直线和圆的方程十年高考题(含答案)
- 格式:doc
- 大小:1.11 MB
- 文档页数:25
高中数学必修2 第1页 共4页高中数学必修2 第 2 页 共 4页林口林业局中学 班级 姓名……………………………密……………………………………………………封…………………………………………线……………………… ……………………………答……………………………………………………题…………………………………………线……………………必修二数学测试(直线方程与圆的方程)(全卷三个大题,共20个小题;满分100分,考试时间90分) 题号 一 二 三 总分 得分一、选择题(每小题3分,共36分)1.若)1,2(-P 为圆25)1(22=+-y x 的弦AB 的中点,则直线AB 的方程是( )A. 03=--y xB.032=-+y x C. 01=-+y x D. 052=--y x2.圆012222=+--+y x y x上的点到直线2=-y x 的距离最大值是( )A .2B .21+C .221+D .221+3.圆0422=-+x y x在点)3,1(P 处的切线方程( )A .023=-+y x B .043=-+y x C .043=+-y x D .023=+-y x4.若直线2=-y x 被圆4)(22=+-y a x 所截得的弦长为22,则实数a 的值为( )A .1-或3 B .1或3 C .2-或6 D .0或45.已知圆C 的半径为2,圆心在x 轴的正半轴上,直线0443=++y x 与圆C 相切,则圆C 的方程为( )A .03222=--+x y x B .0422=++x y x C .03222=-++x y xD .0422=-+x y x6.已知圆C :22()(2)4(0)x a y a -+-=>及直线03:=+-y x l ,当直线l 被C 截得的弦长为32时,则a =( )A .2 B .22- C .12- D .12+7.两圆229x y +=和228690x y x y +-++=的位置关系是( )A .相离B .相交C .内切D .外切8.已知点P (3,2)与点Q (1,4)关于直线l 对称,则直线l 的方程为( ) A .01=+-y xB .0=-y x C .01=++y x D .0=+y x9.若圆222)1()1(R y x =++-上有且仅有两个点到直线4x +3y =11的距离等于1,则半径R 的取值范围是 ( )A R >1B R <3C 1<R <3D R ≠2 10.若直线03)1(:1=--+y a ax l ,与02)32()1(:2=-++-y a x a l 互相垂直,则a 的值为( )A .3-B .1C .0或23-D .1或3- 11.圆4)1()3(:221=++-y x C 关于直线0=-y x 对称的圆2C 的方程为:( )A.4)1()3(22=-++y x B. 4)3()1(22=-++y xC.4)3()1(22=++-y x D. 4)1()3(22=++-y x12. 对于任意实数k ,直线(32)20k x ky +--=与圆222220x y x y +---=的位置关系是( )A .相交B .相交或相切C .相交或相切或相离D .与k 值有关二、填空题(每小题4分,共16分)13.直线20x y +=被曲线2262150x y x y +---=所截得的弦长等于 。
高三数学圆的标准方程与一般方程试题答案及解析1.以点为圆心且与直线相切的圆的方程是()A.B.C.D.【答案】C【解析】由已知,,故选.【考点】1.圆的方程;2.直线与圆的位置关系;3.点到直线的距离.2.某圆的圆心在直线上,并且在两坐标轴上截得的弦长分别为4和8,则该圆的方程为()A.B.C.或D.或【答案】C【解析】由已知分析可设圆心为,半径为,则有或,解得,故选C.【考点】圆的标准方程以及弦长的基本知识.3.设点,若在圆上存在点N,使得,则的取值范围是( ) A.B.C.D.【答案】A【解析】过M作⊙O切线交⊙O于R,根据圆的切线性质,有∠OMR≥∠OMN=30°.反过来,如果∠OMR≥30°,则⊙O上存在一点N使得∠OMN=30°.∴若圆O上存在点N,使∠OMN=30°,则∠OMR≥30°.∵|OR|=1,∴|OM|>2时不成立,∴|OM|≤2,即=≤4,解得,≤≤,故选A. 考点:直线与圆的位置关系4.若圆C:关于直线对称,则由点向圆所作的切线长的最小值是()A.2B.4C.3D.6【答案】B【解析】由题知圆C的圆心C(-1,2),半径为,因为圆C关于直线对称,所以圆心C在直线上,所以,即,所以由点向圆所作的切线长为===,当时,切线长最小,最小值为4,故选B.【考点】圆的标准方程,圆的切线问题,二次函数最值5.已知M(-2,0),N(2,0),则以MN为斜边的直角三角形的直角顶点P的轨迹方程为() A.x2+y2=2B.x2+y2=4C.x2+y2=2(x≠±2)D.x2+y2=4(x≠±2)【答案】D【解析】MN的中点为原点O,易知|OP|=|MN|=2,∴P的轨迹是以原点O为圆心,以r=2为半径的圆,除去与x轴的两个交点.6.已知圆C:x2+y2+mx-4=0上存在两点关于直线x-y+3=0对称,则实数m的值为() A.8B.-4C.6D.无法确定【答案】C【解析】圆上存在关于直线x-y+3=0对称的两点,则x-y+3=0过圆心(-,0),即-+3=0,∴m=6.7.若圆C的半径为1,圆心在第一象限,且与直线4x-3y=0和x轴都相切,则该圆的标准方程是()A.(x-2)2+(y-1)2=1B.(x-2)2+(y-3)2=1C.(x-3)2+(y-2)2=1D.(x-3)2+(y-1)2=1【答案】A【解析】设圆心坐标为(a,b),由题意知a>0,且b=1.又∵圆和直线4x-3y=0相切,∴=1,即|4a-3|=5,∵a>0,∴a=2.所以圆的方程为(x-2)2+(y-1)2=1.8.已知圆C的圆心在曲线y=上,圆C过坐标原点O,且与x轴、y轴交于A、B两点,则△OAB的面积是()A.2 B.3 C.4 D.8【答案】C【解析】设圆心C的坐标是(t,).∵圆C过坐标原点,∴|OC|2=t2+,设圆C的方程是(x-t)2+(y-)2=t2+.令x=0,得y1=0,y2=,故B点的坐标为(0,).令y=0,得x1=0,x2=2t,故A点的坐标为(2t,0),∴S△OAB=|OA|·|OB|=×||×|2t|=4,即△OAB的面积为4.故选C.9.若圆的半径为1,其圆心与点关于直线对称,则圆的标准方程为_______.【答案】【解析】因为圆心与点关于直线对称,所以圆心坐标为,所以圆的标准方程为:,故答案为【考点】圆的标准方程.10.已知直线与圆心为的圆相交于两点,且,则实数的值为_________.【答案】0或6【解析】圆的标准方程为:所以圆的圆心在,半径又直线与圆交于两点,且所以圆心到直线的距离所以,,整理得:解得:或所以答案应填:0或6.【考点】1、圆的标准方程;2、直线与圆的位置关系;3、点到直线的距离公式.11.若圆C的半径为1,圆心在第一象限,且与直线4x-3y=0和x轴都相切,则该圆的标准方程是()A.(x-2)2+(y-1)2=1B.(x-2)2+(y+1)2=1C.(x+2)2+(y-1)2=1D.(x-3)2+(y-1)2=1【答案】A【解析】设圆心为,半径为,则=1,解得,所以,解得,故圆心坐标为(2,1),所以该圆的标准方程是(x-2)2+(y-1)2=1,选A.12.若圆x2+y2-2kx+2y+2=0(k>0)与两坐标轴无公共点,那么实数k的取值范围为( ) A.-1<k<1B.1<k<C.1<k<2D.<k<2【答案】B【解析】圆的方程为(x-k)2+(y+1)2=k2-1,圆心坐标为(k,-1),半径r=,若圆与两坐标无公共点,即,解得1<k<.故选B.13.若圆的半径为1,圆心在第一象限,且与直线和轴相切,则该圆的标准方程是________.【答案】【解析】由于圆的半径为1且与轴相切,所以可以假设圆心.又圆与直线相切.所以可得.解得,由圆心在第一象限.所以.所以圆的方程为.【考点】1.直线与圆的位置关系.2.直线与圆相切的判定.3.圆的标准方程.14.方程x2+y2-6x=0表示的圆的圆心坐标是________;半径是__________.【答案】(3,0),3【解析】(x-3)2+y2=9,圆心坐标为(3,0),半径为3.15.方程x2+y2+4mx-2y+5m=0表示圆的充要条件是________.【答案】m<或m>1.【解析】由(4m)2+4-4×5m>0得m<或m>1.16.圆心在y轴上,半径为1,且过点(1,2)的圆的方程为______________.【答案】x2+(y-2)2=1【解析】设圆的方程为x2+(y-b)2=1,此圆过点(1,2),所以12+(2-b)2=1,解得b=2.故所求圆的方程为x2+(y-2)2=1.17.如图,已知直角坐标平面上点Q(2,0)和圆C:x2+y2=1,动点M到圆C的切线长与|MQ|的比等于.求动点M的轨迹方程,并说明它表示什么.【答案】(x-4)2+y2=7.它表示圆,【解析】设直线MN切圆于N,则动点M组成的集合是P={M||MN|=|MQ|}.因为圆的半径|ON|=1,所以|MN|2=|MO|2-1.设点M的坐标为(x,y),则,整理得(x-4)2+y2=7.它表示圆,该圆圆心的坐标为(4,0),半径为.18. P(x,y)在圆C:(x-1)2+(y-1)2=1上移动,试求x2+y2的最小值.【答案】3-2【解析】由C(1,1)得OC=,则OPmin =-1,即()min=-1.所以x2+y2的最小值为(-1)2=3-2.19.已知圆C的圆心是直线x-y+1=0与x轴的交点,且圆C与直线x+y+3=0相切,则圆C的方程为()A.(x+1)2+y2=2B.(x-1)2+y2=2C.(x+1)2+y2=4D.(x-1)2+y2=4【答案】A【解析】直线x-y+1=0,令y=0得x=-1,所以直线x-y+1=0与x轴的交点为(-1,0),因为直线x+y+3=0与圆相切,所以圆心到直线的距离等于半径,即r==,所以圆C的方程为(x+1)2+y2=2.20.求圆心在抛物线x2=4y上,且与直线x+2y+1=0相切的面积最小的圆的方程.【答案】(x+1)2+=【解析】设圆心坐标为,半径为r.根据已知得r== (t2+2t+2)= [(t+1)2+1]≥,当t=-1时取等号,此时r最小为,圆心坐标为(-1,),故所求的圆的方程是(x+1)2+=.21.已知点A(-3,0),B(3,0),动点P满足|PA|=2|PB|.(1)若点P的轨迹为曲线C,求此曲线的方程;(2)若点Q在直线l1:x+y+3=0上,直线l2经过点Q且与曲线C只有一个公共点M,求|QM|的最小值.【答案】(1)(x-5)2+y2=16(2)4【解析】(1)设点P的坐标为(x,y),且|PA|=2|PB|,则=2,化简得曲线C:(x-5)2+y2=16.(2)曲线C是以点(5,0)为圆心,4为半径的圆,如图.是此圆的切线,连接CQ,由直线l2则|QM|=,时,|CQ|取最小值,|CQ|=,此时|QM|的最小值为=4.当CQ⊥l122.已知圆C经过A(5,1),B(1,3)两点,圆心在x轴上,则圆C的方程为________.【答案】(x-2)2+y2=10【解析】依题意设所求圆的方程为(x-a)2+y2=r2,把所给两点坐标代入方程,得解得所以所求圆的方程为(x-2)2+y2=10.23.已知半径为2,圆心在直线上的圆C.(Ⅰ)当圆C经过点A(2,2)且与轴相切时,求圆C的方程;(Ⅱ)已知E(1,1),F(1,-3),若圆C上存在点Q,使,求圆心的横坐标的取值范围.【答案】(Ⅰ);(Ⅱ)【解析】(Ⅰ)因为原心在直线上故可设原心为,则可根据圆心和圆上的点的距离为半径列出方程。
高考数学直线与圆的方程复习题及参考答案:一、选择题(每小题只有一个选项是正确的,每小题5分,共60分,在每小题给出的四个选项中,只有一项是符合题目要求的。
)1.(2009•重庆市高三联合诊断性考试)将直线l1:y=2x绕原点逆时针旋转60°得直线l2,则直线l2到直线l3:x+2y-3=0的角为 ( )A.30°B.60°C.120°D.150°答案:A解析:记直线l1的斜率为k1,直线l3的斜率为k3,注意到k1k3=-1,l1⊥l3,依题意画出示意图,结合图形分析可知,直线l2到直线l3的角是30°,选A.2.(2009•湖北荆州质检二)过点P(1,2),且方向向量v=(-1,1)的直线的方程为( )A.x-y-3=0B.x+y+3=0C.x+y-3=0D.x-y+3=0答案:C解析:方向向量为v=(-1,1),则直线的斜率为-1,直线方程为y-2=-(x-1)即x+y-3=0,故选C.3.(2009•东城3月)设A、B为x轴上两点,点P的横坐标为2,且|PA|=|PB|,若直线PA的方程x-y+1=0,则直线PB的方程为 ( )A.2x+y-7=0B.2x-y-1=0C.x-2y+4=0D.x+y-5=0答案:D解析:因kPA=1,则kPB=-1,又A(-1,0),点P的横坐标为2,则B(5,0),直线PB的方程为x+y-5=0,故选D.4.过两点(-1,1)和(0,3)的直线在x轴上的截距为 ( )A.-32B.32C.3D.-3答案:A解析:由两点式,得y-31-3=x-0-1-0,即2x-y+3=0,令y=0,得x=-32,即在x轴上的截距为-32.5.直线x+a2y+6=0和(a-2)x+3ay+2a=0无公共点,则a的值是 ( )A.3B.0C.-1D.0或-1答案:D解析:当a=0时,两直线方程分别为x+6=0和x=0,显然无公共点;当a≠0时,-1a2=-a-23a,∴a=-1或a=3.而当a=3时,两直线重合,∴a=0或-1.6.两直线2x-my+4=0和2mx+3y-6=0的交点在第二象限,则m的取值范围是( )A.-32≤m≤2B.-32C.-32≤m<2D.-32答案:B解析:由2x-my+4=0,2mx+3y-6=0,解得两直线的交点坐标为(3m-6m2+3,4m+6m2+3),由交点在第二象限知横坐标为负、纵坐标为正,故3m-6m2+3<0且4m+6m2+3>0⇒-327.(2009•福建,9)在平面直角坐标系中,若不等式组x+y-1≥0,x-1≤0,ax-y+1≥0,(a为常数)所表示的平面区域的面积等于2,则a的值为 ( )A.-5B.1C.2D.3答案:D解析:不等式组x+y-1≥0,x-1≤0,ax-y+1≥0所围成的区域如图所示.∵其面积为2,∴|AC|=4,∴C的坐标为(1,4),代入ax-y+1=0,得a=3.故选D.8.(2009•陕西,4)过原点且倾斜角为60°的直线被圆x2+y2-4y=0所截得的弦长为( )A.3B.2C.6D.23答案:D解析:∵直线的方程为y=3x,圆心为(0,2),半径r=2.由点到直线的距离公式得弦心距等于1,从而所求弦长等于222-12=23.故选D.9.(2009•西城4月,6)与直线x-y-4=0和圆x2+y2+2x-2y=0都相切的半径最小的圆的方程是 ( )A.(x+1)2+(y+1)2=2B.(x+1)2+(y+1)2=4C.(x-1)2+(y+1)2=2D.(x-1)2+(y+1)=4答案:C解析:圆x2+y2+2x-2y=0的圆心为(-1,1),半径为2,过圆心(-1,1)与直线x-y-4=0垂直的直线方程为x+y=0,所求的圆的圆心在此直线上,排除A、B,圆心(-1,1)到直线x-y-4=0的距离为62=32,则所求的圆的半径为2,故选C.10.(2009•安阳,6)已知直线x+y=a与圆x2+y2=4交于A、B两点,且|OA→+OB→|=|OA→-OB→|,其中O为原点,则实数a的值为 ( )A.2B.-2C.2或-2D.6或-6答案:C解析:由|OA→+OB→|=|OA→-OB→|得|OA→+OB→|2=|OA→-OB→|2,OA→•OB→=0,OA→⊥OB→,三角形AOB为等腰直角三角形,圆心到直线的距离为2,即|a|2=2,a=±2,故选C.11.(2009•河南实验中学3月)若直线l:ax+by=1与圆C:x2+y2=1有两个不同交点,则点P(a,b)与圆C的位置关系是 ( )A.点在圆上B.点在圆内C.点在圆外D.不能确定答案:C解析:直线l:ax+by=1与圆C:x2+y2=1有两个不同交点,则1a2+b2<1,a2+b2>1,点P(a,b)在圆C外部,故选C.12.(2010•保定市高三摸底考试)从原点向圆x2+(y-6)2=4作两条切线,则这两条切线夹角的大小为 ( )A.π6B.π2C.arccos79D.arcsin229答案:C解析:如图,sin∠AOB=26=13,cos∠BOC=cos2∠AOB=1-2sin2∠AOB=1-29=79,∴∠BOC=arccos79,故选C.第Ⅱ卷(非选择题共90分)二、填空题(本大题共4小题,每小题5分,共20分,请将答案填在题中的横线上。
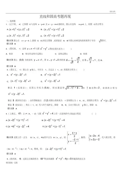
直线和圆高考题再现一、选择题1.(辽宁理,4)已知圆C 与直线x -y=0 及x -y -4=0都相切,圆心在直线x+y=0上,则圆C 的方程为A.22(1)(1)2x y B. 22(1)(1)2x y C.22(1)(1)2xy D.22(1)(1)2x y 【解析】圆心在x +y =0上,排除C 、D,再结合图象,或者验证A 、B 中圆心到两直线的距离等于半径2即可.【答案】B2.(重庆理,1)直线1y x 与圆221xy的位置关系为()A .相切B .相交但直线不过圆心C .直线过圆心D .相离【解析】圆心(0,0)为到直线1y x ,即10x y 的距离1222d,而2012,选B 。
【答案】B3.(重庆文,1)圆心在y 轴上,半径为1,且过点(1,2)的圆的方程为()A .22(2)1xyB .22(2)1x y C .22(1)(3)1x y D .22(3)1xy 解法1(直接法):设圆心坐标为(0,)b ,则由题意知2(1)(2)1ob ,解得2b ,故圆的方程为22(2)1xy 。
解法2(数形结合法):由作图根据点(1,2)到圆心的距离为1易知圆心为(0,2),故圆的方程为22(2)1xy 解法3(验证法):将点(1,2)代入四个选择支,排除B ,D ,又由于圆心在y 轴上,排除C 。
【答案】A4.(上海文,17)点P (4,-2)与圆224xy上任一点连线的中点轨迹方程是()A.22(2)(1)1x y B.22(2)(1)4x y C.22(4)(2)4xy D.22(2)(1)1xy 【解析】设圆上任一点为Q (s ,t ),PQ 的中点为A (x ,y ),则2224tys x,解得:2242ytx s ,代入圆方程,得(2x -4)2+(2y +2)2=4,整理,得:22(2)(1)1x y 【答案】A5.(陕西理,4)过原点且倾斜角为60的直线被圆2240xyy 所截得的弦长为A.3 B.2 C.6 D.2322224024323xyy x y解析:(),A(0,2),OA=2,A 到直线ON 的距离是1,ON=弦长【答案】D 6.(江苏)圆1)3()1(22yx 的切线方程中有一个是()A.x -y =0 B .x +y =0C .x =0D .y =0答案C7.(全国Ⅰ文)设直线l 过点)0,2(,且与圆122yx相切,则l 的斜率是()A.1B.21C .33D .3答案C8.(辽宁)若直线02cy x按向量)1,1(a平移后与圆522yx相切,则c 的值为()A .8或-2B .6或-4C .4或-6D .2或-8答案A二、填空题9. (广东文,13)以点(2,1)为圆心且与直线6x y 相切的圆的方程是.【解析】将直线6x y 化为60x y,圆的半径|216|5112r,所以圆的方程为2225(2)(1)2xy 【答案】2225(2)(1)2xy 10.(天津文,14)若圆422yx与圆)0(06222aay y x 的公共弦长为32,则a=________.【解析】由已知,两个圆的方程作差可以得到相交弦的直线方程为ay1,利用圆心(0,0)到直线的距离d1|1|a为13222,解得a=1.【答案】111.(全国Ⅱ理16)已知AC BD 、为圆O :224xy的两条相互垂直的弦,垂足为1,2M ,则四边形ABCD 的面积的最大值为。
直线与圆的方程测试题(本试卷满分150分,考试时间120分钟)一、单项选择题(本大题共18小题,每小题4分,共72分)在每小题列出的四个备选项中只有一个是符合题目要求的,请将其选出,错选、多选或未选均无分.1.点M 1(2,-5)与M 2(5,y)之间的距离是5,则y=( )A.-9B.-1C.-9或-1D. 122. 数轴上点A 的坐标是2,点M 的坐标是-3,则|AM|=( )A.5B. -5C. 1D. -13. 直线的倾斜角是,则斜率是( )32πA. B. C. D.3-3333-34. 以下说法正确的是( )A.任意一条直线都有倾斜角B. 任意一条直线都有斜率C.直线倾斜角的范围是(0,)D. 直线倾斜角的范围是(0,)2ππ5. 经过点(4, -3),斜率为-2的直线方程是( )A. 2x+y+2=0B.2x-y-5=0C. 2x+y+5=0D. 2x+y-5=06. 过点(2,0)且与y 轴平行的直线方程是( )A.x=0B.y=0C.x=2D.y=27. 直线在y 轴上的截距是-2,倾斜角为0°,则直线方程是()A.x+2=0B.x-2=0C.y+2=0D.y-2=08. “B ≠0”是方程“Ax+By+C=0表示直线”的( )A.充分非必要条件B.必要非充分条件C.充分且必要条件D.非充分非必要条件9. 直线3x-y+=0与直线6x-2y+1=0之间的位置关系是( )21A.平行B.重合C.相交不垂直D.相交且垂直10.下列命题错误的是( )A. 斜率互为负倒数的两条直线一定互相垂直B. 互相垂直的两条直线的斜率一定互为负倒数C. 两条平行直线的倾斜角相等D. 倾斜角相等的两条直线平行或重合11. 过点(3,-4)且平行于直线2x+y-5=0的直线方程是( )A. 2x+y+2=0B. 2x-y-2=0C. 2x-y+2=0D.2x+y-2=012. 直线ax+y-3=0与直线y=x-1垂直,则a=( )21A.2B.-2C.D. 2121-13. 直线x=2与直线x-y+2=0的夹角是( )A.30°B. 45°C. 60°D. 90°14. 点P (2,-1)到直线l :4x-3y+4=0的距离是()A.1 B. C. D.35115315. 圆心在( -1,0),半径为5的圆的方程是()A.(x+1)2+y 2= B. (x+1)2+y 2=255C. (x-1)2+y 2= D. (x-1)2+y 2=25516. 直线3x+4y+6=0与圆(x-2)2+(y+3)2=1的位置关系是( )A.相交不过圆心B.相交且过圆心C.相切D.相离17. 方程x 2+y 2-2kx+4y+3k+8=0表示圆,则k 的取值范围是( )A.k<-1或k>4B. k=-1或k=4C. -1<k<4D. -1≤k≤418. 直线y=0与圆C:x 2+y 2-2x-4y=0相交于A 、B 两点,则△ABC 的面积是()A.4B.3C.2D.1二、填空题(本大题共5小题,每小题4分,共20分)请在每小题的空格中填上正确答案。
专题9.2 直线与圆的位置关系1.(福建高考真题(理))直线:1l y kx =+与圆22:1O x y +=相交于,A B 两点,则"1"k =是“OAB ∆的面积为12”的( )A .充分而不必要条件B .必要而不充分条件C .充分必要条件D .既不充分又不必要条件【答案】A 【解析】由1k =时,圆心到直线:1l y x =+的距离d =..所以1122OAB S ∆==.所以充分性成立,由图形的对成性当1k =-时,OAB ∆的面积为12.所以不要性不成立.故选A.2.(2018·北京高考真题(理))在平面直角坐标系中,记d 为点()cos ,sin P θθ到直线20x my --=的距离,当θ、m 变化时,d 的最大值为( )A .1B .2C .3D .4【答案】C 【解析】22cos sin 1θθ+=∴Q ,P 为单位圆上一点,而直线20x my --=过点()2,0A ,所以d 的最大值为1213OA +=+=,选C.3.(2021·全国高二单元测试)已知直线l 与直线1y x =+垂直,且与圆221x y +=相切,切点位于第一象限,则直线l 的方程是( ).A.0x y +=B .10x y ++=C .10x y +-=D.0x y +=【答案】A 【分析】根据垂直关系,设设直线l 的方程为()00x y c c ++=<,利用直线与圆相切得到参数值即可.【详解】由题意,设直线l 的方程为()00x y c c ++=<.练基础圆心()0,0到直线0x y c ++=1,得c =c =,故直线l 的方程为0x y +=.故选:A4.(2020·北京高考真题)已知半径为1的圆经过点(3,4),则其圆心到原点的距离的最小值为( ).A .4B .5C .6D .7【答案】A 【分析】求出圆心C 的轨迹方程后,根据圆心M 到原点O 的距离减去半径1可得答案.【详解】设圆心(),C x y 1=,化简得()()22341x y -+-=,所以圆心C 的轨迹是以(3,4)M 为圆心,1为半径的圆,所以||1||OC OM +≥5==,所以||514OC ≥-=,当且仅当C 在线段OM 上时取得等号,故选:A.5.【多选题】(2021·吉林白城市·白城一中高二月考)若直线0x y m ++=上存在点P ,过点P 可作圆O :221x y +=的两条切线PA ,PB ,切点为A ,B ,且60APB ∠=︒,则实数m 的取值可以为( )A .3B .C .1D .-【答案】BCD 【分析】先由题意判断点P 在圆224x y +=上,再联立直线方程使判别式0∆≥解得参数范围,即得结果.【详解】点P 在直线0x y m ++=上,60APB ∠=︒,则30APO OPB ∠=∠=︒,由图可知,Rt OPB V 中,22OP OB ==,即点P 在圆224x y +=上,故联立方程224x y x y m ⎧+=⎨++=⎩,得222240x mx m ++-=,有判别式0∆≥,即()2244240m m -⨯-≥,解得m -≤≤A 错误,BCD 正确.故选:BCD.6.(2022·江苏高三专题练习)已知大圆1O 与小圆2O 相交于(2,1)A ,(1,2)B 两点,且两圆都与两坐标轴相切,则12O O =____【答案】【分析】由题意可知大圆1O 与小圆2O 都在第一象限,进而设圆的圆心为(,)(0)a a a >,待定系数得5a =或1a =,再结合两点间的距离求解即可.【详解】由题知,大圆1O 与小圆2O 都在第一象限,设与两坐标轴都相切的圆的圆心为(,)(0)a a a >,其方程为222()()x a y a a -+-=,将点(1,2)或(2,1)代入,解得5a =或1a =,所以221:(5)(5)25O x y -+-=,222:(1)(1)1O x y -+-=,可得1(5,5)O ,2(1,1)O ,所以12||O O ==故答案为:7.(江苏高考真题)在平面直角坐标系xOy 中,圆C 的方程为228150x y x +-+=,若直线2y kx =-上至少存在一点,使得以该点为圆心,1为半径的圆与圆C 有公共点,则k 的最大值为__________.【答案】43【解析】∵圆C 的方程为x 2+y 2-8x+15=0,整理得:(x-4)2+y 2=1,即圆C 是以(4,0)为圆心,1为半径的圆;又直线y=kx-2上至少存在一点,使得以该点为圆心,1为半径的圆与圆C 有公共点,∴只需圆C ′:(x-4)2+y 2=4与直线y=kx-2有公共点即可.设圆心C (4,0)到直线y=kx-2的距离为d,2d 即3k 2≤4k,∴0≤k≤43,故可知参数k 的最大值为43.8.(2018·全国高考真题(文))直线1y x =+与圆22230x y y ++-=交于A B ,两点,则AB =________.【答案】【解析】根据题意,圆的方程可化为22(1)4x y ++=,所以圆的圆心为(0,1)-,且半径是2,根据点到直线的距离公式可以求得d ==,结合圆中的特殊三角形,可知AB ==,故答案为.9.(2021·湖南高考真题)过圆2240x y x +-=的圆心且与直线20x y +=垂直的直线方程为___________【答案】220x y --=【分析】根据圆的方程求出圆心坐标,再根据两直线垂直斜率乘积为1-求出所求直线的斜率,再由点斜式即可得所求直线的方程.【详解】由2240x y x +-=可得()2224x y -+=,所以圆心为()2,0,由20x y +=可得2y x =-,所以直线20x y +=的斜率为2-,所以与直线20x y +=垂直的直线的斜率为12,所以所求直线的方程为:()1022y x -=-,即220x y --=,故答案为:220x y --=.10.(2020·浙江省高考真题)设直线:(0)l y kx b k =+>与圆221x y +=和圆22(4)1x y -+=均相切,则k =_______;b =______.【解析】设221:1C x y +=,222:(4)1C x y -+=,由题意,12,C C到直线的距离等于半径,即1=1=,所以||4b k b =+,所以0k =(舍)或者2b k =-,解得k b ==.1.(2020·全国高考真题(理))若直线l 与曲线y和x 2+y 2=15都相切,则l 的方程为()A .y =2x +1B .y =2x +12C .y =12x +1D .y =12x +12【答案】D 【分析】根据导数的几何意义设出直线l 的方程,再由直线与圆相切的性质,即可得出答案.【详解】设直线l在曲线y =(0x ,则00x >,函数y =y '=l的斜率k =,设直线l的方程为)0y x x =-,即00x x -+=,由于直线l 与圆2215x y +==两边平方并整理得2005410x x --=,解得01x =,015x =-(舍),则直线l 的方程为210x y -+=,即1122y x =+.练提升故选:D.2.【多选题】(2021·全国高考真题)已知点P 在圆()()225516x y -+-=上,点()4,0A 、()0,2B ,则( )A .点P 到直线AB 的距离小于10B .点P 到直线AB 的距离大于2C .当PBA ∠最小时,PB =D .当PBA ∠最大时,PB =【答案】ACD 【分析】计算出圆心到直线AB 的距离,可得出点P 到直线AB 的距离的取值范围,可判断AB 选项的正误;分析可知,当PBA ∠最大或最小时,PB 与圆M 相切,利用勾股定理可判断CD 选项的正误.【详解】圆()()225516x y -+-=的圆心为()5,5M ,半径为4,直线AB 的方程为142xy+=,即240x y +-=,圆心M 到直线AB 4=>,所以,点P 到直线AB 42-<,410<,A 选项正确,B 选项错误;如下图所示:当PBA ∠最大或最小时,PB 与圆M 相切,连接MP 、BM ,可知PM PB ⊥,=,4MP =CD 选项正确.故选:ACD.3.【多选题】(2021·肥城市教学研究中心高三月考)已知圆22:230A x y x +--=,则下列说法正确的是()A .圆A 的半径为4B .圆A 截y 轴所得的弦长为C .圆A 上的点到直线34120x y -+=的最小距离为1D .圆A 与圆22:88230B x y x y +--+=相离【答案】BC 【分析】将圆的一般方程转化为标准方程即可得半径可判断A ;利用几何法求出弦长可判断B ;求出圆心A 到直线的距离再减去半径可判断C ;求出圆B 的圆心和半径,比较圆心距与半径之和的大小可判断D ,进而可得正确选项.【详解】对于A :由22230x y x +--=可得()2214x y -+=,所以A 的半径为2r =,故选项A 不正确;对于B :圆心为()1,0到y 轴的距离为1d =,所以圆A 截y 轴所得的弦长为==B 正确;对于C :圆心()1,0到直线34120x y -+=3,所以圆A 上的点到直线34120x y -+=的最小距离为3321r -=-=,故选项C 正确;对于D :由2288230x y x y +--+=可得()()22449x y -+-=,所以圆心()4,4B ,半径3R =,因为5AB r R ===+,所以两圆相外切,故选项D 不正确;故选:BC.4.(2021·全国高三专题练习)在平面直角坐标系xOy 中,圆C 的方程为228150x y x +-+=,若直线2y kx =-上至少存在一点,使得以该点为圆心,1为半径的圆与圆C 有公共点,则k 的取值范围是_______.【答案】403k ≤≤【分析】求出圆C 的圆心和半径,由题意可得圆心到直线的距离小于或等于两圆的半径之和即可求解.【详解】由228150x y x +-+=可得22(4)1x y -+=,因此圆C 的圆心为(4,0)C ,半径为1,若直线2y kx =-上至少存在一点,使得以该点为圆心,1为半径的圆与圆C 有公共点,只需点(4,0)C 到直线2y kx =-的距离112d =≤+=,即22(21)1k k -≤+,所以2340k k -≤,解得403k ≤≤,所以k 的取值范围是403k ≤≤,故答案为:403k ≤≤.5.(2021·富川瑶族自治县高级中学高一期中(理))直线()20y kx k =+>被圆224x y +=截得的弦长为________.【答案】60 【分析】由已知求得圆心到直线的距离,再由点到直线的距离公式列式求得k ,然后利用斜率等于倾斜角的正切值求解.【详解】直线()20y kx k =+>被圆224x y +=截得的弦长为所以,圆心()0,0O 到直线20kx y -+=的距离1d ==,1=,解得)0k k =>.设直线的倾斜角为()0180θθ≤<,则tan θ=,则60θ= .因此,直线()20y kx k =+>的倾斜角为60 .故答案为:60 .6.(2021·昆明市·云南师大附中高三月考(文))已知圆O : x 2+y 2=4, 以A (1,为切点作圆O 的切线l 1,点B 是直线l 1上异于点A 的一个动点,过点B 作直线l 1的垂线l 2,若l 2与圆O 交于D , E 两点,则V AED 面积的最大值为_______.【答案】2【分析】由切线性质得2//OA l ,O 到直线2l 的距离等于A 到2l 的距离,因此ADEODE S S =!!,设O 到2l 距离为d ,把面积用d 表示,然后利用导数可得最大值.【详解】根据题意可得图,1OA l ⊥,所以2//OA l ,因此O 到直线2l 的距离等于A 到2l 的距离,ADEODE S S =!!,过点(00)O ,作直线2l 的垂线,垂足为F ,记||(20)OF d d =>>,则弦||DE =角形ADE 的面积为S ,所以12S d =g g ,将S 视为d 的函数,则S '=+ 1(2)2d d -当0d <<时,0S '>,函数()S d 2d <<时,0S '<,函数()S d 单调递减,所以函数()S d 有最大值,当d =max ()2S d =,故AED V 面积的最大值为2.故答案为:2.7.(2021·全国高三专题练习)已知ABC V 的三个顶点的坐标满足如下条件:向量(2,0)OB →=,(2,2)OC →=,,CA α→=)α,则AOB ∠的取值范围是________【答案】5,1212ππ⎡⎤⎢⎥⎣⎦【分析】先求出点A 的轨迹是以(2,2)C . 过原点O 作此圆的切线,切点分别为M 、N ,如图所示,连接CM ,CN ,得到MOB NOB θ∠∠…….所以15BOM ∠=︒,75BON ∠=︒,即得解.【详解】由题得||CA →=所以点A 的轨迹是以(2,2)C .过原点O 作此圆的切线,切点分别为M 、N ,如图所示,连接CM ,CN ,则向量OA →与OB →的夹角θ的范围是MOB NOB θ∠∠…….由图可知45COB ∠=︒.∵||OC →=1||||||2CM CN OC →→→==知30COM CON ∠=∠=︒,∴453015BOM ∠=︒-︒=︒,453075BON ∠=︒+︒=︒.∴1575θ︒︒…….故AOB ∠的取值范围为{}1575θθ︒≤≤︒丨.故答案为:{}π5π15751212θθ⎡⎤︒≤≤︒⎢⎥⎣⎦丨或,8.(2021·全国高三专题练习)已知x 、y R ∈,2223x x y -+=时,求x y +的最大值与最小值.【答案】最小值是1,最大值是1+【分析】根据2223x x y -+=表示圆()2214x y -+=,设x y b +=表示关于原点、x 轴、y 轴均对称的正方形,然后由直线与圆的位置关系求解.【详解】2223x x y -+=的图形是圆()2214x y -+=,既是轴对称图形,又是中心对称图形.设x y b +=,由式子x y +的对称性得知x y b +=的图形是关于原点、x 轴、y 轴均对称的正方形.如图所示:当b 变化时,图形是一个正方形系,每个正方形四个顶点均在坐标轴上,问题转化为正方形系中的正方形与圆有公共点时,求b 的最值问题.当1b <时,正方形与圆没有公共点;当1b =时,正方形与圆相交于点()1,0-,若令直线y x b =-+与圆()2214x y -+=相切,2,解得1b =±所以当1b =+当1b >+故x y +的最小值是1,最大值是1+.9.(2021·黑龙江哈尔滨市·哈尔滨三中)已知ABC V 的内切圆的圆心M 在y 轴正半轴上,半径为1,直线210x y +-=截圆M (1)求圆M 方程;(2)若点C 的坐标为()2,4,求直线AC 和BC 的斜率;(3)若A ,B 两点在x 轴上移动,且AB 4=,求ABC V 面积的最小值.【答案】(1)22(1)1y x +-=;(2)2;(3)163.【分析】(1)设ABC V 的内切圆的圆心()0,M b ,先求得圆心到直线210x y +-=的距离,再根据直线截圆M (2)当直线AC 和BC 的斜率不存在时,设直线方程为2x =,易知不成立;当直线AC 和BC 的斜率存在时,设直线方程为()42y k x -=-,然后由圆心到直线的距离等于半径求解; (3)根据AB 4=,设()()(),0,4,040A t B t t +-<<,进而得到直线AC 和直线 BC 的斜率,写出直线AC 和BC 的方程,联立求得点C 的坐标,进而得到坐标系的最小值求解.【详解】(1)设ABC V 的内切圆的圆心()0,,0M b b >,圆心到直线210x y +-=的距离为d又因为直线截圆M21+=,解得1b =,所以圆M 方程()2211x y +-=;(2)当直线AC 和BC 的斜率不存在时,设直线方程为2x =,则圆心到直线的距离 0221d r =-=≠=,不成立,当直线AC 和BC 的斜率存在时,设直线方程为()42y k x -=-,即 240kx y k --+=,圆心到直线的距离d ,解得2k =(3)因为AB 4=,设()()(),0,4,040A t B t t +-<<,所以直线AC 的斜率为:2222tan 2111ACt t k MAO t t-=∠==---,同理直线BC 的斜率为: ()()222241411BCt t k t t --+==+-- ,所以直线AC 的方程为:()221ty x t t =---,直线BC 的方程为:()()()224441t y x t t -+=--+- ,由()()()()222124441t y x t t t y x t t ⎧=--⎪-⎪⎨-+⎪=--⎪+-⎩,解得 22224412841t x t t t t y t t +⎧=⎪⎪++⎨+⎪=⎪++⎩,即2222428,4141t t t C t t t t ⎛⎫++ ⎪++++⎝⎭,又 ()2222282222414123t t y t t t t t +==-=-+++++-,当2t =-时,点C 的纵坐标取得最小值83,所以ABC V 面积的最小值.18164233ABC S =⨯⨯=V .10.(2021·新疆乌鲁木齐市·乌市八中高二期末(文))已知直线l :43100x y ++=,半径为2的圆C 与l 相切,圆心C 在x 轴上且在直线l 的上方(1)求圆C 的方程;(2)过点()1,0M 的直线与圆C 交于A ,B 两点(A 在x 轴上方),问在x 轴正半轴上是否存在点N ,使得x 轴平分ANB ∠?若存在,请求出点N 的坐标;若不存在,请说明理由.【答案】(1)224x y +=;(2)存在,()4,0N .【分析】(1)设出圆心坐标(),0C a ,根据直线与圆相切可得圆心到直线的距离等于半径,由此求解出a 的值(注意范围),则圆C 的方程可求;(2)当直线AB 的斜率不存在时,直接根据位置关系分析即可,当直线AB 的斜率存在时,设出直线方程并联立圆的方程,由此可得,A B 坐标的韦达定理形式,根据AN BN k k =-结合韦达定理可求点N 的坐标.【详解】解:(1)设圆心(),0C a ,∵圆心C 在l 的上方,∴4100a +>,即52a >-,∵直线l :43100x y ++=,半径为2的圆C 与l 相切,∴d r =,即41025a +=,解得:0a =或5a =-(舍去),则圆C 方程为224x y +=;(2)当直线AB x ⊥轴,则x 轴平分ANB ∠,当直线AB 的斜率存在时,设AB 的方程为()1y k x =-,(),0N t ,()11,A x y ,()22,B x y ,由224(1)x y y k x ⎧+=⎨=-⎩得,()22221240k x k x k +-+-=,所以212221k x x k +=+,212241k x x k -=+若x 轴平分ANB ∠,则AN BN k k =-,即()()1212110k x k x x tx t--+=--,整理得:()()12122120x x t x x t -+++=,即()()222224212011k k t t k k -+-+=++,解得:4t =,当点()4,0N ,能使得ANM BNM ∠=∠总成立.1.(2021·山东高考真题)“圆心到直线的距离等于圆的半径”是“直线与圆相切”的( )A .充分没必要条件B .必要不充分条件C .充要条件D .既不充分也没必要条件【答案】C 【分析】由直线与圆相切的等价条件,易判断【详解】由于“圆心到直线的距离等于圆的半径”⇒“直线与圆相切”,因此充分性成立;“直线与圆相切”⇒“圆心到直线的距离等于圆的半径”,故必要性成立;可得“圆心到直线的距离等于圆的半径”是“直线与圆相切”的充要条件故选:C2.(2021·北京高考真题)已知直线y kx m =+(m 为常数)与圆224x y +=交于点M N ,,当k 变化时,若||MN 的最小值为2,则m = A .±1B.C.D .2±【答案】C 【分析】先求得圆心到直线距离,即可表示出弦长,根据弦长最小值得出m 【详解】由题可得圆心为()0,0,半径为2,则圆心到直线的距离d =则弦长为||MN =则当0k =时,弦长|MN取得最小值为2=,解得m =故选:C.3.(2020·全国高考真题(理))已知⊙M :222220x y x y +---=,直线l :220x y ++=,P 为l 上的动点,过点P 作⊙M 的切线,PA PB ,切点为,A B ,当||||PM AB ⋅最小时,直线AB 的方程为( )练真题A .210x y --=B .210x y +-=C .210x y -+=D .210x y ++=【答案】D 【解析】圆的方程可化为()()22114x y -+-=,点M 到直线l的距离为2d >,所以直线l 与圆相离.依圆的知识可知,四点,,,A P B M 四点共圆,且AB MP ⊥,所以14442PAM PM AB S PA AM PA ⋅==⨯⨯⨯=V,而PA =,当直线MP l ⊥时,min MP =,min 1PA =,此时PM AB ⋅最小.∴()1:112MP y x -=-即1122y x =+,由1122220y x x y ⎧=+⎪⎨⎪++=⎩解得,10x y =-⎧⎨=⎩.所以以MP 为直径的圆的方程为()()()1110x x y y -++-=,即2210x y y +--=,两圆的方程相减可得:210x y ++=,即为直线AB 的方程.故选:D.4.【多选题】(2021·全国高考真题)已知直线2:0l ax by r +-=与圆222:C x y r +=,点(,)A a b ,则下列说法正确的是( )A .若点A 在圆C 上,则直线l 与圆C 相切B .若点A 在圆C 内,则直线l 与圆C 相离C .若点A 在圆C 外,则直线l 与圆C 相离D .若点A 在直线l 上,则直线l 与圆C 相切【答案】ABD 【分析】转化点与圆、点与直线的位置关系为222,a b r +的大小关系,结合点到直线的距离及直线与圆的位置关系即可得解.【详解】圆心()0,0C 到直线l的距离d =若点(),A a b 在圆C 上,则222a b r +=,所以d =则直线l 与圆C 相切,故A 正确;若点(),A a b 在圆C 内,则222a b r +<,所以d =则直线l 与圆C 相离,故B 正确;若点(),A a b 在圆C 外,则222a b r +>,所以d =则直线l 与圆C 相交,故C 错误;若点(),A a b 在直线l 上,则2220a b r +-=即222=a b r +,所以d =l 与圆C 相切,故D 正确.故选:ABD.5.(2021·山东高考真题)已知椭圆的中心在坐标原点,右焦点与圆22670x my m +--=的圆心重合,长轴长等于圆的直径,那么短轴长等于______.【答案】【分析】由于22670x my m +--=是圆,可得1m =,通过圆心和半径计算,,a b c ,即得解【详解】由于22670x my m +--=是圆,1m ∴=即:圆22670x y x +--=其中圆心为()3,0,半径为4那么椭圆的长轴长为8,即3c =,4a =,b ==那么短轴长为故答案为:6.(2019·北京高考真题(文))设抛物线y 2=4x 的焦点为F ,准线为l .则以F 为圆心,且与l 相切的圆的方程为__________.【答案】(x -1)2+y 2=4.【解析】抛物线y 2=4x 中,2p =4,p =2,焦点F (1,0),准线l 的方程为x =-1,以F 为圆心,且与l 相切的圆的方程为 (x -1)2+y 2=22,即为(x -1)2+y 2=4.。
直线与圆的方程综合复习(含答案)一. 选择题1.已知点A(1,. 3),B(-1,33),则直线AB 的倾斜角是( C ) A 3B 6C 23D 562.已知过点A(-2,m)和B (m,4)的直线与直线2x+y-1=0平行,则m 的值为( C ) A 0 B 2 C -8 D 103.若直线L 1:ax+2y+6=0与直线L 2:x+(a-1)y+(2a -1)=0平行但不重合,则a 等于( D )A -1或2B 23C 2D -14.若点A (2,-3)是直线a 1x+b 1y+1=0和a 2x+b 2y+1=0的公共点,则相异两点 (a 1,b 1)和(a 2,b 2)所确定的直线方程是( A ) A.2x-3y+1=0 B.3x-2y+1=0 C.2x-3y-1=0 D.3x-2y-1=05.直线xcos θ+y-1=0 (θ∈R )的倾斜角的范围是 ( D )A.[)π,0B.⎪⎭⎫⎢⎣⎡ππ43,4C.⎥⎦⎤⎢⎣⎡-4,4ππD.⎪⎭⎫⎢⎣⎡⎥⎦⎤⎢⎣⎡πππ,434,06.“m=12”是“直线(m+2)x+3my+1=0与直线(m-2)x+(m+2y)-3=0相互垂直”的( B )A 充分必要条件B 充分而不必要条件C 必要而不充分条件D 既不充分也不必要条件7.已知A(7,-4)关于直线L 的对称点为B (-5,6),则直线L 的方程为(B ) A 5x+6y-11=0 B 6x-5y-1=0 C 6x+5y-11=0 D 5x-6y+1=0 8.已知直线1l 的方向向量a=(1,3),直线2l 的方向向量b=(-1,k).若直线2l 经过点(0,5)且1l 2l ,则直线2l 的方程为( B )A x+3y-5=0B x+3y-15=0C x-3y+5=0D x-3y+15=0 9. 过坐标原点且与圆2x +2y -4x+2y+52=0相切的直线方程为( A )A y=-3x 或y= 13xB y=3x 或y= -13xC y=-3x 或y= -13xD y=3x 或y= 13x10.直线x+y=1与圆2x +2y -2ay=0(a>0)没有公共点,则a 的取值范围是(A )A (02-1,)B (2-1, 2+1)C (-2-1, 2-1)D (0, 2+1) 11.圆2x +2y -4x-4y-10=0上的点到直线x+y-14=0的最大距离与最小距离的差是( C )A 36B 18C 62D 5212.以直线:y=kx-k 经过的定点为P 为圆心且过坐标原点的圆的方程为(D ), A 2x +2y +2x=0 B 2x +2y +x=0 C 2x +2y -x=0 D 2x +2y -2x-013.已知两定点A(-2,0),B(1,0),如果定点P 满足PA=2PB,则定点P 的轨迹所 包围的面积等于( B )A B 4 C 8 D 914.若直线3x+y+a=0过圆2x +2y +2x-4y=0的圆心,则a 的值为( B )A 1B -1C 3D -315.若直线2ax-by+2=0 (a >0,b >0)始终平分圆x 2+y 2+2x-4y+1=0的周长,则ba11+的最小值是( C )A.41B.2C.4D.2116.若直线y=k(x-2)+4与曲线y=1+24x -有两个不同的交点,则k 的取值范围是 ( A )A.⎥⎦⎤⎝⎛43,125 B.⎪⎭⎫⎝⎛+∞,125 C.⎥⎦⎤⎝⎛43,21D.⎪⎭⎫⎝⎛125,17.设两圆1C ,2C 都和两坐标轴相切,且过点(4,1),则两圆心的距离 ︱1C 2C ︱等于( C )A 4B 42C 8D 8218.能够使得圆x 2+y 2-2x+4y+1=0上恰有两个点到直线2x+y+c=0距离等于1的c的一个值为 ( C ) A.2B.5C.3D.3519.若直线by ax +=1与圆x 2+y 2=1有公共点,则( D )A.a 2+b 2≤1B.a 2+b 2≥1C.2211ba +≤1 D.2211ba +≥120.已知A (-3,8)和B (2,2),在x 轴上有一点M ,使得|AM|+|BM|为最短,那么点M 的坐标为( B ) A.(-1,0)B.(1,0)C.⎪⎭⎫⎝⎛0522,D. ⎪⎭⎫⎝⎛522,021.直线y=kx+3与圆2(3)x+2(2)y =4相交于M 、N 两点,若︱MN ︱≥23,则k 的取值范围是( A )A [-34,0] B [-∞,-34] [0,∞) C [-33,33] D [-23,0] 22.(广东理科2)已知集合{(,)|,A x y x y =为实数,且221}x y +=,{(,)|,B x y x y =为实数,且}y x =,则AB 的元素个数为(C )A .0B .1C .2D .3 23.(江西理科9)若曲线02221=-+x y x C :与曲线 0)(2=--m mx y y C :有四个不同的交点,则实数m 的取值范围是 ( B ) A. )33,33(-B. )33,0()0,33( -C. ]33,33[-D. ),33()33,(+∞--∞ 答案:B 曲线0222=-+x y x 表示以()0,1为圆心,以1为半径的圆,曲线()0=--m mx y y 表示0,0=--=m mx y y 或过定点()0,1-,0=y 与圆有两个交点,故0=--m mx y 也应该与圆有两个交点,由图可以知道,临界情况即是与圆相切的时候,经计算可得,两种相切分别对应3333=-=m m 和,由图可知,m 的取值范围应是)33,0()0,33( -二.填空题24.已知圆C 经过)3,1(),1,5(B A 两点,圆心在X 轴上,则C 的方程为10)2(22=+-y x ___________。
直线与圆的方程综合题、典型题、高考题1、已知m ∈R ,直线l :2(1)4mx m y m -+=和圆C :2284160x y x y +-++=.(1)求直线l 斜率的取值范围;(2)直线l 能否将圆C 分割成弧长的比值为12的两段圆弧?为什么? 解析:(1)直线l 的方程可化为22411m m y x m m =-++,直线l 的斜率21mk m =+,因为21(1)2m m +≤,所以2112m k m =+≤,当且仅当1m =时等号成立.所以,斜率k 的取值范围是1122⎡⎤-⎢⎥⎣⎦,.(2)不能.由(1)知l 的方程为(4)y k x =-,其中12k ≤. 圆C 的圆心为(42)C -,,半径2r =.圆心C 到直线l的距离d =.由12k ≤,得1d >,即2r d >.从而,若l 与圆C 相交,则圆C 截直线l 所得的弦所对的圆心角小于23π.所以l 不能将圆C 分割成弧长的比值为12的两段弧. 2、已知圆C :044222=-+-+y x y x ,是否存在斜率为1的直线l ,使l 被圆C 截得的弦AB 为直径的圆过原点,若存在求出直线l 的方程,若不存在说明理由。
解析:圆C 化成标准方程为2223)2()1(=++-y x 假设存在以AB 为直径的圆M ,圆心M 的坐标为(a由于CM ⊥l ,∴k CM ⋅k l = -1 ∴k CM =112-=-+a b , 即a +b +1=0,得b = -a -1 ① 直线l 的方程为y -b =x -a , 即x -y +b -a =0CM=23+-a b∵以AB 为直径的圆M 过原点,∴OM MB MA ==2)3(92222+--=-=a b CMCB MB ,222b a OM += ∴2222)3(9b a a b +=+-- ②把①代入②得 0322=--a a ,∴123-==a a 或 当25,23-==b a 时此时直线l 的方程为x -y -4=0; 当0,1=-=b a 时此时直线l 的方程为x -y +1=0故这样的直线l 是存在的,方程为x -y -4=0 或x -y +1=0评析:此题用0OA OB =,联立方程组,根与系数关系代入得到关于b 的方程比较简单3、已知点A(-2,-1)和B(2,3),圆C :x 2+y 2= m 2,当圆C 与线段..AB 没有公共点时,求m 的取值范围.解:∵过点A 、B 的直线方程为在l :x -y +1 = 0, 作OP 垂直AB 于点P ,连结OB.由图象得:|m|<OP 或|m|>OB 时,线段AB 与圆x 2+y 2= m 2无交点.(I )当|m|<OP 时,由点到直线的距离公式得:22|m |2|1||m |<⇒<,即22m 22<<-. (II )当m >OB 时,||||m m 即 13m 13m >-<或. ∴当22m 22<<-和0m 13m 13m ≠>-<且与时,圆x 2+y 2= m 2与线段AB 无交点.4、.已知动圆Q 与x 轴相切,且过点()0,2A .⑴求动圆圆心Q 的轨迹M 方程;⑵设B 、C 为曲线M 上两点,()2,2P ,PB BC ⊥,求点C 横坐标的取值范围. 解: ⑴设(),P x y 为轨迹上任一点,则0y =≠ (4分)化简得:2114y x =+ 为求。
2010年全国统一高考数学试卷(理科)(大纲版Ⅱ)一、选择题(共12小题,每小题5分,满分60分)1.(5分)复数()2=()A.﹣3﹣4i B.﹣3+4i C.3﹣4i D.3+4i2.(5分)函数的反函数是()A.y=e2x﹣1﹣1(x>0)B.y=e2x﹣1+1(x>0)C.y=e2x﹣1﹣1(x∈R)D.y=e2x﹣1+1(x∈R)3.(5分)若变量x,y满足约束条件,则z=2x+y的最大值为()A.1B.2C.3D.44.(5分)如果等差数列{a n}中,a3+a4+a5=12,那么a1+a2+…+a7=()A.14B.21C.28D.355.(5分)不等式>0的解集为()A.{x|x<﹣2,或x>3}B.{x|x<﹣2,或1<x<3}C.{x|﹣2<x<1,或x>3}D.{x|﹣2<x<1,或1<x<3} 6.(5分)将标号为1,2,3,4,5,6的6张卡片放入3个不同的信封中,若每个信封放2张,其中标号为1,2的卡片放入同一信封,则不同的方法共有()A.12种B.18种C.36种D.54种7.(5分)为了得到函数y=sin(2x﹣)的图象,只需把函数y=sin(2x+)的图象()A.向左平移个长度单位B.向右平移个长度单位C.向左平移个长度单位D.向右平移个长度单位8.(5分)△ABC中,点D在边AB上,CD平分∠ACB,若=,=,||=1,||=2,则=()A.+B.+C.+D.+9.(5分)已知正四棱锥S﹣ABCD中,SA=2,那么当该棱锥的体积最大时,它的高为()A.1B.C.2D.310.(5分)若曲线y=在点(a,)处的切线与两个坐标围成的三角形的面积为18,则a=()A.64B.32C.16D.811.(5分)与正方体ABCD﹣A1B1C1D1的三条棱AB、CC1、A1D1所在直线的距离相等的点()A.有且只有1个B.有且只有2个C.有且只有3个D.有无数个12.(5分)已知椭圆T:+=1(a>b>0)的离心率为,过右焦点F且斜率为k(k>0)的直线与T相交于A,B两点,若=3,则k=()A.1B.C.D.2二、填空题(共4小题,每小题5分,满分20分)13.(5分)已知a是第二象限的角,tan(π+2α)=﹣,则tanα=.14.(5分)若(x﹣)9的展开式中x3的系数是﹣84,则a=.15.(5分)已知抛物线C:y2=2px(p>0)的准线l,过M(1,0)且斜率为的直线与l相交于A,与C的一个交点为B,若,则p=.16.(5分)已知球O的半径为4,圆M与圆N为该球的两个小圆,AB为圆M 与圆N的公共弦,AB=4,若OM=ON=3,则两圆圆心的距离MN=.三、解答题(共6小题,满分70分)17.(10分)△ABC中,D为边BC上的一点,BD=33,sinB=,cos∠ADC=,求AD.18.(12分)已知数列{a n}的前n项和S n=(n2+n)•3n.(Ⅰ)求;(Ⅱ)证明:++…+>3n.19.(12分)如图,直三棱柱ABC﹣A1B1C1中,AC=BC,AA1=AB,D为BB1的中点,E为AB1上的一点,AE=3EB1.(Ⅰ)证明:DE为异面直线AB1与CD的公垂线;(Ⅱ)设异面直线AB1与CD的夹角为45°,求二面角A1﹣AC1﹣B1的大小.20.(12分)如图,由M到N的电路中有4个元件,分别标为T1,T2,T3,T4,电流能通过T1,T2,T3的概率都是P,电流能通过T4的概率是0.9,电流能否通过各元件相互独立.已知T1,T2,T3中至少有一个能通过电流的概率为0.999.(Ⅰ)求P;(Ⅱ)求电流能在M与N之间通过的概率.21.(12分)已知斜率为1的直线l与双曲线C:相交于B、D两点,且BD的中点为M(1,3).(Ⅰ)求C的离心率;(Ⅱ)设C的右顶点为A,右焦点为F,|DF|•|BF|=17,证明:过A、B、D三点的圆与x轴相切.22.(12分)设函数f(x)=1﹣e﹣x.(Ⅰ)证明:当x>﹣1时,f(x)≥;(Ⅱ)设当x≥0时,f(x)≤,求a的取值范围.2010年全国统一高考数学试卷(理科)(大纲版Ⅱ)参考答案与试题解析一、选择题(共12小题,每小题5分,满分60分)1.(5分)复数()2=()A.﹣3﹣4i B.﹣3+4i C.3﹣4i D.3+4i【考点】A5:复数的运算.【专题】11:计算题.【分析】首先进行复数的除法运算,分子和分母同乘以分母的共轭复数,把复数整理成整式形式,再进行复数的乘方运算,合并同类项,得到结果.【解答】解:()2=[]2=(1﹣2i)2=﹣3﹣4i.故选:A.【点评】本题主要考查复数的除法和乘方运算,是一个基础题,解题时没有规律和技巧可寻,只要认真完成,则一定会得分.2.(5分)函数的反函数是()A.y=e2x﹣1﹣1(x>0)B.y=e2x﹣1+1(x>0)C.y=e2x﹣1﹣1(x∈R)D.y=e2x﹣1+1(x∈R)【考点】4H:对数的运算性质;4R:反函数.【专题】11:计算题;16:压轴题.【分析】从条件中中反解出x,再将x,y互换即得.解答本题首先熟悉反函数的概念,然后根据反函数求解三步骤:1、换:x、y换位,2、解:解出y,3、标:标出定义域,据此即可求得反函数.【解答】解:由原函数解得x=e 2y﹣1+1,∴f﹣1(x)=e 2x﹣1+1,又x>1,∴x﹣1>0;∴ln(x﹣1)∈R∴在反函数中x∈R,故选:D.【点评】求反函数,一般应分以下步骤:(1)由已知解析式y=f(x)反求出x=Ф(y);(2)交换x=Ф(y)中x、y的位置;(3)求出反函数的定义域(一般可通过求原函数的值域的方法求反函数的定义域).3.(5分)若变量x,y满足约束条件,则z=2x+y的最大值为()A.1B.2C.3D.4【考点】7C:简单线性规划.【专题】31:数形结合.【分析】先根据约束条件画出可行域,设z=2x+y,再利用z的几何意义求最值,只需求出直线z=2x+y过可行域内的点B时,从而得到m值即可.【解答】解:作出可行域,作出目标函数线,可得直线与y=x与3x+2y=5的交点为最优解点,∴即为B(1,1),当x=1,y=1时z max=3.故选:C.【点评】本题考查了线性规划的知识,以及利用几何意义求最值,属于基础题.4.(5分)如果等差数列{a n}中,a3+a4+a5=12,那么a1+a2+…+a7=()A.14B.21C.28D.35【考点】83:等差数列的性质;85:等差数列的前n项和.【分析】由等差数列的性质求解.【解答】解:a3+a4+a5=3a4=12,a4=4,∴a1+a2+…+a7==7a4=28故选:C.【点评】本题主要考查等差数列的性质.5.(5分)不等式>0的解集为()A.{x|x<﹣2,或x>3}B.{x|x<﹣2,或1<x<3}C.{x|﹣2<x<1,或x>3}D.{x|﹣2<x<1,或1<x<3}【考点】73:一元二次不等式及其应用.【专题】11:计算题.【分析】解,可转化成f(x)•g(x)>0,再利用根轴法进行求解.【解答】解:⇔⇔(x﹣3)(x+2)(x﹣1)>0利用数轴穿根法解得﹣2<x<1或x>3,故选:C.【点评】本试题主要考查分式不等式与高次不等式的解法,属于不等式的基础题.6.(5分)将标号为1,2,3,4,5,6的6张卡片放入3个不同的信封中,若每个信封放2张,其中标号为1,2的卡片放入同一信封,则不同的方法共有()A.12种B.18种C.36种D.54种【考点】D9:排列、组合及简单计数问题.【专题】11:计算题.【分析】本题是一个分步计数问题,首先从3个信封中选一个放1,2有3种不同的选法,再从剩下的4个数中选两个放一个信封有C42,余下放入最后一个信封,根据分步计数原理得到结果.【解答】解:由题意知,本题是一个分步计数问题,∵先从3个信封中选一个放1,2,有=3种不同的选法;根据分组公式,其他四封信放入两个信封,每个信封两个有=6种放法,∴共有3×6×1=18.故选:B.【点评】本题考查分步计数原理,考查平均分组问题,是一个易错题,解题的关键是注意到第二步从剩下的4个数中选两个放到一个信封中,这里包含两个步骤,先平均分组,再排列.7.(5分)为了得到函数y=sin(2x﹣)的图象,只需把函数y=sin(2x+)的图象()A.向左平移个长度单位B.向右平移个长度单位C.向左平移个长度单位D.向右平移个长度单位【考点】HJ:函数y=Asin(ωx+φ)的图象变换.【专题】1:常规题型.【分析】先将2提出来,再由左加右减的原则进行平移即可.【解答】解:y=sin(2x+)=sin2(x+),y=sin(2x﹣)=sin2(x﹣),所以将y=sin(2x+)的图象向右平移个长度单位得到y=sin(2x﹣)的图象,故选:B.【点评】本试题主要考查三角函数图象的平移.平移都是对单个的x来说的.8.(5分)△ABC中,点D在边AB上,CD平分∠ACB,若=,=,||=1,||=2,则=()A.+B.+C.+D.+【考点】9B:向量加减混合运算.【分析】由△ABC中,点D在边AB上,CD平分∠ACB,根据三角形内角平分线定理,我们易得到,我们将后,将各向量用,表示,即可得到答案.【解答】解:∵CD为角平分线,∴,∵,∴,∴故选:B.【点评】本题考查了平面向量的基础知识,解答的核心是三角形内角平分线定理,即若AD为三角形ABC的内角A的角平分线,则AB:AC=BD:CD9.(5分)已知正四棱锥S﹣ABCD中,SA=2,那么当该棱锥的体积最大时,它的高为()A.1B.C.2D.3【考点】LF:棱柱、棱锥、棱台的体积.【专题】11:计算题;16:压轴题.【分析】设出底面边长,求出正四棱锥的高,写出体积表达式,利用求导求得最大值时,高的值.【解答】解:设底面边长为a,则高h==,所以体积V=a2h=,设y=12a4﹣a6,则y′=48a3﹣3a5,当y取最值时,y′=48a3﹣3a5=0,解得a=0或a=4时,当a=4时,体积最大,此时h==2,故选:C.【点评】本试题主要考查椎体的体积,考查高次函数的最值问题的求法.是中档题.10.(5分)若曲线y=在点(a,)处的切线与两个坐标围成的三角形的面积为18,则a=()A.64B.32C.16D.8【考点】6H:利用导数研究曲线上某点切线方程.【专题】31:数形结合.【分析】欲求参数a值,必须求出在点(a,)处的切线方程,只须求出其斜率的值即可,故先利用导数求出在x=a处的导函数值,再结合导数的几何意义即可求出切线的斜率得到切线的方程,最后求出与坐标轴的交点坐标结合三角形的面积公式.从而问题解决.【解答】解:y′=﹣,∴k=﹣,切线方程是y﹣=﹣(x﹣a),令x=0,y=,令y=0,x=3a,∴三角形的面积是s=•3a•=18,解得a=64.故选:A.【点评】本试题主要考查求导法则、导数的几何意义、切线的求法和三角形的面积公式,考查考生的计算能力.11.(5分)与正方体ABCD﹣A1B1C1D1的三条棱AB、CC1、A1D1所在直线的距离相等的点()A.有且只有1个B.有且只有2个C.有且只有3个D.有无数个【考点】LO:空间中直线与直线之间的位置关系.【专题】16:压轴题.【分析】由于点D、B1显然满足要求,猜想B1D上任一点都满足要求,然后想办法证明结论.【解答】解:在正方体ABCD﹣A1B1C1D1上建立如图所示空间直角坐标系,并设该正方体的棱长为1,连接B1D,并在B1D上任取一点P,因为=(1,1,1),所以设P(a,a,a),其中0≤a≤1.作PE⊥平面A1D,垂足为E,再作EF⊥A1D1,垂足为F,则PF是点P到直线A1D1的距离.所以PF=;同理点P到直线AB、CC1的距离也是.所以B1D上任一点与正方体ABCD﹣A1B1C1D1的三条棱AB、CC1、A1D1所在直线的距离都相等,所以与正方体ABCD﹣A1B1C1D1的三条棱AB、CC1、A1D1所在直线的距离相等的点有无数个.故选:D.【点评】本题主要考查合情推理的能力及空间中点到线的距离的求法.12.(5分)已知椭圆T:+=1(a>b>0)的离心率为,过右焦点F且斜率为k(k>0)的直线与T相交于A,B两点,若=3,则k=()A.1B.C.D.2【考点】KH:直线与圆锥曲线的综合.【专题】11:计算题;16:压轴题.【分析】设A(x1,y1),B(x2,y2),根据求得y1和y2关系根据离心率设,b=t,代入椭圆方程与直线方程联立,消去x,根据韦达定理表示出y1+y2和y1y2,进而根据y1和y2关系求得k.【解答】解:A(x1,y1),B(x2,y2),∵,∴y1=﹣3y2,∵,设,b=t,∴x2+4y2﹣4t2=0①,设直线AB方程为,代入①中消去x,可得,∴,,解得,故选:B.【点评】本题主要考查了直线与圆锥曲线的综合问题.此类题问题综合性强,要求考生有较高地转化数学思想的运用能力,能将已知条件转化到基本知识的运用.二、填空题(共4小题,每小题5分,满分20分)13.(5分)已知a是第二象限的角,tan(π+2α)=﹣,则tanα=.【考点】GO:运用诱导公式化简求值;GS:二倍角的三角函数.【专题】11:计算题.【分析】根据诱导公式tan(π+α)=tanα得到tan2α,然后利用公式tan(α+β)=求出tanα,因为α为第二象限的角,判断取值即可.【解答】解:由tan(π+2a)=﹣得tan2a=﹣,又tan2a==﹣,解得tana=﹣或tana=2,又a是第二象限的角,所以tana=﹣.故答案为:.【点评】本试题主要考查三角函数的诱导公式、正切的二倍角公式和解方程,考查考生的计算能力.14.(5分)若(x﹣)9的展开式中x3的系数是﹣84,则a=1.【考点】DA:二项式定理.【专题】11:计算题.【分析】利用二项展开式的通项公式求出第r+1项,令x的指数为3得展开式中x3的系数,列出方程解得.【解答】解:展开式的通项为=(﹣a)r C9r x9﹣2r令9﹣2r=3得r=3∴展开式中x3的系数是C93(﹣a)3=﹣84a3=﹣84,∴a=1.故答案为1【点评】本试题主要考查二项展开式的通项公式和求指定项系数的方法.15.(5分)已知抛物线C:y2=2px(p>0)的准线l,过M(1,0)且斜率为的直线与l相交于A,与C的一个交点为B,若,则p=2.【考点】K8:抛物线的性质.【专题】11:计算题;16:压轴题.【分析】设直线AB的方程与抛物线方程联立消去y得3x2+(﹣6﹣2p)x+3=0,进而根据,可知M为A、B的中点,可得p的关系式,解方程即可求得p.【解答】解:设直线AB:,代入y2=2px得3x2+(﹣6﹣2p)x+3=0,又∵,即M为A、B的中点,∴x B+(﹣)=2,即x B=2+,得p2+4P﹣12=0,解得p=2,p=﹣6(舍去)故答案为:2【点评】本题考查了抛物线的几何性质.属基础题.16.(5分)已知球O的半径为4,圆M与圆N为该球的两个小圆,AB为圆M 与圆N的公共弦,AB=4,若OM=ON=3,则两圆圆心的距离MN=3.【考点】JE:直线和圆的方程的应用;ND:球的性质.【专题】11:计算题;16:压轴题.【分析】根据题意画出图形,欲求两圆圆心的距离,将它放在与球心组成的三角形MNO中,只要求出球心角即可,通过球的性质构成的直角三角形即可解得.【解答】解法一:∵ON=3,球半径为4,∴小圆N的半径为,∵小圆N中弦长AB=4,作NE垂直于AB,∴NE=,同理可得,在直角三角形ONE中,∵NE=,ON=3,∴,∴,∴MN=3.故填:3.解法二:如下图:设AB的中点为C,则OC与MN必相交于MN中点为E,因为OM=ON=3,故小圆半径NB为C为AB中点,故CB=2;所以NC=,∵△ONC为直角三角形,NE为△ONC斜边上的高,OC=∴MN=2EN=2•CN•=2××=3故填:3.【点评】本题主要考查了点、线、面间的距离计算,还考查球、直线与圆的基础知识,考查空间想象能力、运算能力和推理论证能力,属于基础题.三、解答题(共6小题,满分70分)17.(10分)△ABC中,D为边BC上的一点,BD=33,sinB=,cos∠ADC=,求AD.【考点】GG:同角三角函数间的基本关系;HP:正弦定理.【分析】先由cos∠ADC=确定角ADC的范围,因为∠BAD=∠ADC﹣B所以可求其正弦值,最后由正弦定理可得答案.【解答】解:由cos∠ADC=>0,则∠ADC<,又由知B<∠ADC可得B<,由sinB=,可得cosB=,又由cos∠ADC=,可得sin∠ADC=.从而sin∠BAD=sin(∠ADC﹣B)=sin∠ADCcosB﹣cos∠ADCsinB==.由正弦定理得,所以AD==.【点评】三角函数与解三角形的综合性问题,是近几年高考的热点,在高考试题中频繁出现.这类题型难度比较低,一般出现在17或18题,属于送分题,估计以后这类题型仍会保留,不会有太大改变.解决此类问题,要根据已知条件,灵活运用正弦定理或余弦定理,求边角或将边角互化.18.(12分)已知数列{a n}的前n项和S n=(n2+n)•3n.(Ⅰ)求;(Ⅱ)证明:++…+>3n.【考点】6F:极限及其运算;R6:不等式的证明.【专题】11:计算题;14:证明题.【分析】(1)由题意知,由此可知答案.(2)由题意知,==,由此可知,当n≥1时,.【解答】解:(1),所以=;(2)当n=1时,;当n>1时,===所以,n≥1时,.【点评】本题考查数列的极限问题,解题时要注意公式的灵活运用.19.(12分)如图,直三棱柱ABC﹣A1B1C1中,AC=BC,AA1=AB,D为BB1的中点,E为AB1上的一点,AE=3EB1.(Ⅰ)证明:DE为异面直线AB1与CD的公垂线;(Ⅱ)设异面直线AB1与CD的夹角为45°,求二面角A1﹣AC1﹣B1的大小.【考点】LM:异面直线及其所成的角;LQ:平面与平面之间的位置关系.【专题】11:计算题;14:证明题.【分析】(1)欲证DE为异面直线AB1与CD的公垂线,即证DE与异面直线AB1与CD垂直相交即可;(2)将AB1平移到DG,故∠CDG为异面直线AB1与CD的夹角,作HK⊥AC1,K 为垂足,连接B1K,由三垂线定理,得B1K⊥AC1,因此∠B1KH为二面角A1﹣AC1﹣B1的平面角,在三角形B1KH中求出此角即可.【解答】解:(1)连接A1B,记A1B与AB1的交点为F.因为面AA1BB1为正方形,故A1B⊥AB1,且AF=FB1,又AE=3EB1,所以FE=EB1,又D为BB1的中点,故DE∥BF,DE⊥AB1.作CG⊥AB,G为垂足,由AC=BC知,G为AB中点.又由底面ABC⊥面AA1B1B.连接DG,则DG∥AB1,故DE⊥DG,由三垂线定理,得DE⊥CD.所以DE为异面直线AB1与CD的公垂线.(2)因为DG∥AB1,故∠CDG为异面直线AB1与CD的夹角,∠CDG=45°设AB=2,则AB1=,DG=,CG=,AC=.作B1H⊥A1C1,H为垂足,因为底面A1B1C1⊥面AA1CC1,故B1H⊥面AA1C1C.又作HK⊥AC1,K为垂足,连接B1K,由三垂线定理,得B1K⊥AC1,因此∠B1KH 为二面角A1﹣AC1﹣B1的平面角.B1H=,C1H=,AC1=,HK=tan∠B1KH=,∴二面角A1﹣AC1﹣B1的大小为arctan.【点评】本试题主要考查空间的线面关系与空间角的求解,考查考生的空间想象与推理计算的能力.三垂线定理是立体几何的最重要定理之一,是高考的热点,它是处理线线垂直问题的有效方法,同时它也是确定二面角的平面角的主要手段.通过引入空间向量,用向量代数形式来处理立体几何问题,淡化了传统几何中的“形”到“形”的推理方法,从而降低了思维难度,使解题变得程序化,这是用向量解立体几何问题的独到之处.20.(12分)如图,由M到N的电路中有4个元件,分别标为T1,T2,T3,T4,电流能通过T1,T2,T3的概率都是P,电流能通过T4的概率是0.9,电流能否通过各元件相互独立.已知T1,T2,T3中至少有一个能通过电流的概率为0.999.(Ⅰ)求P;(Ⅱ)求电流能在M与N之间通过的概率.【考点】C5:互斥事件的概率加法公式;C8:相互独立事件和相互独立事件的概率乘法公式.【专题】11:计算题.【分析】(1)设出基本事件,将要求事件用基本事件的来表示,将T1,T2,T3至少有一个能通过电流用基本事件表示并求出概率即可求得p.(Ⅱ)根据题意,B表示事件:电流能在M与N之间通过,根据电路图,可得B=A4+(1﹣A4)A1A3+(1﹣A4)(1﹣A1)A2A3,由互斥事件的概率公式,代入数据计算可得答案.【解答】解:(Ⅰ)根据题意,记电流能通过T i为事件A i,i=1、2、3、4,A表示事件:T1,T2,T3,中至少有一个能通过电流,易得A1,A2,A3相互独立,且,P()=(1﹣p)3=1﹣0.999=0.001,计算可得,p=0.9;(Ⅱ)根据题意,B表示事件:电流能在M与N之间通过,有B=A4+(1﹣A4)A1A3+(1﹣A4)(1﹣A1)A2A3,则P(B)=P(A4+(1﹣A4)A1A3+(1﹣A4)(1﹣A1)A2A3)=0.9+0.1×0.9×0.9+0.1×0.1×0.9×0.9=0.9891.【点评】本题考查了概率中的互斥事件、对立事件及独立事件的概率,注意先明确事件之间的关系,进而选择对应的公式来计算.21.(12分)已知斜率为1的直线l与双曲线C:相交于B、D两点,且BD的中点为M(1,3).(Ⅰ)求C的离心率;(Ⅱ)设C的右顶点为A,右焦点为F,|DF|•|BF|=17,证明:过A、B、D三点的圆与x轴相切.【考点】J9:直线与圆的位置关系;KC:双曲线的性质;KH:直线与圆锥曲线的综合.【专题】11:计算题;14:证明题;16:压轴题.【分析】(Ⅰ)由直线过点(1,3)及斜率可得直线方程,直线与双曲线交于BD 两点的中点为(1,3),可利用直线与双曲线消元后根据中点坐标公式找出a,b的关系式即求得离心率.(Ⅱ)利用离心率将条件|FA||FB|=17,用含a的代数式表示,即可求得a,则A点坐标可得(1,0),由于A在x轴上所以,只要证明2AM=BD即证得.【解答】解:(Ⅰ)由题设知,l的方程为:y=x+2,代入C的方程,并化简,得(b2﹣a2)x2﹣4a2x﹣a2b2﹣4a2=0,设B(x1,y1),D(x2,y2),则,,①由M(1,3)为BD的中点知.故,即b2=3a2,②故,∴C的离心率.(Ⅱ)由①②知,C的方程为:3x2﹣y2=3a2,A(a,0),F(2a,0),.故不妨设x1≤﹣a,x2≥a,,,|BF|•|FD|=(a﹣2x1)(2x2﹣a)=﹣4x1x2+2a(x1+x2)﹣a2=5a2+4a+8.又|BF|•|FD|=17,故5a2+4a+8=17.解得a=1,或(舍去),故=6,连接MA,则由A(1,0),M(1,3)知|MA|=3,从而MA=MB=MD,且MA⊥x轴,因此以M为圆心,MA为半径的圆经过A、B、D三点,且在点A处与x轴相切,所以过A、B、D三点的圆与x轴相切.【点评】本题考查了圆锥曲线、直线与圆的知识,考查学生运用所学知识解决问题的能力.22.(12分)设函数f(x)=1﹣e﹣x.(Ⅰ)证明:当x>﹣1时,f(x)≥;(Ⅱ)设当x≥0时,f(x)≤,求a的取值范围.【考点】6E:利用导数研究函数的最值.【专题】15:综合题;16:压轴题.【分析】(1)将函数f(x)的解析式代入f(x)≥整理成e x≥1+x,组成新函数g(x)=e x﹣x﹣1,然后根据其导函数判断单调性进而可求出函数g(x)的最小值g(0),进而g(x)≥g(0)可得证.(2)先确定函数f(x)的取值范围,然后对a分a<0和a≥0两种情况进行讨论.当a<0时根据x的范围可直接得到f(x)≤不成立;当a≥0时,令h(x)=axf(x)+f(x)﹣x,然后对函数h(x)进行求导,根据导函数判断单调性并求出最值,求a的范围.【解答】解:(1)当x>﹣1时,f(x)≥当且仅当e x≥1+x令g(x)=e x﹣x﹣1,则g'(x)=e x﹣1当x≥0时g'(x)≥0,g(x)在[0,+∞)是增函数当x≤0时g'(x)≤0,g(x)在(﹣∞,0]是减函数于是g(x)在x=0处达到最小值,因而当x∈R时,g(x)≥g(0)时,即e x≥1+x所以当x>﹣1时,f(x)≥(2)由题意x≥0,此时f(x)≥0当a<0时,若x>﹣,则<0,f(x)≤不成立;当a≥0时,令h(x)=axf(x)+f(x)﹣x,则f(x)≤当且仅当h(x)≤0因为f(x)=1﹣e﹣x,所以h'(x)=af(x)+axf'(x)+f'(x)﹣1=af(x)﹣axf (x)+ax﹣f(x)(i)当0≤a≤时,由(1)知x≤(x+1)f(x)h'(x)≤af(x)﹣axf(x)+a(x+1)f(x)﹣f(x)=(2a﹣1)f(x)≤0,h(x)在[0,+∞)是减函数,h(x)≤h(0)=0,即f(x)≤;(ii)当a>时,由y=x﹣f(x)=x﹣1+e﹣x,y′=1﹣e﹣x,x>0时,函数y递增;x<0,函数y递减.可得x=0处函数y取得最小值0,即有x≥f(x).h'(x)=af(x)﹣axf(x)+ax﹣f(x)≥af(x)﹣axf(x)+af(x)﹣f(x)=(2a ﹣1﹣ax)f(x)当0<x<时,h'(x)>0,所以h'(x)>0,所以h(x)>h(0)=0,即f(x)>综上,a的取值范围是[0,]【点评】本题主要考查导数的应用和利用导数证明不等式,考查考生综合运用知识的能力及分类讨论的思想,考查考生的计算能力及分析问题、解决问题的能力;导数常作为高考的压轴题,对考生的能力要求非常高,它不仅要求考生牢固掌握基础知识、基本技能,还要求考生具有较强的分析能力和计算能力.估计以后对导数的考查力度不会减弱.作为压轴题,主要是涉及利用导数求最值解决恒成立问题,利用导数证明不等式等,常伴随对参数的讨论,这也是难点之所在.。
高三数学圆的标准方程与一般方程试题答案及解析1.已知圆与直线相交于两点则当的面积最大时此时实数的值为【答案】【解析】因为的面积等于,所以当时的面积最大,此时圆心到直线的距离为,因此【考点】直线与圆位置关系2.已知圆C的圆心在曲线y=上,圆C过坐标原点O,且与x轴、y轴交于A、B两点,则△OAB的面积是()A.2 B.3 C.4 D.8【答案】C【解析】设圆心C的坐标是(t,).∵圆C过坐标原点,∴|OC|2=t2+,设圆C的方程是(x-t)2+(y-)2=t2+.令x=0,得y1=0,y2=,故B点的坐标为(0,).令y=0,得x1=0,x2=2t,故A点的坐标为(2t,0),∴S△OAB=|OA|·|OB|=×||×|2t|=4,即△OAB的面积为4.故选C.3.已知圆C1:(x+1)2+(y-1)2=1,圆C2与圆C1关于直线x-y-1=0对称,则圆C2的方程为()A.(x-1)2+(y+1)2=1 B.(x+2)2+(y-2)2=1 C.(x+1)2+(y-1)2=1 D.(x-2)2+(y+2)2=1【答案】D【解析】圆C1:(x+1)2+(y-1)2=1的圆心为(-1,1).圆C2的圆心设为(a,b),C1与C2关于直线x-y-1=0对称,∴解得圆C2的半径为1,∴圆C2的方程为(x-2)2+(y+2)2=1,选D4.已知圆的圆心是直线与轴的交点,且圆与直线相切,则圆的方程是( )A.B.C.D.【答案】A【解析】根据题意直线与x轴的交点为,因为圆与直线相切,所以半径为圆心到切线的距离,即,则圆的方程为,故选A 【考点】切线圆的方程5.求半径为4,与圆x2+y2-4x-2y-4=0相切,且和直线y=0相切的圆的方程.【答案】(x-2-2)2+(y+4)2=42或(x-2+2)2+(y+4)2=42【解析】由题意,设所求圆的方程为圆C:(x-a)2+(y-b)2=r2.圆C与直线y=0相切,且半径为4,则圆心C的坐标为C1(a,4)或C2(a,-4).又已知圆x2+y2-4x-2y-4=0的圆心A的坐标为(2,1),半径为3.若两圆相切,则|CA|=4+3=7或|CA|=4-3=1.①当C1(a,4)时,有(a-2)2+(4-1)2=72或(a-2)2+(4-1)2=12(无解),故可得a=2±2.∴所求圆方程为(x-2-2)2+(y-4)2=42或(x-2+2)2+(y-4)2=42.②当C2(a,-4)时,(a-2)2+(-4-1)2=72或(a-2)2+(-4-1)2=12(无解),故a=2±2.∴所求圆的方程为(x-2-2)2+(y+4)2=42或(x-2+2)2+(y+4)2=42.6.以两点A(-3,-1)和B(5,5)为直径端点的圆的方程是_________.【答案】(x-1)2+(y-2)2=25【解析】设P(x,y)是所求圆上任意一点.∵A、B是直径的端点,∴·=0.又=(-3-x,-1-y),=(5-x,5-y).由·=0 (-3-x)·(5-x)+(-1-y)(5-y)=0 x2-2x+y2-4y-20=0 (x-1)2+(y-2)2=25.7.点(1,1)在圆(x-a)2+(y+a)2=4内,则实数a的取值范围是________.【答案】(-1,1)【解析】∵点(1,1)在圆的内部,∴(1-a)2+(1+a)2<4,∴-1<a<1.8.如图,圆O1与圆O2的半径都是1,O1O2=4,过动点P分别作圆O1、圆O2的切线PM、PN(M、N分别为切点),使得PM=PN,试建立适当的坐标系,并求动点P的轨迹方程.【答案】(x-6)2+y2=33(或x2+y2-12x+3=0).【解析】以O1O2的中点O为原点,O1O2所在的直线为x轴,建立如图所示平面直角坐标系,则O1(-2,0),O2(2,0).由已知PM=PN,得PM2=2PN2.因为两圆的半径均为1,所以-1=2(-1).设P(x,y),则(x+2)2+y2-1=2[(x-2)2+y2-1],即(x-6)2+y2=33,所以所求轨迹方程为(x-6)2+y2=33(或x2+y2-12x+3=0).9.已知圆M过两点A(1,-1),B(-1,1),且圆心M在x+y-2=0上.(1)求圆M的方程;(2)设P是直线3x+4y+8=0上的动点,PA′、PB′是圆M的两条切线,A′、B′为切点,求四边形PA′MB′面积的最小值.【答案】(1)(x-1)2+(y-1)2=4.(2)2【解析】(1)设圆M的方程为(x-a)2+(y-b)2=r2(r>0),根据题意得解得a =b =1,r =2.故所求圆M 的方程为(x -1)2+(y -1)2=4.(2)由题知,四边形PA′MB′的面积为S =S △PA′M +S △PB′M =|A′M||PA′|+|B′M||PB′|.又|A′M|=|B′M|=2,|PA′|=|PB′|,所以S =2|PA′|,而|PA′|==,即S =2.因此要求S 的最小值,只需求|PM|的最小值即可,即在直线3x +4y +8=0上找一点P ,使得|PM|的值最小,所以|PM|min ==3,所以四边形PA′MB′面积的最小值为S =2=2=210. 已知M(-2,0),N(2,0),则以MN 为斜边的直角三角形的直角顶点P 的轨迹方程为( )A .x 2+y 2=2B .x 2+y 2=4C .x 2+y 2=2(x≠±2)D .x 2+y 2=4(x≠±2)【答案】D【解析】设P(x,y),则|PM|2+|PN|2=|MN|2, 所以x 2+y 2=4(x≠±2).【误区警示】本题易误选B.错误的根本原因是忽视了曲线与方程的关系,从而导致漏掉了x≠±2.11. 设定点M(-3,4),动点N 在圆x 2+y 2=4上运动,以OM,ON 为邻边作平行四边形MONP,则点P 的轨迹方程为 .【答案】(x+3)2+(y-4)2=4,但应除去两点(-,)和(-,)【解析】设P(x,y),圆上的动点N(x 0,y 0),则线段OP 的中点坐标为(,),线段MN 的中点坐标为(,),又因为平行四边形的对角线互相平分,所以有可得又因为N(x 0,y 0)在圆上,所以N 点坐标应满足圆的方程.即有(x+3)2+(y-4)2=4,但应除去两点(-,)和(-,).12. 若原点在圆(x-m)2+(y+m)2=8的内部,则实数m 的取值范围是( ) A .-2<m<2 B .0<m<2 C .-2<m<2 D .0<m<2【答案】C【解析】由已知得m 2+m 2<8,即m 2<4,解得-2<m<2.13. 圆关于直线对称的圆的方程为( ) A .B .C .D .【答案】A 【解析】圆的圆心坐标为,此点关于直线的对称点的坐标为,由于两圆关于直线对称,它们的圆心关于直线对称,大小相等,因此所求的对称圆的圆心坐标为,其半径长为,即为,故选A. 【考点】1.两点关于直线对称;2.圆的标准方程14.已知圆的方程为x2+y2-6x-8y=0,设该圆中过点(3,5)的最长弦和最短弦分别为AC和BD,则四边形ABCD的面积是________.【答案】20【解析】配方可得(x-3)2+(y-4)2=25,其圆心为C(3,4),半径为r=5,则过点(3,5)的最长弦AC=2r=10,最短弦BD=2 =4,且有AC⊥BD,则四边形ABCD的面积为S=AC×BD=20 .15.已知圆(x-a)2+(y-b)2=r2的圆心为抛物线y2=4x的焦点,且与直线3x+4y+2=0相切,则该圆的方程为().A.(x-1)2+y2=B.x2+(y-1)2=C.(x-1)2+y2=1D.x2+(y-1)2=1【答案】C【解析】因为抛物线y2=4x的焦点坐标为(1,0),所以a=1,b=0.又根据=1=r,所以圆的方程为(x-1)2+y2=1.16.如图,在正方体ABCD-A1B1C1D1中,当动点M在底面ABCD内运动时,总有D1A=D1M,则动点M在面ABCD内的轨迹是________上的一段弧.A.圆B.椭圆C.双曲线D.抛物线【答案】A【解析】因为满足条件的动点在底面ABCD内运动时,动点的轨迹是以D1D为轴线,以D1A为母线的圆锥,所以动点M在面ABCD内的轨迹是圆的一部分.17.已知圆:,则下列命题:①圆上的点到的最短距离的最小值为;②圆上有且只有一点到点的距离与到直线的距离相等;③已知,在圆上有且只有一点,使得以为直径的圆与直线相切.真命题的个数为A.B.C.D.【答案】D【解析】已知动圆的圆心的轨迹方程为:,所以动圆构成的轨迹为夹在抛物线和抛物线之间的部分(包括边界),所以①②③都满足题意【考点】圆的方程的性质、点、直线与圆的位置关系及其判断.18.已知圆与x轴切于A点,与y轴切于B点,设劣弧的中点为M,则过点M的圆C的切线方程是()A.B.C.D.【答案】A【解析】由已知得,又切线斜率为1,故切线方程为,即.【考点】1、圆的标准方程;2、圆的切线的性质;3、直线的方程.19.圆心在曲线上,且与直线相切的面积最小的圆的方程是_______。
直线与圆的方程测试题(含答案)直线和圆方程试题(本试卷满分为150分,考试时间为120分钟)1、选择题(共18题,每题4分,共72分)每题所列四个选项中只有一个符合题目要求,请选择。
如果点M1(2,-5)和M2(5,y)之间的距离为5,则y =()a-9 b-1c-9或-1d 122。
数轴上a点的坐标是2,m点的坐标是-3。
然后|上午|=()下午5点到下午5点1点到下午1点3点。
直线的倾角是2?3、坡度为()a-33b . 33 c?3 d.34 .下面的陈述是正确的()A。
任何直线都有倾角b,任何直线都有斜率c,直线的倾角范围是(0,?直线倾斜角的范围是(0?)5。
通过点(4,-3),斜率为-2的线性方程为()a . 2x+y+2 = 0b . 2x-y-5 = 0c . 2x+y+5 = 0d . 2x+y-5 = 0.6。
交点(2,0)和平行于y轴的线性方程是()A.x=0 B.y=0 C.x=2 D.y=27。
y轴上直线的截距为-2,倾角为0。
那么线性方程是(a . x+2 = 0b . x-2 = 0c . y+2 = 0d . y-2 = 08。
“b ≠ 0”是等式“Ax+By+C=0代表直线”的()a。
充分和不必要条件b .必要和不充分条件c .充分和必要条件d .不充分和不必要条件9。
直线3x-y+12 = 0和直线6x-2y+1=0之间的位置关系是()a .平行b .重合c .相交不垂直d .相交和垂直10。
下面的命题是错误的..具有负倒数斜率的两条直线必须相互垂直b,相互垂直的两条直线的斜率必须为负倒数c,两条平行直线的倾角等于256°+°。
两条倾角相等的直线平行或重合11。
与直线2x+y-5=0平行的交叉点(3,-4)是()a . 2x+y+2 = 0b . 2x-y-2 = 0c . 2x-y+2 = 0d . 2x+y-2 = 012。
直线ax+y-3=0垂直于直线y=12x-1。
图7—1图7—2图7—3图7—4图7—5图7—6图7—7图7—8图7—9图7—10图7—1136.答案:F1(a,b)≠0,或F2(a,b)≠0,或F1(a,b)≠0且F2(a,b)≠0或C1∩C2=∅或P∉C1等解析:点P(a,b)∉C1∩C2,则可能点P不在曲线C1上;可能点P不在曲线C2上;可能点P既不在曲线C1上也不在曲线C2上;可能曲线C1与曲线C2不存在交点.37.答案:可得两圆对称轴的方程2(c-a)x+2(d-b)y+a2+b2-c2-d2=0解析:设圆方程(x-a)2+(y-b)2=r2①(x-c)2+(y-d)2=r2②(a≠c或b≠d),则由①-②,得两圆的对称轴方程为:(x-a)2-(x-c)2+(y-b)2-(y-d)2=0,即2(c-a)x+2(d-b)y+a2+b2-c2-d2=0.评述:本题考查圆的方程、圆的公共弦方程的概念,考查抽象思维能力和推广数学命题的能力.38.答案:(x-1)2+(y-1)2=1解析一:设所求圆心为(a,b),半径为r.由已知,得a=b,r=|b|=|a|.∴所求方程为(x-a)2+(y-a)2=a2又知点(1,0)在所求圆上,∴有(1-a)2+a2=a2,∴a=b=r=1.故所求圆的方程为:(x-1)2+(y-1)2=1.解析二:因为直线y=x与x轴夹角为45°.又圆与x轴切于(1,0),因此圆心横坐标为1,纵坐标为1,r=1.评述:本题考查圆的方程等基础知识,要注意利用几何图形的性质,迅速得到结果.39.答案:3或7解析:当两圆外切时,r=3,两圆内切时r=7,所以r的值是3或7.评述:本题考查集合的知识和两圆的位置关系,要特别注意集合代表元素的意义.40.答案:x+y-4=0解析一:已知圆的方程为(x-2)2+y2=9,可知圆心C的坐标是(2,0),又知AB弦图7—12图7—13图7—14图7—15。
直线和圆的高考题(一) 制作人 韩永权 审核人 程奋权 2013.10.第一周 1 有关圆的方程1(2004全国卷1理) 14.由动点P 向圆x 2+y 2=1引两条切线P A 、PB ,切点分别为A 、B ,∠APB=60°,则动点P 的轨迹方程为的轨迹方程为 . 2(2001上海理)6.圆心在直线x y =上且与x 轴相切于点(1,0)的圆的方程为________. 3(2010广东)12若圆心在x 轴上、半径为2的圆O 位于y 轴左侧,且与直线0x y +=相切,则圆O 的方程是的方程是 . 4 (2009辽宁理) (4) 已知圆C 与直线x -y=0 及x -y -4=0都相切,圆心在直线x+y=0上,则圆C 的方程为的方程为(A )22(1)(1)2x y ++-= (B) 22(1)(1)2x y -++= (C) 22(1)(1)2x y -+-= (D) 22(1)(1)2x y +++=5(2006四川理)(6)已知两定点()()2,0,1,0A B -,如果动点P 满足2P A PB =,则点P 的轨迹所包围的图形的面积等于的轨迹所包围的图形的面积等于(A )9p (B )8p (C )4p (D )p2有关圆与圆的位置关系有关圆与圆的位置关系6(2008重庆理)((3)(3)圆圆221:20O x y x +-=和圆222:40O x y y +-=的位置关系是的位置关系是(A)(A)相离相离相离(B)(B)相交相交相交(C)(C)外切外切外切(D)(D)内切内切内切3 3 有关直线和圆的位置关系有关直线和圆的位置关系有关直线和圆的位置关系7(2008陕西理)5.直线30x y m -+=与圆22220x y x +--=相切,则实数m 等于( ) A .3或3-B .3-或33C .33-或3D .33-或338(2008重庆理)((1515)直线)直线l 与圆22240(3)x y x y a a ++-+=<相交于两点A ,B ,弦AB 的中点为(的中点为(00,1),则直线l 的方程为的方程为 . . 9(2008全国一)10.若直线1x ya b+=通过点(cos sin )M a a ,,则(,则( ) A .221a b+≤B .221a b +≥ C .22111a b +≤ D .22111a b+≥1010((2009陕西理)陕西理)4.4.4.过原点且倾斜角为过原点且倾斜角为60°的直线被圆2240x y y +-=所截得的弦长为(A )3 ((B )2 2 ((C )6 ((D )23 112010江西)8.直线3y kx =+与圆()()22324x y -+-=相交于M,N 两点,若23MN ³,则k 的取值范围是的取值范围是A. 304éù-êúëû,B. []304éù-¥-+¥êúëû ,,C. 3333éù-êúëû,D. 203éù-êúëû,4有关最值问题有关最值问题12(2008山东理)11.已知圆的方程为22680x y x y +--=.设该圆过点(35),的最长弦和最短弦分别为AC 和BD ,则四边形ABCD 的面积为(的面积为( ) A .106B .206C .306D .40613(2007山东理)15.与直线20x y +-=和曲线221212540x y x y +--+=都相切的半径最小的圆的标准方程是_________. 14(2009全国二)16. 已知AC BD 、为圆O :224x y +=的两条相互垂直的弦,垂足为()1,2M ,则四边形ABCD 的面积的最大值为的面积的最大值为 。
直线和圆的方程十年高考题(含答案)直线和圆的方程・考点阐释解析几何是用代数方法来研究几何问题的一门数学学科.在建立坐标系后,平面上的点与有序实数对之间建立起对应关系,从而使平面上某些曲线与某些方程之间建立对应关系;使平面图形的某些性质(形状、位置、大小)可以用相应的数、式表示出来;使平面上某些几何问题可以转化为相应的代数问题来研究.学习解析几何,要特别重视以下几方面:(1)熟练掌握图形、图形性质与方程、数式的相互转化和利用;(2)与代数、三角、平面几何密切联系和灵活运用.•试题类编一、选择题1.(2003北京春文12,理10)已知直线ax+by+c=0 (abcw 0)与圆x2+y2=1 相切,贝U三条边长分别为|a|, |b|, |c|的三角形( )A.是锐角三角形B.是直角三角形C.是钝角三角形D.不存在2.(2003北京春理,12)在直角坐标系xOy 中,已知△ AOB三边所在直线的方程分别为x=0, y=0, 2x+3y=30,贝U/XAOB 内部和边上整点(即横、纵坐标均为整数的点)的总数是()A.95B.91C.88D.753.(2002京皖春文,8)到两坐标轴距离相等的点的轨迹方程是()A.x —y=0B.x+y=0C.|x| —y=0D.|x|—|y|=04.(2002京皖春理,8)圆2x2 + 2y2=1与直线xsin e+y—1 = 0(0 GR, e# 万十kjt,kGZ)的位置关系是()A.相交B.相切C.相离D.不确定的5.(2002 全国文)若直线(1+a)x+y+1=0 与圆x2+y2—2x=0相切,则a的值为()B.2, —2C.1A.1 , —16. (2002全国理)圆(x —1) 2+ y 2=1 的圆心到直线y=^33x 的距离是()A.1B.‘C.122D.T 37. (2002北京,2)在平面直角坐标系中,已知两点 A (cos80° ,sin80° ) ,B(cos20° , sin20° ),则 |AB|的值是( )A.1B.—C.-D.12228. (2002北京文,6)若直线l: y=kx V3与直线2x + 3y —6=0的交点位于第一象限,则直 线l 的倾斜角的取值范围是()B.(6,2)D.[6,2]9.(2002北京理,6)给定四条曲线:①x=1.其中与直线x+y —京=0仅有一个交点的曲线是()十2X一4④1= 2L4 + 2XA.[6,3)A.①②③B.②③④C.①d④ D.①③④10.(2001 全国文,2)过点A (1, —1)、B (―1, 1)且圆心在直线x+y—2=0上的圆的方程是( )A. (x —3) 2+ (y+1) 2 = 4B. ( x + 3) 2+ (y—1) 2=4C. (x—1) 2+ (y—1) 2 = 4D. (x+1) 2+ (y+1) 2= 411.(2001上海春,14)若直线x=1的倾斜角为a ,则a ( )A.等于0B.等于zC.等于万D.不存在12.(2001天津理,6)设A、B是x轴上的两点,点P的横坐标为2且|PA|=|PB|,若直线PA的方程为x-y+1=0,则直线PB的方程是 ( )A.x+y— 5=0B.2x —y—1=0C.2y—x —4=0D.2x+y — 7=013.(2001京皖春,6)设动点P在直线x=1 上,O为坐标原点.以OP为直角边,点。
直线与圆的方程测试题(本试卷满分150分,考试时间120分钟)一、单项选择题(本大题共18小题,每小题4分,共72分)在每小题列出的四个备选项中只有一个是符合题目要求的,请将其选出,错选、多选或未选均无分.1.点M 1(2,-5)与M 2(5,y)之间的距离是5,则y=( )A.-9B.-1C.-9或-1D. 122. 数轴上点A 的坐标是2,点M 的坐标是-3,则|AM|=( )A.5B. -5C. 1D. -13. 直线的倾斜角是32π,则斜率是( ) A.3-3 B.33 C.3- D.3 4. 以下说法正确的是( )A.任意一条直线都有倾斜角B. 任意一条直线都有斜率C.直线倾斜角的范围是(0,2π) D. 直线倾斜角的范围是(0,π) 5. 经过点(4, -3),斜率为-2的直线方程是( )A. 2x+y+2=0B.2x-y-5=0C. 2x+y+5=0D. 2x+y-5=06. 过点(2,0)且与y 轴平行的直线方程是( )A.x=0B.y=0C.x=2D.y=27. 直线在y 轴上的截距是-2,倾斜角为0°,则直线方程是( )A.x+2=0B.x-2=0C.y+2=0D.y-2=08. “B ≠0”是方程“Ax+By+C=0表示直线”的( )A.充分非必要条件B.必要非充分条件C.充分且必要条件D.非充分非必要条件9. 直线3x-y+21=0与直线6x-2y+1=0之间的位置关系是( ) A.平行 B.重合 C.相交不垂直 D.相交且垂直10.下列命题错误..的是( )A. 斜率互为负倒数的两条直线一定互相垂直B. 互相垂直的两条直线的斜率一定互为负倒数C. 两条平行直线的倾斜角相等D. 倾斜角相等的两条直线平行或重合11. 过点(3,-4)且平行于直线2x+y-5=0的直线方程是( )A. 2x+y+2=0B. 2x-y-2=0C. 2x-y+2=0D.2x+y-2=012. 直线ax+y-3=0与直线y=21x-1垂直,则a=( )A.2B.-2C. 21D. 21-13. 直线x=2与直线x-y+2=0的夹角是( )A.30°B. 45°C. 60°D. 90°14. 点P (2,-1)到直线l :4x-3y+4=0的距离是( )A.1B.511C.53D.315. 圆心在( -1,0),半径为5的圆的方程是( )A.(x+1)2+y 2=5B. (x+1)2+y 2=25C. (x-1)2+y 2=5D. (x-1)2+y 2=2516. 直线3x+4y+6=0与圆(x-2)2+(y+3)2=1的位置关系是()A.相交不过圆心B.相交且过圆心C.相切D.相离17. 方程x2+y2-2kx+4y+3k+8=0表示圆,则k的取值范围是()A.k<-1或k>4B. k=-1或k=4C. -1<k<4D. -1≤k≤418. 直线y=0与圆C:x2+y2-2x-4y=0相交于A、B两点,则△ABC的面积是()A.4B.3C.2D.1二、填空题(本大题共5小题,每小题4分,共20分)请在每小题的空格中填上正确答案。
直线和圆的方程●考点阐释解析几何是用代数方法来研究几何问题的一门数学学科.在建立坐标系后,平面上的点与有序实数对之间建立起对应关系,从而使平面上某些曲线与某些方程之间建立对应关系;使平面图形的某些性质(形状、位置、大小)可以用相应的数、式表示出来;使平面上某些几何问题可以转化为相应的代数问题来研究.学习解析几何,要特别重视以下几方面:(1)熟练掌握图形、图形性质与方程、数式的相互转化和利用; (2)与代数、三角、平面几何密切联系和灵活运用. ●试题类编 一、选择题1.(2003北京春文12,理10)已知直线ax +by +c =0(abc ≠0)与圆x 2+y 2=1相切,则三条边长分别为|a |,|b |,|c |的三角形( )A.是锐角三角形B.是直角三角形C.是钝角三角形D.不存在2.(2003北京春理,12)在直角坐标系xOy 中,已知△AOB 三边所在直线的方程分别为x =0,y =0,2x +3y =30,则△AOB 内部和边上整点(即横、纵坐标均为整数的点)的总数是( )A.95B.91C.88D.753.(2002京皖春文,8)到两坐标轴距离相等的点的轨迹方程是( ) A.x -y =0 B.x +y =0 C.|x |-y =0D.|x |-|y |=04.(2002京皖春理,8)圆2x 2+2y 2=1与直线x sin θ+y -1=0(θ∈R ,θ≠2+k π,k ∈Z )的位置关系是( )A.相交B.相切C.相离D.不确定的5.(2002全国文)若直线(1+a )x +y +1=0与圆x 2+y 2-2x =0相切,则a 的值为( ) A.1,-1B.2,-2C.1D.-16.(2002全国理)圆(x -1)2+y 2=1的圆心到直线y =33x 的距离是( ) A.21 B.23 C.1D.37.(2002北京,2)在平面直角坐标系中,已知两点A (co s 80°,sin80°),B (co s 20°,sin20°),则|AB |的值是( )A.21B.22 C.23 D.18.(2002北京文,6)若直线l :y =kx 3-与直线2x +3y -6=0的交点位于第一象限,则直线l 的倾斜角的取值范围是( )A.)3,6[ππB.)2,6(ππ C.)2,3(ππ D.]2,6[ππ 9.(2002北京理,6)给定四条曲线:①x 2+y 2=25,②4922y x +=1,③x 2+42y =1,④42x +y 2=1.其中与直线x +y -5=0仅有一个交点的曲线是( )A.①②③B.②③④C.①②④D.①③④10.(2001全国文,2)过点A (1,-1)、B (-1,1)且圆心在直线x +y -2=0上的圆的方程是( )A.(x -3)2+(y +1)2=4B.(x +3)2+(y -1)2=4C.(x -1)2+(y -1)2=4D.(x +1)2+(y +1)2=411.(2001上海春,14)若直线x =1的倾斜角为α,则α( ) A.等于0B.等于4πC.等于2π D.不存在12.(2001天津理,6)设A 、B 是x 轴上的两点,点P 的横坐标为2且|PA |=|PB |,若直线PA 的方程为x -y +1=0,则直线PB 的方程是( )A.x +y -5=0B.2x -y -1=0C.2y -x -4=0D.2x +y -7=013.(2001京皖春,6)设动点P 在直线x =1上,O 为坐标原点.以OP 为直角边,点O 为直角顶点作等腰Rt △OP Q ,则动点Q 的轨迹是( )A.圆B.两条平行直线C.抛物线D.双曲线14.(2000京皖春,4)下列方程的曲线关于x =y 对称的是( ) A.x 2-x +y 2=1B.x 2y +xy 2=1C.x -y =1D.x 2-y 2=115.(2000京皖春,6)直线(23-)x +y =3和直线x +(32-)y =2的位置关系是( )A.相交不垂直B.垂直C.平行D.重合16.(2000全国,10)过原点的直线与圆x 2+y 2+4x +3=0相切,若切点在第三象限,则该直线的方程是( )A.y =3xB.y =-3xC.y =33xD.y =-33x 17.(2000全国文,8)已知两条直线l 1:y =x ,l 2:ax -y =0,其中a 为实数,当这两条直线的夹角在(0,12π)内变动时,a 的取值范围是( )A.(0,1)B.(3,33)C.(33,1)∪(1,3)D.(1,3)18.(1999全国文,6)曲线x 2+y 2+22x -22y =0关于( )A.直线x =2轴对称B.直线y =-x 轴对称C.点(-2,2)中心对称D.点(-2,0)中心对称19.(1999上海,13)直线y =33x 绕原点按逆时针方向旋转30°后所得直线与圆 (x -2)2+y 2=3的位置关系是( )A.直线过圆心B.直线与圆相交,但不过圆心C.直线与圆相切D.直线与圆没有公共点20.(1999全国,9)直线3x +y -23=0截圆x 2+y 2=4得的劣弧所对的圆心角为( ) A.6π B.4π C .3π D.2π21.(1998全国,4)两条直线A 1x +B 1y +C 1=0,A 2x +B 2y +C 2=0垂直的充要条件是( ) A.A 1A 2+B 1B 2=0 B.A 1A 2-B 1B 2=0 C.12121-=B B A AD.2121A A B B =1 22.(1998上海)设a 、b 、c 分别是△ABC 中∠A 、∠B 、∠C 所对边的边长,则直线sin A ·x +ay +c =0与bx -sin B ·y +sin C =0的位置关系是( )A.平行B.重合C.垂直D.相交但不垂直23.(1998全国文,3)已知直线x =a (a >0)和圆(x -1)2+y 2=4相切,那么a 的值是( ) A.5B.4C.3D.224.(1997全国,2)如果直线ax +2y +2=0与直线3x -y -2=0平行,那么系数a 等于( ) A.-3B.-6C.-23D.32 25.(1997全国文,9)如果直线l 将圆x 2+y 2-2x -4y =0平分,且不通过第四象限,那么直线l 的斜率的取值范围是( )A.[0,2]B.[0,1]C.[0,21]D.[0,21) 26.(1995上海,8)下列四个命题中的真命题是( ) A.经过定点P 0(x 0,y 0)的直线都可以用方程y -y 0=k (x -x 0)表示B.经过任意两个不同的点P 1(x 1,y 1)、P 2(x 2,y 2)的直线都可以用方程(y -y 1)·(x 2-x 1)=(x -x 1)(y 2-y 1)表示C.不经过原点的直线都可以用方程1=+bya x 表示D.经过定点A (0,b )的直线都可以用方程y =kx +b 表示27.(1995全国文,8)圆x 2+y 2-2x =0和x 2+y 2+4y =0的位置关系是( )A.相离B.外切C.相交D.内切28.(1995全国,5)图7—1中的直线l 1、l 2、l 3的斜率分别为k 1、k 2、k 3,则( )A.k 1<k 2<k 3B.k 3<k 1<k 2C.k 3<k 2<k 1D.k 1<k 3<k 229.(1994全国文,3)点(0,5)到直线y =2x 的距离是( ) A.25B.5 C.23D.25 二、填空题30.(2003上海春,2)直线y =1与直线y =3x +3的夹角为_____.31.(2003上海春,7)若经过两点A (-1,0)、B (0,2)的直线l 与圆(x -1)2+ (y -a )2=1相切,则a =_____.32.(2002北京文,16)圆x 2+y 2-2x -2y +1=0上的动点Q 到直线3x +4y +8=0距离的最小值为 .33.(2002北京理,16)已知P 是直线3x +4y +8=0上的动点,PA ,PB 是圆x 2+y 2-2x -2y +1=0的两条切线,A 、B 是切点,C 是圆心,那么四边形PACB 面积的最小值为 .34.(2002上海文,6)已知圆x 2+(y -1)2=1的圆外一点P (-2,0),过点P 作圆的切线,则两条切线夹角的正切值是 .35.(2002上海理,6)已知圆(x +1)2+y 2=1和圆外一点P (0,2),过点P 作圆的切线,则两条切线夹角的正切值是 .36.(2002上海春,8)设曲线C 1和C 2的方程分别为F 1(x ,y )=0和F 2(x ,y )=0,图7—1则点P (a ,b ) C 1∩C 2的一个充分条件为 .37.(2001上海,11)已知两个圆:x 2+y 2=1①与x 2+(y -3)2=1②,则由①式减去②式可得上述两圆的对称轴方程.将上述命题在曲线仍为圆的情况下加以推广,即要求得到一个更一般的命题,而已知命题应成为所推广命题的一个特例.推广的命题为:38.(2001上海春,6)圆心在直线y =x 上且与x 轴相切于点(1,0)的圆的方程为 . 39.(2000上海春,11)集合A ={(x ,y )|x 2+y 2=4},B ={(x ,y )|(x -3)2+(y -4)2=r 2},其中r >0,若A ∩B 中有且仅有一个元素,则r 的值是_____.40.(1997上海)设圆x 2+y 2-4x -5=0的弦AB 的中点为P (3,1),则直线AB 的方程是 .41.(1994上海)以点C (-2,3)为圆心且与y 轴相切的圆的方程是 . 三、解答题42.(2003京春文,20)设A (-c ,0),B (c ,0)(c >0)为两定点,动点P 到A 点的距离与到B 点的距离的比为定值a (a >0),求P 点的轨迹.43.(2003京春理,22)已知动圆过定点P (1,0),且与定直线l :x =-1相切,点C 在l 上.(Ⅰ)求动圆圆心的轨迹M 的方程; (Ⅱ)设过点P ,且斜率为-3的直线与曲线M 相交于A 、B 两点.(i )问:△ABC 能否为正三角形?若能,求点C 的坐标;若不能,说明理由; (ii )当△ABC 为钝角三角形时,求这种点C 的纵坐标的取值范围.44.(2002全国文,21)已知点P 到两个定点M (-1,0)、N (1,0)距离的比为2,点N 到直线PM 的距离为1.求直线PN 的方程.45.(1997全国文,25)已知圆满足:①截y 轴所得弦长为2;②被x 轴分成两段圆弧,其弧长的比为3∶1;③圆心到直线l :x -2y =0的距离为55,求该圆的方程. 46.(1997全国理,25)设圆满足: (1)截y 轴所得弦长为2;(2)被x 轴分成两段圆弧,其弧长的比为3∶1.在满足条件(1)、(2)的所有圆中,求圆心到直线l :x -2y =0的距离最小的圆的方程. 47.(1997全国文,24)已知过原点O 的一条直线与函数y =lo g 8x 的图象交于A 、B 两点,分别过点A 、B 作y 轴的平行线与函数y =lo g 2x 的图象交于C 、D 两点.(1)证明点C、D和原点O在同一条直线上.(2)当BC平行于x轴时,求点A的坐标.48.(1994上海,25)在直角坐标系中,设矩形OPQR的顶点按逆时针顺序依次为O(0,0),P(1,t),Q(1-2t,2+t),R(-2t,2),其中t∈(0,+∞).(1)求矩形OPQR在第一象限部分的面积S(t).(2)确定函数S(t)的单调区间,并加以证明.49.(1994全国文,24)已知直角坐标平面上点Q(2,0)和圆C:x2+y2=1,动点M到圆C的切线长与|MQ|的比等于常数λ(λ>0).求动点M的轨迹方程,说明它表示什么曲线.答案解析1.答案:B解析:圆心坐标为(0,0),半径为1.因为直线和圆相切.利用点到直线距离公式得:d =22||b a c +=1,即a 2+b 2=c 2.所以,以|a |,|b |,|c |为边的三角形是直角三角形.评述:要求利用直线与圆的基本知识,迅速找到a 、b 、c 之间的关系,以确定三角形形状.2.答案:B解析一:由y =10-32x (0≤x ≤15,x ∈N )转化为求满足不等式y ≤10-32x (0≤x ≤15,x ∈N )所有整数y 的值.然后再求其总数.令x =0,y 有11个整数,x =1,y 有10个,x =2或x =3时,y 分别有9个,x =4时,y 有8个,x =5或6时,y 分别有7个,类推:x =13时y 有2个,x =14或15时,y 分别有1个,共91个整点.故选B.解析二:将x =0,y =0和2x +3y =30所围成的三角形补成一个矩形.如图7—2所示.对角线上共有6个整点,矩形中(包括边界)共有16×11=176.因此所求△AOB 内部和边上的整点共有26176+=91(个)评述:本题较好地考查了考生的数学素质,尤其是考查了思维的敏捷性与清晰的头脑,通过不等式解等知识探索解题途径.3.答案:D解析:设到坐标轴距离相等的点为(x ,y ) ∴|x |=|y | ∴|x |-|y |=0 4.答案:C解析:圆2x 2+2y 2=1的圆心为原点(0,0)半径r 为22,圆心到直线x sin θ+y -1=0的距离为:1sin 11sin |1|22+=+=θθd∵θ∈R ,θ≠2π+k π,k ∈Z∴0≤sin 2θ<1 ∴d >22∴d >r 图7—2∴圆2x 2+2y 2=1与直线x sin θ+y -1=0(θ∈R ,θ≠2π+k π,k ∈Z )的位置关系是相离.5.答案: D解析:将圆x 2+y 2-2x =0的方程化为标准式:(x -1)2+y 2=1∴其圆心为(1,0),半径为1,若直线(1+a )x +y +1=0与该圆相切,则圆心到直线的距离d 等于圆的半径r∴11)1(|11|2=++++a a ∴a =-16.答案:A解析:先解得圆心的坐标(1,0),再依据点到直线距离的公式求得A 答案.7.答案:D解析:如图7—3所示,∠AOB =60°,又|OA |=|OB |=1 ∴|AB |=1 8.答案:B方法一:求出交点坐标,再由交点在第一象限求得倾斜角的范围⎪⎪⎩⎪⎪⎨⎧+-=++=⇒⎩⎨⎧=-+-=k k y kx y x kx y 3232632)32(306323 ∵交点在第一象限,∴⎩⎨⎧>>0y x∴⎪⎪⎩⎪⎪⎨⎧>+->++032326032)32(3kk k∴k ∈(33,+∞)∴倾斜角范围为(2,6ππ)方法二:如图7—4,直线2x +3y -6=0过点A (3,0),B (0,2),直线l 必过点(0,-3),当直线过A 点时,两直线的交点在x 轴,当直线l 绕C 点逆时针旋转时,交点进入第一象限,从而得出结果.图7—3图7—4评述:解法一利用曲线与方程的思想,利用点在象限的特征求得,而解法二利用数形结合的思想,结合平面几何中角的求法,可迅速、准确求得结果.9.答案:D解析:联立方程组,依次考查判别式,确定D. 10.答案:C解析一:由圆心在直线x +y -2=0上可以得到A 、C 满足条件,再把A 点坐标(1,-1)代入圆方程.A 不满足条件.∴选C.解析二:设圆心C 的坐标为(a ,b ),半径为r ,因为圆心C 在直线x +y -2=0上,∴b =2-a . 由|CA |=|CB |,得(a -1)2+(b +1)2=(a +1)2+(b -1)2,解得a =1,b =1因此所求圆的方程为(x -1)2+(y -1)2=4评述:本题考查圆的方程的概念,解法一在解选择题中有广泛的应用,应引起重视. 11.答案:C解析:直线x =1垂直于x 轴,其倾斜角为90°. 12.答案:A解析:由已知得点A (-1,0)、P (2,3)、B (5,0),可得直线PB 的方程是x +y -5=0. 评述:本题考查直线方程的概念及直线的几何特征. 13.答案:B解析一:设P =1+bi ,则Q =P (±i ), ∴Q =(1+bi )(±i )=±b i ,∴y =±1解析二:设P 、Q 点坐标分别为(1,t ),(x ,y ), ∵OP ⊥OQ ,∴1t·xy=-1,得x +ty =0 ①∵|OP |=|OQ |,∴2221y x t +=+,得x 2+y 2=t 2+1②由①得t =-yx ,将其代入②,得x 2+y 2=22y x +1,(x 2+y 2)(1-21y )=0.∵x 2+y 2≠0,∴1-21y=0,得y =±1. ∴动点Q 的轨迹为y =±1,为两条平行线.评述:本题考查动点轨迹的基本求法. 14.答案:B解析:∵点(x ,y )关于x =y 对称的点为(y ,x ),可知x 2y +xy 2=1的曲线关于x =y 对称.15.答案:B 解析:直线(23-)x +y =3的斜率k 1=32-,直线x +(32-)y =2的斜率k 2=23+,∴k 1·k 2=)23)(32(+-=-1.16.答案:C解析一:圆x 2+y 2+4x +3=0化为标准式(x +2)2+y 2=1,圆心C (-2,0).设过原点的直线方程为y =kx ,即kx -y =0.由1|2|2+-k k =1,解得k =±33,∵切点在第三象限, ∴k >0,所求直线方程为y =33x . 解析二:设T 为切点,因为圆心C (-2,0),因此CT =1,OC =2,△OCT 为Rt △.如图7—5,∴∠CO T=30°,∴直线OT 的方程为y =33x . 评述:本题考查直线与圆的位置关系,解法二利用数与形的完美结合,可迅速、准确得到结果.17.答案:C解析:直线l 1的倾斜角为4π,依题意l 2的倾斜角的取值范围为(4π-12π,4π)∪(4π,4π+12π)即:(6π,4π)∪(4π,3π),从而l 2的斜率k 2的取值范围为:(33,1)∪(1,3). 评述:本题考查直线的斜率和倾斜角,两直线的夹角的概念,以及分析问题、解决问题的能力.18.答案:B 解析:由方程(x +2)2+(y -2)2=4如图7—6所示,故圆关于y =-x 对称图7—5图7—6故选B.评述:本题考查了圆方程,以及数形结合思想.应注意任何一条直径都是圆的对称轴. 19.答案:C 解析:直线y =33x 绕原点逆时针旋转30°所得的直线方程为:y =3x .已知圆的圆心(2,0)到y =3x 的距离d =3,又因圆的半径r =3,故直线y =3x 与已知圆相切.评述:本题考查直线的斜率和倾斜角以及直线与圆的位置关系. 20.答案:C解析:如图7—7所示, 由⎪⎩⎪⎨⎧=+=-+432322y x y x消y 得:x 2-3x +2=0 ∴x 1=2,x 2=1 ∴A (2,0),B (1,3)∴|AB |=22)30()12(-+-=2又|OB |=|OA |=2∴△AOB 是等边三角形,∴∠AOB =3π,故选C.评述:本题考查直线与圆相交的基本知识,及正三角形的性质以及逻辑思维能力和数形结合思想,同时也体现了数形结合思想的简捷性.如果注意到直线AB 的倾斜角为120°.则等腰△OAB 的底角为60°.因此∠AOB =60°.更加体现出平面几何的意义.21.答案:A解法一:当两直线的斜率都存在时,-11B A ·(22B A-)=-1,A 1A 2+B 1B 2=0. 当一直线的斜率不存在,一直线的斜率为0时,⎩⎨⎧==⎩⎨⎧==00001221B A B A 或,同样适合A 1A 2+B 1B 2=0,故选A. 解法二:取特例验证排除.图7—7如直线x +y =0与x -y =0垂直,A 1A 2=1,B 1B 2=-1,可排除B 、D. 直线x =1与y =1垂直,A 1A 2=0,B 1B 2=0,可排除C ,故选A.评述:本题重点考查两直线垂直的判定、直线方程的一般式等基本知识点,重点考查分类讨论的思想及逻辑思维能力.22.答案:C解析:由题意知a ≠0,s i n B ≠0,两直线的斜率分别是k 1=-a A sin ,k 2=Bbsin .由正弦定理知k 1·k 2=-a A sin ·Bbsin =-1,故两直线垂直. 评述:本题考查两直线垂直的条件及正弦定理. 23.答案:C解析:方程(x -1)2+y 2=4表示以点(1,0)为圆心,2为半径的圆,x =a 表示与x 轴垂直且与圆相切的直线,而此时的切线方程分别为x =-1和x =3,由于a >0,取a =3.故选C.评述:本题考查圆的方程、圆的切线方程及图象.利用数形结合较快完成此题. 24.答案:B解析一:若两直线平行,则22123-≠-=a , 解得a =-6,故选B.解析二:利用代入法检验,也可判断B 正确.评述:本题重点考查两条直线平行的条件,考查计算能力. 25.答案:A解析:圆的标准方程为:(x -1)2+(y -2)2=5.圆过坐标原点.直线l 将圆平分,也就是直线l 过圆心C (1,2),从图7—8看到:当直线过圆心与x 轴平行时,或者直线同时过圆心与坐标原点时都不通过第四象限,并且当直线l 在这两条直线之间变化时都不通过第四象限.当直线l 过圆心与x 轴平行时,k =0, 当直线l 过圆心与原点时,k =2. ∴当k ∈[0,2]时,满足题意.图7—8评述:本题考查圆的方程,直线的斜率以及逻辑推理能力,数形结合的思想方法. 26.答案:B解析:A 中过点P 0(x 0,y 0)与x 轴垂直的直线x =x 0不能用y -y 0=k (x -x 0)表示,因为其斜率k 不存在;C 中不过原点但在x 轴或y 轴无截距的直线y =b (b ≠0)或x =a (a ≠0)不能用方程bya x +=1表示;D 中过A (0,b )的直线x =0不能用方程y =kx +b 表示. 评述:本题考查直线方程的知识,应熟练掌握直线方程的各种形式的适用范围. 27.答案:C解析:将两圆方程分别配方得(x -1)2+y 2=1和x 2+(y -2)2=4,两圆圆心分别为O 1(1,0),O 2(0,2),r 1=1,r 2=2,|O 1O 2|=52122=+,又1=r 2-r 1<5<r 1+r 2=3,故两圆相交,所以应选C.评述:本题考查了圆的一般方程、标准方程及圆的关系以及配方法. 28.答案:D解析:直线l 1的倾斜角α1是钝角,故k 1<0,直线l 2与l 3的倾斜角α2、α3均为锐角,且α2>α3,所以k 2>k 3>0,因此k 2>k 3>k 1,故应选D.评述:本题重点考查直线的倾斜角、斜率的关系,考查数形结合的能力. 29.答案:B解析:直线方程可化为2x -y =0,d =55|5|=-. 评述:本题重点考查直线方程的一般式及点到直线的距离公式等基本知识点,考查运算能力.30.答案:60° 解析:因为直线y =3x +3的倾斜角为60°,而y =1与x 轴平行,所以y =1与y =3x +3的夹角为60°.评述:考查直线方程的基本知识及几何知识,考查数形结合的数学思想. 31.答案:a =4±5解析:因过A (-1,0)、B (0,2)的直线方程为:2x -y +2=0.圆的圆心坐标为C (1,a ),半径r =1.又圆和直线相切,因此,有:d =5|22|+-a =1,解得a =4±5.评述:本题考查直线方程、直线和圆的位置关系及点到直线的距离公式等知识. 32.答案:2解析:圆心到直线的距离d =5|843|++=3 ∴动点Q 到直线距离的最小值为d -r =3-1=2 33.答案:22解法一:∵点P 在直线3x +4y +8=0上.如图7—9. ∴设P (x ,432-- x ),C 点坐标为(1,1), S 四边形PACB =2S △PAC=2·21·|AP |·|AC |=|AP |·|AC |=|AP | ∵|AP |2=|PC |2-|AC |2=|PC |2-1∴当|PC |最小时,|AP |最小,四边形PACB 的面积最小. ∴|PC |2=(1-x )2+(1+2+43x )2=9)145(1025162522++=++x x x ∴|PC |min =3 ∴四边形PACB 面积的最小值为22.解法二:由法一知需求|PC |最小值,即求C 到直线3x +4y +8=0的距离,∵C (1,1),∴|PC |=5|843|++=3,S PACD =22. 34.答案:34 解法一:圆的圆心为(0,1)设切线的方程为y =k (x +2).如图7—10. ∴kx +2k -y =0 ∴圆心到直线的距离为1|12|2+-k k =1∴解得k =34或k =0, 图7—9图7—10∴两切线交角的正切值为34. 解法二:设两切线的交角为α∵tan212=α,∴tan α=3441112tan 12tan22=-=-αα. 35.答案:34 解析:圆的圆心为(-1,0),如图7—11. 当斜率存在时,设切线方程为y =kx +2 ∴kx -y +2=0∴圆心到切线的距离为1|2|2++-k k =1 ∴k =43,即tan α=43当斜率不存在时,直线x =0是圆的切线 又∵两切线的夹角为∠α的余角 ∴两切线夹角的正切值为34 36.答案:F 1(a ,b )≠0,或F 2(a ,b )≠0,或F 1(a ,b )≠0且F 2(a ,b )≠0或C 1∩C 2=∅或P ∉C 1等解析:点P (a ,b )∉C 1∩C 2,则 可能点P 不在曲线C 1上; 可能点P 不在曲线C 2上;可能点P 既不在曲线C 1上也不在曲线C 2上; 可能曲线C 1与曲线C 2不存在交点.37.答案:可得两圆对称轴的方程2(c -a )x +2(d -b )y +a 2+b 2-c 2-d 2=0解析:设圆方程(x -a )2+(y -b )2=r 2①(x -c )2+(y -d )2=r 2②图7—11(a ≠c 或b ≠d ),则由①-②,得两圆的对称轴方程为: (x -a )2-(x -c )2+(y -b )2-(y -d )2=0,即2(c -a )x +2(d -b )y +a 2+b 2-c 2-d 2=0.评述:本题考查圆的方程、圆的公共弦方程的概念,考查抽象思维能力和推广数学命题的能力.38.答案:(x -1)2+(y -1)2=1解析一:设所求圆心为(a ,b ),半径为r . 由已知,得a =b ,r =|b |=|a |.∴所求方程为(x -a )2+(y -a )2=a 2又知点(1,0)在所求圆上,∴有(1-a )2+a 2=a 2,∴a =b =r =1.故所求圆的方程为:(x -1)2+(y -1)2=1.解析二:因为直线y =x 与x 轴夹角为45°.又圆与x 轴切于(1,0),因此圆心横坐标为1,纵坐标为1,r =1.评述:本题考查圆的方程等基础知识,要注意利用几何图形的性质,迅速得到结果. 39.答案:3或7解析:当两圆外切时,r =3,两圆内切时r =7,所以r 的值是3或7.评述:本题考查集合的知识和两圆的位置关系,要特别注意集合代表元素的意义. 40.答案:x +y -4=0解析一:已知圆的方程为(x -2)2+y 2=9,可知圆心C 的坐标是(2,0),又知AB 弦的中点是P (3,1),所以k CP =2301--=1,而AB 垂直CP ,所以k AB =-1.故直线AB 的方程是x +y -4=0.解析二:设所求直线方程为y -1=k (x -3).代入圆的方程,得关于x 的二次方程:(1+k 2)x 2-(6k 2-2k +4)x +9k 2-6k -4=0,由韦达定理:x 1+x 2=221426kk k ++-=6,解得k =1.A 、B 两点,其坐标分别为A (x 1,y 1)、B (x 2,y 2),则有⎪⎩⎪⎨⎧=+-=+-9)2(9)2(22222121y x y x②-①得(x 2+x 1-4)(x 2-x 1)+(y 2-y 1)(y 2+y 1)=0 又AB 的中点坐标为(3,1),∴x 1+x 2=6,y 1+y 2=2. ∴1212x x y y --=-1,即AB 的斜率为-1,故所求方程为x +y -4=0.评述:本题考查直线的方程与圆的有关知识.要特别注意圆所特有的几何性质. 41.答案:(x +2)2+(y -3)2=4解析:因为圆心为(-2,3),且圆与y 轴相切,所以圆的半径为2.故所求圆的方程为(x +2)2+(y -3)2=4.42.解:设动点P 的坐标为P (x ,y )由||||PB PA =a (a >0),得2222)()(yc x y c x +-++=a ,化简,得:(1-a 2)x 2+2c (1+a 2)x +c 2(1-a 2)+(1-a 2)y 2=0.当a ≠1时,得x 2+221)1(2aa c -+x +c 2+y 2=0.整理, 得:(x -1122-+a a c )2+y 2=(122-a ac )2当a =1时,化简得x =0.所以当a ≠1时,P 点的轨迹是以(1122-+a a c ,0)为圆心,|122-a ac |为半径的圆;当a =1时,P 点的轨迹为y 轴.评述:本题考查直线、圆、曲线和方程等基本知识,考查运用解析几何的方法解决问题的能力.43.(Ⅰ)解法一,依题意,曲线M 是以点P 为焦点,直线l 为准线的抛物线,所以曲线M 的方程为y 2=4x .解法二:设M (x ,y ),依题意有|MP |=|MN |, 所以|x +1|=22)1(y x +-.化简得:y 2=4x .(Ⅱ)(i )由题意得,直线AB 的方程为y =-3(x -1).由⎪⎩⎪⎨⎧=--=.4),1(32x y x y 消y 得3x 2-10x +3=0,图7—12解得x 1=31,x 2=3. 所以A 点坐标为(332,31),B 点坐标为(3,-23), |AB |=x 1+x 2+2=316. 假设存在点C (-1,y ),使△ABC 为正三角形,则|BC |=|AB |且|AC |=|AB |,即⎪⎪⎩⎪⎪⎨⎧=-++=+++.)316()32()131()316()32()13(222222y y 由①-②得42+(y +23)2=(34)2+(y -332)2, 解得y =-9314. 但y =-9314不符合①, 所以由①,②组成的方程组无解.因此,直线l 上不存在点C ,使得△ABC 是正三角形. (ii )解法一:设C (-1,y )使△ABC 成钝角三角形,由⎩⎨⎧-=--=.1),1(3x x y 得y =23,即当点C 的坐标为(-1,23)时,A 、B 、C 三点共线,故y ≠23.又|AC |2=(-1-31)2+(y -332)2=334928y -+y 2, |BC |2=(3+1)2+(y +23)2=28+43y +y 2,|AB |2=(316)2=9256.当∠CAB 为钝角时,co sA =||||2||||||222AC AB BC AC AB ⋅-+<0.即|BC |2>|AC |2+|AB |2,即9256334928342822++->++y y y y ,即 y >392时,∠CAB 为钝角. 当|AC |2>|BC |2+|AB |2,即9256342833492822+++>+-y y y y ,即y <-3310时,∠CBA 为钝角. 又|AB |2>|AC |2+|BC |2,即2234283349289256y y y y++++->, 即0)32(,03433422<+<++y y y. 该不等式无解,所以∠ACB 不可能为钝角.因此,当△ABC 为钝角三角形时,点C 的纵坐标y 的取值范围是)32(9323310≠>-<y y y 或. 解法二:以AB 为直径的圆的方程为(x -35)2+(y +332)2=(38)2. 圆心(332,35-)到直线l :x =-1的距离为38,所以,以AB 为直径的圆与直线l 相切于点G (-1,-332). 当直线l 上的C 点与G 重合时,∠ACB 为直角,当C 与G 点不重合,且A 、B 、C 三点不共线时,∠ACB 为锐角,即△ABC 中,∠ACB 不可能是钝角.因此,要使△ABC 为钝角三角形,只可能是∠CAB 或∠CBA 为钝角. 过点A 且与AB 垂直的直线方程为)31(33332-=-x y . 令x =-1得y =932.过点B 且与AB 垂直的直线方程为y +2333=(x -3). 令x =-1得y =-3310. 又由⎩⎨⎧-=--=.1),1(3x x y 解得y =23,所以,当点C 的坐标为(-1,23)时,A 、B 、C 三点共线,不构成三角形.因此,当△ABC 为钝角三角形时,点C 的纵坐标y 的取值范围是y <-3310或y >932(y ≠23).评述:该题全面综合了解析几何、平面几何、代数的相关知识,充分体现了“注重学科知识的内在联系”.题目的设计新颖脱俗,能较好地考查考生综合运用数学知识解决问题的能力.比较深刻地考查了解析法的原理和应用,以及分类讨论的思想、方程的思想.该题对思维的目的性、逻辑性、周密性、灵活性都进行了不同程度的考查.对运算、化简能力要求也较高,有较好的区分度.44.解:设点P 的坐标为(x ,y ),由题设有2||||=PN PM ,即2222)1(2)1(y x y x +-⋅=++.整理得 x 2+y 2-6x +1=0. ①因为点N 到PM 的距离为1,|M N|=2, 所以∠PMN =30°,直线PM 的斜率为±33, 直线PM 的方程为y =±33(x +1).② 将②式代入①式整理得x 2-4x +1=0. 解得x =2+3,x =2-3.代入②式得点P 的坐标为(2+3,1+3)或(2-3,-1+3);(2+3,-1-3)或(2-3,1-3).直线PN 的方程为y =x -1或y =-x +1. 45.解:设圆的方程为(x -a )2+(y -b )2=r 2.令x =0,得y 2-2by +b 2+a 2-r 2=0.|y 1-y 2|=222122124)(a r y y y y -=-+=2,得r 2=a 2+1 ①令y =0,得x 2-2ax +a 2+b 2-r 2=0, |x 1-x 2|=r b r x x x x 224)(2221221=-=-+,得r 2=2b 2②由①、②,得2b 2-a 2=1又因为P (a ,b )到直线x -2y =0的距离为55, 得d =555|2|=-b a ,即a -2b =±1. 综上可得⎩⎨⎧=-=-;12,1222b a a b 或⎩⎨⎧-=-=-121222b a a b 解得⎩⎨⎧-=-=11b a 或⎩⎨⎧==11b a于是r 2=2b 2=2.所求圆的方程为(x +1)2+(y +1)2=2或(x -1)2+(y -1)2=2.46.解:设所求圆的圆心为P (a ,b ),半径为r ,则P 到x 轴、y 轴的距离分别为|b |、|a |. 由题设圆P 截x 轴所得劣弧所对圆心角为90°,圆P 截x 轴所得弦长为2r ,故r 2=2b 2,又圆P 截y 轴所得弦长为2,所以有r 2=a 2+1,从而有2b 2-a 2=1又点P (a ,b )到直线x -2y =0距离为d =5|2|b a -, 所以5d 2=|a -2b |2=a 2+4b 2-4ab ≥a 2+4b 2-2(a 2+b 2)=2b 2-a 2=1 当且仅当a =b 时上式等号成立,此时5d 2=1,从而d 取得最小值,由此有⎩⎨⎧=-=1222a b b a 解方程得⎩⎨⎧==11b a 或⎩⎨⎧-=-=11b a 由于r 2=2b 2,知r =2,于是所求圆的方程为(x -1)2+(y -1)2=2或(x +1)2+(y +1)2=2评述:本题考查了圆的方程,函数与方程,求最小值问题,进一步考查了待定系数法、函数与方程思想.题中求圆的方程给出的三个条件比较新颖脱俗,灵活运用几何知识和代数知识将条件恰当转化,推演,即合乎逻辑、说理充分、陈述严谨.47.(1)证明:设A 、B 的横坐标分别为x 1,x 2,由题设知x 1>1,x 2>1,点A (x 1,lo g 8x 1),B (x 2,lo g 8x 2).因为A 、B 在过点O 的直线上,所以228118log log x x x x =, 又点C 、D 的坐标分别为(x 1,lo g 2x 1),(x 2,lo g 2x 2) 由于lo g 2x 1=2log log 818x =3lo g 8x 1,lo g 2x 2=2log log 828x =3lo g 8x 2,所以OC 的斜率和OD 的斜率分别为228222118112log 3log ,log 3log x x x x k x x x x k OD OC ====. 由此得k OC =k OD ,即O 、C 、D 在同一条直线上.(2)解:由BC 平行于x 轴,有lo g 2x 1=lo g 8x 2,解得 x 2=x 13将其代入228118log log x x x x =,得x 13lo g 8x 1=3x 1lo g 8x 1. 由于x 1>1,知lo g 8x 1≠0,故x 13=3x 1,x 1=3,于是点A 的坐标为(3,lo g 83).评述:本小题主要考查对数函数图象、对数换底公式、对数方程、指数方程等基础知识,考查运算能力和分析问题的能力.48.解:(1)当1-2t >0即0<t <21时,如图7—13,点Q 在第一象限时,此时S (t )为四边形OPQK 的面积,直线QR 的方程为y -2=t (x +2t ).令x =0,得y =2t 2+2,点K 的坐标为(P ,2t 2+2).t t t S S S OKR OPQR OPQK 2)22(21)1(2222⋅+-+=-=)1(232t t t -+-=当-2t +1≤0,即t ≥21时,如图7—14,点Q 在y 轴上或第二象图7—13限,S (t )为△OP L的面积,直线PQ 的方程为y -t =-t 1(x -1),令x =0得y =t +t1,点L的坐标为(0,t +t 1),S △OPL =1)1(21⋅+tt )1(21tt +=所以S (t )=⎪⎪⎩⎪⎪⎨⎧≥+<<-+-21 )1(21210 )1(232t t t t t t t(2)当0<t <21时,对于任何0<t 1<t 2<21,有S (t 1)-S (t 2)=2(t 2-t 1)[1-(t 1+t 2)+(t 12+t 1t 2+t 22)]>0,即S (t 1)>S (t 2),所以S (t )在区间(0,21)内是减函数. 当t ≥21时,对于任何21≤t 1≤t 2,有S (t 1)-S (t 2)=21(t 1-t 2)(1-211t t ), 所以若21≤t 1≤t 2≤1时,S (t 1)>S (t 2);若1≤t 1≤t 2时,S (t 1)<S (t 2),所以S (t )在区间[21,1]上是减函数,在区间[1,+∞)内是增函数,由2[121+(21)2-(21)3]=45=S (21)以及上面的证明过程可得,对于任何0<t 1<21≤t 2<1,S (t 2)<45≤S (t 1),于是S (t )的单调区间分别为(0,1]及[1,+∞),且S (t )在(0,1]内是减函数,在[1,+∞)内是增函数.49.解:如图7—15,设直线MN 切圆于N ,则动点M 组成的集合是:P ={M ||MN |=λ|MQ |},(λ>0为常数)因为圆的半径|ON |=1,所以|MN |2=|MO |2-|ON |2=|MO |2-1.设点M 的坐标为(x ,y ),则2222)2(1y x y x +-=-+λ图7—15整理得(λ2-1)(x 2+y 2)-4λ2x +(1+4λ2)=0当λ=1时,方程化为x =45,它表示一条直线,该直线与x 轴垂直,交x 轴于点(45,0);当λ≠1时,方程化为(x -1222-λλ)2+y 2=)1(3122-+λλ它表示圆心在(1222-λλ,0),半径为|1|3122-+λλ的圆.评述:本题考查曲线与方程的关系、轨迹的概念等解析几何的基本思想以及综合运用知识的能力. 制作:SD。