燕山大学机械工程学院专业学位研究生校外导师汇总表-Sheet1
- 格式:xls
- 大小:34.00 KB
- 文档页数:4
王晶,毕业于燕山大学机械设计及制造专业,本科,工学学士学位。
从事专业基础教学和班主任工作,现任机电系专业基础教研室主任。
先后承担了工程力学、机械设计基础、公差配合、机械制图四科的教学任务。
“以人为本,因材施教”做为教育理念,针对学生存在的问题及时纠正,引导学生掌握走向成功的必备能力,写有《中职学生的学习障碍及教学对策》、《职业教育班级管理初探》、《浅谈教师“教书育人”的方法》。
其中《中学生不良品德行为形成的成因探析与矫正》论文获省德育教育学会一等奖,《班主任工作如何培养学生的创新精神》论文获省教育学院一等奖。
向一体化教师的目标迈进,取得职业资格数控铣床技师操作工。
全市职成教育教学设计《力矩》、《配合》获奖,《拉伸和压缩材料的力学性能》评为市级优质课,并指导青年教师取得好成绩,获得优秀指导教师奖。
中等职业学校省级教学新秀,市级教学能手。
《浅淡机械制图教学中学生读图能力的培养》论文获省级科研成果奖。
其中体验式教学:让学生真正成为学习的主人——《三视图》教学片断及反思编入哈尔滨地图出版社出版的《新理念、新课堂》。
2006—2007年度、2007—2008年度连年获得富区职教集团优秀教师和区级优秀教师。
请将开题公告提前3天发送至jykyk@机械工程学院研究生学位论文开题公告各位研究生同学:机械电子工程,机械工程,流体传动与控制学科硕士研究生学位论文开题具体安排如下:第 1 组一、开题报告时间:2017 年12 月29 日上午8:00到12:00二、开题报告地点:环化馆319三、开题报告评审小组成员名单四、开题研究生名单第2组一、开题报告时间:2017年12 月29日下午14:00到18:00二、开题报告地点:环化馆319三、开题报告评审小组成员名单四、开题研究生名单第3组一、开题报告时间:2017年12 月29日上午8:00到12:00二、开题报告地点:东四教606三、开题报告评审小组成员名单四、开题研究生名单第4组一、开题报告时间:2017年12 月29日下午14:00到18:00二、开题报告地点:东四教606三、开题报告评审小组成员名单四、开题研究生名单第5组一、开题报告时间:2017年12 月29日上午8:00到12:00二、开题报告地点:东四教612三、开题报告评审小组成员名单四、开题研究生名单第6组一、开题报告时间:2017年12 月29日下午14:00到18 : 00二、开题报告地点:东四教612三、开题报告评审小组成员名单四、开题研究生名单第7组一、开题报告时间:2017年12 月29日上午8:00到12:00二、开题报告地点:理学楼506三、开题报告评审小组成员名单四、开题研究生名单第8组一、开题报告时间:2017年12 月29日下午14:00到18:00二、开题报告地点:理学楼506三、开题报告评审小组成员名单四、开题研究生名单。
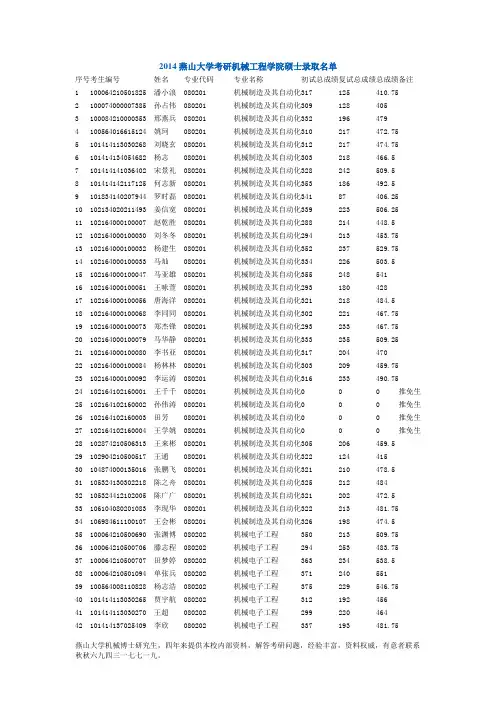
2014燕山大学考研机械工程学院硕士录取名单序号考生编号姓名专业代码专业名称初试总成绩复试总成绩总成绩备注1 100064210501825 潘小浪080201 机械制造及其自动化317 125 410.752 100074000007385 孙占伟080201 机械制造及其自动化309 128 4053 100084210000353 邢燕兵080201 机械制造及其自动化332 196 4794 100564016615124 姚珂080201 机械制造及其自动化310 217 472.755 101414113030268 刘晓玄080201 机械制造及其自动化312 217 474.756 101414134054682 杨志080201 机械制造及其自动化303 218 466.57 101414141036402 宋景礼080201 机械制造及其自动化328 242 509.58 101414142117125 何志新080201 机械制造及其自动化353 186 492.59 101834140207944 罗时磊080201 机械制造及其自动化341 87 406.2510 102134020211493 姜信宽080201 机械制造及其自动化339 223 506.2511 102164000100007 赵乾胜080201 机械制造及其自动化288 214 448.512 102164000100030 刘冬冬080201 机械制造及其自动化294 213 453.7513 102164000100032 杨建生080201 机械制造及其自动化352 237 529.7514 102164000100033 马灿080201 机械制造及其自动化334 226 503.515 102164000100047 马亚雄080201 机械制造及其自动化355 248 54116 102164000100051 王咏萱080201 机械制造及其自动化293 180 42817 102164000100056 唐海洋080201 机械制造及其自动化321 218 484.518 102164000100068 李同同080201 机械制造及其自动化302 221 467.7519 102164000100073 郑杰锋080201 机械制造及其自动化293 233 467.7520 102164000100079 马华静080201 机械制造及其自动化333 235 509.2521 102164000100080 李书亚080201 机械制造及其自动化317 204 47022 102164000100084 杨林林080201 机械制造及其自动化303 209 459.7523 102164000100092 李运涛080201 机械制造及其自动化316 233 490.7524 102164102160001 王千千080201 机械制造及其自动化00 0 推免生25 102164102160002 孙伟涛080201 机械制造及其自动化00 0 推免生26 102164102160003 田芳080201 机械制造及其自动化00 0 推免生27 102164102160004 王学姚080201 机械制造及其自动化00 0 推免生28 102874210506313 王来彬080201 机械制造及其自动化305 206 459.529 102904210500517 王通080201 机械制造及其自动化322 124 41530 104874000135016 张鹏飞080201 机械制造及其自动化321 210 478.531 105324130302218 陈之舟080201 机械制造及其自动化325 212 48432 105324412102005 陈广广080201 机械制造及其自动化321 202 472.533 106104080201083 李现华080201 机械制造及其自动化322 213 481.7534 106984611100107 王会彬080201 机械制造及其自动化326 198 474.535 100064210500690 张渊博080202 机械电子工程350 213 509.7536 100064210500706 滕志程080202 机械电子工程294 253 483.7537 100064210500707 田梦婷080202 机械电子工程363 234 538.538 100064210501094 单张兵080202 机械电子工程371 240 55139 100564008110828 杨志浩080202 机械电子工程375 229 546.7540 101414113030265 贾宇航080202 机械电子工程312 192 45641 101414113030270 王超080202 机械电子工程299 220 46442 101414137025409 李欣080202 机械电子工程337 193 481.7543 102134020210135 张召080202 机械电子工程299 227 469.2544 102134020210932 甄新帅080202 机械电子工程303 240 48345 102134020210935 石玉080202 机械电子工程326 239 505.2546 102134020210936 杨乐乐080202 机械电子工程322 218 485.547 102134020211035 曹文斌080202 机械电子工程324 220 48948 102134020211041 耿睿080202 机械电子工程305 224 47349 102134020211417 赵朝盛080202 机械电子工程343 231 516.2550 102164000200014 任志勇080202 机械电子工程313 221 478.7551 102164000200023 崔鹤080202 机械电子工程299 232 47352 102164000200028 叶妮佳080202 机械电子工程303 220 46853 102164000200029 赵旭博080202 机械电子工程291 225 459.7554 102164000200035 杨璐080202 机械电子工程317 235 493.2555 102164000200036 刘仕元080202 机械电子工程307 250 494.556 102164000200040 李勇080202 机械电子工程330 208 48657 102164000200042 李奇080202 机械电子工程288 234 463.558 102164000200046 易祥云080202 机械电子工程325 243 507.2559 102164000200050 刘登科080202 机械电子工程314 232 48860 102164000200053 孙龙080202 机械电子工程301 229 472.7561 102164000200060 何苗080202 机械电子工程325 235 501.2562 102164000200069 马立瑞080202 机械电子工程304 235 480.2563 102164000200070 杨梦雪080202 机械电子工程312 226 481.564 102164000200074 刘晓晓080202 机械电子工程327 257 519.7565 102164000200080 刘一丹080202 机械电子工程292 235 468.2566 102164000200082 王浩楠080202 机械电子工程309 213 468.7567 102164000200085 姚辉080202 机械电子工程296 214 456.568 102164000200089 孙晓宇080202 机械电子工程312 247 497.2569 102164000200092 曹晓明080202 机械电子工程312 232 48670 102164000200095 陈帆080202 机械电子工程308 237 485.7571 102164000200096 张玉翔080202 机械电子工程298 225 466.7572 102164000200099 张运东080202 机械电子工程314 238 492.573 102164000200100 董克岩080202 机械电子工程317 236 49474 102164000200109 单俊云080202 机械电子工程300 219 464.2575 102164000200117 井国宁080202 机械电子工程312 224 48076 102164000200119 赵亚杰080202 机械电子工程341 229 512.7577 102164000200127 岑龙080202 机械电子工程308 208 46478 102164000200130 李宁080202 机械电子工程318 206 472.579 102164000200132 霍震杨080202 机械电子工程339 240 51980 102164000200135 汪杰080202 机械电子工程313 229 484.7581 102164000200137 柴伟超080202 机械电子工程340 248 52682 102164000200141 田志立080202 机械电子工程325 263 522.2583 102164000200142 王京080202 机械电子工程330 243 512.2584 102164000200143 张琦玮080202 机械电子工程328 218 491.585 102164000200151 申冰雪080202 机械电子工程310 235 486.2586 102164000200153 曹为080202 机械电子工程353 242 534.587 102164000200155 韩可080202 机械电子工程327 238 505.588 102164000200164 孙志伟080202 机械电子工程289 226 458.589 102164000200167 陈亮亮080202 机械电子工程331 243 513.2590 102164000200180 刘艳娇080202 机械电子工程404 251 592.2591 102164102160005 孙策080202 机械电子工程0 0 0 推免生92 102164102160006 孙静080202 机械电子工程0 0 0 推免生93 102164102160007 强红宾080202 机械电子工程0 0 0 推免生94 102164102160008 蔡伟080202 机械电子工程0 0 0 推免生95 102164102160009 张阳080202 机械电子工程0 0 0 推免生96 102164102160010 孙通帅080202 机械电子工程0 0 0 推免生97 102164102160011 张永波080202 机械电子工程0 0 0 推免生98 102164102160012 秦靖080202 机械电子工程0 0 0 推免生99 102164102160013 焦雷浩080202 机械电子工程0 0 0 推免生100 102164102160014 李士行080202 机械电子工程0 0 0 推免生101 102164102160015 陈立娟080202 机械电子工程0 0 0 推免生102 102164102160016 张宇080202 机械电子工程0 0 0 推免生103 102164102160017 顾伟栋080202 机械电子工程0 0 0 推免生104 102164102160018 宋晓鑫080202 机械电子工程0 0 0 推免生105 102164102160019 白慧东080202 机械电子工程0 0 0 推免生106 102164102160020 史洪敏080202 机械电子工程0 0 0 推免生107 102164102160021 韩博080202 机械电子工程0 0 0 推免生108 102474340507512 佘亚中080202 机械电子工程391 231 564.25109 103354000905694 丁旭080202 机械电子工程317 230 489.5110 103354000905700 麻柏慧080202 机械电子工程317 238 495.5111 103354000905712 林加城080202 机械电子工程319 241 499.75112 104864208009078 赵龙威080202 机械电子工程295 202 446.5113 104874000130273 路廷廷080202 机械电子工程347 238 525.5114 104874000130274 侯照伟080202 机械电子工程364 236 541115 104874000130275 贾星080202 机械电子工程355 225 523.75116 104874000130493 韩帅帅080202 机械电子工程311 224 479117 107014161130224 冯文斌080202 机械电子工程352 214 512.5118 100044132155573 唐扬080203 机械设计及理论323 202 474.5119 100064210500683 孟子尧080203 机械设计及理论297 197 444.75120 100064210500688 卢亚宾080203 机械设计及理论342 224 510121 100064210500863 邱兵080203 机械设计及理论291 214 451.5122 100064210502145 王华明080203 机械设计及理论338 234 513.5123 100064210505454 董珂080203 机械设计及理论319 206 473.5124 100074000006841 贺晓东080203 机械设计及理论313 232 487125 100074000007167 刘瑶瑶080203 机械设计及理论344 204 497126 100074000007172 李麒麟080203 机械设计及理论328 173 457.75127 100074000007173 霍晓春080203 机械设计及理论317 229 488.75128 100074000007241 韩少峰080203 机械设计及理论341 215 502.25129 100074000007574 赵休胜080203 机械设计及理论361 236 538130 100084210003146 雷鸣080203 机械设计及理论320 218 483.5131 100084210003828 包倩倩080203 机械设计及理论320 223 487.25 132 100564000100347 孙明翰080203 机械设计及理论343 224 511 133 100564001306859 沈文涛080203 机械设计及理论358 238 536.5 134 100804010000339 张君080203 机械设计及理论300 189 441.75 135 101414137025426 夏婧琪080203 机械设计及理论331 243 513.25 136 101414137035636 李东营080203 机械设计及理论329 214 489.5 137 101414137035645 齐镇镇080203 机械设计及理论322 204 475 138 101454000000654 赵晓芳080203 机械设计及理论312 229 483.75 139 101454000004631 王鸽080203 机械设计及理论344 211 502.25 140 101454000007001 吴硕080203 机械设计及理论310 193 454.75 141 101834140108093 侯田博文080203 机械设计及理论315 188 456 142 101834140108218 庞路伟080203 机械设计及理论334 218 497.5 143 101834140112989 黄洪涛080203 机械设计及理论321 212 480 144 101834140200431 刘峰080203 机械设计及理论364 196 511 145 102134020211036 宋柳080203 机械设计及理论307 206 461.5 146 102134020211322 张彩云080203 机械设计及理论304 243 486.25 147 102164000300005 陈春轩080203 机械设计及理论293 232 467 148 102164000300019 薛顺辉080203 机械设计及理论301 233 475.75 149 102164000300023 由博080203 机械设计及理论293 222 459.5 150 102164000300025 陈珊珊080203 机械设计及理论306 215 467.25 151 1, 02164000300034 夏胜杰080203 机械设计及理论364 229 535.75 152 102164000300043 李昭亮080203 机械设计及理论297 190 439.5 153 102164000300047 王岩080203 机械设计及理论296 225 464.75 154 102164000300050 郭信心080203 机械设计及理论300 248 486 155 102164000300054 苗璧川080203 机械设计及理论330 216 492 156 102164000300061 李贵强080203 机械设计及理论285 214 445.5 157 102164000300068 王振鹏080203 机械设计及理论291 227 461.25 158 102164000300075 韩丁080203 机械设计及理论315 236 492 159 102164000300090 朱伟080203 机械设计及理论333 186 472.5 160 102164000300095 刘孟朝080203 机械设计及理论310 231 483.25 161 102164000300097 马占山080203 机械设计及理论297 234 472.5 162 102164000300098 王梦梦080203 机械设计及理论332 220 497 163 102164000300101 庞云云080203 机械设计及理论326 234 501.5 164 102164000300103 宋明明080203 机械设计及理论291 214 451.5 165 102164000300104 党亚辉080203 机械设计及理论346 230 518.5 166 102164000300105 刘向辉080203 机械设计及理论335 226 504.5 167 102164000300108 王志蒙080203 机械设计及理论346 222 512.5 168 102164000300109 于海国080203 机械设计及理论300 236 477 169 102164000300118 刘洋洋080203 机械设计及理论338 236 515 170 102164000300123 张永旭080203 机械设计及理论344 237 521.75 171 102164000300129 张志祥080203 机械设计及理论313 229 484.75 172 102164000300135 赵然080203 机械设计及理论347 247 532.25 173 102164000300144 李冬080203 机械设计及理论313 216 475 174 102164000300148 杨明庆080203 机械设计及理论291 225 459.75175 102164000300150 戴玉坤080203 机械设计及理论300 223 467.25176 102164000300156 李龙080203 机械设计及理论310 234 485.5177 102164000300157 段体清080203 机械设计及理论316 211 474.25178 102164000300160 周犁林080203 机械设计及理论297 185 435.75179 102164000300161 张巍巍080203 机械设计及理论307 182 443.5180 102164000300164 李润东080203 机械设计及理论323 224 491181 102164000300175 李明飞080203 机械设计及理论355 221 520.75182 102164000300180 王轩博080203 机械设计及理论309 213 468.75183 102164000300182 张继立080203 机械设计及理论299 221 464.75184 102164000300187 刘豪080203 机械设计及理论336 222 502.5185 102164000300188 任世晓080203 机械设计及理论294 184 432186 102164000300189 王艳强080203 机械设计及理论305 247 490.25187 102164000300191 吴德文080203 机械设计及理论344 214 504.5188 102164000300193 殷健080203 机械设计及理论330 217 492.75189 102164000300194 桂朋080203 机械设计及理论293 213 452.75190 102164000300195 刘子龙080203 机械设计及理论335 247 520.25191 102164000300199 张凯080203 机械设计及理论299 222 465.5192 102164000300200 杨中原080203 机械设计及理论364 242 545.5193 102164102160022 张威080203 机械设计及理论0 0 0 推免生194 102164102160023 兴百宪080203 机械设计及理论0 0 0 推免生195 102164102160024 赵正阳080203 机械设计及理论0 0 0 推免生196 102164102160025 赵星梅080203 机械设计及理论0 0 0 推免生197 102164102160026 陈威宇080203 机械设计及理论0 0 0 推免生198 102164102160027 杨鹏飞080203 机械设计及理论0 0 0 推免生199 102164102160028 宋和川080203 机械设计及理论0 0 0 推免生200 102164102160029 闫美加080203 机械设计及理论0 0 0 推免生201 102164102160030 王德蔚080203 机械设计及理论0 0 0 推免生202 102164102160031 石丽霞080203 机械设计及理论0 0 0 推免生203 102164102160032 董彬杰080203 机械设计及理论0 0 0 推免生204 102164102160033 郭乾勇080203 机械设计及理论0 0 0 推免生205 102164102160034 程晓丽080203 机械设计及理论0 0 0 推免生206 102164102160035 褚宏鹏080203 机械设计及理论0 0 0 推免生207 102164102160036 白晓阳080203 机械设计及理论0 0 0 推免生208 102164102160037 杜文连080203 机械设计及理论0 0 0 推免生209 102164102160038 李飞080203 机械设计及理论0 0 0 推免生210 102474340507507 孙鹏飞080203 机械设计及理论358 206 512.5211 103594210000915 李金龙080203 机械设计及理论316 221 481.75212 106104080201051 罗存阳080203 机械设计及理论325 202 476.5213 106114007080356 严语080203 机械设计及理论330 250 517.5214 106984130303236 赵菲080203 机械设计及理论299 245 482.75215 106984370103311 豆林瑞080203 机械设计及理论330 231 503.25216 106994113032798 刘晓080203 机械设计及理论290 200 440217 106994121033360 杨慧杰080203 机械设计及理论315 225 483.75218 106994137014117 杨硕林080203 机械设计及理论318 228 489219 100084210004588 邹伟杰080503 材料加工工程332 195 478.25220 101454000000162 马亚飞080503 材料加工工程312 174 442.5221 101834140208094 迟贺080503 材料加工工程344 198 492.5222 101834140309618 侯树伟080503 材料加工工程328 187 468.25223 102134050210525 刘金恒080503 材料加工工程346 199 495.25224 102134050211457 王茜茜080503 材料加工工程324 209 480.75225 102134050211463 李鹏080503 材料加工工程350 202 501.5226 102164000600004 温瑞洁080503 材料加工工程356 250 543.5227 102164000600007 刘洋080503 材料加工工程312 203 464.25228 102164000600012 李建超080503 材料加工工程346 202 497.5229 102164000600013 詹亮亮080503 材料加工工程383 207 538.25230 102164000600014 徐建勇080503 材料加工工程346 197 493.75231 102164000600015 相行080503 材料加工工程364 224 532232 102164000600018 尚俊英080503 材料加工工程324 215 485.25233 102164000600019 周玮080503 材料加工工程335 201 485.75234 102164000600020 刘秀侠080503 材料加工工程337 217 499.75235 102164000600021 郝增亮080503 材料加工工程329 204 482236 102164000600025 王耀华080503 材料加工工程319 212 478237 102164000600030 张慧芳080503 材料加工工程302 207 457.25238 102164000600032 宋旭龙080503 材料加工工程309 174 439.5239 102164000600043 韩雄超080503 材料加工工程356 198 504.5240 102164000600048 胡丽华080503 材料加工工程292 218 455.5241 102164000600049 王浩然080503 材料加工工程378 224 546242 102164000600051 杜天宇080503 材料加工工程301 190 443.5243 102164000600058 郭龙威080503 材料加工工程370 180 505244 102164000600059 王子蔷080503 材料加工工程290 217 452.75245 102164000600067 李慕禹080503 材料加工工程289 195 435.25246 102164000600072 高亭080503 材料加工工程296 208 452247 102164000600075 蒙庆080503 材料加工工程363 182 499.5248 102164102160039 杨卓云080503 材料加工工程0 0 0 推免生249 102164102160040 王国军080503 材料加工工程0 0 0 推免生250 102164102160041 毕蒙蒙080503 材料加工工程0 0 0 推免生251 102164102160042 王宁080503 材料加工工程0 0 0 推免生252 102164102160043 辛策080503 材料加工工程0 0 0 推免生253 102474130203843 毕江080503 材料加工工程344 182 480.5254 102874210605506 秦越080503 材料加工工程310 162 431.5255 102874210605888 韩金成080503 材料加工工程326 153 440.75256 102884500003550 邵利阳080503 材料加工工程317 215 478.25257 104224510096680 杨志博080503 材料加工工程286 171 414.25258 104874000132566 胡孟达080503 材料加工工程358 198 506.5259 104874000140233 陈佳筠080503 材料加工工程334 196 481260 106994113032791 张有为080503 材料加工工程327 190 469.5261 106994115023304 王志广080503 材料加工工程311 175 442.25262 106994121103450 南通080503 材料加工工程321 175 452.25263 106994121413490 周研080503 材料加工工程340 167 465.25 264 106994136013971 闫伟080503 材料加工工程329 160 449 265 102164000200024 魏佳赞080704 流体机械及工程287 211 445.25 266 102164000700001 梁博健080704 流体机械及工程282 239 461.25 267 102164000700003 曹赛080704 流体机械及工程302 233 476.75 268 102164000700013 李媛080704 流体机械及工程314 210 471.5 269 100034012111012 刘兢085201 机械工程306 184 444 270 100044113022776 张树波085201 机械工程348 159 467.25 271 100044137016376 李海滨085201 机械工程324 127 419.25 272 100064210500235 赵小欢085201 机械工程287 141 392.75 273 100064210500246 刘楠楠085201 机械工程303 112 387 274 100064210500712 张彩凤085201 机械工程287 233 461.75 275 100064210504420 袁征085201 机械工程372 144 480 276 100074000007102 王宇璞085201 机械工程285 106 364.5 277 100074000007151 刘荣杰085201 机械工程310 206 464.5 278 100074000007153 胡美姣085201 机械工程348 238 526.5 279 100074000007176 关继红085201 机械工程300 228 471 280 100074000007178 陈博文085201 机械工程336 132 435 281 100074000007194 苗晓路085201 机械工程342 209 498.75 282 100074000007232 张之光085201 机械工程342 221 507.75 283 100074000007684 邱丑武085201 机械工程347 203 499.25 284 100084210003027 张旭085201 机械工程323 101 398.75 285 100084210003628 贾明星085201 机械工程394 108 475 286 100564001306857 李志鹏085201 机械工程306 147 416.25 287 100564001306903 周天亮085201 机械工程305 212 464 288 100564029017355 贺雪峰085201 机械工程320 219 484.25 289 100804010000008 潘春莹085201 机械工程291 113 375.75 290 100804010000433 闫文楠085201 机械工程300 130 397.5 291 101414113020200 李路叶085201 机械工程298 233 472.75 292 101414114100879 曹海龙085201 机械工程327 218 490.5 293 101414123113976 霍亚东085201 机械工程331 148 442 294 101414134054680 王闯085201 机械工程300 202 451.5 295 101414141066538 付继085201 机械工程288 103 365.25 296 101454000000316 赵阳阳085201 机械工程292 154 407.5 297 101454000002432 张震085201 机械工程329 150 441.5 298 101454000004662 杨明元085201 机械工程307 227 477.25 299 101454000004970 武海强085201 机械工程317 221 482.75 300 101454000004972 郭泽宇085201 机械工程331 204 484 301 101454000005415 谢超宇085201 机械工程382 218 545.5 302 101454000006235 董彦武085201 机械工程317 200 467 303 101454000006603 赵伯俊085201 机械工程321 218 484.5 304 101454000007695 徐钦冉085201 机械工程335 226 504.5 305 101454000008173 姜新甜085201 机械工程337 110 419.5 306 101454000009162 宋胜鹏085201 机械工程328 204 481307 101834140100243 徐贺伟085201 机械工程309 203 461.25308 101834140113953 周利085201 机械工程335 222 501.5309 101834140208107 赵新远085201 机械工程344 207 499.25310 101834140214756 王进085201 机械工程306 181 441.75311 102134020211061 曹刚085201 机械工程347 152 461312 102134020211171 金福生085201 机械工程337 233 511.75313 102134020211172 刘正操085201 机械工程328 244 511314 102134020211176 郜鹏085201 机械工程319 231 492.25315 102134020211178 何东博085201 机械工程318 226 487.5316 102134020211182 周兵085201 机械工程292 233 466.75317 102134020211185 张星085201 机械工程308 166 432.5318 102134020211259 岳克双085201 机械工程351 234 526.5319 102134020211273 代皓东085201 机械工程288 230 460.5320 102134020211319 高泽旭085201 机械工程335 154 450.5321 102134020211416 赵建兵085201 机械工程342 138 445.5322 102134050211325 苑亚宁085201 机械工程333 191 476.25323 102134050211455 李然085201 机械工程347 199 496.25324 102164000000001 李渊龙085201 机械工程431 200 581 单考生325 102164000200147 林木松085201 机械工程293 201 443.75326 102164000200172 杨成森085201 机械工程291 199 440.25327 102164000800002 林骏085201 机械工程338 220 503328 102164000800004 邓宇航085201 机械工程307 194 452.5329 102164000800014 宋涛085201 机械工程336 208 492330 102164000800015 秦法正085201 机械工程309 220 474331 102164000800016 董京波085201 机械工程327 226 496.5332 102164000800018 程龙军085201 机械工程368 209 524.75333 102164000800024 李朋飞085201 机械工程286 204 439334 102164000800045 郭洋085201 机械工程327 241 507.75335 102164000800047 李怀水085201 机械工程291 209 447.75336 102164000800050 战磊085201 机械工程297 250 484.5337 102164000800051 王润玺085201 机械工程286 226 455.5338 102164000800052 白森楠085201 机械工程292 219 456.25339 102164000800053 王世洲085201 机械工程313 198 461.5340 102164000800056 韩世超085201 机械工程331 206 485.5341 102164000800058 赵瑜085201 机械工程328 217 490.75342 102164000800059 刘晓檬085201 机械工程306 215 467.25343 102164000800062 韩大阔085201 机械工程314 217 476.75344 102164000800066 张光通085201 机械工程331 220 496345 102164000800080 葛林林085201 机械工程304 230 476.5346 102164000800081 戎少峰085201 机械工程287 207 442.25347 102164000800087 汪晋锋085201 机械工程301 214 461.5348 102164000800091 肖雨晨085201 机械工程291 228 462349 102164000800097 李珺085201 机械工程307 215 468.25350 102164000800113 周海强085201 机械工程309 201 459.75351 102164000800114 杨旭坤085201 机械工程295 224 463 352 102164000800120 黄其旺085201 机械工程373 227 543.25 353 102164000800123 赫哲085201 机械工程338 210 495.5 354 102164000800134 马昌飞085201 机械工程303 201 453.75 355 102164000800142 徐文涛085201 机械工程308 224 476 356 102164000800151 李博085201 机械工程335 197 482.75 357 102164000800155 王实085201 机械工程288 205 441.75 358 102164000800156 宋涛085201 机械工程308 248 494 359 102164000800161 刘峰085201 机械工程327 216 489 360 102164000800175 邵昕宇085201 机械工程298 198 446.5 361 102164000800176 李晓普085201 机械工程354 228 525 362 102164000800177 刘晨宇085201 机械工程351 217 513.75 363 102164000800178 马越085201 机械工程312 225 480.75 364 102164000800179 曹彬085201 机械工程297 232 471 365 102164000800200 乔国勇085201 机械工程292 200 442 366 102164000800202 宋文韬085201 机械工程325 233 499.75 367 102164000800203 郭金龙085201 机械工程311 237 488.75 368 102164000800208 刘伟085201 机械工程360 241 540.75 369 102164000800212 王祺085201 机械工程300 206 454.5 370 102164000800213 门继德085201 机械工程305 225 473.75 371 102164000800222 房硕085201 机械工程285 218 448.5 372 102164000800232 高强085201 机械工程394 239 573.25 373 102164000800233 陈江业085201 机械工程335 194 480.5 374 102164000800237 姚力085201 机械工程327 197 474.75 375 102164000800241 郭增琪085201 机械工程312 207 467.25 376 102164000800244 武启雷085201 机械工程317 207 472.25 377 102164000800247 张昱生085201 机械工程298 202 449.5 378 102164000800248 杨拓085201 机械工程340 229 511.75 379 102164000800263 林安明085201 机械工程369 190 511.5 380 102164000800273 齐欢明085201 机械工程300 244 483 381 102164000800279 张龙085201 机械工程295 189 436.75 382 102164000800284 宋玉龙085201 机械工程314 222 480.5 383 102164000800285 周晓亮085201 机械工程348 226 517.5 384 102164000800288 张家政085201 机械工程308 218 471.5 385 102164000800289 胡伟085201 机械工程300 191 443.25 386 102164000800293 李田085201 机械工程298 218 461.5 387 102164000800295 理奇085201 机械工程357 236 534 388 102164000800299 吴彦星085201 机械工程350 252 539 389 102164000800305 马艳丰085201 机械工程321 232 495 390 102164000800306 姬亚萌085201 机械工程301 222 467.5 391 102164000800307 尤红085201 机械工程344 215 505.25 392 102164000800310 胡先锋085201 机械工程353 206 507.5 393 102164000800311 段昌生085201 机械工程366 215 527.25 394 102164000800312 刘嵩085201 机械工程338 239 517.25395 102164000800314 赵渊085201 机械工程318 233 492.75396 102164000800319 徐高飞085201 机械工程314 220 479397 102164000800326 崔有为085201 机械工程305 221 470.75398 102164000800328 冯浩源085201 机械工程290 193 434.75399 102164102160044 吕金海085201 机械工程0 0 0 推免生400 102164102160045 杨帅085201 机械工程0 0 0 推免生401 102164102160046 杨欢085201 机械工程0 0 0 推免生402 102164102160047 蒋川川085201 机械工程0 0 0 推免生403 102164102160048 刘颖085201 机械工程0 0 0 推免生404 102164102160049 刘亚星085201 机械工程0 0 0 推免生405 102164102160050 曹晓擎085201 机械工程0 0 0 推免生406 102164102160051 刘阳085201 机械工程0 0 0 推免生407 102164102160052 史俊强085201 机械工程0 0 0 推免生408 102164102160053 骆国玲085201 机械工程0 0 0 推免生409 102164102160054 王磊085201 机械工程0 0 0 推免生410 102164102160055 冯圣冰085201 机械工程0 0 0 推免生411 102164102160056 吕庆东085201 机械工程0 0 0 推免生412 102164102160057 邢鹏达085201 机械工程0 0 0 推免生413 102164102160058 王玲085201 机械工程0 0 0 推免生414 102164102160059 阎鹏085201 机械工程0 0 0 推免生415 102164102160060 何留洋085201 机械工程0 0 0 推免生416 102164102160061 向喜梅085201 机械工程0 0 0 推免生417 102164102160062 丰宗强085201 机械工程0 0 0 推免生418 102164102160063 董齐085201 机械工程0 0 0 推免生419 102164102160064 侯彬085201 机械工程0 0 0 推免生420 102164102160065 季策085201 机械工程0 0 0 推免生421 102164102160066 杨春芳085201 机械工程0 0 0 推免生422 102164102160067 杨勇085201 机械工程0 0 0 推免生423 102164102160068 徐航085201 机械工程0 0 0 推免生424 102164102160069 王晓丽085201 机械工程0 0 0 推免生425 102474140504116 王键085201 机械工程329 230 501.5426 102474370909499 朱汉银085201 机械工程333 205 486.75427 102484121410509 尹祖望085201 机械工程308 216 470428 102484121414474 孙光谱085201 机械工程362 220 527429 102484121414794 张相进085201 机械工程347 223 514.25430 102804210009079 师磊085201 机械工程312 131 410.25431 102864412111891 王芳085201 机械工程295 237 472.75432 102874210503094 徐亚帆085201 机械工程371 154 486.5433 102874210506055 于传宇085201 机械工程326 200 476434 102904210500548 李广强085201 机械工程287 202 438.5435 103354000905704 陈晓阳085201 机械工程296 218 459.5436 103354000909230 郝跃跃085201 机械工程335 219 499.25437 103844210820320 祝太富085201 机械工程290 200 440438 104864208022287 王维085201 机械工程348 231 521.25439 104874000130308 何磊085201 机械工程290 226 459.5440 104874000131153 韩雪峰085201 机械工程344 232 518441 104974400336301 冯绍亮085201 机械工程304 195 450.25442 104974400338448 胡浩波085201 机械工程344 225 512.75443 105334410307103 郭超峰085201 机械工程314 212 473444 105614000002326 易佰健085201 机械工程324 191 467.25445 106114507080570 何武刚085201 机械工程299 211 457.25446 106984130303019 祁智085201 机械工程298 216 460447 106984611106720 李伟斌085201 机械工程336 212 495448 106994161120772 刘利伟085201 机械工程346 125 439.75449 106994213032801 田世伟085201 机械工程292 229 463.75450 106994232143719 李毅085201 机械工程317 224 485451 106994241034535 鲁会085201 机械工程352 219 516.25452 106994241064627 乔龙图085201 机械工程347 229 518.75453 106994241104666 赵琛085201 机械工程305 221 470.75454 106994261121927 王莹莹085201 机械工程326 221 485455 106994261121934 李扬085201 机械工程349 213 508.75456 107104141064397 周聪085201 机械工程308 178 441.5457 102164000200058 孙春婷0802Z1 冶金机械299 207 454.25458 102164000200094 吕建超0802Z1 冶金机械290 216 452459 102164000200123 苏新勇0802Z1 冶金机械305 201 455.75460 102164000200183 张英杰0802Z1 冶金机械301 203 453.25461 102164000500003 马浩0802Z2 流体传动与控制323 223 490.25462 102164000500005 尹志刚0802Z2 流体传动与控制302 232 476463 102164000500006 王小鹏0802Z2 流体传动与控制316 229 487.75464 102164000500007 章锦峰0802Z2 流体传动与控制301 195 447.25燕山大学机械博士研究生,四年来提供本校内部资料,解答考研问题,经验丰富,资料权威,有意者联系秋秋六九四三一七七一九。
机械工程学院研究生学位论文中期检查公告各位研究生同学:机械电子工程,机械工程,流体传动与控制学科硕士研究生学位论文中期检查具体安排如下:第 1 组一、中期检查报告时间:2017 年7 月 5 日上午8 : 00 到12 : 00二、中期检查报告地点:一教236三、中期检查报告评审小组成员名单四、中期检查研究生名单第 2 组一、中期检查报告时间:2017 年7 月 5 日下午14: 00 到18 : 00二、中期检查报告地点:一教236三、中期检查报告评审小组成员名单四、中期检查研究生名单第3 组一、中期检查报告时间:2017 年7 月 5 日上午8 : 00 到12 : 00二、中期检查报告地点:一教237三、中期检查报告评审小组成员名单四、中期检查研究生名单第4组一、中期检查报告时间:2017 年7 月 5 日下午14: 00 到18 : 00二、中期检查报告地点:一教237三、中期检查报告评审小组成员名单四、中期检查研究生名单第5 组一、中期检查报告时间:2017 年7 月 5 日上午8 : 00 到12 : 00二、中期检查报告地点:环化馆319三、中期检查报告评审小组成员名单四、中期检查研究生名单第6组一、中期检查报告时间:2017 年7 月 5 日下午14: 00 到18 : 00二、中期检查报告地点:环化馆319三、中期检查报告评审小组成员名单四、中期检查研究生名单第7组一、中期检查报告时间:2017 年7 月 5 日上午8 : 00 到12 : 00二、中期检查报告地点:理学楼506三、中期检查报告评审小组成员名单四、中期检查研究生名单第8组一、中期检查报告时间:2017 年7 月 5 日下午14: 00 到18 : 00二、中期检查报告地点:理学楼506三、中期检查报告评审小组成员名单四、中期检查研究生名单。
机械工程学院研究生学位论文中期检查公告第一组
各位研究生同学:
机电控制学科硕士研究生学位论文中期检查具体安排如下:
一、中期检查时间: 2014年7月 4 日上/下午 8:00 到 18:00
二、中期检查地点: C116
三、中期检查小组成员名单
四、中期检查论文题目入下
第二组
各位研究生同学:
机电控制学科硕士研究生学位论文中期检查具体安排如下:
一、中期检查时间: 2014年7月 4 日上/下午 8:00 到 18:00
二、中期检查地点:理506
三、中期检查小组成员名单
四、中期检查论文题目入下
第三组
各位研究生同学:
机电控制学科硕士研究生学位论文中期检查具体安排如下:
一、中期检查时间: 2014年7月 4 日上/下午 8:00 到 18:00
二、中期检查地点: J327
三、中期检查小组成员名单
四、中期检查论文题目入下
请其他同学(包括低年级的同学)旁听学习。
001 机械工程学院发布日期:2011-8-24 13:48:35新闻来自:本站原创080201 机械制造及其自动化本学科是国家重点学科,具有博士学位授予权,是研究机械制造系统、机械制造过程及制造手段的学科。
本学科主要研究方向:超精密加工与微纳米制造、数字化设计制造及企业信息化、并联机器人设计理论与应用、数控装备与生产自动化、特种加工、复杂刀具设计及制造。
本学科目前承担教学科研项目20余项,其中国家科技重大专项2项,国家自然科学基金3项,省部级项目8项;近年来在国内外重要学术期刊上发表科技论文300余篇,出版专著3部;获教学科研奖励20余项,其中国家级2项,省部级10余项。
本学科现有教师18人,其中教授8人(含博士生导师3人),副教授6人,中青年教师均具有博士学位。
欢迎机械、自动控制、力学类等相关专业的本科毕业生报考。
080202 机械电子工程本学科是国家重点学科,具有博士学位授予权,是将机械学、电子学、流体传动及控制、信息化技术、计算机技术等有机融合而形成的一门综合性学科。
本学科主要研究方向:并联机器人机构学理论与应用、并联机械与数控加工机床、微操作机器人系统、新型传感器技术及应用、嵌入式仿真机器人系统、医用机电一体化系统、机电一体化综合应用技术、CAD/CAM技术、重型机械电液伺服控制系统与比例控制系统、液压系统控制策略和智能故障诊断预报、新型电液控制元件的开发与应用、流体力学基础理论与应用研究、工程机械液压系统控制技术及主动安全保障技术的研究、机械工况监测及故障诊断技术。
本学科目前承担国家重大专项项目、国家863项目、国家自然科学基金等项目21项,省部级和其他科研项目70余项;近年来在各类学术期刊发表论文570余篇,其中SCI、EI、ISTP收录250余篇,公开出版学术专著和教材17部;获国家发明专利9项、实用新型专利9项;荣获国家科技进步二等奖2项、省部级科技进步奖25项。
本学科现有教师52人,其中教授23人(含博士生导师13人),副教授11人,高级工程师3人,具有博士学位者27人,具有在国外学习经历者14人。