商务英语阅读课后答案
- 格式:doc
- 大小:66.00 KB
- 文档页数:4
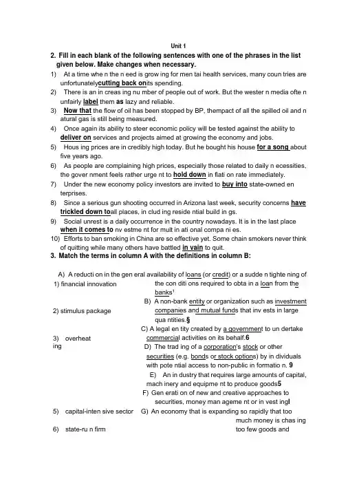
Unit 12. Fill in each blank of the following sentences with one of the phrases in the list given below. Make changes when necessary.1) At a time whe n the n eed is grow ing for men tai health services, many coun tries are unfortunately cutting back on its spending.2) There is an in creas ing nu mber of people out of work. But the wester n media ofte n unfairly label them as lazy and reliable.3) Now that the flow of oil has been stopped by BP, thempact of all the spilled oil and n atural gas is still being measured.4) Once again its ability to steer economic policy will be tested against the ability todeliver on services and projects aimed at growing the economy and jobs.5) Hous ing prices are in credibly high today. But he bought his house for a song aboutfive years ago. 6) As people are complaining high prices, especially those related to daily n ecessities,the gover nment feels rather urge nt to hold down in flati on rate immediately.7) Under the new economy policy investors are invited to buy into state-owned enterprises.8) Since a serious gun shooting occurred in Arizona last week, security concerns havetrickled down to all places, in clud ing reside ntial build in gs.9) Social unrest is a daily occurrence in the country nowadays. It is in the last placewhen it comes to nv estme nt for mult in ati onal compa ni es. 10) Efforts to ban smoking in China are so effective yet. Some chain smokers never thinkof quitting while many others have battled in vain to quit. 3. Match the terms in column A with the definitions in column B: A) A reducti on in the gen eral availability of loans (or credit) or a sudde n tighte ning of the con diti ons required to obta in a loan from the banks 1 B) A non-bank entity or organization such as investment companies and mutual funds that inv ests in large qua ntities.§ C) A legal en tity created by a government to un dertakecommercial activities on its behalf.6 D) The trad ing of a corporation's stock or othersecurities (e.g. bonds or stock options) by in dividualswith pote ntial access to non-public in formatio n. 9E) An in dustry that requires large amounts of capital,mach inery and equipme nt to produce goods 5F) Gen erati on of new and creative approaches tosecurities, money man ageme nt or in vest ing lG) An economy that is expanding so rapidly that toomuch money is chas ingtoo few goods and 1) financial innovation2) stimulus package3) overheating 4) stamp tax 5) capital-inten sive sector 6) state-ru n firmecono mists fear a rise in in flati on 卫7) credit crisis H) tax levied on certa in legal tran sact ions such as thetran sfer of a property such as build ing, copyright, land,pate nt, and securities.8) in stituti onal inv estor I) A pla n or a series of measures take n by agover nment to jump-start its aili ng economy,gen erally as a part of its fiscal policy. _210) in sider tradi ng Unit 22. Fill in each blank of the following sentences with one of the phrases in the listgiven below:1) The search for the child was scaled back harply today, with almost a third of the volun2) into a recession by year s end.teers head ing home.The former Federal Reserve Chairman saysthere is a risk that the US could slip3) The CEO of the firm said that they would switch priority from traditionallabor- inten sive products to more hi-tech and value-added ones.4) In the aftermath of the financial crisis the group has put on hold some of itsambitious regi onal expa nsion pla ns.5) Toyota Motor Corp. is offering widespread job buyouts to its US workers for the first time and cutting the workweek at some of its American plants by 10% tocontend with falli ng sales.6) Eventually, it must morph into a system that functions on stability, or it will fail andcause an un stoppable breakdow n and widespread hardship.7) Unfortunately most of the central banks in the world today are still firmly underthe thumb of politicia ns.8) The stock market ' enduranee could depend heavily on whether economic andcorporate performa nee rema ins un certa in, or begi ns in dicati ng that the economy truly is out of the woods9) Survivors were encouraged to talk about their horrible experiencesto help them cometo terms with the flood disaster.10) Other coun tries—no tably Australia—have also avoided a bust in their hous ingmarkets, and have in stead see n prices in creas flatten out.3. Match the terms in column A with the explanations in column B:_______ A ______________ ______________________ B1) double-dip recession A) A physical substanee, such as foodgrains and metalswhich is interchangeablewith another product of the sametype, and which investors buy or sell, usually throughfuture con tracts Z2) credit rati ng B) A measure that exam in esthe weighted average ofprices of foodstuffs, ofte n used as an importa nt factor toassess the cost of liv ing93) austerity C) A gover nment policy of deficit-cutt in g, lower spe nding,and a reduct ion in the amount of ben efits and publicservices provided, sometimes coupled with in creases intaxesto pay backcreditors to reduce debt.34) private sector D) A central bank regulation that sets the minimumreserveseach commercial bank must hold to customerdeposits and no tes105) protective tariff E) The part of the economy that is not state con trolled,and is run by in dividuals and compa nies for profit. 46) beggar thy neighbor F) An expression in economics describing policy thatseeks ben efitsfor one country at the expe nse of others.Such policies attempt to remedy the economic problems inone country by means which tend to worse n the problemsof other coun tries67) commodity G) A published ranking based on detailed financialanalysis by a credit bureau, of one' financial history,specifically as it relates to one' ability to meet debt obligations. 28) sovereign-debt crisis H) A crisis in which a national government owes so muchdebt that it is unable to repay or on the edge of ban kruptcy89) food-price index I) A tariff which tries to ban imports to stop themcompeti ng with local products 510) reserve requirement J) A situation where economic growth slides back tonegative after a short-lived growth and the economy maymove into a deeper and Ion ger dow nturr!Unit 31. Fill in each blank of the following sentences with one of the phrases in the listgiven below. Make changes when necessary.1) Investors from big cities are quick to snap up real estatesin this booming town for theirrising future values.2) There are already clear signals that the investors will shift away from the finan cialfirm in legal trouble.3) High in put costs are likely to put pressure on steel prices in the domestic market even if dema nd still rema ins high.4) The prime minister said Thursday that a new international airport will be built in thesouther n city to cater to the rising nu mber of passe ngers and air cargoes there. 5) Many econo mists fear that the con tract ion of money supply may dry up financing needed for various econo mic activities.6) Professor Nil was, however, quick to warn the public to be on their guard against thosecoun terfeits alreadyi n circulation7) Academy Awards, Emmy Awards and doze ns of prestigious awards from prominentfilm festivals around the world attest to the stellar quality of the films being featured at the annual World Community Film Festival.8) A neighborhood group in the district plans to hold a fundraiser to help children pay offoverdue book fines so that they can resume using their library9) The writer 'fame shrank last year becausethe public thought he was knockingout so many thi ngs.10) Bus in ess leaders have urged the gover nment to snap up farmla nd overseas togrow basic staples as a buffer aga inst soari ng food prices.11) T he Vancouver team vowed to get back to doing the little things right and knew itwould add up to big things.12) What has happenedover the past few years indicates that great political, socialand econo mic tran sformatio ns are n the making.2. Match the terms in column A with the definitions in column B.A B1) emergi ng market2) profit marg in3) con sumer spe nding4) con sumerism5) disposable in come6) optio n7) econo mic restructuri ng8) turnaround9) curre nt acco unt10) economic model A) A con tract that permits the owner, depe nding on the type of optio n held, to purchase or sell an asset at a fixed price un til a specific dateB) A theoretical con struct that represe nts econo mic processes by a set of variables and a set of logical and qua ntitative relati on ships betwee n then10 C) An economy with fast growth rate but low to middle per capita in come, has ope ned up its market and integrated itself into the global economy;!D) The process of movi ng from a period of losses or low profitability into a more profitable stage for a firm, in dustry or economy.8E) Ratio of profit after taxes to cost-of-sales, ofte n expressed as a perce ntage, measuri ng the profitability of a firm and in dicat ing its cost structure2F) P ortion of the bala nee of payme nts con sisti ng of exports and imports of goods and services, as well as tran sfer payme nts such as foreig n aid gran ts. 9G) The amount of money spe nt by households,measured mon thly, making up an importa nt part of an economy^H) The phe nomenon of an economy shifti ng from amanufacturing to a service sector economic base.7I) A moveme nt equati ng pers onal happ in esswith purchas ing material possessi ons andconsumption. 4J) The amount of in come left to an in dividual after taxes have bee n paid, available for spe nding and sav ing_5Unit 42. Fill in each blank of the following sentences with one of the phrases in the listgiven below. Make changes when necessary.1) China will adhere to the prin ciple of develop ing high tech no logy and realiz ingindustrialization to step up the commercialization, industrialization and intern atio nalizatio n of scie ntific and tech no logical achieveme nts.2) In the recent crisis no banks could manageto bail out the companies in financial pressure.3) In terms of the in formatio n from the Uni verse he is apathetic and sometimes irritable, he is like an ostrich sticking hisheadin sand4) It will be up to the board to decide if the CEO should be removed.5) All our hopes rest upon the arrival of the shipme nt.6) The plan has already been worked out , and could be put into operation at a mome nt's no tice.7) The whole machinery of civilization will break down if this doctrine wins in the war.8) His remarks hit home whe n he said that we did n ot work eno ugh.9) Some analysts suspected that Toyo taad pulled strings to stifle probes into its auto quality problems. 10) Mercy is reaching out to those who have no thi ng to give back to you.3. Match the terms in column A with the explanations in column B:A ___________________B ________________________________________ 1)free market 2) coalition government 3) dem on stratio n effects 4) health in sura nee 5) n ati onal in terest 6) pension schemeA) Effects on the behavior of in dividuals caused byobservati on of the actions of others and theirconsequences.B) An economic turmoil where companies go bankrupt, people are laid off, and markets aresluggish. There is a lot of panic in both bus iness and daily lives 9C) A market in which there is no economicinterventionby the state except to enforce privatecon tracts and the own ership of property. 1D) A qualified retirement plan set upby a corporation, labor union, gover nment or other orga ni zation for its employees 6E) A form of collectivism by means of which peoplecollectively pool their risk, in this case the risk ofin curri ng medical expe nses4 F) The ability to obtain what one wants through economic or cultural means. It allows nations toexert their in flue nee without using militarymeans or coerci on 8G) A fight or con ten tio n for territory, power,con trol, or resources betwee n tow more partiesin a place or area.7H) Things of great importa nee to a n ati on,including its goals, visions and ambitions in political, economic,cultural fields, etc. and acti ons, circumsta nces, and decisi onstoachieve them. 5I) A cabinet of a parliamentary governmentin whichseveralparties cooperate.2Unit 72. Fill in each blank of the following sentences with one of the phrases in the listgiven below:1) With his expanding wireless broadband plan, Obama wants to usher every Americaninto the 'Digital Age'.2) School activities start winding down about two weeks before the end of semester.3) The man said he couldn't come up with an appropriate answer just at the time.4) Everybody is sure that the ceaseless dripping owater will in the end hollow out astone.5) The progressive movement, which had already brought important changes in federalpolicies, stood on the verge of culmi natio n and fulfillme nt6) The state has suffered so much loss. The smugglers should n ever be allowed to getoff easy.7) After product ion expa nsion, this compa ny now can turn out a millio n televisi onsets a mon th.8) The preeminent writer's personal appearanee picked up the sales of the book considerably9) The n ewly announ ced credit policy may help many family-ow ned bus in esses getthrough the tough times at prese nt..10) The gover nment has imposed drastic econo mic con trols tohoke off in flati on.11) To execute full-cost acco un ti ng, compa nies mus a ccount for the true cost of theirproducts.12) Econo mists are not so optimistic becausethere is no sig n that the recessi on hasbottomed out3. Match the terms in column A with the explanations in column B:A B1 ) bon dholder a) A measure of a compa ny's finan cial health,whichequals cash receipts minus cash payme nts overa give n period of time. 62 ) creditor b) A finan cial assetwhose value has falle n sig nifica ntly and which fails gen erate cashflow and isworth much less tha n expected?3 ) dealership c) An en tity (pers on or in stituti on) that exte nds credit bygiving ano ther en tity permissi on to7) turf war8) soft power9) econo mic crunchborrow money if it is paid back at a later date 2d) A unit specially orga ni zed to work on a sin gledefi ned task 10e) A bus in ess compa ny that is owned or con trolled by ano ther larger compa ny 9f) A pers on owning a bond or bonds issued b a gover nment or a public compa ny 1g) Money used for the preservati on of men tal and physical health by preve nti ng or treat ing ill nessthrough services offered by the health professi on4h) Volume of products or services that can be gen erated by a product ion pla nt or en terprise in agive n period by using curre nt resources 5i) A bus in ess established or operated un der an authorizati on to sell or distribute a compa ny goods orservice in a particular are 3j) Products that are extremely populous among consumers and no rmally sell like hot cakes in themarket.8Unit 81. Fill in each blank of the following sentences with one of the phrases in the listgiven below. Make changes when necessary.1) When the starlet was asked abouther new boyfriend, she couldn ' help but gushabout him and their intimate plans for Valentine ' s.Day2) The leaking of as many as 251,000 StateDepartment documents,including secret embassy reportsfrom around the world, is nothing short of a political meltdown for US foreign policy. 3) With very critical views on the government economic policies, she often pals aroundwith those scholars who also take rather radical stanee on economic issues.4) It is high time for every one in the departme nt tokick into full geara nd fulfill our salesquota by the end of the year.5) The mother did whatever possible to prevent her son from hanging out with the guywho she thought was up to no thi ng good.6) Obama svictory in the election was viewed by many as progress in the United States. But I thi nk his eth ni city is beside the point7) The neighbors said what happenedwas totally out of character for the woman theyknew as quiet and frie ndly8) Unfortunately, the firm has not been able to pare ) production cost to the level thatmatches its competitors in the market.9) On the back of strong corporate earnings reports from a number of firms last week,coupled with the improvi ng un employme nt rate, i nv estor sen time nt was bolstered 4) health-care expe nses 5) manu facturi ng capacity 6) net cash flow 7) bad asset 8) hot products 9) subsidiary# 10) task forceon the first trad ing day of the week.10) T he team is expected to take a vote toni ght that coulc feet in motion a new pla n torevitalize the finan cial market.11) It was a long time before our bus in ess part ners could catch on to what we reallyinten ded.12) A s a shrewd man, he successfully pounced at the opport unity last year to becomethe marketi ng man ager.2. Match the terms in column A with the definitions in column B:A B1) market share2) cash drain3) shareholder wealth4) net worth5) man ageme nt team6) brain trust7) bala nee sheet8) capta ins of in dustry9) Ven ture capitalist10) product cycle A) A group of advisors, origi nally to a political can didate,for their expertise in particular fields, but now to anydecision makers, whether or not in politics. 6B) The rate of new product developme nt, whichis getting faster with more severe competitionand faster tech no logical adva nceme nt10C) Perce ntage or proporti on of the totalavailable market or market segment that aproduct or compa ny takes.1D) A group of executives employed to man age aproject, departme nt, or compa ny with theirparticular expertise or skills. 5E) A pers on, project, bus in ess or compa ny thatcon ti nues to con sume large amounts of cashwith no end in sight. 2F) A pers on or firm that inv ests in a bus in ess venture, providi ng capital for start-up orexpa nsion, and expect ing a higher rate of retur n than that for traditional investments.9G) The wealth shareholders get to accrue from theirownership of shares in a firm, which can bein creased by rais ing either share prices or divide nd payme nts.3H) A finan cial stateme nt that summarizes a company's assets, liabilities and shareholders' equity at a specific point in time. 7I) Total assets minus total liabilities, an important determinant of the value of a compa nyprimarily composed of all the money that has bee n inv ested and the retained earnings for the duration of its operation.4L) A bus in ess leader who is especially successful and powerful and whose means of amass ing apers onal fortune con tributes substa ntially to the country in some way 8。
商务英语阅读教程1第二版叶兴国课后答案1、We moved to the front row_____we could hear and see better. [单选题] *A. so asB. so that(正确答案)C. becauseD. such that2、If you want to _______, you’d better eat more healthy food and do more exercise. [单选题] *A. keep fatB. keep calmC. keep healthy(正确答案)D. keep on3、The teacher asked him to practice playing the piano _______. [单选题] *A. often as possibleB. as often possibleC. as possible oftenD. as often as possible(正确答案)4、--Jenny, what’s your favorite _______?--I like potatoes best. [单选题] *A. fruitB. vegetable(正确答案)C. drinkD. meat5、She often _______ at 21: [单选题] *A. go to bedB. gets upC. goes to bed(正确答案)D. gets to6、____ China is ____ old country with ____ long history. [单选题] *A. /, an, a(正确答案)B. The, an, aC. /, an, /D. /, the, a7、The book is very _______. I’ve read it twice. [单选题] *A. interestB. interestedC. interesting(正确答案)D. interests8、It _____ us a lot of time to do this job. [单选题] *A. spentB. madeC. took(正确答案)D. cost9、What’s your _______ for the coming new year? [单选题] *A. playB. plantC. plan(正确答案)D. plans10、We have ______ homework today. ()[单选题] *A. too manyB. too much(正确答案)C. much tooD. very much11、If you had told me earlier, I _____ to meet you at the hotel. [单选题] *A. had comeB. will have comeC. would comeD. would have come(正确答案)12、No writer will be considered()of the name until he writes a work. [单选题] *A. worthlessB. worthy(正确答案)C. worthwhileD. worth13、Sorry, I can't accept your invitation. [单选题] *A. 礼物B. 观点C. 邀请(正确答案)D. 好意14、He has grown rich lately. [单选题] *A. 后来B. 以后C. 终于D. 最近(正确答案)15、6.Hi, boys and girls. How are you ________ your posters for the coming English Festival at school? [单选题] *A.getting onB.getting offC.getting with (正确答案)D.getting16、Jeanne's necklace was _____ 500 francs at most. [单选题] *A. worthyB. costC. worth(正确答案)D. valuable17、We have made a _______ tour plan to Sydney. [单选题] *A. two dayB. two daysC. two-day(正确答案)D. two-days18、22.Will there ________ any schools in the future? [单选题] * A.isB.areC.amD.be(正确答案)19、I?have to?_______ my younger brother on Sunday. [单选题] *A. look after(正确答案)B. look upC. take careD. look out20、( ). I’m _____ in that ______ film [单选题] *A. interesting interestedB. interested interesting(正确答案)C. interested interestedD. interesting interesting21、It is my _______ to meet you here. [单选题] *A. pleasure(正确答案)B. pleaseC. pleasedD. pleasant22、The house is well decorated _____ the disarrangement of a few photos. [单选题] *A. exceptB. besidesC. except for(正确答案)D. in addition to23、She _______ be here. [单选题] *A. is gladB. is so glad to(正确答案)C. am gladD. is to24、The little girl held _____ in her hand. [单选题] *A. five breadsB. five piece of breadsC. five piece of breadD. five pieces of bread(正确答案)25、How _______ Grace grows! She’s almost as tall as her mother now. [单选题] *A. cuteB. strongC. fast(正确答案)D. clever26、Alice hopes to _______ more friends at her new school. [单选题] *A. visitB. make(正确答案)C. missD. take27、John is quite _______. He likes to attend activities in?his spare time. [单选题] *A. active(正确答案)B. quietC. lazyD. honest28、Your homework must_______ tomorrow. [单选题] *A. hand inB. is handed inC. hands inD. be handed in(正确答案)29、My camera is lost. I am ______ it everywhere.()[单选题] *A. looking atB. looking for(正确答案)C. looking overD. looking after30、I paint a lot of pictures. [单选题] *A. 评论B. 注意C. 悬挂D. 画(正确答案)。
Unit 4The Incredible Shrinking EuropeExercises1. Answers to the questions on the text:1) What was the dream that the Europhiles were familiar with?Their dream was to make E.U. a newly emboldened world power stepping up to calm trouble spots, using aid and persuasion where it could, but prepared to send in troops when it had to.2) Why does the passage say that Europe is a remarkably good place to live? Because Europe is more stable, safe, green and culturally diverse than most parts of the world and a quality life can be guaranteed in E.U. states.3) Does the good life at home make Europe strong abroad ? Why?No, a good life at home doesn’t mean a strong Europe abroad. Because the E.U. may have all the soft-power credentials in the world, but on the grand stage it has lacked the weight and influence of others on some big issues.4) What do Critics think of the selection of Herman Van Rompuy and Catherine Ashton as Europe's President and Foreign Minister?They consider the selection as symbolic of a lack of vision and it means the grouping will have to reconcile itself to five years of underperformance.5) What can be listed as E.U.’s achievements in the years around 1980s according to the passage?By extending an area of peace and liberal government to the east, the E.U. has done much to calm a part of the world that not long ago was the cockpit for murderous rivalries.6) In what way can Europe realize its own dreams and those of others according to the passage?It has to act as a true single bloc and win others to its side.7) Why does the German government face enormous domestic challenges in admitting its forces in Afghanistan are there to fight, not to be humanitarian workers in uniform ?Because one of modern Europe's most cherished convictions is that the force of arms rarely settles political disputes for long and European public opinion in the 20th century seems unwilling to commit to the war in Afghanistan for the long haul.8) What roles did Germany play in Europe in the 20th century?For the last half of the 20th century, Germany was at the heart of the European experiment. But since the end of the Cold War, it has stepped back from the E.U. and begun strengthening ties with Russia.9 What are the advantages for E.U. to be chosen as the White House’s partner?The advantages are that Europe is rich and democratic, and its values are closer to those of the U.S. than those of anywhere else.2. Fill in each blank of the following sentences with one of the phrases in the list given below. Make changes when necessary.1) China will adhere to the principle of developing high technology and realizingindustrialization to step up the commercialization, industrialization and internationalization of scientific and technological achievements.2) In the recent crisis no banks could manage to bail out the companies in financial pressure.3) In terms of the information from the Universe he is apathetic and sometimes irritable, he is like an ostrich sticking his head in sand.4) It will be up to the board to decide if the CEO should be removed.5) All our hopes rest upon the arrival of the shipment.6) The plan has already been worked out, and could be put into operation at a moment's notice.7) The whole machinery of civilization will break down if this doctrine wins in the war.8) His remarks hit home when he said that we did not work enough.9) Some analysts suspected that Toyota had pulled strings to stifle probes into its auto quality problems.10) Mercy is reaching out to those who have nothing to give back to you.3. Match the terms in column A with the explanations in column B:A ____________________ B_____________________________________1)free market A) Effects on the behavior of individuals causedby observation of the actions of others and theirconsequences. 32) coalition government B) An economic turmoil where companies gobankrupt, people are laid off, and markets aresluggish. There is a lot of panic in bothbusiness and daily lives.93) demonstration effects C) A market in which there is no economicinterventionby the state, except to enforceprivate contracts and the ownership of property.14) health insurance D) A qualified retirement plan set up by acorporation, labor union, government, or otherorganization for its employees. 6E) A form of collectivism by means of whichpeople collectively pool their risk, in this casethe risk of incurring medical expenses. 45) national interest F) The ability to obtain what one wants througheconomic or cultural means. It allows nations toexert their influence without using militarymeans or coercion. 86) pension scheme G) A fight or contention for territory, power,control, or resources between tow more partiesin a place or area.. 77) turf war H) Things of great importance to a nation,including its goals, visions and ambitions inpolitical, economic, cultural fields, etc. andactions, circumstances, and decisions to achievethem. 58) soft power I) A cabinet of a parliamentary government inwhich several parties cooperate. 29) economic crunch4. Translate the following into Chinese.有什么能让欧洲振奋起来吗?当然:如果欧洲领导人能像20年前那样抓住时机,欧盟就将繁荣昌盛。
商务英语阅读课后答案【篇一:商务英语阅读教程3答案u2】t a.ii. choose the best answer from the following.1. c2. d3. a4. a5. aiii. translate the following into chinese.1. 随着金砖四国(巴西、俄罗斯、印度和中国)以及其他新兴市场的经济影响力和自信不断增强,发展重点的这种差异一定会变得越来越重要。
2. 非政府组织试图提高贫困人民的生活水平,公司则渴望赢得具有巨大增长潜力的市场中的消费者,非政府组织和公司之间存在着利益趋同现象。
3. 要签署加入《联合国企业家良心组织》,公司只需承诺履行十大主要准则,例如提高环保的责任意识,反对腐败,并且每年汇报一次他们所取得的进展。
text bii. decide whether the following statements are true or false according to the text.1. f2. t3. t4. t5. fiii. translate the following into chinese.1. 在为数不多的几个出类拔萃堪称日本企业典范的跨国公司中,索尼这个品牌一直是个引领者,过去,从单枪三束彩色电视机到随身听,索尼代表了电子消费品的优良品质,但如今,索尼这一品牌正随着过去成功势头的消退而日渐衰弱。
2. 出井伸之提前一年离职的决定表明公司可能比预想的还要糟糕,而他定下的2007年利润恢复至10%的目标更是遥不可及。
3. 年复一年,扩张酿成了行动缓慢的大型化趋向,并且索尼公司也就成了日本企业界停滞不前的案例。
fast reading practice1. a2. c3. c4. d5. b【篇二:商务英语阅读(第二版)+大学英语翻译教程(第三版)答案】class=txt>unit 1why china worksexercises1. answer the questions on the text:1) how does the author view the chinese economy?it is the most important bright spot in the world economy under the global recession, the only major economy that is likely to show significant growth this year, and the only one that routinely breaks every rule in the economic textbook.2) according to the author, why can the chinese economy perform so well?because of:(1) the capacity for state control by the chinese government.(2) its rejection of exotic financial innovations that are the melting core of the global credit crisis.(3) the integration of its economic policies between traditional market tools and state control measures.3) in what way does the author imply that western economists are erroneous in their bias toward “china’s market economic system”?the united states and europe are moving toward state control by nationalizing their banking and car industries, and imposing heavy new regulation on the financial industry.4) what is the view of stephen roach on the chinese economy system?investment is the backbone of sustainable growth in the chinese economy, which works more effectively than other market based systems in times of economic stress.5) why can china work in the eye of the author?6) what is regarded as the strategic thinking of the chinese leaders in market reforms?they understand even under the serious financial crisis that it can stabilize the chinese market and economy to introduce more sophisticated forms of securitization, including stock index funds, corporate and other debt products. they also realize that, in the course of doing this, they should learn from the mistakes the westerners have made.7) what is the example given to illustrate the steadiness of the chinese leaders in their policy execution?they continue to allow the value of yuan to rise despite of the american charges and the need for export competitiveness by their own enterprises.8) what is “shock therapy”?it is the economic policy adopted in russia from 1991 to 1992 that totally deregulated prices and lead to a runaway inflation. it proved to be all shock and no therapy.9) in what ways does the chinese economic system work efficiently?economic growth and prosperity.11) what are the internet and public opinion used for?for putting pressure on local officials and influencing policy decisions.2. fill in each blank of the following sentences with one of the phrases in the list given below. make changes when necessary.1) at a time when the need is growing for mental health services, many countries are unfortunately spending.2) there is an increasing number of people out of work. but the western media often unfairly them reliable.3) the flow of oil has been stopped by bp, the impact of all the spilled oil and natural gas is still beingmeasured.4) once again its ability to steer economic policy will be tested against the ability to services and projectsaimed at growing the economy and jobs.5) housing prices are incredibly high today. but he bought his house about five years ago.6) as people are complaining high prices, especially those related to daily necessities, the government feels rather urgent to inflation rate immediately.7) under the new economy policy investors are invited to 8) since a serious gun shooting occurred in arizona last week, security concerns all places,including residential buildings.9) social uest is a daily occurrence in the country nowadays. it is in the last place multinational companies.10) efforts to ban smoking in china are so effective yet. some chain smokers never think of quitting while many othershave battled to quit.3. match the terms in column a with the definitions in column b:a_______________________b__________________________________1) financial innovation a) a reduction in the general availability of loans (orcredit) or a sudden tightening of the conditionsrequired to obtain a loan from the banks.2) stimulus package b) a non-bank entity or organization such asinvestment companies and mutual funds thatinvests in large quantities. 3) overheatingc)a legal entity created by a government to undertakecommercial activities on its behalf.4) stamp taxd) the trading of a corporations stock or othersecurities (e.g. bonds or stock options) byindividuals with potential access to non-publicinformation.e) an industry that requires large amounts of capital, machinery and equipment toproduce goods.5) capital-intensive sector f) generation of new and creative approaches tosecurities, money management or investing. 6) state-run firm g) an economy that is expanding so rapidly that toomuch money is chasing too few goods andeconomists fear a rise in inflation .7) credit crisis h) tax levied on certain legal transactions such as thetransfer of a property such as building, copyright,land, patent, and securities. 8) institutional investori) a plan or a series of measures taken by agovernment to jump-start its ailing economy,generally as a part of its fiscal policy.10) insider trading4. translate the following passage into chinese.我们所面临的来自中国的真正挑战并不是他们向我们大量销售的货物,而恰恰相反,是他们正在提升的价值链。
Business EnglishExtensive Reading (1)商务英语阅读(1)Ⅰ. Reading ComprehensionPart One : Directions: Choose the correct answers according to the information given from the passeges. Read the passages through carefully before making your choices. Please mark the corresponding leter for each item on Answer Sheet.Passage One: Questions 1 to 5 are based on the following passage.The popularity in North America is Iceberg Water, a leading brand of bottled water, which is harvested from icebergs off the coast of Newfoundland, Canada.Arthur Wiesenberger, who carries the title Water Master, is one of the few water critics in North America.As a boy,he spent time in the larger cities of Italy,France and Switzerland, where bottled water is consumed daily.Even then,he kept a water journal,writing down the brands he liked best.“My dog could tell the difference between bottled and tap water,”he says.But is plain tap water a11 that bad? Not at a11.In fact, New York’s municipal water for more than 100 years was recently considered among the best in the world in terms of both taste and purity.Similarly,a magazine in England found that tap water tasted better than several leading brands of bottled water.Nevertheless,soft-drink companies view bottled water as the next battle-ground for market share.As diners thirst for leading brands, soft-drink companies and restaurants salivate(垂涎)over the profits.A restaurant’s typical mark-up on wine is 100 to 150 percent, whereas on bottled water it's often 300 to 500 percent.As a result some restaurants are selling bottled water.According to an article in The Wall Street Journal, some of the more shameless tactics include placing attractive bottles on the table for a visual sell,listing brands on the menu without prices,and pouring bottled water without even asking the diners if they want itRegardless of how it's sold,the popularity of bottled water bring us better health and purity. 注意:此部分试题请在答题卡上作答。
商务英语阅读习题及答案⼀.docII) Match each one on the left with its correct meaning on the right1. motivation2. pursue3. mark up4. procurement5. intangible6. cargoroyalty商务英语阅读习题(⼀)I) Comprehension1. What is international trade?2. What are the major motivations for private firm to operate international business?3. What measures do most companies usually adopt to avoid wild swings in the sales and profits?4. Pleas give the four major modes chosen by most companies when entering into international trade.5. Could you find any difference between Direct Investment and Portfolio Investment? If you can, please tell the main reasons.6. What is MNE? What are its synonyms?7. What limits a firm's sales?A. tomake continual efforts to gain sth. B. the action of obtaining, esp. by efforts of carefulattention. C. which by is its nature can not be known by senses, not clear and certain, not real. D. the goods (freight) carried by a ship, plane or vehicle.E. the amount by which a price is raised.F. profit, interest-G. the net value of assets or interest, invest.8. equity 股本,资产净值 H. not needing other things or people, taking decisions alone.9. yield I. a share of the profits.10. independent J. need or purpose.2. A3.E4.B5. C6.D7.18.G9.F 10.HHI) Fill in the blanks with the words or expressions given below and if necessary, put the word in the right form.A. orientationB. diversifyC. seek outD. differentiate...fromE. take advantage ofF. undergoG. bring aboutH. correspond L abandon J. amount to K. Come after L. approach1. That factory is trying to B its products to sell in different markets.2. A successful businessman is always skilled in E every possible opportunity.3. Reforming and opening to the world has G great changes in our lives.4. Can you D this kind of operating the others?5. Private firm going in for international business have a profit A6. He I his company and family and went away with all the money.7. The L of winter brings cold weather.8. The manager's words J a refusal to the proposal./doc/045460db492fb4daa58da0116c175f0e7dd11956.html pany is always C the best way to gain more while cost less.10.The city has F many changes during the last ten years.11.Direct investment usually K a firm has experience in exporting or importing.12.There goods don't H to the list of these I ordered.IV)Translate the following terms and phrases into Chinese;1.purchasing power lO.recovery2.sales potentials 11, recession3.mark-up 13. portfolio investment4.domestic markets 12. tangible goods5.finished goods 13. visible exports and imports6.profit margin 14. revenue and expenditure7.market share 15- excess capacity8.trade discrimination9.business cycles 16. licencing agreementsV)Translate the following sentences into Chinese;If the exporting market price exceeds the one at the importing country, a dumping margin exists on that particular sale. Then Under Article VI of GATT( General Agreement on Tariffs and Trade) 1994, and the Anti-Dumping Agreement, WTO Members can impose anti-dumping measures, if, after investigation in accordance with the Agreement, a determination is made (a) that dumping is occurring, (b) that the domestic industry producing the like product in the importing country is suffering material injury, and (c) that there is a causal link between the two. Typically anti-dumping action means charging extra import duty on the particular product from the particular exporting country in order to bring its price closer to the “normal value" or to remove the injury to domestic industry in the importing country.VI)Translate the following sentences into English;1.国际贸易有助于所有的国家促进经济的发展。
Chapter 1二、短语翻译。
英翻汉Sluggish economy 萧条的经济Full employment 充分就业Trade deficit 贸易赤字in-depth analysis 深入的分析Industrialized countries 工业化free-trade agreement 自由贸易协定international specialization国际专业化product differentiation 产品差别trade surplus 贸易盈余determinative factor 决定性因素三、汉翻英经济双赢economic win-win 关税壁垒tariff barrier收入不平等wage inequality 劳动生产率labor productivity解雇工人lay off works 生产要素factor of production双边协议bilateral deal 回归分析regression analysis市场准入market access 世界经济复world economic recovery四. Translation1. The monitoring system will finally substitute the US Government’s cap on cigar imports from Cuba.2. The quarrel between Mexico and the US will be no avail and it may disrupt the lifting of the agricultural tariffs under the North American Free Trade Agreement.3. An economic cooperation business forum, which will discusshow to minimize the negative impact of global economic imbalance adjustment on China, will take place shortly before the ministerial conference.4. Few Americans attribute this to such obvious causes as a devalued dollar or business cycle.5. Recent research has shed light on the fact that there are heavy financial and political costs associated with the measures necessary to reduce the emission of greenhouse gases.6. There are rumors that the government struck a private deal with the corporation’s chairman last month.7. The opposition is exerting pressure on the US government to change the policy towards textile imports.8. Since the establishment of the bilateral free-trade agreement, the emerging economy has always been at the forefront of science and technology.9. In general, floating exchange rates are supposed to insulate countries from persistent differences in inflation with their trading partners.10. According to conservative estimates, by 2010, China’s import and export volume with North America and the EU would surpass $400 billion respectively, with ten ASEAN countries exceeding $200 billion.五、完形填空1.manufacturingpetitive3.deficit4.budget5.expanding6.recovery7.revival8.emerging9.innovation 10.propertyChapter2二、consumer-goods 消费品discount retailers折扣零售商brand equity 品牌资产价值advertising budget 广告预算real-time sales data 实时销售数据sales promotion促销profit margin 盈利scanner data扫描数据三、汉翻英价格溢价price premium 基线销售base-line sales减价price reductions 广告支出advertising spending营销组合marketing mix 销量溢价quantity premium产品数量(种类)product-line variety 美元分配allocation of dollars四. 翻译1. The government has allocated $ 0.1billion to the development and utilization of renewable energy in the rural areas.2. We should not develop the Western region at the expense of environment. Therefore the government has been following a sustainable development road attaching equal importance toeconomic development and environment protection.3. As a big responsible nation, China will strictly be abide by the WTO rules and honor its commitments.4. The rapid growth in China’s grain production can be ascribed to the fact that the Chinese government has implemented a series of reform policy and measures in the rural areas, such as raising the prices of grain purchased by the state.5. In the globalization era, not all countries play on the level playground. Some developing countries have to adhere to some marketing principles, or even accede to the requests of some governments.6. Over the past year, the global investment demand was on the wane; the major world currencies suffered swift turbulence and some emerging markets underwent severe financial crisis.7. Networks fundamentally alter the nature of competition and level the playing field, especially for smaller business regardless of the barriers like time and distance.8. Through micro credit projects, with the credit available on demand, farmers are able to pay back both the principle and interest in time.9. China’s vigorous economic development is indicative of the fact that China has become one of the countries that enjoy the highesteconomic growth speed in the world.10. With the reform of the wholly state-owned commercial banks, when some qualified commercial banks seek listing in the stock market, others certainly will follow suit.五、完形填空1.blame2.damaged3.short-term4.building5.profiability6.arm7.boosts8.orientation9.moreover 10.loweringChapter3二. Privileged minority 享有特权的少数人Gas station加油站Marketing research 市场调查Professional competence 专业技能A sales point 卖点Product design 产品设计Potential consumer潜在顾客Business disaster 商业灾难三、汉翻英日常生活daily life 广告活动advertising campaigns物理特征physical characteristic 视觉想象visual imagination国媒体national media 销售增长sales increase销售渠道distribution system产品到导向型的广告product-orientated advertising四. 翻译1. Experts have attributed the main cause of the company’s poor performance to its poor HR functions, especially the appointmentof the senior management.2. British Airways intends to create a more flexible and modern corporate culture through the relocation3. Rumors about redundancy make the company at its worst in terms of morale ever since its foundation.4. After financial scandals, many companies can only resort to charity activities to improve their corporate image.5. Politicians should not engage in business affairs that might affect their political judgment.6. As a sleeping partner of the enterprise, he is entitled to share the profits, but is deprived of participating in its management.7. After watching this interview, she realizes how difficult it is to be a venture capitalist. For one thing, you need to have the money; for another, you need to have the insight to pick the right(promising) start-ups.8. T o enter a specific market, in addition to acquiring sufficient knowledge about our target customers, we also need to know about the local policies and abide by them.9. With the efforts of these university students, it was brought to light that this world-famous multinational had established some sweat factories in China.10. In a time when customers change constantly and rapidly intheir needs, only companies who are quick to respond can survive and succeed in the end.五、完形填空1.sincere2.privileged3.led4.constitutes5.intellectual6.resort7.instead8.reduce9.clients 10.divertChapter4三. Phrase Translation1. 人口流动2. 供应商网络3.标准零配件4. 特殊制造技术3.互补经济体 6.反日情绪7. 外方合作人, 外国附属公司8.上市企业并购mergers and acquisition海外扩overseas expansion全球化战略globalization strategy保护主义措施protectionist measures市场准入access to market知识产权intellectual property right贸易伙伴trading partners资本投入capital investment四. 翻译1. Vendors now offer systems that work only with their hardware, but they are trying to make their equipment integrate with other’s hardware.2. Agricultural exports, by contrast, respond immediately, growing at an annual rate of 17.7 percent in 1980 and 1981.3. This book takes a strategic view of business and develops the ability to take a multidisciplinary approach to managing a business and resolving problems and issues.4. Thanks to the recession and 9/11, Mayor Michael Bloomberg must contend with a whopping budget deficit projected to 60 billion.5. Dispose of batteries properly. Do not throw them into fire or expose to high temperature.6. In the future, in addition to syndicating our groups’ efforts, we will ally with foreign companies to leverage advantages and enhance global competitiveness.7. We are certain that in due course of time, the economic reforms will have brought about results and benefits that will go beyond China’s boundaries.8. One of the major banks has lowered its interest rate and the other bank is expected to follow suit.9. During these quarterly meetings, it’s the boss’s responsibility to respond to each manager’s plan.10. We will put in place a new order of the socialist market economy through completing the market system and rectifying and regulating the market behavior.五、完形填空1. ambivalent,2.integration3. hindered4. from5. by.6. shortage,7. options8. acquisitions9. strategy 10. allianceChapte r 5三、汉翻英上市公司对…随时留意, 小心提防会计师事务所国外子公司经济规划的持观望态度(财务)调帐报告业绩评定指标/方法Generally accepted accounting principles revenue recognitionIncome statement earnings per share Managing director credit-rating agenciesFinance chiefs/executives institutionalinvestors四. 翻译1. Escal ating costs have almost wiped out the company’s profits from last year.2. This area is studded with bars all vying for customer attention. But it’s not easy to pin down what exactly it is that pleases customers the most.3. The project team decided to adhere to its original plan despite the appalling weather.4. At the press conference, the PR manager reiterated that the company’s operation has returned to normal. However, many private shareholders remain skeptical about such claims.5. The new labor law, which took effect last year, is likely to raise the labor cost of a considered number of enterprises6. The less senior employees are reluctant to express their views or make any suggestions because they don’t think their ideas will really be put into practice.7. Local relief organizations have also embarked on fund-raising campaigns so as to provide more financial support for the earthquake victims.8. Up to 30 companies submitted their request for price rises, but most of them didn’t stand a chance of getting approval from theregulatory agency.9. The decision-makers seem to have already given up on the reform program though its initiators are still trying hard to elicit support from other stakeholders.10. The new model, which has just been released onto the market recently, is being touted as the most energy-efficient and environmentally-friendly product of its kind.五、完形填空1. toll2.leveraged3. grips4. shaping5.counterpart6. joint7.potential8. with9.light 10. transparent 11. responses 12. onChapter 8三、汉翻英公司未来愿景消减成本利用资源投资组合untapped niches 尚未被竞争者发现的市场机会convenience stores 便利店market segments 市场细分premium brand 高端品牌实施战略execute strategy竞争优势competitive advantage实证研究empirical studies核心品牌core brand分销系统distribution system控股公司 a holding company文化冲突culture clashes股东财富shareholders wealth四. 翻译1. The management believes that its existing manufacturing and marketing expertise can be leveraged with the new business.2. Jack Welch, General Electric chairman, was universally acclaimed as one of the most successful manager in the 20th century.3. The Japanese company is unanimous in its support of divestiture since the acquired business unit is destroying the corporate value.4. This study reveals several fault lines that companies frequently encounter as they execute their corporate strategy.5. Problems arose at the very outset when Anheuser Busch acquired Eagle Snacks.6. AT&T put up with losses in NCR almost from the start, butcontinued to subsidize it.7. Mattel expected to derive above-average profitability from the acquisition of The Learning Company.8. We must bear in mind that a corporate strategy must be constantly evaluated and divestiture decisions made before it is too late.9. AT&T realized that telecom equipment is not identical to computer technologies.10. We can’t view the fai lure of the acquisition strategy in isolation. It’s the result of a combination of several factors, rather than unidimensional.五、完形填空1.acquisitions .2.executing3.divestiture4.at5. on6.plunged7.that8.synergies9.core 10.premium。
商务英语阅读1参考答案一、阅读理解1. 问题1:文章主要讨论了什么?答案:文章主要讨论了全球化背景下商务英语的重要性以及如何提高商务英语的沟通技巧。
2. 问题2:为什么商务英语在当今世界如此重要?答案:商务英语重要性体现在跨国贸易的增长,国际商务交流的频繁,以及对专业商务人士的需求。
3. 问题3:文章提到了哪些提高商务英语能力的方法?答案:文章提到了扩大词汇量、学习商务术语、练习商务写作、参与商务会议以及利用在线资源等方法。
4. 问题4:作者对商务英语的未来趋势有何看法?答案:作者认为随着全球化的深入,商务英语将继续成为国际商务沟通的关键工具,并且其重要性将不断增加。
5. 问题5:文章中提到的“商务英语沟通的障碍”有哪些?答案:文章中提到的障碍包括文化差异、语言习惯、专业术语的误解以及非语言交流的挑战。
二、词汇理解1. 问题1: "Negotiation"在商务英语中通常指的是什么?答案: "Negotiation"在商务英语中通常指的是商务交易或协议过程中的协商过程。
2. 问题2: "Collaboration"一词在商务环境中的含义是什么?答案: "Collaboration"在商务环境中指的是不同个人或组织之间的合作,以实现共同的目标或完成项目。
3. 问题3: "Mergers and Acquisitions"通常指的是什么类型的商务活动?答案: "Mergers and Acquisitions"通常指的是公司之间的合并或收购活动,这是企业扩张或重组的一种方式。
4. 问题4: "Stakeholder"在商务英语中通常指谁?答案: "Stakeholder"在商务英语中通常指的是对公司或项目有直接或间接利益的个人或团体。
5. 问题5: "Due Diligence"在商务英语中的含义是什么?答案: "Due Diligence"在商务英语中指的是在进行商务交易前对相关事务进行彻底的调查和评估,以确保交易的合理性和安全性。
Chapter 10The Alchemists of FinanceExercises1. Questions on the text1)Wha t’s the main difference between commercial banks and investmentbanks?In today's business environment, the main business of commercial banks is to collect deposits and make loans, while that of investment banks is to underwrite stocks and bonds and advise companies on mergers and acquisitions.2)Why do investment banks try to keep quiet about their big profits?Investment banks try to keep quiet about their big profits for two major reasons: first, they are under more scrutiny by regulators and investors; second, private equity and hedge funds have overtaken them in raising money and making excessive bets.3)What changes have taken place in the financial markets since the 1980s?The main changes since 1980s have been the rapid growth of financial instruments with unprecedented breadth, depth and richness, brought out by technology and innovation. Examples of those financial instruments are public and private debt securities and derivatives.4)Why do bankers and regulators worry about a possible collapse of aninvestment bank?They worry about a possible collapse of an investment bank because such an event will have serious implications for the whole financial system, and it is vital to know how such institutions evolve, how they handle risks and how well those risks are spread around the financial system.5)Which three factors can explain the huge profit for investment banks?Those factors are: first, the alchemist's trick of turning debt (mostly leaden) into derivatives (mostly liquid); second, the emergence of a new class of leveraged client (hedge funds and private equity); third, seeking out new capital markets and clients around the world. Meanwhile, in all these pursuits the banks are now using their own money, to differing degrees.6)What does the expression “the wild east〞refer to?That expression refers to the new markets emerging in Europe and Asia. The introduction of the euro in 1999 and the rapid growth of economies in those regions have attracted investment banks.7)What makes London an impressive rival to New York as a global financialcenter?London has become an impressive rival to New York as a global financial center because: first, London trades a wide range of assets and is regulated on the spot;second, London is a hub for Europe and continent European countries can raise capital there; third, London is also regarded as a springboard for emergingmarkets such as China and Russia.8)How do investment banks manage the risks?Investment banks try to find the most talented people to handle the intricate assets;they measure the correlations between different financial instruments in an attempt to spread risk; they invest hundreds of millions of dollars a year in technologies to measure and stress-test risks; they also try to boost their risk-weighted capital.9)According to the text, what’s the relationship between revenue and risk infinance?The relationship between revenue and risk is fundamental in finance. Risk-taking is awarded by possible high revenue. Low risk often means less revenue.However, in order to gain more revenue, you need to take more risks. You should carefully calculate the risk and balance it against revenue beforehand, or you will pay a high price for foolish investment bet.10)Which one is more important to the growth of the finance industry,innovation or regulation?Based on the text, both innovation and regulation are vital to the healthy growth of the finance industry. Without innovation, investors have fewer places to gain returns on their money and those seeking money would have much more difficulties in obtaining it. Thus innovation boosts the rapid growth of finance industry and brings benefits to more people both in developed countries and developing countries. However, innovation without proper regulation, such as the securities that no one knows how to exactly measure their risk, could lead the growth of the finance industry to a disastrous end.2. Fill in each blank of the following sentences with one of the phrases in the list given below:1)The government has taken many measures to bring down the prices of oil.2)Employees are asked to keep quiet about their year-end bonus.3)Regulators demand the monopoly company to split into smaller entities.4)It’s reported that China Telecom plans to spin off its network services unit in HK.5)The traffic had seized up for miles because of the accident.6)According to those representatives, new forces are at work in the refiningindustry.7)We shall never know how she managed to acquire her promotion; there is no wayto account for it.8) A nationwide law aimed at stamping out passive smoking in public spaces inSwitzerland came into force on Saturday.9)Innovations will bring about dramatic changes in this industrial sector.10)I would say that, on balance, it hasn't been a bad year.3. Match the terms in column A with the explanations in column B:A B1) liquidity crisis a) a bank that provides checking accounts,savings accounts, and money market accountsand that accepts time deposits. 62) leveraged buy-out b) a company issues common stock or shares tothe public for the first time. 53) credit crunch c) the situation in which a business experiences alack of cash required to grow the business, payfor day-to-day operations, or meet its debtobligations when they are due, causing it todefault. 14) over-the-counter securities d) the acquisition of another company usinga significant amount of borrowed money(bonds or loans) to meet the cost of acquisition.25) initial public offering e) a financial institution that assists individuals,corporations and governments in raisingcapital by underwriting and/or acting as theclient's agent in the issuance of securities. 8 6) commercial bank f) an aggressively managed portfolio ofinvestments that uses advanced investmentstrategies such as leveraged, long, short andderivative positions in both domestic andinternational markets with the goal ofgenerating high returns. 97) stress test g) a sharp increase in the interest rates and astrong decrease in allocated credits. 38) investment bank h) a process that measures whether oneinstitution has adequate capital and/or assetsto respond effectively to various, adversescenarios usually presented by a computerprogram. 79) hedge fund i) securities traded in some context other than ona formal exchange such as the NYSE, etc. 410) risk management j) the identification, assessment, andprioritization of risks followed by coordinatedand economical application of resources tominimize, monitor, and control the probabilityand/or impact of unfortunate events or tomaximize the realization of opportunities. 104.Translate the following into Chinese:在去年信贷危机爆发的时候,联邦的监管者们向国内的各主要金融机构注入了数以百亿计美元,而他们这么做的原因在于这些银行是如此之大以至于官员们担忧它们的破产将会拖垮整个金融体系。
商务英语阅读课后答案董晓霞韩艳艳1、I _______ no idea of where the zoo is. [单选题] *A. thinkB. getC. have(正确答案)D. take2、It’s usually windy in spring, ______ you can see lots of people flying kites.()[单选题] *A. so(正确答案)B. orC. butD. for3、13.________ it rains heavily outside, Lily wants to meet her children at once. [单选题]* A.IfB.Although (正确答案)C.WhenD.Because.4、100.The bus can ______ you to the Great Wall. [单选题] * A.leaveB.take(正确答案)C.changeD.spend5、Li Jing often helps me ______ my geography.()[单选题] *A. atB. inC. ofD. with(正确答案)6、His handwriting is better than _____. [单选题] *A. mine(正确答案)B. myC. ID. me7、It ______ me half an hour to return to school.()[单选题] *A. takes(正确答案)B. spendsC. costsD. brings8、The weather forecast says that we’ll have occasional rain tomorrow. [单选题] *A. 偶尔的B. 不停的C. 少量的(正确答案)D. 不可预测的9、You must pay more attention to your pronunciation. [单选题] *A. 词汇B. 拼写C. 发音(正确答案)D. 语法10、If it _______ tomorrow, I won’t go there. [单选题] *A. rains(正确答案)B. is rainingC. will rainD. would rain11、I will _______ at the school gate. [单选题] *A. pick you up(正确答案)B. pick up youC. pick you outD. pick out you12、They lost their way in the forest, and _____ made matters worse was night began to fall. [单选题] *A. thatB. itC. what(正确答案)D. which13、—What’s wrong with you, Mike?—I’m really tired because I studied for today’s test ______ midnight last night. ()[单选题] *A. althoughB. unlessC. until(正确答案)D. so that14、Can you tell me how the accident _______? [单选题] *A. came about(正确答案)B. came backC. came downD. came from15、Finally he had to break his promise. [单选题] *A. 计划B. 花瓶C. 习惯D. 诺言(正确答案)16、26.There’s some fruit in the kitchen. We ________ buy any. [单选题] *A.need toB.needn’t toC.don’t needD.don’t need to(正确答案)17、Sometimes only()10 out of 500 or more candidates succeed in passing all the tests. [单选题] *A. as many asB. as few as(正确答案)C. as much asD. as little as18、—______ do you play basketball?—Twice a week.()[单选题] *A. How often(正确答案)B. How muchC. How manyD. How long19、He spoke too fast, and we cannot follow him. [单选题] *A. 追赶B. 听懂(正确答案)C. 抓住D. 模仿20、24.I often ask my English teacher some questions ________ e-mail. [单选题] * A.by(正确答案)B.inC.forD.with21、Tomorrow is Ann’s birthday. Her mother is going to make a _______ meal for her. [单选题] *A. commonB. quickC. special(正确答案)D. simple22、Obviously they didn’t see the significance of the plan. That is()the problem lies. [单选题] *A. where(正确答案)B. whyC. /D. how23、Across the river(). [单选题] *A. lies a new built bridgeB.lies a newly built bridge(正确答案)C. a new built bridge liesD.a newly built bridge lies24、She works in a hospital. She is a(n) _______. [单选题] *A. managerB. engineerC. doctor(正确答案)D. patient25、73.The moonlight goes ____ the window and makes the room bright. [单选题] * A.acrossB.through(正确答案)C.overD.in26、86.—? ? ? ? ? ? ?will it take me to get to the Golden Street?—About half an hour. [单选题]* A.How farB.How long(正确答案)C.How oftenD.How much27、Do you know what()the change in his attitude? [单选题] *A. got throughB. brought about(正确答案)C. turned intoD. resulted from28、I want something to eat. Please give me a _______. [单选题] *A. bookB. watchC. shirtD. cake(正确答案)29、—It’s too noisy outside. I can’t fall asleep.—I can’t, either. We have to ______ new ways to solve the problem.()[单选题] *A. come up with(正确答案)B. get on withC. make up withD. catch up with30、—______ Tom play the piano?—Yes, very well. ()[单选题] *A. Can(正确答案)B. MayC. MustD. Should。
商务英语阅读教程基础篇2第七版unit2课后答案1、They took _____ measures to prevent poisonous gases from escaping. [单选题] *A.efficientB.beneficialC.validD.effective(正确答案)2、——Can you come on Monday or Tuesday? ——Im afraid()of them is possible. [单选题] *A.neither(正确答案)B. eitherC. noneD.both3、Is there ____ for one more in the car? [单选题] *A. seatB. situationC. positionD. room(正确答案)4、If the manager had to choose between the two, he would say John was _____ choice. [单选题] *A. goodB. the bestC. betterD. the better(正确答案)5、I often _______ music from the Internet. [单选题] *A. download(正确答案)B. spendC. saveD. read6、Customers see location as the first factor when_____a decision about buying a house. [单选题] *A.makeB.to makeC.making(正确答案)D.made7、--_______ does Ben go to school?--By bus. [单选题] *A. How(正确答案)B. WhatC. WhereD. Why8、It was _____the policeman came_____the parents knew what had happened to their son. [单选题] *A.before…asB. until…whenC. not until…that(正确答案)D.until…that9、A modern city has sprung up in _____was a waste land ten years ago. [单选题] *A.whichB.what(正确答案)C.thatD.where10、My father and I often go ______ on weekends so I can ______ very well. ()[单选题] *A. swim; swimmingB. swims; swimC. swimming; swimmingD. swimming; swim(正确答案)11、—Can you play tennis?—______. But I can play basketball.()[单选题] *A. Yes, I canB. Yes, I doC. No. I can’t(正确答案)D. No, I don’t12、78.According to a report on Daily Mail, it’s on Wednesday()people start feeling really unhappy. [单选题] *A. whenB. whichC. whatD. that(正确答案)13、Don’t forget _______ those books when you are free. [单选题] *A. to read(正确答案)B. readingC. readD. to reading14、78.—Welcome to China. I hope you'll enjoy the ________.—Thank you. [单选题] *A.tour(正确答案)B.sizeC.nameD.colour15、Although the story is written for children, it can be read by adult, _____. [单选题] *A. alsoB. eitherC. as wellD. too(正确答案)16、It was()of you to get up early to catch the first bus so that you could avoid the traffic jam. [单选题] *A. senselessB. sensible(正确答案)C. sentimentalD. sensitive17、23.Susan doesn’t like cartoons. She would rather ______ Space War”. [单选题] *A.see (正确答案)B.seesC.seeingD.to see18、97.Go ______ the square and you will find the theatre. [单选题] *A.aboveB.atC.across(正确答案)D.on19、A survey of the opinions of students()that they admit several hours of sitting in front of the computer harmful to health. [单选题] *A. show;areB. shows ;is(正确答案)C.show;isD.shows ;are20、—______ is it from your home to the bookstore?—About 15 kilometers.()[单选题] *A. How far(正确答案)B. How muchC. How longD. How many21、—Mum, could you buy a schoolbag ______ me when you go shopping?—No problem.()[单选题] *A. ofB. toC. inD. for(正确答案)22、( )He killed the enemy guard and made away _________the villagers. [单选题] *A. with the helpB. with helpC. with help ofD. with the help of(正确答案)23、20.Jerry is hard-working. It’s not ______ that he can pass the exam easily. [单选题] *A.surpriseB.surprising (正确答案)C.surprisedD.surprises24、74.No person ()carry a mobile phone into the examination room during the national college Entrance Examinations.[单选题] *A.shall(正确答案)B.mustC.canD.need25、Be _______ when you are driving. [单选题] *A. afraidB. careful(正确答案)C. clearD. clean26、If we want to keep fit, we should try to _______ bad habits. [单选题] *A. keepB. haveC. getD. get rid of(正确答案)27、_____ before we leave the day after tomorrow,we should have a wonderful dinner party. [单选题] *A. Had they arrived(正确答案)B. Were they arriveC. Were they arrivingD. Would they arrive28、—Look at those purple gloves! Are they ______, Mary?—No, they aren’t. ______ are pink. ()[单选题] *A. you; IB. your; MyC. yours; Mine(正确答案)D. you; Me29、We will _______ Mary this Sunday. [单选题] *A. call on(正确答案)B. go onC. keep onD. carry on30、Julia’s on holiday in Shanghai _______. [单选题] *A. in a momentB. after a momentC. at the moment(正确答案)D. at any moment。
Business English Reading Comprehension Passage OneThe relationship between the home and market economies had gone through two distinct stages. Early industrialization began the process of transferring some production processes (e. g. cloth-making, sewing and canning foods) from the home to the marketplace. Although the home economy could still produce these goods, the processes were laborious and the market economy was usually more efficient. Soon the more important second stage was evident --the marketplace began producing goods and services that had never been produced by the home economy, and the home economy was unable to produce them (e. g. electricity and electrical appliances, the automobile, advanced education, sophisticated medical care). In the second stage, the question of whether the home economy was less efficient in producing these new goods and services was irrelevant; if the family were to enjoy these fruits of industrialization, they would have to be obtained in the marketplace. The traditional ways of taking care of these needs in the home such as in nursing the sick, became unacceptable (and, in most serious cases, probably less successful). Just as the appearance of the automobile made the use of the horse drawn carriage illegal and then impractical, and the appearance of television changed the radio from a source of entertainment to a source of background music, so most of the fruits of economic growth did not increase the options available to the home economy to either produce the goods or services or purchase them in the market. Growth brought with it increased variety in consumer goods, but not increased flexibility for the home economy in obtaining these goods and services. Instead, economic growth brought with it increased consumer reliance on the marketplace. In order to consume these new goods and services, the family had to enter the marketplace as wage earners and consumers. The neoclassical(新古典主义的) model that views the family as deciding whether to produce goods and services directly or to purchase them in the marketplace is basically a model of the first stage. It cannot accurately be applied to the second (and current) stage.1. The reason why many production processes were taken over by the marketplace was that______.A.it was a necessary step in the process of industrializationB.they depended on electricity available only to the market economyC.it was troublesome to produce such goods in the homeD.the marketplace was more efficient with respect to these processes2. It can be seen from the passage that in the second stage ______.A.some traditional goods and services were not successful when provided by the homeeconomyB.the market economy provided new goods and services never produced by the homeeconomyC.producing traditional foods at home became socially never produced by the homeeconomyD.whether new goods and services were produced by the home economy became irrelevant3. During the second stage, if the family wanted to consume new goods and services, they had to enter the marketplace ______.A.as wage earnersB.both as manufacturers and consumersC.both as workers and purchasersD.as customers4.Economic growth did not make it more flexible for the home economy to obtain the newgoods and services because ______.A.the family was not efficient in productionB.it was illegal for the home economy to produce themC.it could not supply them by itselfD.the market for these goods and services was limited5. The neoclassical model is basically a model of the first stage, because at this stage ______.A.The family could rely either on the home economy or the marketplace for the neededgoods and services.B.many production processes were being transferred to the marketplaceC.consumers relied more and more on the market economyD.the family could decide how to transfer production processes to the marketplacePassage TwoAs is known to all, the organization and management of wages and salaries are very complicated. Generally speaking, the Account Department is responsible for calculations of pay, while the Personnel Department is interested in discussions with the employees about pay.If a firm wants to adopt a new wage and salary structure, it is essential that the firm should decide on a method of job evaluation and ways of measuring the performance of its employees. In order to be successful, that new pay structure will need agreement between Trade Unions and employers.In job evaluation, all of the requirements of each job are defined in a detailed job description. Each of those requirements is given a value, generally in “points”, which are added together to give a total value for the job. For middle and higher management, a special method is used to evaluate managers on their knowledge of the job, their responsibility, and their ability to solve problems. Because of the difficulty in measuring management work, however, job grades for managers are often decided without reference to an evaluation system based on points.In attempting to design a pay system, the Personnel Department should compare the value of each job with those in the job market. It should also consider economic factors such as the cost of living and the labor supply.It is necessary that payment for a job should vary with any distinctions in the way that job is performed. Where it is simple to measure the work done, as in the work done with the hands, monetary encouragement schemes are often chosen; for indirect workers, where measurement is difficult, methods of additional payments are employed.6. If a company wants its new pay structure to be successful, it is necessary to _______.A. give the workers extra pay to encourage themB. share the same opinion between the Trade Union and the employersC. consult some problems associated with payD. adopt a special way to evaluate the performance of its employees7. The methods of additional payments are adopted for indirect workers because __________.A. they don't have a higher payB. the firm hasn't enough fundC. the measurement of their work is very difficultD. their work is less important than that of other workers8. What should a firm consider in designing a new pay system?A. The value of each job alone.B. The method of calculating the pay.C. The requirements of each job.D. The labor supply and the cost of living.9. It can be inferred from the passage that _______.A. only the Accounts Department is involved in the management of salariesB. different job performances should be given different paymentsC. an evaluation system based on points is usually used to measure management workD. evaluating management work makes no difference from other work10. The main purpose of this passage is to _______.A. explain how the performance of a job can be measured in pointsB. describe the responsibilities of various departmentsC. tell readers how a firm can succeed in adopting a new pay systemD. tell readers how difficult the management work isPassage ThreeSelling skills can be very useful to you in your personal life. For example, have you ever wanted to use someone else's car? You had to use selling skills to persuade the owner to let you use it. When you apply for a job, you should really be trying to persuade the employer that you will be good employee. If you run for an elected office in an organization, you are really trying to sell yourself to others. You are trying to convince people that you have good ideas and will provide the type of leadership needed by that organization. Selling involves persuading others to accept your ideas or your advice.Selling skills are also important in most jobs. Business managers want to hire people who are creative, who work well with others, and who contribute to the success of their business. In the world of business, selling is a very important function. Business owners use selling skills to gain acceptance from customers and employees about store policies and procedures. Successful salespeople use selling skills to assist customers in making wise buying decisions.What Is Selling?Selling involves the art of communicating effectively with people — simply explaining how a product or service will benefit the customer. Customers will not purchase a product or service until they are convinced that they will benefit from owning that product or service. The salesperson needs to explain, advise, and generally help the customer. In fact, his most important job is to assist the customer in making a wise buying decision. The word selling is defined as:1. assisting the customer, and2. helping the customer make a wise buying decision.Assisting the CustomerBusiness in America today is very competitive. In our free enterprise system, there are many businesses that sell similar products and services. For example, you can purchase a pair of jeans from a department store, a women’s or men's apparel shop, a specialty store, or a discount store. Because customers can purchase the same product or service from more than one business, it is important that businesses provide polite, friendly service to customers. If customers do not receive polite and capable help from salespeople at a business, they may decide to purchase from another business. Salespeople make sure they provide the help customers expect.Helping the Customer Make a Wise Buying DecisionThe most important responsibility of any salesperson is to help customers make wise buying decisions. Customers have made wise buying decisions when they receive benefits from the products or services they have purchased. These benefits are called buyer benefits. A buyer benefit is the gain or personal benefit customers receive from the products or services they purchase. The salesperson's job is to make sure his customers purchase the products or services which will most benefit them.The Importance of SellingSelling is important to our economy, to business, and to the American people. In order to understand its importance, you need to be familiar with some basic facts about each segment of the American economy.The economy of our country is divided into three phases: production, marketing, and consumption. Production refers to the physical creation of goods and services. Farming, mining, fishing, lumbering, and manufacturing make up the production phase of our economy. Thousands of goods and services are produced each year. These goods and services, however, do not sell themselves. After goods and services have been produced, they must be made available to consumers for purchase. Marketing is the process through which goods and services flow from the producer to the consumer. Wholesalers and retailers make up the marketing phase of our economy.Selling is the most important marketing function performed by retail and wholesale businesses. Wholesalers buy from producers and sell to retailers. Retailers buy from producers and wholesalers and sell to consumers. Consumers are the users of goods and services in our society. The process of using goods and services is called consumption.What contribution does selling make to our economy? The role of selling in our society is to identify and provide the goods and services that will satisfy the needs and wants of the consumer. Manufacturers, wholesalers, and retailers all depend on customers to purchase products and services. When a business's sales decline, the company usually reduces the number of its employees. The jobs of the many people who produce and provide goods and services, therefore, depend on successful salespeople. When customers purchase products and services, they help create employment in manufacturing, wholesaling, and retailing. Full employment in our country creates additional purchasing power for our consumers. Selling, therefore, assists in maintaining the high standard of living enjoyed in our country.What contribution does selling make to a business? The role of business in society is toprovide the types of products and services which consumers need and want. It is the job of the salesperson, as the business's representative, to satisfy the customers' needs and wants. Salespeople, and the manner in which they treat customers, can really determine the success or failure of most businesses.What contribution does selling make to the American consumer? Salespeople are often the only contact a customer has with a business. Salespeople represent the business to the customer. They should offer sincere, honest, friendly, and courteous service to customers. The salesperson's job is to make sure the customer benefits from purchasing a product or service. Salespeople can save customers time and money by providing product information, showing how a product or service will benefit the customer, and making sure customers purchase the products and services which will best meet their needs and wants.11.The main idea of the first paragraph is ________.A. the importance of selling skills in managing a companyB. the importance of selling skills in job-huntingC. the importance of selling skills in one’s personal lifeD. the importance of selling skills in borrowing12.Selling is defined in this article as _______________________________A. helping the customer, and helping him make a wise buying decisionB. getting customers to buy goodsC. getting customers to buy servicesD. Both B and C13.Business in America today is very competitive, because ___________.A. there are too many kinds of goods in the marketB. there are not many demanding customersC. there are too many similar kinds of goods or servicesD. there are too many businesses14.The three phases of the American economy are ____________________.A. manufacture, wholesale and retailB. production, sale and after-sale serviceC. production, marketing and consumptionD. production, consumption and service15.Which of the following is NOT true?A. Salespeople represent a business to the customer.B. Salespeople must offer satisfactory service to customers.C. Salespeople should help customers buy the products that will best benefit customers.D. The success or failure of salespeople has little to do with the success or failure of a business in most cases.Passage FourThe so-called Americanization phenomenon seems to be a consequence of the recent globalization in our world. If we find American products worldwide, it is also increasinglycommon to find Asian products in the United States.Going to any country in Asia nowadays, we are going to see a lot of the American icons (图标)everywhere. A few years ago when I was in Ho-Chi-Min City, formerly known as Saigon, I was completely astonished at the number of billboards advertising products from multinational companies, many of them American. It is unforgettable for me—the vision of the spectacular Coca-Cola billboard on a Ho-Chi-Min Street.Living in the United Slates now, I am discovering many Asian products in America, from food to movies. In one day in San Francisco, or Seattle, or Houston, we can buy Sisheido cosmetics from Japan at the Galleria Mall, have sushi(寿司) and sashimi(生鱼片) in one of the many Japanese restaurants in the city, go to the cinema and enjoy the beautiful American-Chinese movie Crouching Tiger, Hidden Dragon, and take home spring rolls from one of the many Chinese restaurants in town.I understand that a great many people would like to hold hack the globalization process in the world because they think they are losing their own culture, but it is very difficult to stop this process. We can only try to be critical and choose what is best for us to have or to buy.However, many people think that young people are not free to choose when they are constantly exposed to attractive advertisements that are specially made to capture the youth market. Peaceful protests could be arranged just to help people to think about the situation, but the tendency in our world is that we want globalization, but we don't want to lose our own culture.16. The Americanization phenomenon is more possible to be the result of ______.A. the influence of Americanization on the worldB. the influence of the West on the EastC. the globalization in the worldD. American products worldwide17. What was the author in the passage particularly impressed by?A. The wonderful American-Chinese movie.B. The delicious Japanese food in American cities.C. The high quality of Asian products.D. The fantastic advertisement for an American product.18.We can learn from the passage that one of the consequences of globalization that manypeople worry about is ______.A. the spread of culture from one country to anotherB. the destruction of cultural identitiesC. the prevalence of American cultureD. the resistance to globalization worldwide19. What attitude should we have towards the globalization process?A. Disapproving.B. Pessimistic.C. Critical.D. Indifferent.20. Young people today can't really choose what they should buy because they _______.A. are influenced by American cultureB. don't know what is suitable for themC. are critical about everything in the worldD. are faced with too many powerful advertisementsPassage FiveThe appeal of advertising to buying motives can have both negative and positive effects. Consumers may be convinced to buy a product of poor quality or high price because of an advertisement. For example, some advertisers appealed to people's desire for better fuel economy for their cars by advertising automotive products that improve gasoline mileage. Some of the products work. Others are worthless and a waste of consumers' money.Sometimes advertising is intentionally misleading. A few years ago a brand of bread was offered to dieters (节食者. with the message that there were fewer calories (热量单位,大卡) in every slice. It turned out that the bread was not dietetic (适合于节食的), but just regular bread. There were fewer calories because it was sliced very thin, but there were the same number of calories in every loaf.On the positive side, emotional appeals may respond to a consumer's real concerns. Consider fire insurance. Fire insurance may be sold by appealing to fear of loss. But fear of loss is the real reason for fire insurance. The security of knowing that property is protected by insurance makes the purchase of fire insurance a worthwhile investment for most people. If consumers consider the quality of the insurance plans as the message in the ads, they will benefit from the advertising.Each consumer must evaluate her or his own situation. Are the benefits of the product important enough to justify buying it? Advertising is intended to appeal to consumers, but it does not force them to buy the product. Consumers still control the final buying decision.21. Advertising can persuade the consumer to buy worthless products by ________.A. stressing their high qualityB. convincing him of their low priceC. maintaining a balance between quality and priceD. appealing to his buying motives22. The reason why the bread advertisement is misleading is that ________.A. thin slices of bread could contain more caloriesB. the loaf was cut into regular slicesC. the bread was not genuine breadD. the total number of calories in the loaf remained the same23. The passage tells us that _________.A. sometimes advertisements really sell what the consumer needsB. advertisements occasionally force consumers into buying things they don't needC. the buying motives of consumers are controlled by advertisementsD. fire insurance is seldom a worthwhile investment24. It can be inferred from the passage that a smart consumer should ________.A. think carefully about the benefits described in the advertisementsB. guard against the deceiving nature of advertisementsC. be familiar with various advertising strategiesD. avoid buying products that have strong emotional appeal25. The passage is mainly about _________.A. how to make a wise buying decisionB. ways to protect the interests of the consumerC. the positive and negative aspects of advertisingD. the function of advertisements in promoting salesPassage SixThe Supreme Court's recent decision allowing regional interstate banks has done away with one restriction in America's banking operation, although many others still remain. Although the ruling does not apply to very large money-center banks, it is a move in a liberalizing direction that could in the end push Congress into framing a sensible legal and regulatory system that allows banks to plan their future beyond the next court case.The restrictive laws that the courts are interpreting are mainly a legacy(遗赠物)of the bank failures of the 1930's. The current high rate of bank failure—higher than at any time since the Great Depression—has made legislators afraid to remove the restrictions. While their legislative timidity (胆怯)is understandable, it is also mistaken. One reason so many American banks are getting into trouble is precisely that the old restrictions make it hard for them to build a domestic base large and strong enough to support their activities in today's telecommunicating round-the-clock, around-the-world financial markets.In trying to escape from these restrictions, banks are taking enormous, and what should be unnecessary, risks. For instance, would a large bank be buying small, failed savings banks at inflated prices if federal law and states regulations permitted that bank to explain instead through the acquisition of financially healthy banks in the region? Of course not. The solution is clear. American banks will be sounder when they are not geographically limited.The house of Representative's banking committee has shown part of the way forward by recommending common-sensible, though limited, legislation for a five-year transition to nationwide banking. This would give regional banks time to group together to form counterweights to the big money-center banks. Without this breathing space the big money-center banks might soon extend across the country to develop. But any such legislation should be regarded as only a way station on the road towards a complete examination of American's suitable banking legislation.26. The restrictive banking laws of the 1930's are still on the book because _______.A. the bank failures of the 1930's were caused by restrictive courtsB. banking has not changed during the past 50 yearsC. legislators believe banking problems similar to those of the Depression still exist todayD. the banking system is too restrictive, but no alternatives have been suggested27. According to the author, the change to a nationwide banking system should be _______.A. postponed until the consequences can be evaluatedB. gradual so that regional banks have a chance to compete with larger banksC. immediate because we can't afford any more bank failuresD. much faster to overcome legislative fear28. It can be inferred from the passage that _______.A. many restrictions in banking operation have been cancelledB. the ruling of removing the restriction can make the banks plan their future freelyC. the ruling of removing the restriction can't be applicable to all banksD. the old restrictions will be helpful to set up a powerful domestic base29. What is the author's attitude towards the current banking laws?A. Tolerant and disapproved.B. Concerned and dissatisfied.C. Understandable and indifferent.D. Supportive and admirable.30. The main idea of the passage is that _______.A. despite many bank failures, the nature of banking has not really changed so muchB. the current banking law must be useful to today's banksC. center banks currently have too much power as compared with the regional banksD. banks have been forced to take needless and dangerous risks due to the restrictions Passage SevenOver the past decade, American companies have tried hard to find ways to discourage senior managers from feathering their own nests at the expense of their shareholder. The three most popular reforms have been recruiting more outside directors in order to make boards more independent, linking bosses' pay to various performance measures, and giving bosses share options, so that they have the same long-term interests as their shareholders.These reforms have been widely adopted by America's larger companies, and surveys suggest that many more companies are thinking of following their lead. But have they done any good? Three papers presented at the annual meeting of the Academy of Management in Boston this week suggest not. As is usually the case with boardroom tinkering, the consequences have differed from those intended.Start with those independent boards. On the face of it, dismissing the boss's friends from the board and replacing them with outsiders looks a perfect way to make senior managers more accountable. But that is not the conclusion of a study by Professor James Westphal. Instead, he found that bosses with a boardroom full of outsiders spend much of their time building alliances, doing personal favors and generally pleasing the outsiders.All too often, these seductions succeed. Mr. Westphal found that, to a remarkable degree,"independent" boards pursue strategies that are likely to favor senior managers rather than shareholders. Such companies diversify their business, increase the pay of executives and weaken the link between pay and performance.To assess the impact of performance-related pay, Mr. Westphal asked the bosses of 103 companies with sales of over $ 1 billion what measurements were used to determine their pay. The measurements varied widely, ranging from sales to earnings per share. But the researcher's big discovery was that bosses attend to measures that affect their own incomes and ignore or play down other factors that affect a company's overall success.In short, bosses are quick to turn every imaginable system of corporate government to their advantage-which is probably why they are the people who are put in charge of things. Here is paradox for the management theorists: any boss who can not beat a system designed to keep him under control is probably not worth having not beat a system designed to keep him under control is probably not worth having.31. What is the purpose of the large companies in recruiting outsiders and putting them on the board of directors?A.To diversify the business of the corporation.B.To enhance the cooperation between the senior managers and the board directors.C.To protect the interests of the shareholders.D.To introduce effective reforms in business management.32. What does Professor James Westphal’s study suggest?A.With a boardroom full of outsiders, senior managers work more conscientiously.B.Outside board directors tend to be more independent.C.Boardroom reforms have failed to achieve the desired result.D.Cooperation between senior managers and board directors suffered from the reforms.33. The word “seduction” in the fourth paragraph probably means “____”A. efforts to conquerB. exertions to understandC. endeavors to increase profitsD. attempts to win over34. Which of the following statements is true?A. Corporate executives in general are worth the high pay they receive.B. The income of corporate executives is proportional to the growth of corporate profits.C. Corporate executives tend to take advantage of their position to enrich themselves.D. The performance of corporate executives affects their own interests more than those of the shareholders.35. How does the author feel about the efforts to control senior executives?A. approving.B. optimistic.C. positive.D. doubtfulPassage EightHenry Ford, the famous U.S. inventor and car manufacturer, once said, “The business of America is business.” By this he meant that the U.S. way of life is based on the values of the business world.。
商务英语阅读(第二版)-王关富Unit2The-World-Economic-For um-课后答案Unit 2A Changed Global RealityExercises1. Answer the questions on the text:1) What are the features of the two major economies that the world has seen formore than 200 years?One has dominated technological innovation and trade and amassed great wealth. The second—much of it politically under the thumb of the first—has remained poor and technologically dependent.2) How much did low-and-middle-income countries contribute to world growthin 2010?Almost half (46%)3) Taking a long term view, why is it good news that developing countries aregrowing fast?As billions of poor people become more prosperous, they will be able to afford comforts their counterparts in the rich world have long considered the normal appurtenances of life.4) What are the worst-case scenarios that Europe has so far avoided?A collapse of the euro, a debt crisis that spills from small economies such asGreece and Ireland to much bigger ones like Italy and Spain, and bitter social unrest in those nations that are having to massage wages down while cutting public budgets.5) Why does Jim Walker think that 2011 will be a “year of reckoning”?Because Jim Walker thinks that the rebound in the US is a mirage created by excessive stimulus. He expects the US to slip into the double dip it dodged in 2010.6) Why has the private-sector debt crisis of 2008-2009 morphed into apublic-sector debt crisis in 2010-11?It has been the result of the debt and deficits amassed in the process of stimulating economies and bailing out banks during the downturn.7) What are the risks that emerging economies face?a. sharp rise in inflationb. rising oil pricesc. soaring food price8) What did China and India do to cope with inflation and rising food prices?China raised the reserve-requirement ratio;India resorted to diplomatic means when Pakistan temporarily cut off some exports of onions to the country.9) How can the disaffection with global capitalism in the developed world beprevented from turning into a backlash against it?It would help if there were mechanisms in place to manage the stresses in the international economy.10) What is the most serious division between countries that policymakers haveto contend with?Economic disparity2.Fill in each blank of the following sentences with one of the phrases in the listgiven below:1) The search for the child was scaled back sharply today, with almost a third ofthe volunteers heading home.2) The former Federal Reserve Chairman says there is a risk that the US couldslip into a recession by year’s end.3) The CEO of the firm said that they would switch priority from traditionallabor-intensive products to more hi-tech and value-added ones.4) In the aftermath of the financial crisis the group has put on hold some of itsambitious regional expansion plans.5) Toyota Motor Corp. is offering widespread job buyouts to its US workers for the first time and cutting the workweek at some of its American plants by 10% to contend with falling sales.6) Eventually, it must morph into a system that functions on stability, or it willfail and cause an unstoppable breakdown and widespread hardship.7) Unfortunately most of the central banks in the world today are still firmlyunder the thumb of politicians.8) The stock market’s endurance could depend heavily on whether economic andcorporate performance remains uncertain, or begins indicating that the economy truly is out of the woods.9) Survivors were encouraged to talk about their horrible experiences to helpthem come to terms with the flood disaster.10) Other countries—notably Australia—have also avoided a bust in theirhousing markets, and have instead seen prices increases flatten out.3.Match the terms in column A with the explanations in column B:AB ______1)double-dip recession A) A physical substance, such as food, grains, andmetals, which is interchangeable with anotherproduct of the same type, and which investors buyor sell, usually through future contracts 72) credit rating B) A measure that examines the weighted average ofprices of foodstuffs, often used as an importantfactor to assess the cost of living. 93) austerity C) A government policy of deficit-cutting, lowerspending, and a reduction in the amount of benefitsand public services provided, sometimes coupledwith increases in taxes to pay back creditors toreduce debt. 34) private sector D) A central bank regulation that sets the minimumreserves each commercial bank must hold tocustomer deposits and notes. 105)protective tariff E) The part of the economy that is not statecontrolled, and is run by individuals and companiesfor profit. 46)beggar thy neighbor F) An expression in economics describing policy thatseeks benefits for one country at the expense ofothers. Such policies attempt to remedy theeconomic problems in one country by means whichtend to worsen the problems of other countries. 6 7) commodity G)A published ranking based on detailed financialanalysis by a credit bureau, of one’s financialhistory, specifically as it relates to one’s ability tomeet debt obligations. 28)sovereign-debt crisis H) A crisis in which a national government owes somuch debt that it is unable to repay or on the edgeof bankruptcy. 89)food-price index I) A tariff which tries to ban imports to stop themcompeting with local products 510)reserve requirement J) A situation where economic growth slides back tonegative after a short-lived growth and theeconomy may move into a deeper and longerdownturn. 14.Translate the following into Chinese:星期五,世界上20个主要经济体的领导人结束了在这座东北亚首都城市举行的为期两天的峰会。
Chapter 14 Patagonia: Blueprint for green business Exercises 1. Answer the questions on the text 1) What is Patagonia ’s work environment like? Patagonia has freeform work environments which have become common enough that that barefoot barefoot barefoot employees, employees, employees, cavorting cavorting cavorting pets pets pets and and and organic organic organic chefs chefs chefs hardly hardly hardly merit merit merit a a a second second glance. But the bicycles, the surfboards, the solar panels, the Tibetan prayer flags, the shed shed full full full of of of convalescing convalescing convalescing owls owls owls and and and hawks hawks hawks all all all suggest suggest suggest that that that it it it is is is not not not traditional traditional corporate-land, corporate-land, either. either. either. The The The place place place is is is all all all business, business, business, but but but it's it's it's business business business conducted conducted conducted upside upside down and inside out. Simply put, it's radical. 2) How does Chouinard view average American businesses? To Chouinard, the average suit ranks somewhere between alcoholic and criminal on the respect scale, and American business, when powered by the endless consumption consumption and and and discarding discarding discarding of of of stuff, stuff, stuff, is is is unimaginative unimaginative unimaginative at at at best best best and and and evil evil evil at at at worst, worst, responsible responsible for for for clear-cutting clear-cutting clear-cutting forests, forests, forests, polluting polluting polluting oceans, oceans, oceans, and and and bulldozing bulldozing bulldozing wetlands wetlands wetlands to to make make way way way for for for the the the next next next condo condo condo development. development. development. Its Its Its modus modus modus operandi operandi operandi is is is unsustainable unsustainable growth, which he compares to an "out-of-control tumor." 3) What was Chouinard ’s first try in the business world? Back Back in in in Burbank, Burbank, Burbank, Chouinard Chouinard Chouinard installed installed installed a a a coal coal coal forge forge forge in in in his his his parents' parents' parents' garage garage garage and and became became a a a self-taught self-taught self-taught blacksmith, blacksmith, blacksmith, hammering hammering hammering out out out pitons pitons pitons - - - three-inch three-inch three-inch strips strips strips of of of steel steel used for anchoring climbing ropes. Chouinard's pitons were stronger and more elegant than their predecessors, a triumph of minimalist engineering. He sold them out of the back of his car for $1.50 and tried to live on the proceeds. 4) What is the “dirtbag dirtbag”” way according to Chouinard? How does he view it? Chouinard describes as the "dirtbag" way as living as close to the wild as possible with as little as possible. To Chouinard, the “dirtbag dirtbag”” way never seemed like privation. Rather, it was freedom. 5) How do Chouinard and Malina define Patagonia? It It wouldn't wouldn't wouldn't release release release toxins toxins toxins into into into rivers rivers rivers or or or cause cause cause nervous nervous nervous breakdowns breakdowns breakdowns or or or chase chase endless endless growth. growth. growth. It It It wouldn't wouldn't wouldn't make make make disposable disposable disposable crap crap crap that that that people people people didn't didn't didn't really really really need. need. Anything Anything it it it produced produced produced would would would be be be of of of the the the highest highest highest quality, quality, quality, manufactured manufactured manufactured in in in the the the most most responsible way. When the surf was up or the powder wafted down, employees would be where they ought to be: outside. If an employee's child was sick, the parent would also be where he ought to be: at home. They would keep Patagonia privately held and say no to anything that compromised their values. 6) What big lessons did Chouinard learn from scaling the likes of Yosemite ’s EL After school Alan always threw himself into computer games. Some of his good luck must have rubbed off on me. We are taught from childhood to distance ourselves from a bad neighbor so as to He was p issedpissed off by the manSusan has an annoying habit of spying on her neighbors. She signed on for a concentrated course in the basics of nursing by the Red Cross. to break intopledges to be in residencewill be Chua's celebration of Chinese parenting and her bizarre assertions fly in the face ofAs a result, durable goods tend to punch above their weight) in determining if The basketball players are suiting up in the locker room. 11) The basketball players 12) Saddled with) ) the A B ___such as bicycling, boating and climbing.2under government ownership. 3the general public can buy its shares. 1business. 8populated. 5efficiency, recycling, and healthy housing. 9a location. 44operations, before deductions for expenses. 7working hours certain limits. 6protected by the patent. 10categories EXCEPT . According to the passage, the CDP is an organization that focuses on . on items like tooth paste and soup Wal-Mart admitted to emit 1.5 million metric tons of carbon dioxide 。
商务英语阅读(课后练习答案)Chapter One: EconomicsLesson OneI• Check your comprehension: Decide if the sentences are T or F. Write T or F before each sentence. Compare your answer with your pair.l.T 2.T 3. F 4. F 5. FII• Familiar yourself with the following key terms:A.Choose the statement that defines one of the business terms given below.L distribute 2. purchase 3・ loan4.resource5.interest6. supplierB.Identify the English expressions of the following Chinese terms.1.unemployment rate2.financial affairs3.auto loanitary pursuits5.civilian pursuits6.raise money7.medical careS.economic concernsIII.Vocabulary practice: Filling in the blanks with the proper words or expressions you have learned from the text given below to finish the following sentences.1.distributed2. varying3. economic4. purchasing5.resources 6・ exchange 7.campaign & issueIV・ Translation.1.人类有多种需耍和需求。
《《新编商务英语阅读教程》(第二版)练习参考答案》来自南京廖华在线阅读本文:《新编商务英语阅读教程》(第二版)练习参考答案《新编商务英语阅读教程》(第二版)练习参考答案Unit OneI.1. 资产C2. 边际变动E3. 市场势力I4. 劳动生产力(率)J5. 经济学A6. 市场失灵G7. 市场经济F8. 机会成本D9. 通货膨胀K10. 外部性H11. 效率B12. 菲利普斯曲线LII.Passage One经济学的研究主要分为两部分:宏观经济学与微观经济学。
宏观经济学着眼于经济全局——一幅宏观的画面。
在宏观经济学中,我们研究国家的政策目标,例如充分就业、抑制通货膨胀、经济增长等,而不考虑个人或者单个团体的利益和行为。
对宏观经济学的关注是为了从总体上认识并改善经济的运行。
微观经济学则关注宏观画面中的细节。
在微观经济学中,我们着眼于实际构成宏观经济的个人、厂商和政府机构。
我们感兴趣的是这些独立经济单位的行为。
他们的目标何在?以有限资源实现目标的途径是什么?如何对各种激励和机会做出反应?宏观经济学主要关注,例如,总消费性支出对总产出、就业及物价的影响。
很少关注消费性支出及其决定因素的实际内涵。
相反,微观经济学关注的是个体消费者具体的支出决策及其影响因素(爱好、物价水平、收入状况)。
宏、微观经济学的区别还反映在关于企业投资的讨论中。
宏观经济学中,我们需要了解决定企业总投资率的因素以及这些投资对一国的总产出、就业及物价水平产生影响的路径。
而微观经济学中,我们关注的是各家企业关于生产率、生产要素的抉择以及具体物品的定价决策。
了解宏、微观经济学的区别并非难事。
在现实社会,宏观经济的表现有赖于微观行为,而微观行为又受宏观经济表现的影响。
因此,人们只有了解了所有经济活动的参与者的行为方式及其成因,才能充分了解整个经济的运作方式。
但是,就如你会开车而不懂发动机的构造原理那样,你能观察到经济运行方式但并不能完全解开其中奥秘。
商务英语阅读第二版课后练习题含答案商务英语是一门应用广泛的英语,商务英语的学习不仅可以增进学生对英语的掌握程度,同时也可以提高学生商务英语应用能力。
商务英语阅读是商务英语中非常重要的部分。
本文将针对《商务英语阅读第二版》的课后练习题进行分析,并提供题目答案供学生参考和练习。
第一章商务读物练习一1.What is the most important organizational principle in amemo?答案:clear organization.2.What kind of information do people NOT usually write in afax?答案:information that’s too long or personal.3.What is the mn advantage of a letter over other kinds ofcorrespondence?答案:the formality of the letter can reflect the importance of the correspondence.练习二1.In memo writing, what does the author suggest as a goodorganizational device?答案:section headings.2.Why is it important to make sure that a fax is fully self-contned?答案:because faxes can be separated from their cover pages, it is important to make sure they are fully self-contned.3.Describe one way that e-ml differs from other kinds ofcorrespondence.答案:e-ml is informal and often contns conversational language.第二章商务智能练习一1.How is a database different from a spreadsheet?答案:in a database, data is organized into tables while in a spreadsheet, data is organized alphabetically.2.What is the primary purpose of a data warehouse?答案:to store data for analysis and decision making.3.What is a data cube?答案:a set of data that is organized in a way that makes it easy to analyze.练习二1.What is data mining?答案:the process of analyzing data to discover patterns and correlations.2.What is the difference between a data mart and a datawarehouse?答案:a data mart contns a subset of data from a larger data warehouse, while a data warehouse contns all data.3.What is OLAP?答案:online analytical processing is a tool for analyzing and presenting data in a multi-dimensional way.第三章电子商务练习一1.What is B2B e-commerce?答案:business-to-business e-commerce is the exchange of goods and services between businesses conducted digitally.2.What is the mn advantage of e-commerce for businesses?答案:e-commerce can increase accessibility and lower overhead costs.3.What is EDI?答案:electronic data interchange is a system for transferring business documents electronically.练习二1.What is C2C e-commerce?答案:consumer-to-consumer e-commerce is the exchange of goods and services between individuals conducted digitally.2.What is the difference between a shopping cart system and apayment gateway?答案:a shopping cart system allows users to add items to a virtual shopping cart, while a payment gateway is a system for processing online payments.3.What is m-commerce?答案:mobile commerce is the exchange of goods and services conducted through mobile devices.以上是对商务英语阅读第二版课后练习题的分析和答案。
商务英语阅读(课后练习答案)Chapter One: EconomicsLesson OneⅠ. Check your comprehension: Decide if the sentences are T or F. Write T or F before each sentence. Compare your answer with your pair.1. T2. T3. F4. F5. FⅡ. Familiar yourself with the following key terms:A. Choose the statement that defines one of the business terms given below.1. distribute2. purchase3. loan4.resource5.interest6. supplierB. Identify the English expressions of the following Chinese terms.1.unemployment rate2.financial affairs3.auto loanitary pursuits5.civilian pursuits6.raise money7.medical care8.economic concernsⅢ. Vocabulary practice: Filling in the blanks with the proper words or expressions you have learned from the text given below to finish the following sentences.1. distributed2. varying3. economic4. purchasing5. resources6. exchange7.campaign8. issueⅣ. Translation.1.人类有多种需要和需求。
经济学仅仅关注人的物质需求。
这些需求可以通过消费商品来得到满足─或者是实货(有形商品,如食物),或者是服务(无形商品,如供热)。
2.所有的社会都存在三个共同的基本问题,即:生产什么、怎样生产和为谁生产。
前两个问题代表的是生产,而第三个问题则代表的是分配。
3.人类的需要和需求几乎是无限的,然而不幸的是,人们发现自己的资源很缺乏。
4.经济学中最为古老的话题也许就是为什么有些国家富有,而其他国家贫穷。
有一点没有异议,那就是在许多发展中国家里,受过高等教育的劳动者稀缺。
V. Oral Practice: Discussion the following two questions with your group members in English.(Omitted)Lesson TwoⅠ. Check your comprehension: Decide if the sentences are T or F. Write T or F before each sentence. Compare your answer with your pair.1. T2. T3. F4. F5. T6.FⅡ. Familiar yourself with the following key terms: Choose the statement that defines one of the business terms given below.1.consumption2. household3. macroeconomic4. inflation5. workforce6. revolutionaryⅢ. Make sentences using the following words or patterns.1. When children are concerned with their parents’divorce, they are very unhelpful and painful.2. Children thrive on good food.3. Management must determine the firm’s cash needs for both the short and long term.4. We must inquire into t he matter before drawing the conclusion.5. Her old age pension gives her barely enough to get by.Ⅳ. Translation.1. 经济学来源于社会哲学,并且与社会哲学有着紧密联系。
2. 宏观经济学与经济的全部工作特性有关系,而微观经济学与单个实体的行为有关系,诸如市场,公司和家庭。
3.在宏观经济中,我们总体上研究经济;在微观经济中,我们着眼于个体市场。
4. We study economics to inquire into the economy of a nation from both the whole and individual.5. The scope of economics is extremely wide, including many different economic fields.6. Although macroeconomics is essentially related to microeconomics, it is still different from microeconomics.V. Oral Practice: Discussion the following two questions with your group members in English. (Omitted)Lesson ThreeⅠ. Check your comprehension: Decide if the sentences are T or F. Write T or F before each sentence. Compare your answer with your pair.1. T2. F3. F4. T5. FⅡ. Familiar yourself with the following key terms: Match each word on the left with its correct meaning on the right.1. c2. b3. d4. a5. f6. eⅢ. Cloze: Fill in each blank with an appropriate word from the list given below. Make changes wherever necessary.The term market has many meanings. To some people it means the place where they shop for groceries. To other people it means the stock market where people can buy or sell shares. To a manufacturer of women’s dresses it means the current level of demand for dresses.We can also take a market as a set of economic forces called supply and demand. Supply forces tend to bring goods and services into consumption.Demand forces tend to result in consumption of those goods and services. Supply and demand forces interact to form a price. Since markets play a large role in our economy,we say we have a market economy. A market economy is an economic system in which prices determine how resources will be used and how products will be distributed.IV. Translation.经济学家们谈及供求规律,就是指价格的上涨就会增加供应而价格的下降就会减少供应。
如果某一件独特的商品价格上升了,肯定会鼓励生产者生产更多的这类商品。
相反,如果价格在当地或在全球下降了,生产者将会减少对它的生产。
V. Writing practice: Please give a summary of this article (around 200 words).(Omitted)Lesson FourⅠ. Check your comprehension: Decide if the sentences are T or F. Write T or F before each sentence. Compare your answer with your pair.1. F2. T3. F4. T5. FⅡ. Choose the best answer to each of the following statements according to the text.1. c.2. d.3. d.4. b.5.d.Ⅲ. Translation.1. 有人卖时就有人买;公司在开发新产品时,政府就会通过法律管制污染。
2.价钱太高意味着由于生产过多而造成的过量供应;价钱太低会导致商店里排长队买东西和商品的短缺。
3.生产什么产品不是由消费者投票决定的─每2年或4年搞一次民意测验,而是由他们每日的购买所决定。
4.公司不断地受追求最大限度的利润所驱使─即获取纯收入或是总销售和总成本之间的差额。
5.人们的收入在很大程度上依靠他们自己所拥有的财产,依靠他们习得或继承的能力,依靠他们的运气,依靠种族和性别歧视的程度。
IV. Cloze: Fill in each blank with an appropriate word from the list given below. Make changes wherever necessary.Supplies of many commodities can generally be adjusted to suit market conditions. This means that changes in price lead to changes in the quantity of a particular commodity which is made available to consumers. In such instances supply is said to be “elastic”, because it can be increased and decreased rapidly in response to market prices.Elasticity of supply, as a response to changes in price, is related to demand. Economists define “demand”as a consumer’s desire or want, together with his willingness to pay for what he wants. We can say that demand is indicated by our willingness to offer money for particular goods or services.V. Oral Practice: Discuss the following two questions with your group members in English. (Omitted)Lesson FiveⅠ. Check your comprehension: Decide if the sentences are T or F. Write T or F before each sentence. Compare your answer with your pair.1. T2. T3. F4. T5. T6. F7.T8.TⅡ. Check your comprehension: Choose the best answer to each of the following statements.1. d.2. a.3. b.4. d.5. c.Ⅲ. Translation.1. 史密斯对市场机制指导作用的洞察激发了包括资本主义的钦佩者和批评家在内的现代经济学者。