电磁场习题讲解
- 格式:doc
- 大小:46.50 KB
- 文档页数:5
高三物理第一轮专题复习——电磁场在以坐标原点O为圆心、半径为r的圆形区域内,存在磁感应强度大小为B、方向垂直于纸面向里的匀强磁场,如图所示。
一个不计重力的带电粒子从磁场边界与x轴的交点A处以速度v沿-x方向射入磁场,恰好从磁场边界与y轴的交点C处沿+y方向飞出。
(1)请判断该粒子带何种电荷,并求出其比荷q/m;(2)若磁场的方向和所在空间范围不变,而磁感应强度的大小变为B’,该粒子仍从A处以相同的速度射入磁场,但飞出磁场时的速度方向相对于入射方向改变了60°角,求磁感应强度B’多大?此次粒子在磁场中运动所用时间t是多少?电子自静止开始经M、N板间(两板间的电压A点垂直于磁场边界射入宽度为d的匀强磁场中,电子离开磁场时的位置P偏离入射方向的距离为L,如图所示.求匀强磁场的磁感应强度.(已知电子的质量为m,电量为e)高考)如图所示,abcd为一正方形区域,正离子束从a点沿ad方向以=80m/s 的初速度射入,若在该区域中加上一个沿ab方向的匀强电场,电场强度为E,则离子束刚好从c点射出;若撒去电场,在该区域中加上一个垂直于abcd平面的匀强磁砀,磁感应强度为B,则离子束刚好从bc的中点e射出,忽略离子束中离子间的相互作用,不计离子的重力,试判断和计算:(1)所加磁场的方向如何?(2)E与B的比值BE/为多少?制D 型金属扁盒组成,两个D 形盒正中间开有一条窄缝。
两个D 型盒处在匀强磁场中并接有高频交变电压。
图乙为俯视图,在D 型盒上半面中心S 处有一正离子源,它发出的正离子,经狭缝电压加速后,进入D 型盒中。
在磁场力的作用下运动半周,再经狭缝电压加速。
如此周而复始,最后到达D 型盒的边缘,获得最大速度,由导出装置导出。
已知正离子的电荷量为q ,质量为m ,加速时电极间电压大小为U ,磁场的磁感应强度为B ,D 型盒的半径为R 。
每次加速的时间很短,可以忽略不计。
正离子从离子源出发时的初速度为零。
⾼等电磁场理论习题解答(作业)第⼀章基本电磁理论1-1 利⽤Fourier 变换, 由时域形式的Maxwell ⽅程导出其频域形式。
(作1-2—1-3)解:付⽒变换和付⽒逆变换分别为:dt e t f F t j ?∞∞-=ωω)()(ωωπωd e F t f tj ?∞∞--=)(21)( 麦⽒⽅程:t D J H ??+=??ρρρtB E ??-=??ρρ0=??B ρρ=??D ρ对第⼀个⽅程进⾏付⽒变换:),(),(),ωωωr H dt e t r H dt e t r H t j tj ρρρρρρ??=??=??=∞∞-∞∞-(左端),(),(),(),(]),(),[ωωωωωωωr D j r J dte t r D j r J dt e t t r D t r J t j tj ρρρρρρρρρρρρ+=+=??+=??∞∞-∞∞-(右端(时谐电磁场) =??∴),(ωr H ρρ),(),(ωωωr D j r J ρρρρ+同理可得:()()ωωω,,r B j r H ??ρρ-=??()0,=??ωr B ρ()()ωρω,,r r D ?ρ?=??上⾯四式即为麦式⽅程的频域形式。
1-2 设各向异性介质的介电常数为=300420270εε当外加电场强度为 (1) 01E x e E =;(2)02E y e E =;(3) 03E z e E =;(4) )2(04y x E e e E +=;(5))2(05y x E e e E +=求出产⽣的电通密度。
(作1-6)解:()),(,t r E t r D ?Θ?=ε=333231232221131211εεεεεεεεεz y x D D D 即z y x E E E 将E 分别代⼊,得:=??=??????????027003000420270000111E E D D D z y x εε )?2?7(001y x E D +=ε?=??=??????????042003000420270000322E E D D D z y x εε )?4?2(002y x E D +=ε? ????=??=??????????300003000420270000333E E D D D z y x εε z E D ?3003ε=? ??==010110230004202700000444E E E D D D z y x εε )?10?11(004y x E D +=ε? ==08160230004202700000555E E E D D D z y x εε )?8?16(005y x E D +=ε? 1-3 设各向异性介质的介电常数为=4222422240εε试求:(1) 当外加电场强度)(0z y x E e e e E ++=时,产⽣的电通密度D ;(2) 若要求产⽣的电通密度004E x εe D =,需要的外加电场强度E 。
电磁场理论习题及答案电磁场理论是电磁学的基础,它描述了电荷和电流产生的电磁场在空间中的分布和演化规律。
在学习电磁场理论时,习题是巩固和深化理解的重要方式。
本文将介绍一些电磁场理论的习题及其答案,帮助读者更好地掌握这一理论。
一、电场和电势1. 问题:一个均匀带电球体,半径为R,总电荷为Q。
求球心处的电场强度。
答案:根据库仑定律,电场强度E与电荷Q和距离r的关系为E = kQ/r^2,其中k为库仑常数。
对于球体内部的点,距离球心的距离r小于半径R,所以电场强度为E = kQ/r^2。
对于球体外部的点,距离球心的距离r大于半径R,所以电场强度为E = kQ/R^3 * r。
2. 问题:一个无限长的均匀带电线,线密度为λ。
求距离线上一点距离为r处的电势。
答案:根据电势公式V = kλ/r,其中k为库仑常数。
所以距离线上一点距离为r处的电势为V = kλ/r。
二、磁场和磁感应强度1. 问题:一根无限长的直导线,电流为I。
求距离导线距离为r处的磁感应强度。
答案:根据安培环路定理,磁感应强度B与电流I和距离r的关系为B =μ0I/2πr,其中μ0为真空中的磁导率。
所以距离导线距离为r处的磁感应强度为B = μ0I/2πr。
2. 问题:一根长为L的直导线,电流为I。
求距离导线距离为r处的磁场强度。
答案:根据比奥萨伐尔定律,磁场强度H与电流I和距离r的关系为H = I/2πr。
所以距离导线距离为r处的磁场强度为H = I/2πr。
三、电磁场的相互作用1. 问题:一个半径为R的导体球,带电量为Q。
求导体球表面的电荷密度。
答案:导体球表面的电荷密度σ等于导体球上的电荷总量Q除以导体球表面的面积A。
导体球表面的面积A等于球的表面积4πR^2。
所以导体球表面的电荷密度为σ = Q/4πR^2。
2. 问题:一个平行板电容器,两个平行金属板之间的距离为d,电介质的介电常数为ε。
一块电介质板插入到电容器中间,使得电容器的电容增加了n倍。
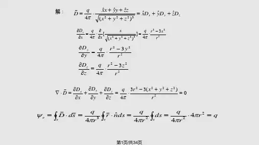
第二章习题解2-1.已知真空中有四个点电荷q C 11=,q C 22=,q C 34=,q C 48=,分别位于(1,0,0),(0,1,0),(-1,0,0,),(0,-1,0)点,求(0,0,1)点的电场强度。
解:设z r ˆ=,y r x r y r xr ˆ',ˆ',ˆ',ˆ'2321-=-=== z y r r R z x r r R z y r r R z xr r R ˆˆ';ˆˆ';ˆˆ';ˆˆ'44332211+=-=+=-=+-=-=+-=-=84ˆ15ˆ6ˆ3)ˆˆˆˆ(41024442333222221110πεπεz y x R R q R R q R R q R R q E ++=+++=2-2.已知线电荷密度为ρl 的均匀线电荷围成如图所示的几种形状,求P 点的电场强度。
(a) (b) (c)题2-2图解:(a) 由对称性04321=+++=E E E E E(b) 由对称性0321=++=E E E E(c) 两条半无限长线电荷产生的电场为ya y x y x a E E E ll a ˆ2)}ˆˆ()ˆˆ{(40021περπερ-=--+-=+= 半径为a 的半圆环线电荷产生的电场为y a E lb ˆ20περ=总电场为0=+=b a E E E2-3.真空中无限长的半径为a 的半边圆筒上电荷密度为ρs ,求轴线上的电场强度。
解:在无限长的半边圆筒上取宽度为ϕad 的窄条,此窄条可看作无限长的线电荷,电荷线密度为ϕρρad s l =,对ϕ积分,可得真空中无限长的半径为a 的半边圆筒在轴线上的电场强度为yd x yad r a E s ss ˆ)ˆc o s ˆs i n (22ˆ0000⎰⎰-=--==πππερϕϕϕπερπεϕρ题2-3图 题2-4图2-4.真空中无限长的宽度为a 的平板上电荷密度为ρs ,求空间任一点上的电场强度。
电磁学第四版赵凯华习题解析第一章电磁场的基本概念题1.1解析:该题主要考察对电磁场基本概念的理解。
根据定义,电场强度E是单位正电荷所受到的电力,磁场强度B是单位长度为1、电流为1的导线所受到的磁力。
因此,电场强度E与电势差V之间的关系为E=-dV/dx,磁场强度B与安培环路定律有关,即B=μ₀I/2πr。
答案:电场强度E与电势差V之间的关系为E=-dV/dx,磁场强度B与安培环路定律有关,即B=μ₀I/2πr。
题1.2解析:该题考查对电场线和磁场线的基本理解。
电场线从正电荷出发,指向负电荷;磁场线从磁南极指向磁北极。
在非均匀磁场中,电荷的运动轨迹会受到磁场的影响,当电荷的运动速度与磁场垂直时,洛伦兹力提供向心力,使电荷沿磁场线运动。
答案:电场线从正电荷出发,指向负电荷;磁场线从磁南极指向磁北极。
在非均匀磁场中,电荷的运动轨迹会受到磁场的影响,当电荷的运动速度与磁场垂直时,洛伦兹力提供向心力,使电荷沿磁场线运动。
第二章电磁场的基本方程题2.1解析:该题考查对高斯定律的理解。
根据高斯定律,闭合曲面所包围的电荷量与该曲面上的电通量成正比,即∮E·dA=Q/ε₀。
其中,E为电场强度,dA为曲面元素,Q为曲面内的电荷量,ε₀为真空电容率。
答案:根据高斯定律,闭合曲面所包围的电荷量与该曲面上的电通量成正比,即∮E·dA=Q/ε₀。
题2.2解析:该题考查对法拉第电磁感应定律的理解。
根据法拉第电磁感应定律,感应电动势E与磁通量变化率ΔΦ/Δt成正比,即E=ΔΦ/Δt。
其中,E为感应电动势,ΔΦ为磁通量的变化量,Δt为时间变化量。
答案:根据法拉第电磁感应定律,感应电动势E与磁通量变化率ΔΦ/Δt成正比,即E=ΔΦ/Δt。
第三章电磁波的传播题3.1解析:该题考查对电磁波的基本理解。
电磁波是由振荡的电场和磁场组成的横波,其传播速度为光速c,波长λ与频率f之间的关系为c=λf。
电磁波在真空中的传播不受阻碍,但在介质中传播时,其速度会发生变化。
电磁场理论课后习题1答案电磁场理论是物理学中的重要课程,它研究了电磁场的产生、传播和相互作用。
在学习这门课程时,课后习题是巩固知识、提高能力的重要途径。
本文将针对电磁场理论课后习题1给出详细的解答。
习题1:一个带电粒子在电磁场中运动,受到的洛伦兹力为F=q(E+v×B),其中q是粒子的电荷量,E是电场强度,v是粒子的速度,B是磁感应强度。
请证明:洛伦兹力对粒子所做的功率为P=qv·E。
解答:根据洛伦兹力的表达式F=q(E+v×B),我们可以将其展开为F=qE+qv×B。
其中第一项qE表示粒子在电场中受到的电力,第二项qv×B表示粒子在磁场中受到的磁力。
根据功率的定义,功率P等于力F对时间t的导数,即P=dW/dt,其中W表示对物体所做的功。
所以我们需要计算洛伦兹力对粒子所做的功。
根据力的功的定义,功W等于力F对位移的积分,即W=∫F·ds。
在这里,位移ds是粒子在运动过程中的微小位移。
将洛伦兹力F=qE+qv×B代入功的计算式中,得到W=∫(qE+qv×B)·ds。
由于电场强度E和磁感应强度B是空间中的矢量场,所以我们可以将其展开为E=E_xi+E_yj+E_zk和B=B_xi+B_yj+B_zk的形式。
对于微小位移ds,我们可以将其表示为ds=dx·i+dy·j+dz·k。
将上述表达式代入功的计算式中,得到W=∫(q(E_xi+E_yj+E_zk)+q(v_xi+v_yj+v_zk)×(B_xi+B_yj+B_zk))·(dx·i+dy·j+dz·k)。
根据矢量积的性质,可以得到v×B=(v_yB_z-v_zB_y)i-(v_xB_z-v_zB_x)j+(v_xB_y-v_yB_x)k。
将其代入功的计算式中,得到W=∫(q(E_xi+E_yj+E_zk)+q((v_yB_z-v_zB_y)i-(v_xB_z-v_zB_x)j+(v_xB_y-v_yB_x)k))·(dx·i+dy·j+dz·k)。
高二物理电磁场练习题讲解电磁场是高中物理的重要内容之一,也是学生在学习物理过程中常常会遇到的难点之一。
为了帮助高二学生更好地理解和掌握电磁场的相关知识,以下是一些电磁场的练习题及其详细讲解。
1. 题目:一根长直导线通以电流I,求离导线距离为r处的磁感应强度B的表达式。
解析:根据比奥-萨伐尔定律,通过一条长直导线所产生的磁场大小与距离这条导线的距离成反比。
所以根据比奥-萨伐尔定律,可以得到以下的表达式:B = (μ₀I)/(2πr)其中,B为磁感应强度,μ₀为真空磁导率,I为电流强度,r为距离导线的距离。
2. 题目:两根平行的长直导线之间的间距为d,两根导线通以相反方向相等的电流,求两导线之间的磁感应强度B的表达式。
解析:根据比奥-萨伐尔定律,两根平行的长直导线之间的磁感应强度大小可以用以下公式来计算:B = (μ₀I)/(2πd)其中,B为磁感应强度,μ₀为真空磁导率,I为电流强度,d为两根导线之间的间隔距离。
3. 题目:一个长直导线与一个长方形回路(边长为a和b)垂直放置,长方形回路的一条边与长直导线平行。
长直导线通以电流I,求回路中的电动势ε。
解析:根据法拉第电磁感应定律,当导线中的磁场发生变化时,会在回路中产生感应电动势。
对于这个题目,长直导线中电流I的存在会产生一个磁场,而由于长方形回路边长与导线平行,所以回路中感应电动势的大小可以通过以下公式计算:ε = B * L其中,ε为感应电动势,B为磁感应强度,L为回路边的长度。
4. 题目:一根半径为R的无限长细导线通以电流I,求与导线距离为r处的磁感应强度B。
解析:这是一个经典的安培环路定律的应用题。
根据安培环路定律,可以推导出以下公式:B = (μ₀I)/(2R)其中,B为磁感应强度,μ₀为真空磁导率,I为电流强度,R为导线的半径。
通过对以上练习题的详细讲解,相信大家对电磁场的相关知识有了更深入的理解。
掌握了这些基本的公式和定律,对于后面的学习和解题将会起到很大的帮助。
第五章习题答案5-2 如题图所示,一半径为a 的金属圆盘,在垂直方向的均匀磁场B 中以等角速度ω旋转,其轴线与磁场平行。
在轴与圆盘边缘上分别接有一对电刷。
这一装置称为法拉第发电机。
试证明两电刷之间的电压为22ωBa 。
证明:,选圆柱坐标, ρφe vB e B e v B v E z ind=⨯=⨯=其中 φρωe v=22ωρρωρερρa B d B e d e v B l d E aal ind====⎰⎰⎰∙∙∴证毕 5-3解:5-4 一同轴圆柱形电容器,其内、外半径分别为cm r 11=、cm r 42=,长度cm l 5.0=,极板间介质的介电常数为04ε,极板间接交流电源,电压为V t 10026000u πsin =。
求s t 0.1=时极板间任意点的位移电流密度。
解法一:因电源频率较低,为缓变电磁场,可用求静电场方法求解。
忽略边沿效应,电容器中的场为均匀场,选用圆柱坐标,设单位长度上内导体的电荷为τ,外导体电荷为τ-,因题图5-2zvρ此有ρρπετe 2E 0=21r r <<ρ1200222121r r d dl E u r r r r lnπετρρπετ===⎰⎰∙1202r r u ln=∴πετ所以ρρer r u E 12 ln =, ρρεer r u D 12ln=2A/mρρππρερεe t 10010026000r r e tu r r tD J 1212dcos ln ln ⨯=∂∂=∂∂=当s t 1=时2512A/m10816100100260004108584ρρρππρe e J d--⨯=⨯⨯⨯⨯=.cos ln .解法二:用边值问题求解,即⎪⎩⎪⎨⎧=====∇401u 02ρϕρϕϕ 由圆柱坐标系有0)(1=∂∂∂∂ρϕρρρ(1)解式(1)得 21ln c c +=ρϕ由边界条件得: 4u c 1ln -= u c 2=u 4u +-=∴ρϕln ln所以 ρρπϕe 4t10026000Eln sin =-∇=ρρπεεe 4t 100260004E D 0ln sin ==ρπρπεe 1004t 100260004t D J 0D⨯=∂∂=ln cos当s t 1=时)(.25D mAe 10816J ρρ-⨯=5-5由圆形极板构成的平板电容器)(d a >>见题图所示,其中损耗介质的电导率为γ、介电系数为ε、磁导率为μ,外接直流电源并忽略连接线的电阻。
电磁场与电磁兼容习题答案与详解-第2章第2章:电磁场基础知识1.题目:电场强度的方向与电荷正负有关吗?答案:是的,电场强度的方向与电荷的正负有关。
正电荷的电场强度方向指向远离电荷的方向,负电荷的电场强度方向指向靠近电荷的方向。
详解:电场强度的方向由正电荷指向负电荷,这是由于电荷之间存在相互作用力。
根据库仑定律,同性电荷之间的相互作用力是斥力,异性电荷之间的相互作用力是吸引力。
电场强度的方向就是这种相互作用力的方向。
2.题目:什么是电场线?答案:电场线是描述电场强度方向的线条。
在电场中,电场线的方向与电场强度的方向一致,电场线之间不会相交。
详解:电场线是静电场中电场强度方向的图形表示。
它可以用来表示电场强度的大小和方向。
电场线的方向由正电荷指向负电荷,线的密度表示电场强度的大小。
电场线之间不会相交,这是因为在相交点上电场强度有多个值,与实际不符。
3.题目:什么是电场强度?答案:电场强度是描述电场对单位正电荷施加的力的大小和方向。
详解:电场强度是电场的物理量,它表示电场对单位正电荷施加的力的大小和方向。
电场强度的单位是牛顿/库仑。
电场强度的方向由正电荷指向负电荷。
4.题目:电场强度与电场线之间的关系是什么?答案:电场强度和电场线是相互对应的。
电场强度的方向与电场线的方向一致,电场线的密度表示电场强度的大小。
详解:电场强度和电场线是相互对应的。
电场强度的方向由正电荷指向负电荷,电场线的方向也是由正电荷指向负电荷。
电场线的密度表示电场强度的大小,密度越大,表示电场强度越大。
5.题目:电场强度的大小与电荷量有关吗?答案:是的,电场强度的大小与电荷量有关。
在距离电荷越远的地方,电场强度越小;在距离电荷越近的地方,电场强度越大。
详解:电场强度的大小与电荷量有关。
根据库仑定律,电场强度与电荷量成正比,与距离的平方成反比。
在距离电荷越远的地方,电场强度越小;在距离电荷越近的地方,电场强度越大。
电磁场习题解读静电例1、三个点电荷q1、q2、q3沿一条直线分布,已知其中任一点电荷所受合力均为零,且q1=q3=Q ,求在固定q1、q3的情况下,将q2从o →∞,外力需作功A=?解:由已知q1所受静电力例2、有两个点电荷带电量为nq 和-q (n>1),相距d,证明电势为零的等势面为一球面。
证明:空间任一点电势整理可得:上式为球面方程:球心坐标球面半径例3、点电荷-q 位于圆心处,A 、B 、C 、D 位于同一圆周上的四点如图示。
将q0从A 移至B 、C 、D 点,电场力的功。
A=0 例4. 已知: 是闭合曲面的一部分,面内无净电荷电场线穿过该闭合面,穿过部分的电场通量1?Φ,求:通过其余部分的电场通量2?Φ。
解:由高斯定理∑=?=ΦSiie q S d E 0ε ,00=Φ∴=∑eii q,12120?Φ-=Φ∴=?Φ+Φ∴ 例5、长为L,线电荷密度λ的两根均匀带电细棒,沿同一直线放置,两棒近端相距 a ,求两棒间的静电力。
q 2x od n n 1(22- 、0、0) 04)2(420322031=+=a q q a q q f πεπε4412Q q q -=-=∴e A A -=∴)0(2--=o U q a Q q 0242πε-=a Q 028πε=qnq U U U -+=22202220)(44z y d x qz y x nq ++--+++=πεπε0=令 222222)(z y d x qz y x nq ++-=++∴[]2222222)(z y x z y d x n ++=++-22222221()1(-=++--n nd z y d n n x 12-=n nd R S ?S ?解:任意一根棒上一段电荷元在其延长线上一点产生场强dE: xl x dlE d ?)(420-=πελ,?-=∴Ll x dlE 020)(4πελLl x 00)(4-=πελ--=x L x 1140πελ则棒2受棒1静电力:?=f d f,其中df 是棒2上一段电荷元所受棒1的静电力E dq df ?=dx x L x λπελ--=1140 , dx x L x f aL aL--=?++114202πελ)2()(ln 4202a L a a L ++=πελ例6 .无限长共轴直圆筒,半径为R1,R2,均匀带正电,单位长度电量分别为λ1,λ2,设外筒电势为0,求各区域内的电势分布,以及两筒间的电势差。
电磁场与电磁波习题讲解静电场的基本内容2.7 半径分别为a和b(a>b),球心距离为c(c<a-b)的两球面间均匀分布有体密度为ρV的电荷,如图所示。
求空间各区域的电通量密度。
解:由于两球面间的电荷不是球对称分布,不能直接用高斯定律求解。
但可把半径为b的小球面内看作同时具有体密度分别为±ρV的两种电荷分布,这样在半径为a的大球体内具有体密度为ρV的均匀电荷分布,而在半径为b的小球体内则具有体密度为-ρV的均匀电荷分布。
空间任一点的电场是这两种电荷所产生的电场的叠加。
以球体a的球心为原点建立球坐标系,设场点为P(r),场点到球体b球心的距离矢量为r’。
分三种情形讨论。
如果场点位于大球体外的区域,则大小球体产生的电场强度分别为如果场点位于大球体内的实心区域,则大小球体产生的电场强度分别为如果场点位于小球体内的空腔区域,则大小球体产生的电场强度分别为恒定电场的基本内容2.17一个有两层介质(ε1, ε2)的平行板电容器,两种介质的电导率分别为σ1和σ2,电容器极板的面积为S,如图所示。
在外加电压为U时,求:(1)电容器的电场强度;(2)两种介质分界面上表面的自由电荷密度;(3)电容器的漏电导;(4)当满足参数σ1ε2=σ2ε1时,问G/C=?(C为电容器电容)。
恒定磁场的基本内容4.4如果在半径为a,电流为I的无限长圆柱导体内有一个不同轴的半径为b的圆柱空腔,两轴线间距离为c,且c+b<a。
求空腔内的磁通密度。
解:将空腔中视为同时存在J和-J的两种电流密度,这样可将原来的电流分布分解为两个均匀的电流分布:一个电流密度为J、均匀分布在半径为a 的圆柱内,另一个电流密度为-J、均匀分布在半径为b的圆柱内。
由安培环路定律,分别求出两个均匀分布电流的磁场,然后进行叠加即可得到圆柱内外的磁场。
首先,面电流密度为其次,设场点为P(r),场点到圆柱a轴心的距离矢量为ρ,到圆柱b轴心的距离矢量为ρ’。
第一章静电场习题(1F 1)1 1 1直空中有一密度为2芯nC/m 的无限长电荷沿v 轴放置,另有密度 分别为0,lnC/詩和一 O.lnC/m 2的无限大带电平面分别位于黙=3m 和懇= -4m 处°试求F 点(1,7.2)的电场强度瓦'解 * = 3m 和了 = — 4m 的带电平面产生的电场为口孔(-4<x<3)"0 (弁4或金>3)沿3,轴放置的线电荷产生的电场为E =_2^ L 厶TTE °、/丄.2 +一7~~~+ nV/m£O (J -2 + 5?)'"所以,P 点(1,7,2)的电场强度为E =E {l E 2 =-+ ——((-+ 9^ 1H 22.59%+ 33.88% V/m应用叠加原理计算电场强度时,爰注意是矢最的査加。
11-3已知电位函数试求E,并计算在(0,0,2)及(5, 3,2)点处的E 值n(凱旅伝+尸+丹(4 + 2方/3事&) 代入数据,得 “ °£(0,0,2) = (0.156^ + 1.875^) V/m E (5,3,2 )=(0.021。
+0.124% +0.248勺)V/m- gFJ -1-2-2求下列情况下,真空中带电面之间的龟压;(1) 相顧.为】的两无限大平行板,电荷面密度分别为+b 和-(2) 无限长同轴圆柱面,半径分别为a 和b{b>a\每单位长度上电荷:内 柱为r 而外柱为- r;(3)半径分别为&和玲的两同心球面(J R 2>^I )T 带有均匀分布的面积 电荷,内外球面电荷总量分别为g 和 f解(1)因两无限大平行板间电场强度为解 E 二 一* =10所以,电压U= Ea=§uEQ(2) 因两圆柱面间的电场强度为E = E P - 9 r 2共op所以,电压U = —dp = 纟 J a Ensop 丨 Z K £() a(3) 因两球面间的电场强度为E = E 「"所以,电压•叫〈住“四厂 4jreo(/ii R J1-2-3高压同轴线的最佳尺寸设计一一高压同轴圆柱电缆,外导体 的内半径为2 cm,内外导体间电介质的击穿场强为200 kV/cm o 内导体的半径 为°,其值可以自由选定,但有一最佳值,因为若a 太大,内外导体的间隙就变 得很小,以致在给定的电压下,最大的E 会超过电介质的击穿场强。
1
一、单项选择题
1.全电流定律的微分方程为( )
A .▽×H=J C
B .▽×H=J+t
D ∂∂
C .▽×H=t
D ∂∂
D .▽×H=0 2.所谓点电荷是指可以忽略掉电荷本身的( )
A .质量
B .重量
C .体积
D .面积
3.静电场中两点电荷之间的作用力与它们之间的距离( )
A .成正比
B .平方成正比
C .平方成反比
D .成反比
4.真空中均匀平面波的波阻抗为( )
A .237Ω
B .277Ω
C .337Ω
D .377Ω
5.载流回路中的电流在建立过程中需要外源提供能量,故一部分能量将转化为( )
A.电场能量B.线圈能量C.磁场能量D.电流能量6.变压器电动势的产生条件是()A.电场恒定B.磁场恒定C.电场变化D.磁场变化7.已知两点电荷在同一处产生的电场分别为E1=-48.0e y+60.0e z v/m,
E2=74.9e x-124.9e z v/m,则该处的电场
强度为()
A.74.9e x-48.0e y v/m
B.-74.9e x+48.0e y-184.9e z v/m C.74.9e x+48.0e y-184.9e z v/m
D.74.9e x-48.0e y-64.9e z v/m
8.0ε是真空中的介电常数,其值为()
A.4π×10-7H/m B.4π×10-12F/m C.8.85×10-12F/m D.8.85×10-12F·m 9.已知平行板电容器中,电位函数2ax=ϕ,则电容器中的电场强度为()A.2axe x B.2aεxe x
C.2aεe x D.-2axe x
2
10.一个电量为1.6×10-19C的粒子,以83.5km/s的初速度进入B=5mT的磁场中,假设速度v和B是垂直的,则作用在此粒子上的力为()
A.6.68×10-20N B.6.68×10-17N C.6.68×10-14D.0N
11.电流密度的单位为()
A.安/米3B.安/米2
C.安/米D.安
12.如向量磁位A=5(x2+y2+z2)-1e x Wb/m,则B为()A.10(x2+y2+z2)-2ye z-10(x2+y2+z2)-2ze y( T)
B.5(x2+y2+z2)-1e z-5(x2+y2+z2)-1e y(T) C.10(x2+y2+z2)-1ye z-10(x2+y2+z2)-1ze y( T)
D.5(x2+y2+z2)-2e z-5(x2+y2+z2)-2e y(T) 13.在场源分布相同情况下,普通磁媒质中的磁感应强度是真空中磁感应强度的()
A.0μ倍B.rμ倍
3
C.μ倍D.mχ倍
14.在恒定磁场中,已知H=a(ye x-xe y),则电流密度J等于()
A.-2ae z B.-2ae y
C.2ae x D.2ae z
二、填空题
15.在正方形的四顶点上,各放一电量相等的同性点电荷,则几何中心处
的电场强度为。
16.不导电的自由空间电荷运动形成的电流称为运流电流。
17.在线性导电媒质中电流密度与电场强度成关系。
18.电磁感应定律的本质就是变化的磁场产生。
19.时变电磁场的频率越高,则透入深度,集肤效应越明显。
三、名词解释
20.恒定场
21.非线性导电媒质
4
22.动态位
23.自有静电能量
5。