浙江省开化中学2013-高一上学期第五次周考数学试题
- 格式:doc
- 大小:395.00 KB
- 文档页数:8
浙江省衢州市开化县第一高级中学高一数学理测试题含解析一、选择题:本大题共10小题,每小题5分,共50分。
在每小题给出的四个选项中,只有是一个符合题目要求的1. 幂函数的图象过点,那么的值为()A. B. C. D.参考答案:B由题意得,设幂函数,则,所以。
2. 已知角θ的终边经过点P(4,m),且sinθ=,则m等于()A.﹣3 B.3 C.D.±3参考答案:B【考点】任意角的三角函数的定义.【分析】利用任意角的三角函数的定义,求解即可.【解答】解:角θ的终边经过点P(4,m),且sinθ=,可得,(m>0)解得m=3.故选:B.3. 若函数f(x)是定义在[-6,6]上的偶函数,且在[-6,0]上单调递减,则()A. f(3)+f(4)>0B. f(-3)-f(-2)<0C. f(-2)+f(-5)<0D. f(4)-f(-1)>0参考答案:D4. 判断下列各组中的两个函数是同一函数的为()(1),;(2),;(3),;(4),;(5),。
A.(1),(2)B. (2),(3)C.(4) D. (3),(5)参考答案:C5. (5分)一个体积为8cm3的正方体的顶点都在球面上,则球的表面积是()A.8πcm2 B.12πcm2 C.16πcm2 D.20πcm2参考答案:B考点:球内接多面体;球的体积和表面积.分析:先根据正方体的顶点都在球面上,求出球的半径,然后求出球的表面积.解答:正方体体积为8,可知其边长为2,体对角线为=2,即为球的直径,所以半径为,表面积为4π2=12π.故选B.点评:本题考查学生的空间想象能力,以及对球的体积和表面积公式的考查,是基础题.6. 已知集合M={0,1,2,3,4},N={1,3,5},P=M∩N,则P的子集共有 ( )A.2个 B.4个 C.6个 D.8个参考答案:B7. 圆x2+y2-2x=0与圆x2+y2-2x-6y-6=0的位置关系是( )A.相交B.相离C.外切D.内切参考答案:D8. 下列函数中,哪个与函数y=x是同一函数?(1) y=()2 ; (2) y= ; (3)y=; (4)y=.参考答案:C略9. 下列命题中正确的是()A.B.C.D.参考答案:D对于选项A,由于不等式没有减法法则,所以选项A是错误的.对于选项B,如果c是一个负数,则不等式要改变方向,所以选项B是错误的.对于选项C,如果c是一个负数,不等式则要改变方向,所以选项C是错误的.对于选项D,由于此处的,所以不等式两边同时除以,不等式的方向不改变,所以选项D是正确的.10. 函数的零点所在的区间是()A. B. C. D. 参考答案:B,故零点在区间.二、填空题:本大题共7小题,每小题4分,共28分11. 已知集合A={﹣1}且A∪B={﹣1,3},请写出所有满足条件B的集合.参考答案:{3}或{﹣1,3}【考点】集合的含义.【分析】由题意列举集合B的所有可能情况.【解答】解:集合A={﹣1},A∪B={﹣1,3},所以B至少含有元素3,所以B的可能情况为:{3}或{﹣1,3}.故答案是:{3}或{﹣1,3}.12. 已知幂函数y=f(x)的图象过点(2,),则f(9)= .参考答案:3【考点】幂函数的单调性、奇偶性及其应用.【分析】先由幂函数的定义用待定系数法设出其解析式,代入点的坐标,求出幂函数的解析式,再求f(16)的值【解答】解:由题意令y=f(x)=x a,由于图象过点(2,),得=2a,a=∴y=f(x)=∴f(9)=3.故答案为:3.13. 在如图所示的流程图中,输出的结果是__________.参考答案:20略14. 已知x 、y 、z ∈R,且,则的最小值为.参考答案:试题分析:由柯西不等式,,因为.所以,当且仅当,即时取等号.所以的最小值为. 考点:柯西不等式15. (4分)已知某几何体的俯视图是如图所示的矩形,正视图是一个底边长为8,高为4的等腰三角形,左视图是一个底边长为6、高为4的等腰三角形.则该几何体的体积为 .参考答案:64考点: 由三视图求面积、体积. 专题: 计算题.分析: 将几何体复原,它是一个矩形的四棱锥,求出底面面积和高,可求体积. 解答: 由题意几何体复原是一个底面边长为8,6的距离,高为4, 且顶点在底面的射影是底面矩形的中心的四棱锥. 底面矩形的面积是48所以几何体的体积是:故答案为:64.点评: 本题考查由三视图求几何体的体积,考查空间想象能力,是基础题.16. 已知,则的最小值为 .参考答案:,当且仅当时取等号。
开化中学2013年10月阶段回顾测试高二数学(理)试卷命题人:张小臣 校对:余伟娜 2013年10月一、选择题(每小题5分,共50分.)1.设全集U R =,集合220{|},A x x x =-<集合1{|},xB y y e ==+则A B =……………………………………………………………( ) A .1{|}x x > B .2{|}x x > C .12{|}x x << D .12{|}x x ≤<2.若点1(,)a -在函数12log y x =的图象上,则6tan a π的值为 ( )A .0B .C .1D .3.若直线l 与直线17,y x ==分别交于点,P Q ,且线段PQ 的中点坐标为11(,)-,则直线l 的斜率为………………………………………( )A .13- B. 13 C. 32- D. 234.已知,αβ是空间中两个不同平面,,m n 是空间中两条不同的直线,则下列命题中错误的是 ……………………………………………( ) A .若//,,m n m α⊥ 则n α⊥ B. 若,,m m αβ⊥⊂ 则αβ⊥ C .若,,m m αβ⊥⊥ 则//αβ D . 若//,,m n ααβ= 则//m n5.已知整数,x y 满足264340x y x y ≥⎧⎪≤⎨⎪-+≤⎩,则x y +的最大值为…( )A .6B .8C .9D .1926.设函数)22,0,0)(sin()(πϕπωϕω<<->≠+=A x A x f的图像关于 直线32π=x 对称,它的周期是π,则 ………………………( )A .)(x f 的图象过点)21,0(B .)(x f 在]32,12[ππ上是减函数 C .)(x f 的一个对称中心是)0,125(πD .)(x f的最大值是A 7.在直三棱柱111A B C ABC-中,1190,BCA D F ∠=、分别是1111A B A C 、的中点,且1B C C A C C ==,则1BD 与1AF 所成角的余弦值为( )A .12B. C. D. 8.经过点11(,)P 的直线在两坐标轴上的截距都是正值,若使截距之和最小,则该直线的方程为 ………………………………………………( ) A .0x y -= B. 20x y +-= C .210x y -+= D. 230x y +-=9.已知函数31090,(),x x f x xx x ⎧+>⎪=⎨⎪+≤⎩,若关于x 的方程22()f x x a +=有六个不同的实根,则实数a 的取值范围是…………………………( )A .28(,]B . 09(,]C . 89(,)D . 89(,]10.已知正四面体ABCD 的棱长为2,所有与它的四个顶点距离相等的平面截这个四面体所得截面的面积之和是……………………………( )A.3+ B.2+ C .4 D.二、填空题(每小题4分,共28分.)11.已知过点24(,),(,)A m B m -的直线与直线210x y +-=平行,则实数m 的值为 .12.已知 a b 、均为单位向量,它们的夹角为60,那么3a b += . 13.若某几何体的三视图 (单位:cm) 如图 所示,则此几何体的体积是 cm 3. 14.等比数列{}n a 的前n 项和为n S ,已知12323,,S S S 成等差数列, 则等比数列{}n a 的公比为 .15.已知正三棱锥P ABC -,点,,,P A B C,,PA PB PC 两两互相垂直,则正三棱锥P ABC -的高为 .16.已知函数()f x 对任意x R ∈都有422()()()f x f x f +-=,若1()y f x =-的图象关于直线1x =对称,且12()f -=,则2013()f 等于 . 17.如图, 斜边长为4的直角ABC ∆,=90B ∠,60A ∠=且A 在平面α上,B C 、在平面α的同侧,M 为BC 的中点.若ABC ∆在平面α上正视图侧视图的射影是以A 为直角顶点的三角形''C AB ∆,则M 到平面α的距离的取 值范围是 .三、解答题(共72分,需写出必要的过程和文字说明.)18.(本题14分)在ABC ∆中,角A B C 、、的对边分别为a b c,、、3C ,π=5b ,ABC =∆ 的面积为(I)求a c 、的值;(II)求6A π+sin()的值.19.(本题14分)在ABC ∆中,BC 边上的高所在直线方程为210x y -+=, A ∠的平分线所在直线方程为210.x y --= (1)求点A 的坐标;(2)若B 点坐标为06(,)-,求边BC 和AC 所在的直线方程.20.(本题14分)已知指数函数()xg x a =满足: 138()g -=,定义域为R 的函数1()()()g x f x g x m-=+是奇函数.(1)求()f x 的解析式;(2)判断()f x 在其定义域上的单调性,并求函数的值域;(3)若不等式:2423()x x t f x +≥-+对12[,]x ∈恒成立,求实数t 的取值范围.21. (本题15分)如图,在多面体ABCDEF 中,四边形ABCD 是正方形, EF ∥AB ,EF FB ⊥,2AB EF =,90BFC ∠=︒,BF FC =,H 为BC 的中点。
开化中学高一年级数学周考(4)班级 学号 姓名一、选择题:(本大题共10小题,每小题5分,共50分.)1.已知全集U=R ,集合A =,B =,则A ∩B 等于 ( ) A . B . C . D . 2.如图所示,是全集,是的子集,则阴影部分所表示的集合是…………( ) A . B .C .D .3.下列判断正确的是…………………………( ) A . B . C . D .4.函数的定义域为………………………………………………………( )A. B. C. D. 5 若函数在上为减函数,则实数的取值范围为……( ) A. B. C. D.6.函数在其定义域内是…………………………………………………( )A.奇函数B.偶函数C.既奇又偶函数D.非奇非偶函数7. 函数y =ax 2+a 与y =(a ≠0)在同一坐标系中的图象可能是……………………( )8. 已知g (x )=1-2x , f [g (x )]=,则f ()等于………………………………}{32<≤-x x {}41≥-<或x x x {}31<<-x x {}31>-≤或x x x {}12-<≤-x x {}31<≤-x x U ,A B U A B A B ()U B C A ()U AC B 35.27.17.1>328.08.0<22ππ<3.03.09.07.1>xy --=113]1,(-∞]1,0()0,( -∞)1,0()0,( -∞),1[+∞k kx x x f 24)(2+-=]2,1[-k ),16[+∞]8,(--∞]16,8[-]8,(--∞ ),16[+∞1212)(-+=x x x f xa)0(122≠-x x x 21 AB( ) A .1 B .3 C .15 D .309.函数f (x )=⎩⎪⎨⎪⎧x 2-x +1,x <1,1x,x >1,的值域是……………………………………………( )A .(0,+∞) B.(0,1) C.⎣⎢⎡⎭⎪⎫34,1 D . ⎣⎢⎡⎭⎪⎫34,+∞ 10.已知函数,则对于任意实数,函数不可能是....( ) A .奇函数 B. 偶函数 C. 单调递增函数 D. 单调递减函数 二、填空题:(本大题共5小题,每小题5分,共25分.) 11.设,则 . 12.计算:= .13.已知函数(a >0且a ≠1)满足f (-2)>f (-3),则函数的单调增区间是 .14. 已知,则 .15.定义在上的函数满足,则.三、解答题:(本大题共5小题,共75分)16.(1)设全集,集合,若,求;(2)求函数的定义域和值域.()xx a x f -⋅+=22()R x ∈a ()x f 2||{|0},{|,0}x A x x x B x R x x=-==∈≠=B A 21 023213(2)(9.6)(3)(1.5)48-----+xax f -=)(21)(x ax g -=322=+-x x =+-xx 44R )(x f 2)1(),,(2)()()(=∈++=+f R y x xy y f x f y x f =-)3(f U Z =2{,21,4},{5,1,9}A x x B x x =--=--{9}AB =,()U AB C A B 422)21()(+-=x x x f17.已知二次函数f (x )的最小值为1,且f (0)=f (2)=3. (1)求f (x )的解析式;(2)若f (x )在区间[2a ,a +1]上不单调,求实数的取值范围;(3)在区间[-1,1]上,y =f (x )的图象恒在y =2x +2m +1的图象上方,试确定实数m的取值范围.18 .已知函数. (1)当时,求的值域;(2)当时,判断并证明在上的单调性.a ()12++=x bax x f 1,0==b a ()x f 0,0=<b a ()x f ()+∞,119.已知函数,其中.(1)当时,把函数写成分段函数的形式,并画出函数的图象; (2)指出a =2时函数单调区间,并求函数在[1,3]最大值和最小值.20.已知指数函数满足: ,定义域为R 的函数是奇函数.(1)求的解析式;(2)判断在其定义域上的单调性,并求函数的值域; (3)若不等式:对恒成立,求实数的取值范围.2()3f x x x x a =+-a R ∈2a =()f x ()f x ()f x ()xg x a =138()g -=1()()()g x f x g x m -=+()f x ()f x 2423()x x t f x +≥-+12[,]x ∈t开化中学2013学年高一年级数学周考(4)参考答案一、选择题:本大题共10小题,每小题5分,共50分.二.填空题:本大题共5小题,每小题5分,共25分. 11. 12. 13. [0,+∞) (写成(0,+∞)也可以) 14. 7 15. 6三.解答题:本大题共5小题,共75分,解题应写出文字说明,证明过程或演算步骤. 16.解:(1) , ……..8分(2)定义域为R (10分) 值域为(15分) 17.解:(1)由已知,设,由,得,故. (5分)(2)要使函数不单调,则,则. (10分) (3)由已知,即,化简得,设,则只要, 而,得. (15分){}1,1,0-21{}8,7,4,4,9---=B A (){}4,8-=B A C U 10,]8(2()(1)1f x a x =-+(0)3f =2a =2()243f x x x =-+211a a <<+102a <<2243221x x x m -+>++2310x x m -+->2()31g x x x m =-+-min ()0g x >min ()(1)1g x g m ==--1m <-18.解: (1) 的值域为 (6分) (2) , 设,则 ,在上是增函数 (15分) 19解:(1)当时,,( 2分)此时的图象如右图所示: (7分)(2)增区间为为,,减区间为(11最大值为18,最小值为4 (15分20.解:(1)由,又为奇函数,,即化简得对恒成立,故 (4分)(2),其定义域为, 由为增函数可知是上的增函数(6分)()112+=x x f (0,1]()12+=x axx f 211x x <<()0)1)(1(1)(11)()(2221211222221121<++--=+-+=-x x x x x x a x ax x ax x f x f )()(21x f x f <∴()x f ()+∞,12a =22246,2()3|2|26,2x x x f x xx x xx x()f x 3(,]2-∞[2,)+∞3(,2)23113288()g a a --=⇒=⇒=212()x x f x m-∴=+()f x ()()f x f x ∴-=-212122x x x x m m----=-++122x xm m +=+x R ∈1m ∴=2121()x x f x -=+2121()xf x =-+R 2x()f x R 121210120112121,,,()x x xf x -<+∴<<-<<∴-<<++即函数的值域为(9分) (3)对恒成立等价于对恒成立 (11分)而在上的最大值为5 . (13分) 故 (15分)()f x 11(,)-2423()xx t f x +≥-+12[,]x ∈22223()x x t ≥--12[,]x ∈12[,]222223214()()x xx--=--5t ≥。
浙江省开化中学2024-2025学年高一上学期10月教学质量检测数学试卷一、单选题1.已知集合{}0,1,2,3A =,则下列选项正确..的是()A .A∅⊆B .{}1A-⊆C .0A⊆D .{}0A∈2.设命题p :2,25n N n n ∃∈>+,则p 的否定为()A .2,25n N n n ∀∈>+B .2,25n N n n ∀∈≤+C .2,25n N n n ∃∈≤+D .2,25n N n n ∃∈=+3.2x >“”是11“2x <的A .充分不必要条件B .必要不充分条件C .充要条件D .既不充分又不必要条件4.不等式2101x x -≥+的解集为()A .11,2⎡⎤-⎢⎥⎣⎦B .11,2⎛⎤- ⎥⎝⎦C .(][),12,-∞-⋃+∞D .()1,1,2⎡⎫-∞-⋃+∞⎪⎢⎣⎭5.函数()224f x x ax =--+在[]2,5上单调,则a 的取值范围()A .[]2,5B .[)2,-+∞C .(],5-∞-D .(][),52,∞∞--⋃-+6.已知幂函数()()4*mf x x m -=∈N 为奇函数,且在区间()0,∞+上单调递增,则m 等于()A .1B .2C .1或3D .37.函数()24x f x x-=的图象大致是()A .B .C.D .8.已知方程组22124y kx x y =+⎧⎨+=⎩的解集为()(){}1122,,,A x y x y =,且125x x -=,则k =()A .1或1-B或C .12或12-D .2或2-二、多选题9.已知正数a ,b 满足4a b +=,则()A .4ab ≤B .4ab ≥C .1494a b +≥D .228a b +≥10.已知函数()4f x x x=+,则()A .()()0f x f x -+=B .()()0f x f x --=C .当0t >时,0x ∀>,()()0f x t f x +->D .当[]3,2x ∈--时,()f x 最大值为4-11.用{}min ,a b 表示a ,b 两个数中的最小值.设(){}2min 2,4f x x x =+-,则()A .函数()f x 的图象关于y 轴对称B .函数()f x 的值域为(],3-∞C .函数()f x 的递增区间为(][],10,1-∞-⋃D .()()12f f -≥三、填空题12.已知函数()21,14,1x x f x x x-<⎧⎪=⎨-≥⎪⎩,则()()2f f =.13.写出使等式π2ππ33a a a a -=成立的一个实数a 的值可以是.14.已知函数()()022xf x x x =>+,则()()()111123202420232f f f f f f ⎛⎫⎛⎫⎛⎫+++++++ ⎪ ⎪ ⎪⎝⎭⎝⎭⎝⎭()()20232024f f ++=.四、解答题15.已知{}3A x a x a =≤≤-+,()(){}150B x x x =+-<.(1)若3a =-时,分别求A R ð,A B ,A B ⋂;(2)若A B A = ,求a 的取值范围.16.已知关于x 的不等式()210x a x b -++<,a ,R b ∈.(1)若此不等式的解集为{}12x x <<,求实数a ,b 的值;(2)若b a =,求此不等式的解集.17.已知函数=是定义在R 上的奇函数,当0x <时,()23f x x ax =--,且3=0.(1)求函数=的解析式;(2)画出函数=的图象并求出此时函数=的值域;(3)若关于x 的方程()220f x m m --=总有三个实数根,求实数m 的取值范围.18.运货卡车以每小时x 千米的速度匀速行驶130千米,按交通法规限制50100x ≤≤(单位:千米/时).假设汽油的价格是每升6元,而汽车每小时耗油26360x ⎛⎫+ ⎪⎝⎭升,司机的工资是每小时24元.(1)求这次行车总费用y 关于x 的表达式;(2)当x 为何值时,这次行车的总费用最低,并求出最低费用的值.19.已知函数()f x 是定义在()2,2-上的奇函数,满足()115f =,当20x -<≤时,有()24ax bf x x +=+.(1)求函数()f x 的解析式;(2)判断()f x 的单调性,并用函数单调性定义证明;(3)求不等式()()210f x f x -+<的解集.。
2013学年度高一上册半学期考试数学试题附答案解析卷第一卷一:选择题(每题5分共60分,每题只有一个正确答案) 1.下列函数中为指数函数的是( D )x y A =. x y B 2.= x y C 1.= 2.x y D =2. 有五个关系式:①∅⊂}0{;②}0{=∅;③∅=0;④}0{0∈;⑤∅∈0其中正确的有 ( B ) A.1个. B.2个. C.3个. D.4个.3.关于从集合A 到集合B 的映射,下面的说法错误的是 ( B ) A . A 中的每一个元素在B 中都有象 B . A 中的两个不同的元素在B 中的象必不同 C . B 中的元素在A 中可以没有原象D . B 中的某元素在A 中的原象可能不止一个4. 全集 U = { 0, -1, -2, -3, -4 },集合 M = { 0, -1, -2 }, N = { 0, -3, -4 },则 ( C U M )∩N 为 ( B ) A. { 0 } B. {-3, -4 } C. {-1, -2 } D. φ5.下列函数中,值域是 ( 0 , + ∞ ) 的是 ( D ) A. y =132+-x x B. y = 2x + 1 ( x >0 )C. y = x 2 + x + 1D. y =21x6. 下列各图形中,是函数的图象的是( D )7.给出下列函数:(1)y=3x ; (2) y=|x|; x )2,3(-∈; (3) y=x 2+212-x; (4)y=x 2+c 其中偶函数的有( B )A . 1个 B. 2个 C. 3个 D. 4个8.满足条件 { 0, 1 }∪A = { 0, 1 } 的所有的集合A 的个数是( D ) A. 1 个 B. 2 个 C. 3 个 D. 4 个9.已知函数)(x f y =的定义域是],[b a ,b c a <<,当],[c a x ∈时,)(x f 是单调递减;当],[b c x ∈时,)(x f 是单调递增,则)(x f y = 的最小值为( B ))(.a f A )(.c f B )(.b f C )2(.b a f D +10全集U={1,2,3,∙∙∙,9}}9,7{)(},8,4,2{)()(},3,1{=⋂=⋂=⋂B A B A B A C C C u u u 则B=( D )}1.{A }3,1.{B }5,3,1.{C }6,5,3,1.{D11. 设函数,2)2(),0()4(.0,2,0,)(2-=-=-⎩⎨⎧>≤++=f f f x x c bx x x f 若则关于x 的方程x x f =)(解的个数为( C )A .1B .2C .3D .412.已知二次函数x a x a x f )12()(2-+=在]1,(-∞是单调递减函数,则a 的取值范围是( C )]41,.(-∞A ),41.[+∞B ]41,0.(C ]1,41.[D第一卷一.选择题答案第二卷二:填空题(每题4分16分) 总分_______________ 13.函数f(x)=x x x +-++11的定义域是]1,1[- 14.已知2,222=+=+y x y x ,则=xy 1 15.已知f(x)=x 2+1, 则f(x+1)=1)1(2++x .16. 已知全集U={三角形},A={直角三角形},则C U A=}{斜三角形 三:解答题(6题74分)17. 已知全集为R,集合A={3|+≤≤a x a x },B={60|><x x x 或} (1)B C R (用区间表示) (2)若1-=a ,求)(B A C R ⋂ (3)若∅=⋂B A ,求a 的取值范围;(13分)解: (1) B C R =]6,0[ (4分)(2) 当1-=a ]2,1[-=A 则)0,1[-=⋂B A )(B A C R ⋂=),0[)1,(+∞⋃--∞ (9分)(3)用数轴分析得0≥a ,且63≤+a30≤≤a (13分)18.已知)(x f y =的定义域为]4,1[,当]2,1[∈x 时)(x f 的图像为线段,当]4,2[∈x 时)(x f 的图像为抛物线的一部分,且顶点为)1,3(.又已知3)2(,2)1(==f f ,求)(x f 的解析式(13分) 解: 当]2,1[∈x 时)(x f 的图像为线段,设b kx x f +=)( (2分)由已知3)2(,2)1(==f f 故b k b k +=+=23,2∴1,1==b k ∴]2,1[∈x 时1)(+=x x f . (6分)当]4,2[∈x 时)(x f 的图像为抛物线的一部分, 且顶点为)1,3(设1)3()(2+-=x a x f ,又3)2(=f ∴ (8分)1)32(32+-=a ∴2=a当]4,2[∈x 时1)3(2)(2+-=x x f (12分)=)(x f]4,2[,1)3(2]2,1[,12∈+-∈+x x x x (13分)19.已知=)(x f 0,10,00,42<-=>-x x x x x (12分)(1) 求))1((-f f ,))1((f f ,(2)画出)(x f 的图像(2) 若a x f =)(,问a 为何值时,方程没有根?有一个根?两个根? 解.(1). ,0)2())1((==-f f f 4)3())1((=-=f f f (4分) (2)略 (8分)(画错一段扣2分,画错两段扣4分) (3)由图像观察得4-≤a ,a x f =)(无解 当,14≤<-a 且0≠a 时a x f =)(只有一个根当1>a ,或0=a 时a x f =)(有两个根 (12分)20设A={}04|2=+x x x , B={}01)1(2|22=-+++a x a x x 其中a R ∈,如果A ⋂B=B,求实数a 的范围(12分) 解.由条件得}4,0{-=A 由A ⋂B=B 得A B ⊆ (1)Φ=B ,方程01)1(222=-+++a x a x 无解,则0)1(4)1(422<--+=∆a a 得1-<a (4分)(2)B ∈0,则012=-a ,得1=a ,或1-=a检验,满足条件 (8分) (3)B ∈-4,则01)4)(1(2)4(22=-+-++-a a 得1=a 或7=a 检验7=a 不合条件舍去1,1=-≤∴a a 或 (12分)(没有检验的扣2分)21.已知函数()a x x f -=,()122++=ax x x g (a 为正常数),且 (12分) 函数()x f 与()x g 的图象交点在y 轴上。
开化中学高一年级数学周考卷(5)班级姓名学号一.选择题(每小题5分,共50分)1.的值为………………………………………………………………………………()A. B. C. D.2.已知集合= …………………………()A.B.C.D .3.设,,,则有……………………………………………()A. B. C.D.4.函数则的值为…………………………………()A. B.C.D.185.已知集合实数的值为……()A.-1, B. C. -1, D. -1,0,6.函数y=1log0.54x-3的定义域为…………………………………………………………( )A.⎝⎛⎭⎪⎫34,1 B.⎝⎛⎭⎪⎫34,+∞ C.(1,+∞) D.⎝⎛⎭⎪⎫34,1∪(1,+∞)7.函数与在同一直角坐标系下的图象大致是…………()8.已知,则函数的表达式为………………………………()A. B. C. D.2log22212-12{|2},{|lg(1)},xS y y T x y x S T====-则(0,)+∞[0,)+∞(1,)+∞[1,)+∞0.61.2a=log3bπ=12log3c=a c b>>a b c>>b a c>>b c a>>2211()31x xf xx x x⎧-⎪=⎨-->⎪⎩,,,,≤1(3)ff⎛⎫⎪⎝⎭15162716-89{,},1|{},32|2BABaxxBxxxA=⋂===--=若a3131312()1logf x x=+1()2xg x-+=221)1(xxxxf+=-)1(+xf22)1(1)1(+++xx22+x2)1(2++x2)1(2-+x9.函数的单调增区间为 …………………………………………………( )A. B. C. D. 10.已知函数,若,且,则的取值范围是 ……( ) A . B . C . D .二、填空题(每小题5分,共25分) 11.函数的定义域是,则其值域是 .12.已知且,则的值为 . 13.已知函数为上的增函数,则实数取值的范围是 . 14.设函数的值为 .15. 已知函数,若,那么的最大值是 . (注意:min 表示最小值)三、解答题(本大题共5小题,共75分) 16.计算:432+--=x x y ]23,(--∞]23,4[--),23[+∞-]1,23[-()lg f x x =ab <()()f af b =4a b+()+∞()4,+∞()+∞()5,+∞21y x =-()[),12,5-∞,53m ba==211=+ba m ()⎩⎨⎧<+-≥=2,232,)(x x a x a x f x ,R a ,8)(),1,0(log )(200821=≠>=x x x f a a x x f a 若)()()(220082221x f x f x f +++ 则2()2,().f x x g x x =-=()()min{(),()}f x g x f x g x *=()()f x g x *00.53954-⎛⎫⎛⎫-+ ⎪ ⎪⎝⎭⎝⎭()266661log 3log 2log 18(2)log 4-+⋅17.设集合,,.(1)若,求实数的取值范围; (2)若,求实数的取值范围.18.已知函数,其中.(1)求函数的最大值和最小值;(2)若实数满足:恒成立,求的取值范围.{}||32|5A x x =-<{}2|27150B x x x =+-≤{}|23C x a x a =<<+A C C =a ()C A B ⊆a ()14226xx f x +=--[]0,3x ∈()f x a ()0f x a -≥a19.已知.(1)求的解析式; (2)判断的奇偶性;(3)判断的单调性并证明.20.已知函数图像经过点.(1)求的值,并在直角坐标系中画出函数的大致图像; (2)求方程的根;(3)设,求函数的单调递增区间。
2025届浙江省开化中学高三六校第一次联考数学试卷注意事项:1.答卷前,考生务必将自己的姓名、准考证号填写在答题卡上。
2.回答选择题时,选出每小题答案后,用铅笔把答题卡上对应题目的答案标号涂黑,如需改动,用橡皮擦干净后,再选涂其它答案标号。
回答非选择题时,将答案写在答题卡上,写在本试卷上无效。
3.考试结束后,将本试卷和答题卡一并交回。
一、选择题:本题共12小题,每小题5分,共60分。
在每小题给出的四个选项中,只有一项是符合题目要求的。
1.已知集合M ={y |y =,x >0},N ={x |y =lg (2x -)},则M∩N 为( ) A .(1,+∞)B .(1,2)C .[2,+∞)D .[1,+∞)2.公比为2的等比数列{}n a 中存在两项m a ,n a ,满足2132m n a a a =,则14m n+的最小值为( ) A .97B .53C .43D .13103.下列命题中,真命题的个数为( ) ①命题“若1122a b <++,则a b >”的否命题; ②命题“若21x y +>,则0x >或0y >”;③命题“若2m =,则直线0x my -=与直线2410x y -+=平行”的逆命题. A .0B .1C .2D .34.已知函数()5sin 12f x x π⎛⎫=+ ⎪⎝⎭,要得到函数()cos g x x =的图象,只需将()y f x =的图象( ) A .向左平移12π个单位长度B .向右平移12π个单位长度C .向左平移512π个单位长度 D .向右平移512π个单位长度 5.如图,抛物线M :28y x =的焦点为F ,过点F 的直线l 与抛物线M 交于A ,B 两点,若直线l 与以F 为圆心,线段OF (O 为坐标原点)长为半径的圆交于C ,D 两点,则关于AC BD ⋅值的说法正确的是( )A .等于4B .大于4C .小于4D .不确定6.函数sin ln ||2y x x π⎛⎫=-⋅ ⎪⎝⎭图像可能是( ) A . B . C .D .7.已知函数()sin 3cos f x a x x =的图像的一条对称轴为直线56x π=,且12()()4f x f x ⋅=-,则12x x +的最小值为( ) A .3π-B .0C .3π D .23π 8.已知S n 为等比数列{a n }的前n 项和,a 5=16,a 3a 4=﹣32,则S 8=( ) A .﹣21B .﹣24C .85D .﹣859.对于正在培育的一颗种子,它可能1天后发芽,也可能2天后发芽,….下表是20颗不同种子发芽前所需培育的天数统计表,则这组种子发芽所需培育的天数的中位数是( ) 发芽所需天数 1 2 3 4 5 6 7 8≥种子数 43 352 210 A .2B .3C .3.5D .410.已知双曲线C :2222x y a b-=1(a >0,b >0)的右焦点为F ,过原点O 作斜率为43的直线交C 的右支于点A ,若|OA |=|OF |,则双曲线的离心率为( ) A 3B 5C .2D 311.已知0x =是函数()(tan )f x x ax x =-的极大值点,则a 的取值范围是 A .(,1)-∞-B .(,1]-∞C .[0,)+∞D .[1,)+∞12.若点(3,4)P -是角α的终边上一点,则sin 2α=( ) A .2425-B .725-C .1625D .85二、填空题:本题共4小题,每小题5分,共20分。
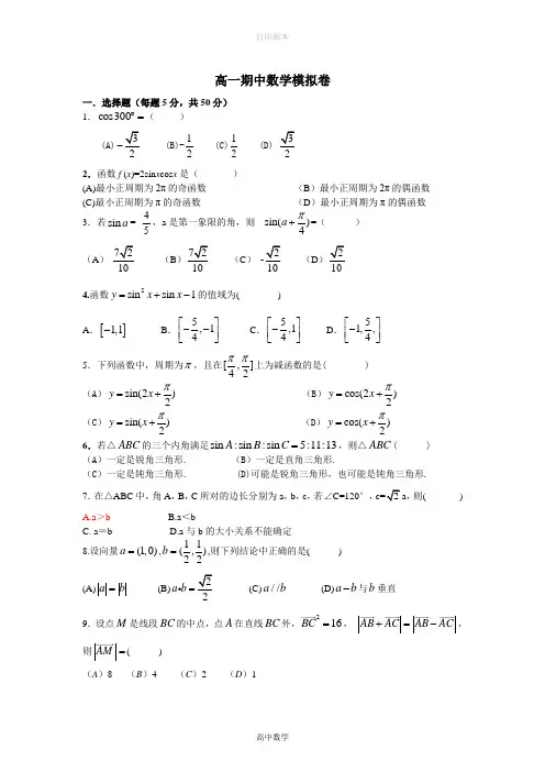
高一期中数学模拟卷一.选择题(每题5分,共50分) 1.cos300︒=( )(A)12 (C)122.函数f (x )=2sin x cos x 是( )(A)最小正周期为2π的奇函数 (B )最小正周期为2π的偶函数 (C)最小正周期为π的奇函数(D )最小正周期为π的偶函数3.若sin a = -45,a 是第一象限的角,则sin()4a π+=( )(A ) (B (C ) (D 4.函数2sin sin 1y x x =+-的值域为( ) A .[]1,1- B .5,14⎡⎤--⎢⎥⎣⎦ C .5,14⎡⎤-⎢⎥⎣⎦ D .51,,4⎡⎤-⎢⎥⎣⎦5.下列函数中,周期为π,且在[,]42ππ上为减函数的是( )(A )sin(2)2y x π=+ (B )cos(2)2y x π=+ (C )sin()2y x π=+(D )cos()2y x π=+ 6.若△ABC 的三个内角满足sin :sin :sin 5:11:13A B C =,则△ABC ( )(A )一定是锐角三角形. (B )一定是直角三角形.(C )一定是钝角三角形. (D)可能是锐角三角形,也可能是钝角三角形.7.在△ABC 中,角A ,B ,C 所对的边长分别为a ,b ,c ,若∠C=120°,a ,则( ) A.a >b B.a <bC. a =bD.a 与b 的大小关系不能确定8.设向量(1,0)a =,11(,)22b =,则下列结论中正确的是( )(A)a b = (B)22a b =(C)//a b (D)a b -与b 垂直 9.设点M 是线段BC 的中点,点A 在直线BC 外,216BC =, AB AC AB AC +=-,则AM =( )(A )8 (B )4 (C )2 (D )110.5y Asinx x R 66ππωϕ⎡⎤=∈⎢⎥⎣⎦右图是函数(+)()在区间-,上的图象,为了得到这个函数的图象,只要将y sin x x R =∈()的图象上所有的点( ) (A)向左平移3π个单位长度,再把所得各点的横坐标缩短到原来的12倍,纵坐标不变 (B) 向左平移3π个单位长度,再把所得各点的横坐标伸长到原来的2倍,纵坐标不变(C) 向左平移6π个单位长度,再把所得各点的横坐标缩短到原来的12倍,纵坐标不变(D) 向左平移6π个单位长度,再把所得各点的横坐标伸长到原来的2倍,纵坐标不变二.填空题(每题4分,共28分) 11.已知α为第二象限的角,3sin 5a =,则tan 2α= . 12.在ABC 中,角A ,B ,C 所对的边分别为a ,b ,c ,若2a =,2b =,sin cos 2B B +=,则角A 的大小为 . 13.在ABC ∆中。
开化中学2013学年高一年级数学周考卷(2) 班级 学号 姓名 一、选择题:(本大题共10小题,每题5分,共50分)1.设集合{,}A a b =,{,,}B b c d =,则A B =U ………………………………… ( )A .{}bB .{,,}b c dC .{,,}a c dD .{,,,}a b c d2.下列说法正确的是…………………………………………………………………( )A .直角坐标系中横、纵坐标相等的点能够组成一个集合B .{}3,x x x R π∈<∈ C. {}0∅= D. (){}{}1,21,2,3⊆3.已知I 为实数集,2{|20},{|1}M x x x N x y x =-<==-,则()I M N I ð= ( )A . {|1}x x < B. {|02}x x <<C. {|01}x x <<D. ∅4. 图中阴影部分所表示的集合是……………( )A. B ∩[C U (A ∪C)]B. (A ∪B) ∪(B ∪C)C. (A ∪C)∩(C U B)D.[C U (A ∩C)]∪B5.下列各组函数中,表示同一函数的是………………………………………………( )A .2224y x x y x =+-=-g 与 B. 33y x y x ==与C. 2y x y x ==与 D. 0x y y x x ==与 6..设M={}02|x x ≤≤,N={}02|y y ≤≤,给出下列四个图形,其中能表示集合M 到 集合N 的映射关系的有……………………………………………………………( )A.0个B. 1个C. 2个D. 3个7.设{}{}24,21,,9,5,1A a a B a a =--=--,已知{}9A B =I,则实数a 的值为( ) A .5 B. 3± C. -3 D.38.已知集合{}{}2|320,,|05,A x x x x R B x x x N =-+=∈=<<∈,则满足条件A CB ⊆⊆的集合C 的个数为…………………………………………………… ( )A .3B .4C .1D .2 9.方程2210ax x ++=恰有一个负实根,则a 的取值范围为…………………………( )A .0a < B. 0a ≤ C. 0a > D. 0a =10.设集合{}{}22320,23,A x x x B y y x x x A =-+===-+∈,现在我们定义对于任 意两个集合M ,N 的运算:{},M N x x M N x M N ⊗=∈∉U I 且,则A B ⊗=( )A .{}1,2,3 B. {}1,2 C. {}2,3 D. {}1,3二、填空题:(本大题共5题,每小题5分,共25分)11.若集合{}31x a x a ≤≤-表示非空集合,则a 的取值范围是 . 12.若20(0)()(0),{[(1)]}1(0)x f x x f f f x x π>⎧⎪=-=-=⎨⎪+<⎩则 . 13.函数223(14)y x x x =-+-≤≤的值域为 .14.()()(1)(1)f x g x f x f x =+--若函数的定义域为[0,2],则函数的定义域为 .15.如果具有下述性质的x 都是集合M 中的元素,其中:x =a +b 2(a ,b ∈Q ),则下列元 素中属于集合M 的元素的是___ ___(填序号).①x =0, ②x =2, ③x =3-22π, ④x =13-22, ⑤x =6-42+6+4 2.三、解答题:(本大题共5大题,每题15分,共75分)16.设全集为R ,{}73|<≤=x x A ,{}102|<<=x x B ,求,I U A B A B ,()R A B U ð,()R A B I ð,()R A C B I .17.已知23020222 ()() () ()x x f x x x x x x +≤⎧⎪=-<≤⎨⎪-+>⎩(1)若()1,f x =-求x 的值; (2)画出函数()f x 的图像; (3)求函数()f x 值域.18.(1)求函数1()1f x x =+;(2)求函数2y x =-;(3)已知函数21ax by x +=+的值域为[]2,2-,求,a b 的值.19.(1)已知(2)23f x x +=+,求(3)f 的值;(2)已知()f x 为二次函数,若(0)0,f =且(1)()1,f x f x x +=++求()f x 的表达式;(3)已知1()2()3f x f x x +=,求()f x 的表达式.20.设集合2{|3100},{|(1)(21)0}A x x x B x x m x m =--≤=-+--<.(1)求A Z I ;(2)若U A B A =,求m 的取值范围.开化中学2013学年高一年级数学周考卷(2)参考答案一、选择题1、D2、A3、C4、A5、D6、C7、C8、B9、B 10、D二、填空题11、12a ≥ 12、π- 13、[]2,11 14{}1 15、①②④⑤ 三、解答题16、A B ⋂={}|37x x ≤<; A B ⋃={}|210x x <<; ()R A B U ð={}2,10x x x ≤≥或; ()R A B I ð={}23,710x x x <<≤<或; ()R A C B I =∅(每个3分,没用集合的每个扣1分)17、(1)4,x =-或1或3 ; (2)略; (3)(],3-∞.18、(1){}22,1x x x -≤≤≠-且; (2)15,8⎡⎫+∞⎪⎢⎣⎭; (3)4,0a b =±=. 19、(1)(3)f =5 (2)211()22f x x x =+ (3)2()f x x x=- 20、解:(Ⅰ)化简可得,集合{}25A x x =-≤≤ …………………………3分 则{2,1,0,1,2,3,4,5}A =--Z I . ……………………………………………5分 (Ⅱ)由A B A ⋃=,知B A ⊆ …………………………………………6分 集合{(1)(21)0}B x x m x m =-+--<,① 当2m =-时,B =∅,所以B A ⊆; …………………………………8分 ② 当2m <-时,∵(21)(1)20m m m +--=+<,∴(21,1)B m m =+-. 因此,要使B A ⊆,只需21215m m +-⎧⎨-⎩≥≤,解得362m -≤≤, 所以m 值不存在. ………………………………11分③ 当2m >-时,(1,21)B m m =-+,要使B A ⊆,只需12215m m --⎧⎨+⎩≥≤, 12m -≤≤. ………………………………14分 综上所述,m 的取值范围是2m =-或12m -≤≤ …………………………15分。
2012学年浙江省第一次五校联考数学(理科)试题卷本试题卷分选择题和非选择题两部分。
满分150分, 考试时间120分钟。
选择题部分(共50分) 参考公式:如果事件A, B 互斥, 那么 棱柱的体积公式 P (A+B )=P (A )+P (B ) V=Sh如果事件A, B 相互独立, 那么 其中S 表示棱柱的底面积, h 表示棱柱的高 P (A ·B )=P (A )·P (B ) 棱锥的体积公式如果事件A 在一次试验中发生的概率是p, 那么n V=31Sh 次独立重复试验中事件A 恰好发生k 次的概率 其中S 表示棱锥的底面积, h 表示棱锥的高Pn (k )=C k npk (1-p )n-k (k = 0,1,2,…, n ) 球的表面积公式棱台的体积公式 S = 4πR2)2211(31S S S S h V ++=球的体积公式其中S1, S2分别表示棱台的上、下底面积, V=34πR3h 表示棱台的高 其中R 表示球的半径一、选择题: 本大题共10小题, 每小题5分,共50分。
在每小题给出的四个选项中, 只有一项是符合题目要求的。
1.若全集U=R,集合M ={}24x x >,N =301x x x ⎧-⎫>⎨⎬+⎩⎭,则()UM N 等于A .{2}x x <- B .{23}x x x <-≥或 C .{3}x x ≥ D .{23}x x -≤<2.已知α∈(2π,π),sin α=53,则tan (4πα-)等于 A . -7 B . - 71 C . 7 D .713.若,x y 满足约束条件1122x y x y x y +≥⎧⎪-≥-⎨⎪-≤⎩,目标函数2z ax y =+仅在点()1,0处取得最小值,则a 的取值范围是 A .()1,2- B .()4,2- C .(]4,0- D .()2,4-0.0005300035000.00030.0004200015000.00020.0001400025001000月收入(元)频率/组距4.一质点受到平面上的三个力123,,F F F (单位:牛顿)的作用而处于平衡状态.已知12,F F 成120 角,且12,F F 的大小分别为1和2,则有 A .13,F F 成90角 B .13,F F 成150角 C .23,F F 成90角 D .23,F F 成60角5.已知函数()sin (0)f x x x ωωω=->的图象与x 轴的两个相邻交点的距离等于2π,若将函数 ()y f x =的图象向左平移6π个单位得到函数()y g x =的图象,则()y g x =是减函数的区间为A .(,0)3π-B .(,)44ππ-C . (0,)3πD .(,)43ππ6.若()f x 是R 上的减函数,且(0)3,(3)1f f ==-,设{}1()3P x f x t =-<+<,{}()1Q x f x =<-,若“”x P x Q ∈∈“” 是的充分不必要条件,则实数t 的取值范围是A .0t ≤B .0t ≥C .3t ≤-D .3t ≥-7.已知函数()2xf x =的定义域为[]b a ,)(b a <,值域为[]1,4,则在平面直角坐标系内,点),(b a 的 运动轨迹与两坐标轴围成的图形的面积为A .8B .6C .4D .28.已知数列:1213214321,,,,,,,,,,...,1121231234依它的前10项的规律,这个数列的第2012项2012a满足A .20121010a <<B .20121110a ≤< C .2012110a ≤≤ D .201210a >9.在1,2,3,4,5,6,7的任一排列1234567,,,,,,a a a a a a a 中,使相邻两数都互质的排列方式种数共有A .576B .720C .864D .115210.已知321()3f x x x ax m=-++,其中0a >,如果存在实数t ,使()0f t '<, 则21(2)()3t f t f +''+⋅的值A .必为正数B .必为负数C .必为非负D .必为非正非选择题部分 (共100分)二、 填空题: 本大题共7小题, 每小题4分, 共28分。
开化中学高一年级数学周考卷(8)班级 姓名 学号 一.选择题(每小题5分,共50分) 1.已知函数的定义域为 …………………………………………………………………( ) . . . .2.已知集合,,则……………………………( ) . . .. 3.在区间上为增函数的是 ………………………………………………………………………( ).. .. 4.设函数则的值为 ……………………………………………( ).. . .5.若函数= 的定义域为,则实数的取值范围是…………………………( ).. . .6.设函数则方程一定存在根的区间是 …………………………………( ) .(-1,1) .(0,1).(1,2) . (2,3)7.已知函数在定义域上单调,则实数的取值范围为 ………………( ). ...8.已知集合,若集合有且仅有一个元素,则实数的取值范围是 …………………………………………………………………………………………………………( ). ..()f x =A (,1)-∞B (,1]-∞C (1,)+∞D [1,)+∞{|2}S x x =<2{|340}T x x x =--≤()R S T =A (2,4)B [2,4]C (,4)-∞D (,4]-∞(,0)-∞A 1=y B 21x y +=C 122---=x x y D 21xy x-=-221,1()2,1,x x f x x x x ⎧-≤⎪=⎨+->⎪⎩1(2)f f ⎛⎫⎪⎝⎭A 18B 89C 1516D 2716-()f x 3442++-mx mx x R m A (,)-∞+∞B 3[0,)4C 3(,)4+∞D 3(0,)4()24,xf x x =+-()0f x =A B C D 25,1,()11, 1.x ax x f x x x ⎧-+<⎪=⎨+≥⎪⎩R a A (,2]-∞B [2,)+∞C [4,)+∞D [2,4]23{|0,(1,1)}2A x x x k x =--=∈-A k A 159[,){}2216--B 15(,)22C 95[,)162-. 9.已知若函数则函数……………………( ) .有最小值为,有最大值为.无最小值,有最大值为.有最小值为,无最大值.无最值10.若函数是偶函数,函数是奇函数,则a +b 是……………( ).1 .-.-1二、填空题(每小题5分,共25分) 11. 计算 .12.函数和互为反函数,则的值为 .13.已知三个函数的零点依次为r , s , t , 则r , s , t 的大小关系为__ .14.关于x 的方程有实根,且一个大于2,一个小于2,则m 取值范围为_ __ __.15.已知函数,若函数在区间内存在零点,则实数的取值范围为 .三、解答题(本大题共5小题,共75分) 16.(本题满分15分)计算:(1); (2)D 9[,)16-+∞{},,,,,a ab Max a b b a b ≥⎧=⎨<⎩{}2()|4|,f x Max x x x =-()f x A 04B 4C 0D ()lg(101)xf x ax =++4()2x xb g x -=A 12B C 12D 31log 53+=()2xf x =()log a g x x =1()2g 2()2,()2,()log xf x xg x xh x x x =+=-=+22(1)40x m x m +++-=2()34f x x x a =+-()f x (1,1)-a 21023213(2)(9.6)(3)(1.5)48-----+52551log 352log log log 14;50+-17. 已知集合A =,集合B =.(1)若,求实数m 的值; (2)若,求实数m 的取值范围。
开化中学2013年5月第一次扫描考试高三数学(理)试卷一、选择题:(51050''⨯=)1.若集合{}|lg A y y x ==,{}|1B x y x ==-,则A B I 为( ) A .[0,1] B .(0,1] C .[0,)+∞ D .(,1]-∞2.已知,a b ∈R ,下列四个条件中,使a b >成立的必要而不充分的条件是 ( ) A .1a b >- B .1a b >+ C .||||a b > D .22a b >3.函数150510,(),xx x f x x -⎧-≥⎪=⎨-<⎪⎩为( )A. 单调递减函数,偶函数B.单调递增函数,奇函数C. 单调递增函数,偶函数D.单调递减函数,奇函数 4.如图为一个几何体的三视图,尺寸如图所示,则该几何体的表面积为 ( ) A .π++36 B .π++326C .π4318++D .π++32185. 已知符号函数100010,sgn(),,x x x x >⎧⎪==⎨⎪-<⎩,则函数123||()sgn(ln )()x f x x -=--的零点个数为( )A .1 B. 2 C. 3 D. 46. 已知,,a b c r r r 均为单位向量,且1a b +=r r,则()a b c -r r r g的取值范围是( ) A. 01[,] B. 33[,]- C. 11[,]- D. 03[,]7. 已知数列{}n a ,22n a n n λ=-+,若该数列是递减数列,则实数λ的取值范 围是( )A. (],3-∞B. (],4-∞ C (),6-∞ D. (),5-∞ 8.已知不等式组2,1,0y x y kx x ≤-+⎧⎪≥+⎨⎪≥⎩所表示的平面区域为面积等于1的三角形,则实数k 的值( )A .-1B .12-C .12D .1 9.已知12F F 、是椭圆22221(0)x y a b a b+=>>的左、右焦点,点P 在椭圆上,且122F PF π∠=.记线段PF 1与y 轴的交点为Q ,O 为坐标原点,若△F 1OQ 与四边形OF 2PQ 的面积之比为1: 2,则该椭圆的离心率等于 ( )A .23-B .233-C .31-D .423-10.已知以4T =为周期的函数()f x ,当](1,3x ∈-时, ]]21,(1,1()12,(1,3m x x f x x x -∈-=--∈⎧⎪⎨⎪⎩,其中0m >。
2013-2014学年浙江省绍兴一中高一(上)期中数学试卷一、选择题(本大题共10小题。
每小题3分。
满分30分。
在每小题给出的四个选项中。
只有一项是符合题目要求的)1.(3分)设集合A={2。
3}。
B={2。
3。
4}。
C={2。
4。
5}则(A∩B)∪C=()A.{2。
3。
4}B.{2。
3。
5}C.{3。
4。
5}D.{2。
3。
4。
5}2.(3分)下列四组函数中。
表示同一函数的是()A.y=x﹣1与y=B.y=与y=C.y=4lgx与y=2lgx2 D.y=lgx﹣2与y=lg3.(3分)已知函数。
那么f[f()]的值为()A.9 B.C.﹣9 D.﹣4.(3分)下列函数中。
是偶函数且在区间(0。
+∞)上是减函数的为()A.y=x﹣1B.y=x2 C.y=x﹣2D.5.(3分)若。
则a。
b。
c大小关系为()A.a>b>c B.a>c>b C.c>b>a D.b>a>c6.(3分)已知函数f(x)=的定义域是R。
则实数a的取值范围是()A.a>B.﹣12<a≤0 C.﹣12<a<0 D.a≤7.(3分)设奇函数f(x)在(0。
+∞)上为增函数。
且f(1)=0。
则不等式<0的解集为()A.(﹣1。
0)∪(1。
+∞) B.(﹣∞。
﹣1)∪(0。
1)C.(﹣∞。
﹣1)∪(1。
+∞) D.(﹣1。
0)∪(0。
1)8.(3分)若关于x的方程|3x+1﹣1|=k有两个不相等的实根。
则实数k的取值范围是()A.(﹣1。
0)B.(0。
1) C.(1。
+∞)D.(1。
2)9.(3分)设函数。
对于给定的正数K。
定义函数若对于函数定义域内的任意x。
恒有f K(x)=f(x)。
则()A.K的最大值为B.K的最小值为C.K的最大值为1 D.K的最小值为110.(3分)给出定义:若(其中m为整数)。
则m叫做离实数x 最近的整数。
记作{x}=m.在此基础上给出下列关于函数f(x)=|x﹣{x}|的四个命题:①函数y=f(x)的定义域为R。
高中数学学习材料马鸣风萧萧*整理制作开化中学2013学年高一年级数学周考卷(3) 班级_____学号____姓名_____一.选择题:(本大题共10小题,每小题5分,共50分)1. 集合{1,2,3}的非空真子集共有 …………………………………………………( )A 、5个B 、6个C 、7个D 、8个2.计算122[(2)]--的结果是( ).A .2B .2-C .22D .22- 3. 已知集合{}012=-=x x A ,则下列式子表示正确的有 …………………………( ) ①A 1∈ ②A }1-{∈ ③A ⊆φ ④A ⊆-}1,1{A .1个 B.2个 C.3个 D.4个4. 已知函数y f x =+()1定义域是[]-23,,则yf x =-()21的定义域 ………( ) A.[]052, B.[]-14, C.[]-55, D.[]-37, 5.下列各组函数表示同一函数的是 …………………………………………………( )A .22(),()()f x x g x x ==B .0()1,()f x g x x ==C .()()()()t t g x x x x x f =⎩⎨⎧<-≥=,00 D .21()1,()1x f x x g x x -=+=- 6.已知函数 f(x)=x 5+ax 3+bx-8 ,且 f(-2)=10,那么f(2) 等于 …………………( )A. -26B.-18C.-10D.10 7.已知函数3()3f x x x =-(0)x ≠,则函数 …………………………………………( ) A .是奇函数,且在(0,)+∞上是减函数 B .是偶函数,且在(0,)+∞上是减函数C .是奇函数,且在(0,)+∞上是增函数D .是偶函数,且在(0,)+∞上是增函数8. 若对于任意实数x 总有()()f x f x -=,且()f x 在区间(,1]-∞-上是增函数,则 ( )3A.()(1)(2)2f f f -<-< 3B.(1)()(2)2f f f -<-< 3C.(2)(1)()2f f f <-<- 3D.(2)()(1)2f f f <-<- 9.}2,1{},,,{==B c b a A ,从A 到B 建立映射,使,4)()()(=++c f b f a f 则满足条件的映射个数是 ……………………………………………………………………………( )A.2B. 3C. 5 D . 710.若函数2)1(2)(2+-+=x a x x f 在区间]4,(-∞上单调递减,则实数a 的取值范围( )A.3-≤aB. 3-≥aC. 5≤aD. 5≥a二.填空题:(本大题共5小题,每小题5分,共25分.)11.函数24)(++=x x x f 的定义域为 . 12.若)(x f 是一次函数,14)]([-=x x f f ,则=)(x f .13.函数322-+=x x y 在区间[-3,0]上的值域为 .14.已知函数)(x f y =为奇函数,且当0>x 时32)(2+-=x x x f ,则当0<x 时,)(x f 的 解析式为 .15.函数))(1|(|)(a x x x f +-=为奇函数,则)(x f 的增区间为 .三.解答题:(本题5小题,共75分.解答应写出文字说明,证明过程或演算步骤.)16. (本题满分15分)计算下列各式:(1)已知),0(56>-=a a x 求xx x x a a a a ----33的值;(2) 130633470.001()16(23)8- -++⋅.17.(本题满分15分)设集合{}|0,{|24},{|3782}U x x A x x B x x x =>=≤<=-≥-,求(1),,()U AB A BC A B ,()U C A B ; (2)若集合C ={|20}x x a +>,满足B C C =,求实数a 的取值范围.18.(本题满分15分)已知函数)22(44)(22+-+-=a a ax x x f 在闭区间]2,0[上有最小值3,求实数a 的值。
(第3题)正视图侧视图 俯视图1111 11 1开化中学2014届高三高考5月最后一次适应性考试数学(文)试题第I 卷 (选择题 共50分)一、选择题:本大题共10小题,每小题5分,共50分。
在每小题给出的四个选项中,只有一项是符合题目要求的.1.已知i 是虚数单位,若(34)43z i i -=+,则 ) A .1 C .5 D .102.ABC V 中,”是“tan tan A B =”的( )条件A .充分不必要B . 必要不充分C .充要条件D .既不充分又不必要3. 某几何体的三视图如图所示,该几何体的表面积是( )4.已知(1,3),(,23)a b m m ==-r r,平面上任意向量c r 都可以唯一地表示为(,)c a b R λμλμ=+∈r r r,则实数m 的取值范围是( )A .(,0)(0,)-∞+∞UB .(,3)-∞C .(,3)(3,)-∞--+∞UD .[3,3)-5.设,,l m n 是三条不同的直线,βα、是不同的平面,则下列命题中正确的是( ) A.若//,m n n α⊂,则//m α B .若,,m n m αβαβ⊥=⊥I ,则n α⊥ C .若,l n m n ⊥⊥ ,则//l m D .若,,l m l m αβ⊥⊥⊥,则αβ⊥6.从集合{}1,2,3,4,5A =任意取出两个数,这两个数的和是偶数的概率是() A .B C . D .第II 卷 (非选择题 共l00分)二、填空题:本大题共7小题,每小题4分,共28分.11. 已知函数()f x 是R 上的奇函数,且0x >时,()(1)f x x x =+,则(1)f -= . 12. 设1a >,0b >,若2a b +=,则121a b+-的最小值为 . 13.若下列框图所给的程序运行结果为20S =,那么判断框中应填入的关于整数k 的条件是 ____________14. 设实数y x ,满足2202010x y x y k x +-≥⎧⎪-+≥⎨⎪-≤⎩,若目标函数32z x y =-的取值范围是[4,3]-,则常数k =__________.15.已知向量(2,0)a =r ,向量b r 与向量b a -r r 的夹角为6π,则b r 的最大值为_____________.16.若函数2()(1)(),(,)f x x x ax b a b R =+++∈的图象关于点(2,0)对称,且对任意实数x m ≥时, ()0f x ≥恒成立,则实数m 的最小值为_________.集合,则三、解答题:本大题共5小题,共72分.解答应写出文字说明、证明过程或演算步骤. 18. (本小题满分14分)的最小正周期为π. (I )求实数ω的值.(II )在ABC ∆中,角A 、B 、C 对应的边分别为a 、b 、c ,若,求ABC ∆的周长.19. (本小题满分14分)已知数列{}n a 是公差大于零的等差数列,数列{}n b 为等比数列,且11222,1a b a b ==-=,3316a b +=.(1)求数列{}n a 和{}n b 的通项公式;(2)记n n b c a =,数列{}n c 前n 项的和为n S ,集合集合A .20. (本小题满分14分)如图,在ABC Rt ∆中,90,30=∠=∠B C ,D 为AC 中点,E 为BD 的中点,AE 的延长线交BC 于F ,将ABD ∆沿BD 折起至PBD ∆,使090=∠PDC . (I )求证:⊥PF 平面BCD ; (II )求直线PC 与平面PBD 所 成角的正弦值.21.(I )若1m =,求曲线()y f x =在(1,(1))f 处的切线方程;(II )若对任意12,[1,1]x x ∈-时,恒有12()()4f x f x ''-≤,求实数m 的取值范围.适应性考试参考答案一.选择题ACACD CBCDB二.填空题11. 2-;12. 13. 8k>(或9k≥);14. 4;15. 2 ; 16. 5;三.解答题18. (I分---------------4分,∴1ω=--------------6分(II------------------- 7分分ABCV为等腰直角三角形,又8BC=,由题意得分14分19. 解:(1)设{}(0),,na d d q>数列的公差为数列的公比为则22+2139,(2422216d q d dq qd q-===-⎧⎧⎧⎨⎨⎨==-++=⎩⎩⎩解得或舍去)…………………6分31,2nn na n b∴=-=…………………7分(2)321nnn bc a==⨯-Q…………………8分10分22628,760nnS n n n n>⨯+--+<由得………………… 12分ABCD{}*16,2,3,4,5n n N A <<∈∴=解得………………… 14分76 90,,3 ,60,)1(20ΛΛΛΛΛΛBCD PF PF DC PDF DC DC PD DC DF ACDF FDA FBA DAFBAF DAF BAF AF AF AB AD PF BD PEF BD BD FE BD PE BD AF ABD BAD BD AD ABD 平面平面且折后即又平面折后为正三角形且且中⊥∴⊥∴⊥∴⊥⊥⊥︒=∠=∠∴∆≅∆∴∠=∠==⊥∴⊥∴⊥⊥⊥∆∴︒=∠=∆分21.(I分∴曲线()y f x =在(1,(1))f 处的切线方程为即6320x y +-=-----------------------6分(II )对任意12,[1,1]x x ∈-时,恒有分 由2()()21g xf x x mx '==--,则(1)当1m <-时解舍去);----------------12分(2)当10m -≤≤时解得10m -≤≤; (3)当01m <≤时,解得01m <≤-------------13分(4)当1m >时,-------------14分综上所述, m 的取值范围为[1,1]-. --------------------15分y x C p pOB OF AOB AOB AOB OB OA AB F OF OB OA pF 42121||21||,322cos 222),2,0()1(.222=∴=∴=∴==∆=∠-=∠⋅⋅=⋅=+的方程为抛物线中在得又由中点为知由π--------------5分。
开化中学2013学年高一年级数学周考卷(5)班级 姓名 学号一.选择题(每小题5分,共50分)1.2log 的值为………………………………………………………………………………( )A..C . 12-D . 122.已知集合{|2},{|lg(1)},xS y y T x y x S T ====-则= …………………………( ) A .(0,)+∞ B .[0,)+∞ C .(1,)+∞ D .[1,)+∞3.设0.61.2a =,log 3b π=,12log 3c =,则有……………………………………………( )A .a c b >>B .a b c >>C .b a c >>D .b c a >>4.函数2211()31x x f x x x x ⎧-⎪=⎨-->⎪⎩,,,, ≤则1(3)f f ⎛⎫ ⎪⎝⎭的值为…………………………………( ) A .1516 B .2716- C .89D .185.已知集合{,},1|{},032|2B A B ax x B x x x A =⋂===--=若实数a 的值为 ……( )A .-1, B. 31 C. -1,31 D. -1,0,31 6.函数y=1log 0.5x -的定义域为 …………………………………………………………( )A.⎝ ⎛⎭⎪⎫34,1B.⎝ ⎛⎭⎪⎫34,+∞ C .(1,+∞) D.⎝ ⎛⎭⎪⎫34,1∪(1,+∞)7.函数2()1log f x x =+与1()2x g x -+=在同一直角坐标系下的图象大致是…………( )8.已知221)1(xx xx f +=-,则函数)1(+x f 的表达式为 ………………………………( ) A .22)1(1)1(+++x x B . 22+x C .2)1(2++x D .2)1(2-+x9.函数432+--=x x y 的单调增区间为 …………………………………………………( )A. ]23,(--∞ B. ]23,4[-- C. ),23[+∞-D. ]1,23[- 10.已知函数()lg f x x =,若a b <,且()()f a f b =,则4a b +的取值范围是 ……( ) A.()+∞ B .()4,+∞C.()+∞D .()5,+∞二、填空题(每小题5分,共25分)11.函数21y x =-的定义域是()[),12,5-∞,则其值域是 . 12.已知,53m ba ==且211=+ba ,则m 的值为 .13.已知函数()⎩⎨⎧<+-≥=2,232,)(x x a x a x f x ,为R 上的增函数,则实数a 取值的范围是 . 14.设函数,8)(),1,0(log )(200821=≠>=x x x f a a x x f a 若)()()(220082221x f x f x f +++ 则的值 为 .15. 已知函数2()2,().f x x g x x =-=,若()()min{(),()}f x g x f x g x *=,那么()()f x g x *的最大值是 . (注意:min 表示最小值)三、解答题(本大题共5小题,共75分) 16.计算:00.53954-⎛⎫⎛⎫-++ ⎪ ⎪⎝⎭⎝⎭()266661log 3log 2log 18(2)log 4-+⋅17.设集合{}||32|5A x x =-<,{}2|27150B x x x =+-≤,{}|23C x a x a =<<+. (1)若A C C =,求实数a 的取值范围; (2)若()C A B ⊆,求实数a 的取值范围.18.已知函数()14226xx f x +=--,其中[]0,3x ∈.(1)求函数()f x 的最大值和最小值;(2)若实数a 满足:()0f x a -≥恒成立,求a 的取值范围.19.已知1211log 21x f x x -=+().(1)求()f x 的解析式; (2)判断()f x 的奇偶性;(3)判断()f x 的单调性并证明.20.已知函数()()2, 01 , 03-5, 3x a x f x x x a x -⎧≤⎪=<≤⎨⎪->⎩()01a a >≠且图像经过点()8,6Q .(1)求a 的值,并在直角坐标系中画出函数()f x 的大致图像; (2)求方程()9=0f x -的根;(3)设()()()()1q t f t f t t R =+-∈,求函数()q t 的单调递增区间。
浙江省衢州市高三上学期理数第五次质量检测数学试卷姓名:________ 班级:________ 成绩:________一、单选题 (共13题;共26分)1. (2分)设集合,则()A . [1,2)B . [1,2]C . (2,3]D . [2,3]2. (2分) (2019高三上·广东月考) 若复数的共轭复数满足,则()A .B .C .D .3. (2分)已知,,若,则x等于()A . 2B .C . 3D .4. (2分) (2017高一下·珠海期末) 177(8)=()(2).A . 1111111B . 111111C . 1111101D . 10111115. (2分)一次选拔运动员,测得7名选手的身高(单位:cm)分布茎叶图为记录的平均身高为177cm,则这7名选手身高的方差为()A .B . 14C .D .6. (2分)某几何体的三视图如图(其中侧视图中的圆弧是半圆),则该几何体的表面积为()A .B .C .D .7. (2分)把函数的图象按向量平移,得到函数的图象,则可以是()A .B .C .D .8. (2分)若,则()A .B .C .D .9. (2分) (2016高二上·杭州期中) 已知正项等比数列{an}满足:a7=a6+2a5 ,若存在两项am , an ,使得aman=16a12 ,则+ 的最小值为()A .B .C .D . 不存在10. (2分)(2018·茂名模拟) 过抛物线的焦点,且与其对称轴垂直的直线与交于两点,若在两点处的切线与的对称轴交于点,则外接圆的半径是()A .B .C .D .11. (2分) (2016高二上·沙坪坝期中) 双曲线的渐近线方程是()A . y=±xB .C .D .12. (2分)(2018·绵阳模拟) 已知函数,有三个不同的零点,(其中),则的值为()A .B .C . -1D . 113. (2分)已知函数f(x)是定义在R上的奇函数,且它的图像关于直线x=1对称,若函数,则()A .B . 1.5C .D . -1.5二、填空题 (共3题;共3分)14. (1分) (2017·徐水模拟) (1+2x2)(x﹣)8的展开式中常数项为________.15. (1分)(2013·广东理) 给定区域D:.令点集T={(x0 , y0)∈D|x0 ,y0∈Z,(x0 ,y0)是z=x+y在D上取得最大值或最小值的点},则T中的点共确定________ 条不同的直线.16. (1分)已知正方体AC1的棱长为1,点P是面AA1D1D的中心,点Q是面A1B1C1D1的对角线B1D1上一点,且PQ∥平面AA1B1B,则线段PQ的长为________.三、解答题 (共7题;共55分)17. (5分) (2017高一下·怀仁期末) 已知△ABC中,BC=7,AB=3,且。
开化中学2013学年高一年级数学周考卷(5)班级 姓名学号一.选择题(每小题5分,共50分) 1.2log 2的值为……( )A .2-B .2 C . 12- D . 122.已知集合{|2},{|lg(1)},xS y y T x y x S T ====-则= ………( )A .(0,)+∞B .[0,)+∞C .(1,)+∞D .[1,)+∞3.设0.61.2a =,log 3b π=,12log 3c =,则有………( )A .a c b >>B .a b c >>C .b a c >>D .b c a >>4.函数2211()31x x f x x x x ⎧-⎪=⎨-->⎪⎩,,,, ≤则1(3)f f ⎛⎫ ⎪⎝⎭的值为………………( )A .1516B .2716-C .89D .185.已知集合{,},1|{},032|2B A B ax x B x x x A =⋂===--=若实数a 的值为 ……( )A .-1, B. 31C. -1,31D. -1,0,31 6.函数y =1log 0.5(4x -3)的定义域为 …( )A.⎝⎛⎭⎫34,1B.⎝⎛⎭⎫34,+∞ C .(1,+∞) D.⎝⎛⎭⎫34,1∪(1,+∞) 7.函数2()1log f x x =+与1()2x g x -+=在同一直角坐标系下的图象大致是 …………( )8.已知221)1(x x xx f +=-,则函数)1(+x f 的表达式为 ……………( )A .22)1(1)1(+++x x B . 22+x C .2)1(2++x D .2)1(2-+x 9.函数432+--=x x y 的单调增区间为 ……………( ) A. ]23,(--∞ B. ]23,4[-- C. ),23[+∞-D. ]1,23[- 10.已知函数()lg f x x =,若a b <,且()()f a f b =,则4a b +的取值范围是…( ) A.()+∞B .()4,+∞C.()+∞D .()5,+∞二、填空题(每小题5分,共25分)11.函数21y x =-的定义域是()[),12,5-∞,则其值域是 . 12.已知,53m ba ==且211=+ba ,则m 的值为 .13.已知函数()⎩⎨⎧<+-≥=2,232,)(x x a x a x f x ,为R 上的增函数,则实数a 取值的范围是 . 14.设函数,8)(),1,0(log )(200821=≠>=x x x f a a x x f a 若)()()(220082221x f x f x f +++ 则的值 为 .15. 已知函数2()2,().f x x g x x =-=,若()()min{(),()}f x g x f x g x *=,那么()()f x g x *的最大值是 . (注意:min 表示最小值)三、解答题(本大题共5小题,共75分) 16.计算:00.53954-⎛⎫⎛⎫-+ ⎪ ⎪⎝⎭⎝⎭()266661log 3log 2log 18(2)log 4-+⋅17.设集合{}||32|5A x x =-<,{}2|27150B x x x =+-≤,{}|23C x a x a =<<+. (1)若A C C =,求实数a 的取值范围; (2)若()C A B ⊆,求实数a 的取值范围.18.已知函数()14226xx f x +=--,其中[]0,3x ∈.(1)求函数()f x 的最大值和最小值;(2)若实数a 满足:()0f x a -≥恒成立,求a 的取值范围.19.已知1211log 21x f x x -=+(). (1)求()f x 的解析式; (2)判断()f x 的奇偶性; (3)判断()f x 的单调性并证明.20.已知函数()()2, 01 , 03-5, 3x a x f x x x a x -⎧≤⎪=<≤⎨⎪->⎩()01a a >≠且图像经过点()8,6Q .(1)求a 的值,并在直角坐标系中画出函数()f x 的大致图像; (2)求方程()9=0f x -的根;(3)设()()()()1q t f t f t t R =+-∈,求函数()q t 的单调递增区间。
开化中学2013学年高一年级数学周考卷(5)参考答案一、选择题二、填空题 11、()1,0,22⎛⎤-∞ ⎥⎝⎦12 13、[)2,3 14、16 15、1 三、解答题 16、(1)53e +(8分) (2)1 (15分) 17、解:(1){|14}A x x =-<<,A C C C A =∴⊆,当1234a C a -≤⎧≠∅⎨+≤⎩时,则,112a ∴-≤≤当=23,3C a a a ∅≥+∴≥时,则综上可知,若AC C =,则a 的取值范围为1[,1][3,)2-+∞.(2)3{|5}2B x x =-≤≤,3{|1}2A B x x =-<≤, ()C A B ⊆∴当12 332a C a -≤⎧⎪≠∅⎨+≤⎪⎩时,则 a ∴不存在当=23,3C a a a ∅≥+∴≥时,则 综上可知,若()C AB ⊆,则a 的取值范围为[3,)+∞.18、解(1)令2xt =,则[1,8]t ∈,从而1()4226xx f x +=-⋅-化为246y t t =-- (4分)当2t =时, y 取得最小,最小值为y =-10; 当8t =时,y 取得最大,最大值为y =26;则 ()[1,3]26-10f x x ∈在上取得的最大值为,最小值为 (10分) (2)()0[1,3]f x a x -≥∈恒成立,0[1,8]y a t ∴-≥∈恒成立,,246[1,8]t t a t --≥∈即恒成立,,10a ∴≤- (15分)19、解:(1)令121log 2t x =,则21124t tt x ⎛⎫⎛⎫∈== ⎪ ⎪⎝⎭⎝⎭R ,,1114144(), ()().1414114ttx t t xf t f x x R ⎛⎫- ⎪--⎝⎭==∴=∈++⎛⎫+ ⎪⎝⎭(5分) (2)x ∈R ,且1441()()4141x x xx f x f x -----===-++, ()f x ∴为奇函数.(10分) (3)2()114xf x =-++, ()f x ∴在()-∞+∞,上是减函数. 证明:任取12x x R ∈,,且12x x <,则21121212222(44)()()111414(14)(14)x x x x x x f x f x -⎛⎫⎛⎫-=-+---= ⎪⎪++++⎝⎭⎝⎭. 4x y =在()-∞+∞,上是增函数,且12x x <, 122144,440x x x x ∴<->,又12(14)(14)0xx++>,12()()0f x f x ∴->,即12()()f x f x >.14()14x xf x -∴=+在()-∞+∞,上是减函数.(15分)20、解:(1) 由x = 8 > 3, 且点Q 在函数图象上得:6 = ( 8 – 5 ) 2 – a , 解得a = 3.得f ( x ) =⎪⎩⎪⎨⎧>--≤<≤-33)5(301032x x x x x图象如图所示. (5分)(2) 由f (x ) = 9, 得39x-=或2(5)39x --=,解得: 2x =- , 或523x =±(负舍去),故所求方程的根为 2x =- , 或5+23x =.(10分)(3)1211()(1)()33()()33t t tt q t f t f t ---≤-=+-=-=-当时,,()q t 此时,单调递增;-35110()(1)()1313ttt q t f t f t -⎛⎫-<≤=+-=-=- ⎪⎝⎭当时, , ()q t 此时,单调递增;02()(1)()110,()t q t f t f t q t <≤=+-=-=当时,此时,是常数函数; 23()(1)()4)4,()t q t f t f t t q t <≤=+-=--当2时,(此时,是单调递减;223()(1)()4)3(5)329,()t q t f t f t t t t q t <=+-=----+=-当时,(此时,是单调递增;()q t ∞∞综合上述,函数的单调递增区间是(-,0]和[3,+). (15分)。