2017年黑龙江省普通高中数学学业水平测试题Word版含答案
- 格式:doc
- 大小:834.00 KB
- 文档页数:4
2017年黑龙江省高中数学学业水平考试试题及答案(时间120分钟共150分)一.选择题:(本大题共12小题,每小题5分,共60分。
在每小题给出的四个选项中,只有一项是符合题目要求的。
)1.已知集合A ={x |x =3n +2,n ∈N },B ={6,8,10,12,14},则集合A ∩B 中元素的个数为( )A.5B.4C.3D.22.在x 轴上的截距为2且倾斜角为135°的直线方程为.A .2+-=x yB .2y --=x C.2y +=x D .2y -=x3.如图所示,一个空间几何体的主视图和左视图都是边长为1的正方形,俯视图是一个直径为1的圆,那么这个几何体的全面积为 A .2πB .3π2C .3πD .4π4.已知角α的终边经过点P(-3,4),则下列计算结论中正确的是( ) A .4tan 3α=- B .4sin 5α=- C .3cos 5α= D .3sin 5α= 5.某电视台在娱乐频道节目播放中,每小时播放广告20分钟,那么随机打开电视机观看这个频道看到广告的概率为 ( ) A .12 B .13 C .14 D .166.三个数21log ,)21(,33321===c b a 的大小顺序为 ( )A .a c b <<B .c a b <<C . a b c <<D .b a c <<7.在等比数列{}n a 中,)(0*N n a n ∈>且,16,464==a a 则数列{}n a 的公比q 是 ( )A .1B .2C .3D .4 8.设R b a ∈,且3=+b a ,则b a 22+的最小值是( ) A. 6B. 24C. 22D. 629.已知直线n m l 、、及平面α,下列命题中的假命题是( ) A.若//l m ,//m n ,则//l n . B.若l α⊥,//n α,则l n ⊥. C.若//l α,//n α,则//l n . D.若l m ⊥,//m n ,则l n ⊥. 10.把正弦函数R)(x sinx y ∈=图象上所有的点向左平移6π个长度单位,再把所得函数图象上所有的点的横坐标缩短到原来的21倍,得到的函数是( ) A .y=sin 1()26x π+ B.y=sin 1()26x π- C.y=sin (2)6x π+ D. y=sin(2)3x π+11.不等式组131y x y x ≥-⎧⎪⎨≤-+⎪⎩的区域面积是( )A .12B .52C .32D .112.已知圆4)1(22=+-y x 内一点P (2,1),则过P 点最短弦所在的直线方程是 ( )A .01=+-y xB .03=-+y xC .03=++y xD .2=x二.填空题:(本大题共4小题,每小题5分,共20分。
2019届上学期10月阶段性测试高二文科数学 时间120分钟 满分150分一、选择题(本大题共12小题,每小题5分,共60分. 在每小题给出的四个选项中,只有一项是符合题目要求的)1.抛物线)0(22≠=a ax y 的焦点坐标是( )A.)0,2(a B. )81,0(a C. )0,81(a D. )2,0(a 2.椭圆122=+y mx 的离心率是23,则它的长轴长是( )A.1B.1或2C.2D.2或43.已知方程:22(1)(3)(1)(3)m x m y m m -+-=--表示焦距为8的双曲线,则m 的值等于( )A .-30B .10C .-6或10D .-30或344.设椭圆2222:1x y C a b+=(0)a b >>的左、右焦点分别为12,F F ,P 是C 上的点,212PF F F ⊥,1260PF F ∠=︒,则C 的离心率为( )A 1 C 25.椭圆的焦点为21,F F ,过点1F 作直线与椭圆相交,被椭圆截得的最短的弦MN 长为532, N MF 2∆的周长为20,则椭圆的离心率为( ) A .522 B .53 C .54D .5176.以双曲线22221x y a b-=(0,0a b >>)的左焦点F 为圆心,作半径为b 的圆F ,则圆F 与双曲线的渐近线( )A .相交B .相离C .相切D .不确定 7.抛物线x y 122=截直线12+=x y 所得弦长等于( ) A.15 B.152 C.215D.15 8.过抛物线x y 42=的焦点F 作直线,交抛物线于),(11y x A ,),(22y x B 两点,若621=+x x ,则 ||AB 为( ) A.4B.6C.8D.109.已知椭圆2222:1(0)x y C a b a b+=>>,双曲线221x y -=的渐近线与椭圆C有四个交点,以这四个交点为顶点的四边形的面积为16,则椭圆C 的方程为( )A.22182x y += B.221126x y += C.221164x y += D.221205x y += 10.抛物线24y x =上一点P 到直线1x =-的距离与到点()2,2Q 的距离之差的最大值为( )A.3511.若双曲线22x a-22y b =1(0,0a b >>)的左、右焦点分别为21,F F ,线段21F F 被抛物线bx y 22=的焦点分成5:7的两段,则此双曲线的离心率为( )A .98B .37C .4D .1012.设双曲线22221x y a b -=的两条渐近线与直线2a x c=分别交于B A ,两点,F 为该双曲线的右焦点.若6090AFB ︒<∠<︒, 则该双曲线的离心率的取值范围是( )A .B .2)C .(1,2)D .)+∞二、填空题(本大题共4小题,每小题5分,共20分.将答案填在答题卡相应的位置上) 13.在极坐标系)20)(,(πθθρ<≤中,曲线θρsin 2=与1cos -=θρ的交点的极坐标为 .14.在极坐标系中,已知点P 为方程()cos sin 1ρθθ+=所表示的曲线上一动点,点Q 的坐标为2,3π⎛⎫⎪⎝⎭,则PQ 的最小值为____________. 15.椭圆22143x y +=的左焦点为F ,直线x m =与椭圆相交于点A 、B , 当FAB ∆的周长最大时,FAB ∆的面积是____________.16.已知椭圆方程为)0(116222>=+m m y x ,直线x y 22=与该椭圆的一个交点在x 轴上的射影恰好是椭圆的右焦点,则=m _________________.三、解答题(本大题共6小题,共70分.解答应写出文字说明、证明过程或演算步骤) 17.(本小题满分10分)[选修4-4:坐标系与参数方程] 在极坐标系中,已知点4,4A π⎛⎫⎪⎝⎭,直线为sin 14πρθ⎛⎫+= ⎪⎝⎭. (1)求点4,4A π⎛⎫⎪⎝⎭的直角坐标与直线的直角坐标方程; (2)求点4,4A π⎛⎫⎪⎝⎭到直线sin 14πρθ⎛⎫+= ⎪⎝⎭的距离.18.(本小题满分12分)[选修4-4:坐标系与参数方程]在直角坐标系xoy 中,以坐标原点为极点,x 轴正半轴为极轴建立极坐标系, 已知某圆的极坐标方程为:24cos 20ρρθ-+=. (1)将极坐标方程化为直角坐标方程;(2)若点P ),(y x 在该圆上,求x y +的最大值和最小值.19. (本小题满分12分)[选修4-4:坐标系与参数方程]已知曲线1C 的参数方程为{x cos y sin θθ==(θ为参数),将曲线1C 上所有点的横坐标伸长到原来的 2 倍,纵坐标伸长到原来的倍,得到曲线2C .(1)求曲线2C 的普通方程;(2)已知点()1,1B ,曲线2C 与x 轴负半轴交于点A , P 为曲线2C 上任意一点, 求22PA PB -的最大值.20.(本小题满分12分)已知椭圆:C )0(12222>>=+b a b x a y 经过点)1,23(,一个焦点是)1,0(F .(1)求椭圆C 的方程;(2)若倾斜角为4π的直线l 与椭圆C 交于A B 、两点,且AB =7,求直线l 的方程.21. (本小题满分12分)已知椭圆1C 的方程是1422=+y x ,双曲线2C 的左右焦点分别为 1C 的左右顶点,而2C 的左右顶点分别是1C 的左右焦点.(1)求双曲线2C 的方程;(2)若直线2:+=kx y l 与双曲线2C 恒有两个不同的交点,且l 与2C 的两个交点A 和B满足<6OA OB ⋅,求2k 的取值范围.22.(本小题满分12分)已知过点)0,4(-A 的动直线l 与抛物线)0(2:2>=p py x G 相交于B C 、 两点,当直线l 的斜率是21时,4=.(1)求抛物线G 的方程;(2)设线段BC 的中垂线在y 轴上的截距为b ,求b 的取值范围.哈六中2019届高二(上)10月月考(文数)答案BDCDB CACDB CB 13.34π⎫⎪⎭,17解:(1)点4,4π⎛⎫⎪⎝⎭化成直角坐标为(. 直线sin 14πρθ⎛⎫+= ⎪⎝⎭1x y =,即0x y +=. (2)由题意可知,点4,4π⎛⎫⎪⎝⎭到直线sin 14πρθ⎛⎫+= ⎪⎝⎭的距离,就是点(到直线0x y +=的距离,由距离公式可得3d ==.18.试题解析:(Ⅰ)ρ2=x 2+y 2ρcos θ=x ,ρsin θ=y,2224cos 242x y x ρρθ-+=+-+ ∴圆的普通方程为22420x y x +-+= 5分(Ⅱ)由22420x y x +-+= ⇒(x -2)2+y 2=2 7分,设2x y αα⎧=⎪⎨=⎪⎩ (α为参数)π2sin )22sin()4x y ααα+=+=++,所以x +y 的最大值4,最小值0 10分 19.解析:(1)曲线2C的参数方程为2{x cos y θθ==(θ为参数),则2C 的普通方程为22143x y += (2)()2,0A -,设()2cos P θθ, 则())())2222222cos 22cos 11PA PB θθθθ-=++----()12cos 22θθθϕ=++=-+,所以当()cos 1θϕ-=时22PA PB -取得最大值220.(1)22143y x += (2)2±=x y 21.13)1(22=-y x (2)0)14(160428)41(442212222>-=∆⇒⎩⎨⎧=+++⇒=++=k kx x k y x kx y ①……2分 ⎩⎨⎧>-=∆≠-⇒=---⇒⎩⎨⎧=-+=0)1(360310926)31(3322222222k k kx x k y x kx y ②………2分 由①②得1412<<k ,151331622><⇒<⋅k k 或③……………2分 由①②③得221131315k k <<<或……………1分22.(1)设),(),,(2211y x C y x B ,当直线l 的斜率是21时,l 的方程为)4(21+=x y , 即42-=y x ,由⎩⎨⎧-==4222y x py x 得08)8(22=++-y p y , ⎪⎩⎪⎨⎧+=+=∴2842121p y y y y ,又124,4y y AB AC =∴= ,由这三个表达式及0>p 得2,4,121===p y y ,则抛物线的方程为y x 42=…………………5分 (2)设BC x k y l ),4(:+=的中点坐标为),(00y x由⎩⎨⎧+==)4(42x k y y x 得01642=--k kx x k k x k y k x 42)4(,22000+=+==∴,∴线段BC 的中垂线方程为 )2(1422k x kk k y --=--,∴线段BC 的中垂线在y 轴上的截距为:22)1(2242+=++=k k k b ,由064162>+=∆k k 得0>k 或4-<k),2(+∞∈∴b ………………………………7分。
文件清单:2017年黑龙江省佳木斯市中考数学试卷(含答案)2017年黑龙江省哈尔滨市中考数学试题(含答案)2017年黑龙江省鹤岗市中考数学试卷(农垦、森工用)(含答案)2017年黑龙江省齐齐哈尔市中考数学试题(含答案)黑龙江省绥化市2017年中考数学试题(含答案)黑龙江省龙东地区2017年中考数学试卷及答案(含答案)2017年黑龙江省佳木斯市中考数学试卷一、填空题(每题3分,满分30分)1.“可燃冰”的开发成功,拉开了我国开发新能源的大门,目前发现我国南海“可燃冰”储存量达到800亿吨,将800亿吨用科学记数法可表示为吨.2.在函数y=中,自变量x的取值范围是.3.如图,BC∥EF,AC∥DF,添加一个条件,使得△ABC≌△DEF.4.在一个不透明的袋子中装有除颜色外完全相同的3个白球、若干红球,从中随机摸取1个球,摸到红球的概率是,则这个袋子中有红球个.5.若关于x的一元一次不等式组无解,则a的取值范围是.6.为了鼓励居民节约用水,某自来水公司采取分段计费,每月每户用水不超过10吨,每吨2.2元;超过10吨的部分,每吨加收1.3元.小明家4月份用水15吨,应交水费元.7.如图,BD是⊙O的切线,B为切点,连接DO与⊙O交于点C,AB为⊙O的直径,连接CA,若∠D=30°,⊙O的半径为4,则图中阴影部分的面积为.8.圆锥的底面半径为2cm,圆锥高为3cm,则此圆锥侧面展开图的周长为cm.9.如图,在△ABC中,AB=BC=8,AO=BO,点M是射线CO上的一个动点,∠AOC=60°,则当△ABM为直角三角形时,AM的长为.10.如图,四条直线l 1:y1=x,l2:y2=x,l3:y3=﹣x,l4:y4=﹣x,OA1=1,过点A1作A1A2⊥x轴,交l1于点A2,再过点A1作A1A2⊥l1交l2于点A2,再过点A2作A2A3⊥l3交y轴于点A3…,则点A2017坐标为.二、选择题(每题3分,满分30分)11.下列运算中,计算正确的是()A.(a2b)3=a5b3B.(3a2)3=27a6C.x6÷x2=x3D.(a+b)2=a2+b2 12.下列图形中,既是轴对称图形又是中心对称图形的是()A. B. C.D.13.如图,是由若干个相同的小立方体搭成的几何体体俯视图和左视图.则小立方体的个数可能是()A.5或6 B.5或7 C.4或5或6 D.5或6或714.某市4月份日平均气温统计图情况如图所示,则在日平均气温这组数据中,众数和中位数分别是()A.13,13 B.13,13.5 C.13,14 D.16,1315.如图,某工厂有甲、乙两个大小相同的蓄水池,且中间有管道连通,现要向甲池中注水,若单位时间内的注水量不变,那么从注水开始,乙水池水面上升的高度h与注水时间t之间的函数关系图象可能是()A.B.C.D.16.反比例函数y=图象上三个点的坐标为(x1,y1)、(x2,y2)、(x3,y3),若x1<x2<0<x3,则y1,y2,y3的大小关系是()A.y1<y2<y3B.y2<y1<y3C.y2<y3<y1D.y1<y3<y217.已知关于x的分式方程=的解是非负数,那么a的取值范围是()A.a>1 B.a≥1 C.a≥1且a≠9 D.a≤118.如图,在矩形ABCD中,AD=4,∠DAC=30°,点P、E分别在AC、AD 上,则PE+PD的最小值是()A.2 B.2C.4 D.19.“双11”促销活动中,小芳的妈妈计划用1000元在唯品会购买价格分别为80元和120元的两种商品,则可供小芳妈妈选择的购买方案有()A.4种 B.5种 C.6种 D.7种20.如图,在边长为4的正方形ABCD中,E、F是AD边上的两个动点,且AE=FD,连接BE、CF、BD,CF与BD交于点G,连接AG交BE于点H,连接DH,下列结论正确的个数是()①△ABG∽△FDG ②HD平分∠EHG ③AG⊥BE ④S△HDG :S△HBG=tan∠DAG ⑤线段DH的最小值是2﹣2.A.2 B.3 C.4 D.5三、解答题(满分60分)21.先化简,再求值:÷﹣,其中a=1+2cos60°.22.如图,在平面直角坐标系中,△ABC的三个顶点都在格点上,点A的坐标为(2,2)请解答下列问题:(1)画出△ABC关于y轴对称的△A1B1C1,并写出A1的坐标.(2)画出△ABC绕点B逆时针旋转90°后得到的△A2B2C2,并写出A2的坐标.(3)画出△A2B2C2关于原点O成中心对称的△A3B3C3,并写出A3的坐标.23.如图,Rt△AOB的直角边OA在x轴上,OA=2,AB=1,将Rt△AOB绕点O逆时针旋转90°得到Rt△COD,抛物线y=﹣x2+bx+c经过B、D两点.(1)求二次函数的解析式;(2)连接BD,点P是抛物线上一点,直线OP把△BOD的周长分成相等的两部分,求点P的坐标.24.我市某中学为了了解孩子们对《中国诗词大会》,《挑战不可能》,《最强大脑》,《超级演说家》,《地理中国》五种电视节目的喜爱程度,随机在七、八、九年级抽取了部分学生进行调查(每人只能选择一种喜爱的电视节目),并将获得的数据进行整理,绘制出以下两幅不完整的统计图,请根据两幅统计图中的信息回答下列问题:(1)本次调查中共抽取了名学生.(2)补全条形统计图.(3)在扇形统计图中,喜爱《地理中国》节目的人数所在的扇形的圆心角是度.(4)若该学校有2000人,请你估计该学校喜欢《最强大脑》节目的学生人数是多少人?.25.在甲、乙两城市之间有一服务区,一辆客车从甲地驶往乙地,一辆货车从乙地驶往甲地.两车同时出发,匀速行驶,客车、货车离服务区的距离y1(千米),y2(千米)与行驶的时间x(小时)的函数关系图象如图1所示.(1)甲、乙两地相距千米.(2)求出发3小时后,货车离服务区的路程y2(千米)与行驶时间x(小时)之间的函数关系式.(3)在客车和货车出发的同时,有一辆邮政车从服务区匀速去甲地取货后返回乙地(取货的时间忽略不计),邮政车离服务区的距离y3(千米)与行驶时间x(小时)之间的函数关系图线如图2中的虚线所示,直接写出在行驶的过程中,经过多长时间邮政车与客车和货车的距离相等?26.已知:△AOB和△COD均为等腰直角三角形,∠AOB=∠COD=90°.连接AD,BC,点H为BC中点,连接OH.(1)如图1所示,易证:OH=AD且OH⊥AD(不需证明)(2)将△COD绕点O旋转到图2,图3所示位置时,线段OH与AD又有怎样的关系,并选择一个图形证明你的结论.27.为了推动“龙江经济带”建设,我省某蔬菜企业决定通过加大种植面积、增加种植种类,促进经济发展.2017年春,预计种植西红柿、马铃薯、青椒共100公顷(三种蔬菜的种植面积均为整数),青椒的种植面积是西红柿种植面积的2倍,经预算,种植西红柿的利润可达1万元/公顷,青椒1.5万元/公顷,马铃薯2万元/公顷,设种植西红柿x公顷,总利润为y万元.(1)求总利润y(万元)与种植西红柿的面积x(公顷)之间的关系式.(2)若预计总利润不低于180万元,西红柿的种植面积不低于8公顷,有多少种种植方案?(3)在(2)的前提下,该企业决定投资不超过获得最大利润的在冬季同时建造A、B两种类型的温室大棚,开辟新的经济增长点,经测算,投资A种类型的大棚5万元/个,B种类型的大棚8万元/个,请直接写出有哪几种建造方案?28.如图,矩形AOCB的顶点A、C分别位于x轴和y轴的正半轴上,线段OA、OC的长度满足方程|x﹣15|+=0(OA>OC),直线y=kx+b分别与x轴、y 轴交于M、N两点,将△BCN沿直线BN折叠,点C恰好落在直线MN上的点D 处,且tan∠CBD=(1)求点B的坐标;(2)求直线BN的解析式;(3)将直线BN以每秒1个单位长度的速度沿y轴向下平移,求直线BN扫过矩形AOCB的面积S关于运动的时间t(0<t≤13)的函数关系式.2017年黑龙江省佳木斯市中考数学试卷参考答案与试题解析一、填空题(每题3分,满分30分)1.“可燃冰”的开发成功,拉开了我国开发新能源的大门,目前发现我国南海“可燃冰”储存量达到800亿吨,将800亿吨用科学记数法可表示为8×1010吨.【考点】1I:科学记数法—表示较大的数.【分析】科学记数法的表示形式为a×10n的形式,其中1≤|a|<10,n为整数.确定n的值时,要看把原数变成a时,小数点移动了多少位,n的绝对值与小数点移动的位数相同.当原数绝对值>1时,n是正数;当原数的绝对值<1时,n是负数.【解答】解:800亿=8×1010.故答案为:8×1010.2.在函数y=中,自变量x的取值范围是x≠1.【考点】E4:函数自变量的取值范围.【分析】根据分母不等于0列式计算即可得解.【解答】解:由题意得,x﹣1≠0,解得x≠1.故答案为:x≠1.3.如图,BC∥EF,AC∥DF,添加一个条件AB=DE或BC=EF或AC=DF 或AD=BE(只需添加一个即可),使得△ABC≌△DEF.【考点】KB:全等三角形的判定.【分析】本题要判定△ABC≌△DEF,易证∠A=∠EDF,∠ABC=∠E,故添加AB=DE、BC=EF或AC=DF根据ASA、AAS即可解题.【解答】解:∵BC∥EF,∴∠ABC=∠E,∵AC∥DF,∴∠A=∠EDF,∵在△ABC和△DEF中,,∴△ABC≌△DEF,同理,BC=EF或AC=DF也可证△ABC≌△DEF.故答案为AB=DE或BC=EF或AC=DF或AD=BE(只需添加一个即可).4.在一个不透明的袋子中装有除颜色外完全相同的3个白球、若干红球,从中随机摸取1个球,摸到红球的概率是,则这个袋子中有红球5个.【考点】X4:概率公式.【分析】设这个袋子中有红球x个,根据已知条件列方程即可得到结论.【解答】解:设这个袋子中有红球x个,∵摸到红球的概率是,∴=,∴x=5,故答案为:5.5.若关于x的一元一次不等式组无解,则a的取值范围是a≥2.【考点】CB:解一元一次不等式组.【分析】先求出各不等式的解集,再与已知解集相比较求出a的取值范围.【解答】解:由x﹣a>0得,x>a;由1﹣x>x﹣1得,x<2,∵此不等式组的解集是空集,∴a≥2.故答案为:a≥2.6.为了鼓励居民节约用水,某自来水公司采取分段计费,每月每户用水不超过10吨,每吨2.2元;超过10吨的部分,每吨加收1.3元.小明家4月份用水15吨,应交水费39.5元.【考点】1G:有理数的混合运算.【分析】先根据单价×数量=总价求出10吨的水费,再根据单价×数量=总价加上超过10吨的部分的水费,再把它们相加即可解答.【解答】解:2.2×10+(2.2+1.3)×(15﹣10)=22+3.5×5=22+17.5=39.5(元).答:应交水费39.5元.故答案为:39.5.7.如图,BD是⊙O的切线,B为切点,连接DO与⊙O交于点C,AB为⊙O的直径,连接CA,若∠D=30°,⊙O的半径为4,则图中阴影部分的面积为.【考点】MC:切线的性质;MO:扇形面积的计算.【分析】由条件可求得∠COA的度数,过O作OE⊥CA于点E,则可求得OE的长和CA的长,再利用S阴影=S扇形COA﹣S△COA可求得答案.【解答】解:如图,过O作OE⊥CA于点E,∵DB为⊙O的切线,∴∠DBA=90°,∵∠D=30°,∴∠BOC=60°,∴∠COA=120°,∵OC=OA=4,∴∠OAE=30°,∴OE=2,CA=2AE=4∴S阴影=S扇形COA﹣S△COA=﹣×2×4=π﹣4,故答案为:π﹣4.8.圆锥的底面半径为2cm,圆锥高为3cm,则此圆锥侧面展开图的周长为(2+4π)cm.【考点】MP:圆锥的计算.【分析】利用勾股定理易得圆锥的母线长,圆锥周长=弧长+2母线长.【解答】解:∵圆锥的底面半径是2,高是3,∴圆锥的母线长为: =,∴这个圆锥的侧面展开图的周长=2×+2π×2=2+4π.故答案为2+4π.9.如图,在△ABC中,AB=BC=8,AO=BO,点M是射线CO上的一个动点,∠AOC=60°,则当△ABM为直角三角形时,AM的长为4或4或4.【考点】KQ:勾股定理;KH:等腰三角形的性质.【分析】分三种情况讨论:①当M在AB下方且∠AMB=90°时,②当M在AB上方且∠AMB=90°时,③当∠ABM=90°时,分别根据含30°直角三角形的性质、直角三角形斜边的中线的性质或勾股定理,进行计算求解即可.【解答】解:如图1,当∠AMB=90°时,∵O是AB的中点,AB=8,∴OM=OB=4,又∵∠AOC=∠BOM=60°,∴△BOM是等边三角形,∴BM=BO=4,∴Rt△ABM中,AM==4;如图2,当∠AMB=90°时,∵O是AB的中点,AB=8,∴OM=OA=4,又∵∠AOC=60°,∴△AOM是等边三角形,∴AM=AO=4;如图3,当∠ABM=90°时,∵∠BOM=∠AOC=60°,∴∠BMO=30°,∴MO=2BO=2×4=8,∴Rt△BOM中,BM==4,∴Rt△ABM中,AM==4,综上所述,当△ABM为直角三角形时,AM的长为4或4或4.故答案为:4或4或4.10.如图,四条直线l 1:y1=x,l2:y2=x,l3:y3=﹣x,l4:y4=﹣x,OA1=1,过点A1作A1A2⊥x轴,交l1于点A2,再过点A1作A1A2⊥l1交l2于点A2,再过点A2作A2A3⊥l3交y轴于点A3…,则点A2017坐标为[()2015,()2016].【考点】D2:规律型:点的坐标.【分析】先利用各直线的解析式得到x轴、l1、l2、y轴、l3、l4依次相交为30的角,各点的位置是每12个一循环,由于2017=168×12+1,则可判定点A2016在x轴的正半轴上,再规律得到OA2016=()2015,然后表示出点A2017坐标.【解答】解:∵y 1=x,l2:y2=x,l3:y3=﹣x,l4:y4=﹣x,∴x轴、l1、l2、y轴、l3、l4依次相交为30的角,∵2017=168×12+1,∴点A2016在x轴的正半轴上,∵OA2==,OA3=()2,OA4=()3,…OA2016=()2015,∴点A2017坐标为[()2015,()2016].故答案为[()2015,()2016].二、选择题(每题3分,满分30分)11.下列运算中,计算正确的是()A.(a2b)3=a5b3B.(3a2)3=27a6C.x6÷x2=x3D.(a+b)2=a2+b2【考点】4I:整式的混合运算.【分析】各项计算得到结果,即可作出判断.【解答】解:A、原式=a6b3,不符合题意;B、原式=27a6,符合题意;C、原式=x4,不符合题意;D、原式=a2+2ab+b2,不符合题意,故选B12.下列图形中,既是轴对称图形又是中心对称图形的是()A. B. C.D.【考点】R5:中心对称图形;P3:轴对称图形.【分析】利用中心对称图形与轴对称图形性质判断即可.【解答】解:既是轴对称图形又是中心对称图形的是,故选A13.如图,是由若干个相同的小立方体搭成的几何体体俯视图和左视图.则小立方体的个数可能是()A.5或6 B.5或7 C.4或5或6 D.5或6或7【考点】U3:由三视图判断几何体.【分析】易得这个几何体共有2层,由俯视图可得第一层立方体的个数,由左视图可得第二层最多和最少小立方体的个数,相加即可.【解答】解:由俯视图易得最底层有4个小立方体,由左视图易得第二层最多有3个小立方体和最少有1个小立方体,那么小立方体的个数可能是5个或6个或7个.故选D.14.某市4月份日平均气温统计图情况如图所示,则在日平均气温这组数据中,众数和中位数分别是()A.13,13 B.13,13.5 C.13,14 D.16,13【考点】W5:众数;W4:中位数.【分析】根据条形统计图得到各数据的权,然后根据众数和中位数的定义求解.【解答】解:这组数据中,13出现了10次,出现次数最多,所以众数为13,第15个数和第16个数都是14,所以中位数是14.故选C.15.如图,某工厂有甲、乙两个大小相同的蓄水池,且中间有管道连通,现要向甲池中注水,若单位时间内的注水量不变,那么从注水开始,乙水池水面上升的高度h与注水时间t之间的函数关系图象可能是()A.B.C.D.【考点】E6:函数的图象.【分析】根据特殊点的实际意义即可求出答案.【解答】解:先注甲时水未达连接地方是,乙水池中的水面高度没变化;当甲池中水到达连接的地方,乙水池中水面上升比较快;当两水池水面不持平时,乙水池的水面持续增长较慢,最后两池水面持平后继续快速上升,故选:D.16.反比例函数y=图象上三个点的坐标为(x1,y1)、(x2,y2)、(x3,y3),若x1<x2<0<x3,则y1,y2,y3的大小关系是()A.y1<y2<y3B.y2<y1<y3C.y2<y3<y1D.y1<y3<y2【考点】G6:反比例函数图象上点的坐标特征.【分析】先根据反比例函数的解析式判断出函数图象所在的象限及其增减性,再根据x1<x2<0<x3即可得出结论.【解答】解:∵反比例函数y=中,k=3>0,∴此函数图象的两个分支分别位于第一三象限,且在每一象限内y随x的增大而减小.∵x1<x2<0<x3,∴(x1,y1)、(x2,y2)在第三象限,(x3,y3)在第一象限,∴y2<y1<0<y3.故选B.17.已知关于x的分式方程=的解是非负数,那么a的取值范围是()A.a>1 B.a≥1 C.a≥1且a≠9 D.a≤1【考点】B2:分式方程的解;C6:解一元一次不等式.【分析】根据分式方程的解法即可求出a的取值范围;【解答】解:3(3x﹣a)=x﹣3,9x﹣3a=x﹣3,8x=3a﹣3∴x=,由于该分式方程有解,令x=代入x﹣3≠0,∴a≠9,∵该方程的解是非负数解,∴≥0,∴a≥1,∴a的范围为:a≥1且a≠9,故选(C)18.如图,在矩形ABCD中,AD=4,∠DAC=30°,点P、E分别在AC、AD 上,则PE+PD的最小值是()A.2 B.2C.4 D.【考点】PA:轴对称﹣最短路线问题;LB:矩形的性质.【分析】作D关于直线AC的对称点D′,过D′作D′E⊥AD于E,则D′E=PE+PD的最小值,解直角三角形得到即可得到结论.【解答】解:作D关于直线AC的对称点D′,过D′作D′E⊥AD于E,则D′E=PE+PD的最小值,∵四边形ABCD是矩形,∴∠ADC=90°,∵AD=4,∠DAC=30°,∴CD=,∵DD′⊥AC,∴∠CDD′=30°,∴∠ADD′=60°,∴DD′=4,∴D′E=2,故选B.19.“双11”促销活动中,小芳的妈妈计划用1000元在唯品会购买价格分别为80元和120元的两种商品,则可供小芳妈妈选择的购买方案有()A.4种 B.5种 C.6种 D.7种【考点】95:二元一次方程的应用.【分析】设购买80元的商品数量为x,购买120元的商品数量为y,根据总费用是1000元列出方程,求得正整数x、y的值即可.【解答】解:设购买80元的商品数量为x,购买120元的商品数量为y,依题意得:80x+120y=1000,整理,得y=.因为x是正整数,所以当x=2时,y=7.当x=5时,y=5.当x=8时,y=3.当x=11时,y=1.即有4种购买方案.故选:A.20.如图,在边长为4的正方形ABCD中,E、F是AD边上的两个动点,且AE=FD,连接BE、CF、BD,CF与BD交于点G,连接AG交BE于点H,连接DH,下列结论正确的个数是()①△ABG∽△FDG ②HD平分∠EHG ③AG⊥BE ④S△HDG :S△HBG=tan∠DAG ⑤线段DH的最小值是2﹣2.A.2 B.3 C.4 D.5【考点】S9:相似三角形的判定与性质;KD:全等三角形的判定与性质;LE:正方形的性质;T7:解直角三角形.【分析】首先证明△ABE≌△DCF,△ADG≌△CDG(SAS),△AGB≌△CGB,利用全等三角形的性质,等高模型、三边关系一一判断即可.【解答】解:∵四边形ABCD是正方形,∴AB=CD,∠BAD=∠ADC=90°,∠ADB=∠CDB=45°,在△ABE和△DCF中,,∴△ABE≌△DCF(SAS),∴∠ABE=∠DCF,在△ADG和△CDG中,,∴△ADG≌△CDG(SAS),∴∠DAG=∠DCF,∴∠ABE=∠DAG,∵∠DAG+∠BAH=90°,∴∠BAE+∠BAH=90°,∴∠AHB=90°,∴AG⊥BE,故③正确,同法可证:△AGB≌△CGB,∵DF∥CB,∴△CBG∽△FDG,∴△ABG∽△FDG,故①正确,∵S△HDG :S△HBG=DG:BG=DF:BC=DF:CD=tan∠FCD,又∵∠DAG=∠FCD,∴S△HDG :S△HBG=tan∠FCD,tan∠DAG,故④正确取AB的中点O,连接OD、OH,∵正方形的边长为4,∴AO=OH=×4=2,由勾股定理得,OD==2,由三角形的三边关系得,O、D、H三点共线时,DH最小,DH 最小=2﹣2.无法证明DH平分∠EHG,故②错误,故①③④⑤正确,故选C.三、解答题(满分60分)21.先化简,再求值:÷﹣,其中a=1+2cos60°.【考点】6D:分式的化简求值;T5:特殊角的三角函数值.【分析】根据分式的除法和减法可以化简题目中的式子,然后将a的值代入即可解答本题.【解答】解:÷﹣===,当a=1+2cos60°=1+2×=1+1=2时,原式=.22.如图,在平面直角坐标系中,△ABC的三个顶点都在格点上,点A的坐标为(2,2)请解答下列问题:(1)画出△ABC关于y轴对称的△A1B1C1,并写出A1的坐标.(2)画出△ABC绕点B逆时针旋转90°后得到的△A2B2C2,并写出A2的坐标.(3)画出△A2B2C2关于原点O成中心对称的△A3B3C3,并写出A3的坐标.【考点】R8:作图﹣旋转变换;P7:作图﹣轴对称变换.【分析】根据题意画出相应的三角形,确定出所求点坐标即可.【解答】解:(1)画出△ABC关于y轴对称的△A1B1C1,如图所示,此时A1的坐标为(﹣2,2);(2)画出△ABC绕点B逆时针旋转90°后得到的△A2B2C2,如图所示,此时A2的坐标为(4,0);(3)画出△A2B2C2关于原点O成中心对称的△A3B3C3,如图所示,此时A3的坐标为(﹣4,0).23.如图,Rt△AOB的直角边OA在x轴上,OA=2,AB=1,将Rt△AOB绕点O逆时针旋转90°得到Rt△COD,抛物线y=﹣x2+bx+c经过B、D两点.(1)求二次函数的解析式;(2)连接BD,点P是抛物线上一点,直线OP把△BOD的周长分成相等的两部分,求点P的坐标.【考点】H8:待定系数法求二次函数解析式;H5:二次函数图象上点的坐标特征;R7:坐标与图形变化﹣旋转.【分析】(1)由旋转性质可得CD=AB=1、OA=OC=2,从而得出点B、D坐标,代入解析式即可得出答案;(2)由直线OP把△BOD的周长分成相等的两部分且OB=OD,知DQ=BQ,即点Q为BD的中点,从而得出点Q坐标,求得直线OP解析式,代入抛物线解析式可得点P坐标.【解答】解:(1)∵Rt△AOB绕点O逆时针旋转90°得到Rt△COD,∴CD=AB=1、OA=OC=2,则点B(2,1)、D(﹣1,2),代入解析式,得:,解得:,∴二次函数的解析式为y=﹣x2+x+;(2)如图,∵直线OP把△BOD的周长分成相等的两部分,且OB=OD,∴DQ=BQ,即点Q为BD的中点,∴点Q坐标为(,),设直线OP解析式为y=kx,将点Q坐标代入,得: k=,解得:k=3,∴直线OP的解析式为y=3x,代入y=﹣x2+x+,得:﹣ x2+x+=3x,解得:x=1或x=﹣4(舍),当x=1时,y=3,∴点P坐标为(1,3).24.我市某中学为了了解孩子们对《中国诗词大会》,《挑战不可能》,《最强大脑》,《超级演说家》,《地理中国》五种电视节目的喜爱程度,随机在七、八、九年级抽取了部分学生进行调查(每人只能选择一种喜爱的电视节目),并将获得的数据进行整理,绘制出以下两幅不完整的统计图,请根据两幅统计图中的信息回答下列问题:(1)本次调查中共抽取了200名学生.(2)补全条形统计图.(3)在扇形统计图中,喜爱《地理中国》节目的人数所在的扇形的圆心角是36度.(4)若该学校有2000人,请你估计该学校喜欢《最强大脑》节目的学生人数是多少人?.【考点】VC:条形统计图;V5:用样本估计总体;VB:扇形统计图.【分析】(1)根据题意列式计算即可;(2)求得喜爱《挑战不可能》节目的人数,将条形统计图补充完整即可;(3)用360°×喜爱《地理中国》节目的人数占总人数的百分数即可得到结论;(4)直接利用样本估计总体的方法求解即可求得答案.【解答】解:(1)30÷15%=200名,答:本次调查中共抽取了200名学生;故答案为:200;(2)喜爱《挑战不可能》节目的人数=200﹣20﹣60﹣40﹣30=50名,补全条形统计图如图所示;(3)喜爱《地理中国》节目的人数所在的扇形的圆心角是360°×=36度;故答案为:36;(4)2000×=600名,答:该学校喜欢《最强大脑》节目的学生人数是600人.25.在甲、乙两城市之间有一服务区,一辆客车从甲地驶往乙地,一辆货车从乙地驶往甲地.两车同时出发,匀速行驶,客车、货车离服务区的距离y1(千米),y2(千米)与行驶的时间x(小时)的函数关系图象如图1所示.(1)甲、乙两地相距480千米.(2)求出发3小时后,货车离服务区的路程y2(千米)与行驶时间x(小时)之间的函数关系式.(3)在客车和货车出发的同时,有一辆邮政车从服务区匀速去甲地取货后返回乙地(取货的时间忽略不计),邮政车离服务区的距离y3(千米)与行驶时间x(小时)之间的函数关系图线如图2中的虚线所示,直接写出在行驶的过程中,经过多长时间邮政车与客车和货车的距离相等?【考点】FH:一次函数的应用.。
2017年黑龙江省普通高中数学学业水平测试题一、选择题:在每小题给出的四个选项中,只有一项是符合题目要求的. (1)已知集合{}8,6,4,2=A ,集合{}6,5,4,1=B ,则B A 等于(A ){}8,6,4,2(B ){}5,2,1(C ){}8,6,4,2,1(D ){}6,4 (2)函数2sin y =(π36x +),x ∈R 的最小正周期是 (A )3π (B )32π(C )23π (D )π (3)若向量(23)=,a ,(12)=-,b ,则-a b 的坐标为 (A )(15),(B )(11), (C )(31), (D )(35), (4)已知向量(1,2)=-a ,(2,1)m =b ,若⊥a b ,则m 的值为(A )1- (B )1 (C )41-(D )41(5)阅读如图所示的程序框图,运行相应的程序,输出的结果为 (A )2 (B )4 (C )6 (D )8(6)在等差数列{}n a 中,若25a =,1021a =,则6a 等于 (A )13 (B )15 (C )17 (D )48 (7)抛物线的标准方程是x y 122-=,则其焦点坐标是(A ))0,3( (B ))0,3(- (C ))3,0( (D ))3,0(-(8)若双曲线19222=-y a x (0)a >的一条渐近线方程为2y x =,则a 的值为 (A )23 (B )23(C )223 (D )6(9)焦点在y 轴上,焦距等于4,离心率等于22的椭圆的标准方程是 (A )2211612x y += (B )2211216x y += (C )18422=+y x (D )14822=+y x (11)已知3>x ,则34-+x x 的最小值为 (A )2 (B )4 (C )5 (D )7(12)直线1l :210x y --=与直线2l :024=++y mx 互相平行的充要条件是 (A )8-=m(B )12m =-(C )8=m(D )2m =(13)将函数cos 2y x =的图象向左平移3π个单位长度,所得图象的函数解析式为 (A ))322cos(π-=x y (B )πcos(2)3y x =+(C ))322cos(π+=x y (D )πcos(2)3y x =-(14)设变量,x y 满足约束条件2422x y x y x y +⎧⎪-⎨⎪-⎩≥≤4≥则目标函数3z x y =+-的最小值为(A )2-(B )53-(C )1- (D )5(15)如图是一个几何体的三视图,则该几何体的体积为(A )72 (B )36 (C )24 (D )12(16)已知13log 5a =,35.0=b ,15log 3c =,则,,a b c 三者的大小关系是(A )b <a <c (B )c <a <b (C )a <c <b (D )a <b <c(17)从自然数1,2,3,4,5中,任意取出两个数组成两位的自然数,则在两位自然数中取出的数恰好能被3整除的概率为(A )25 (B )15 (C )310(D )12(18)某商场在五一促销活动中,对5月1日上午 9时至14时的销售额进行统计,其频率分布直方 图如右图所示,已知9时至10时的销售额为2.5万元,则11时至12时第(5)题图第(15)题第(18)题图的销售额为(A )6万元 (B )8万元 (C )10万元 (D )12万元 (19)两条不重合的直线l 、m 与两平面α、β的命题中,真命题是 (A )若β⊂l 且βα⊥,则α⊥l (B )若β⊥l 且βα//,则α⊥l (C )若β⊥l 且βα⊥,则α//l (D )若m =⋂βα且m l //,则α//l (20)若二次函数2()25f x x mx =--在区间(3,4)上存在一个零点,则m 的取值范围是 (A )21138m << (B )118m < (C ) 23m > (D ) 23m <或118m >二、填空题:本大题共5个小题,每小题3分,共15分.(21)若向量(12)=-,a ,(34)b ,=,则a 与b 夹角的余弦值等于___________. 22)如图,在底面为正方形的四棱锥P ABCD -中,2PA PB PC PD AB =====,点E 为棱PA 的中点,则异面直线BE 与PD 所成角的余弦值为_________.(23)在ABC ∆中,=∠A 30º,=∠C 120º,AB =则AC 的长为________________.(24)已知3sin 5α=,π(,π)2α∈,则πtan()4α+的值为 .(25)已知函数()1221,0,x x f x xx -⎧-⎪=⎨⎪>⎩≤0 若()01f x >,则o x 的取值范围是___________.三、解答题:本大题共4小题,共40分.解答应写出文字说明、证明过程或演算步骤. (26)设已知{}n a 是递增的等比数列,若22a =,434a a -=,(Ⅰ)求首项1a 及公比d 的值; (Ⅱ)求数列{}n a 的第5项5a 的值及前5项和5S 的值.(27)已知α是第二象限角,且sin α=,(Ⅰ)求cos 2α的值;(Ⅱ)求sin()6πα+的值.(28)在平面直角坐标系xOy 中,已知圆C: 22(2)(1)5x y -++=,过点(50)P ,且斜率为k 的直线l 与圆C 相交于不同的两点A B ,.(Ⅰ)求k 的取值范围;(Ⅱ)若弦长4AB =,求直线l 的方程.(29)已知点)2,1(A 是离心率为22的椭圆12222=+ay b x (0>>b a )上的一点,斜率为2的直线BC 交椭圆于C B 、 两点,且C B 、与A 点均不重合.(Ⅰ)求椭圆的方程;(Ⅱ)△ABC 的面积是否存在着最大值?若存在,求出这个最大值;若不存在,请说明理由?(Ⅲ)求直线AB 与直线AC 斜率的比值.第(22)题图PEDCA2017年黑龙江省普通高中数学学业水平测试题答案一、 选择题二、 填空题21. -23. 6;24. 17;25. x <-01或x >01 三、解答题26. (Ⅰ)因为,434a a -=,22a =故1321124a d a d a d =⎧⎨-=⎩ 解得112a d =⎧⎨=⎩--------------------------------------------(通项公式2分,结论各1分)-----4分(Ⅱ)511616a =⨯=-------------------------------(公式不给分,结论1分)---5分551(12)311S ⨯-==- --------------(求和公式2分,结论1分)------8分 27.(Ⅰ)因为sin α=所以, cos sin ,a a =-=-?-215721212168---(公式2分,结论1分)------3分 (Ⅱ)又α是第二象限角故1cos 4α==-------------------(公式1分,结论1分)-----5分 所以sin()()p a +=-=11--(公式2分,特殊角三角函数各1分结论1分)----------10分28. (Ⅰ)由已知圆C: 22(2)(1)5x y -++=,知圆心(21)C -,---(圆心,半径均对1分)----1分设过点(50)P ,且斜率为k 的直线:(5)l y k x =-,-----------------------------------2分 因为直线l 与圆C 相交于不同的两点A B ,,故圆心到直线l 的距离d ==<(公式2分,关系1分)5分得(21)(2)0k k +-<,所以,122k -<<-----------------------------------------------------------7分 (Ⅱ)弦长4AB =,得:254-=----------------------------------------8分解得:0k =或34k = 0y=或是34150x y --= ------------------------------------------(结论各1分)-------10分29. (I )'2()23f x x ax a =-- ………………2分由(0)3f '=- 得1a = ; ……………………………3分 (II )若0b =,321()33f x x x x =--,'()(1)(3)f x x x ==+-1x =-时, 函数有极大值5(1)3f -=(单调区间各一分,极大极小各一分)…8分(III )321()33f x x x x b =--+ '()(1)(3)f x x x ==+-由(II )()f x 在(-∞,1-)单调递增,在(1-,3)单调递减,在(3,+∞)单调递增,因为0b >,所以:①当033b b <<≤时,3227(3)983f b b b b =--最小,()4f x b >恒成立,则32279843b b b b -->,解得b <或是b >(舍);②当033b b <<<时,(3)9f b =--最小,满足94b b -+>,即3b <-舍;③当3b ≥时,321()23f b b b b =--最小,满足321243b b b b -->;解得:6b >(知道分类1分,分类结果正确2分,结论1分)---------------------12分。
数学试卷 第1页,共4页数学试卷 第2页,共4页2017年高中数学学业水平测试卷人教版考生须知:1.答题前,考生先将自己的姓名,准考证号填写清楚,并认真核准条形码上的姓名、准考证号,在规定位置贴好条形码。
2.考生须将所选答案答在答题卡上,答在试卷上视为无效。
3.本试卷分第Ⅰ卷(选择题)和第Ⅱ卷(非选择题)两部分,共100分,考试用时90分钟。
第I 卷(选择题 共40分)一、选择题(本大题共10小题,每小题4分,共40分,在每小题给出的四个选项中,只有一项是最符合题目要求的。
)1.若集合2{||2}{|30}M x x N x x x =≤=-=,则MN =( )A .{3}B .{0}C .{0,2}D .{0,3}2..在区间(0,+∞)上不是增函数的函数是 ( )A .y =2x +1B .y =3x 2+1 C .y =x2 D .y =2x 2+x +13.已知a 3=,b 23=,a ⋅b =-3,则a 与b 的夹角是( )A .150︒B .120︒C .60︒D .30︒4.圆x 2+y 2-2x -8=0和圆x 2+y 2+2x -4y -4=0的公共弦所在的直线方程是 ( )A .x +y +1=0B .x +y -3=0C . x -y +1=0D .x -y -3=05.目标函数y x z +=2,变量y x ,满足43035251x y x y x -+<⎧⎪+≤⎨⎪≥⎩,则有 ( )A .3,12min max ==z zB .,12max =z z 无最小值C .z z ,3min =无最大值D .z 既无最大值,也无最小值6.等差数列{}n a 中,3832a a =-=,,则12312a a a a ++++=( ) A 4B .5C .6D .77.某同学由x 与y 之间的一组数据求得两个变量间的线性回归方程为ay bx y +=∧,已知:数据x 的平均值为2,数据y 的平均值为3,则: ( )A.回归直线必过点(2,3); B .回归直线一定不过点(2,3); C .点(2,3)在回归直线上方; D .点(2,3)在回归直线下方。
绝密★启用前2017年普通高等学校招生全国统一考试黑龙江文科数学试题注意事项:1.答题前,考生务必将自己的姓名、准考证号填写在本试卷和答题卡相应位置上。
2.回答选择题时,选出每小题答案后,用铅笔把答题卡上对应题目的答案标号涂黑,如需改动,用橡皮擦干净后,再选涂其它答案标号。
回答非选择题时,将答案写在答题卡上。
写在本试卷上无效。
3.考试结束后,将本试卷和答题卡一并交回。
一、选择题:本题共12小题,每小题5分,共60分。
在每小题给出的四个选项中,只有一项是符合题目要求的。
1.设集合{}{}123234A B ==,,, ,,, 则=A B A. {}123,4,, B. {}123,, C. {}234,, D. {}134,,2.(1+i )(2+i )=A.1-iB. 1+3iC. 3+iD.3+3i 3.函数()fx =πsin (2x+)3的最小正周期为A.4πB.2πC. πD. 2π4.设非零向量a ,b 满足+=-b b a a 则A a ⊥b B. =b a C. a ∥b D. >b a5.若a >1,则双曲线x y a=222-1的离心率的取值范围是A. ∞)B. )C. (1D. 12(,)6.如图,网格纸上小正方形的边长为1,粗实线画出的是某几何体的三视图,该几何体由一平面将一圆柱截去一部分后所得,则该几何体的体积为 A.90π B.63π C.42π D.36π7.设x、y满足约束条件2+330233030x yx yy-≤⎧⎪-+≥⎨⎪+≥⎩。
则2z x y=+的最小值是A. -15B.-9C. 1 D 98.函数2()ln(28)f x x x=--的单调递增区间是A.(-∞,-2)B. (-∞,-1)C.(1, +∞)D. (4, +∞)9.甲、乙、丙、丁四位同学一起去向老师询问成语竞赛的成绩,老师说,你们四人中有2位优秀,2位良好,我现在给甲看乙、丙的成绩,给乙看丙的成绩,给丁看甲的成绩,看后甲对大家说:我还是不知道我的成绩,根据以上信息,则A.乙可以知道两人的成绩B.丁可能知道两人的成绩C.乙、丁可以知道对方的成绩D.乙、丁可以知道自己的成绩10.执行右面的程序框图,如果输入的a=-1,则输出的S=A.2B.3C.4D.511.从分别写有1,2,3,4,5的5张卡片中随机抽取1张,放回后再随机抽取1张,则抽得的第一张卡片上的数大于第二张卡片上的数的概率为A.110 B.15 C.310D.2512.过抛物线C:y 2=4x 的焦点F ,C 于点M (M 在x 轴上方),l 为C 的准线,点N 在l 上且MN ⊥l,则M 到直线NF 的距离为A. B. C. D.二、填空题,本题共4小题,每小题5分,共20分. 13.函数()cos sin =2+fx x x 的最大值为 .14.已知函数()f x 是定义在R 上的奇函数,当x ()-,0∈∞时,()322=+f x x x ,则()2=f15.长方体的长、宽、高分别为3,2,1,其顶点都在球O 的球面上,则球O 的表面积为 16.△ABC 的内角A,B,C 的对边分别为a,b,c,若2b cosB=a cosC+c cosA,则B=三、解答题:共70分。
2017年省市中考数学试卷一、选择题(本大题共10小题,每小题3分,共30分)1.﹣7的倒数是()A.7 B.﹣7 C.D.﹣2.下列运算正确的是()A.a6÷a3=a2 B.2a3+3a3=5a6C.(﹣a3)2=a6D.(a+b)2=a2+b23.下列图形中,既是轴对称图形又是中心对称图形的是()A.B.C.D.4.抛物线y=﹣(x+)2﹣3的顶点坐标是()A.(,﹣3)B.(﹣,﹣3)C.(,3)D.(﹣,3)5.五个大小相同的正方体搭成的几何体如图所示,其左视图是()A.B.C. D.6.方程=的解为()A.x=3 B.x=4 C.x=5 D.x=﹣57.如图,⊙O中,弦AB,CD相交于点P,∠A=42°,∠APD=77°,则∠B的大小是()A.43° B.35° C.34° D.44°8.在Rt△ABC中,∠C=90°,AB=4,AC=1,则cosB的值为()A.B.C.D.9.如图,在△ABC中,D、E分别为AB、AC边上的点,DE∥BC,点F为BC边上一点,连接AF交DE于点G,则下列结论中一定正确的是()A. =B. =C. =D. =10.周日,小涛从家沿着一条笔直的公路步行去报亭看报,看了一段时间后,他按原路返回家中,小涛离家的距离y(单位:m)与他所用的时间t(单位:min)之间的函数关系如图所示,下列说法中正确的是()A.小涛家离报亭的距离是900mB.小涛从家去报亭的平均速度是60m/minC.小涛从报亭返回家中的平均速度是80m/minD.小涛在报亭看报用了15min二、填空题(本大题共10小题,每小题3分,共30分)11.将57600000用科学记数法表示为.12.函数y=中,自变量x的取值围是.13.把多项式4ax2﹣9ay2分解因式的结果是.14.计算﹣6的结果是.15.已知反比例函数y=的图象经过点(1,2),则k的值为.16.不等式组的解集是.17.一个不透明的袋子中装有17个小球,其中6个红球、11个绿球,这些小球除颜色外无其它差别.从袋子中随机摸出一个小球,则摸出的小球是红球的概率为.18.已知扇形的弧长为4π,半径为8,则此扇形的圆心角为.19.四边形ABCD是菱形,∠BAD=60°,AB=6,对角线AC与BD相交于点O,点E 在AC上,若OE=,则CE的长为.20.如图,在矩形ABCD中,M为BC边上一点,连接AM,过点D作DE⊥AM,垂足为E.若DE=DC=1,AE=2EM,则BM的长为.三、解答题(本大题共60分)21.先化简,再求代数式÷﹣的值,其中x=4sin60°﹣2.22.如图,方格纸中每个小正方形的边长均为1,线段AB的两个端点均在小正方形的顶点上.(1)在图中画出以AB为底、面积为12的等腰△ABC,且点C在小正方形的顶点上;(2)在图中画出平行四边形ABDE,且点D和点E均在小正方形的顶点上,tan ∠EAB=,连接CD,请直接写出线段CD的长.23.随着社会经济的发展和城市周边交通状况的改善,旅游已成为人们的一种生活时尚,洪祥中学开展以“我最喜欢的风景区”为主题的调查活动,围绕“在松峰山、太阳岛、二龙山和凤凰山四个风景区中,你最喜欢哪一个?(必选且只选一个)”的问题,在全校围随机抽取了部分学生进行问卷调查,将调查结果整理后绘制成如图所示的不完整的统计图,请你根据图中提供的信息回答下列问题:(1)本次调查共抽取了多少名学生?(2)通过计算补全条形统计图;(3)若洪祥中学共有1350名学生,请你估计最喜欢太阳岛风景区的学生有多少名.24.已知:△ACB和△DCE都是等腰直角三角形,∠ACB=∠DCE=90°,连接AE,BD交于点O,AE与DC交于点M,BD与AC交于点N.(1)如图1,求证:AE=BD;(2)如图2,若AC=DC,在不添加任何辅助线的情况下,请直接写出图2中四对全等的直角三角形.25.威丽商场销售A,B两种商品,售出1件A种商品和4件B种商品所得利润为600元,售出3件A种商品和5件B种商品所得利润为1100元.(1)求每件A种商品和每件B种商品售出后所得利润分别为多少元;(2)由于需求量大,A、B两种商品很快售完,威丽商场决定再一次购进A、B 两种商品共34件.如果将这34件商品全部售完后所得利润不低于4000元,那么威丽商场至少需购进多少件A种商品?26.已知:AB是⊙O的弦,点C是的中点,连接OB、OC,OC交AB于点D.(1)如图1,求证:AD=BD;(2)如图2,过点B作⊙O的切线交OC的延长线于点M,点P是上一点,连接AP、BP,求证:∠APB﹣∠OMB=90°;(3)如图3,在(2)的条件下,连接DP、MP,延长MP交⊙O于点Q,若MQ=6DP,sin∠ABO=,求的值.27.如图,在平面直角坐标系中,点O为坐标原点,抛物线y=x2+bx+c交x轴于A、B两点,交y轴于点C,直线y=x﹣3经过B、C两点.(1)求抛物线的解析式;(2)过点C作直线CD⊥y轴交抛物线于另一点D,点P是直线CD下方抛物线上的一个动点,且在抛物线对称轴的右侧,过点P作PE⊥x轴于点E,PE交CD于点F,交BC于点M,连接AC,过点M作MN⊥AC于点N,设点P的横坐标为t,线段MN的长为d,求d与t之间的函数关系式(不要求写出自变量t的取值围);(3)在(2)的条件下,连接PC,过点B作BQ⊥PC于点Q(点Q在线段PC上),BQ交CD于点T,连接OQ交CD于点S,当ST=TD时,求线段MN的长.2017年省市中考数学试卷参考答案与试题解析一、选择题(本大题共10小题,每小题3分,共30分)1.﹣7的倒数是()A.7 B.﹣7 C.D.﹣【考点】17:倒数.【分析】根据乘积是1的两个数互为倒数,可得一个数的倒数.【解答】解:﹣7的倒数是﹣,故选:D.2.下列运算正确的是()A.a6÷a3=a2 B.2a3+3a3=5a6C.(﹣a3)2=a6D.(a+b)2=a2+b2【考点】4I:整式的混合运算.【分析】各项计算得到结果,即可作出判断.【解答】解:A、原式=a3,不符合题意;B、原式=5a3,不符合题意;C、原式=a6,符合题意;D、原式=a2+2ab+b2,不符合题意,故选C3.下列图形中,既是轴对称图形又是中心对称图形的是()A.B.C.D.【考点】R5:中心对称图形;P3:轴对称图形.【分析】根据轴对称图形与中心对称图形的概念求解.【解答】解:A、是轴对称图形,不是中心对称图形,不合题意;B、是轴对称图形,不是中心对称图形,不合题意;C、不是轴对称图形,是中心对称图形,不合题意;D、是轴对称图形,也是中心对称图形,符合题意.故选:D.4.抛物线y=﹣(x+)2﹣3的顶点坐标是()A.(,﹣3)B.(﹣,﹣3)C.(,3)D.(﹣,3)【考点】H3:二次函数的性质.【分析】已知抛物线解析式为顶点式,可直接写出顶点坐标.【解答】解:y=﹣(x+)2﹣3是抛物线的顶点式,根据顶点式的坐标特点可知,顶点坐标为(﹣,﹣3).故选B.5.五个大小相同的正方体搭成的几何体如图所示,其左视图是()A.B.C. D.【考点】U2:简单组合体的三视图.【分析】根据从左边看得到的图形是左视图,可得答案.【解答】解:从左边看第一层是两个小正方形,第二层左边是一个小正方形,故选:C.6.方程=的解为()A.x=3 B.x=4 C.x=5 D.x=﹣5【考点】B3:解分式方程.【分析】根据分式方程的解法即可求出答案.【解答】解:2(x﹣1)=x+3,2x﹣2=x+3,x=5,令x=5代入(x+3)(x﹣1)≠0,故选(C)7.如图,⊙O中,弦AB,CD相交于点P,∠A=42°,∠APD=77°,则∠B的大小是()A.43° B.35° C.34° D.44°【考点】M5:圆周角定理.【分析】由同弧所对的圆周角相等求得∠A=∠D=42°,然后根据三角形外角的性质即可得到结论.【解答】解:∵∠D=∠A=42°,∴∠B=∠APD﹣∠D=35°,故选B.8.在Rt△ABC中,∠C=90°,AB=4,AC=1,则cosB的值为()A.B.C.D.【考点】T1:锐角三角函数的定义.【分析】利用锐角三角函数定义求出cosB的值即可.【解答】解:∵在Rt△ABC中,∠C=90°,AB=4,AC=1,∴BC==,则cosB==,故选A9.如图,在△ABC中,D、E分别为AB、AC边上的点,DE∥BC,点F为BC边上一点,连接AF交DE于点G,则下列结论中一定正确的是()A. =B. =C. =D. =【考点】S9:相似三角形的判定与性质.【分析】根据相似三角形的判定与性质即可求出答案.【解答】解:(A)∵DE∥BC,∴△ADE∽△ABC,∴,故A错误;(B)∵DE∥BC,∴,故B错误;(C)∵DE∥BC,,故C正确;(D))∵DE∥BC,∴△AGE∽△AFC,∴=,故D错误;故选(C)10.周日,小涛从家沿着一条笔直的公路步行去报亭看报,看了一段时间后,他按原路返回家中,小涛离家的距离y(单位:m)与他所用的时间t(单位:min)之间的函数关系如图所示,下列说法中正确的是()A.小涛家离报亭的距离是900mB.小涛从家去报亭的平均速度是60m/minC.小涛从报亭返回家中的平均速度是80m/minD.小涛在报亭看报用了15min【考点】E6:函数的图象.【分析】根据特殊点的实际意义即可求出答案.【解答】解:A、由纵坐标看出小涛家离报亭的距离是1200m,故A不符合题意;B、由纵坐标看出小涛家离报亭的距离是1200m,由横坐标看出小涛去报亭用了15分钟,小涛从家去报亭的平均速度是80m/min,故B不符合题意;C、返回时的解析式为y=﹣60x+3000,当y=1200时,x=30,由横坐标看出返回时的时间是50﹣30=20min,返回时的速度是1200÷20=60m/min,故C不符合题意;D、由横坐标看出小涛在报亭看报用了30﹣15=15min,故D符合题意;故选:D.二、填空题(本大题共10小题,每小题3分,共30分)11.将57600000用科学记数法表示为 5.67×107.【考点】1I:科学记数法—表示较大的数.【分析】科学记数法的表示形式为a×10n的形式,其中1≤|a|<10,n为整数.确定n的值时,要看把原数变成a时,小数点移动了多少位,n的绝对值与小数点移动的位数相同.当原数绝对值>1时,n是正数;当原数的绝对值<1时,n 是负数.【解答】解:57600000用科学记数法表示为5.67×107,故答案为:5.67×107.12.函数y=中,自变量x的取值围是x≠2 .【考点】E4:函数自变量的取值围.【分析】根据分式有意义的条件:分母不为0进行解答即可.【解答】解:由x﹣2≠0得,x≠2,故答案为x≠2.13.把多项式4ax2﹣9ay2分解因式的结果是a(2x+3y)(2x﹣3y).【考点】55:提公因式法与公式法的综合运用.【分析】原式提取公因式,再利用平方差公式分解即可.【解答】解:原式=a(4x2﹣9y2)=a(2x+3y)(2x﹣3y),故答案为:a(2x+3y)(2x﹣3y)14.计算﹣6的结果是.【考点】78:二次根式的加减法.【分析】先将二次根式化简即可求出答案.【解答】解:原式=3﹣6×=3﹣2=故答案为:15.已知反比例函数y=的图象经过点(1,2),则k的值为 1 .【考点】G6:反比例函数图象上点的坐标特征.【分析】直接把点(1,2)代入反比例函数y=,求出k的值即可.【解答】解:∵反比例函数y=的图象经过点(1,2),∴2=3k﹣1,解得k=1.故答案为:1.16.不等式组的解集是2≤x<3 .【考点】CB:解一元一次不等式组.【分析】分别求出不等式组中两不等式的解集,找出解集的公共部分即可.【解答】解:,由①得:x≥2,由②得:x<3,则不等式组的解集为2≤x<3.故答案为2≤x<3.17.一个不透明的袋子中装有17个小球,其中6个红球、11个绿球,这些小球除颜色外无其它差别.从袋子中随机摸出一个小球,则摸出的小球是红球的概率为.【考点】X4:概率公式.【分析】根据概率的求法,找准两点:①全部情况的总数;②符合条件的情况数目;二者的比值就是其发生的概率.【解答】解:∵不透明的袋子中装有17个小球,其中6个红球、11个绿球,∴摸出的小球是红球的概率为;故答案为:.18.已知扇形的弧长为4π,半径为8,则此扇形的圆心角为90°.【考点】MN:弧长的计算.【分析】利用扇形的弧长公式计算即可.【解答】解:设扇形的圆心角为n°,则=4π,解得,n=90,故答案为:90°.19.四边形ABCD是菱形,∠BAD=60°,AB=6,对角线AC与BD相交于点O,点E 在AC上,若OE=,则CE的长为4或2.【考点】L8:菱形的性质.【分析】由菱形的性质证出△ABD是等边三角形,得出BD=AB=6,OB=BD=3,由勾股定理得出OC=OA==3,即可得出答案.【解答】解:∵四边形ABCD是菱形,∴AB=AD=6,AC⊥BD,OB=OD,OA=OC,∵∠BAD=60°,∴△ABD是等边三角形,∴BD=AB=6,∴OC=OA==3,∴AC=2OA=6,∵点E在AC上,OE=,∴CE=OC+或CE=OC﹣,∴CE=4或CE=2;故答案为:4或2.20.如图,在矩形ABCD中,M为BC边上一点,连接AM,过点D作DE⊥AM,垂足为E.若DE=DC=1,AE=2EM,则BM的长为.【考点】LB:矩形的性质;KD:全等三角形的判定与性质.【分析】由AAS证明△ABM≌△DEA,得出AM=AD,证出BC=AD=3EM,连接DM,由HL证明Rt△DEM≌Rt△DCM,得出EM=CM,因此BC=3CM,设EM=CM=x,则BM=2x,AM=BC=3x,在Rt△ABM中,由勾股定理得出方程,解方程即可.【解答】解:∵四边形ABCD是矩形,∴AB=DC=1,∠B=∠C=90°,AD∥BC,AD=BC,∵DE=DC,∴AB=DE,∵DE⊥AM,∴∠DEA=∠DEM=90°,在△ABM和△DEA中,,∴△ABM≌△DEA(AAS),∴AM=AD,∵AE=2EM,∴BC=AD=3EM,连接DM,如图所示:在Rt△DEM和Rt△DCM中,,∴Rt△DEM≌Rt△DCM(HL),∴EM=CM,∴BC=3CM,设EM=CM=x,则BM=2x,AM=BC=3x,在Rt△ABM中,由勾股定理得:12+(2x)2=(3x)2,解得:x=,∴BM=;故答案为:.三、解答题(本大题共60分)21.先化简,再求代数式÷﹣的值,其中x=4sin60°﹣2.【考点】6D:分式的化简求值;T5:特殊角的三角函数值.【分析】根据分式的除法和减法可以化简题目中的式子,然后将x的值代入化简后的式子即可解答本题.【解答】解:÷﹣===,当x=4sin60°﹣2=4×=﹣2时,原式=.22.如图,方格纸中每个小正方形的边长均为1,线段AB的两个端点均在小正方形的顶点上.(1)在图中画出以AB为底、面积为12的等腰△ABC,且点C在小正方形的顶点上;(2)在图中画出平行四边形ABDE,且点D和点E均在小正方形的顶点上,tan ∠EAB=,连接CD,请直接写出线段CD的长.【考点】N4:作图—应用与设计作图;KQ:勾股定理;L6:平行四边形的判定;T7:解直角三角形.【分析】(1)因为AB为底、面积为12的等腰△ABC,所以高为4,点C在线段AB的垂直平分线上,由此即可画出图形;(2)扇形根据tan∠EAB=的值确定点E的位置,由此即可解决问题,利用勾股定理计算CD的长;【解答】解:(1)△ABC如图所示;(2)平行四边形ABDE如图所示,CD==.23.随着社会经济的发展和城市周边交通状况的改善,旅游已成为人们的一种生活时尚,洪祥中学开展以“我最喜欢的风景区”为主题的调查活动,围绕“在松峰山、太阳岛、二龙山和凤凰山四个风景区中,你最喜欢哪一个?(必选且只选一个)”的问题,在全校围随机抽取了部分学生进行问卷调查,将调查结果整理后绘制成如图所示的不完整的统计图,请你根据图中提供的信息回答下列问题:(1)本次调查共抽取了多少名学生?(2)通过计算补全条形统计图;(3)若洪祥中学共有1350名学生,请你估计最喜欢太阳岛风景区的学生有多少名.【考点】VC:条形统计图;V5:用样本估计总体;VB:扇形统计图.【分析】(1)根据条形统计图与扇形统计图求出总人数即可;(2)根据题意作出图形即可;(3)根据题意列出算式,计算即可得到结果.【解答】解:(1)10÷20%=50(名),答:本次调查共抽取了50名学生;(2)50﹣10﹣20﹣12=8(名),补全条形统计图如图所示,(3)1350×=540(名),答:估计最喜欢太阳岛风景区的学生有540名.24.已知:△ACB和△DCE都是等腰直角三角形,∠ACB=∠DCE=90°,连接AE,BD交于点O,AE与DC交于点M,BD与AC交于点N.(1)如图1,求证:AE=BD;(2)如图2,若AC=DC,在不添加任何辅助线的情况下,请直接写出图2中四对全等的直角三角形.【考点】KD:全等三角形的判定与性质;KW:等腰直角三角形.【分析】(1)根据全等三角形的性质即可求证△ACE≌△BCD,从而可知AE=BD;(2)根据条件即可判断图中的全等直角三角形;【解答】解:(1)∵△ACB和△DCE都是等腰直角三角形,∠ACB=∠DCE=90°,∴AC=BC,DC=EC,∴∠ACB+∠ACD=∠DCE+∠ACD,∴∠BCD=∠ACE,在△ACE与△BCD中,∴△ACE≌△BCD(SAS),∴AE=BD,(2)∵AC=DC,∴AC=CD=EC=CB,△ACB≌△DCE(SAS);由(1)可知:∠AEC=∠BDC,∠EAC=∠DBC∴∠DOM=90°,∵∠AEC=∠CAE=∠CBD,∴△EMC≌△BCN(ASA),∴CM=CN,∴DM=AN,△AON≌△DOM(AAS),∵DE=AB,AO=DO,∴△AOB≌△DOE(HL)25.威丽商场销售A,B两种商品,售出1件A种商品和4件B种商品所得利润为600元,售出3件A种商品和5件B种商品所得利润为1100元.(1)求每件A种商品和每件B种商品售出后所得利润分别为多少元;(2)由于需求量大,A、B两种商品很快售完,威丽商场决定再一次购进A、B 两种商品共34件.如果将这34件商品全部售完后所得利润不低于4000元,那么威丽商场至少需购进多少件A种商品?【考点】C9:一元一次不等式的应用;9A:二元一次方程组的应用.【分析】(1)设A种商品售出后所得利润为x元,B种商品售出后所得利润为y 元.由售出1件A种商品和4件B种商品所得利润为600元,售出3件A种商品和5件B种商品所得利润为1100元建立两个方程,构成方程组求出其解就可以;(2)设购进A种商品a件,则购进B种商品(34﹣a)件.根据获得的利润不低于4000元,建立不等式求出其解就可以了.【解答】解:(1)设A种商品售出后所得利润为x元,B种商品售出后所得利润为y元.由题意,得,解得:答:A种商品售出后所得利润为200元,B种商品售出后所得利润为100元.(2)设购进A种商品a件,则购进B种商品(34﹣a)件.由题意,得200a+100(34﹣a)≥4000,解得:a≥6答:威丽商场至少需购进6件A种商品.26.已知:AB是⊙O的弦,点C是的中点,连接OB、OC,OC交AB于点D.(1)如图1,求证:AD=BD;(2)如图2,过点B作⊙O的切线交OC的延长线于点M,点P是上一点,连接AP、BP,求证:∠APB﹣∠OMB=90°;(3)如图3,在(2)的条件下,连接DP、MP,延长MP交⊙O于点Q,若MQ=6DP,sin∠ABO=,求的值.【考点】MR:圆的综合题.【分析】(1)如图1,连接OA,利用垂径定理和圆周角定理可得结论;(2)如图2,延长BO交⊙O于点T,连接PT,由圆周角定理可得∠BPT=90°,易得∠APT=∠APB﹣∠BPT=∠APB﹣90°,利用切线的性质定理和垂径定理可得∠ABO=∠OMB,等量代换可得∠ABO=∠APT,易得结论;(3)如图3,连接MA,利用垂直平分线的性质可得MA=MB,易得∠MAB=∠MBA,作∠PMG=∠AMB,在射线MG上截取MN=MP,连接PN,BN,易得△APM≌△BNM,由全等三角形的性质可得AP=BN,∠MAP=∠MBN,延长PD至点K,使DK=DP,连接AK、BK,易得四边形APBK是平行四边形,由平行四边形的性质和平行线的性质可得∠PAB=∠ABK,∠APB+∠PBK=180°,由(2)得∠APB﹣(90°﹣∠MBA)=90°,易得∠NBP=∠KBP,可得△PBN≌△PBK,PN=2PH,利用三角函数的定义可得sin ∠PMH=,sin∠ABO=,设DP=3a,则PM=5a,可得结果.【解答】(1)证明:如图1,连接OA,∵C是的中点,∴,∴∠AOC=∠BOC,∵OA=OB,∴OD⊥AB,AD=BD;(2)证明:如图2,延长BO交⊙O于点T,连接PT ∵BT是⊙O的直径∴∠BPT=90°,∴∠APT=∠APB﹣∠BPT=∠APB﹣90°,∵BM是⊙O的切线,∴OB⊥BM,又∠OBA+∠MBA=90°,∴∠ABO=∠OMB又∠ABO=∠APT∴∠APB﹣90°=∠OMB,∴∠APB﹣∠OMB=90°;(3)解:如图3,连接MA,∵MO垂直平分AB,∴MA=MB,∴∠MAB=∠MBA,作∠PMG=∠AMB,在射线MG上截取MN=MP,连接PN,BN,则∠AMP=∠BMN,∴△APM≌△BNM,∴AP=BN,∠MAP=∠MBN,延长PD至点K,使DK=DP,连接AK、BK,∴四边形APBK是平行四边形;AP∥BK,∴∠PAB=∠ABK,∠APB+∠PBK=180°,由(2)得∠APB﹣(90°﹣∠MBA)=90°,∴∠APB+∠MBA=180°∴∠PBK=∠MBA,∴∠MBP=∠ABK=∠PAB,∴∠MAP=∠PBA=∠MBN,∴∠NBP=∠KBP,∵PB=PB,∴△PBN≌△PBK,∴PN=PK=2PD,过点M作MH⊥PN于点H,∴PN=2PH,∴PH=DP,∠PMH=∠ABO,∵sin∠PMH=,sin∠ABO=,∴,∴,设DP=3a,则PM=5a,∴MQ=6DP=18a,∴.27.如图,在平面直角坐标系中,点O为坐标原点,抛物线y=x2+bx+c交x轴于A、B两点,交y轴于点C,直线y=x﹣3经过B、C两点.(1)求抛物线的解析式;(2)过点C作直线CD⊥y轴交抛物线于另一点D,点P是直线CD下方抛物线上的一个动点,且在抛物线对称轴的右侧,过点P作PE⊥x轴于点E,PE交CD于点F,交BC于点M,连接AC,过点M作MN⊥AC于点N,设点P的横坐标为t,线段MN的长为d,求d与t之间的函数关系式(不要求写出自变量t的取值围);(3)在(2)的条件下,连接PC,过点B作BQ⊥PC于点Q(点Q在线段PC上),BQ交CD于点T,连接OQ交CD于点S,当ST=TD时,求线段MN的长.【考点】HF:二次函数综合题.【分析】(1)首先求出点B、C的坐标,然后利用待定系数法求出抛物线的解析式;(2)根据S△ABC=S△AMC+S△AMB,由三角形面积公式可求y与m之间的函数关系式;(3)如图2,由抛物线对称性可得D(2,﹣3),过点B作BK⊥CD交直线CD 于点K,可得四边形OCKB为正方形,过点O作OH⊥PC交PC延长线于点H,OR ⊥BQ交BQ于点I交BK于点R,可得四边形OHQI为矩形,可证△OBQ≌△OCH,△OSR≌△OGR,得到tan∠QCT=tan∠TBK,设ST=TD=m,可得SK=2m+1,CS=2﹣2m,TK=m+1=BR,SR=3﹣m,RK=2﹣m,在Rt△SKR中,根据勾股定理求得m,可得tan∠PCD=,过点P作PE′⊥x轴于E′交CD于点F′,得到P(t,﹣ t ﹣3),可得﹣t﹣3=t2﹣2t﹣3,求得t,再根据MN=d求解即可.【解答】解:(1)∵直线y=x﹣3经过B、C两点,∴B(3,0),C(0,﹣3),∵y=x2+bx+c经过B、C两点,∴,解得,故抛物线的解析式为y=x2﹣2x﹣3;(2)如图1,y=x2﹣2x﹣3,y=0时,x2﹣2x﹣3=0,解得x1=﹣1,x2=3,∴A(﹣1,0),∴OA=1,OB=OC=3,∴∠ABC=45°,AC=,AB=4,∵PE⊥x轴,∴∠EMB=∠EBM=45°,∵点P的横坐标为1,∴EM=EB=3﹣t,连结AM,∵S△ABC=S△AMC+S△AMB,∴AB•OC=AC•MN+AB•EM,∴×4×3=×d+×4(3﹣t),∴d=t;(3)如图2,∵y=x2﹣2x﹣3=(x﹣1)2﹣4,∴对称轴为x=1,∴由抛物线对称性可得D(2,﹣3),∴CD=2,过点B作BK⊥CD交直线CD于点K,∴四边形OCKB为正方形,∴∠OBK=90°,CK=OB=BK=3,∴DK=1,∵BQ⊥CP,∴∠CQB=90°,过点O作OH⊥PC交PC延长线于点H,OR⊥BQ交BQ于点I交BK于点R,∴∠OHC=∠OIQ=∠OIB=90°,∴四边形OHQI为矩形,∵∠OCQ+∠OBQ=180°,∴∠OBQ=∠OCH,∴△OBQ≌△OCH,∴QG=OS,∠GOB=∠SOC,∴∠SOG=90°,∴∠ROG=45°,∵OR=OR,∴△OSR≌△OGR,∴SR=GR,∴SR=CS+BR,∵∠BOR+∠OBI=90°,∠IBO+∠TBK=90°,∴∠BOR=∠TBK,∴tan∠BOR=tan∠TBK,∴=,∴BR=TK,∵∠CTQ=∠BTK,∴∠QCT=∠TBK,∴tan∠QCT=tan∠TBK,设ST=TD=m,∴SK=2m+1,CS=2﹣2m,TK=m+1=BR,SR=3﹣m,RK=2﹣m,在Rt△SKR中,∵SK2+RK2=SR2,∴(2m+1)2+(2﹣m)2=(3﹣m)2,解得m1=﹣2(舍去),m2=;∴ST=TD=,TK=,∴tan∠TBK==÷3=,∴tan∠PCD=,过点P作PE′⊥x轴于E′交CD于点F′,∵CF′=OE′=t,∴PF′=t,∴PE′=t+3,∴P(t,﹣ t﹣3),∴﹣t﹣3=t2﹣2t﹣3,解得t1=0(舍去),t2=.∴MN=d=t=×=.2017年7月5日。
2017年哈师大附中学业水平考试数学试卷(理科)考试时间:120分钟满分:150分第Ⅰ卷(选择题共60分)一.选择题:(本题共12小题,每小题5分,共60分,在每小题给出的四个选项中,只有一项是正确的)1. 已知椭圆上的一点到椭圆一个焦点的距离为,则到另一焦点距离为()A. B. C. D.【答案】D【解析】试题分析:椭圆上的点到两个焦点距离之和等于,所以到另一个焦点的距离为.考点:椭圆定义.2. 抛物线的焦点坐标为()A. B. C. D.【答案】C【解析】由已知可得焦点为,故选C.3. 双曲线的渐近线方程是()A. B. C. D.【答案】B【解析】令渐近线方程为,故选B.4. 已知双曲线的离心率为,则的值为()A. B. C. D.【答案】B.....................5. 已知是椭圆上一点,是其左、右焦点,若,则的面积为()A. B. C. D.【答案】C【解析】由已知可得,故选C.6. 设直线过点,且与圆相切,则的斜率是()A. B. C. D.【答案】D【解析】设直线l的斜率为k,则直线l的方程为y=k(x+2),因为直线l与圆相切,所以,解之得.7. 已知抛物线:,过点的直线交抛物线于,若为坐标原点,则直线的斜率之积为()A. B. C. D.【答案】A【解析】显然直线的斜率存在,设其方程为,由,故选A.8. 如果满足约束条件,则的最大值是()A. B. C. D.【答案】C【解析】由上图可得作直线,将移至点得最大值,由,故选C.利用线性规划求最值,一般用图解法求解,其步骤是:1.在坐标系中作出可行域;2.根据目标函数的几何意义,将目标函数进行变形;3. 确定最优解:在可行域内平行移动目标函数变形后的直线,从面确定最优解;4.求最值:将最解代入目标函数即可求最大值与最小值.9. 过双曲线的一个焦点作垂直于实轴的弦,是另一焦点,若∠,则双曲线的离心率等于()A. B. C. D.【答案】B【解析】由已知可得,故选B.10. 过抛物线的焦点作两条互相垂直的弦,则()A. B. C. D.【答案】D【解析】不妨设,直线,由,同理可得,故选D.11. 已知抛物线:的焦点为,准线为,是上一点,是直线与的一个交点,若,则()A. B. C. 3 D. 2【答案】A【解析】由可得直线的倾斜角为或,故选A.12. 已知抛物线:,点为抛物线上任意一点,过点向圆作切线,切点分别为,则四边形面积的最小值为()A. B. C. D.【答案】B,故选B.【点睛】解答本题的关键步骤是:1.确定圆的标准方程;2.根据两点距离公式求出;3.根据直角三角形三边关系求出;4..根据四边形面积公式求出.第Ⅱ卷(非选择题共90分)二.填空题:(本题共4小题,每小题5分,共20分)13. 双曲线的实轴长为 ____________.【答案】4【解析】由已知可得实轴长为 .14. 已知双曲线:,若直线交该双曲线于两点,且线段的中点为点,则直线的斜率为 ____________.【答案】【解析】设,则.【点睛】本题采用的是点差法求直线低斜率,即设出弦的两个端点的坐标,这两个端点的坐标满足双曲线方程,把这两个端点坐标代入到双曲线方程,将所得的两个式子作差.15. 已知,是椭圆和双曲线的公共焦点,是它们的一个公共点,且,椭圆的离心率为,双曲线的离心率,则___________.【解析】设椭圆方程为,双曲线方程为,点为第一象限内的交点,令,则,解得。
2017年辽宁省普通高中学生学业水平考试·真题数 学(本试卷分第Ⅰ卷和第Ⅱ卷两部分,满分100分,考试时间90分钟)一、 选择题:本大题共12小题,每小题3分,共36分。
在每小题给出的四个选项中,只有一项是符合题目要求的。
1.已知集合{1,2}M =,{2,3}N =,则M N = ( )A .{1,2,3} B.{1,3} C.{2} D.φ2.3sin 4π= ( )A.0B.12 C. D. 13.下列函数为奇函数的是 ( )A.y x =-B.cos y x =C. 23y x = D.||y x =4.如图,两个同心圆的半径分别为1和2,若向图中随机掷一粒豆子,则豆子落 在阴影部分的概率为 ( ) A. 14 B. 12 C. 23 D. 345.在ABC ∆中,,,A B C ∠∠∠所对的边分别为,,a b c ,其中,3a =,5c =, 4cos 5A =,则b = ( )A .3B .4C .5D .66.已知函数,0()2,0x a x x f x x -≥⎧=⎨<⎩有零点,则实数a 的取值范围是 ( )A .0a <B .0a ≤C .0a >D .0a ≥7.如图,网格纸上小正方形的边长是1,在其上用粗实线画出的是某空间几何体的三视图(其中主视图、左视图、俯视图都是等腰直角三角形),则该空间几何体的体积为( )。
A.92 B. 9 C. 272 D. 278.已知函数2()43f x x x =++,则()f x 在[3,1]-上的最大值为( )。
A.9B. 8C.3D. 1-9.如图,DE 是ABC ∆的中位线,F 是DE 的中点,设AB =a ,AC =b ,则AF =( ) A.1122+a b B. 1122-+a b C. 1142+a b D. 1142-+a b 10.已知变量,x y 满足约束条件2020220x y x y +≥⎧⎪-≤⎨⎪--≤⎩,则2z x y =+的最小值为( )。
哈尔滨市第六中学2016—2017学年度下学期期末考试高二下理科数学试题考试时间:120分钟 满分:150分一、选择题:本大题共12小题,每小题5分,共60分. 1.设集合{}2430A x x x =-+< ,=B {}230x x ->,则A B = ( )A .33,2⎛⎫--⎪⎝⎭ B .33,2⎛⎫- ⎪⎝⎭ C .31,2⎛⎫ ⎪⎝⎭D .3,32⎛⎫⎪⎝⎭2.已知i 是虚数单位,则ii+--124=( ) A .i +3 B .i --3 C .i +-3 D .i -3 3.已知2(1)f x x -=,则()f x 的解析式为( ) A .2()21f x x x =+- B .2()21f x x x =-+C .2()21f x x x =++D .2()21f x x x =--4.设()f x 是定义在R 上的奇函数,当0x ≥时, 2()2f x x x =-,则()f -1=( ) A .3- B .-1 C .1 D .3 5.已知“k x >”是“113<+x ”的充分不必要条件,则k 的取值范围是( ) A .[)∞+,2 B .[)∞+,1 C .()+∞,2 D .(]1,-∞- 6.设6.05.16.05.1,6.0,6.0===c b a ,则c b a ,,的大小关系是( )A .c b a <<B .b c a <<C .c a b <<D .a c b << 7.2321(2)x x+-展开式中的常数项为( ) A .8- B .12- C .20- D .20 8.下列四个结论中正确的个数是( ) ①若q p ∧为假命题,则q p ,均为假命题;②命题:“1sin ,≤∈∀x R x ”的否定是 “1sin ,00>∈∃x R x ”; ③“若,4π=x 则1tan =x ”的逆命题为真命题;④若)(x f 是R 上的奇函数,则0)3(log )2(log 23=+f fA .1B .2C .3D .49.函数xx xy -+=222sin 的图象大致为( )10.如图,ABC ∆中的阴影部分是由曲线2y x =与直线20x y -+=所围成,向ABC ∆内随机投掷一点,则该点落在阴影部分的概率为( )A .732B .932C .716D .91611.函数)(x f 的图象与()12xg x ⎛⎫= ⎪⎝⎭的图象关于直线y x =对称,则()22f x x -的单调减区间为 ( ) A .(),1-∞B .[)1,+∞C .()0,1D .[]1,212.已知函数x x x f πsin )(+=,则=++++)20174033()20173()20172()20171(f f f f ( )A .4033B .4033-C .4034D .4034- 二、填空题:本大题共4小题,每小题5分,共20分. 13.函数21)(--=x x x f 的定义域为_______________ 14.设X 为随机变量,若~X 1(6,)2N ,当(2)(5)P X a P X <-=>时,a 的值为______15.若不等式012≥++tx x 对于一切1(0,)2x ∈成立,则t 的取值范围是16.函数⎩⎨⎧>≤+=)0(,log )0(,1)(2x x x x x f ,则函数1)]([-=x f f y 的零点个数是三、解答题:本大题共6小题,共70分,解答时写出必要的文字说明,证明过程或解题步骤.17.(本小题满分10分)在平面直角坐标系中,曲线C 的参数方程为)(sin cos 5为参数ααα⎩⎨⎧==y x .以坐标原点O 为极点,x 轴正半轴为极轴建立极坐标系,直线l 的极坐标方程为2)4cos(=+πθρ.l 与C 交于B A ,两点.(Ⅰ)求曲线C 的普通方程及直线l 的直角坐标方程; (Ⅱ)设点)2,0(-P ,求|PB ||PA |+的值.18.(本小题满分12分)已知函数)21)(4()(2--=x x x f . (1)求函数()f x 的单调性;(2)求函数()f x 在[]2,2-上的最大值和最小值.19.(本小题满分12分)某校高一某班的一次数学测试成绩的茎叶图和频率分布直方图因故都受到不同程度的损坏,但可见部分如下,据此解答如下问题:(Ⅰ)求分数在[)60,50的频率及全班人数;(Ⅱ)求分数在[)90,80之间的频数,并计算频率分布直方图中[)90,80间的矩形的高; (Ⅲ)若规定:75(包含75分)分以上为良好,90分(包含90分)以上为优秀,要从分数在良好以上的试卷中任取两份分析学生失分情况,设在抽取的试卷中,分数为优秀的试卷份数为X ,求X 的概率分布列及数学期望.20.(本小题满分12分)如图,底面为正方形的直四棱柱1111D C B A ABCD -中,421==AB AA ,点E 在1CC 上,且EC E C 31=.(1)证明:⊥C A 1平面BED ;(2)求二面角B DE A --1的余弦值.21.(本小题满分12分)已知函数2()(1)ln f x a x x =--. (1)若()y f x =在2x =处的切线与y 垂直,求a 的值; (2)若()0f x ≥在[1,)+∞上恒成立,求a 的取值范围;22.(本小题满分12分)如图,过顶点在原点O ,对称轴为y 轴的抛物线E 上的定点(2,1)A 作斜率分别为12,k k 的直线,分别交抛物线E 于,B C 两点.(1)求抛物线E 的标准方程和准线方程;(2)若1212k k k k +=,且ABC ∆的面积为,求直线BC 的方程.1-5DBCBA 6-10CCAAD 11-12CA2:-=x y l ....5分理得:........8分......10分18.解:(1)在[]4,1,,3⎡⎤-∞-+∞⎢⎥⎣⎦上单调递增;在41,3⎛⎫- ⎪⎝⎭上单调递减.........6分 (2)()()max min 950,227f x f x ==-.....12分(列表2分) 19.解:(Ⅰ)由频率分布直方图得分数在[50,60)的频率为0.008×10=0.08,....1分 由茎叶图得分类在[50,60)的人数为2人, ∴全班人数为:2508.02= 人.....3分 (Ⅱ)由茎叶图得分数在[80,90)之间的频数为:25﹣2﹣7﹣10﹣2=4人, ∵成绩为[80,90)间的频数为4,∴频率分布直方图中[80,90)间矩形的高为:016.010254=⨯.....6分(Ⅲ)由已知得的可能取值为0,1,2,由茎叶图知分数在良好以上有11人,其中分数为优秀有2人, ∴P (=0)==,P (=1)= = ,P (=2)= = ,....9分∴的分布列为:E ()==...12分20. 解:以D 为坐标原点,射线DA 为轴的正半轴,建立如图所示的空间直角坐标系D -y . 依题设知B (2,2,0),C (0,2,0),E (0,2,1),A 1(2,0,4). 则DE =(0,2,1),DB =(2, 2,0),1AC =(-2,2,-4),1DA =(2,0,4)......3分(1)证明:∵1AC ·DB =0,1AC ·DE =0, ∴A 1C ⊥BD ,A 1C ⊥DE . 又DB ∩DE =D , ∴A 1C ⊥平面DBE ..........6分(2)设向量n =(,y ,)是平面DA 1E 的法向量,则n ⊥DE 、n ⊥1DA . ∴2y +=0,2+4=0.令y =1,则=-2,=4,∴n =(4,1,-2)......8分 ∴cos 〈n ,1AC 〉=1114AC AC ⋅=n n ......10分 ∴二面角A 1-DE -B 的余弦值为42....12分 21.(1)81;(2)21≥a ; 解析:(1)∵()f x 的定义域为(0,)+∞,1'()2f x ax x =-,∴'(2)0f =,即18a =.....4分(2)∵1'()2f x ax x=-, ①当0a ≤时,'()0f x <,∴()f x 在[1,)+∞上单调递减,∴当1x >时,()(1)0f x f <=矛盾.②当0a >时,221'()ax f xx-=,令'()0f x >,得x >;'()0f x <,得x <<. (i )当1>,即102a <<时,)x ∈时,'()0f x <,即()f x 递减,∴()(1)0f x f <=矛盾.(ii )当1≤,即12a ≥时,[1,)x ∈+∞时,'()0f x >,即()f x 递增,∴()(1)0f x f ≥=满足题意.综上12a ≥........8分 22.解:由0∆>得3k >或1k <-.又12|||BC x x =-=,点(2,1)A 到直线BC 的距离d =1||21|2ABC S BC d k m ∆==-+= 又23m k =--,∴2280k k --=,解得4k =或2k =-,都满足0∆>. 当4k =时,24311m =-⨯-=-,则直线BC 的方程为:411y x =-;当2k =-时,(2)(2)31m =-⨯--=,则直线BC 的方程为:21y x =-+.。
高中数学学业水平考试试题(满分:100 时量:120分钟)一、选择题:本大题共20小题,每小题2分,共40分。
在每小题给出的四个选项中,只有一项符合题目要求。
1、如果集合{}1->=x x P ,那么A .P ⊆0B .{}P ∈0C .P ∈∅D .{}P ⊆02、65cosπ的值等于 A .23 B .23- C .21 D .21- 3、数列0,0,0,0…,0,…A .是等差数列但不是等比数列B .是等比数列但不是等差数列C .既是等差数列又是等比数列D .既不是等差数列又不是等比数列4、下列函数中与y=x 是同一个函数的是A .2)(x y = B .xx y 2= C .33x y = D .2x y =5、点(0,5)到直线y=2x 的距离是A .25B .5C .23D .256、直线x+2y+3=0的斜率和在y 轴上的截距分别是 A .21-和-3 B .21和-3 C .21-和23 D .21-和23-7、已知下列四个命题①垂直于同一条直线的两条直线平行 ②垂直于同一条直线的两个平面平行③垂直于同一条直线的一条直线和一个平面平行 ④垂直于同一平面的两条直线平行其中真命题有A .1个B .2个C .3个D .4个8、若x f x=)10(,则f (3)等于 A .lg3 B .log 310 C .103 D .3109、函数x y -=112的值域为 A .{}0>y y B .{}10≠>y y y 且C .RD .{}0≠∈y R y y 且10、在右图的正方体中,M 、N 分别为棱BC 和棱CC 1的中点,则异面直线AC 和MN 所成的角为 A .30° B .45°C .60°D .90°11、满足a=4,b=3和A=45°的△ABC 的个数为 A .0个 B .1个 C .2个 D .无穷多个12、若log 2a+log 2b=6,则a+b 的最小值为 A .62 B .6 C .28 D .1613、关于x 的方程ax 2+2x+1=0至少有一个负的实根的充要条件是 A .0≤a ≤1 B .a ≤1 C .a <1 D .a ≤1且a ≠014、83)x12x (-的展开式中的常数项为A .–28B .–7C .7D .2815、平行于底面的平面截棱锥所得截面的面积与底面面积之比为1:2,则此截面把侧棱分成的两线段的长度比为A .1:2B .1:2C .)12(-:1D .1:416、点A 分有向线段所成的比为21-,则点B 分有向线段所成的比为A .21 B .2 C .1 D .–117、将函数)6x 21cos(y π+=的图象经过怎样的平移,可以得到函数x 21cos y =的图象A .向左平移6π个单位 B .向左平移3π个单位C .向右平移3π个单位D .向左平移12π个单位 18、若不等式02<++b ax x 的解为1<x <2,则不等式ax 2+bx+1<0的解为 A .1<x <3B .x >1或x <–31 C .–31<x <1 D .x <–1或x >31 19、四个不同的小球放入编号为1,2,3,4的四个盒子中,则恰有一个空盒的放法种数为 A .144B .24C .36D .12020、圆心在曲线x 2=2y(x>0)上,并且与抛物线x 2=2y 的准线及y 轴都相切的圆的方程是A .041y 2x y x 22=---+ B .01222=+-++y x y xC .01222=+--+y x y xD .041y x 2y x 22=+--+二、填空题:本大题共5小题,每小题3分,共15分,把答案填在题中横线上。
地理月考答案一、单项选择题(1分/题)l. D 2. B 3. D 4. A 5. B 6. C 7. A 8. C 9. C 10. D 11.D 12.B 13.A 14.D 15.B 16.C 17.A 18.D 19.D 20.A 21.B 22.B 23.D 24.C 25.A 26.D 27 C 28 D 29 B 30 D(2分/题)31.B 32.A 33.D 34 C 35 D 36 B 37 D38.A 39.A 40.C二、简答题(1)赤道低气压带终年高温多雨(2分)(2)东北信风带(1分)(3)夏东南风(2分)(4)地中海气候(1分)夏季受副热带高气压带控制,冬季受西风带控制。
(2分);(5)由各道向两极(或纬度) 热量(2分)42. (1)图略。
(3 分)(2)蒸发水汽输送地表径流(3分)(3)陆地内循环海上内循环(2分) (4)F(1 分)(5)C(1 分)43. (1)水源充足水运便利(2分)(2)中心城市面积扩大、城市规模扩大、卫星城数目增多、城市人口增加。
(3分),(3)环境污染、住房紧张、交通拥挤等。
(3分,其他答案合理亦可)(4)卫星城市新(2分)44.(1)小麦平地(2分)(2)蔬菜河流市场(城镇)(3分)(3)乳牛公路市场(城镇)(3分)(4)水果丘陵(2分)45. (1)减少(1分)(2)维持生物多样性调蓄洪水涵养水源调节气候(3分,答对三点即可,其他答案合理亦可)(3)围湖造田水资源不合理利用植被破坏(2 分,答对两点即可,其他答案合理亦可)、(4)减少减小(2分)(5)退田还湖搞好水土保持防治污染(2分,答对两点即可,其他答案合理亦可)。
2017年哈师大附中学业水平考试数学试卷 (理科)考试时间:120分钟 满分:150分第Ⅰ卷 (选择题 共60分)一.选择题:(本题共12小题,每小题5分,共60分,在每小题给出的四个选项中,只有一项是正确的)1. 已知椭圆1162522=+y x 上的一点P 到椭圆一个焦点的距离为3,则P 到另一焦点距离为( )A. 2B.3C.5D.72.抛物线220x y =的焦点坐标为( )A. ()5,0-B. ()5,0C.()05,D.()0,5- 3.双曲线4422=-y x 的渐近线方程是( )A. x y 2±=B. x y 21±= C. x y 4±= D. x y 41±=4. 已知双曲线222211x y a a-=-()01a <<a 的值为( )A.12B.2C.135.已知P 是椭圆22184x y +=上一点,1F 2,F 是其左、右焦点,若1260F PF ∠=,则12PF F ∆的面积为( )A. 35B. 34C.334 D. 335 6.设直线l 过点)0,2(-,且与圆122=+y x 相切,则l 的斜率是( )A.3±B.1±C.21±D.33±7.已知抛物线C :22x y =,过点(0,2)M 的直线交抛物线C 于,A B ,若O 为坐标原点,则直线,OA OB 的斜率之积为( )A .1-B . 0C .1D .2-8.如果y x ,满足约束条件⎪⎩⎪⎨⎧≤-≤-+≥+-020201y x y x y x ,则y x z +=2的最大值是( )A .5-B .52C .103D .5 9.过双曲线的一个焦点2F 作垂直于实轴的弦PQ ,1F 是另一焦点,若∠21π=Q PF ,则双曲线的离心率等于( )A.2B.12+C.22+10.过抛物线24y x =的焦点作两条互相垂直的弦AB CD 、,则11AB CD+=( ) A.2B.1C.12D. 1411.已知抛物线C :28y x =的焦点为F ,准线为l ,P 是l 上一点,Q 是直线PF 与C 的一个交点,若3FP FQ =,则||QF =( ) A.83B.52C.3D. 2 12.已知抛物线C :210y x =,点P 为抛物线C 上任意一点,过点P 向圆22:12350D x y x +-+=作切线,切点分别为,A B ,则四边形PADB 面积的最小值为( ) A.D第Ⅱ卷 (非选择题 共90分)二.填空题:(本题共4小题,每小题5分,共20分)13.双曲线221416x y -=的实轴长为. 14.已知双曲线:22154x y -=,若直线l 交该双曲线于,P Q 两点,且线段PQ 的中点为点(1,1)A ,则直线l 的斜率为.15.已知1F ,2F 是椭圆和双曲线的公共焦点,P 是它们的一个公共点,且321π=∠PF F ,椭圆的离心率为1e ,双曲线的离心率2e ,则=+222131e e .16. 已知椭圆C :2211612x y +=,点M 与C 的焦点不重合,若M 关于C 的两焦点的对称点分别为P ,Q ,线段MN 的中点在C 上,则||||PN QN +=.三.解答题:(本题共6小题,共70分,解答题应写出文字说明证明过程或演算步骤) 17.(本小题满分10分)已知圆C经过点(2,0),(1A B 且圆心C 在直线y x =上. (Ⅰ)求圆C 的方程;(Ⅱ)过点13(,的直线l 截圆C所得弦长为,求直线l 的方程.18.(本小题满分12分)如图,三棱柱111ABC A B C -中,侧棱垂直于底面,90ACB ∠=,112AC BC AA ==,D 是棱1AA 的中点. (Ⅰ)证明:平面1BDC ⊥平面BDC ;(Ⅱ)求异面直线DC 与1BC 所成角的余弦值. 19.(本小题满分12分)已知椭圆2222:1(0)x y C a b a b +=>>的离心率为12,椭圆的短轴端点与双曲线2212y x -=的焦点重合,过点(4,0)P 且不垂直于x 轴的直线l 与椭圆C 相交于,A B 两点. (Ⅰ)求椭圆C 的方程; (Ⅱ)求OA OB ⋅的取值范围.B 1 CBADC 1A 1PDBCAEF20.(本小题满分12分)如图,四棱锥P ABCD -的底面是边长为1的正方形,PA ⊥底面ABCD ,,E F 分别为,AB PC 的中点.(Ⅰ)求证:EF //平面PAD ;(Ⅱ)若2PA =,试问在线段EF 上是否存在点Q ,使得二面角 Q AP D --Q 的位置;若不存在,请说明理由.21.(本小题满分12分)已知椭圆22221(0)x y a b a b+=>>的左、右焦点分别为21,F F ,短轴两个端点为,,A B 且四边形12F AF B 是边长为2的正方形.(Ⅰ)求椭圆的方程;(Ⅱ)若,C D 分别是椭圆长轴的左、右端点,动点M 满足MD CD ⊥,连接CM ,交椭圆于点P .证明:OM OP 为定值.22.(本小题满分12分)如图,抛物线1C :px y 22=与椭圆2C :1121622=+y x 在第一象限的交点为B ,O 为坐标原点,A 为椭圆的右顶点,OAB ∆的面积为368. (Ⅰ)求抛物线1C 的方程;(Ⅱ)过A 点作直线l 交1C 于C 、D 两点,射线OC 、OD 分别交2C 于E 、F 两点,记OEF ∆和OCD ∆的面积分别为1S 和2S ,问是否存在直线l ,使得77:3:21=S S ?若存在,求出直线l 的方程;若不存在,请说明理由.2017年哈师大附中学业水平考试数学答案 (理科)一.选择题1-6 DCBBCD 7-12 ACBDAB 二.填空题 13.4 14. 4515.4 16.16 三.解答题17.(Ⅰ)设圆心 错误!未找到引用源。
一、单选题:本题共12小题,每小题5分,共60分。
在每小题给出的选项中,只有一项是符合题目要求的。
1.已知集合,,,则中元素个数为( )A. 2 B. 3C. 4D. 52.已知命题,则为( )A. B. 2023-2024学年黑龙江省普通高中学业水平合格性考试数学模拟试卷一C.D. 3.已知复数z 满足,则( )A. 2 B. C. 5 D. 104.若,则( )A.B.C.D. 5.已知a ,b ,且,则下列不等式正确的是( )A.B. C.D. 6.某学校高一、高二、高三年级的学生人数分别为300,200,400,为了了解学生的课业负担情况,该校采用分层抽样的方法,从这三个年级中抽取18名学生进行座谈,则高一、高二、高三年级抽取人数分别是( )A. 6,4,8 B. 6,6,6C. 5,6,7D. 4,6,87.已知,,,则( )A.B. C.D.8.在“冬奥会”闭幕后,某中学社团对本校3000名学生收看比赛情况用随机抽样方式进行调查,样本容量为50,将所有数据分组整理后,绘图如下,以下结论中正确的是( )A. 图中m的数值为26B. 估计该校观看比赛不低于3场的学生约为1380人C. 估计该校学生观看比赛场数的中位数小于平均数D. 样本数据的第90百分位数为59.函数的图象大致为.( )A. B.C. D.10.甲、乙二人的投篮命中率分别为、,若他们二人每人投篮一次,则至少一人命中的概率为( )A. B. C. D.11.设l、m是不同的直线,、是不同的平面,下列命题中的真命题为( )A. 若,,,则B. 若,,,则C. 若,,,则D. 若,,,则12.已知,,则( )A. 1B.C.D.二、填空题:本题共4小题,每小题5分,共20分。
13.若,则的取值范围是__________.14.设的内角A,B,C所对的边分别为a,b,c,若,,则__________.15.已知函数若,则__________.16.为摆脱美国政府针对中国高科技企业的封锁,加强自主性,某企业计划加大对芯片研发部的投入.据了解,该企业研发部原有100名技术人员,年人均投入a万元,现把原有技术人员分成两部分:技术人员和研发人员,其中技术人员x名且,调整后研发人员的年人均投入增加,要使这名研发人员的年总投入不低于调整前100名技术人员的年总投入,求调整后的技术人员的人数最多为__________人.三、解答题:本题共4小题,共40分。
齐齐哈尔市2017-2018学年度下学期期末考试高二数学试卷(理科)第Ⅰ卷(共60分)一、选择题:本大题共12个小题,每小题5分,共60分.在每小题给出的四个选项中,只有一项是符合题目要求的.1. 设集合,,则( )A. B. C. D.【答案】B【解析】分析:求出集合B,再找出A和B的交集即可.详解:,又,.故选:B.点睛:此题考查了交集及其运算,熟练掌握交集的定义是解本题的关键.2. 已知复数(为虚数单位),则复数的虚部为( )A. B. C. D.【答案】A【解析】分析:利用复数的除法运算化简为的形式,则即可得到答案.详解:.则复数的虚部为.故选:A.点睛:本题考查了复数代数形式的乘除运算,考查了复数的基本概念,是基础题.3. 函数的零点所在区间为( )A. B. C. D.【答案】B【解析】分析:由零点存在性定理判断即可.详解:,,,由于,得函数在区间内存在零点.故选:B.点睛:零点存在性定理:利用定理不仅要函数在区间上是连续不断的曲线,且f(a)·f(b)<0,还必须结合函数的图象与性质(如单调性、奇偶性)才能确定函数有多少个零点.4. 下列函数中既是奇函数,又在定义域内为减函数的是( )A. B. C. D.【答案】D【解析】分析:运用奇偶性的单调性的定义和常见函数的性质,逐一分析即可.详解:对A,在定义域上没有单调性,故A错误;对B,是偶函数,故B错误;对C,在R上单调递增,故C错误;对D,为奇函数且在R上单调递减,故D正确.故选:D.点睛:本题考查函数的奇偶性和单调性的判断,主要考查定义法和运用常见函数的性质,属于基础题和易错题. 5. 《周髀算经》中有这样一个问题: 从冬至之日起,依次为小寒、大寒、立春、雨水、惊蛰、春分、清明、谷雨、立夏、小满、芒种这十二个节气.其“日影长”依次成等差数列.若已知冬至、立春、春分的“日影长”之和为31.5尺,前九个节气“日影长”之和为85.5尺,则芒种“日影长”为( )A. 1.5尺B. 2.5 尺C. 3.5尺D. 4.5 尺【答案】B【解析】设各节气日影长依次成等差数列,是其前项和,则===85.5,所以=9.5,由题知==31.5,所以=10.5,所以公差=−1,所以==2.5,故选B.6. 已知角的顶点在原点,始边与轴正半轴重合,终边过点,则( )A. B. C. D.【答案】B【解析】分析:利用三角函数的定义求得结果,进而利用两角和的余弦函数公式即可计算得解.详解:由三角函数的定义可得则点睛:本题考查任意角的三角函数的定义,两角和与差的余弦函数公式,考查了计算能力和转化思想,属于基础题.7. 已知,为的导函数,则的图象是( )A. B. C. D.【答案】A【解析】,为奇函数,图象关于原点对称,排除,又,可排除,故选A.【方法点晴】本题通过对多个图象的选择主要考查考查函数的图象与性质,属于中档题. 这类题型也是近年高考常见的命题方向,该题型的特点是综合性较强较强、考查知识点较多,但是并不是无路可循.解答这类题型可以从多方面入手,根据函数的定义域、值域、单调性、奇偶性、特殊点以及时函数图象的变化趋势,利用排除法,将不合题意的选项一一排除.8. 下列四个命题中,真命题的序号是( )①“”是“”的充分不必要条件;②命题,命题,则为真命题;③命题“”的否定是“”;④“若,则”的逆命题是真命题.A. ②③B. ②④C. ①③D. ①④【答案】C【解析】分析:对命题逐一分析即可.详解:对①,,解得或,故“”是“”的充分不必要条件,即①正确;对②,为真命题,为假命题,则为假命题,即②不正确;对③,“”的否定是“”,故③正确;对④,逆命题为若,则,当时不成立,故④不正确.故答案为:①③.点睛:本题考查命题的真假判断、充分必要条件的判断、命题的否定及复合命题的真假,属于基础题和易错题.9. 2018年6月18日,是我国的传统节日“端午节”.这天,小明的妈妈煮了5个粽子,其中两个腊肉馅,三个豆沙馅.小明随机抽取出两个粽子,若已知小明取到的两个粽子为同一种馅,则这两个粽子都为腊肉馅的概率为( )A. B. C. D.【答案】A【解析】分析:设事件=“取到的两个为同一种馅”,事件=“取到的两个都是腊肉馅”,求出,利用,可得结论.详解:设事件=“取到的两个为同一种馅”,事件=“取到的两个都是腊肉馅馅”,由题意,,故选:A.点睛:本题考查条件概率,考查学生的计算能力,正确运用公式是关键.10. 要从甲、乙等8人中选4人在座谈会上发言,若甲、乙都被选中,且他们发言中间恰好间隔一人,那么不同的发言顺序共有( )A. 60种B. 120种C. 240种D. 360种【答案】B【解析】分析:由分类计数原理计算可得答案.详解:发言是甲乙有1,3或2,4两种情况可以选择,甲乙内部进行全排,剩下6人中选2个共有种方法,所以方法总数为种.故选B.点睛:本题考查排列组合的综合应用,考查分类计数原理,属中档题.11. 已知是球的球面上的四个点,平面,,,则该球的表面积为( )A. B. C. D.【答案】D【解析】分析:由题意把扩展为三棱柱如图,求出上下底面中心连线的中点与的距离为球的半径,然后求出球的表面积详解:由题意画出几何体的图形如图,把扩展为三棱柱,上下底面中心连线的中点与的距离为球的半径,是正三角形,所求球的表面积为:故答案为:.点睛:本题考查球的内接体与球的关系,考查空间想象能力,利用割补法结合球内接多面体的几何特征求出球的半径是解题的关键.属于中档题.12. 在区间上任意取两个实数,则函数在区间上且仅有一个零点的概率为( )A. B. C. D.【答案】A【解析】分析:由题意知本题是一个几何概型,根据所给的条件很容易做出试验发生包含的事件对应的面积,而满足条件的事件是函数在区间上且仅有一个零点,求出导函数,看出函数是一个增函数,有零点等价于在自变量区间的两个端点处函数值符号相反,得到条件,做出面积,根据几何概型概率公式得到结果.详解:由题意知本题是一个几何概型,∴是增函数若在有且仅有一个零点,则,即,看作自变量,看作函数,由线性规划内容知全部事件的面积为,满足条件的面积为,∴概率为,故答案为点睛:本题是一个几何概型,一般要通过把试验发生包含的事件同集合结合起来,根据集合对应的图形做出面积,用面积的比值得到结果.第Ⅱ卷(共90分)二、填空题(每题5分,满分20分,将答案填在答题纸上)13. 多项式的展开式中含的项的系数为__________.(用数字做答)【答案】10【解析】分析:在二项展开式的通项公式中,令的幂指数等于7,求出的值,即可求得展开式中含项的系数.详解:二项式展开式的通项公式为令,求得,可得含的项的系数为,故答案为:10.点睛:本题主要考查二项式定理的应用,二项展开式的通项公式,二项式系数的性质,属于基础题.14. 直线与抛物线围成的封闭图形的面积为__________.【答案】【解析】分析:联解方程组,得直线与抛物线交于点A(-3,-6)和B(1,2),因此求出函数3-x2-2x在区间[-3,1]上的定积分值,就等于所求阴影部分的面积,接下来利用积分计算公式和法则进行运算,即可得到本题的答案.详解:由与,解得或1,∴x=-3交于点和,∴两图象围成的阴影部分的面积为:故答案为:.点睛:本题求直线与抛物线围成的阴影部分图形的面积,着重考查了定积分计算公式和定积分的几何意义等知识,属于基础题.15. 某工厂为研究某种产品产量(吨)与所需某种原材料(吨)的相关性,在生产过程中收集4组对应数据()如下表所示:(残差=真实值-预测值)根据表中数据,得出关于的线性回归方程为:.据此计算出在样本处的残差为-0.15,则表中的值为__________.【答案】【解析】分析:据题意计算出在样本处的残差为可得,则在处由线性回归方程必过样本中心点 ,则得到关于的方程,解出即可.详解:据题意计算出在样本处的残差为可得,则在处由题意可知:产量的平均值为由线性回归方程为过样本中心点,则解得:故答案为:4.5.点睛:本题考查线性回归方程的应用,考查线性回归方程必过样本中心点,考查计算能力,属于基础题.16. 已知函数,若直线与曲线相切,则__________.【答案】【解析】分析:设切点的横坐标为,求出导函数,利用直线与曲线相切,转化求解切点横坐标以及的值即可.详解:设切点的横坐标为,则有:,令则在上单调递增,在上单调递减,又因为,所以;点睛:本题考查利用曲线的切线方程求参数的方法,考查转化思想以及计算能力.三、解答题(本大题共6小题,共70分.解答应写出文字说明、证明过程或演算步骤.)17. 某食品公司研发生产一种新的零售食品,从产品中抽取100件作为样本,测量这些产品的一项质量指标值,由测量结果得到如下频率分布直方图:(1)求直方图中的值;(2)根据频率分布直方图估计样本数据的众数、中位数各是多少(结果保留整数);(3)由频率分布直方图可以认为,这种产品的质量指标值服从正态分布,试计算数据落在上的概率.(参考数据:若,则,)【答案】(1)0.033(2)200(3)0.6827【解析】分析:(1)根据频率分布直方图即可求出的值,(2)根据频率分布直方图即可估计样本数据的众数、中位数;,(3)根据正态分布的定义即可求出答案.详解:(1)由已知得,解得;(2)众数=;由前三组频率之和,前四组频率之和为,故中位数位于第四组内,中位数估计为;(3)因为从而点睛:本题考查了频率分布直方图的应用和正态分布,属于基础题.18. 在如图所示的几何体中,四边形是正方形,平面,分别是线段的中点,.(1)证明:平面;(2)设点是线段的中点,求二面角的正弦值.【答案】(1)见解析(2)【解析】分析:(1)取的中点为,连接,证明四边形为平行四边形即可证明平面;(2)以为坐标原点,的方向为轴,轴,轴正方向,建立空间直角坐标系. 利用空间向量求出二面角的余弦值.进而得到正弦值.详解:(1)证明:取的中点为,连接,∵四边形是正方形, 分别是线段的中点,,且,∴且,∴四边形为平行四边形,∴且平面,平面,(2)解:平面,四边形是正方形,两两垂直,以为坐标原点,的方向为轴,轴,轴正方向,建立空间直角坐标系.则.设平面的法向量为,则得可取设平面的法向量为,则得可取所以所以二面角的正弦值为.点睛:本题考查线面平行的证明,考查二面角的正弦值的求法,考查空间中线线、线面、面面间的位置关系等基础知识,考查运算求解能力,考查函数与方程思想,是中档题.19. 随着支付宝、微信等支付方式的上线,越来越多的商业场景可以实现手机支付.有关部门为了了解各年龄段的人使用手机支付的情况,随机调查了50次商业行为,并把调查结果制成下表:(1)若把年龄在的人称为中青年,年龄在的人称为中老年,请根据上表完成以下列联表;并判断是否可以在犯错误的概率不超过0.05的前提下,认为使用手机支付与年龄(中青年、中老年)有关系?(2)若从年龄在的被调查中随机选取2人进行调查,记选中的2人中,使用手机支付的人数为,求的分布列及数学期望.参考公式:,其中.独立性检验临界值表:【答案】(1)不能(2)见解析【解析】分析:(1)根据题意完成列联表,求出,然后进行判断;(2)利用超几何分布可求的分布列及数学期望.详解:(1)2×2列联表如图所示:22 50所以在犯错误的概率不超过的前提下不能认为使用手机支付与年龄(中青年、中老年)有关系.(2)年龄在的被调查者共人,其中使用手机支付的有人,则抽取的人中使用手机支付的人数可能取值为,则;;所以X的分布列为:.点睛:本题考查独立性检验的实际应用,考查利用超几何分布可求的分布列及数学期望.属基础题.20. 已知椭圆的离心率为,右焦点与抛物线的焦点重合,左顶点为,过的直线交椭圆于两点,直线与直线交于两点.(1)求椭圆的方程;(2)试计算是否为定值?若是,请求出该值;若不是,请说明理由.【答案】(1)(2)27【解析】分析:(1)由题意知,右焦点即,且,从而求得,的值,即可求得椭圆的方程;(2)由(1)知,分当直线的斜率不存在与存在两种情况进行讨论即可.详解:(1)解:由题意知,右焦点即,且,解得,所以椭圆方程为(2)解:由(1)知,当直线的斜率不存在时,即直线的方程为,易知,所以直线令,可知:,此时.当直线的斜率存在时,设直线的方程为,设,直线直线令,可知,联立,消去整理得,∴此时综上所述,点睛:解决定点、定值问题常用策略:(1)根据题意求出相关的表达式,再根据已知条件列出方程组(或不等式),消去参数,求出定值或定点坐标.(2)先利用特殊情况确定定值或定点坐标,再从一般情况进行证明验证.21. 已知函数.(1)令为的导函数,求的单调区间;(2)已知函数在处取得极大值,求实数的取值范围.【答案】(1)见解析(2)【解析】试题分析:(1)先求出的解析式,然后求函数的导数,利用函数单调性和导数之间的关系,即可求出的单调区间;(2)分别讨论的取值范围,根据函数极值的定义,进行验证可得结论.试题解析:(1),,则,当时,时,,当时,时,,时,,所以当时,函数单调递增区间为;当时,函数单调递增区间为,单调递减区间为.(5分)(2)由(1)知,.①当时,时,,时,,所以在处取得极小值,不合题意.②当时,,由(1)知在内单调递增,当时,,时,,所以在处取得极小值,不合题意.③当时,即时,在内单调递增,在内单调递减,所以当时,,单调递减,不合题意.④当时,即,当时,,单调递增,当时,,单调递减,所以在处取得极大值,合题意.综上可知,实数的取值范围为.考点:利用导数研究函数的单调性;利用导数研究函数的极值.【方法点晴】本题主要考查了利用导数研究函数的单调性、利用导数研究函数的极值,体现了导数的综合应用,着重考查了函数的单调性、极值和导数的关系,要求熟练掌握利用导数研究函数的单调性、极值与最值,把问题等价转化等是解答的关键,综合性强,难度较大,平时注意解题方法的积累与总结,属于难题.22. 选修4-4:坐标系与参数方程已知曲线的极坐标方程为,直线,直线.以极点为原点,极轴为轴正半轴建立平面直角坐标系.(1)求直线的直角坐标方程以及曲线的参数方程;(2)已知直线与曲线交于两点,直线与曲线交于两点,求的周长.【答案】(1)见解析(2)【解析】试题分析:(1)直线,所以斜率,过(0,0),直角坐标方程为,同理可求的的直角坐标方程为.两边同时乘以,得,再由,代入可得故,所以圆过(2,1),r=,曲线的参数方程为(为参数).(2)直接利用极坐标方程联立求解,先联立得到,同理.又,所以,可解。
普通高中数学课程标准试题与答案(2017年版2020年修订)一、填空题1.高中数学课程应力求通过各种不同形式的自主学习,探究活动,让学生体验数学发现和创造的历程,发展他们的创新意识。
2.高中数学课程应注重提高学生的数学思维能力,这是一数学教育的基本目标之一。
3.高中数学“四基”基础知识、基本技能、基本思想、基本活动经验4.数学学科核心素养包括:数学抽象、逻辑推理、数学建模、直观想象、数学运算和数据分析。
5.数学教育在学校教育中占有特殊的地位,它使学生掌握数学的基础知识、基本技能、基本思想,使学生表达清晰、思考有条理,使学生具有实事求是的态度、锲而不舍的精神,使学生会用一数学的思考方式解决问题、认识世界。
6.人们在学习数学和运用数学解决问题时,不断地经历直观感知、观察发现、归纳类比、空间想象、抽象概括、符号表示、运算求解、数据处理、演经证明、反思与建构等思维过程。
7.高中数学课程标准最突出的特点就是体现了基础性、多样性和选择性。
8.高中数学课程分为必修课程、选择性必修课程和选修课程。
9.为了适应信息时代发展的需要,高中数学课程应增加算法的内容,把最基本的数据处理、统计知识等作为新的数学基础知识和基本技能;同时,应删减繁琐的计算、人为技巧化的难题和过分强调细枝末节的内容,克服“双基异化”的倾向。
10.高中数学课程对于认识数学与自然界、数学与人类社会的关系,认识数学的科学价值、文化价值,提高提出问题、分析和解决问题的能力,形成理性思维,发展智力和创新意识具有基础性的作用。
11.数学学习的评价既要重视结果,也要重视过程。
对学生-数学学习过程的评价,包括学生参加数学活动的兴趣和态度、数学学习的自信、独立思考的习惯、合作交流的意识、数学认知的发展水平等方面。
12.高中数学课程内容突出函数、几何与代数、概率与统计、数学建模活动与数学探究活动四条主线。
13.解析几何是17世纪数学发展的重大成果之一,其本质是用代数方法研究图形的几何性质。
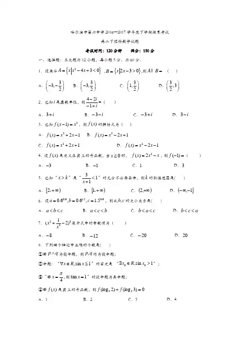
2017年黑龙江省普通高中数学学业水平测试题一、选择题:在每小题给出的四个选项中,只有一项是符合题目要求的.(1)已知集合{}8,6,4,2=A ,集合{}6,5,4,1=B ,则B A I 等于 (A ){}8,6,4,2(B ){}5,2,1(C ){}8,6,4,2,1(D ){}6,4 (2)函数2sin y =(π36x +),x ∈R 的最小正周期是 (A )3π (B )32π(C )23π (D )π (3)若向量(23)=,a ,(12)=-,b ,则-a b 的坐标为(A )(15), (B )(11), (C )(31), (D )(35), (4)已知向量(1,2)=-a ,(2,1)m =b ,若⊥a b ,则m 的值为(A )1- (B )1 (C )41-(D )41(5)阅读如图所示的程序框图,运行相应的程序,输出的结果为 (A )2 (B )4 (C )6 (D )8(6)在等差数列{}n a 中,若25a =,1021a =,则6a 等于 (A )13 (B )15 (C )17 (D )48 (7)抛物线的标准方程是x y 122-=,则其焦点坐标是(A ))0,3( (B ))0,3(- (C ))3,0( (D ))3,0(-(8)若双曲线19222=-y a x (0)a >的一条渐近线方程为2y x =,则a 的值为 (A )23 (B )23(C )223 (D )6(9)焦点在y 轴上,焦距等于4,离心率等于22的椭圆的标准方程是 (A )2211612x y += (B )2211216x y += (C )18422=+y x (D )14822=+y x (11)已知3>x ,则34-+x x 的最小值为 (A )2 (B )4 (C )5 (D )7(12)直线1l :210x y --=与直线2l :024=++y mx 互相平行的充要条件是 (A )8-=m(B )12m =-(C )8=m(D )2m =(13)将函数cos2y x =的图象向左平移3π个单位长度,所得图象的函数解析式为 (A ))322cos(π-=x y (B )πcos(2)3y x =+(C ))322cos(π+=x y(D )πcos(2)3y x =-(14)设变量,x y 满足约束条件2422x y x y x y +⎧⎪-⎨⎪-⎩≥≤4≥则目标函数3z x y =+-的最小值为(A )2-(B )53-(C )1- (D )5(15)如图是一个几何体的三视图,则该几何体的体积为(A )72 (B )36 (C )24 (D )12(16)已知13log 5a =,35.0=b ,15log 3c =,则,,a b c 三者的大小关系是(A )b <a <c (B )c <a <b (C )a <c <b (D )a <b <c(17)从自然数1,2,3,4,5中,任意取出两个数组成两位的自然数,则在两位自然数中取出的数恰好能被3整除的概率为(A )25 (B )15 (C )310(D )12(18)某商场在五一促销活动中,对5月1日上午 9时至14时的销售额进行统计,其频率分布直方 图如右图所示,已知9时至10时的销售额为2.5万元,则11时至12时开始 s = s ×2 k ≤3 输出s 结束第(5)题图是 否s = 1,k = 1k = k + 1第(15)题91011121314第(18)题图0.050.100.150.200.250.300.350.40频率/组距 时间的销售额为(A )6万元 (B )8万元 (C )10万元 (D )12万元 (19)两条不重合的直线l 、m 与两平面α、β的命题中,真命题是 (A )若β⊂l 且βα⊥,则α⊥l (B )若β⊥l 且βα//,则α⊥l (C )若β⊥l 且βα⊥,则α//l (D )若m =⋂βα且m l //,则α//l (20)若二次函数2()25f x x mx =--在区间(3,4)上存在一个零点,则m 的取值范围是 (A )21138m << (B )118m < (C ) 23m > (D ) 23m <或118m >二、填空题:本大题共5个小题,每小题3分,共15分.(21)若向量(12)=-,a ,(34)b ,=,则a 与b 夹角的余弦值等于___________. 22)如图,在底面为正方形的四棱锥P ABCD -中,2PA PB PC PD AB =====,点E 为棱PA 的中点,则异面直线BE 与PD 所成角的余弦值为_________.(23)在ABC ∆中,=∠A 30º,=∠C 120º,AB =则AC 的长为________________.(24)已知3sin 5α=,π(,π)2α∈,则πtan()4α+的值为 .(25)已知函数()1221,0,x x f x x x -⎧-⎪=⎨⎪>⎩≤0 若()01f x >,则o x 的取值范围是___________.三、解答题:本大题共4小题,共40分.解答应写出文字说明、证明过程或演算步骤. (26)设已知{}n a 是递增的等比数列,若22a =,434a a -=,(Ⅰ)求首项1a 及公比d 的值; (Ⅱ)求数列{}n a 的第5项5a 的值及前5项和5S 的值.(27)已知α是第二象限角,且sin 4α=,(Ⅰ)求cos2α的值;(Ⅱ)求sin()6πα+的值.(28)在平面直角坐标系xOy 中,已知圆C: 22(2)(1)5x y -++=,过点(50)P ,且斜率为k 的直线l 与圆C 相交于不同的两点A B ,.(Ⅰ)求k 的取值范围;(Ⅱ)若弦长4AB =,求直线l 的方程.(29)已知点)2,1(A 是离心率为22的椭圆12222=+ay b x (0>>b a )上的一点,斜率为2的直线BC 交椭圆于C B 、 两点,且C B 、与A 点均不重合.(Ⅰ)求椭圆的方程;(Ⅱ)△ABC 的面积是否存在着最大值?若存在,求出这个最大值;若不存在,请说明理由?(Ⅲ)求直线AB 与直线AC 斜率的比值.第(22)题图P EDCA2017年黑龙江省普通高中数学学业水平测试题答案一、 选择题二、 填空题21. -;22. 6;23. 6;24. 17;25. x <-01或x >01 三、解答题26. (Ⅰ)因为,434a a -=,22a =故1321124a d a d a d =⎧⎨-=⎩ 解得112a d =⎧⎨=⎩--------------------------------------------(通项公式2分,结论各1分)-----4分(Ⅱ)511616a =⨯=-------------------------------(公式不给分,结论1分)---5分551(12)311S ⨯-==- --------------(求和公式2分,结论1分)------8分 27.(Ⅰ)因为sin 4α=, 所以, cos sin ,a a =-=-?-215721212168---(公式2分,结论1分)------3分 (Ⅱ)又α是第二象限角故1cos 4α==-------------------(公式1分,结论1分)-----5分所以sin()()p a +=+-=11642--(公式2分,特殊角三角函数各1分结论1分)----------10分28. (Ⅰ)由已知圆C: 22(2)(1)5x y -++=,知圆心(21)C -,, ---(圆心,半径均对1分)----1分设过点(50)P ,且斜率为k 的直线:(5)l y k x =-,-----------------------------------2分因为直线l 与圆C 相交于不同的两点AB ,,故圆心到直线l 的距离d ==<(公式2分,关系1分)5分得(21)(2)0k k +-<,所以,122k -<<-----------------------------------------------------------7分 (Ⅱ)弦长4AB =,得:254-=----------------------------------------8分解得:0k =或34k = 0y =或是34150x y --= ------------------------------------------(结论各1分)-------10分29. (I )'2()23f x x ax a =-- ………………2分由(0)3f '=- 得 1a = ; ……………………………3分(II )若0b =,321()33f x x x x =--,'()(1)(3)f x x x ==+-1x =-时, 函数有极大值5(1)3f -=(单调区间各一分,极大极小各一分)…8分(III )321()33f x x x x b =--+ '()(1)(3)f x x x ==+-由(II )()f x 在(-∞,1-)单调递增,在(1-,3)单调递减,在(3,+∞)单调递增,因为0b >,所以:①当033b b <<≤时,3227(3)983f b b b b =--最小,()4f x b >恒成立,则32279843b b b b -->,解得36b -<或是36b +>不成立(舍);②当033b b <<<时,(3)9f b =--最小,满足94b b -+>,即3b <-舍;③当3b ≥时,321()23f b b b b =--最小,满足321243b b b b -->;解得:6b >(知道分类1分,分类结果正确2分,结论1分)---------------------12分。