分式经典培优竞赛题
- 格式:pdf
- 大小:123.74 KB
- 文档页数:4
分式 (一)一 选择1 下列运算正确的是( )A -40=1B (-3)-1=31 C (-2m-n )2=4m-n D (a+b )-1=a -1+b -12 分式28,9,12zy x xy z x x z y -+-的最简公分母是( ) A 72xyz 2 B 108xyz C 72xyz D 96xyz 23 用科学计数法表示的树-3.6×10-4写成小数是( )A 0.00036B -0.0036C -0.00036D -360004 若分式6522+--x x x 的值为0,则x 的值为( )A 2B -2C 2或-2D 2或35计算⎪⎭⎫ ⎝⎛-+÷⎪⎭⎫ ⎝⎛-+1111112x x 的结果是( ) A 1 B x+1 C x x 1+ D 11-x 6 工地调来72人参加挖土和运土,已知3人挖出的土1人恰好能全部运走,怎样调动劳动力才能使挖出的土能及时运走,解决此问题,可设派x 人挖土,其它的人运土,列方程 ①3172=-x x ②72-x=3x ③x+3x=72 ④372=-xx 上述所列方程,正确的有( )个 A 1 B 2 C 3 D 47 在ma y x xy x x 1,3,3,21,21,12+++π中,分式的个数是( ) A 2 B 3 C 4 D 58 若分式方程xa x a x +-=+-321有增根,则a 的值是( ) A -1 B 0 C 1 D 29 若3,111--+=-ba ab b a b a 则的值是( ) A -2 B 2 C 3 D -3 10 已知k b a c c a b c b a =+=+=+,则直线y=kx+2k 一定经过( ) A 第1、2象限 B 第2、3象限 C 第3、4象限 D 第 1、4象限二 填空1 一组按规律排列的式子:()0,,,,41138252≠--ab a b a b a b a b ,其中第7个式子是 第n 个式子是2 7m =3,7n =5,则72m-n =3 ()2312008410-+⎪⎭⎫ ⎝⎛--+-=4 若2222,2b a b ab a b a ++-=则= 三 化简 1 ()d cd b a c ab 234322222-∙-÷ 2 111122----÷-a a a a a a 3 ⎪⎭⎫ ⎝⎛---÷--225262x x x x 四 解下列各题1 已知b ab a b ab a b a ---+=-2232,311求 的值2 若0<x<1,且xx x x 1,61-=+求 的值 五 (5)先化简代数式()()n m n m mn n m n m n m n m -+÷⎪⎪⎭⎫ ⎝⎛+---+222222,然后在取一组m,n 的值代入求值六 解方程 1 12332-=-x x 2 1412112-=-++x x x 七 2008年5月12日,四川省发生8.0级地震,我校师生积极捐款,已知第一天捐款4800元,第二天捐款6000元,第二天捐款人数比第一天捐款人数多50人,且两天人均捐款数相等,那么两天共参加捐款的人数是多少?分式(二)一、选择题:1.已知230.5x y z ==,则32x y z x y z +--+的值是( ) A .17 B.7 C.1 D.132.一轮船从A 地到B 地需7天,而从B 地到A 地只需5天,则一竹排从B 地漂到A 地需要的天数是( ) A .12 B.35 C.24 D.473.已知226a b ab +=,且0a b >>,则a b a b +-的值为( ) A .2 B .2± C .2 D .2±二、填空题:4. 若关于x 的分式方程3232-=--x m x x 无解,则m 的值为__________. 5.若分式231-+x x 的值为负数,则x 的取值范围是__________. 6. 已知2242141x y y x y y +-=-+-,则的24y y x ++值为______. 三、解答题:7. 计算: ()3322232n m n m --⋅8. 计算(1)168422+--x x x x (2)m n n n m m m n n m -+-+--2 9. 先化简,后求值:222222()()12a a a a a b a ab b a b a b -÷-+--++-,其中2,33a b ==- 10. 解下列分式方程.11. 计算:(1)1111-÷⎪⎭⎫ ⎝⎛--x x x (2)4214121111x x x x ++++++- 12.已知x 为整数,且918232322-++-++x x x x 为整数,求所有符合条件的x 的值. 13.先阅读下面一段文字,然后解答问题:一个批发兼零售的文具店规定:凡一次购买铅笔301支以上(包括301支)可以按批发价付款;购买300支以下(包括300支)只能按零售价付款.现有学生小王购买铅笔,如果给初三年级学生每人买1支,则只能按零售价付款,需用()12-m 元,(m 为正整数,且12-m >100)如果多买60支,则可按批发价付款,同样需用()12-m 元.设初三年级共有x 名学生,则①x 的取值范围是 ;②铅笔的零售价每支应为 元;③批发价每支应为 元.(用含x 、m 的代数式表示).14. A 、B 两地相距20 km ,甲骑车自A 地出发向B 地方向行进30分钟后,乙骑车自B 地出发,以每小时比甲快2倍的速度向A 地驶去,两车在距B 地12 km 的C 地相遇,求甲、乙两人的车速.分式(三)一、填空题1、在有理式22xy ,πx ,11+a ,y x +1,122-m 中属于分式的有 .2、分式33+-x x 的值为0,则x= .3、分式x x 2-和它的倒数都有意义,则x 的取值范围是 .4、当_____=x 时,x --11的值为负数;当x 、y 满足 时,)(3)(2y x y x ++的值为32; 5、若分式y x y -3的值为4,则x,y 都扩大两倍后,这个分式的值为6、当x= 时,分式11+x 与11-x 互为相反数.7、若分式方程=-1x m 1-x -11有增根,则m= .8、要使方程=-11x a x -2有正数解,则a 的取值范围是9、+++)2)(1(1 x x )3)(2(1++x x +)2007)(2006(1.....+++x x =_____________10、若=a 3b 4=c 5,则分式222c b a ac bc ab +++-=____________二、选择题11、已知m 、n 互为相反数,a 、b 互为倒数,|x|=2,则ab x x n m -++2的值为( )A 、2B 、3C 、4D 、512. 下列式子:(1)y x y x yx -=--122;(2)c a b a a c a b --=--;(3)1-=--b a a b ;(4)y x yx y x yx +-=--+-中正确的是 ( )A 、1个B 、2 个C 、3 个D 、4 个13. 下列分式方程有解的是( )A 、++12x 13-x =162-x B 、012=+x x C 、0122=-x D 、111=-x14. 若分式m x x ++212不论m 取何实数总有意义,则m 的取值范围是( )A 、m ≥1B 、m >1C 、m ≤1D 、m <115、晓晓根据下表,作了三个推测:①3-x-1x (x>0)的值随着x 的增大越来越小;②3-x-1x (x>0)的值有可能等于2;③3-x-1x (x>O)的值随着x 的增大越来越接近于2.则推测正确的有( ) A 、0个 B 、1个 C 、2个 D 、3个16. 已知分式xy yx -+1的值是a ,如果用x 、y 的相反数代入这个分式所得的值为b ,则a 、b 关系()A 、相等B 、互为相反数C 、互为倒数D 、乘积为-1三、解答题17、化简:[22222a b a ab b -+++2ab ÷(1a +1b )2]·2222a b ab -+.18、当21,23-==b a 时,求⎪⎭⎫⎝⎛-+⋅⎪⎭⎫ ⎝⎛-+-b a ab b a b a ab b a +44的值.19、A 玉米试验田是边长为a 米的正方形减去一个边长为1米的正方形蓄水池后余下部分,B 玉米试验田是边长为(a -1)米的正方形,两块试验田的玉米都收获了500千克.(1)那种玉米的单位面积产量高?(2)高的单位面积产量是低的单位面积产量的多少倍?四、探索题20、观察以下式子:1112122132+→=+>,5527544264+→=+<,3354355555+→=+>, 773722232+→=+<.请你猜想,将一个正分数的分子分母同时加上一个正数,这个分数的变化情况,并证明你的结论.21、甲、乙两位采购员同去一家饲料公司购买两次饲料.两次饲料的价格有变化,两位采购员的购货方式也不同,其中,甲每次购买1000千克,乙每次用去800元,而不管购买多少饲料.谁的购货方式更合算?22、一个批发兼零售的文具店规定:凡一次购买铅笔300枝以上,(不包括300枝),可以按批发价付款,购买300枝以下,(包括300枝)只能按零售价付款.小明来该店购买铅笔,如果给八年级学生每人购买1枝,那么只能按零售价付款,需用120元,如果多购买60枝,那么可以按批发价付款,同样需要120元,①这个八年级的学生总数在什么范围内?②若按批发价购买6枝与按零售价购买5枝的款相同,那么这个学校八年级学生有多少人?分式(一)参考答案一 CACBC CBBA B二 1 -()n n n ab a b 137201,--, 2 9/5, 3 2, 4 53 三 1 ac1 ,2 1-a a ,3 32+-x 四 1 提示:将所求式子的分子、分母同时除以ab 。
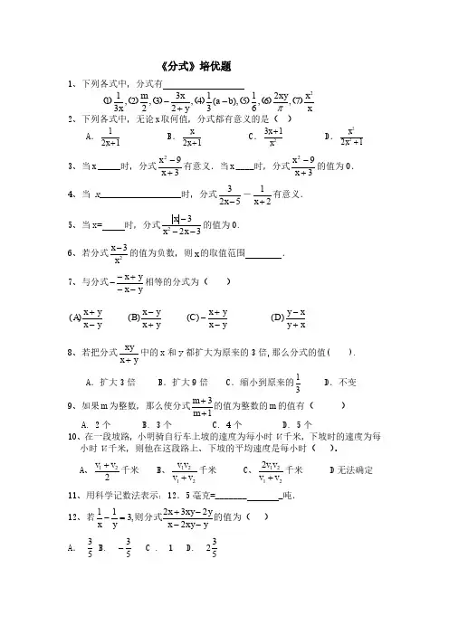
分式培优练习题(完整标准答案)分式(一)选择1.下列运算正确的是()。
A。
-4=1 B。
(-3)-1=1 C。
(-2m-n)2=4m-n D。
(a+b)-1=a-1+b-12.分式 y-z/x+z+x-y 的最简公分母是()。
A。
2 B。
C。
D。
23.用科学计数法表示的数-3.6×10-4写成小数是()。
A。
0. B。
-0.0036 C。
-0. D。
-0.若分式 x-2/x-5x+6 的值为 k,则 x 的值为()。
A。
2 B。
-2 C。
2或-2 D。
2或35.计算 |1+(1/x-1)/(x-1)| 的结果是()。
A。
1 B。
x+1 C。
x+1/x-1 D。
x/(x-1)6.工地调来 72 人参加挖土和运土,已知 3 人挖出的土 1 人恰好能全部运走,怎样调动劳动力才能使挖出的土能及时运走,解决此问题,可设派 x 人挖土,其它的人运土,列方程①72-x=3x+72④=3.上述所列方程,正确的有()个。
A。
1 B。
2 C。
3 D。
47.在分式a/(x^2+2πx+y)+m/(x-2) 中,分式的个数是()。
A。
2 B。
3 C。
4 D。
58.若分式方程 (1-a)/(x-2)+(a+x)/(x-1)=3 有增根,则 a 的值是()。
A。
-1 B。
C。
1 D。
29.若 1/(11-ba)=1/(ab+ba)=-3,则 (a-b)/(a+b) 的值是()。
A。
-2 B。
2 C。
3 D。
-310.已知 b0,且ab≠0,其中第 7 个式子是 1/(a+7b),一组按规律排列的式子:-b^2/a,-b^5/a^2,-b^8/a^3,-b^11/a^4,……,其中第 n 个式子是 -b^(3n-2)/a^n。
若 7m=3,7n=5,则 72m-n=()。
A。
-1 B。
1 C。
2 D。
311.化简 (a^2-ab+b^2)/(a-b)^2.2.若 0<x<1,且 x+1/x=6,求 x-1/x 的值。
一、选择题(每题5分,共25分)1. 下列各式中,不是分式的是()A. 2a + bB. a/bC. 3/xD. a/(2b + 1)2. 已知a、b是实数,且a ≠ 0,b ≠ 0,下列分式中,值为1的是()A. a/bB. b/aC. a/b + b/aD. a/b - b/a3. 已知x + y ≠ 0,下列分式中,分母有理化后为x + y的是()A. x/(x + y)B. y/(x + y)C. x - y/(x + y)D. x + y/(x - y)4. 若a、b、c是等差数列,且a + b + c = 0,则下列分式中,值为0的是()A. a/b + b/cB. b/a + c/bC. c/a + a/bD. a/b + c/a5. 下列各式中,值为-1的是()A. 1 - 1/2B. 1 + 1/2C. 1 - 2/3D. 1 + 2/3二、填空题(每题5分,共25分)6. 已知x + 2/x = 5,则x = __________。
7. 已知a/b + b/a = 2,则a² + b² = __________。
8. 已知a、b、c是等差数列,且a + b + c = 0,则b² + c² = __________。
9. 若x² + y² = 1,则x² - y² = __________。
10. 已知a、b、c是等比数列,且a + b + c = 0,则a² + b² + c² =__________。
三、解答题(每题15分,共45分)11. 已知a、b是实数,且a ≠ 0,b ≠ 0,求证:a² + b² ≥ 2ab。
12. 已知x + y + z = 0,求证:(x + y)² + (y + z)² +(z + x)² = 2(x² + y² + z²)。
数学分式方程辅优卷1、学完分式运算后,老师出了一道题“化简:23224x x x x +-++-” 小明的做法是:原式222222(3)(2)26284444x x x x x x x x x x x +--+----=-==----; 小亮的做法是:原式22(3)(2)(2)624x x x x x x x =+-+-=+-+-=-; 小芳的做法是:原式32313112(2)(2)222x x x x x x x x x x +-++-=-=-==++-+++. 其中正确的是( )A .小明B .小亮C .小芳D .没有正确的2、下列四种说法(1)分式的分子、分母都乘以(或除以)2+a ,分式的值不变;(2)分式y-83的值可以等于零;(3)方程11111-=++++x x x 的解是1-=x ;(4)12+x x 的最小值为零;其中正确的说法有( )A .1个 B.2 个 C. 3 个 D. 4 个3、关于x 的方程211x a x +=-的解是正数,则a 的取值范围是( ) A .a >-1 B .a >-1且a ≠0C .a <-1D .a <-1且a ≠-24.若解分式方程x x x x m x x 11122+=++-+产生增根,则m 的值是( ) A.B. C. D. 5. 已知,511ba b a +=+则b a a b +的值是( ) A 、5 B 、7 C 、3 D 、31 6.若x 取整数,则使分式1-2x 36x +的值为整数的x 值有( ). (A)3个 (B)4个 (C)6个 (D)8个7. 已知xB x A x x x +-=--1322,其中A 、B 为常数,那么A +B 的值为( ) A 、-2 B 、2C 、-4D 、48. 甲、乙两地相距S 千米,某人从甲地出发,以v 千米/小时的速度步行,走了a 小时后改乘汽车,又过b 小时到达乙地,则汽车的速度( )A. B. C. D.9、当x = 时,分式12x -无意义. 10、①())0(10 53≠=a axy xy a ②()1422=-+a a 。
第5讲分式一、选择题1.(2、3)(数学、初中数学竞赛、选择题、分式、整体代换)已知a2−3a+1=0,则4 a2−9a−2+91+a2的值为()A . 3 B.5 C. 35 D. 65解析:显然a≠0,由题设得a+1a =3,所求式子=4a2−3a+3a−2+93a=−4+3×3−2=3.答案:A .技巧:通过对题设等式的整体变形,能整体求值的就整体求值代换,这样能简化运算,达到快捷解题的目的。
易错点:代换过程中容易变形失误而致错。
2. (3、4)(数学、初中数学竞赛、选择题、分式)若4x−3y−6z=0,x+2y−7z=0(xyz≠0),则代数式5x2+2y2−z22x2−3y2−10z2的值为( )A.−12B.−192C.-15D.-13解析:由题意得4x−3y=6zx+2y=7z,解得x=3zy=2z,代人5x2+2y2−z22x−3y−10z得5×9z2+2×4z2−z22×9z−3×4z−10z=−13.答案:D.技巧:将三元化为一元,然后合并同类项再约分是解这类题的常用技巧。
易错点:这类题型在换元的时候容易计算错误。
3. (3、4)(数学、初中数学竞赛、选择题、分式)已知x ,y ,,z 满足2x=3y −z=5z+x,则5x −y y+2z的值为( )A.1B. 13C.−12D. 12解析:由2x=3y −z=5z+x得2(z +x )=5x ,2(y −z )=3x ,解之得y =3x ,z =32x . 所以5x −y y+2z=5x −3x 3x+3x=13⋅答案:B.技巧:将三元化为一元,然后合并同类项再约分是解这类题的常用技巧。
易错点:这类题型在换元的时候容易计算错误。
二、填空题4. (3、4)(数学、初中数学竞赛、填空题、分式)方程16+1x=1y有 组正整数解.解析:由原方程可得y =6x x+6=6−36x+6⋅ 又因为y 是正整数,所以x +6=9,12,18,36,得x =3,6,12,30,都是正整数. 故原方程共有4组解. 答案:4.技巧:将一个未知数用另一个未知数表示出来,再根据题设的限制条件(正整数解)来分析可能的正确解。
《分式》培优题1、下列各式中,分式有2、下列各式中,无论x 取何值,分式都有意义的是( )A .121x +B .21x x +C .231x x+ D .2221x x + 3、当x _____时,分式392+-x x 有意义.当x ____时,分式392+-x x 的值为0. 4、当 x __________________时,分式325x --12x +有意义. 5、当x= 时,分式2323x x x ---的值为0. 6、若分式23xx -的值为负数,则x 的取值范围 . 7、与分式y x y x --+--相等的分式为( ) y x y x A -+)( y x y x B +-)( y x y x C -+-)( xy x y D +-)( 8、若把分式y x xy +中的x 和y 都扩大为原来的3倍,那么分式的值( ). A .扩大3倍 B .扩大9倍 C .缩小到原来的31 D .不变 9、如果m 为整数,那么使分式13++m m 的值为整数的m 的值有( ) A. 2个 B. 3个 C. 4个 D. 5个10、在一段坡路,小明骑自行车上坡的速度为每小时V 1千米,下坡时的速度为每小时V 2千米,则他在这段路上、下坡的平均速度是每小时( )。
A 、221v v +千米B 、2121v v v v +千米C 、21212v v v v +千米 D 无法确定 11、用科学记数法表示:12.5毫克=_______ _吨. 12、若的值为则分式y xy x y xy x y x ---+=-2232,311( ) A . 53 B. 53- C . 1 D. 532xx xy b a y x m x 27,26,615),(314,233,22,311)()()()()()()(π-+-x x x x x x x x -÷+----+4)44122(2213、化简:① ②35(2)242a a a a -÷+---14、(1)先化简 代数式1)12111(2-÷+-+-+a a a a a a ; 然后从0、1、2中选取一个你喜欢的a 值代入求值.的值求若34121311,012)2(2222+++-⋅-+-+=-+a a a a a a a a a15、计算:(1)(-1)2 013-|-7|+2-31-)(×(2016-π)0+(-2)3; (2)(m 3n )-2·(2m -2n -3)-2÷(m -1n )3.16、若111312-++=--x N x M x x ,试求N M ,的值.17、用换元法解方程222026133x x x x+-=+ ,若设x 2+3x =y ,,则原方程可化为关于y 的整式方程为____________. 18、解方程114112=---+x x x19. 已知两个分式:A=442-x ,B=x x -++2121,其中x ≠±2 . 下面有三个结论:①A=B ; ②A 、B 互为倒数; ③A 、B 互为相反数.请问哪个正确?为什么?20、若关于的分式方程无解,则 . 21.已知a 、b 为实数,且ab =1,设M =11+++b b a a ,N =1111+++b a ,比较M 、N 的大小关。
10.3 分式的加减【培优题】(满分100分时间:40分钟)班级姓名得分【知识点回顾】9、分式的加减:(1)同分母加减:=±a c a b a c b ± (2)异分母加减:=±d c a b adacbd ± 10、通常,分式相加减所得的结果应化为最简分式或整式;【课时练习】一、单项选择题:(本题共6小题,每小题5分,共30分.在每小题给出的四个选项中,只有一项是符合题意要求的.)1.(2021·湖北武汉市·八年级期末)当x 分别取2020、2018、2016、…、2、0、12、14、…、12016、12018、12020时,计算分式11x x -+的值,再将所得结果相加,其和等于( )A .1-B .1C .0D .2020【答案】A 【分析】先把互为倒数的两个数代入并求和,得0,再把没有倒数的0代入即可.【详解】解:把2020代入11x x -+,得20192021,把12020代入11x x -+,得20192021-,相加得零,设x=a (a≠0)代入11x x -+,得11a a -+,把x=1a代入11x x -+,得11a a --+,故互为倒数的两个数代入分式后,和为0,把0代入11x x -+,得-1,故选:A .【点睛】本题考查了分式求值运算和数字规律,解题关键是通过计算发现互为倒数的两个数代入分式后,和为0.2.(2020·全国七年级专题练习)对于任意的x 值都有227221x M Nx x x x +=++-+-,则M ,N 值为( )A .M =1,N =3B .M =﹣1,N =3C .M =2,N =4D .M =1,N =4【答案】B 【分析】先计算21M N x x ++-=()()222M N x M N x x ++-++- ,根据已知可得关于M 、N 的二元一次方程组227M N M N +ìí-+î== ,解之可得.【详解】解:21M Nx x ++-=()()()()1221M x N x x x -+++-=()()222M N x M N x x ++-++-∴2272x x x ++-=()()222M N x M N x x ++-++-∴227M N M N +ìí-+î==,解得:13M N -ìí=î=,故选B .【点睛】本题主要考查分式的加减法,解题的关键是熟练掌握分式的加减法则,并根据已知等式得出关于M 、N 的方程组.3.(2019·全国七年级单元测试)设11y M x +=+,yN x=,当0x y >>时,M 和N 的大小关系是( )A .M N >B .M N=C .M N<D .不能确定【答案】A 【分析】用差值法比较大小,11y yM N x x+-=-+,进行通分,由0x y >>可判断M 、N 的大小.【详解】11y yM N x x+-=-+(1)(1)(1)x y y x x x +-+=+(1)xy x xy y x x +--=+(1)x yx x -=+.∵x >y >0∴x (x +1)>0,x −y >0∴M −N >0故M >N .选A.【点睛】本题考查分式加减的实际应用.异分母分式相减,先通分,再按照同分母分数减法法则进行计算.还需注意本题最终计算结果是分式,可分别判断分子和分母的符号,根据两数相除,同号为正,异号为负判断结果的符号.4.(2019·全国七年级单元测试)有两个相同的瓶子装满了酒精溶液,其中一个瓶子中酒精与水的体积之比是:1p ,而在另一个瓶子中两者的体积之比是:1q ,若把两瓶溶液混合在一起,混合液中的酒精与水的体积之比是().A .2p q +B .22p q p q++C .2pq p q+D .22pq p q p q ++++【答案】D 【解析】【分析】混合液中的酒精与水的容积之比为两瓶中的纯酒精与两瓶中的水之比,设瓶子的容量为1,分别算出纯酒精和水的体积.【详解】设瓶子的容积,即酒精与水的和是1.则纯酒精之和为:111111p q p q p q p q ´+´=+++++;水之和为:1111p q +++ ∴混合液中的酒精与水的容积之比为:11211112p q pq p qp q p q p q æöæö+++¸+=ç÷ç÷++++++èøèø.故选D .【点睛】本题主要考查分式的混合运算,找到相应的等量关系是解决本题的关键.5.(2019·杭州市文澜中学九年级月考)轮船往返于一条河的两码头之间,如果船本身在静水中的速度是固定的,那么,当这条河的水流速度增大时,船往返一次所用的时间将( )A .增多B .减少C .不变D .增多、减少都有可能【答案】A 【解析】【分析】分别计算出水流速度增大前后往返一次所用的时间,再用求差法比较大小即可.【详解】解:设两码头之间距离为s ,船在静水中速度为a ,水速为v 0,则往返一次所用时间为t 0=0s a v ++0-sa v ,设河水速度增大后为v ,(v >v 0)则往返一次所用时间为t=s a v ++-sa v.∴t 0-t=0s a v ++0-s a v -s a v +--s a v =s[(01a v +-1a v +)+(01-a v -1-a v)]=s[()()00v v a v a v -+++()()00--v va v a v -]=s (v-v 0)[()()01a v a v ++-()()01--a v a v ]由于v-v 0>0,a+v 0>a-v 0,a+v >a-v 所以(a+v 0)(a+v )>(a-v 0)(a-v )∴()()01a v a v ++<()()01--a v a v ,即()()01a v a v ++-()()01--a v a v <0,∴t 0-t <0,即t 0<t ,因此河水速增大所用时间将增多.故选A .【点睛】本题是一道综合题,难度较大,考查了分式的加减法和比较两个数大小的一种方法,求差法.6.(2019·山东八年级课时练习)甲、乙两人分别从相距8千米的两地同时出发,若同向而行,则t 1小时后,快者追上慢者;若相向而行,则t 2小时后,两人相遇,那么快者速度是慢者速度的( )A .112t t t +B .121t t t +C .1212t t t t -+D .1212t t t t +-【答案】D 【解析】【分析】设甲的速度为a ,乙的速度为b ,且a >b ;根据题意可得方程组112288at bt at bt -=ìí+=î,解方程组求得a 、b 的值,再计算ab的值即可.【详解】设甲的速度为a ,乙的速度为b ,且a >b ;根据题意得,112288at bt at bt -=ìí+=î,即1288a b t a b t ì-=ïïíï+=ïî ,解得121212124()4()t t a t t t t b t t +ì=ïïí-ï=ïî,∴1212121212124()4()t t t t t t at t b t t t t ++==--.故选D.【点睛】本题考查了二元一次方程组的应用及分式的化简,读懂题意,找到所求的量的等量关系是解决本题的关键.二、填空题:(本题共4小题,每小题5分,共20分)7.(2019·山东烟台市·七年级期中)已知:m 2-9m+1=0,则m 2+21m=__________.【答案】79【分析】先将2910m m -+=变形求出219m m +=,再将原式通分得到2222(1)2m m m+-将219m m +=代入求值即可.【详解】∵2910m m -+=,∴219m m +=,∴221m m +,=421m m+,=2222(1)2m m m +-,=222(9)2m m m -,=79,故答案为:79.【点睛】此题考查分式的加法计算,分式的通分,正确将将原式变形后代入分式中进行计算是解题的关键.8.(2020·重庆江北嘴实验学校八年级月考)如果我们定义()1x f x x =+,(例如:()555156f ==+,试计算下面算式的值:1120152f f æöæö+¼+ç÷ç÷èøèø ()()()()101220151f f f f f æö++++¼+=ç÷èø______ .【答案】2015【分析】根据题意得出规律f (x )+f (1x)=1,原式结合后计算即可得到结果.【详解】解:f (x )+f (1x )=x 1x ++111x x+=11x x ++=1,则原式=[f (12015)+f (2015)]+…+[f (12)+f (2)]+[f (11)+f (1)]+f (0)=2015,故答案为2015.【点睛】此题考查了分式的加减法,熟练掌握运算法则是解本题的关键.9.(2018·全国八年级单元测试)已知a 1=1tt +,a 2=111a -,a 3=211a -,…,a n +1=11na - (n 为正整数,且t≠0,1),则a 2018=______(用含有t 的式子表示).【答案】1+t 【解析】分析:把a 1代入确定出a 2,把a 2代入确定出a 3,依此类推,得到一般性规律,即可确定出a 2018的值.详解:根据题意得:a 1=1t t+,a 2=1111t t t =+-+,a 3=411111111ta t t t t=-==--++,…,2018÷3=672…2,∴a 2018的值为1+t .故答案为:1+t .点睛:本题考查了分式的混合运算,弄清题中的规律是解答本题的关键.10.(2018·全国九年级单元测试)某商场购进甲、乙两种商品,乙商品的单价是甲商品单价的2倍,若设甲商品的单价为x 元,则购买240元甲商品的数量比购买300元乙商品的数量多____件.【答案】90x【解析】设甲商品的单价为x 元,乙商品的单价为2x 元,根据购买240元甲商品的数量比购买300元乙商品的数量多2403004803009022x x x x--==.故答案为:90x.三、解答题:(本题共4小题,共50分.解答应写出文字说明、证明过程或演算步骤.)11.(2020·全国七年级单元测试)阅读下面材料:一个含有多个字母的式子中,如果任意交换两个字母的位置,式子的值都不变,这样的式子就叫做对称式,例如:a b c ++,abc ,22a b +,…含有两个字母a ,b 的对称式的基本对称式是+a b 和ab ,像22a b +,()()22a b ++等对称式都可以用+a b ,ab 表示,例如:()222=2-++a b a b ab .请根据以上材料解决下列问题:(1)式子:①22a b ,②22a b -,③11a b+,④22a b ab +中,属于对称式的是 (填序号)(2)已知()()2=++++x a x b x mx n .①若=2=4,-m n ,求对称式22a b +的值②若4=-n ,求对称式b aa b+的最大值【答案】(1)①③④;(2)①12,②-2.【分析】(1)根据新定义的“对称式”的意义进行判断,做出选择,(2)已知2()()x a x b x mx n ++=++.则m a b =+,n ab =,①2m =,4n =,利用整式变形可求出22a b +的值;②4n =-时,即4ab =-,由2222()284b a a b a b ab m a b ab ab ++-++===-可以求出b a a b+的最大值;【详解】解:(1)根据“对称式”的意义,得①③④是“对称式”,故答案为:①③④,(2)①2()()x a x b x mx n ++=++Q .m a b \=+,n ab =,①当2m =,4n =-时,即2a b \+=,4ab =-,222()24812a b a b ab \+=+-=+=,②当4n =-时,即4ab =-22222()28=244a b ab b a a b m m a b ab ab +-+++===---,所以当m=0时,224m --有最大值-2,故代数式b a a b+的最大值为2-.【点睛】本题考查“新定义”的意义、整式、分式的变形以及求代数式的最值的等知识,理解“新定义”的意义和最值的意义是解决问题的关键.12.(2021·河北唐山市·八年级期末)先化简,再求值:2214122a a a a aæö++-+ç÷--èø ,其中a 是满足不等式组200a a -£ìí>î的整数解.【答案】2(21)2a a a ---,2.【分析】先计算括号中的异分母分式减法,再计算同分母分式的加法,求出不等式组的整数解后将a 的值代入计算即可.【详解】解:2214122a a a a aæö++-+ç÷--èø=222124122a a a a a a +-++---=212412a a a +---=2(21)2a a a ---,200a a -£ìí>î解不等式得:0<x ≤2,故此不等式组的整数解为:a =1或a =2.当a =2时,原代数式的分母为0,故a =1,将a =1代入,原式=2(21)212-´-=-.【点睛】此题考查分式的计算,分式的化简求值,求不等式组的整数解,掌握分式的加法计算法则,异分母分式的减法计算法则,会求不等式组的整数解是解题的关键.13.(2020·广东揭阳市·八年级期末)已知下面一列等式:111122´=-;11112323´=-;11113434´=-;11114545´=-;…(1)请你按这些等式左边的结构特征写出它的一般性等式:(2)验证一下你写出的等式是否成立;(3)利用等式计算:11(1)(1)(2)x x x x ++++11(2)(3)(3)(4)x x x x ++++++.【答案】(1)一般性等式为111=(+11n n n n -+);(2)原式成立;详见解析;(3)244x x +.【分析】(1)先要根据已知条件找出规律;(2)根据规律进行逆向运算;(3)根据前两部结论进行计算.【详解】解:(1)由111122´=-;11112323´=-;11113434´=-;11114545´=-;…,知它的一般性等式为111=(+11n n n n -+);(2)1111(1)(1)n n n n n n n n +-=-+++Q111(1)1n n n n ==×++,\原式成立;(3)11(1)(1)(2)x x x x ++++11(2)(3)(3)(4)x x x x ++++++1111112x x x x =-+-+++11112334x x x x +-+-++++114x x =-+244x x=+.【点睛】解答此题关键是找出规律,再根据规律进行逆向运算.14.(2020·重庆万州区·八年级期末)阅读材料:小学时,我们学习过假分数和带分数的互化.我们可以将一个假分数化为带分数,如:113141133333=+=+=72312311122333333´+´==+=+=.初二 ()1班学生小杨同学根据学习分数的方法, 在学习分式这一章时,对分式进行了探究:()111111+==11111x x x x x x x x -+-+=-----()()23623266233333x x x x x x x x -+-==+=+-----根据探究过程,小杨同学说,我可以根据这一探究过程可以分析分式整数解的问题,同学们,你们能吗?请你帮小杨同学解答下列问题:()1当x 为整数时,若233x x --也为整数,求满足条件的所有x 的值;()2当x 为整数时,若22331x x x ++-也为整数,求满足条件的所有x 的绝对值之和.【答案】(1)0x =或2或4或6;(2)满足条件的所有x 的绝对值之和为30【分析】(1)先把分式进行通分化简,再根据约数的知识进行分析即可;(2)先把分式进行通分化简,再根据约数的知识进行分析求得x 的值即可的解.【详解】(1)()2332333x x x x -+-=--323x =+-,x Q 为整数,分式也为整数,3x \-为3的约数,3133x x \-=±-=±或,0x \=或2或4或6;(2)22331x x x ++-()()2217181x x x -+-+=-()82171x x =-++-x Q 为整数,分式也为整数,1x \-为8的约数,111224488x \-=----、、、、、、、,20315397.x \=---、、、、、、、\满足条件的所有x 的绝对值之和为30.【点睛】此题考查了分式的化简、分式的值等知识;熟练掌握分式的化简,根据分式的值为整数、利用约数的方法进行分析是解决问题的关键.。
分式的基本性质培优 姓名一.选择题1.在代数式22221323252,,,,,,33423x x xy x x x x π+-+中,分式共有( ). A.2个B.3个C.4个D.5个 2.使分式5+x x 值为0的x 值是( ) A .0 B .5C .-5D .x ≠-5 3. 下列判断错误..的是( ) A .当23x ≠时,分式231-+x x 有意义 B .当a b ≠时,分式22ab a b -有意义 C .当21-=x 时,分式214x x+值为0 D .当x y ≠时,分式22x y y x --有意义 4.x 为任何实数时,下列分式中一定有意义的是( )A .21x x+ B .211x x -- C .11x x -+ D .211x x -+ 5.如果把分式yx y x ++2中的x 和y 都扩到原来的10倍,那么分式的值( ) A .扩大10倍B .缩小10倍C .是原来的32 D .不变 6.下列各式中,正确的是( )A .a m a b m b +=+B .0a b a b+=+ C .1111ab b ac c +-=-- D .221x y x y x y -=-+ 二.填空题7.当x =______时,分式632-x x 无意义. 8.若分式67x--的值为正数,则x 满足______. 9.(1)112()x x x --=- (2).y x xy x 22353)(= 10.(1)22)(1y x y x -=+ (2)⋅-=--24)(21y y x 11.分式2214a b 与36x ab c的最简公分母是_________. 12. 化简分式:(1)3()x y y x -=-_____;(2)22996x x x -=-+_____.三.解答题13.当x 为何值时,下列分式有意义?(1)12x x +-;(2)1041x x -+;(3)211x x -+;(4)2211x x ---.14.已知分式,y a y b-+当y =-3时无意义,当y =2时分式的值为0,求当y =-7时分式的值.15.不改变分式的值,使分子、分母中次数最高的项的系数都化为正数.(1)22x x y --= (2)2ba a --=(3)2211x x x x ---+= (4)2231m m m ---=16、已知x yz 3460==≠,求x y zx y z +--+的值。
A 卷一、填空题01.用换元法解方程()22611411x x x x -+--+-时,一般令_______=y ,比较适宜。
02.已知方程11x a x a +=+的两个根是a 、1a ,则方程1111x a x a +=+--的根是_______。
03.使分式22251212x x x x ----的值是零时x 的值是_______。
04.若方程21242kx x +=--有增根,则k=_______。
05.方程组117121112x y xy ⎧+=⎪⎪⎨⎪=⎪⎩的解是_______。
06.若24414130b a a -+++=,则2ab=_______。
07.方程()77262623x x x =++++有_______个整数解。
08.若x=1是方程()()231212x x mx x x x +++=----的增根,m=_______。
09.若方程204x kx +=-只有一个根,则k ≠_______。
10.解方程4x 2−2x +2222x x -+=1宜用_______法来解,并且设_______=y 较为合适。
二、解答题 11.若解分式方程22111x m x x x x x++-=++产生增根,求m 的值。
12.解分式方程224727218014x x x x x x+-+-=-+.B 卷一、填空题01.方程2228162214422x x xx x x x -+⎛⎫++= ⎪-+--⎝⎭的解是_______。
02.已知1x -+(xy −2)2=0,则()()()()1111122xy x y x y +++++++ ⋯()()119981998x y +=++_______。
03.使2n 3+n +4能被n −3整除的正整数n 的最大值是_______。
04.方程()2162322141x x x -+=--的解是_______。
05.方程222111011828138x x x x x x ++=+-+---的解是_______。
分式经典培优竞赛题精品文档收集于网络,如有侵权请联系管理员删除1 1「若ab a b 1,试判断厂,百是否有意义5. 一列火车从车站开出,预计行程 450千米,当它开出3小时后,因特殊任务 多停一站,耽误30分钟,后来把速度提高了 0.2倍,结果准时到达目的地,求 这列火车的速度。
6.已知x 空卫,试用含x 的代数式表示y ,并证明(3x 2)(3y 2)133y 2&中考原题:23,则 Mx y x y3 23x 2 0,那么代数式(x 1)x 1x 1的值是2.计算:a 2 a 1 a 1a 2 3a 1a 33、解方程:11 x2 7x 6x 2 5x 5 x 2 5x 64.已知a 26a 9与|b 1|互为相反数,求代数式4 a 2 b 2ab 2加2 2 a ab 2b 2 2~a b 2ab-的值 a例1 •已知例2•已知x 2精品文档1收集于网络,如有侵权请联系管理员删除6.已知 4x 3y 6z 2y 7z 0,xyz 0,x汁的值。
9、( 6分)已知a a 2 4 ~2 a2a 1的值.21、( 6 分)设 A 3 x 2 1当x 为何值时, A 与B 的值相等?3、计算(1)1 2xx 2x1 2 4 1 x 1x 21 x 4&若A x 5 试求x 2 3x 10 B 的值.16、已知ac ,求 a —b的值17、已知x 241=0,则—2x 5x1.当x 取何值时,分式有意义?1丄 x424 23.计算:x 2y 七严4.解方程:5.要在规定的日期内加工一批机器零件,如果甲单独做,刚好在规定日期内 完成,乙单独做则要超过3天。
现在甲、乙两人合作2天后,再由乙单独做, 正好按期完成。
问规定日期是多少天?精品文档收集于网络,如有侵权请联系管理员删除19、已知 a x 2 2003 , b x 2 2004 , e x 2 a b e1 1 1 /古的值be ae ab a b eab 1 be 1 ae20、已知 , ,-a b 3 b e 4 a e1•若石如的值为8,则石忙的值是( 1 1 1 1(A )2( B )17 (C ) 7( D )72•已知1丄2,则的值为()x y z z x 2y z3 31 (A ) 1(B ) —(C ) —(D )-2 243 .若对于x 3以外的一切数 — n2^—均成立,则mn 的值是x 3 x 3 x 9(A ) 8 ( B ) 8( C )16 (D )164•有三个连续正整数,其倒数之和是6Z ,那么这三个数中最小的是()be d ab be e d d a 歸e d a ,则 a 2 b 2 e 2 d 2 的值为()1 或 0( C ) 1 或2 (D ) 1 或 16.设轮船在静水中的速度为v ,该船在流水(速度为uv )中从上游A 驶往下游B,再返回A ,所用的时间为T,假设u 0,即河流改为静水,该船从A 至B 再返回A, 所用时间为t ,则()(A ) T t (B ) T t (C ) T t ( D )不能确定T 与t 的大小关系 、填空题(每题5分,共30 分)18、设 abc 1,则 ab a 1b be b 1c ea e 12005,且 abe 6012,求1,求abe的值 5 ab be ae(A) 1 ( B ) 2(C ) 3 (D ) 4a 5.若 a ,b,e ,d 满足 b (A ) 1 或 0 (B )精品文档1收集于网络,如有侵权请联系管理员删除11 5 b a8. 已知:--旦,则b a 的值为 _______________ .a b a b a b1 io9. ------------------ 方程x 一的正整数解 x,v,z 是1 7 yz2x a10. 若关于x 的方程丝上 1的解为正数,则a 的取值范围是x 21 111. 若 x — 1, y —1则 xyz _____ .y z1 1 212. 设x, y 是两个不同的正整数,且---,则x y ________ .x y 5三、解答题(每题10分,共 40分) 13. 已知旦与一匸的和等于「企,求a,b 之值. x 2 x 2 x 2 4 14 •解方程:11 1 1 1 52x xx 2 3x 2 x 2 5x 6 x 2 7x 12 x 2 9x 20 x 2 11x 70815. a 为何值时,分式方程 — —x一—x x 1 x x 116. 某商场在一楼与二楼之间装有一部自动扶梯,以均匀的速度向上行驶,一男 孩与一女孩同时从自动扶梯上走到二楼(扶梯本身也在行驶)•如果二人都做匀速 运7.已知:x 满足方程1x 2006 -x 12006,则代数式2004 X 2006x鴛的值是0无解?精品文档动,且男孩每分钟走动的级数是女孩的两倍•又已知男孩走了27级到达顶部,女孩走了18级到达顶部(二人每步都只跨1级).(1)扶梯在外面的部分有多少级•(2)如果扶梯附近有一从二楼下到一楼的楼梯,台阶级数与扶梯级数相等,这两人各自到扶梯顶部后按原速度走下楼梯,到一楼后再乘坐扶梯(不考虑扶梯与楼梯间的距离)•则男孩第一次追上女孩时,他走了多少台阶?收集于网络,如有侵权请联系管理员删除。
1. 若,试判断是否有意义。
ab a b +--=101111a b -+,2. 计算:a a a a a a 2211313+-+--+-3、解方程:11765556222-++=-+-+x x x x x x 4. 已知与互为相反数,求代数式a a 269-+||b -1的值。
()42222222222a b a b ab a b a ab b a b ab b a -++-÷+-++5. 一列火车从车站开出,预计行程450千米,当它开出3小时后,因特殊任务多停一站,耽误30分钟,后来把速度提高了0.2倍,结果准时到达目的地,求这列火车的速度。
6. 已知,试用含x 的代数式表示y ,并证明。
x y y =+-2332()()323213x y --=6、中考原题: 例1.已知,则M =__________。
M x y xy y x y x y x y 222222-=--+-+ 例2.已知,那么代数式的值是_________。
x x 2320--=()x x x --+-111321. 当x 取何值时,分式有意义?2111x x+-3. 计算:4. 解方程:x y y x y x y y x ++-+-242442222x x x x x x x x ++-++=++-++214365875. 要在规定的日期内加工一批机器零件,如果甲单独做,刚好在规定日期内完成,乙单独做则要超过3天。
现在甲、乙两人合作2天后,再由乙单独做,正好按期完成。
问规定日期是多少天?6. 已知,求的值。
43602700x y z x y z xyz --=+-=≠,,x y z x y z+--+29、(6分)已知,求的值.02=-a a 1112421222-÷+--∙+-a a a a a a 21、(6分)设,当为何值时,与的值相等?23111x A B x x ==+--x A B 3、计算(1) (2)⎪⎭⎫ ⎝⎛--++-y x x y x y x x 21214214121111x x x x ++++++-6、若,试求A 、B 的值.25452310A B x x x x x -+=-+--16、已知,求的值c b a -=+⎪⎭⎫ ⎝⎛++⎪⎭⎫ ⎝⎛++⎪⎭⎫⎝⎛+b a c c a b c b a 11111117、已知=0,则= 12--x x 5412x x x ++18、设,则1=abc =++++++++111c ca c b bc b a ab a 19、已知,,,且,求20032=+x a 20042=+x b 20052=+x c 6012=abc 的值cb a abc ac b bc a 111---++20、已知,,,求的值31=+b a ab 41=+c b bc 51=+c a ac acbc ab abc ++1.若的值为,则的值是( )73212++y y 8196412-+y y (A ) (B ) (C ) (D )21-171-71-712.已知,则的值为( )x z z y x +=+=531z y y x +-22(A )1 (B ) (C ) (D )2323-413.若对于以外的一切数均成立,则的值是( 3±=x 98332-=--+x x x n x m mn )(A )8 (B ) (C )16 (D )8-16-4.有三个连续正整数,其倒数之和是,那么这三个数中最小的是( )6047(A )1 (B )2 (C )3 (D )45.若满足,则的值为( )d c b a ,,,a d d c c b b a ===2222d c b a da cd bc ab ++++++(A )1或0 (B ) 或0 (C )1或(D )1或1-2-1-6.设轮船在静水中的速度为,该船在流水(速度为)中从上游A 驶往下游v v u <B,再返回A ,所用的时间为T,假设,即河流改为静水,该船从A 至B 再返回0=u A,所用时间为,则( )t (A ) (B ) (C ) (D )不能确定T 与的大小关系t T =t T <t T >t 二、填空题(每题5分,共30分)7.已知:满足方程,则代数式的值是_____.x 20061120061=--x x2007200520062004+-x x 8. 已知:,则的值为_____.b a b a +=+511ba ab +9.方程的正整数解是_____.71011=++zy x ()z y x ,,10. 若关于的方程的解为正数,则的取值范围是_____.x 122-=-+x a x a 11. 若,则_____.11,11=+=+zy y x =xyz12.设是两个不同的正整数,且,则y x ,5211=+y x ._____=+y x 三、解答题(每题10分,共40分)13. 已知与的和等于,求之值.2+x a 2-x b 442-x x b a ,14.解方程:.708115209112716512311222222-+=+++++++++++++x x x x x x x x x x x x 15. 为何值时,分式方程无解?a ()01113=++++-x x a x x x 16. 某商场在一楼与二楼之间装有一部自动扶梯,以均匀的速度向上行驶,一男孩与一女孩同时从自动扶梯上走到二楼(扶梯本身也在行驶).如果二人都做匀速运动,且男孩每分钟走动的级数是女孩的两倍.又已知男孩走了27级到达顶部,女孩走了18级到达顶部(二人每步都只跨1级).(1)扶梯在外面的部分有多少级.(2)如果扶梯附近有一从二楼下到一楼的楼梯,台阶级数与扶梯级数相等,这两人各自到扶梯顶部后按原速度走下楼梯,到一楼后再乘坐扶梯(不考虑扶梯与楼梯间的距离).则男孩第一次追上女孩时,他走了多少台阶?。
培优专题16 分式的运算◎类型一:分式的混合运算分式的乘法法则:分式乘分式,用分子的积作积的分子,分母的积作积的分母.用式子表示为:a c a cb d b d××=×.分式的除法法则:分式除以分式,把除式的分子、分母颠倒位置后,与被除式相乘.用式子表示为:a c a d a db d bc b c׸=×=×.分式的乘方法则:分式乘方是把分子、分母各自乘方.用式子表示为:()nn na ab b=分式加减法的法则是:同分母分式相加减,分母不变,把分子相加减.用式子表示是:a b a bc c c±±=.异分母分式相加减,先通分,变为同分母的分式,再加减.用式子表示是:a c ad bc ad bcb d bd bd bd±±=±=.1.(2022·河南·郑州市第十九初级中学九年级期末)化简分式:(1﹣311x x -+)÷22122x x x -++的最后的结果是( )A .1﹣xB .24(1)xx --C .21x -D .41x-2.(2022·辽宁沈阳·八年级期末)计算()2x yx xy x--¸的结果是( )A .2x B .2x y -C .2()x y -D .x3.(2021·河北·南皮县桂和中学八年级阶段练习)已知22141121m A m m m -æö=+¸ç÷+++èø.(1)A 化简后的结果为______;(2)若m 是整数,且31m -<<,则A 的值为______.4.(2022·福建厦门·八年级期末)化简分式:(1-23m +)÷22169m m m -++=________.5.(2022·河南南阳·八年级阶段练习)(1)计算:24x x -•21x ﹣244x x -.(2)解方程:2321111x x x -+-=-.(3)先化简,后求值(11x -+1)÷221x x -,其中x =14.6.(2022·山东·济南市天桥区泺口实验学校八年级期中)化简下列分式.(1)2a bcab(2)22a xy b z ÷222a yz b x(3)222242x y x xy y ++-÷2x y x y-+7.(2022·吉林·长春博硕学校八年级阶段练习)化简:(1)1(1)11xx x -¸--;(2)221112---¸+a a a a a.◎类型二:分式的化简求值8.(2022·河北·石家庄市藁城区第一中学八年级阶段练习)已知1a =,1b ,则b aa b-的值为( )A .-B .C .D .-9.(2022·河南洛阳·八年级期末)已知20(0)x xy y x --=¹,则554x y xyx y---的值为( )A .13-B .3-C .13D .310.(2022·河北保定师范附属学校九年级期末)如果53x y =,那么x y y+=_____.11.(2022·四川成都·八年级期末)已知2310x x --=,则221x x +=______.12.(2022·安徽·安庆九一六学校八年级阶段练习)已知x +2,y ﹣2,求代数式22222x xy y x y xy -+-的值.13.(2022·甘肃·陇西县巩昌中学八年级阶段练习)先化简,再求值:22222a b a b aa ab b a b a b--×--+++,其中1a =,1b =14.(2022·四川省彭州中学实验学校八年级期中)先化简224422111m m m m m m -+-¸+---,然后从1、﹣1、2、﹣2中选取一个你认为合适的数作为m 的值代入求值.15.(2022·山西·运城市盐湖区教育科技局教学研究室八年级期末)(1)①解不等式组()32451214x xx x x ì-+ïí-+³-ïî<,并写出它的非负整数解;②解方程4233x x x -=--;(2)先化简22221(1)121a a a a a a +-¸++--+,然后a 在1-、1、2三个数中任选一个合适的数代入求值.16.(2022·湖北黄石·中考真题)先化简,再求值:2269111a a a a ++æö+¸ç÷++èø,从-3,-1,2中选择合适的a 的值代入求值.17.(2022·四川达州·八年级期末)先化简再求值:322293443a a a a a a -æö¸++ç÷-+-èø,其中15a <<,且a 是整数.18.(2022·山东威海·八年级期末)已知2x =,2y =,求下列代数式的值:(1)11x y+(2)22x xy y ++。
八年级数学培优试题----分式11、学完分式运算后,老师出了一道题“化简:23224x x x x +-++-” 小明的做法是:原式222222(3)(2)26284444x x x x x x x x x x x +--+----=-==----; 小亮的做法是:原式22(3)(2)(2)624x x x x x x x =+-+-=+-+-=-; 小芳的做法是:原式32313112(2)(2)222x x x x x x x x x x +-++-=-=-==++-+++. 其中正确的是( )A .小明B .小亮C .小芳D .没有正确的2、下列四种说法(1)分式的分子、分母都乘以(或除以)2+a ,分式的值不变;(2)分式y -83的值可以等于零;(3)方程11111-=++++x x x 的解是1-=x ;(4)12+x x 的最小值为零;其中正确的说法有( )A .1个 B.2 个 C. 3 个 D. 4 个3、关于x 的方程211x a x +=-的解是正数,则a 的取值范围是( ) A .a >-1 B .a >-1且a ≠0C .a <-1D .a <-1且a ≠-24.若解分式方程xx x x m x x 11122+=++-+产生增根,则m 的值是( ) A. --12或 B. -12或 C. 12或D. 12或- 5. 已知,511b a b a +=+则ba ab +的值是( ) A 、5 B 、7 C 、3 D 、31 6.若x 取整数,则使分式1-2x 36x +的值为整数的x 值有( ). (A)3个 (B)4个 (C)6个 (D)8个7. 已知xB x A x x x +-=--1322,其中A 、B 为常数,那么A +B 的值为( ) A 、-2 B 、2C 、-4D 、48. 甲、乙两地相距S 千米,某人从甲地出发,以v 千米/小时的速度步行,走了a 小时后改乘汽车,又过b 小时到达乙地,则汽车的速度( )A. S a b +B.S av b - C. S av a b-+ D. 2S a b+ 9、当x = 时,分式12x -无意义.10、①())0(10 53≠=a axy xy a ②()1422=-+a a 。
专题39分式方程一、解复杂分式方程【典例】怦(l)云-x + y:1 1 1(2)++…x(x+l) (x+l)(x+Z)(x+ZOOS)(x+Z006f 阳答】解:(I )是-x + Y•2 2_、,2xx ·-v · x +y x +y ’2-yx +y ’(2)---2一+一�一一+…+一一一---2x(x+1) (x+1)(x+Z) (x +ZOOS)(x+2006)1 1 . 1 1=王一ill +芥I-x百+…+言丰布前-x丰苟宿1 1-x x +2006’2006 -x(x +2006)'x 【巩固】实数x 与y使得x +y,x-y, xy ,一四个数中的三个有相同的数值,求出所有具有这样性质的数对y(x, y).二、求分式方程的取值范围1α2(α+1) 【典例】若以x 为未知数的方程一一-?一=气一二?无解,则。
=x-1 z -x x ι-3x 2【解答】解:去分母得:x -2+a (x -I) =2 (肘。
3a+4解得:x =一一一a+l吨。
+1=01-lfJ a = -I 时,方程无角丰..qJ -q4= O H 寸,4, 解3α+4--一=I l 时,α+1根据题忘得:3α+4 当一一-=2时,解得:a =-2α+1攸答案是-I 成-;或-2.k(x-1) 2k+l 2k【巩固】若关于x的方程一一一-+-一-=!+一一有且只有一个实数恨,求实数k的所有可能值.x x2+x x+l三、分式方程的应用【典例】为增加学生阅读盘,某校购买了“科普类”和“文学类”两种书稽,购买“科普类”图书花费了3600元,购买“文学类”图书花费了2700元,其中“科普类”图书的单价比“文学类”图书的单价多20%,购买“科普类”图书的数量比“文学类”图书的数量多20本.(I)求这两种图书的单价分别是多少元?(2)学校决定再次购买这两种倒书共.IOO本,且总费用不超过1600元,求最多能购买“科普类”图书多少水?【f�丰答】解:(I)设“文字:类”图书的单价为λ兀木,则"f斗1自1类”图书的单价为(I +2(满).r兀木,3600 2700依题应::-20=一一,(1+200/o)x解之得:x=15.经检驳,x=15是所列方程的根,且符合题怠,所以(1+20%)x=18.答:科普类书单价为18元本,文学类书单价为15元;本;(2)设“利将类”书购α木,则“文学类”书购(JO O-a)木,依题意:18时15(JO O-a)主主1600,100解之得:a�丁-因为。
培优专题分式方程培优提高经典例题分式方程专题例1:去分母法解分式方程1、$63x-216x^{\frac{2}{3}}-2=12$,解得$x=3$2、$\frac{1}{x-1}+\frac{1}{x+2}-\frac{4}{x-4}-\frac{1}{x-2}=\frac{x^2+3x+2}{(x-1)(x+2)(x-4)(x-2)}=\frac{1}{1}$,解得$x=-\frac{1}{2},1,3$3、$\frac{2x-7}{x-4}+\frac{4-x}{x+2}-\frac{x+6}{x-2}-\frac{x+5}{x-3}=\frac{1}{x^2+3x+2}=\frac{1}{(x+1)(x+2)}$,解得$x=-3,-1,2,3$例2:整体换元与倒数型换元:1、设$y=x+\frac{1}{x}$,则原方程化为$y+2=6y^2$,解得$y=\frac{1}{2},2$,带回原式得$x=-1,\frac{1}{3}$2、设$y=x-\frac{1}{x}$,则原方程化为$y+\frac{1}{y}=2$,解得$y=1,-1$,带回原式得$x=\frac{1\pm\sqrt{5}}{2},0$3、设$y=\frac{x-1}{x}$,则原方程化为$3y-y^2=2$,解得$y=1,-\frac{1}{2}$,带回原式得$x=2,3$例3:分式方程的增根的意义1、若分式方程$\frac{a_1}{x-2}+\frac{2}{x-4}+2=\frac{x+1}{x}$有增根,则$a_1=6$2、关于x的分式方程$\frac{x}{x-1}-\frac{a}{x}=1$无解,则$a=2$3、若关于x的分式方程$\frac{36x+m}{x(x-1)}-1$有根,则$m=0$例4:一批货物准备运往某地,有甲、乙、丙三辆卡车可雇用.已知甲、乙两车单独运这批货物分别运$2a$次、$a$次能运完;若甲、丙两车合运相同次数运完这批货物时,甲车共运了$180t$;若乙、丙两车合运相同次数运完这批货物时,乙车共运了$270t$.问:⑴乙车每次所运货物量是甲车每次所运货物量的几倍;⑵现甲、乙、丙合运相同次数把这批货物运完时,货主应付车主运费各多少元?(按每运$1t$付运费$20$元计算)解:设甲车每次运货物量为$x$,则乙车每次运货物量为$mx$,丙车每次运货物量为$y$,则有$\begin{cases}2ax=180\\ay=2a-x\\my=270\end{cases}$,解得$x=20,m=3,y=8$,故乙车每次所运货物量是甲车每次所运货物量的$3$倍,运费分别为$3600$元、$5400$元和$1600$元。
典型培优1.化简(1)4)222(2-÷+--x x x x x x (2)22224421y xy x y x y x y x ++-÷+--(3) x x x x x x x x 4)44122(22-÷+----+ (4) 先化简,再求值: (-)÷,其中x =1.2.解下列分式方程.(每题5分,共10分)(1)132x x =-; (2)2133112133119x x x x x-++=+--.(3) 2124111x x x +=+--. (4)11322x x x-+=---3.(2008年山东省临沂市)若不等式组的解集为,则a 的取值范围为( )A . a >0 B . a =0 C . a >4 D . a =44、观察下列等式:211211-=⨯;3121321-=⨯;4131431-=⨯;…;111)1(1+-=+n n n n 将以上等式相加得到111)1(1431321211+-=+++⨯+⨯+⨯n n n 。
用上述方法计算101991751531311⨯++⨯+⨯+⨯ ,其结果是( )A. 10150B. 10149C. 101100D. 101995、如果不等式组⎩⎨⎧≥<mx x 5有解且均不在-11<<x 内,那么m 的取值范围是…【 】A .m <-1B .1≤ m <5C .m ≥5D .-1≤ m ≤56、如果方程3)1(2=-x a 的解是x =5,则a = 。
7、若方程 x-3x-2 = m 2-x 无解,则m= .若52=-y y x ,则y x = ____________ . 8.23m m x=-的根为1,则m=__________. 9.当m=________时,关于x 的分式方程213x m x +=--无解. 10.先化简:111122-÷⎪⎭⎫ ⎝⎛-+x x x ,再选一个你喜欢的数代入并求值。
1. 若,试判断
是否有意义。
ab a b +--=10111
1
a b -+,
2. 计算:a a a a a a 221131
3
+-+-
-+-3、解方程:117655
56
222-++=
-+-+x x x x x x 4. 已知与互为相反数,求代数式
a a 2
69-+||b -1的值。
()42222222222
a b a b ab a b a ab b a b ab b a -++-÷+-++5. 一列火车从车站开出,预计行程450千米,当它开出3小时后,因特殊任务多停一站,耽误30分钟,后来把速度提高了0.2倍,结果准时到达目的地,求这列火车的速度。
6. 已知,试用含x 的代数式表示y ,并证明。
x y y =
+-23
32
()()323213x y --=6、中考原题:
例1.已知,则M =__________。
M x y xy y x y x y
x y 22222
2-=--+
-+ 例2.已知,那么代数式的值是_________。
x x 2
320--=()x x x --+-11
1
32
1. 当x 取何值时,分式
有意义?21
11x x
+-
3. 计算:
4. 解方程:x y y x y x y
y x ++-+-242442222
x x x x x x x x ++-++=++-++21436587
5. 要在规定的日期内加工一批机器零件,如果甲单独做,刚好在规定日期内完成,乙单独做则要超过3天。
现在甲、乙两人合作2天后,再由乙单独做,正好按期完成。
问规定日期是多少天?
6. 已知,求
的值。
43602700x y z x y z xyz --=+-=≠,,x y z
x y z
+--+29、(6分)已知,求的值.02
=-a a 1
1
124212
22-÷+--∙+-a a a a a a 21、(6分)设,当为何值时,与的值相等?23111
x A B x x =
=+--x A B 3、计算(1)
(2)
⎪⎭
⎫
⎝⎛--++
-y x x y x y x x 21
214
214121111x x x x ++
++++-6、若
,试求A 、B 的值.25452310
A B x x x x x -+=-+--16、已知,求的值c b a -=+⎪⎭
⎫ ⎝⎛++⎪⎭⎫ ⎝⎛++⎪⎭⎫
⎝⎛+b a c c a b c b a 11111117、已知=0,则= 12
--x x 5
41
2x
x x ++18、设,则
1=abc =++++++++1
11c ca c
b b
c b a ab a 19、已知,,,且,求
20032
=+x a 20042
=+x b 20052
=+x c 6012=abc 的值c
b a ab
c ac b bc a 111---++20、已知,,,求的值31=+b a ab 41=+c b bc 51=+c a ac ac
bc ab abc
++
1.若
的值为,则的值是( )
73212++y y 81
9
6412
-+y y (A ) (B ) (C ) (D )21-
171-71-7
1
2.已知,则的值为( )
x z z y x +=
+=531z
y y
x +-22(A )1 (B )
(C ) (D )2
323-
41
3.若对于以外的一切数均成立,则的值是( 3±=x 9
8332-=--+x x
x n x m mn )
(A )8 (B ) (C )16 (D )8-16
-4.有三个连续正整数,其倒数之和是,那么这三个数中最小的是( )60
47
(A )1
(B )2
(C )3 (D )4
5.若满足
,则的值为( )
d c b a ,,,a d d c c b b a ===2
222d c b a da
cd bc ab ++++++(A )1或0 (B ) 或0 (C )1或(D )1或1-2-1
-6.设轮船在静水中的速度为,该船在流水(速度为)中从上游A 驶往下游
v v u <B,再返回A ,所用的时间为T,假设,即河流改为静水,该船从A 至B 再返回
0=u A,所用时间为,则( )
t (A ) (B ) (C ) (D )不能确定T 与的大小关系t T =t T <t T >t 二、填空题(每题5分,共30分)7.已知:满足方程
,则代数式的值是_____.x 20061
1
20061
=
--
x x
2007
200520062004+-x x 8. 已知:
,则的值为_____.b a b a +=+511b
a a
b +9.方程的正整数解是_____.
710
11=+
+z
y x ()z y x ,,10. 若关于的方程
的解为正数,则的取值范围是_____.x 12
2-=-+x a
x a 11. 若,则_____.11
,11=+=+
z
y y x =xyz
12.设是两个不同的正整数,且
,则y x ,5
2
11=+y x ._____=+y x 三、解答题(每题10分,共40分)13. 已知
与的和等于,求之值.2+x a 2-x b 4
42-x x b a ,14.解方程:
.708
1152091127165123112
22222-+=+++++++++++++x x x x x x x x x x x x 15. 为何值时,分式方程
无解?a ()
01113=++++-x x a x x x 16. 某商场在一楼与二楼之间装有一部自动扶梯,以均匀的速度向上行驶,一男
孩与一女孩同时从自动扶梯上走到二楼(扶梯本身也在行驶).如果二人都做匀速
运动,且男孩每分钟走动的级数是女孩的两倍.又已知男孩走了27级到达顶部,女孩走了18级到达顶部(二人每步都只跨1级).(1)扶梯在外面的部分有多少级.
(2)如果扶梯附近有一从二楼下到一楼的楼梯,台阶级数与扶梯级数相等,这两人各自到扶梯顶部后按原速度走下楼梯,到一楼后再乘坐扶梯(不考虑扶梯与楼梯间的距离).则男孩第一次追上女孩时,他走了多少台阶?。