有机化学练习测试题
- 格式:doc
- 大小:121.00 KB
- 文档页数:4
有机化学练习题及答案有机化学是化学的一个重要分支,研究有机物的结构、性质、合成方法和反应机理。
它在药物、材料、能源等领域具有广泛的应用价值。
为了加深对有机化学的理解,下面将提供一些有机化学的练习题及答案,供大家参考。
1. 对于以下化合物,请判断其是醇、醛、酮还是羧酸:a) CH3CH2OHb) CH3CHOc) CH3COCH3d) CH3COOH答案:a) 醇b) 醛c) 酮d) 羧酸2. 以下化合物中,哪个是手性分子?a) CH3CH2CH2CH3b) CH3CH2OHc) CH3COOHd) CH3CH(Cl)CH3答案:d) CH3CH(Cl)CH33. 以下哪个化合物是芳香化合物?a) CH3CH2CH2CH3b) CH3CH2OHc) CH3COOHd) C6H6答案:d) C6H64. 对于以下反应,请写出反应方程式:a) 乙醇和浓硫酸反应b) 乙醇和氧气反应c) 乙醇和氯化氢反应答案:a) CH3CH2OH + H2SO4 → CH3CH2OSO3H + H2Ob) CH3CH2OH + O2 → CH3CHO + H2Oc) CH3CH2OH + HCl → CH3CH2Cl + H2O5. 对于以下反应,请写出反应方程式:a) 乙醛和氧化银反应b) 乙醛和氢氰酸反应c) 乙醛和氢氧化钠反应答案:a) CH3CHO + 2Ag2O → 2Ag + CH3COOH + H2Ob) CH3CHO + HCN → CH3CH(OH)CNc) CH3CHO + NaOH → CH3CH(OH)COONa以上是一些有机化学的练习题及答案,通过练习可以加深对有机化学知识的理解和掌握。
希望大家能够通过不断的练习和学习,提高自己在有机化学领域的能力。
有机化学是一门需要动手实践的学科,通过实验和练习可以更好地理解和应用其中的知识。
祝愿大家在有机化学的学习中取得好成绩!。
有机化学练习题及答案一、选择题1. 下列化合物中,哪一个是醇?A. CH3CH2OHB. CH3COOHC. CH3CH2COOHD. CH3CH2CH3答案:A2. 以下哪个反应是酯化反应?A. 乙醇与水反应生成乙醚B. 乙醇与乙酸反应生成乙酸乙酯C. 乙酸与氢氧化钠反应生成乙酸钠D. 乙醇与氢氧化钠反应生成乙醇钠答案:B3. 以下哪个是芳香族化合物?A. 甲烷B. 乙烯C. 苯D. 乙炔答案:C4. 以下哪个是碳正离子的稳定化因素?A. 氢原子B. 甲基C. 羟基D. 羧基答案:B5. 以下哪个反应是亲电加成反应?A. 溴与烯烃反应生成1,2-二溴烷B. 氢气与烯烃反应生成烷烃C. 氯气与苯反应生成氯苯D. 氢氧化钠与酯反应生成醇和羧酸答案:A二、填空题6. 请写出乙烷的分子式:______。
答案:C2H67. 芳香族化合物中,含有苯环的化合物至少含有一个______。
答案:不饱和碳原子8. 醇的官能团是______。
答案:-OH9. 酯化反应是酸和醇反应生成______和水的过程。
答案:酯10. 碳正离子是带有一个______的碳原子。
答案:正电荷三、简答题11. 请简述什么是消去反应,并给出一个例子。
答案:消去反应是一种有机化学反应,其中一个分子的一部分(通常是小分子,如水或卤化氢)从较大的分子中移除,通常生成不饱和化合物。
例如,2-丁醇在强酸(如浓硫酸)作用下可以发生消去反应,生成丁烯。
12. 什么是芳香性,具有芳香性的化合物有哪些特点?答案:芳香性是指某些平面的、含有共轭π电子体系的环状有机化合物的特殊稳定性。
具有芳香性的化合物特点包括:平面结构、共轭π电子体系、特定的环状结构(如苯环),以及较高的化学稳定性。
四、计算题13. 某化合物的分子式为C8H10,已知其不含有碳碳双键、三键或其他官能团,试计算其不饱和度。
答案:不饱和度 = (2C + 2 + N - H) / 2 = (2*8 + 2 + 0 - 10) / 2 = 4五、综合题14. 给出一种合成对硝基苯酚的方法,并说明反应机理。
基础有机化学试题及答案一、选择题(每题2分,共20分)1. 下列化合物中,哪一个是芳香烃?A. 甲烷B. 乙炔C. 苯D. 环己烷答案:C2. 哪个官能团是醇类化合物的特征?A. 羧基B. 羟基C. 酯基D. 酮基答案:B3. 下列哪种反应不是取代反应?A. 卤代反应B. 酯化反应C. 酯的水解D. 硝化反应答案:C4. 以下化合物中,哪一个是烯烃?A. 甲烷B. 乙醇C. 丙烯D. 丙酮答案:C5. 醇的氧化反应中,通常需要哪种催化剂?A. 酸B. 碱C. 金属氧化物D. 金属答案:C6. 以下化合物中,哪一个是酮?A. 乙酸B. 丙酮C. 乙醇D. 丙烯酸答案:B7. 以下哪种反应是加成反应?A. 酯化反应B. 卤代反应C. 水解反应D. 聚合反应答案:B8. 以下化合物中,哪一个是醛?A. 甲醛B. 乙酸C. 乙醛D. 丙酮答案:C9. 以下哪种反应是消除反应?A. 酯化反应B. 卤代反应C. 酯的水解D. 醇的脱水反应答案:D10. 以下化合物中,哪一个是羧酸?A. 乙酸B. 乙醇C. 丙酮D. 丙烯酸答案:A二、填空题(每题2分,共20分)1. 芳香烃的特点是具有一个或多个_____。
答案:苯环2. 醇类化合物的官能团是_____。
答案:羟基3. 取代反应是指一个原子或原子团被另一个原子或原子团所_____。
答案:取代4. 烯烃是含有_____的碳氢化合物。
答案:碳碳双键5. 醇的氧化反应通常需要_____作为催化剂。
答案:金属氧化物6. 酮类化合物的官能团是_____。
答案:羰基7. 加成反应是指两个或多个分子结合形成一个新的分子,同时没有原子或原子团被_____。
答案:取代8. 醛类化合物的官能团是_____。
答案:醛基9. 消除反应是指从分子中移除一个或多个原子或原子团,形成一个新的不饱和化合物的过程,通常发生在_____化合物中。
答案:醇10. 羧酸类化合物的官能团是_____。
有机化学练习题及答案一、选择题1. 下列化合物中,属于醇的是:A. 甲烷B. 甲醇C. 甲酸D. 甲胺答案:B2. 下列化合物中,属于醚的是:A. 甲烷B. 甲醇C. 乙醛D. 乙醚答案:D3. 下列化合物中,属于酮的是:A. 丙酸B. 丙醇C. 乙酮D. 乙醛答案:C4. 下列化合物中,属于醛的是:A. 乙醇B. 丙酸C. 丁醛D. 丁酸答案:C5. 下列化合物中,属于羧酸的是:A. 甲醛B. 甲酸C. 甲胺D. 甲烷答案:B二、填空题1. 甲醇的结构式为______。
答案:CH3OH2. 乙醚的结构式为______。
答案:CH3-O-CH2CH33. 乙酮的结构式为______。
答案:CH3COCH34. 乙烷的结构式为______。
答案:CH3CH35. 丙酸的结构式为______。
答案:CH3CH2COOH三、简答题1. 请简要解释什么是同分异构体?答:同分异构体是指分子式相同但结构不同的有机化合物。
它们具有相同的分子式,但构型和物理性质有所不同。
这是因为在同一分子中,原子的连接方式可以有多种组合形式,从而导致分子结构的变化。
2. 请简述有机化合物的命名原则。
答:有机化合物的命名原则主要包括以下几个方面:- 正确标识主链:找到最长的碳链,作为主链,用根号表示。
- 根据主链上的取代基进行命名:在主链上找到取代基,按照一定的顺序命名,例如用号码或字母来表示。
- 确定取代基的位置:通过给主链中的碳原子编号,确定取代基的位置。
- 考虑立体异构:对于存在立体异构的有机化合物,需要通过E-Z 命名法或R/S命名法来表示立体化学特性。
四、综合题1. 请写出以下化合物的结构式并进行命名:A. 2-溴-2-甲基丙酸B. 苯甲醛C. 1,2-二氯-2-甲基甲烷D. 2,3-二溴丁烷答:A. CH3CBr(CH3)COOH2-Bromo-2-methylpropanoic acidB. C6H5CHOBenzaldehydeC. CHCl2CH2Cl1,2-Dichloro-2-methylmethaneD. CH3CH(Br)CH2CH2Br2,3-Dibromobutane以上为有机化学练习题及答案的内容,希望对你的学习有所帮助。
有机化学试题及答案一、选择题1.下列化合物中,属于酚的是:A. 甲烷B. 乙醛C. 乙酸D. 苯酚答案:D. 苯酚2.下面哪种化合物是酮?A. 丙酸B. 正丁醇C. 戊酮D. 甲酸答案:C. 戊酮3.下列哪种化合物属于脂肪酸?A. 乙酸B. 甲醇C. 乙醇D. 丙酮答案:A. 乙酸4.下列化合物中,属于芳香烃的是:A. 丙烯B. 丙烷C. 苯D. 己烷答案:C. 苯二、填空题1.苯的结构式为____。
答案:C6H62.乙烯的结构式为____。
答案:C2H43.丙酮的结构式为____。
答案:CH3COCH34.甲醇的结构式为____。
答案:CH3OH三、解答题1.乙醛是一种有机化合物,其化学式为C2H4O。
请给出乙醛的结构式,并简要描述乙醛的性质。
答案:乙醛的结构式为CH3CHO。
乙醛是一种醛类化合物,具有刺激性气味。
乙醛可溶于水,能与氧气发生反应产生燃烧,也可被氧化剂氧化成乙酸。
2.请描述橡胶的结构和性质。
答案:橡胶是一种高分子有机化合物,其主要成分为聚合物。
橡胶的基本结构是由聚合物链通过交联结合而成的网络结构。
橡胶具有高度的弹性,可以拉伸并恢复原状。
它具有良好的耐磨性、耐寒性和耐化学性。
四、综合题1.请给出以下有机化合物的命名:(1)CH3CH2OH答案:乙醇(2)CH3COCH3答案:丙酮(3)CH3CH2CHO答案:丁醛(4)CH3COOH答案:乙酸五、应用题请用有机化学理论解释以下现象:当食用油受到高温烹调时,会产生烟雾和有刺激性气味。
答案:这是由于高温下,食用油中的脂肪酸和其他有机化合物发生分解反应,生成了一系列挥发性化合物,导致了烟雾和有刺激性气味的产生。
以上仅为部分有机化学试题及答案,希望对您的学习有所帮助。
参考文献: - Smith, J. M. Smith’s Organic Chemistry. 3rd ed., McGraw-Hill Education, 2011. - Klein, D. R. Organic Chemistry. 2nd ed., Wiley, 2012.。
大一有机化学试题及答案一、选择题(每题2分,共20分)1. 下列化合物中,属于醇类的是:A. CH3COOHB. CH3CH2OHC. CH3CH2CH3D. CH3CH2NH2答案:B2. 以下哪种反应是取代反应?A. 加成反应B. 消去反应C. 酯化反应D. 还原反应答案:C3. 以下化合物中,哪个是芳香烃?A. 环己烷B. 苯C. 环戊烷D. 环丁烷答案:B4. 下列哪个是烯烃的命名?A. 1-丁烯B. 2-丁烯C. 2-甲基丙烷D. 2-甲基丁烷答案:A5. 以下哪种反应是氧化反应?A. 燃烧B. 还原C. 加成D. 酯化答案:A6. 以下化合物中,哪个是酮?A. CH3COCH3B. CH3CH2OHC. CH3CH2CHOD. CH3CH2COOH答案:A7. 以下哪种反应是消除反应?A. 酯化反应B. 还原反应C. 水解反应D. 消去反应答案:D8. 以下化合物中,哪个是醛?A. CH3CHOB. CH3CH2OHC. CH3CH2COOHD. CH3CH2CH3答案:A9. 下列哪个是羧酸?A. CH3COOHB. CH3CH2OHC. CH3CH2CH3D. CH3CH2NH2答案:A10. 以下哪种反应是还原反应?A. 氧化B. 还原C. 加成D. 酯化答案:B二、填空题(每题2分,共20分)1. 乙醇的化学式是______。
答案:C2H5OH2. 芳香烃的特点是含有______个碳原子的环状结构。
答案:63. 烯烃的命名规则是将双键放在______号位。
答案:14. 酮类化合物的特点是含有______基团。
答案:C=O5. 醛类化合物的特点是含有______基团。
答案:-CHO6. 羧酸的化学式一般为______。
答案:RCOOH7. 酯化反应的一般反应式为______。
答案:酸 + 醇→ 酯 + 水8. 消去反应的特点是生成______。
答案:烯烃9. 取代反应的特点是生成______。
大学有机化学试题及答案一、选择题(每题2分,共20分)1. 下列化合物中,哪一个是芳香烃?A. 环己烷B. 苯C. 环戊烷D. 环己烯答案:B2. 以下哪个反应是亲核取代反应?A. Friedel-Crafts反应B. 羟醛缩合C. 酯化反应D. 威廉姆森醚合成答案:A3. 以下哪个化合物是手性分子?A. 乙醇B. 丙醇C. 异丙醇D. 正丁醇答案:C4. 下列哪种反应类型属于消除反应?A. SN1反应B. SN2反应C. E1反应D. E2反应答案:D5. 以下哪个化合物是烯烃?A. 环己烷B. 环戊烷C. 环己烯D. 环戊二烯答案:C6. 以下哪个化合物是炔烃?A. 乙炔B. 丙炔C. 丁炔D. 所有以上答案:D7. 以下哪个化合物是芳香胺?A. 苯胺B. 甲苯胺C. 乙苯胺D. 所有以上答案:D8. 以下哪个化合物是酮?A. 丙酮B. 丁酮C. 环己酮D. 所有以上答案:D9. 以下哪个化合物是醛?A. 甲醛B. 乙醛C. 丙醛D. 所有以上答案:D10. 以下哪个化合物是酯?A. 乙酸乙酯B. 乙酸丙酯C. 乙酸丁酯D. 所有以上答案:D二、填空题(每题2分,共20分)1. 芳香族化合物的特征是含有一个或多个______环。
答案:苯2. 亲核取代反应中,亲核试剂攻击底物的______原子。
答案:碳3. 手性分子是指不能与其镜像完全重叠的______分子。
答案:有机4. 消除反应中,两个相邻的原子或基团被______。
答案:移除5. 烯烃是含有一个______键的化合物。
答案:碳-碳双6. 炔烃是含有一个______键的化合物。
答案:碳-碳三7. 芳香胺是指含有苯环和氨基的______化合物。
答案:有机8. 酮是指含有一个______氧原子的化合物。
答案:羰基9. 醛是指含有一个______氧原子的化合物。
答案:羰基10. 酯是由羧酸和醇反应生成的含有______基的化合物。
答案:酯基三、简答题(每题10分,共30分)1. 描述SN1和SN2反应机制的主要区别。
有机化学考试题及答案一、选择题(每题2分,共20分)1. 下列化合物中,哪一个不是芳香烃?A. 苯B. 甲苯C. 环己烯D. 萘2. 以下哪个反应不是取代反应?A. 卤代反应B. 酯化反应C. 水解反应D. 醇的脱水反应3. 以下哪种化合物属于烯烃?A. CH₃CH₂OHB. CH₂=CH₂C. CH₃COOHD. CH₃CHO4. 以下哪个是有机反应的催化剂?A. 硫酸B. 氢氧化钠C. 氯化铁D. 锌粉5. 以下哪个不是有机合成中常用的保护基团?A. 乙酰基B. 苄基C. 甲基D. 叔丁基二甲基硅基二、填空题(每空2分,共20分)6. 有机分子中的碳原子可以形成______个共价键。
7. 一个碳原子最多可以形成______个碳-碳单键。
8. 一个分子中,如果含有n个手性中心,那么它的立体异构体数量最多是______。
9. 芳香族化合物通常具有较高的______稳定性。
10. 有机反应中的亲核取代反应中,亲核试剂是带有______的分子或离子。
三、简答题(每题10分,共30分)11. 简述什么是亲电取代反应,并给出一个例子。
12. 解释什么是消去反应,并说明消去反应的条件。
13. 描述什么是自由基取代反应,并举例说明。
四、计算题(每题15分,共30分)14. 某化合物的分子式为C₃H₆O,计算其不饱和度。
15. 给定一个反应方程式:CH₃Br + NaOH → CH₃OH + NaBr,计算1摩尔CH₃Br参与反应时,生成的CH₃OH的摩尔数。
有机化学考试题答案一、选择题1. 答案:C(环己烯是烯烃,不是芳香烃)2. 答案:D(醇的脱水反应是消除反应,不是取代反应)3. 答案:B(CH₂=CH₂是乙烯,属于烯烃)4. 答案:D(锌粉常用于还原反应,不是催化剂)5. 答案:C(甲基不是保护基团)二、填空题6. 答案:四7. 答案:三8. 答案:2^n9. 答案:芳香10. 答案:负电荷三、简答题11. 亲电取代反应是指含有未共享电子对的原子或分子(亲核试剂)进攻一个带正电或部分正电的原子,取代该原子上的一个基团的反应。
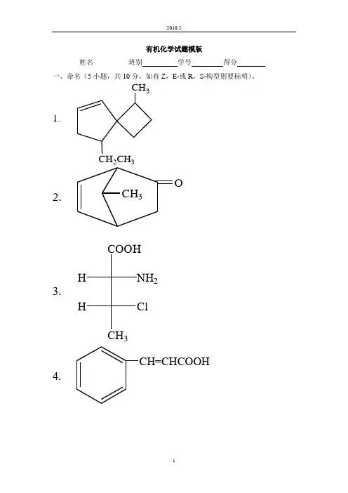
有机化学试题模版姓名__________班别 学号 得分一、命名(5小题,共10分,如有Z ,E-或R ,S-构型则要标明)。
CH 2CH 3CH 31.O CH 32.COOHHNH 2CH 3HCl 3.CH=CHCOOH4.N OH5.CH3H ClCH3OH H1.CON(CH3)22.NCl CH36.3.CHOO4.O5.CH 31.CH 2CH 3CH 31. CH 3CH 32.3.COOHH NH 2CH 2CH 3CH=CHCOOH4.O 2NNO 2OHNO 25.二、写结构式(10小题,共10分,注意标明Z ,E-或R ,S-构型)1、 (顺式)-1,3-二甲基环丁烷2、 阿司匹林3、(E )-2-溴-2-丁烯4、丙二酸二乙酯5、N-甲基-N-乙基苯胺6、 2-呋喃甲醛7、甘油 8、烯丙基溴9、3,5-二硝基苯磺酸10、乙二胺11、(顺式)-1,3-二甲基环丁烷12、1,4-萘醌13、邻甲基苯甲醇14、2-丁烯醛15、2,4,6-三硝基苯酚16、异丙基苯17、(E)-2-溴-2-丁烯18、螺[2.4]庚烷19、樟脑20、3-吡啶甲酸21、3-甲基吲哚22、2-呋喃甲醛23、偶氮苯24、N-甲基-N-乙基苯胺25、喹啉26、2,4,6-三硝基苯27、安息香酸28、β-苯基丙烯酸29、4-戊烯-2-酮30、β-丁酮酸31、1-戊烯-4-炔32、2-甲基-1,3-丁二烯33、1,1-甲基环丁烷34、5-甲基螺[2.4]庚烷35、二环[2.2.2]辛烷36、叔丁基苯37、3-溴丙烯38、1-萘磺酸39、乙二醇40、环氧乙烷41、3-戊烯-2-醇42、N-甲基-N-丙基苯胺43、对硝基苯酚44、苯甲醚45、3-苯基丙烯醛46、环己酮47、乳酸48、乙二酸49、甲酰氯50、乙酸甲酯51、乙酰水杨酸52、顺-3,4-二甲基-3-庚烯53、吡啶54、2-甲基噻吩55、乙酰苯胺56、联苯57、D-(+) –果糖58、氨基乙酸59、(2R,3R)-2,3-二氯丁烷(写费歇尔式)60、异丁基环己烷(写键线式)61、(2R,3S)-2-羟基-3-氯丁二酸(写锯架式) 62、9,10-蒽醌63、(2R,3R)-2-溴-3-戊醇(写纽曼交叉式) 64、(2E,4Z)-2,4-庚二烯65、1,6,-二甲基螺[3.4]辛烷 66、二环[3.2.0]-1(5)-庚烯67、2,2,6,6,-四甲基-4-叔丁基庚烷68、 3,5-二硝基苯磺酸69、乙酰乙酸乙酯70、阿司匹林三、选择题(单选题,共10分,把字母写在括号内)1、下列化合物加氢开环最容易的是( a )a、环丙烷b、环丁烷c、环戊烷d、环己烷2、区别烷烃和环丙烷烃的试剂是( d )a、氢氧化钠b、溴化氢c、高锰酸钾d、溴水3、下列化合物中无顺反异构的是( a )a、2-甲基-2-丁烯b、4-甲基-3-庚烯c、2,3-二氯-2-丁烯d、1,3-戊二烯4、能与银氨溶液生成白色沉淀的是( b )a、乙酸b、丙炔c、乙烯d、乙醇5、下列化合物属于间对位定位基的是( b )a、甲基b、硝基c、甲氧基d、羟基6、下列化合物中,不能形成同种分子间氢键的是( a )a、甲醚b、乙醇c、甲醇d、丙醇7、下列化合物中比苯取代反应活性强的是( c )a、苯磺酸b、氯苯c、苯酚d、硝基苯8、下列那些不是理想溶剂必须的条件( d )a、不与被提物起化学反应b、对杂质的溶解度非常大c、容易挥发d、有毒性9、下列碳正离子最稳定的是( c )a C6H5C+HCH3b (C6H5)2C+CH3c (C6H5)3C+d CH3C+HCH310、下列化合物中,哪个不具有芳香性( c )a. b. c.d.N HC H2C H3N11、加热即发生脱酸又发生脱水反应的是( d )a 草酸b 丙二酸c 丁二酸d 己二酸12、沸点最低的是( c )a 丙醇b 丙酮c 丙烷d 丙烯13、能与硝酸银的醇溶液作用生成沉淀的是( c )a 溴乙烯b 对溴乙苯c 苄溴d 溴苯14、与Lucas试剂反应速度最慢的是( d )a 1-丁醇b 2-甲基-2-丙醇c 2-丁醇d 1-戊醇15、不能发生碘仿反应的是( b )a 乙醛b 苯甲醛c 丙酮d 乙醇16、下列哪一个能与水合茚三酮呈现蓝紫色反应( c )a 葡萄糖b 水杨酸c 蛋白质d 蔗糖17、下列哪一个能与Tollen试剂反应生成银镜( b )a 乳糖b 葡萄糖c 纤维素d 淀粉18、下列化合物属于邻对位定位基的是( c )a 羰基b 硝基c 甲氧基d 羧基19、下列化合物中,哪个不具有芳香性( d )a. b. c. d.O+-20、下列化合物中,哪个的酸性最强的是( d )OH OHCH3CH2OH OHNO2a b c d21、下列化合物沸点最高的是(③)①丙炔②丙酮③丙醇④丙烯22、不能与硝酸银的醇溶液作用生成沉淀的是(①)①氯苯②2-溴丙烷③苄溴④烯丙溴23、比较下列醇钠的碱性最大的是(①)①叔丁醇钠②仲丁醇钠③异丁醇钠④正丁醇钠24、下列哪一个能与金属钠反应最慢的是(④)①苯酚②甲醇③乙醇④正丁醇25、下列哪一个碳正离子的稳定性最大(①)①C6H5C+HCH3②. (C6H5)2C+H ③CH3C+H2④. +CH326、下列化合物的苯环硝化活性最大的是(①)①甲苯②苯③溴苯④硝基苯27、下列卤烃的亲核取代反应速度最快的是(①)①碘代烷②溴代烷③氯代烷④氟代烷28、下列不属于卤代烷的S N1亲核取代反应特点的是(④)①反应分步进行②单分子反应③有碳正离子中间体④构型完全转化29、下列化合物中,亲核加成反应最快的是(②)① C6H5CHO ② CH3CHO ③ CH3COCH3 ④ CH3COC6H530、下列化合物中,能够发生卤仿反应的是(①)①苯乙酮②3-戊酮③甲醛④1-丙醇31、下列化合物酸性最强的是(③)①对甲基苯酚②苯酚③对硝基苯酚④对甲氧基苯酚32、下列化合物进行SN2反应时反应速度最快的是(①)① CH3Cl ② CH3CH2CH2Cl ③ (CH3)2CHCl ④ (CH3)3CCl33、下列化合物沸点最高的是(③)①环己烷②环己烯③环己醇④环己酮34、下列化合物进行SN1反应时反应速度最快的是(②)① C6H5CH2CH2Cl ② C6H5CH2Cl ③ p-CH3-C6H4-Cl ④ CH3 CH2Cl35、下列化合物不具有旋光性的是(②)① 2-氨基丙酸② (2R,3S)-酒石酸③ (2S,3S)-酒石酸④ (2R,3R)-酒石酸36、下列化合物不具有芳香性的是(③)-+①②③④5、下列化合物进行SN2反应时反应速度最快的是()① CH3Cl ② CH3CH2CH2Cl ③ (CH3)2CHCl ④ (CH3)3CCl37、下列负离子碱性最强的是(①)①(CH3)3CO-② (CH3)2CHO-③ PhO-④ CH3CH2O-38、甲苯和氯气在光照条件下进行反应的历程是(③)①亲电取代②亲核取代③自由基取代④自由基加成39、判断E1和E2反应的主要产物的规则是(③)①马氏规则②休克尔规则③查依采夫规则④反马氏规则40、下列现象哪一个不属于S N1反应机理。
有机化学试题+答案一、单选题(共100题,每题1分,共100分)1、下列哪种物质常用作有机溶剂( )A、甲醛B、乙醛C、丙酮D、苯甲醛正确答案:C2、下列糖类中, 不能水解的是( )A、核糖B、蔗糖C、淀粉D、麦芽糖正确答案:A3、下列试剂中能与醛反应显紫红色的是( )A、Schiff 试剂B、Fehling 试剂C、FeCl3D、AgNO3正确答案:A4、相对分子质量为 30 的烃的化学式是( )。
A、C2H4B、C2H6C、C3H8D、C3H6正确答案:B5、CH3CH2CH(CH3)COOH 的名称是( )A、2- 甲基丁酸B、2-乙基丙酸C、3- 甲基丁酸D、异戊酸正确答案:A6、烯烃的顺反异构属于( )。
A、构象异构B、碳链异构C、位置异构D、构型异构正确答案:D7、化合物 CH3CH2OCH3 的名称是( )A、乙醚B、丙醚C、甲乙醚D、甲醚正确答案:C8、下列有机物属于取代羧酸的是( )A、草酸B、甲酸C、水杨酸D、乙酸正确答案:C9、CH3OOCCH2COOCH2CH3 完全水解的产物是( )A、CH3OOCCH2COOH +CH3CH2OHB、HOOCCH2COOCH2CH3 +CH3OHC、HOOCCH2COOHD、HOOCCH2COOH + CH3OH + CH3CH2OH正确答案:D10、常用于表示格氏试剂的通式是( )A、R2MgB、MgX2C、RMgXD、RX正确答案:C11、乙烯不具有的性质是( )。
A、能使溴水和高锰酸钾酸性溶液褪色B、能燃烧并有黑烟C、发生取代反应D、比空气轻正确答案:C12、麦芽糖水解的产物是( )A、半乳糖和果糖B、半乳糖和葡萄糖C、葡萄糖D、葡萄糖和果糖正确答案:C13、下列物质中不能使酸性高锰酸钾溶液退色的是( )。
A、乙炔B、苯C、甲苯D、丙烯正确答案:B14、单糖不能发生的化学反应是( )A、成酯反应B、银镜反应C、水解反应D、成苷反应正确答案:C15、苯胺与溴水的反应属于( )A、酰化反应B、取代反应C、加成反应D、酯化反应正确答案:B16、炔烃的官能团是( )。
有机化学试题库及答案一、选择题1. 下列化合物中,哪一个是醇?A. 甲烷B. 乙醇C. 乙酸D. 甲酸答案:B2. 哪个反应是酯化反应?A. 醇与酸反应生成酯和水B. 醇与碱反应生成盐和水C. 醇与卤素反应生成卤代烃D. 醇与醇反应生成醚答案:A3. 以下哪个是芳香族化合物?A. 甲烷B. 乙炔C. 苯D. 丙烯答案:C4. 哪个是碳正离子的稳定化效应?A. 诱导效应B. 共轭效应C. 场效应D. 氢键效应答案:A5. 以下哪个是亲核取代反应?A. 卤代烃的水解B. 醇的脱水C. 醛的氧化D. 酯的水解答案:A二、填空题6. 芳香族化合物的特点是含有______个π电子的环状共轭系统。
答案:4n+27. 碳正离子的稳定性与其电荷分布有关,其中______位碳正离子最为稳定。
答案:叔8. 有机反应中,亲核试剂通常攻击底物的______原子。
答案:碳9. 碳链异构体是指具有相同分子式但______不同的化合物。
答案:碳链结构10. 有机化合物的命名通常遵循IUPAC规则,其中“醇”的后缀是______。
答案:-ol三、简答题11. 简述什么是SN1和SN2反应机制,并说明它们的主要区别。
答案:SN1反应是单分子亲核取代反应,反应过程中底物首先发生碳正离子的形成,然后亲核试剂攻击碳正离子形成产物。
SN2反应是双分子亲核取代反应,亲核试剂同时攻击底物的碳原子,导致底物的离去基团被取代。
主要区别在于SN1反应有碳正离子中间体,反应速率只与底物浓度有关;而SN2反应没有中间体,反应速率与底物和亲核试剂的浓度都有关。
12. 描述什么是共轭效应,并举例说明其在有机化学中的重要性。
答案:共轭效应是指在含有交替单双键的分子中,π电子可以在整个共轭系统中分布,从而降低分子的能量,增加稳定性。
例如,在丁二烯中,由于共轭效应,分子的能量比两个分开的乙烯分子的总和要低,这使得丁二烯比预期的更稳定。
四、计算题13. 某醇与足量的羧酸反应生成酯和水,已知醇的摩尔质量为46g/mol,羧酸的摩尔质量为60 g/mol,反应生成的酯的摩尔质量为106 g/mol。
有机化学各章习题及答案第一章绪论1.在下列化合物中,偶极矩最大的是( )A.CH3CH2ClB. H2C=CHClC. HC≡CCl2.根据当代的观点,有机物应该是( )A.来自动植物的化合物B. 来自于自然界的化合物C. 人工合成的化合物D. 含碳的化合物3.1828 年维勒(F. Wohler)合成尿素时,他用的是( )A.碳酸铵B. 醋酸铵C. 氰酸铵D. 草酸铵4.有机物的结构特点之一就是多数有机物都以( )A.配价键结合B. 共价键结合C. 离子键结合D. 氢键结合5.根椐元素化合价,下列分子式正确的是( )A.C6H13B. C5H9Cl2C. C8H16OD. C7H15O6.下列共价键中极性最强的是( )A.H-CB. C-OC. H-OD. C-N7.下列溶剂中极性最强的是( )A.C2H5OC2H5B. CCl4C. C6H6D. CH3CH2OH8.下列溶剂中最难溶解离子型化合物的是( )A.H2OB. CH3OHC. CHCl3D. C8H189.下列溶剂中最易溶解离子型化合物的是( )A.庚烷 B. 石油醚 C. 水 D. 苯10.通常有机物分子中发生化学反应的主要结构部位是( )A.键B. 氢键C. 所有碳原子D. 官能团(功能基)第二章烷烃1.在烷烃的自由基取代反应中,不同类型的氢被取代活性最大的是( )A.一级B. 二级C. 三级D. 那个都不是2.氟、氯、溴三种不同的卤素在同种条件下,与某种烷烃发生自由基取代时,对不同氢选择性最高的是( )A.氟B. 氯C. 溴D.3.在自由基反应中化学键发生( )A.异裂B. 均裂C. 不断裂D. 既不是异裂也不是均裂4.下列烷烃沸点最低的是( )A.正己烷B. 2,3-二甲基戊烷C. 3-甲基戊烷D. 2,3-二甲基丁烷5.在具有同碳原子数的烷烃构造异构体中,最稳定的是( )的异构体( )A.支链较多B. 支链较少C. 无支链6.引起烷烃构象异构的原因是( )A.分子中的双键旋转受阻B. 分子中的单双键共轭C. 分子中有双键D. 分子中的两个碳原子围绕C-C 单键作相对旋转7.将下列化合物绕C-C 键旋转时哪一个化合物需要克服的能垒最大( )A.CH2ClCH2BrB. CH2ClCH2IC. CH2ClCH2ClD. CH2ICH2I8.ClCH2CH2Br 中最稳定的构象是( )A.顺交叉式B. 部分重叠式C. 全重叠式D. 反交叉式9.假定甲基自由基为平面构型时,其未成对电子处在什么轨道( )A.1sB. 2sC. sp2D. 2p10.下列游离基中相对最不稳定的是( )A.(CH3)3C.B. CH2=CHCH2.C. CH3.D. CH3CH2.11.构象异构是属于( )A.结构异构B. 碳链异构C. 互变异构D. 立体异构12.下列烃的命名哪个是正确的?( )A、乙基丙烷 B. 2-甲基-3-乙基丁烷C. 2,2-二甲基-4-异丙基庚烷D. 3-甲基-2-丁烯13.下列烃的命名哪个不符合系统命名法?( )A.2-甲基-3-乙基辛烷 B. 2,4-二甲基-3-乙基己烷C. 2,3-二甲基-5-异丙基庚烷D. 2, 3, 5-三甲基-4-丙基庚烷14.按沸点由高到低的次序排列以下四种烷烃① 庚烷②2,2-二甲基丁烷③己烷④ 戊烷( )A. ③>②>①>④B. ①>③>②>④C. ①>②>③>④D. ①>②>③>④15.异己烷进行氯化,其一氯代物有几种?( )A.2 种B. 3 种C. 4 种D. 5 种16.化合物的分子式为C5H12一元氯代产物只有一种,结构式是( )A.C(CH3)4 B. CH3CH2CH2CH2CH3C. (CH3)2CHCH2CH317.下列分子中,表示烷烃的是( )A.C2H2B. C2H4C. C2H6D. C6H618.下列各组化合物中,属同系物的是( )A.C2H6和C4H8B. C3H8和C6H14C. C8H18和C4H10D. C5H12和C7H1419.甲烷分子不是以碳原子为中心的平面结构,而是以碳原子为中心的正四面体结构,其原因之一是甲烷的平面结构式解释不了下列事实( )A.CH3Cl 不存在同分异构体B. CH2Cl2不存在同分异构体C.CHCl3不存在同分异构体D. CH4是非极性分子20.甲基丁烷和氯气发生取代反应时,能生成一氯化物异构体的数目是( )A.1 种B. 2 种C. 3 种D. 4 种21.实验室制取甲烷的正确方法是( )A.醇与浓硫酸在170℃条件下反应B. 电石直接与水反应C. 无水醋酸钠与碱石灰混和物加热至高温D. 醋酸钠与氢氧化钠混和物加热至高温第三章烯烃1.在烯烃与HX 的亲电加成反应中,主要生成卤素连在含氢较( )的碳上( )A.好B. 差C. 不能确定2.烯烃双键碳上的烃基越多,其稳定性越( )A.好B. 差C. 不能确定3.反应过程中出现碳正离子活性中间体,而且相互竟争的反应是( )A.SN2 与E2B. SN1 与SN2C. SN1 与E14.碳正离子a.R2C=CH-C+R2、b. R3C+、c. RCH=CHC+HR 、d. RC+=CH2稳定性次序为( )A.a>b>c>dB. b>a>c>dC. a>b≈c>dD. c>b>a>d5.下列烯烃发生亲电加成反应最活泼的是( )A.(CH3)2C=CHCH3 B. CH3CH=CHCH3 C. CH2=CHCF3 D. CH2=CHCl36.下列反应中间体的相对稳定性顺序由大到小为( )A. +CH +B.CH CH3C.CHCH233CH 3 + C CH3CH3A. A>B>CB. A>C>BC. C>B>AD. B>C>A7.1-己烯、顺-3-己烯和反-3-己烯三者相对稳定性的次序是( )+A. 反-3-己烯>顺-3-己烯>1-己烯B. 1-己烯>顺-3-己烯>反-3-己烯C. 顺-3-己烯>1-己烯>反-3-己烯8. 在烯烃与 HX 的加成反应中,反应经两步而完成,生成( )的一步是速度较慢的步骤( )A. 碳正离子B. 碳负离子C. 自由基9. 分子式为 C 5H 10 的烯烃化合物,其异构体数为 ( )A. 3 个B. 4 个C. 5 个D. 6 个10. 在下列化合物中,最容易进行亲电加成反应的是 ( )A.CH 2=CHCH=CH 2B.CH 3CH=CHCH 3C.CH 3CH=CHCHOD.CH 2=CHCl11. 马尔科夫经验规律应用于 ( )A. 游离基的稳定性B. 离子型反应C. 不对称烯烃的亲电加成反应D. 游离基的取代反应12. 下列加成反应不遵循马尔科夫经验规律的是 ( )A. 丙烯与溴化氢反应B. 2-甲基丙烯与浓硫酸反应C. 2-甲基丙烯与次氯酸反应D. 2-甲基丙烯在有过氧化物存在下与溴化氢反应13. 若正己烷中有杂质 1-己烯,用洗涤方法能除去该杂质的试剂是 ( )A. 水B. 汽油C. 溴水D. 浓硫酸14. 有一碳氢化合物 I ,其分子式为 C 6H 12 ,能使溴水褪色,并溶于浓硫酸,I 加氢生成正己烷,I 用过量 KMnO 4 氧化生成两种不同的羧酸,试推测 I 的结构 ( ) A. CH 2=CHCH 2CH 2CH 2CH 2 B. CH 3CH=CHCH 2CH 2CH 3C. CH 3CH 2CH=CHCH 2CH 3D. CH 3CH 2CH=CHCH=CH 215. 下列正碳离子中,最稳定的是 ( )A. +CH 3 B.CH 3+CH 3 C.CH 3CH 3CH 3+D.CH 2 CH 316. 具有顺反异构体的物质是 ( )A.CH3CH C CO2HCH3B.CH3CH C CH3CH3C.CH3C CHCH2CH3 D.H2C CH2CH317.分子式为C4H8的烯烃与稀、冷KMnO4溶液反应得到内消旋体的是( )A.CH2 CHCH2CH3B. CH2C(CH3)2C. CH3C CHCH3HD. CH3HHC CCH318.下列反应进行较快的是( )CH3Cl KOH/C2H3OHCH3CH3B.CH KOH/C2H3OHCH3A.CH3 3ClCH3CH3 19.下列化合物稳定性最大的是( )A.H3C CH2H3CCH3CH3C. H3C CH3D. H3C CH3第四章炔烃和二烯烃1.在含水丙酮中,p-CH3OC6H4CH2Cl 的水解速度是C6H5CH2Cl 的一万倍,原因是( )A.甲氧基的-I 效应B. 甲氧基的+E 效应C. 甲氧基的+E 效应大于-I 效应D. 甲氧基的空间效应2.下列化合物中氢原子最易离解的为( )A.乙烯B. 乙烷C. 乙炔D. 都不是3.二烯体1,3-丁二烯与下列亲二烯体化合物发生Diels-Alder 反应时活性较大的是( )A.乙烯B. 丙烯醛C. 丁烯醛D. 丙烯4.下列化合物中酸性较强的为( )B.3 2 A. 乙烯 B. 乙醇 C. 乙炔 D. H 25. 在 CH 3CH=CHCH 2CH 3 化合物的自由基取代反应中, ( )氢被溴取代的活性最大A. 1-位B. 2-位及 3-位C. 4-位D. 5-位6. 下列物质能与 Ag(NH ) +反应生成白色沉淀的是 ( )A. 乙醇B. 乙烯C. 2-丁炔D. 1-丁炔7. 下列物质能与 Cu 2Cl 2 的氨水溶液反应生成红色沉淀的是 ( )A. 乙醇B. 乙烯C. 2-丁炔D. 1-丁炔8. 以下反应过程中,不生成碳正离子中间体的反应是 ( )A. SN1B. E1C. 烯烃的亲电加成D. Diels-Alder 反应9. 在 sp 3, sp 2, sp 杂化轨道中 p 轨道成分最多的是( )杂化轨道( )A. sp 3B. sp 2C. sp10. 鉴别环丙烷,丙烯与丙块需要的试剂是 ( )A. AgNO 3 的氨溶液;KMnO 4 溶液B. HgSO 4/H 2SO 4; KMnO 4 溶液C. Br 2 的 CCl 4 溶液;KMnO 4 溶液D. AgNO 3 的氨溶液11. 结构式为 CH 3CHCICH=CHCH 3 的化合物其立体异构体数目是 ( )A. 1B. 2C. 3D. 412. 1-戊烯-4-炔与 1 摩尔 Br 2 反应时,预期的主要产物是 ( )A. 3,3-二溴-1-戊-4-炔B. 1,2-二溴-1,4-戊二烯C. 4,5-二溴-2-戊炔D. 1,5-二溴-1,3-戊二烯13. 某二烯烃和一分子溴加成结果生成 2,5-二溴-3-己烯,该二烯烃经高锰酸钾氧化得到两分子乙酸和一分子草酸,该二烯烃的结构式是 ( ) A. CH 2=CHCH=CHCH 2CH 3 B. CH 3CH=CHCH=CHCH 3C. CH 3CH=CHCH 2CH=CH 2D. CH 2 =CHCH 2CH 2CH=CH 214. 下列化合物无对映体的是 ( )H 3H A.B. H 3C CH C CH CH 3 H 3CH 33H 7C. H 5C 6CH C CHC HD. H 5C 6 N 3 I -6 5C 2H 515. 下列炔烃中,在 HgSO 4-H 2SO 4 的存在下发生水合反应,能得到醛的是( )A. CH 3 C C CH 3B. CH 3CH 2CH 2 C CHC. CH 3 C CHD. HC CH16. 一化合物分子式为 C 5H 8,该化合物可吸收两分子溴,不能与硝酸银的氨溶液作用,用过量的酸性高锰酸钾溶液作用,生成两分子二氧化碳和一分子丙酮酸推测该化合物的结构式( )A. CH 3C CCH 2CH 3C. CH 2 CHCH CHCH 3B. HC C CHCH 3CH 3D. H 2C C CH CH 2CH 317. 下面三种化合物与一分子 HBr 加成反应活性最大的是( )A. PhCH CH 2B. p O 2NC 6H 4CH CH 2C. p CH 3C 6H 4CH CH 2第五章 环烷烃1. 环已烷的所有构象中最稳定的构象是 ( )A. 船式B. 扭船式C. 椅式2. A. 环丙烷、B. 环丁烷、C. 环己烷、D. 环戊烷的稳定性顺序 ( )A. C>D>B>AB. A>B>C>DC. D>C>B>AD. D>A>B>C3. 下列四种环己烷衍生物其分子内非键张力(Enb )从大到小顺序应该( )3 3A. (CH 3)3CC.C(CH 3)3CH 33B. (CH ) C CH 3CH 3D.C(CH 3)3A. A >B >C >DB. A >C >D >BC. D >C >B >AD. D >A >B >C4. 1,3-二甲基环己烷不可能具有 ( )A. 构象异构B. 构型异构C. 几何异构D. 旋光异构5. 环烷烃的环上碳原子是以哪种轨道成键的?( )A. sp 2 杂化轨道B. s 轨 道C. p 轨道D. sp 3 杂化轨道6. 碳原子以 sp 2 杂化轨道相连成环状,不能使高锰酸钾溶液褪色,也不与溴加成的一类化合物是( )A. 环烯烃B. 环炔烃C. 芳香烃D. 脂环烃7. 环烷烃的稳定性可以从它们的角张力来推断,下列环烷烃哪个稳定性最差? ( )A. 环丙烷B. 环丁烷C. 环己烷D. 环庚烷8. 单环烷烃的通式是下列哪一个? ( )A. C n H 2nB. C n H 2n+2C. C n H 2n-2D. C n H 2n-6 9. 下列物质的化学活泼性顺序是①丙烯②环丙烷③环丁烷④丁烷 ( )A. ①>②>③>④B. ②>①>③>④C. ①>②>④>③D. ①>②>③=④10. 下列物质中,与异丁烯不属同分异构体的是 ( )A. 2-丁烯B. 甲基环丙烷C. 2-甲基-1-丁烯D. 环丁烷CH 3 11.CH 2CH 3的正确名称是 ( )HHA. 1-甲基-3-乙基环戊烷B. 顺-1-甲基-4-乙基环戊烷C CH 3 C. 反-1-甲基-3-乙基戊烷D. 顺-1-甲基-3-乙基环戊烷12. 环己烷的椅式构象中,12 个 C-H 键可区分为两组,每组分别用符号( )表示 ( )A. α与βB. σ与πC. a 与 eD. R 与 S13. 下列反应不能进行的是( )CH 3 A.+ KMnO 4/H +B. + H 2Ni¸ß ÎÂC.+ Br 2D.+ KMnO 4/H 3O +14. 下列化合物燃烧热最大的是 ( )A.B.C.D.15. 下列物质与环丙烷为同系物的是 ( )CH 3 A. CH 3CHB.C. D.16. 1,2-二甲基环己烷最稳定的构象是 ( )HH 3CCH 3A.CH 3CH 3 B.C.D. H 3CHH3CH 317. 下列 1,2,3-三氯环己烷的三个异构体中,最稳定的异构体是 ( )ClA. B. C. Cl ClClCl ClCl ClCl第六章 对映异构1. 下列物质中具有手性的为( )。
有机化学练习题库含参考答案一、单选题(共100题,每题1分,共100分)1、丙酰卤水解反应的主要产物是 ( )A、丙醇B、丙酰胺C、丙酸酐D、丙酸正确答案:D2、甲醛与丙基溴化镁作用后, 水解得到的是( )A、正丙醇B、异丁醇C、仲丁醇D、正丁醇正确答案:D3、在有机物分子中与 4 个不相同的原子或原子团相连的碳原子称为( )A、叔碳原子B、伯碳原子C、手性碳原子D、仲碳原子正确答案:C4、下列哪类物质属于烃的衍生物( )A、醛B、酚C、羧酸D、以上都是正确答案:D5、下列脂肪酸中, 不属于必需脂肪酸的是( )A、亚油酸B、花生四烯酸C、油酸D、亚麻酸正确答案:C6、下列有机物命名正确的是( )。
A、2 ,2 ,3-三甲基丁烷B、2 ,2- 甲基- 1-丁烯C、2- 乙基戊烷D、2- 甲基- 1-丁炔正确答案:A7、下列化合物中属于仲醇的是( )A、CH3CH2OHB、(CH3)3COHC、CH3OHD、(CH3)2CHOH正确答案:D8、尿素的结构简式为( )A、HCOOHB、CH3-NH2C、CH3COONH2D、H2N-CO-NH2正确答案:D9、下列物质中, 不容易变质的是( )。
A、维生素 C 片剂B、抗生素片剂C、油脂D、石灰石正确答案:D10、下列关于蔗糖和乳糖的说法, 正确的是( )A、二者互为同系物B、二者互为同分异构体C、二者均有还原性D、水解产物都是葡萄糖正确答案:B11、下列物质中能使乙烯转变为乙烷的是( )。
A、HBrB、KMnO4C、H2D、Br2正确答案:C12、最甜的糖是( )A、乳糖B、蔗糖C、果糖D、葡萄糖正确答案:C13、斐林试剂的主要成分是( )A、CuSO4B、Cu(OH)2C、NaOHD、Cu2O正确答案:B14、下列化合物中具有旋光性的是( )A、丁二酸B、丁酸C、2-戊醇D、丙醛正确答案:C15、下列各组物质中,能发生加成反应的是( )。
A、苯与 Br2B、苯与 H2C、苯与浓硫酸D、苯与浓硝酸正确答案:B16、能发生水解但不具有还原性的糖是( )A、乳糖B、蔗糖C、麦芽糖D、葡萄糖正确答案:B17、可用于表示脂肪酮通式的是( )A、RCOR1B、RCOOR1C、ROR1正确答案:A18、下列哪种物质常用作植物生长催熟剂( )。
有机化学考试题及答案一、选择题1. 以下不属于有机化合物的是:A. 乙烷B. 石墨C. 甲醇D. 碳酸钠答案:D2. 下列化合物中,属于饱和脂肪酸的是:A. 丙烯酸B. 亚油酸C. 癸酸D. 苯甲醛答案:C3. 以下哪种反应不是有机氧化反应?A. 燃烧反应B. 氢化反应C. 酸化反应D. 氧化还原反应答案:B4. 下列哪种官能团在有机化合物中含氮?A. 羧酸B. 醇C. 醚D. 胺答案:D5. 以下哪个分子是光学异构体?A. 甲烷B. 乙烯C. 天然脂肪酸D. 乙醇答案:C二、填空题1. 乙烯的分子式为_____________。
答案:C₂H₄2. 以下哪种官能团在有机化合物中含氧?答案:羧酸3. 以下哪个有机化合物是酸性物质?答案:乙酸4. 具有相同分子式但结构不同的有机化合物称为__________________。
答案:同分异构体5. 以下哪个官能团使有机化合物具有碱性?答案:胺三、简答题1. 解释有机化合物的共价键和官能团的概念,并列举各自的例子。
答案:有机化合物的共价键是指有机化合物中碳与碳或碳与其他原子间通过共用电子对形成的键。
例如,乙烯分子中的碳-碳双键就是共价键。
官能团是有机化合物中与化学反应有关的一组原子或原子团。
例如,羧酸官能团由一个羰基和一个羟基组成,丙酮中的羰基就是官能团。
2. 解释光学异构体的概念,并给出一个例子。
答案:光学异构体指的是化学结构相同、但空间构型不同的有机化合物。
它们之间不能通过旋转键或结构简单互相转化。
例如,天然脂肪酸中的亚油酸和油酸就是光学异构体,它们的分子式相同,但双键的位置不同。
3. 解释饱和脂肪酸和不饱和脂肪酸的区别,并给出一个例子。
答案:饱和脂肪酸指的是碳链上的碳-碳键全部为单键的脂肪酸,它们的化学结构中没有双键或三键。
不饱和脂肪酸则至少含有一个或多个碳链上的碳-碳双键或三键。
例如,癸酸是一种饱和脂肪酸,而亚油酸是一种不饱和脂肪酸。
4. 有机化合物的氧化反应和还原反应有何区别?答案:有机化合物的氧化反应是指有机化合物与氧气或其他氧化剂发生反应,失去电子或氧原子,形成氧化产物。
有机化学(生科) 试 题( 专业(类) 日 午考)考试时间: 90 分钟选择题(共30分)( )1、最简单的有机化合物是A 、甲烷B 、乙烯C 、乙炔D 、苯 ( )2、能用来区别苯和乙苯的试剂是A、酸性高锰酸钾溶液 B、硝酸 C、溴水 D、硫酸 ( )3、下列各组物质,不为同分异构体的是A、苯甲醇和磷甲苯酚 B、乙醇和乙醚 C、丙醛和丙酮 D、丙酸和乙酸甲酯( )4、下列既能使溴水褪色,又能使酸性高锰酸钾溶液褪色的是A、1-丁烯 B、甲苯 C、苯 D、已烷 ( )5、检查糖尿病患者尿液中的丙酮可采用的试剂是A、斐林反应 B、多伦试剂 C、希夫试剂 D、亚硝酰铁氰化钠和氢氧化钠溶液 ( )6、下列化合物中酸性最强的是A、丙酸 B、苯酚 C、甘氨酸 D、乳酸 ( )7、下列物质不能发生银镜反应的是A、甲醛 B、甲酸 C、丙醛 D、丙酸 ( )8、还原性糖不包括A、乳糖 B、麦芽糖 C、蔗糖 D、核糖 ( )9、下列物质中,不能水解的是A、油脂 B、蛋白质 C、蔗糖 D、葡萄糖( )10、禁止用工业酒精配制饮用酒,是因为工业酒精中常含有少量会使人中毒的。
A、甲醇 B、乙醇 C、苯酚 D、丙三醇 ( )11、下列对蛋白质的叙述中错误的是A、组成蛋白质的氨基酸都是α-氨基酸 B、蛋白质是两性化合物C、蛋白质变性后不能再溶于水 D、蛋白质盐析后不能再溶于水 ( )12、下列因素不会引起蛋白质变性的是A、酒精 B、氯化钡 C、硫酸铵 D、紫外线 ( )13、氨基酸相互结合成肽的主要化学键是A、肽键 B、氢键 C、离子键 D、苷键 ( )14、能区别甲酸和乙酸的试剂是A、硫酸溶液 B、希夫试剂 C、碳酸钠溶液 D、氯化铁溶液 ( )15、油脂在碱性条件下的水解反应称为A、油脂的氢化 B、油脂的皂化 C、油脂的硬化 D、油脂的乳化二、填空题(共20分)1、芳香烃的芳香性通常指 、 、 。
2、同系物应具有相同的 ,而分子结构相似。
有机化学(基础化学)测试题与答案一、单选题(共40题,每题1分,共40分)1、下列醇的沸点有小到大的顺序为A、正丁醇 < 正丙醇< 乙醇< 甲醇B、甲醇<乙醇<正丁醇<正丙醇C、正丙醇< 甲醇< 乙醇< 正丁醇D、甲醇<乙醇<正丙醇<正丁醇正确答案:D2、乙醇氧化的最终产物是A、乙醛B、乙醚C、乙烯D、乙酸正确答案:D3、在下面的几组溶液中,哪一组用来制备缓冲溶液A、KNO3和NaClB、NaNO3和BaCl2C、K2SO4和Na2SO4D、NH3•H2O和NH4Cl正确答案:D4、乙醇和水分子之间存在的分子作用力有A、取向力和诱导力B、色散力C、氢键D、以上四种作用力都存在正确答案:D5、下列试剂中,可与烯烃进行反马氏规则加成的是A、HFB、HClC、HBrD、HBr正确答案:C6、分子中失去羧基放出二氧化碳的反应,称为A、酯化反应B、酰化反应C、脱羧反应D、皂化反应正确答案:C7、下列哪一个化合物能与水分子形成氢键A、环己烷B、氯苯C、己烷D、乙醚正确答案:D8、下列叙述中,可以用来判断金属性强弱的是A、金属最高价氧化物对应水化物的碱性强弱B、1mol金属跟酸反应放出氢气的多少C、一个金属原子失去电子的多少D、金属氢化物形成的难易正确答案:A9、下列物质①乙酸②苯酚③碳酸④乙醇的酸性由强到弱的排列顺序为A、①>④>③>②B、①>③>②>④C、④>②>③>①D、③>④>①>②正确答案:B10、下列化合物中属于配合物的是A、Na2S2O3B、H2O2C、[Ag(NH3)2]ClD、KAl(SO4)2.12H2O正确答案:C11、下列烃类化合物哪一个能被KMnO4氧化A、苯B、甲苯C、环己烷D、叔丁基苯正确答案:B12、碘是一种很有用的鉴别试剂,常以碘试液即碘-碘化钾溶液参与鉴别,下列哪种化合物可用碘鉴别A、纤维素B、氨基酸C、淀粉D、油脂正确答案:C13、关于杂化轨道的类型,下列说法不正确的是A、sp3杂化轨道B、sp2杂化轨道C、sp杂化轨道D、孤电子杂化轨道正确答案:D14、下列反应中,不属于取代反应的是A、乙醇在一定条件下生成乙烯B、甲烷跟氯气反应生成一氯甲烷C、苯的硝化反应D、乙酸乙酯的水解正确答案:A15、烯烃和溴的加成反应可产生的现象是A、褪色B、沉淀C、变色D、气体正确答案:A16、市售HCl溶液的浓度为12mol﹒L-1欲配制0.60 mol﹒L-1的HCl 1000ml,需取市售HCl溶液多少毫升A、20mLB、30mLC、40mLD、50mL正确答案:D17、关于反应速率的有效碰撞理论要点,下列说法不正确的是A、为了发生化学反应,反应物分子必须碰撞B、只有具有足够高的能量的哪些分子的碰撞才能发生反应C、只有沿着特定方向碰撞才能发生反应D、对活化分子不需要具备一定的能量正确答案:D18、下列化合物中碱性最弱的是A、氨B、二甲胺C、三甲胺D、苯胺正确答案:D19、的结构俗称为A、甘油B、醋酸C、甲酸D、草酸正确答案:B20、下列化合物中,最容易和氢氰酸加成的是A、丙酮B、环己酮C、乙醛D、甲醛正确答案:D21、两个碳中间与氧原子相连的化合物称为A、酮B、醚C、酚D、醌正确答案:B22、糖在人体中储存的形式是A、糖原B、葡萄糖C、蔗糖D、麦芽糖正确答案:A23、下列各组物质不属于同系物的是A、己烯和2-戊烯B、乙烷和十五烷C、苯与萘D、苯与甲苯正确答案:C24、甲醛俗称为A、蚁醛B、伯醛C、酒精D、福尔马林正确答案:A25、符号n用来表示A、物质的量B、物质的质量C、质量浓度D、物质的量浓度正确答案:A26、下列化合物中酸性最强的是A、伯醇B、甲醇C、叔醇D、仲醇正确答案:B27、下列化合物能与FeCl3溶液发生颜色反应的是A、苄醇B、苯酚C、β-苯基乙醇D、苯乙烯正确答案:B28、下列哪一个化合物能被弱氧化剂(托伦试剂)氧化A、二苯基酮B、苯乙酮D、苯甲醛正确答案:D29、水具有反常的高沸点,这是由于分子间存在着A、氢键B、范德华力C、共价键D、离子键正确答案:A30、下列化合物,能形成分子间氢键的是A、CH3CH2OHB、CH3CH2BrC、CH3OCH3D、C2H2正确答案:A31、下列化合物命名正确的是A、顺—1,2—二氯乙烯B、二氯乙烯C、反—1,2—二氯乙烯D、1,2—二氯乙烯正确答案:C32、下列哪一个醚与氢碘酸一起加热不会发生醚键的断裂A、乙醚B、甲基叔丁基醚C、苯甲醚D、二苯醚正确答案:D33、下列哪一个二元酸的酸性最强A、丁二酸B、草酸C、丙二酸D、己二酸正确答案:B34、下列物质属于有机物的是B、CH4C、H2CO3D、NaCO3正确答案:B35、下列物质中属于烯烃的是A、C2H2B、C5H12C、C2H4D、C6H6正确答案:C36、关于渗透压定律的数学表达式,下列说法不正确的是A、在一般表达式中增加校正因子后,可近似处理电解质溶液问题B、一般表达式只适用于非电解质溶液C、渗透压与温度有关D、渗透压与溶质的本性有关正确答案:D37、下列有关贮藏危险品方法不正确的是A、门窗应坚固,门应朝内开;B、危险品贮藏室应干燥、朝北、通风良好;C、贮藏室应设在四周不靠建筑物的地方。
有机化学试题库及答案一、选择题(每题2分,共20分)1. 下列化合物中,哪一个是醇?A. CH3COOHB. CH3CH2OHC. CH3CH2COOHD. CH3CH2CH3答案:B2. 以下哪个反应是酯化反应?A. 醇与酸的氧化反应B. 醇与酸的还原反应C. 醇与酸的脱水反应D. 醇与酸的加成反应答案:C3. 以下化合物中,哪一个是芳香烃?A. CH4B. C6H6C. C4H10D. C3H8答案:B4. 以下哪种反应是取代反应?A. 醇的脱水反应C. 醇的酯化反应D. 醇的氢化反应答案:C5. 以下化合物中,哪一个是醛?A. CH3CHOB. CH3COCH3C. CH3CH2OHD. CH3COOH答案:A6. 以下哪种反应是消除反应?A. 醇的脱水反应B. 醇的氧化反应C. 醇的酯化反应D. 醇的氢化反应答案:A7. 以下化合物中,哪一个是酮?A. CH3COCH3B. CH3CH2OHC. CH3CH2COCH3D. CH3COCH2CH3答案:A8. 以下哪种反应是加成反应?B. 醇的氧化反应C. 醇的酯化反应D. 醇的氢化反应答案:D9. 以下化合物中,哪一个是羧酸?A. CH3COOHB. CH3CH2OHC. CH3CH2COOHD. CH3CH2CH3答案:A10. 以下哪种反应是氧化反应?A. 醇的脱水反应B. 醇的氧化反应C. 醇的酯化反应D. 醇的氢化反应答案:B二、填空题(每空1分,共20分)1. 有机化学中,碳原子的价电子数是________。
答案:42. 醇类化合物的官能团是________。
答案:-OH3. 芳香烃的典型代表是________。
答案:苯4. 酯化反应的产物是________和水。
答案:酯5. 取代反应是指有机化合物分子中的原子或原子团被其他原子或原子团所________。
答案:替换6. 消除反应是指有机化合物分子中的两个相邻原子或原子团被________。
精心整理
有机化学练习题
可能用到的相对原子质量:H —1C —12O —16Na —2332-S
Cl —35.5Ca —40
一.选择题(本题只有一个选项符合题意。
)
1.在农业上常用稀释的福尔马林来浸种,给种子消毒。
该溶液中含有()
A.甲醇
B.甲醛
C.甲酸
D.乙醇
2.
A.C.3.A.4.A.C.5.A.2C.26.A.C 7.A.)含量
不超过A.5种 B.4种 C.3种 D.2种 9.苯的同系物108H C ,在铁作催化剂的条件下,与液溴反应,其中只能生成一种一溴化物的是() A.C 2H 5 B.CH 3CH 3
C.CH 3CH 3
D.CH 3CH 3
10.检验酒精中是否含有水,可选用的试剂是() A.金属钠 B.浓42SO H
C.无水4CuSO
D.胆矾
11.下列过程中,不涉及化学变化的是()
A.用明矾净化水
B.甘油加水作护肤剂
C.烹鱼时,加入少量的料酒和食醋可减少腥味,增加香味
D.烧菜用过的铁锅,经放置常出现红棕色斑迹
12.等质量的铜片在酒精灯上热后,分别插入下列液体中,放置片刻后取出,铜片质量不变的是()
A.盐酸
B.无水乙醇
C.冰醋酸
D.乙醛
13.
A.C.14.L A.
B.
C.
D.15.A.B.C.D.16.A.B.C.D.等质量的甲和乙完全燃烧后生成水的质量一定相等
17.下列各组物质之间,一定是互为同系物的是()
A.HCHO 与3HCOOCH
B.32CH HOCH 与COOH CH 3
C.HCOOH 与COOH H C 3517
D.42H C 与63H C
18.具有单双键交替长链(如:Λ--==--==--==--CH CH CH CH CH CH )
的高分子有可能成为导电塑料。
2000年诺贝尔)(Noble 化学奖给予开辟此领域的3位科学家。
下列分子中可能成为导电塑料的是()
A.聚乙炔
B.聚乙烯
C.聚苯乙烯
D.聚丁二烯
20.已知化合物633H N B (硼氮苯)与66H C (苯)的分子结构相似,如下图
则硼氮苯的二氯取代物2433Cl H N B 的同分异构体的数目为()
A.6
B.4
C.3
D.2 +2+2。