偶函数,故A 错误; 1()12=-+x x e f x e 的定义域为R , 111()()11121211xxx x x x x x e e e e f x f x e e e e---+=-+-=+-++++11011x x xe e e=+-=++,()f x ∴为奇函数,故B 正确; 111111()121221x x x xxe ef x e e e +-=-=-=-+++, 又x e 在R 上单调递增,11()21xf x e ∴=-+在R 上是增函数,故C 正确;春雨教育0x e > ,11x e ∴+>,则1011x e <<+,可得11112212x e -<-<+,即11()22f x -<<. ()[()]{1g x f x ∴=∈-,0},故D 错误.故选BC.三、填空题.请把答案直接填写在答题卡相应位置上......... 13.已知定义在R 上的奇函数,当0x <时有3()2x f x x =-+,则()f x =____332,00,02,0x x x x x x x -⎧+>⎪=⎨⎪-+<⎩_____14.若关于x 的函数12(log )x y a =是R 上的减函数,则实数a 的取值范围是1(,1)2. 15.设函数2()log )f x x =,若对任意的(1,)x ∈-+∞,不等式(ln )(24)0f x a f x -++<恒成立,则a 的取值范围是___(0,]e ____.16.设函数()()()2,142,1x a x f x x a x a x ⎧-<⎪=⎨--≥⎪⎩. ①若1a =,则()f x 的最小值为____1-___;②若()f x 恰有2个零点,则实数a 的取值范围是___[)1,12,2⎡⎫+∞⎪⎢⎣⎭____.四、解答题.请在答题卡指定区域内作答,解答时应写出文字说明、证明过程或演算步骤.17. 设函数()()⎪⎭⎫ ⎝⎛⋅=4log 8log 22x x x f ,144x ≤≤,(1)求⎪⎭⎫⎝⎛41f 的值(2)若2log t x =,求t 取值范围;(3)求()f x 的最值,并给出最值时对应的x 的值。
高一数学上学期15周周练1〕A、3πB、C、6πD、9π2〕A、2倍B、4倍C、D、1)3、以下命题中:①空间四点共面,那么其中必有三点共线;②空间四点不共面,那么其中任何三点不共线;③空间四点中有三点共线,那么此四点共面;④空间四点任何三点有共线,那么此四点不共面。
其中正确的选项是〔〕A、②③B、①②③C、①②D、②③④4、以下命题中正确的个数是〔〕①假设直线l上有无数个点不在平面α内,那么l//α②假设直线l平行于平面α,那么l与平面α内的任意一直线平行③两条平行线中的一条直线与一个平面平行,那么另一条也与这个平面平行④假设一直线l和平面α内一直线a平行,那么l//αA、0个B、1个C、2个D、3个-的棱BC、CD、DA的中点,那么此四面体中,与过E、F、G的5、E、F、G分别是四面体A BCD截面平行的棱的条数是〔〕A、0条B、1条C、2条D、3条⊄,那么以下结论成立的是〔〕6、假设直线m不平行于平面α,且mαA、α内的所有直线与m异面B、α内不存在与m平行的直线C、α内存在唯一的直线与m平行D、α内的直线与m都相交7、α、β是两个不重合的平面,在以下重要条件中,可判定的是〔〕A、α、β都平行于直线B、α内有三个不共线的点到β的距离相等C、l、m是α内的两条直线,且l//β,m//βD、l、m是两条异面直线,且l//α,m//α,l//β,m//β8、平面α⋂平面β=a,平面β⋂平面γ=b,平面γ⋂平面α=c,假设a//b,那么c与a、b的位置关系是〔〕A、c与a、b都异面B、c与a、b都相交C、c至少与a、b中的一条相交D、c与a、b都平行9、假设直线a //平面α,b //平面β,且,a b βα⊂⊂,那么a 、b 位置关系〔 〕A 、a //bB 、a 、b 异面C 、a 、b 一定不相交D 、无法确定10、三个不重合的平面可将空间分成n 局部,那么n 的所有可能值为〔 〕A 、4、6、7B 、4、7、8C 、4、6、7、8D 、4、5、6、811、假设空间四边形ABCD 两条对角线AC 、BD 的长分别是8,12,过AB 的中点E 且平行于BD 、AC 的截面四边形的周长为12、如图,正方体1111ABCD A B C D -中,O 为底面ABCD 的中心,试在图中画出平面11B C O 与平面ABCD 的交线,并作适当说明13、正方体1111ABCD A B C D -中,过11,,B C D 三点的平面与底面ABCD 的交线为14、空间四边形ABCD 中,各边及对角线长为2,E 为AB 的中点,过CE 且平行于AD 的平面交BD 于F ,那么CEF 的周长为 , 面积为15、//αβ,a β⊄,//a α,求证://a β16、如图,三棱柱111ABC A B C -中,F 是11A C 中点,求证:1//BC F 1平面AB。
高一周周练答案1D(形容词用作动词,露出白色) 2.A(A转折连词,却/修饰连词B助词,的C介词,在D 句末语气词)3.B(Axiǎn C jīD bū)4.B (秀才:优秀的人才。
这是当时荐举人员的科目之一,与明清科举成生员为秀才不同。
) 5.D6.C(其中②③⑧是错误的)7 A(察:考察后予以举荐。
其他三项均为任免官职的专称)8.D (过余:到我这里来。
即来看我。
)9.D(婢:婢女。
)10.C 11.D (A 前:方位名词作状语。
B西:方位名词作状语。
C效:名词作动词,取得功名。
D无词类活用。
)12.C 13 B(A.喻:明白;C.修:高高的,化:指自然;D.向:过去,从前。
)14 C(A项“实在”;B项“使者,指媒人”;C项“信物,凭据”;D项“信任”。
)15 D (D项应是行军途中的驻地。
)16 B (B项“临”意为“对着”,也可引申为“阅读”。
)17 D (①把,②用来,③凭借,④来。
)18 A (A项均为时间短暂,B项繁盛/多,C项相会/恰逢,D项即使/虽然。
)19 D ( A项“把它作为”,B项“它的旁边”,C项“用它来”。
)20 C (A.“高”,形容词;“写”,动词。
B.“全,都”,副词;“完”,形容词。
C.“实在,的确”,副词。
D.“面对”,动词;“将要”,副词。
)21 D (例句与D项均为形容词活用作名词,A项为名词作动词,B项为副词作动词,C项为数词的意动用法。
)22 D王羲之做过右军将军,人称“王右军”。
23B (和:应和。
)24 .C D(A 把;用来。
B代词,代鹤;这样。
C却,表转折。
D 介词在。
)25.B (第一段说明放鹤亭得名的原因。
)26.(1)在这个亭子里喝酒并以此为乐。
(2)凭借这保全他们的真性,并闻名后世。
(3)独自整天在山涧峡谷中,啄食青苔,踩着白石头。
【译文】熙宁十年秋,彭城暴发洪水,云龙山人张君的草屋,洪水漫上他家大门的一半。
第二年春天,洪水退去,山人搬家到原来住屋的东面,在东山的山脚下。
高一语文周周练(本卷满分80分)班级_________姓名_________学号__________一、选择题(3X8=24分)1.下列词语中加点的字,读音都正确的一组是()A. 绯.闻(fēi)说.服(shuō)恪.尽职守(kâ)按捺.不住(nà)B. 矿藏.(zàng)盥.洗(guàn)瞠.目结舌(chēng)溘.然长逝(kâ)C. 忸怩.(niē)隽.永(juàn)锃.光瓦亮(zâng)令人咋.舌(zã)D. 追溯.(sù)埋.怨(mái)下自成蹊.(xī)穿凿.附会(záo)2.下列各组词语中加点的字,读音都不相同....的一组是(3分)A. 拱.顶供.给烘.干一哄.而散B. 剽.窃漂.白剂保镖.虚无缥.缈C. 复辟.偏僻.癖.好劈.头盖脑D. 戡.乱湛.蓝勘.验字斟.句酌3.下列各句中,加点的成语使用恰当的一句是()A. 2011年我国许多地方的大旱警示我们,本来就水资源匮乏的北京离“水贵如油”的情形指日可...待.,节水意识还需要进一步加强。
B.漂亮而有个性的新车型越来越多,这对消费者来说无疑是一件大好事,他们有了更多的选择余地,可以择善而从....。
C.十二五的第一个年头国家财政税收稳定增长,跨过十万亿大关,这都由于中央决策者们和经济界人士高瞻远瞩,从长计议....。
D.光芒万丈的美国篮球巨星,在现实的劳资关系中也不过是棋子,而摆布棋子的大手,就是能翻云覆雨....的NBA资方。
4.下列各句中,加点的成语使用恰当的一句是A.西岳华山素以陡峭险峻著称。
那一天,尽管天气异常晴朗,甚至连影响爬山的丁点风儿也没有,但大家仍然如丸走坂....,丝毫不敢大意。
B.卫生筷其实并不卫生,多为黑作坊经过简单浸泡漂白后即投放市场的“产品”。
近日,长沙市警方和工商、卫生等部门上下其手....,一举摧毁了多个制脏窝点。
高一周周练试题物理本试卷分第Ⅰ卷(选择题)第Ⅱ卷(非选择题)两部分。
共100分。
考试时间100分钟。
第Ⅰ卷(选择题共36分)一、单项选择题:共12小题,每小题3分,共36分。
在每一小题给出的四个选项中有的只有一个选项是正确的,有的有多个选项是正确的。
全部选对的得3分,选对但不全的得2分,有选错的不得分。
1.下列关于质点的说法,正确的是()A.研究宇宙飞船在轨道上的运动时,飞船不能看作质点B.研究从北京开往日照的火车通过沂河桥所用的时间时,火车可看作质点C.研究奥运会艺术体操运动员的动作时,能将运动员看作质点D.研究某同学从家到学校所用时间时,可以把该同学看作质点2.以下说法中,指时刻是()A.中央电视台春节联欢晚会将于20点零5分现场直播B.我国运动员刘翔在奥运会男子110米栏决赛中以12.91s的成绩勇夺金牌C.我国实行每周工作40小时的劳动制度D.我国发射的“神州五号”载人飞船在环绕地球14圈历时21小时后在内蒙古主着陆场成功着陆3.关于路程和位移的关系,下列说法正确的是()A.物体沿直线向某一方向运动时,通过的路程就是位移B.物体沿直线向某一方向运动时,通过的路等于位移的大小C.物体通过的路程不为零,位移也一定不为零D.物体的位移为零,路程也一定为零4.下列所说的速度中,哪个是平均速度()A.百米赛跑的运动员以9.5m/s的速度冲过终点线B.返回地面的太空舱以8m/s的速度落入太平洋C.由于堵车,在隧道内的车速仅为1.2m/sD.子弹以800m/s的速度撞击在墙上5.下列说法不正确的是 ( )A .加速度表示增加的速度B .加速度表示速度变化的快慢C .物体具有向南的加速度,而速度的方向可以向北D .物体运动时的加速度为零,而速度可以不为零6.一质点自原点开始在x 轴上运动,初速度v 0>0,加速度a >0,当a 值减小时(a 仍大于零)则质点的( )A .速度不断减小,位移逐渐增大B .速度和位移都只能逐渐增大到某个定值C .速度增大,位移趋近于某个定值D .速度逐渐增大,位移也逐渐增大7.一物体的位移函数式是s =4t +2t 2+5(m ),那么它的初速度和加速度分别是 ( )A .2m/s ,0.4m/s 2B .4m/s ,2m/s 2C .4m/s ,4m/s 2D .4m/s ,1m/s 28.从高度为125m 的塔顶,先后落下a 、b 两球,自由释放这两个球的时间差为1s ,则以下判断正确的是(g 取10m/s 2,不计空气阻力) ( )A .b 球下落高度为20m 时,a 球的速度大小为30m/sB .a 球接触地面瞬间,b 球离地高度为45mC .在a 球接触地面之前,两球的速度差恒定D .在a 球接触地面之前,两球离地的高度差恒定 9.飞机起飞时,其竖直方向速度随时间变化规律如图所示,下列说法正确的是 ( )A .飞机经20min 达到最高点B .飞机飞行的最大高度为6000mC .飞机经5min 达到最高点D .飞机飞行的最大高度为4500m10.做初速度不为零的匀加速直线运动的物体,在时间T内通过位移s 1到达A 点,接着在时间T 内又通过位移s 2到达B 点,则以下判断正确的是( )A .物体在A 点的速度大小为122s s T+ B .物体运动的加速度为122s TC .物体运动的加速度为212s sT-55D .物体在B 点的速度大小为212s s T-11.某物体沿直线运动,其v —t 图象如图2所示, 则下列说法正确的是 ( ) A .第1s 内和第6s 内速度方向相反 B .第1s 内和第6s 内的加速度方向相反 C .第2s 内的加速度为零 D .第6s 末物体回到原出发点 12.一个物体做自由落体运动,取2/10s m g =,则在物体下落的过程中 ( ) ①物体第2s 末的速度为20m/s ②物体第2s 内的平均速度为10m/s ③物体前2s 内下落的高度为20m ④物体第2s 内下落的高度是10m A .①② B .③④ C .①③ D .②④题号 1 2 3 4 5 6 7 8 9 10 11 12 答案第Ⅱ卷(非选择题共64分)二、填空题:本题共3小题,每小题4分,共12分。
宜阳一高2014—2015学年第一学期高一周周练语文试卷命题人:李华民考试时间:120分钟满分:120分一、基础选择题。
(每题3分,共84分)1. 下列加点字读音完全正确的一项是()A、匪我愆.(qiān)期白头偕.(jiē)老尔卜尔筮.(shì) 淇水汤汤..(shāng)B、体无咎.(jiù)言夙.(sù)兴夜寐渐.(jiàn)车帷裳雨雪霏.(fēi)霏C、将.(qiāng)子无怒象弭.(mǐ)鱼服小人所腓.(fãi) 四牡.(mǔ)业业D、不遑.(huáng)启处忧心孔疚.(jiù) 自我徂.(cú)尔于.(yú)嗟鸠兮2、下列各句中无词类活用的一项是()A、夙兴夜寐,靡有朝矣。
B、昔我往矣,杨柳依依。
C、四牡翼翼,象弭鱼服。
D、今我来思,雨雪霏霏。
3、各句的加点字的解释有误的一项是()A、总角之宴,言笑晏晏..。
宴:形容词,快乐。
B、我戍未定,靡使归聘.。
聘:动词,访问,探问。
C、忧心烈烈,载.饥载渴。
载:动词,承载。
D、君子所依,小人所腓.。
腓:动词,遮蔽。
4、对下列加点词语的意义和用法判断正确的一项是()(1)以.见复关以.尔车来,以我贿迁(2)二三其.德吾其.还也A、两个“以”字相同,两个“其”字也相同B、两个“以”字相同,两个“其”字不同。
C、两个“以”字不同,两个“其”字相同。
D、两个“以”字不同,两个“其”字也不同。
5、下列句中全有通假字的一项是()①于嗟鸠兮,无食桑葚②士之耽兮,犹可说也③女也不爽,士贰其行④淇则有岸,隰则有泮⑤岂曰无衣? 与子同泽⑥信誓旦旦,不思其反A、①②④⑤B、①③④⑤C、②③⑤⑥D、②③④⑥6、下列词语中加点字注音全对的一项是()A.哽咽.(yâ) 遗.(wâi)施否.(fǒu)泰络绎.(yì)B.伶俜.(.pīnɡ) 磐.(bān)石窈.(yǎo)窕公姥.(mǔ)C.白鹄.(hú) 赍.(jī)钱彷.(pánɡ)徨龙幡.(fān)D.葳蕤.(ruí) 鲑.(ɡuì)珍踯.(zhí)躅晻晻..(yǎn)7、下列加点的词与现代汉语意义完全相同的一项是()①却.与小姑别②适.得府君书.③可怜....体无比④汝岂得自由⑤五里一徘徊....不能语⑧昼夜勤作息..⑥举言..谓新妇⑦哽咽⑨便复在旦夕....⑩既欲结大义..⑪本自无教训A.①③⑩B.②⑦⑧C.⑤⑦⑨D.④⑥⑪8、下列各组多义词中,对意义相同的两项判断正确的是()①a.儿已薄禄相. b.嬉戏莫相.忘 c.黄泉下相.见 d.会不相.从许②a.相见.常日稀 b.君既若见.录 c.渐见.愁煎迫 d.府吏见.丁宁③a.阿母谢.媒人 b.多谢.后世人 c.谢.家来贵门 d.谢.家事夫婿A.①bd②bd③cd B.①ad ②cd ③acC.①ac②ad③bd D.①bc ②ac ③bc9、对下面句子中“书”字解说正确的一项是()①十六诵诗书②视历复开书③适得府君书④人多以书假余⑤相如顾召赵御史书曰⑥读其书未毕,齐军万弩齐发A.①②同B.③④同C.⑤⑥同D.都不同10、下列各句的句式不同于其他三项的一项是()A.仍更被驱遣B.汝是大家子C.为仲卿母所遣D.渐见愁煎迫11、对下列句子中加点词含义解释完全正确的一组是()A.始适.还家门(女子出嫁) 适.得府君书(刚才)B.故.作不良计(故意) 大人故.嫌迟(特地)C.幸.可广问讯(幸亏) 幸.复得此妇(希望)D.徒留无所施.(用处) 留待作遗施.(施舍)12、加点虚词用法相同的一项是()A.吾今且.报府四体康且.直B.君尔.妾亦然诺诺复尔尔..C.君既若.见录腰若.流纨素D.于今无会因.因.求假暂归13、选择没有通假字的一组()①终老不复取②伏惟启阿母③箱帘六七十④摧藏马悲哀⑤幸复得此妇⑥泪落便如泻A.②③④B.①③④C.①⑤⑥D.②⑤⑥14、对下列加点词解释全正确的一项是()①虽与府吏要.(约定) ②可怜..体无比(可爱) ③再.拜还入户(又拜一次)④谢.家来贵门(离开) ⑤多谢.后世人(感谢) ⑥便言多令才..(美好)⑦始适.还家门(适逢) ⑧留待作遗施..(赠送)A.①③④⑤⑧B.②④⑤⑥⑧C.①②④⑦⑧D.①②④⑥⑧15、“相”可以表示一方对另一方的动作,相当于第一人称代词、第二人称代词或第三人称代词。
第一次周练答案1、答案:C解析:“不齿”指不与同列(表示鄙视),如“人所不齿”。
“不耻”指不以之为羞耻。
如“不耻下问”。
沟通:谈话。
勾通:暗中勾结串通。
“包含”是事物本身所含有的意思。
“饱含”是充满的意思。
2、答案:D(瓜田李下:比喻容易引起嫌疑的场合.此处用于形容质朴简单的乡村生活,使用错误;高山流水:比喻知己或知音。
也比喻乐曲高妙。
项抱残守缺:形容保守不知改进。
从语意来看,此处使用符合题意;厝火积薪:把火放到柴堆下面,比喻潜伏着很大的危险;执牛耳:在某一方面居领导地位,指人;风流云散:比喻原常相聚的人四下离散。
)3、答案:B (A.“大约”和“左右”重复。
C.成分残缺,“净化”缺宾语。
D.“根据”和“显示”杂糅)4、【答案】B 据线前的“仅仅”,⑥有“而且”衔接,之后和③“特别是”构成进一层递进关系。
接下来比喻论证。
最后⑤中“谣言这种舆论的癌细胞”是过渡句。
5、【答案】A【解析】试题分析:本题考查语言表达得体的能力。
可根据词语意思及具体语境分析判断,①“令爱”或“令千金”都对;②“忝列”改为“名列”(“忝列”是一个谦词,评说别人则有贬抑的意味,与语境不合);③“承让”改为“手下留情”(“承让”是比赛时获胜方所说的谦词,意思是自己胜得侥幸,承蒙对方的谦让。
不能请对方“承让”);④“忽悠”改为“欺骗”(“忽悠”属于方言口语,司法文书要使用正规的书面语)。
6、【答案】A将思念家乡、弃官归隐称为莼鲈之思。
7、B8.这千百年来迎着漠风晕染出一片苍凉的陕北的柳,不知在等待谁。
二、默写见课本三、(30分)(一)9.快,洪亮以……为耻见课本注释(6分)10.C 11.B 12.B 13.D 14.C 15.B (12分)(二)16—19见课本(12分)四、(26分)(一)20、(1)攻打、讨伐(2)效法,学习。
(3)南面(4)(“反”同“返”。
)21、今人应当以其愚心而师圣人之智。
(点拨:注意“不亦过乎”的意思是“不是太过分了吗”。
汝城一中高一数学周周练(1)满分:150分 时量:120分钟注 意:交卷时只交答卷一、选择题:每小题5分,共50分,每小题有且只有一个正确答案。
1.设集合P={立方后等于自身的数},那么集合P 的真子集个数是A .3B .4C .7D .8 2.如果偶函数在],[b a 具有最大值,那么该函数在],[a b --有 A .最大值 B .最小值 C .没有最大值 D . 没有最小值3.下列各组函数中,表示同一函数的是A .xx y y ==,1 B .y y ==C .33,x y x y ==D . 2)(|,|x y x y == 4.函数b x k y ++=)12(在实数集上是增函数,则A .21->k B .21-<k C .0>b D .0>b 5.函数px x x y +=||,R x ∈是 A .偶函数B .奇函数C .不具有奇偶函数D .与p 有关6.设全集}7,6,5,4,3,2,1{=U ,集合}5,3,1{=A ,集合}5,3{=B ,则 A .B A U ⋃= B . B A C U U ⋃=)( C .)(B C A U U ⋃= D .)()(B C A C U U U ⋃=7.已知集合 },61|{Z m m x x M∈+==,},312|{Z n n x x N ∈-==,=P x x |{+=2p },61Z p ∈,则P N M ,,的关系A .N M =PB .M PN =C .M N PD . N P M8.图中阴影部分所表示的集合是A.B ∩[C U (A ∪C)]B.(A ∪B) ∪(B ∪C)C.(A ∪C)∩(C U B)D.[C U (A ∩C)]∪B9.已知g (x )=1-2x, f [g (x )]=)0(122≠-x xx , 则f (21)等于 A .1B .3C .15D .3010.定义在R 上的偶函数)(x f ,满足)()1(x f x f -=+,且在区间]0,1[-上为递增,则A .)2()2()3(f f f <<B .)2()3()2(f f f <<C .)2()2()3(f f f <<D .)3()2()2(f f f <<二、填空题:每小题5分,共25分,将正确答案填在横线上。
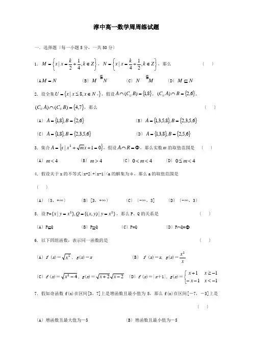
淳中高一数学周周练试题一.选择题〔每一小题5分,一共50分〕1.⎭⎬⎫⎩⎨⎧∈+==Z k k x x M ,412|,⎭⎬⎫⎩⎨⎧∈+==Z k k x x N ,214|,那么 〔 〕 〔A N M = 〔B 〕M N 〔C 〕N M 〔D 〕N M ⊆2.设全集{}+∈≤=N x x x U ,8|,假设{}8,1)(=⋂B C A U ,{}6,2)(=⋂B A C U , {}7,4)()(=⋂B C A C U U ,那么 〔 〕〔A 〕{}{}6,2,8,1==B A 〔B 〕{}{}6,5,3,2,8,5,3,1==B A 〔C 〕{}{}6,5,3,2,8,1==B A 〔D 〕{}{}6,5,2,8,3,1==B A 3.集合{}01|2=++=x m x x A ,假设Φ=⋂R A ,那么实数m 的取值范围是 〔 〕 〔A 〕4<m 〔B 〕4>m 〔C 〕40<<m 〔D 〕40<≤m4.假设关于x 的不等式|x+2|+|x-1|<a 的解集为φ,那么a 的取值范围是〔 〕〔A 〕〔3,+∞〕〔B 〕[3,+∞〕 〔C 〕〔-∞,3] 〔D 〕〔-∞,3〕 5.设P=}|),{(},|{22x y y x Q x y x ===,那么P 、Q 的关系是〔 〕 〔A 〕P ⊆Q 〔B 〕P ⊇Q 〔C 〕P=Q 〔D 〕P ⋂Q=Φ6.以下四组函数,表示同一函数的是 〔 〕〔A 〕f (x )=2x , g (x )=x 〔B 〕 f (x )=x , g (x )=x x 2〔C 〕f (x )=42-x , g (x )=22-+x x 〔D 〕f (x )=|x +1|, g (x )=⎩⎨⎧-<---≥+1111x x x x 7.假如奇函数f(x)在区间[3,7]上是增函数且最小值为5,那么f(x)在区间[-7,-3]上是〔 〕〔A 〕增函数且最大值为-5 〔B 〕增函数且最小值为-5≠⊂≠⊂〔C 〕减函数且最小值为-5 〔D 〕减函数且最大值为-58.)(x f 是偶函数,且当0>x 时,x x x f -=2)(,那么当0<x 时,)(x f 的解析式为〔 〕〔A 〕x x x f -=2)( 〔B 〕x x x f --=2)(〔C 〕x x x f +=2)( 〔D 〕x x x f +-=2)(9.函数24)(2++=ax x x f 在)6,(-∞内递减,那么a 的取值范围是 〔 〕 〔A 〕3≥a 〔B 〕3≤a 〔C 〕3-≥a 〔D 〕3-≤a 10.函数x y 111+=的定义域是 〔 〕〔A 〕0>x 〔B 〕0>x 或者1-≤x 〔C 〕0>x 或者1-<x 〔D 〕10<<x二.填空题〔每一小题5分,一共10分〕11.=A {23|≤≤-x x },=B {1212|+≤≤-m x m x },且B A ,那么实数m 的 取值范围为 。
高一必修二第二单元周周练一、基础知识(12分,每小题3分)1.下列加点字的读音,全部正确的一组是()A.愆期(yán)垝垣(ɡuǐ)陨落(yǔn)帷裳(chánɡ)B.攘诟(ɡòu) 溘死(hé) 侘傺(chì) 公姥(mǔ)C.伶俜(pīnɡ) 遗施(wèi) 否泰(pǐ) 鲑珍(xié)D.拾掇(chuò) 吐哺(bǔ) 羁鸟(jī) 樊笼(fán)2.下列各组词语中,书写全部正确的一组是()A.尔卜尔噬夙兴夜寐信誓旦旦雨雪霏霏B.鸷鸟不群芳泽杂揉屈心抑志欲盖弥彰C.踯躅不前情投意和窈窕无双藕断丝联D.同心离后越陌度阡譬如朝露守拙田园3.下列句子中“相”的用法表示“动作偏指一方”的一项是()A.吾已失恩义,会不相从许!B.仰头相向鸣,夜夜达五更。
C.枝枝相覆盖,叶叶相交通。
D.贱妾留空房,相见常日稀。
4.下列句子中,加点词的意思与现代汉语常用义全部相同的一项是() A.共事二三年,始尔未为久。
B.吾意久怀忿,汝岂得自由!C.信誓旦旦,不思其反。
D.不见复关,泣涕涟涟。
二、阅读理解(46分)(一)现代文阅读(9分,每小题3分)阅读下面的文字,完成5—7题。
《孔雀东南飞》所表现的主题思想。
一直以来大多赞成唐弢先生的观点:揭示出封建礼教和门阀制度的罪恶。
那么,究竟是什么原因导致焦母如此仇恨兰芝,仇恨到宁可舍弃儿子,宁可断后?她真是要维护封建礼教、门阀制度?我们知道,汉代在武帝以前,统治阶级主张的一直是“无为而治”,朝廷对地方、对百姓并不怎么干涉管束。
直到董仲舒提出“罢黜百家,独尊儒术”后,儒家礼教才开始影响人们,但影响并不深刻。
这一点在《孔雀东南飞》一文中,我们也能感知。
兰芝被休回家后,只有十多天时间,就有县令派人上门为“窈窕世无双,年始十八九,便言多令才”的三公子提亲;接着又有太守派人为“娇逸未有婚”的五公子说媒。
高一年级周周练试题答案1.C (埋mán 刽guì霭ǎi)2.C (扛 gāng 胜shēng 与 y ù )3.B (名—明雀—鹊笼—龙首—手喧—宣奇—其)4.A(烁—铄其—奇事—是鱼—渔儒—孺曲—屈)5. A【A.“哀鸿遍野”,比喻呻吟呼号、流离失所的灾民到处都是。
哀鸿,哀鸣的大雁,比喻悲哀呼号的灾民,与“灾民”重复。
B.“不以为意”,不把它放在心上。
表示对人、对事抱轻视态度。
C.“粉墨登场”,原指演员妆扮后进行表演,现在多用为贬义,多指坏人乔装打扮,登上政治舞台。
此句用的是本义,所以使用正确。
D.“同年而语”,把不同的两个人或两件事物放在同一时间,不加区别地相提并论。
贬义,多用于否定和反问,一般不用于肯定。
】6.A (C鼎力相助:属敬辞,称赞别人的帮助,不能用于自己。
B 忍不住笑,与“笑起来”重复,去掉“地笑起来”D形容十分愤怒,应改为“拍案叫绝”)7.D (A缺主语,删去“使”;B杂糅,受到破坏”和“有……危险”的杂糅”;B“诞生”和“发祥”重复,“经数百万年沙土”改为“沙土经数百万年”)8.D【A项句式杂糅,“主要原因”与“造成的”只要一个。
B项表意不明,社会各界究竟是对“新闻媒体”报道这一事件的做法不满,还是对“郑州市职防所”开具鉴定证明的做法不满,可在“报道”后面加“的”。
C项递进失当,“不仅”与“而且”之后的分句内容互换。
】9.C【A.问号改为句号。
B. “我们没自杀、没跳楼、没出国”中的顿号改为逗号。
D.书名号改为引号。
】10.B(A.“孔子又说”后面应用冒号,或把“不用情”后的句号放在引号外。
C. 后边的句子不是疑问句,句末应用句号。
D. “洛克和威克”应该用书名号,因为是作品)11.D (阴,隐蔽、暗中)12.B(之,动词,到。
A.认为/把它作为。
C.却/于是。
D.于是/趁机)13.C(A.项是宋义骂项羽鲁莽的话,B.是宋义话,“项羽心里不服宋义为上将军”也是无中生有。
高一语文周周练高一语文周周练高一语文(1)一、(15分,每小题3分)1.下列词语中加点字的读音完全相同的一组是:()A.百舸沉疴苛捐杂税一气呵成B.遏止揭晓残碑断碣竭泽而渔C.寒暄渲染煊赫一时喧宾夺主D.憔悴淬火出类拔萃心力交瘁2.下列选项中没有错别字的一项是:()A.跋涉幻象赤裸裸丰富多采B.辉煌闲暇咖啡馆斑斓锦缎C.彻悟拼读商业板望洋兴叹D.瞬间密秘亲和力息息相通3. 下列各句横线上所填词语,最恰当的一项是( )①获得真正的教养最重要的途径之一,就是逐渐地________掌握各国的作家和思想家的作品。
②读书决不是要使我们“散心________”,倒是要使我们集中________。
③每一位思想家的每一部著作,每一位诗人的每一个诗篇,过一些年都会对读者________出新的、变化了的面貌,都将得到新的理解。
④我们越是懂得精细、深入和举一反三的阅读,就越能看出每一部作品和每一个思想的独特性、个性和局限性,看出它全部的美和魅力正是________这种独特性和个性。
A.熟习消遣心志体现鉴于B.熟悉消遣心智呈现基于C.熟悉消磨心智呈现鉴于D.熟习消磨心志体现基于4.下列各句中加点的成语使用恰当的一句是:()A.如果我们选择了力不胜任的职业,那么我们决不能把它做好,我们就是不能完成自己使命的社会成员,由此产生的必然结果就是妄自菲薄自己。
B.说“独立思考”,好像与“向群众学习”相矛盾,离群众越远越好;说“独立思考”,好像必须想入非非,越稀奇古怪越好。
C.如今这里是经济开发区,高楼林立,机声隆隆,给人以面目全非的感觉。
D.重庆市云阳县各级领导干部积极做好三峡库区农民外迁工作,安土重迁,使移民高高兴兴地搬进新家。
5.下列各句中没有语病的一句是:()A.在人类还未有家的意识与家的形式之前,几乎是在无休止的迁徙中生活的。
B.被名利弄得鬼迷心窍的人,理智已经无法支配他,于是他一头栽进那不可抗拒的欲念,驱使他这样去做。
新乡一中上期语文周周练答案一、1、D A契约(qì) B弄堂(lòng) C着陆(zhuó)2、图穷匕见,是比喻事情发展到最后,终于显露真相。
不合语境。
3、 A“跌破”与“以下”重复 C“廓清”与“道德”不搭配 D “日前”与“将”矛盾。
4、D二、5、C 6、D 7、C三、8、D。
(节:有节操的人)9、B (①叙述主体是皇帝;②反对皇上大兴土木,符合题干要求;③回答皇上诘问时不改变自己的观点,不符合题意;④说的是李时勉能自尊自重,不符合题意;⑤劝诫皇上,皇太子不宜远离左右,也是以天下为己任;⑥派他的孙子帮他送奏章到朝廷,关心国家大事)10、C(李时勉差点被打死,是上书触怒仁宗皇帝)11、(1)仁宗命令武士用金瓜打他,李时勉被打断了三根肋骨,拖出去时差点死了。
(2)在都门外给他饯行的朝中大臣和国子监学生,有将近三千人,有的还远远地把他送上船,等到船开了才离去。
(5分)评分细则参考:“扑以金瓜”,状语后置,1分。
“肋折者三”,定语后置,1分。
补出主语“仁宗”或者“皇帝”、“李时勉”各1分。
“饯都门外”状语后置,1分。
“几”,1分。
“发”1分。
“去”1分。
句子通顺各得1分。
本文章转载自:文言文参考译文李时勉,名懋,凭字号行于世,安福人。
少年时,冬天寒冷,他常用被子裹着脚放在桶中,诵读不止。
永乐二年中进士。
选为庶吉士,进学文渊阁,参与编修《太祖实录》。
被授予刑部主事之职,又参与重修《太祖实录》。
编修完成,改任翰林侍读。
李时勉性格刚正耿直,常慷慨激昂,把治理天下当作自己的责任。
永乐十九年,三殿遭火灾,成祖皇帝下诏征求大臣的直言之谏。
李时勉上奏章列举十五件时事的弊端。
明成祖决定迁都北京,然而李时勉却说了许多营建北京的不利之处,违背了成祖的心意。
不久,李时勉被谗陷下狱。
一年多才得以释放,经杨荣举荐,李时勉才官复原职。
洪熙元年他又上疏谈论政事。
仁宗非常愤怒,把他召到便殿,李时勉对答不屈服。
贵阳市清华中学高一语文基础训练周周练一1.下列各项中加点字的读音全都正确的一项是()A.鏖(áo)战跛(bǒ)脚鞭笞(chÿ)三年五载(zǎi)B.濒(bÿn)临骷(gū)髅呜咽(yâ)觥(gōng)筹交错C.不啻(dì)皈(guÿ)依枕藉(jí)怙恶不悛(quün)D.桎梏(kù)船舷(xián)星宿(xiù)同仇敌忾(kài)2.下列各项中没有错别字的一项是()A.磨炼门可罗鹊怡然毅然决然B.寒喧立竿见影报怨以德报怨C.切磋食不果腹慌乱兵荒马乱D.针灸心悦臣服相亲文人相轻3.使用标点符合全都正确的一句是()A.既然是汉语,就与汉民族、中华民族紧密相联。
中学语文要不要突出民族传统?我以为是无须设问的。
B.台湾与大陆,同根同源、同文同种,为了民族的利益,两岸应尽快携起手来。
C.朱自清笔下的“荷塘月色”,体现了朱自清心中追求的美好精神境界。
D.李煜的词“问君能有几多愁?恰似一江春水向东流。
”用“一江春水”比喻愁之多,愁之绵绵无尽,生动形象,概括性又极强。
4.依次填入下列各句横线处最恰当的一组词语是()①外交部长李肇星专门指示邓清波总领事要尽一切力量,尽快___中国遇难者身份。
②深圳市鼓励有条件的企业对___员工实行内部退养。
③美国白宫10日反驳了民主党领导人____布什在越南战争时期曾“擅离职守”的指责。
A.核实富余有关 B.核定富余关于 C.核实富裕 D.核定富裕有关5.下列各句中加点的词语使用恰当的一项是()A.我们有很多遗产管理者太急功近利,他们把遗产定性为旅游资源,进行竭泽而渔式的开发,这是一种极不负责的行为。
B.他是一位学贯中西、通晓古今的学者,在学术研讨会上,每每能发表让人印象深刻的一孔之见。
C.一遭被蛇咬,十年怕井绳。
自从老师因为他上课不认真听讲而批评了他,这一段时间他再也不敢在课堂上讲话了。
高一英语周练1英语周练一一、Listening(20分)第一节(共5小题,每小题1.5分,满分7.5分)听下面5段对话,每段对话后有一个小题,从题中所给的A、B、C三个选项中选出最佳选项,并标在试卷的相应位置,听完每段对话后,你将有10秒钟时间来回答有关小题和阅读下一小题。
每段对话仅读一遍。
1. What does the man mean?A. He doesn’t have any notes.B. He will be absent from class.C. He can lend the woman his notes.2. What is the woman going to do?A. Prepare a meal.B. Watch a movie.C. See a doctor.3. What does the man mean?A. John cannot play the piano.B. John wants to be a writer.C. John is busy at the moments.4. How does the woman feel?A. Worried.B. Angry.C. Surprised.5. When did the man last meet Han Mei?A. Last month.B. Two years ago.C. Last October.第二节(共15小题;每小题1分,满分20分)听下面5段对话或独白,每段材料后有几个小题,从题中所给的A、B、C三个选项中选出最佳选项,并标在试卷的相应位置。
听每段材料前,你将有时间阅读每个小题,每小题5秒钟;听完后,各小题将给出5秒钟的作答时间。
每段材料读两遍。
听下面一段对话,回答第6和第7小题。
6. What teams were in the game?A. The Tianjin team and the US team.B. The US team and the Chinese national team.C. The Tianjin team and the Chinese national team.7. When did the game begin?A. 6:30B. 7:00C. 7:30听下面一段对话,回答第8至第10小题。
高一数学周练一、单选题(共40分)1.若集合{4},{31}M x N x x =<=≥∣,则M N ⋂=( ) A .{}02x x ≤< B .123x x ⎧⎫≤<⎨⎬⎩⎭C .{}316x x ≤<D .1163x x ⎧⎫≤<⎨⎬⎩⎭2.函数 y = ) A .3,2⎛⎫-∞- ⎪⎝⎭B .3,2⎡⎫-+∞⎪⎢⎣⎭C .[)0,+∞D .(],3∞--][)0,+∞.3.“角α,β的终边关于y x =轴对称”是“22sin sin 1αβ+=”的( ) A .充分不必要条件 B .必要不充分条件 C .充分必要条件 D .既不充分也不必要条件【答案】A【分析】根据三角函数的性质的即可判断求解.【详解】若角α,β的终边关于y x =轴对称,则sin α=cos β,则2222sin sin cos sin =1αβββ+=+;若22sin sin 1αβ+=,则22sin =cos αβ,则sin α=±cos β,则角α,β的终边关于y x =或y =-x 轴对称;综上,“角α,β的终边关于y x =轴对称”是“22sin sin 1αβ+=”的充分不必要条件. 故选:A.4.已知方程ln 112x x =-的实数解为0x ,且()0,1x k k ∈+,*k ∈N ,则k =( ) A .1 B .2 C .3 D .4【答案】D【解析】先转化为两个简单函数判断交点所在区间的大致范围,再由零点判定定理确定即可.【详解】解:112lnx x =-,令()g x lnx =,()112h x x =-在同一坐标系画出图象可得 由图可知01x >,令()211f x lnx x =+-,()()129(27)0f f ln =-->,()()23(27)(35)0f f ln ln =-->, ()()34(35)(43)0f f ln ln =-->, ()()45(43)(51)0f f ln ln =--<,()04,5x ∴∈4k ∴=,故选:D .【点睛】本题主要考查函数零点所在区间的求法,图象法和零点判定定理.将函数的零点问题转化为两个函数交点的问题是常用的手段,属于基础题.5.如图是下列四个函数中的某个函数在区间[3,3]-的大致图像,则该函数是( )A .3231x xy x -+=+B .321x xy x -=+C .22cos 1x xy x =+ D .22sin 1xy x =+6.将函数()sin (0)3f x x ωω⎛⎫=+> ⎪⎝⎭的图像向左平移π2个单位长度后得到曲线C ,若C关于y 轴对称,则ω的最小值是( ) A .16B .14C .13D .127.记函数()sin (0)4f x x b ωω⎛⎫=++> ⎪⎝⎭的最小正周期为T .若23T ππ<<,且()y f x =的图象关于点3,22π⎛⎫ ⎪⎝⎭中心对称,则2f π⎛⎫= ⎪⎝⎭( )A .1B .32C .52 D .38.已知函数()131,0ln ,0x x f x x x +⎧-⎪=⎨>⎪⎩若函数()()g x f x a =-有3个零点,则a 的取值范围是( ) A .()0,1 B .(]0,2C .()2,+∞D .()1,+∞【答案】A【分析】要使函数()()g x f x a =-有三个零点,则()f x a =有三个不相等的实根,即()f x 与y a =的图象有三个交点,结合函数的性质及图象即可得出.【详解】要使函数()()g x f x a =-有三个零点,则()f x a =有三个不相等的实根,即()f x 与y a =的图象有三个交点, 当1x ≤-时,113x f x在(],1-∞-上单调递减,()0,1f x ; 当10-<≤x 时,()131x f x +=-在(]1,0-上单调递增,()0,2f x ;当0x >时,()ln f x x =在()0,∞+上单调递增,()f x ∈R ; 由()f x 与y a =的图象有三个交点,结合函数图象可得()0,1a ∈, 故选:A.二、多选题(共20分)9.已知函数f (x )=2sin (2x ﹣6π),则如下结论:其中正确的是( ) A .函数f (x )的最小正周期为π; B .函数f (x )在[6π,512π]上的值域为[1; C .函数f (x )在7(,)312ππ上是减函数;D .函数y =f (x )的图象向左平移6π个单位得到函数y =2sin2x 的图象,10.下列结论正确的是( )A .若α,β的终边相同,则αβ-的终边在x 的非负半轴上B .函数()log 1a f x x =+(0a >且1a ≠)恒过定点(),2aC .函数()22x f x x =-只有两个零点D .己知一扇形的圆心角60α=︒,且其所在圆的半径3R =,则扇形的弧长为π11.如图,摩天轮的半径为40m ,其中心O 点距离地面的高度为50m ,摩天轮按逆时针方向匀速转动,且20min 转一圈,若摩天轮上点P 的起始位置在最高点处,则摩天轮转动过程中( )A .转动10min 后点P 距离地面10mB .若摩天轮转速减半,则转动一圈所需的时间变为原来的12C .第17min 和第43min 点P 距离地面的高度相同D .摩天轮转动一圈,点P 距离地面的高度不低于70m 的时间为5min 【详解】解:摩天轮2010t t ππ=,(02)ϕπ是以轴正半轴为始边,轴正半轴为始边,为终边的角为P 的纵坐标为又由题知,P 点起始位置在最高点处,2π5070,1102t,020t , 0210t ππ,103t ππ或52310tπππ,解得1003t 或50203t , 20min 3,故D 错误. 故选:AC .12.给出下面四个结论,其中正确的是( ) A .函数()()ln sin f x x =的定义域是()0,π. B .()sin sin 122x xf x =+的值域为52,2⎡⎤⎢⎥⎣⎦.C .函数()sin 2f x x x =-+在区间()2,4上有唯一一个零点.D .角πα6=是1cos 22α=-的必要不充分条件.三、填空题(共20分)13.已知sin π3a ⎛⎫- ⎪⎝⎭=13,则cos 5π()6a -=________.【详解】sin 14.定义在R 上的偶函数()f x ,当],(0x ∈-∞时,()f x 单调递减,则()()231f x f x +<-的解集为______.15.已知α为第二象限角,cos 2sin()24απα⎛⎫--+= ⎪⎝⎭,则cos α=___________.16.函数sin(2)4y x π=+的图像与直线y =a 在(0,98π)上有三个交点,其横坐标分别为1x ,2x ,3x ,则123x x x ++的取值范围为_______.8442⎝⎭πππ利用对称性求出答案四、解答题(共70分)17.已知全集U =R ,集合{}2|2150A x x x =--<,集合()(){}2|210B x x a x a =-+-<. (1)若1a =,求UA 和B ;(2)若A B A ⋃=,求实数a 的取值范围. )UA ={x ∴x {|3U A x x ∴=-或5}x ,若1a =,则集合{|(2B x x =-(2)因为A B A ⋃=,所以当B =∅时,221a a =-,解当B ≠∅时,即1a ≠时,)可知集合{|A x =-22135a a --,解得15a,且综上所求,实数a 的取值范围为:15a-.【点睛】本题主要考查了集合的基本运算,考查了一元二次不等式的解法,是基础题.18.已知函数()()()sin 20f x x ϕϕ=+<<π的图象关于点,012⎛⎫- ⎪⎝⎭对称.(1)求ϕ的值;(2)将函数()y f x =的图象向右平移6π个单位,然后将所得的图象上各点的横坐标缩小到原来的12倍(纵坐标不变),得到函数()y g x =的图象.当0,4x π⎡⎤∈⎢⎥⎣⎦时,求函数()g x 的值域.19.已知函数2()2sin 1f x x x θ=+-,1[]2x ∈. (1)当6πθ=时,求()f x 的最大值和最小值;(2)若()f x 在1[]2x ∈上是单调函数,且[0,2)θπ∈,求θ的取值范围.443366【详解】试题分析:(1)当时,在上单调递减,在上单调递增当时,函数有最小值当时,函数有最小值(2)要使在31[,]22x ∈-上是单调函数,则或即或,又解得:20.已知函数()sin()0,||2f x x ωϕωϕ⎛⎫=+>< ⎪⎝⎭的部分图象如图所示.(1)写出函数f (x )的最小正周期T 及ω、φ的值;(2)求函数f (x )在区间,44ππ⎡⎤-⎢⎥⎣⎦上的最大值与最小值.,44ππ⎡⎤-⎢⎥⎣⎦当23x π+=21.已知二次函数2()21(0)g x mx mx n m =-++>在区间[0,3]上有最大值4,最小值0. (1)求函数()g x 的解析式; (2)设()2()g x x f x x-=.若()220x xf k -⋅在[3,3]x ∈-时恒成立,求k 的取值范围.22.已知函数()21log 1x f x x -=+. (1)若()1f a =,求a 的值;(2)判断函数()f x 的奇偶性,并证明你的结论;(3)若()f x m ≥对于[)3,x ∈+∞恒成立,求实数m 的范围. 【答案】(1)3- (2)奇函数,证明见解析f a=,)()1-3为奇函数,证明如下:,解得:x。
高一英语周周练
班级姓名号次
Children have their own rules in playing games. They seldom need a referee(裁判) and rarely trouble to keep scores. They don’t care much about who wins or loses, and it doesn’t seem to worry them if the game is not finished. Yet, they like games that depend a lot on luck, so that their personal abilities cannot be directly compared. They also enjoy games that move in stages, in which each stage, the choosing of leaders, the picking-up of sides, or the determining of which side shall start, is almost a game in itself.
Grown-ups can hardly find children’s games exciting, and they often feel puzzled at why their kids play such simple games again and again. However, it is found that a child plays games for very important reasons. He can be a good player without having to think whether he is a popular person, and he can find himself being a useful partner to someone of whom he is ordinarily afraid. He becomes a leader when it comes to his turn. He can be confident, too, in particular games, that it is his place to give orders, to pretend to be dead, to throw a ball actually at someone, or to kiss someone he has caught.
It appears to us that when children play a game they imagine a situation under their control. Everyone knows the rules, and more importantly, everyone plays according to the rules. Those rules may be childish, but they make sure that every child has a chance to win.
1. What is true about children when they play games?
A. They can stop playing any time they like.
B. They can test their personal abilities.
C. They want to pick a better team.
D. They don’t need rules.
2. To become a leader in a game the child has to _________.
A. play well
B. wait for his turn
C. be confident in himself
D. be popular among his playmates
3. What do we know about grown-ups?
A. They are not interested in games.
B. They find children’s games too easy.
C. They don’t need a reason to play games.
D. They don’t understand children’s games.
4. Why does a child like playing games?
A. Because he can be someone other than himself.
B. Because he can become popular among friends.
C. Because he finds he is always lucky in games.
D. Because he likes the place where he plays a game.。