全国2018年第十一届“希望杯”数学竞赛初二组半决赛(含答案)
- 格式:doc
- 大小:148.17 KB
- 文档页数:8
2018年八年级(下)数学竞赛试题时间:100分钟 满分:150分 命题人:陈建卫 一、选择题(每小题4分,共40分) 1、北京等5个城市的国际标准时间可在数轴上表示(如右图): 如果将两地国际标准时间的差简称为时差,那么----------------------------------------------( B ) A .汉城与纽约的时差为13小时 B .汉城与多伦多的时差为13小时 C .北京与纽约的时差为14小时 D .北京与多伦多的时差为14小时2、如图1,天平右盘中的每个砝码的质量都是1g ,则物体A 的质量m (g)的取值范围,在数轴上 可表示为3、学校篮球场的长是28米,宽是---------------------------------------------------------------------( B )A .5米B .15米 C.28米 D .34米4、小明家装修房屋,用同样的正多边形瓷砖铺地,顶点连着顶点,为铺满地面而不重叠,瓷砖的形状可能有------------------------------------------------------------------------------------------( A ) A .正三角形、正方形、正六边形 B .正三角形、正方形、正五边形C .正方形、正五边形D .正三角形、正方形、正五边形、正六边形5、将一正方形纸片按图2中⑴、⑵的方式依次对折后,再沿⑶中的虚线裁剪,最后将⑷中的纸片打开铺平,所得图案应该是下面图案中的---------------------------------------( B )A.B .C .D .6、小丽制作了一个对面图案均相同的正方体礼品盒(如图3所示),则这个正方体礼品盒的平面 展开图可能是------------------------------------------------------------------------------------------( A )A .B .C .D .7、法国的“小九九”从“一一得一” 到 “五五二十五”和我国的“小九九”是 一样的,后面的就改用手势了。
希望杯第一届(1990)第二试试题 (1)希望杯第二届(1991年)初中二年级第二试试题 (5)希望杯第三届(1992年)初中二年级第二试题 (10)希望杯第四届(1993年)初中二年级第一试试题 (18)希望杯第四届(1993年)初中二年级第二试试题 (24)希望杯第五届(1994年)初中二年级第一试试题 (26)希望杯第五届(1994年)初中二年级第二试试题 (32)第六届(1995年)初中二年级第一试试题 (45)希望杯第六届(1995年)初中二年级第二试试题 (50)希望杯第七届(1996年)初中二年级第一试试题 (56)希望杯第七届(1996年)初中二年级第二试试题 (62)希望杯第八届(1997年)初中二年级第一试试题 (72)希望杯第八届(1997年)初中二年级第二试试题 (79)第九届(1998年)初中二年级第一试试题 (88)希望杯第九届(1998年)初中二年级第二试试题 (98)1999年第十届“希望杯”全国数学邀请赛第二试 (108)2000年第十一届“希望杯”数学竞赛初二第一试 (111)2000年第十一届“希望杯”数学竞赛初二第二试 (114)2001年希望杯第十二届初中二年级第一试试题 (119)2001年希望杯第12届八年级第2试试题 (122)2002年第十三届全国数学邀请赛初二年级第一试 (129)2002年度初二“希望杯”全国数学邀请赛第二试 (132)2003年第十四届“希望杯”全国数学邀请赛初二第1试 (139)2003年第十四届“希望杯”(初二笫2试) (142)2004年第十五届“希望杯”全国数学邀请赛初二 (148)2004年第十五届“希望杯”全国数学邀请赛初二第2试 (151)2005年第十六届希望杯初二第1试试题 (157)2005年第十六届“希望杯”全国数学邀请赛第二试 (159)2006年第十七届“希望杯”全国数学邀请赛第一试 (163)2006年第十七届“希望杯’’数学邀请赛第二试 (166)2007年第十八届”希望杯“全国数学邀请赛第一试 (171)2007年第十八届“希望杯”全国数学邀请赛第二试 (173)2008年第19届“希望杯”全国数学邀请赛初二第2试试题 (179)2009年第二十届“希望杯”全国数学邀请赛第一试 (183)2009年第20届“希望杯”全国数学邀请赛第二试 (186)2010年第二十一届“希望杯”全国数学邀请赛第一试 (193)2010年第二十一届“希望杯”全国数学邀请赛第二试 (195)2011年第二十二届“希望杯”全国数学邀请赛第二试 (201)希望杯第一届(1990)第二试试题一、选择题:(每题1分,共5分)1.等腰三角形周长是24cm,一腰中线将周长分成5∶3的两部分,那么这个三角形的底边长是[ ]A.7.5 B.12. C.4. D.12或42.已知P=2)1989(11991199019891988-++⨯⨯⨯,那么P 的值是[ ]A .1987B .1988.C .1989D .19903.a >b >c ,x >y >z ,M=ax+by+cz ,N=az+by+cx ,P=ay+bz+cx ,Q=az+bx+cy ,则[ ]A .M >P >N 且M >Q >N.B .N >P >M 且N >Q >MC .P >M >Q 且P >N >Q.D .Q >M >P 且Q >N >P4.凸四边形ABCD 中,∠DAB=∠BCD=900, ∠CDA ∶∠ABC=2∶1,AD ∶CB=1,则∠BDA=[ ]A .30°B .45°.C .60°.D .不能确定5.把一个边长为1的正方形分割成面积相等的四部分,使得在其中的一部分内存在三个点,以这三个点为顶点可以组成一个边长大于1的正三角形,满足上述性质的分割[ ]A .是不存在的.B .恰有一种.C .有有限多种,但不只是一种.D .有无穷多种二、填空题:(每题1分,共5分)1. △ABC 中,∠∠B=90°,∠C 的平分线与AB 交于L ,∠C 的外角平分线与BA 的延长线交于N .已知CL=3,则CN=______.2. 2(2)0ab -=,那么111(1)(1)(1990)(1990)ab a b a b ++++++的值是_____. 3. 已知a ,b ,c 满足a+b+c=0,abc=8,则c 的取值范围是______.4. ΔABC 中, ∠B=300,三个两两互相外切的圆全在△ABC 中,这三个圆面积之和的最大值的整数部分是______. 5. 设a,b,c 是非零整数,那么a b c ab ac bc abc a b c ab ac bc abc++++++的值等于_________.三、解答题:(每题5分,共15分)1.从自然数1,2,3…,354中任取178个数,试证:其中必有两个数,它们的差是177.2.平面上有两个边长相等的正方形ABCD 和A 'B 'C 'D ',且正方形A 'B 'C 'D '的顶点A '在正方形ABCD 的中心.当正方形A 'B 'C 'D '绕A '转动时,两个正方形的重合部分的面积必然是一个定值.这个结论对吗?证明你的判断.3.用1,9,9,0四个数码组成的所有可能的四位数中,每一个这样的四位数与自然数n 之和被7除余数都不为1,将所有满足上述条件的自然数n 由小到大排成一列n 1<n 2<n 3<n 4……,试求:n 1·n 2之值.答案与提示一、选择题提示:1.若底边长为12.则其他二边之和也是12,矛盾.故不可能是(B)或(D).又:底为4时,腰长是10.符合题意.故选(C).=19882+3×1988+1-19892=(1988+1)2+1988-19892=19883.只需选a=1,b=0,c=-1,x=1,y=0,z=-1代入,由于这时M=2,N=-2,P=-1,Q=-1.从而选(A).4.由图6可知:当∠BDA=60°时,∠CDB5.如图7按同心圆分成面积相等的四部分.在最外面一部分中显然可以找到三个点,组成边长大于1的正三角形.如果三个圆换成任意的封闭曲线,只要符合分成的四部分面积相等,那么最外面部分中,仍然可以找到三个点,使得组成边长大于1的正三角形.故选(D).二、填空题提示:1.如图8:∠NLC=∠B+∠1=∠CAB-90°+∠1=∠CAB-∠3 =∠N.∴NC=LC=3.5.当a,b,c均为正时,值为7.当a,b,c不均为正时,值为-1.三、解答题1.证法一把1到354的自然数分成177个组:(1,178),(2,179),(3,180),…,(177,354).这样的组中,任一组内的两个数之差为177.从1~354中任取178个数,即是从这177个组中取出178个数,因而至少有两个数出自同一个组.也即至少有两个数之差是177.从而证明了任取的178个数中,必有两个数,它们的差是177.证法二从1到354的自然数中,任取178个数.由于任何数被177除,余数只能是0,1,2,…,176这177种之一.因而178个数中,至少有两个数a,b的余数相同,也即至少有两个数a,b之差是177的倍数,即×177.又因1~354中,任两数之差小于2×177=354.所以两个不相等的数a,b之差必为177.即.∴从自然数1,2,3,…,354中任取178个数,其中必有两个数,它们的差是177.2.如图9,重合部分面积S A'EBF是一个定值.证明:连A'B,A'C,由A'为正方形ABCD的中心,知∠A'BE=∠A'CF=45°.又,当A'B'与A'B重合时,必有A'D'与A'C重合,故知∠EA'B=∠FA'C.在△A'FC和△A'EB中,∴S A'EBF=S△A'BC.∴两个正方形的重合部分面积必然是一个定值.3.可能的四位数有9种:1990,1909,1099,9091,9109,9910,9901,9019,9190.其中 1990=7×284+2,1909=7×272+5.1099=7×157,9091=7×1298+5,9109=7×1301+2,9910=7×1415+5,9901=7×1414+3,9019=7×1288+3,9190=7×1312+6.即它们被7除的余数分别为2,5,0,5,2,5,3,3,6.即余数只有0,2,3,5,6五种.它们加1,2,3都可能有余1的情形出现.如0+1≡1,6+2≡1,5+3≡(mod7).而加4之后成为:4,6,7,9,10,没有一个被7除余1,所以4是最小的n.又:加5,6有:5+3≡1,6+2≡1.(mod7)而加7之后成为7,9,10,12,13.没有一个被7除余1.所以7是次小的n.即 n1=4,n2=7∴ n1×n2=4×7=28.希望杯第二届(1991年)初中二年级第二试试题一、选择题:(每题1分,共10分)1.如图29,已知B是线段AC上的一点,M是线段AB的中点,N为线段AC的中点,P为NA的中点,Q为MA的中点,则MN∶PQ等于( )A.1 ; B.2; C.3; D.42.两个正数m,n的比是t(t>1).若m+n=s,则m,n中较小的数可以表示为( )A.ts; Bs-ts; C.1tss+; D.1st+.3.y>0时( )4.(x+a)(x+b)+(x+b)(x+c)+(x+c)(x+a)是完全平方式,则a,b,c的关系可以写成( ) A.a<b<c. B.(a-b)2+(b-c)2=0. C.c<a<b. D.a=b≠c5.如图30,AC=CD=DA=BC=DE.则∠BAE是∠BAC的 ( )A.4倍. B.3倍. C.2倍. D.1倍6.D是等腰锐角三角形ABC的底边BC上一点,则AD,BD,CD满足关系式( )A.AD 2=BD 2+CD 2. B .AD 2>BD 2+CD 2. C .2AD 2=BD 2+CD 2. D .2AD 2>BD 2+CD 27.方程2191()1010x x -=+的实根个数为( ) A .4 B .3. C .2 D .18.能使分式33x y y x-的值为的x 2、y 2的值是( )A.x 2y 22,y 2C. x 2y 22,y 29.在整数0,1,2,3,4,5,6,7,8,9中,设质数的个数为x ,偶数的个数为y ,完全平方数的个数为z ,合数的个数为u .则x+y+z+u 的值为 ( )A .17B .15.C .13D .1110.两个质数a ,b ,恰好是x 的整系数方程x 2-21x+t=0的两个根,则b a a b +等于( ) A.2213; B.5821; C.240249; D.36538. 二、填空题(每题1分,共10分)1.1989×19911991-1991×19891988=______.2.分解因式:a 2+2b 2+3c 2+3ab+4ac+5bc=______.3.(a 2+ba+bc+ac):[(b 2+bc+ca+ab):(c 2+ca+ab+bc)]的平方根是______.4.边数为a ,b ,c 的三个正多边形,若在每个正多边形中取一个内角,其和为1800,那么111a b c++=_________. 5.方程组51x ay y x +=⎧⎨-=⎩有正整数解,则正整数a=_______. 6.从一升酒精中倒出13升,再加上等量的水,液体中还有酒精__________升;搅匀后,再倒 出13升混合液,并加入等量的水, 搅匀后,再倒出13升混合液, 并加入等量的水,这时,所得混合液中还有______升酒精.7.如图31,在四边形ABCD 中.AB=6厘米,BC=8厘米,CD=24厘米,DA=26厘米.且∠ABC=90°,则四边形ABCD 的面积是______.8.如图32,∠1+∠2+∠3∠4+∠5+∠6=______.9.2x x +++______.10.已知两数积ab ≠1.且2a2+1234567890a+3=0,3b2+1234567890b+2=0,则ab=______.三、解答题:(每题5分,共10分,要求:写出完整的推理、计算过程,语言力求简明,字迹与绘图力求清晰、工整)1.已知两个正数的立方和是最小的质数.求证:这两个数之和不大于2.2.一块四边形的地(如图33)(EO∥FK,OH∥KG)内有一段曲折的水渠,现在要把这段水渠EOHGKF改成直的.(即两边都是直线)但进水口EF的宽度不能改变,新渠占地面积与原水渠面积相等,且要尽可能利用原水渠,以节省工时.那么新渠的两条边应当怎么作?写出作法,并加以证明.答案与提示一、选择题提示:3.由y>0,可知x<0.故选(C).4.容易看到a=b=c时,原式成为3(x+a)2,是完全平方式.故选(B).5.△ACD是等边三角形,△BCA和△ADE均为等腰三角形.故知∠BAC=30°,而∠BAE=120°,所以选(A).6.以等边三角形为例,当D为BC边上的中点时,有AD2>BD2+CD2,当D为BC边的端点时,有AD2=BD2+CD2,故有2AD2>BD2+CD2.故选(D).故选(C).∴选(C).9.∵x=4,y=5,z=4,u=4.∴选(A).10.由a+b=21,a,b质数可知a,b必为2与19两数.二、填空题提示:1.1989×19911991-1991×19891988=1989 (1991×104+1991)-1991(1989×104+1988)=1989×1991-1991×1988=1991.2.原式=a2+b2+c2+2ab+2bc+2ca+b2+2c2+ab+2ac+3bc=(a+b+c)2+(b+c)(b+2c)+a(b+2c)=(a+b+c)2+(b+2c)(a+b+c)=(a+b+c)(a+2b+3c).3.原式=(a+c)(a+b)∶[(b+a)(b+c)∶(c+a)(c+b)]∴平方根为±(a+c).4.正多边形中,最小内角为60°,只有a,b,c均为3时,所取的内角和才可能为180°.5.两式相加有(1+a)y=6,因为a,y均为正整数,故a的可能值为5,这时y=1,这与y-x=1矛盾,舍去;可能值还有a=2,a=1,这时y=2,y=3与y-x=1无矛盾.∴a=1或2.7.在直角三角形ABC中,由勾股定理可知AC=10cm,在△ADC中,三边长分别是10,24,26,由勾股定理的逆定理可△ADC为直角三角形.从而有面积为8.∠1+∠2+∠3+∠4+∠5+∠6,正好是以∠2,∠3,∠5为3个内角的四边形的4个内角之和.∴和为360°.10.由已知条件可知a是方程2x2+1234567890x+3=0的一个根,b是方程3y2+1234567890y+2=0的一个根,后者还可以看成:三、解答题1.设这两个正数为a,b.则原题成为已知a3+b3=2,求证a+b≤2.证明(反证法):若a+b>2由于a3+b3=2,必有一数小于或等于1,设为b≤1,→a>,这个不等式两边均为正数,→a3>(2-b)3.→a3>8-12b+6b2-b3.→a3+b3>8-12b+6b2.→6b2-12b+6<0.→b2-2b+1<0.→(b-1)2<0.矛盾.∴a+b≤2.即本题的结论是正确的.2.本题以图33为准.由图34知OK∥AB,延长EO和FK,即得所求新渠.这时,HG=GM(都等于OK),且OK∥AB,故△OHG的面积和△KGM的面积相同.即新渠占地面积与原渠面积相等.而且只挖了△KGM这么大的一块地.我们再看另一种方法,如图35.作法:①连结EH,FG.②过O作EH平行线交AB于N,过K作FG平行线交于AB于M.③连结EN和FM,则EN,FM就是新渠的两条边界线.又:EH∥ON∴△EOH面积=△FNH面积.从而可知左半部分挖去和填出的地一样多,同理,右半部分挖去和填出的地也一样多.即新渠面积与原渠的面积相等.由图35可知,第二种作法用工较多(∵要挖的面积较大).故应选第一种方法。
全国初二数学竞赛试题及答案解析一、选择题(每题3分,共30分)1. 若a、b、c是三角形的三边长,且满足a^2 + b^2 = c^2,那么这个三角形是:A. 直角三角形B. 锐角三角形C. 钝角三角形D. 不规则三角形答案:A解析:根据勾股定理的逆定理,如果三角形的两边的平方和等于第三边的平方,那么这个三角形是直角三角形。
2. 已知x^2 - 5x + 6 = 0,求x的值。
A. 1B. 2C. 3D. 6答案:C解析:这是一个二次方程,可以通过因式分解法求解。
x^2 - 5x + 6 = (x - 2)(x - 3) = 0,解得x = 2 或 x = 3。
...30. 已知一个数列的前三项为2, 3, 5,且每一项都是前两项的和,求第10项的值。
答案:55解析:这是一个斐波那契数列,每一项都是前两项的和。
根据数列的规律,可以依次计算出第10项的值为55。
二、填空题(每题4分,共20分)31. 如果一个圆的半径是r,那么它的面积是______。
答案:πr^232. 一个长方体的长、宽、高分别是a、b、c,它的体积是______。
答案:abc...三、解答题(每题10分,共50分)36. 已知一个等腰三角形的底边长为10厘米,两腰的长度相等,且底角为45度。
求这个等腰三角形的面积。
答案:25√2解析:首先,根据底角为45度,我们可以知道这是一个等腰直角三角形。
根据勾股定理,两腰的长度为底边的√2倍,即10√2厘米。
然后,根据三角形面积公式(底×高÷2),面积为10×(10√2)÷2=50√2平方厘米。
37. 一个数的平方减去这个数等于36,求这个数。
答案:9 或 -4解析:设这个数为x,根据题意,我们有x^2 - x - 36 = 0。
这是一个二次方程,可以通过因式分解法求解:(x - 9)(x + 4) = 0。
解得x = 9 或 x = -4。
...结束语:本次全国初二数学竞赛试题涵盖了代数、几何、数列等多个领域,旨在考察学生的数学基础知识和解题能力。
第八届“希望杯”全国数学邀请赛初二第1试第八届“希望杯”全国数学邀请赛初二第2试第九届“希望杯”全国数学邀请赛初二第1试第九届“希望杯”全国数学邀请赛初二第2试第十届“希望杯”全国数学邀请赛初二第1试第十届“希望杯”全国数学邀请赛初二第2试第十一届“希望杯”全国数学邀请赛初二第1试第十一届“希望杯”全国数学邀请赛初二 第2试一、选择题:1.-20001999, -19991998, -999998, -1000999这四个数从小到大的排列顺序是(AA )-20001999<-19991998<-1000999<-999998 (B )-999998<-1000999<-19991998<-20001999(C )-19991998<-20001999<-1000999<-999998 (D )-1000999<-999998<-20001999<-199919982.一个三角形的三条边长分别是a , b , c (a , b , c 都是质数),且a +b +c =16,则这个三角形的形状是(A )直角三角形(B )等腰三角形(C )等边三角形(D )直角三角形或等腰三角形 3.已知25x =2000, 80y =2000,则y1x 1+等于 (A )2 (B )1 (C )21(D )23 4.设a +b +c =0, abc >0,则|c |ba |b |ac |a |c b +++++的值是 (A )-3 (B )1 (C )3或-1 (D )-3或15.设实数a 、b 、c 满足a <b <c (ac <0),且|c |<|b |<|a |,则|x -a |+|x -b |+|x +c |的最小值是 (A )3|c b a |++ (B )|b | (C )c -a (D )―c ―a 6.若一个等腰三角形的三条边长均为整数,且周长为10,则底边的长为 (A )一切偶数 (B )2或4或6或8 (C )2或4或6 (D )2或4 7.三元方程x +y +z =1999的非负整数解的个数有(A )20001999个 (B )19992000个 (C )2001000个 (D )2001999个 8.如图1,梯形ABCD 中,AB //CD ,且CD =3AB ,EF //CD ,EF 将梯形 ABCD 分成面积相等的两部分,则AE :ED 等于( )。
第十一届“希望杯”数学竞赛初二第二试一、选择题:1.-20001999, -19991998, -999998, -1000999这四个数从小到大的排列顺序是(AA )-20001999<-19991998<-1000999<-999998 (B )-999998<-1000999<-19991998<-20001999(C )-19991998<-20001999<-1000999<-999998 (D )-1000999<-999998<-20001999<-199919982.一个三角形的三条边长分别是a , b , c (a , b , c 都是质数),且a +b +c =16,则这个三角形的形状是 (A )直角三角形(B )等腰三角形(C )等边三角形(D )直角三角形或等腰三角形3.已知25x =2000, 80y =2000,则y1x 1+等于(A )2 (B )1 (C )21(D )234.设a +b +c =0, abc >0,则|c |ba |b |ac |a |c b +++++的值是 (A )-3 (B )1 (C )3或-1 (D )-3或15.设实数a 、b 、c 满足a <b <c (ac <0),且|c |<|b |<|a |,则|x -a |+|x -b |+|x +c |的最小值是(A )3|c b a |++ (B )|b | (C )c -a (D )―c ―a 6.若一个等腰三角形的三条边长均为整数,且周长为10,则底边的长为 (A )一切偶数 (B )2或4或6或8 (C )2或4或6 (D )2或4 7.三元方程x +y +z =1999的非负整数解的个数有(A )20001999个 (B )19992000个 (C )2001000个 (D )2001999个 8.如图1,梯形ABCD 中,AB //CD ,且CD =3AB ,EF //CD ,EF 将梯形 ABCD 分成面积相等的两部分,则AE :ED 等于( )。
希望杯第一届(1990年)初中二年级第一试试题一、选择题:(每题1分,共10分)1.一个角等于它的余角的5倍,那么这个角是 ( )A .45°.B .75°.C .55°.D .65°2.2的平方的平方根是 ( )A .2.B .?2.C .±2.D .43.当x=1时,a 0x 10-a 1x 9+a 0x 8-a 1x 7-a 1x 6+a 1x 5-a 0x 4+a 1x 3-a 0x 2+a 1x 的值是( )A .0B .a 0.C .a 1D .a 0-a 1 4. ΔABC,若AB=π27则下列式子成立的是( )A .∠A >∠C >∠B;B .∠C >∠B >∠A;C .∠B >∠A >∠C;D .∠C >∠A >∠B5.平面上有4条直线,它们的交点最多有( )A .4个B .5个.C .6个.D .76.725-的立方根是[ ](A )12-. (B )21-.(C ))12(-±. (D )12+.7.把二次根式aa 1-⋅化为最简二次根式是[ ] (A) a . (B)a -. (C) a --. (D) a -8.如图1在△ABC 中,AB=BC=CA ,且AD=BE=CF ,但D ,E ,F 不是AB ,BC ,CA 的中点.又AE ,BF ,CD 分别交于M ,N ,P ,如果把找出的三个全等三角形叫做一组全等三角形,那么从图中能找出全等三角形( )A .2组B .3组.C .4组D .5组。
9.已知 1112111222222--÷-+++-⨯--++x y x y xy y y x y xy x 等于一个固定的值, 则这个值是( )A .0.B .1.C .2.D .4. 把f 1990化简后,等于( ) A .1-x x . B.1-x. C.x 1. D.x.二、填空题(每题1分,共10分) 1..________6613022=-2.().__________125162590196.012133=⎥⎥⎦⎤⎢⎢⎣⎡⎪⎭⎫ ⎝⎛-+÷- 3.89850-+=________.4.如图2,∠A=60°,∠1=∠2,则∠ABC 的度数是______.5.如图3,O 是直线AB 上一点,∠AOD=117°,∠BOC=123°,则∠COD 的度数是____度.6.△ABC 中,∠C=90°,∠A 的平分线与∠B 的平分线交于O 点,则∠AOB的度数是______度.7.计算下面的图形的面积(长度单位都是厘米)(见图4).答:______.8.方程x 2+px+q=0,当p >0,q <0时,它的正根的个数是______个.9.x ,y ,z 适合方程组则1989x-y+25z=______.10.已知3x 2+4x-7=0,则6x 4+11x 3-7x 2-3x-7=______.答案与提示一、选择题提示:1.因为所求角α=5(90°-α),解得α=75°.故选(B).2.因为2的平方是4,4的平方根有2个,就是±2.故选(C).3.以x=1代入,得a 0-a 1+a 0-a 1-a 1+a 1-a 0+a 1-a 0+a 1=2a 0-3a 1+3a 1-2a 0=0.故选(A).<3,根据大边对大角,有∠C >∠B >∠A .5.如图5,数一数即得.又因原式中有一个负号.所以也不可能是(D),只能选(A).7.∵a <0,故选(C).8.有△ABE ,△ABM ,△ADP ,△ABF ,△AMF 等五种类型.选(D).9.题目说是一个固定的值,就是说:不论x ,y 取何值,原式的值不变.于是以x=y=0代入,得:故选(B).故选(A).二、填空题提示:4.∠ADC=∠2+∠ADB=∠1+∠ADB=180°--∠A=120°所以∠ADC的度数是120度.5.∠COD度数的一半是30度.8.∵Δ=p2-4q>p2.9.方程组可化简为:解得: x=1,y=-1,z=0.∴1989x-y+25z=1990.10.∵6x4+11x3-7x2-3x-7=(3x2+4x-7)(2x2+x+1)而3x2+4x-7=0.希望杯第一届(1990)第二试试题一、选择题:(每题1分,共5分)1.等腰三角形周长是24cm,一腰中线将周长分成5∶3的两部分,那么这个三角形的底边长是[ ] A.7.5 B.12. C.4. D.12或42.已知P=2)1988-+⨯,那么P的值是[ ]⨯⨯+198919891(19901991A.1987 B.1988. C.1989 D.19903.a>b>c,x>y>z,M=ax+by+cz,N=az+by+cx,P=ay+bz+cx,Q=az+bx+cy,则[ ]A.M>P>N且M>Q>N. B.N>P>M且N>Q>MC.P>M>Q且P>N>Q. D.Q>M>P且Q>N>P4.凸四边形ABCD中,∠DAB=∠BCD=900, ∠CDA∶∠ABC=2∶1,AD∶CB=1,则∠BDA=[ A.30°B.45°. C.60°. D.不能确定5.把一个边长为1的正方形分割成面积相等的四部分,使得在其中的一部分内存在三个点,以这三个点为顶点可以组成一个边长大于1的正三角形,满足上述性质的分割[ ]A.是不存在的. B.恰有一种. C.有有限多种,但不只是一种.D.有无穷多种二、填空题:(每题1分,共5分)1.△ABC中,∠CAB?∠B=90°,∠C的平分线与AB交于L,∠C的外角平分线与BA的延长线交于N.已知CL=3,则CN=______.22(2)0ab +-=,那么111(1)(1)(1990)(1990)ab a b a b ++++++的值是_____. 3.已知a ,b ,c 满足a+b+c=0,abc=8,则c 的取值范围是______.4.ΔABC 中, ∠B=300三个两两互相外切的圆全在△ABC 中,这三个圆面积之和的最大值的整数部分是______. 5.设a,b,c 是非零整数,那么a b c ab ac bc abc a b c ab ac bc abc++++++的值等于_________.三、解答题:(每题5分,共15分)1.从自然数1,2,3…,354中任取178个数,试证:其中必有两个数,它们的差是177.2.平面上有两个边长相等的正方形ABCD 和A 'B 'C 'D ',且正方形A 'B 'C 'D '的顶点A '在正方形ABCD 的中心.当正方形A 'B 'C 'D '绕A '转动时,两个正方形的重合部分的面积必然是一个定值.这个结论对吗?证明你的判断.3.用1,9,9,0四个数码组成的所有可能的四位数中,每一个这样的四位数与自然数n 之和被7除余数都不为1,将所有满足上述条件的自然数n 由小到大排成一列n 1<n 2<n 3<n 4……,试求:n 1·n 2之值.答案与提示一、选择题提示:1.若底边长为12.则其他二边之和也是12,矛盾.故不可能是(B)或(D). 又:底为4时,腰长是10.符合题意.故选(C).=19882+3×1988+1-19892=(1988+1)2+1988-19892=19883.只需选a=1,b=0,c=-1,x=1,y=0,z=-1代入,由于这时M=2,N=-2,P=-1,Q=-1.从而选(A).4.由图6可知:当∠BDA=60°时,∠CDB5.如图7按同心圆分成面积相等的四部分.在最外面一部分中显然可以找到三个点,组成边长大于1的正三角形.如果三个圆换成任意的封闭曲线,只要符合分成的四部分面积相等,那么最外面部分中,仍然可以找到三个点,使得组成边长大于1的正三角形.故选(D).二、填空题提示:1.如图8:∠NLC=∠B+∠1=∠CAB-90°+∠1=∠CAB-∠3 =∠N.∴NC=LC=3.5.当a,b,c均为正时,值为7.当a,b,c不均为正时,值为-1.三、解答题1.证法一把1到354的自然数分成177个组:(1,178),(2,179),(3,180),…,(177,354).这样的组中,任一组内的两个数之差为177.从1~354中任取178个数,即是从这177个组中取出178个数,因而至少有两个数出自同一个组.也即至少有两个数之差是177.从而证明了任取的178个数中,必有两个数,它们的差是177.证法二从1到354的自然数中,任取178个数.由于任何数被177除,余数只能是0,1,2,…,176这177种之一.因而178个数中,至少有两个数a,b的余数相同,也即至少有两个数a,b之差是177的倍数,即a?b=k×177.又因1~354中,任两数之差小于2×177=354.所以两个不相等的数a,b之差必为177.即a?b=177.∴从自然数1,2,3,…,354中任取178个数,其中必有两个数,它们的差是177.是一个定值.2.如图9,重合部分面积SA'EBF证明:连A'B,A'C,由A'为正方形ABCD的中心,知∠A'BE=∠A'CF=45°.又,当A 'B '与A 'B 重合时,必有A 'D '与A 'C 重合,故知∠EA 'B=∠FA 'C .在△A 'FC 和△A 'EB 中,∴S A 'EBF =S △A 'BC .∴两个正方形的重合部分面积必然是一个定值.3.可能的四位数有9种:1990,1909,1099,9091,9109,9910,9901,9019,9190.其中 1990=7×284+2,1909=7×272+5.1099=7×157,9091=7×1298+5,9109=7×1301+2,9910=7×1415+5,9901=7×1414+3,9019=7×1288+3,9190=7×1312+6.即它们被7除的余数分别为2,5,0,5,2,5,3,3,6.即余数只有0,2,3,5,6五种.它们加1,2,3都可能有余1的情形出现.如0+1≡1,6+2≡1,5+3≡(mod7).而加4之后成为:4,6,7,9,10,没有一个被7除余1,所以4是最小的n .又:加5,6有:5+3≡1,6+2≡1.(mod7)而加7之后成为7,9,10,12,13.没有一个被7除余1.所以7是次小的n .即 n 1=4,n 2=7∴ n 1×n 2=4×7=28.第二届(1991年)初中二年级第一试试题一、选择题:(每题1分,共15分)1.如图1,已知AB=8,AP=5,OB=6,则OP 的长是[ ]A .2;B .3;C .4;D .52.方程x 2-5x+6=0的两个根是[ ] A .1,6 ; B .2,3; C .2,3; D .1,63.已知△ABC 是等腰三角形,则[ ]A .AB=AC;B .AB=BC;C .AB=AC 或AB=BC;D .AB=AC 或AB=BC 或AC=BC(1)B O344134b c-==+,则a,b,c的大小关系是[ ]A.a>b>c B.a=b=c C.a=c>b D.a=b>c5.若a≠b,则[ ]6.已知x,y都是正整数,那么三边是x,y和10的三角形有[ ]A.3个B.4个; C.5个D.无数多个7.两条直线相交所成的各角中,[ ]A.必有一个钝角;B.必有一个锐角;C.必有一个不是钝角;D.必有两个锐角8.已知两个角的和组成的角与这两个角的差组成的角互补,则这两个角[ ]A.一个是锐角另一个是钝角;B.都是钝角;C.都是直角;D.必有一个角是直角9.方程x2+|x|+1=0有[ ]个实数根.A.4; B.2; C.1; D.010.一个两位数,用它的个位、十位上的两个数之和的3倍减去-2,仍得原数,这个两位数是[ ]A.26; B.28; C.36; D.3811.若11个连续奇数的和是1991,把这些数按大小顺序排列起来,第六个数是[ ]A.179; B.181; C.183; D.18512.1,>+[ ]A.2x+5 B.2x-5; C.1 D.113.方程2x5+x4-20x3-10x2+2x+1=0有一个实数根是[ ]14.当a<-1时,方程(a3+1)x2+(a2+1)x-(a+1)=0的根的情况是 [ ] A.两负根;B.一正根、一负根且负根的绝对值大C.一正根、一负根且负根的绝对值小;D.没有实数根15.甲乙二人,从M地同时出发去N地.甲用一半时间以每小时a公里的速度行走,另一半时间以每小时b公里的速度行走;乙以每小时a公里的速度行走一半路程,另一半路程以每小时b公里的速度行走.若a≠b时,则[ ]到达N地.A.二人同时; B.甲先;C.乙先; D.若a>b时,甲先到达,若a<b时,乙先二、填空题:(每题1分,共15分)1.一个角的补角减去这个角的余角,所得的角等于______度.2.有理化分母=______________.3.0x=的解是x=________.4.分解因式:x3+2x2y+2xy2+y3=______.5.若方程x2+(k2-9)x+k+2=0的两个实数根互为相反数,则k的值是______.6.如果2x2-3x-1与a(x-1)2+b(x-1)+c是同一个多项式的不同形式,那么a bc+=__.7.方程x2-y2=1991有______个整数解.8.当m______时,方程(m-1)x2+2mx+m-3=0有两个实数根.9.如图2,在直角△ABC中,AD平分∠A,且BD∶DC=2∶1,则∠B等于______度.(2) (3) (4) 10.如图3,在圆上有7个点,A,B,C,D,E,F,和G,连结每两个点的线段共可作出__条.11.D,E分别是等边△ABC两边AB,AC上的点,且AD=CE,BE与CD交于F,则∠BFC 等于__度.12.如图4,△ABC中,AB=AC=9,∠BAC=120°,AD是△ABC的中线,AE是△ABD的角平分线,DF∥AB交AE延长线于F,则DF的长为______.13.在△ABC中,AB=5,AC=9,则BC边上的中线AD的长的取值范围是______.14.等腰三角形的一腰上的高为10cm,这条高与底边的夹角为45°,则这个三角形的面积是______.15.已知方程x2+px+q=0有两个不相等的整数根,p,q是自然数,且是质数,这个方程的根是______.答案与提示一、选择题提示:1.∵OP=OB-PB=OB-(AB-AP)=6-(8-5)=3.∴选(B).2.∵以2,3代入方程,适合.故选(B).3.∵有两条边相等的三角形是等腰三角形.∴选(D).4.∵a=1,b=-1,c=1.∴选(C).6.∵x=y>5的任何正整数,都可以和10作为三角形的三条边.∴选(D).7.两直线相交所成角可以是直角,故而(A),(D)均不能成立.∴选(C).8.设两个角为α,β.则(α+β)+(α-β)=180°,即α=90°.故选(D).9.∵不论x为何实数,x2+|x|+1总是大于零的.∴选(D).即7a=2b+2,可见a只能为偶数,b+1是7的倍数.故取(A).11.设这11个连续奇数为:2n+1,2n+3,2n+5,…,2n+21.则(2n+1)+(2n+3)+(2n+5)+…+(2n+21)=1991.即 11(2n+11)=1991.解得n=85.∴第六个数是2×85+11=181.故选(B).∴选(A).13.原方程可化为(2x5-20x3+2x)+(x4-10x2+1)=0.即 (2x+1)(x4-10x2+1)=0.即 x4-10x2+1=0.故取(C).14.a<-1时,a3+1<0,a2+1>0,a+1<0.而若方程的两根为x1,x2,则有15.设M,N两地距离为S,甲需时间t1,乙需时间t2,则有∴t1<t2,即甲先.另外:设a=1,b=2,则甲走6小时,共走了9公里,这时乙走的时间为从这个计算中,可以看到,a,b的值互换,不影响结果.故取(B).二、填空题提示:1.设所求角为α,则有(180°-α)-(90°-α)=90°.4.x3+2x2y+2xy3+y3=(x3+y3)+(2x2y+2xy2)=(x+y)(x2-xy+y2)+2xy(x+y)=(x+y)(x2+xy+y2)5.设二根为x1,-x1,则x1+(-x1)=-(k2-9).即k2-9=0.即k=±3.又,要有实数根,必须有△≥0.即 (k2-9)2-4(k+2)>0.显然 k=3不适合上面的不等式,∴k=-3.6.由2x2-3x-1=a(x+1)2+b(x-1)+c是恒等式,故由x=1代入,得c=-2;x2项的系数相等,有a=2,这时再以x=0代入,得-1=a-b+c.即b=1.7.x2-y2=1991,(x-y)(y+x)=11×181可以是9.BD∶DC=2∶1,故有AB∶AC=2∶1,直角三角形斜边与直角边之比为2∶1,则有∠B=30°.10.从A出发可连6条,从B出发可连5条,(因为BA就是AB),从C出发可连4条,…,从F出发可连一条.共计1+2+3+4+5+6=21(条).另法:每个点出发均可连6条,共有42条.但每条都重复过一次,11.如图28.∠F=∠1+∠A+∠2.又:△ADC≌△CEB.∴∠1=∠3.∴∠F=∠3+∠A+∠2=∠B+∠A=120°.12.△ABC是等腰三角形,D为底边的中点,故AD又是垂线,又是分角线,故∠BAD=60°,∠ADB=90°.又:AE是分角线,故∠DAE=∠EAB=30°.又:DF∥AB,∴∠F=∠BAE=30°.在△ADF中,∠DAF=∠F=30°.∴AD=DF.而在△ADB中,AB=9,∠B=30°.13.∵4<BC<14.∴当BC为4时,BD=CD=2,AD<7.当BC=14时,BC=CD=7,有AD>2.∴2<AD<7.14.等腰三角形一腰上的高与底边的夹角是45°,则顶角是90°,高就是腰,其长为10cm.15.设两根为x1,x2.则x1+x2=-p① x1x2=q②由题设及①,②可知,x1,x2均为负整数.q为质数,若q为奇数,则x1,x2均为奇数.从而p为偶数,而偶质数只有2,两个负整数之和为-2,且不相等,这是不可能的.若q为偶数(只能是2),两个负整数之积为2,且不相等,只能是-1和-2.∴方程的根是-1和-2.希望杯第二届(1991年)初中二年级第二试试题一、选择题:(每题1分,共10分)1.如图29,已知B是线段AC上的一点,M是线段AB的中点,N为线段AC的中点,P为NA的中点,Q为MA的中点,则MN∶PQ等于( )A.1 ; B.2; C.3; D.42.两个正数m ,n 的比是t(t >1).若m+n=s ,则m ,n 中较小的数可以表示为( ) A.ts; Bs-ts; C.1ts s +; D.1s t+.3.y>0时( )4.(x+a)(x+b)+(x+b)(x+c)+(x+c)(x+a)是完全平方式,则a ,b ,c 的关系可以写成( )A .a <b <c.B .(a-b)2+(b-c)2=0.C .c <a <b.D .a=b ≠c5.如图30,AC=CD=DA=BC=DE .则∠BAE 是∠BAC 的 ( )A .4倍.B .3倍.C .2倍.D .1倍6.D 是等腰锐角三角形ABC 的底边BC 上一点,则AD ,BD ,CD 满足关系式( )A.AD 2=BD 2+CD 2. B .AD 2>BD 2+CD 2. C .2AD 2=BD 2+CD 2. D .2AD 2>BD 2+CD 27.方程2191()1010x x -=+的实根个数为( ) A .4 B .3. C .2 D .18.能使分式33x y y x-的值为的x 2、y 2的值是( )A.x 2y 2;B. x 2y 2;C. x 2y 2;D. x 2y 2.9.在整数0,1,2,3,4,5,6,7,8,9中,设质数的个数为x ,偶数的个数为y ,完全平方数的个数为z ,合数的个数为u .则x+y+z+u 的值为( )A .17B .15.C .13D .1110.两个质数a ,b ,恰好是x 的整系数方程x 2-21x+t=0的两个根,则b a a b +等于( ) A.2213; B.5821; C.240249; D.36538. 二、填空题(每题1分,共10分)1.1989××.2.分解因式:a 2+2b 2+3c 2+3ab+4ac+5bc=______.3.(a 2+ba+bc+ac):[(b 2+bc+ca+ab):(c 2+ca+ab+bc)]的平方根是______.4.边数为a ,b ,c 的三个正多边形,若在每个正多边形中取一个内角,其和为1800,那么111a b c++=_________. 5.方程组51x ay y x +=⎧⎨-=⎩有正整数解,则正整数a=_______. 6.从一升酒精中倒出13升,再加上等量的水,液体中还有酒精__________升;搅匀后,再倒 出13升混合液,并加入等量的水, 搅匀后,再倒出13升混合液, 并加入等量的水,这时,所得混合液中还有______升酒精.7.如图31,在四边形ABCD 中.AB=6厘米,BC=8厘米,CD=24厘米,DA=26厘米.且∠ABC=90°,则四边形ABCD 的面积是______.8.如图32,∠1+∠2+∠3∠4+∠5+∠6=______. 9.2243x x +++的最小值的整数部分是______.10.已知两数积ab ≠1.且2a 22a b=______. 三、解答题:(每题5分,共10分,要求:写出完整的推理、计算过程,语言力求简明,字迹与绘图力求清晰、工整)1. 已知两个正数的立方和是最小的质数.求证:这两个数之和不大于2.2.一块四边形的地(如图33)(EO ∥FK ,OH ∥KG)内有一段曲折的水渠,现在要把这段水渠EOHGKF 改成直的.(即两边都是直线)但进水口EF 的宽度不能改变,新渠占地面积与原水渠面积相等,且要尽可能利用原水渠,以节省工时.那么新渠的两条边应当怎么作?写出作法,并加以证明.答案与提示一、选择题提示:3.由y>0,可知x<0.故选(C).4.容易看到a=b=c时,原式成为3(x+a)2,是完全平方式.故选(B).5.△ACD是等边三角形,△BCA和△ADE均为等腰三角形.故知∠BAC=30°,而∠BAE=120°,所以选(A).6.以等边三角形为例,当D为BC边上的中点时,有AD2>BD2+CD2,当D为BC 边的端点时,有AD2=BD2+CD2,故有2AD2>BD2+CD2.故选(D).故选(C).∴选(C).9.∵x=4,y=5,z=4,u=4.∴选(A).10.由a+b=21,a,b质数可知a,b必为2与19两数.二、填空题提示:1.1989××(1991×104+1991)-1991(1989×104+1988)=1989×1991-1991×1988=1991.2.原式=a2+b2+c2+2ab+2bc+2ca+b2+2c2+ab+2ac+3bc=(a+b+c)2+(b+c)(b+2c)+a(b+2c)=(a+b+c)2+(b+2c)(a+b+c)=(a+b+c)(a+2b+3c).3.原式=(a+c)(a+b)∶[(b+a)(b+c)∶(c+a)(c+b)]∴平方根为±(a+c).4.正多边形中,最小内角为60°,只有a,b,c均为3时,所取的内角和才可能为180°.5.两式相加有(1+a)y=6,因为a,y均为正整数,故a的可能值为5,这时y=1,这与y-x=1矛盾,舍去;可能值还有a=2,a=1,这时y=2,y=3与y-x=1无矛盾.∴a=1或2.7.在直角三角形ABC中,由勾股定理可知AC=10cm,在△ADC中,三边长分别是10,24,26,由勾股定理的逆定理可△ADC为直角三角形.从而有面积为8.∠1+∠2+∠3+∠4+∠5+∠6,正好是以∠2,∠3,∠5为3个内角的四边形的4个内角之和.∴和为360°.10.由已知条件可知a是方程2x2的一个根,b是方程3y2的一个根,后者还可以看成:三、解答题1.设这两个正数为a,b.则原题成为已知a3+b3=2,求证a+b≤2.证明(反证法):若a+b>2由于a3+b3=2,必有一数小于或等于1,设为b≤1,→a>2?b,这个不等式两边均为正数,→a3>(2-b)3.→a3>8-12b+6b2-b3.→a3+b3>8-12b+6b2.→6b2-12b+6<0.→b2-2b+1<0.→(b-1)2<0.矛盾.∴a+b≤2.即本题的结论是正确的.2.本题以图33为准.由图34知OK∥AB,延长EO和FK,即得所求新渠.这时,HG=GM(都等于OK),且OK∥AB,故△OHG的面积和△KGM的面积相同.即新渠占地面积与原渠面积相等.而且只挖了△KGM这么大的一块地.我们再看另一种方法,如图35.作法:①连结EH ,FG .②过O 作EH 平行线交AB 于N ,过K 作FG 平行线交于AB 于M .③连结EN 和FM ,则EN ,FM 就是新渠的两条边界线.又:EH ∥ON∴△EOH 面积=△FNH 面积.从而可知左半部分挖去和填出的地一样多,同理,右半部分挖去和填出的地也一样多.即新渠面积与原渠的面积相等.由图35可知,第二种作法用工较多(∵要挖的面积较大).故应选第一种方法。
第十一届“希望杯”数学竞赛(初二第一试)一.选择题1.与的关系是(B)。
(A)互为倒数(B)互为相反数(C)互为负倒数(D)相等2.已知x≠0,则的值是(C )。
(A)0 (B)-2 (C)0或-2 (D)0或23.适合|2a+7|+|2a-1|=8的整数a的值的个数有( B )。
(A)5个(B)4个(C)3个(D)2个4.如图1,四边形ABCD中,AB//CD,∠D=2∠B,若AD=a,AB=b,则CD的长等于(A )。
(A)b-a (B)b-(C)(b-a) (D)2(b-a)5.有四条线段,a=14,b=13,c=9,d=7,用a、c分别作一个梯形的下、上两底,用b、d 分别作这个梯形的两腰(作出的全等的梯形算一种),那么这样的梯形(D )。
(A)只能作一种(B)可以作两种(C)可以作无数种(D)一种也作不出6.当1≤x≤2时,代数式可以化简为(C )。
(A)0 (B)2 (C)2(D)-27.已知=a, =b,则用a、b表示为()。
(A)(B)(C)(D)8.互不相等的三个正数a、b、c恰为一个三角形的三条边长,则以下列三个数为长度的线段一定能作成三角形的是()。
(A), , (B)a2, b2, c2(C), , (D)|a-b|, |b-c|, |c-a|9.在一个凸八边形中,每三个顶点形成三个角(如又A、B、C三个顶点形成∠ABC、∠BAC、∠ACB),一共可以作出168个角,那么这些角中最小的一个一定()。
(A)小于或等于20°(B)小于或等于22.5°(C)小于或等于25°(D)小于或等于27.5°10.设a、b、c均为正数,若,则a、b、c三个数的大小关系是()。
(A)c<a<b (B)b<c<a (C)a<b<c (D)c<b<a二.A组填空题11.分解因式a3b+ab+30b的结果是。
八年级试题(A 卷)(时间:120分钟 满分:120分)一、选择题(每小题4分,共32分) 1.若()422015+=mA ,则A 的算术平方根是( )A.(m 2+2015)4B.(m 2+2015)2C.m 2+2015D.m+20152.已知等腰三角形的两边长分别为a 、b ,且0243163=-++-+b a b a ,则此三角形的周长是( )A.13B.17C.13或17D.14或163.将一副三角板如下图叠放在一起,则∠1的度数是( )A.105°B.110°C.115°D.120°4.如图,在3×4的正方形网格中,已有3个方格涂色,若再选择一个方格涂色,且使得4个涂色的方格组成轴对称图形,可选择的方格共有( )A.1个B.2个C.3个D.4个5.已知201531+n 是整数,若n 是正整数,则n 的最小值是( )A.31B.59C.65D.1246.某超市购进50千克的散装糖果,决定包装后出售,方式一:1.5千克/盒,包装成本1.2元/个;方式二:1千克/盒,包装盒成本1元/个.根据需要1千克装的糖果数量不能少于1.5千克装的一半,且糖果全部包装完,那么包装盒的总成本最低是( )A.43.4元B.43.1元C.42.8元D.42.5元7.如图,在四边形ABCD 中,对角线AC 、BD 交于点O ,且BO=DO ,点P 在△BCD 内部,下列说法:①S △AOD=S △AOB ;②BC +CD >PB +PD ;③AC +BD >AB +CD ;④AC +BD >AD >CD ,其中正确的有( ) A.1个 B.2个 C.3个 D.4个8.如图,等边三角形ABC 边长为6,点P 从B 点开始在BC 上向点C 运动,运动到点C 停止,以AP 为边在直线BC 的同侧作等边三角形APQ ,得到点Q ,则点Q 的运动路径长( ) A.6 B.33 C.24 D.23π二、填空题:(每小题5分,共40分)9.化简:.________________)2015(201522=+--x x )(10.已知正n 边形的一个内角是一个外角的5倍,则n=____________.11.如图,△ABC 是格点三角形,点D 是异于点A 的一个格点,则使△DBC 和△ABC 全等的D 点共有__________个.12.方程3100820151210071=+-+-xx x 的解是___________________.13.如图,等边三角形的边长为1,现将其各边n(n >2)等分,并以相邻分点为顶点向外作小等边三角形,再将相邻分点之间的线段去掉,得到一个锯齿图形,当n=k 时,锯齿图形的周长为___________.(用含k 的代数式表示).14.将1、2、3、4、5这五个数排成一列,要求第一个数和最后一个数都是偶数,且其中任意三个相邻的数之和都能被这三个数中的第一个数整除,这样的排列方法共有_____________种.15.对于实数m 、n ,定义运算m ※n=m(1-n),下面是关于这种运算的几个结论:①2※3=-4;②若m ※n=0,则n=0;③m ※n=(1-n )※(1-m);④若m+n=1,则(m ※n )-(n ※n)=0.其中正确的是___________. 16.如图,已知点A(1,1),点B (7,3),点P 为x 轴上一个动点,当PA+PB 的值最小时,点P 的坐标为_______________.三、解答题(10+12+12+14=48分)17..)32(32,2,29的值)求(若+--==-y x xy y x18.如图,△ABC 为等边三角形,点D 是BC 延长线上一点,且CD <BC ,BD 的垂直平分线交AC 于E ,过点E 作EF ∥BC 交AB 于F.(1)求证:△AEF 为等边三角形; (2)若BC=3CD ,求ECAE的值.19.某数学俱乐部组织60名会员租车进行自驾游,共有两种车型可供选择,A 型车共有8个座位,B 型车有4个座位,要求租用的车不能空座,也不能超载. (1)共有多少种不同的租车方案?(2)若A 型车的租金是400元/天,B 型车的租金是260元/天,请设计最划算的租车方案,并说明理由.20.已知:直角三角形斜边上的中线等于斜边的一半,如图1,在△ABC 中,∠CAB=90°,D 是BC 的中点,连接AD ,则AD=CD=BD.(1)如图2,过点D作DE⊥AB于E,以E为边作等边三角形AEF,以DF为边作等边三角形DFG,连接AG,求证:AG平分∠FAB.(2)如图3,过点C作CH⊥AF于H,连接DH,求证:DH=FG.1 2 3 4 5 6 7 8C B AD B C D A9 10 11 12 13 14 15 1610 1/2-8060X12 3 1008KK 66-6 ①③④⎪⎭⎫ ⎝⎛0,25。
31.若质数m ,n 满足m< n < 5m 且m + 3n 是质数,求符合条件的数组(m ,n )32.一项工程,甲、乙合作要12天完成,若甲先做3天后,再由乙接着做8天,可完成这项工程的512如果这项工程由甲单独做需多少天?33.有5个连续自然数之和恰好等于两个连续自然数之和,这可能吗?如果不可能,请说明理由;如果可能,请举出一个实例。
34.甲、乙、丙三人步行的速度分别是每分钟100米、90米、75米,甲在公路上的A 处,乙、丙在同一条公路的B 处,三人同时出发,甲与乙、丙相向而行,甲和乙相遇后,经过3分钟又和丙相遇,求 A 、B 之间的路程。
35.自然数a 和b 的最小公倍数为165,最大公约数为5,求a + b 的最大值·36.将小数0 · 123456789改为循环小数,如果小数点后第25位上的数字是5,那么表示循环节的两个点应分别加在哪两个数字上?37.求2017201720172017201712345++++除以5的余数。
(其中2017a 表小2017个a 相乘)38.有一杯盐水,如果加50克盐,浓度变为原来的2倍,求原来杯中的盐水含盐多少克?39.有一个分数M,若分子不变,分母加上6,约分后是16;若分母不变,分子加上4,约分后是14求M。
40.要砌一段墙,第一天砌了总长的13多2米,第二天砌了剩下的12少1米,第三天砌了剩下的34多1米,还剩下3米没砌,这段围墙长多少米?41 .甲、乙两人拥有邮票张数的比是5:3,如果甲给乙10张邮票,则甲、乙两人邮票张数的比变成7:5 。
问:两人共有邮票多少张?42.某次摄影比赛,原定取一等奖5名,二等奖8名,后来决定将一等奖中得分最低的1名调为二等奖,这样,一,二等奖的平均分都提高了1分,那么,原来一等奖的平均分比二等奖的平均分高多少分?43.如图1,两颗卫星A,B都在绕地球中心0沿逆时针方向做圆周运动,速度大小不变。
第十一届“希望杯”数学竞赛初二第二试参考答案21.∵|a -b |=ab<1, ∴ a 、b 同号,且a ≠0, b ≠0, ∴ a -b -1=(a -b )-1<0,∴(a 1-b 1)2)1b a (--=(a 1-b 1)[1-(a -b )]=)]b a (1[aba b ---.① 若a 、b 同为正数,由ab<1,得a >b ,∴ a -b =ab , a 2-ab =b , 解得b =1a a 2+,∴(a 1-b 1)2)1b a (--=)]b a (1[ab a b ---=ab a b -(1-ab )=-2a 1·a ba -=-4a b=-)1a (a 12+.② 若a 、b 同为负数,由ab<1,得b >a ,∴ a -b =-ab , a 2-ab =-b , 解得b =1a a 2-,∴(a 1-b 1)2)1b a (--=)]b a (1[ab a b ---=ab a b(1+a b )=3a b a +=32a 1a a a -+=)1a (a 1a 22--.综上所述,当a 、b 同为正数时,原式的结果为-)1a (a 12+;当a 、b 同为负数时,原式的结果为)1a (a 1a 22--A BCD EFͼ6G22.将△ADF 绕A 点顺时针方向旋转90°到△ABG 的位置, ∴ AG =AF ,∠GAB =∠F AD =15°, ∠GAE =15°+30°=45°, ∠EAF =90°-(30°+15°) =45°, ∴∠GAE =∠F AE ,又AE =AE , ∴△AEF ≌△AEG , ∴EF =EG ,∠AEF =∠AEG =60°,在Rt △ABE 中,AB =3,∠BAE =30°,∴∠AEB =60°,BE =1,在Rt △EFC 中,∠FEC =180°-(60°+60°)=60°, EC =BC -BE =3-1,EF =2(3-1), ∴EG =2(3-1),S △AEG =21EG ·AB =3-3, ∴S △AEF =S △AEG =3-3.23.① 将第一个球先放入,有5种不同的的方法,再放第二个球,这时以4种不同的放法,依此类推,放入第三、四、五个球,分别有3、2、1种放法,所以总共有5×4×3×2×1=120种不同的放法。
1、第一届希望杯初二第1试试题2、第一届希望杯初二第2试试题3、第二届希望杯初二第1试试题4、第二届希望杯初二第2试试题5、第三届希望杯初二第1试试题6、第三届希望杯初二第2试试题7、第四届希望杯初二第1试试题8、第四届希望杯初二第2试试题9、第五届希望杯初二第1试试题10、第五届希望杯初二第2试试题11、第六届希望杯初二第1试试题12、第六届希望杯初二第2试试题13、第七届希望杯初二第1试试题14、第七届希望杯初二第2试试题15、第八届希望杯初二第1试试题16、第八届希望杯初二第2试试题17、第九届希望杯初二第1试试题18、第九届希望杯初二第2试试题19、第十届希望杯初二第1试试题20、第十届希望杯初二第2试试题21、第十一届希望杯初二第1试试题22、第十一届希望杯初二第2试试题23、第十二届希望杯初二第1试试题24、第十二届希望杯初二第2试试题25、第十三届希望杯初二第1试试题26、第十三届希望杯初二第2试试题27、第十四届希望杯初二第1试试题28、第十四届希望杯初二第2试试题28、第十五届希望杯初二第1试试题30、第十五届希望杯初二第2试试题31、第十六届希望杯初二第1试试题32、第十六届希望杯初二第2试试题33、第十七届希望杯初二第1试试题34、第十七届希望杯初二第2试试题35、第十八届希望杯初二第1试试题36、第十八届希望杯初二第2试试题37、第十九届希望杯初二第1试试题38、第十九届希望杯初二第2试试题39、第二十届希望杯初二第1试试题40、第二十届希望杯初二第2试试题41、第二十一届希望杯初二第1试试题42、第二十一届希望杯初二第2试试题43、第二十二届希望杯初二第1试试题44、第二十二届希望杯初二第2试试题45、第二十三届希望杯初二第1试试题46、第二十三届希望杯初二第2试试题希望杯第一届(1990年)初中二年级第一试试题一、选择题:(每题1分,共10分)1.一个角等于它的余角的5倍,那么这个角是 ( )A .45°.B .75°.C .55°.D .65°2.2的平方的平方根是 ( )A .2.B .2. C .±2. D .43.当x=1时,a 0x 10-a 1x 9+a 0x 8-a 1x 7-a 1x 6+a 1x 5-a 0x 4+a 1x 3-a 0x 2+a 1x 的值是( ) A .0B .a 0.C .a 1D .a 0-a 14. ΔABC,若AB=π27则下列式子成立的是( )A .∠A >∠C >∠B;B .∠C >∠B >∠A;C .∠B >∠A >∠C;D .∠C >∠A >∠B 5.平面上有4条直线,它们的交点最多有( ) A .4个B .5个.C .6个.D .76.725-的立方根是[ ] (A )12-. (B )21-.(C ))12(-±. (D )12+.7.把二次根式a a 1-⋅化为最简二次根式是[ ](A) a . (B)a -. (C) a --. (D) a -8.如图1在△ABC 中,AB=BC=CA ,且AD=BE=CF ,但D ,E ,F 不是AB ,BC ,CA 的中点.又AE ,BF ,CD 分别交于M ,N ,P ,如果把找出的三个全等三角形叫做一组全等三角形,那么从图中能找出全等三角形( ) A .2组B .3组.C .4组D .5组。
希望杯第一届(1990)第二试试题 (1)希望杯第二届(1991年)初中二年级第二试试题 (5)希望杯第三届(1992年)初中二年级第二试题 (10)希望杯第四届(1993年)初中二年级第一试试题 (18)希望杯第四届(1993年)初中二年级第二试试题 (23)希望杯第五届(1994年)初中二年级第一试试题 (26)希望杯第五届(1994年)初中二年级第二试试题 (31)第六届(1995年)初中二年级第一试试题 (44)希望杯第六届(1995年)初中二年级第二试试题 (50)希望杯第七届(1996年)初中二年级第一试试题 (56)希望杯第七届(1996年)初中二年级第二试试题 (62)希望杯第八届(1997年)初中二年级第一试试题 (72)希望杯第八届(1997年)初中二年级第二试试题 (79)第九届(1998年)初中二年级第一试试题 (88)希望杯第九届(1998年)初中二年级第二试试题 .............................................................................................................. 98 1999年第十届 “希望杯”全国数学邀请赛第二试 .......................................................................................................... 108 2000年第十一届“希望杯”数学竞赛初二第一试 ............................................................................................................. 111 2000年第十一届“希望杯”数学竞赛初二第二试 ............................................................................................................ 114 2001年希望杯第十二届初中二年级第一试试题 ................................................................................................................ 119 2001年希望杯第12届八年级第2试试题 .......................................................................................................................... 122 2002年第十三届全国数学邀请赛初二年级第一试 ............................................................................................................ 129 2002年度初二 “希望杯”全国数学邀请赛第二试 .......................................................................................................... 132 2003年第十四届“希望杯”全国数学邀请赛初二第1试 ................................................................................................. 139 2003年第十四届“希望杯” (初二笫2试) ........................................................................................................................ 142 2004年第十五届“希望杯”全国数学邀请赛初二 ............................................................................................................ 148 2004年第十五届“希望杯”全国数学邀请赛初二第2试 ..................................................................................................... 151 2005年第十六届希望杯初二第1试试题 ............................................................................................................................ 157 2005年第十六届“希望杯”全国数学邀请赛第二试 ........................................................................................................ 159 2006年第十七届“希望杯”全国数学邀请赛第一试 ........................................................................................................ 163 2006年 第十七届“希望杯’’数学邀请赛第二试 ........................................................................................................ 166 2007年第十八届”希望杯“全国数学邀请赛第一试 ........................................................................................................ 171 2007年第十八届“希望杯”全国数学邀请赛第二试 ........................................................................................................ 173 2008年第19届“希望杯”全国数学邀请赛初二第2试试题 ........................................................................................... 179 2009年第二十届“希望杯”全国数学邀请赛第一试 ........................................................................................................ 183 2009年第20届“希望杯”全国数学邀请赛第二试 .......................................................................................................... 186 2010年第二十一届“希望杯”全国数学邀请赛第一试 .................................................................................................... 193 2010年第二十一届“希望杯”全国数学邀请赛第二试 . (195)希望杯第一届(1990)第二试试题一、选择题:(每题1分,共5分)1.等腰三角形周长是24cm ,一腰中线将周长分成5∶3的两部分,那么这个三角形的底边长是[ ]A .7.5B .12.C .4.D .12或42.已知P=2)1989(11991199019891988-++⨯⨯⨯,那么P 的值是[ ]A .1987B .1988.C .1989D .19903.a >b >c ,x >y >z ,M=ax+by+cz ,N=az+by+cx ,P=ay+bz+cx ,Q=az+bx+cy ,则[ ]A .M >P >N 且M >Q >N.B .N >P >M 且N >Q >MC .P >M >Q 且P >N >Q.D .Q >M >P 且Q >N >P4.凸四边形ABCD 中,∠DAB=∠BCD=900, ∠CDA ∶∠ABC=2∶1,AD ∶CB=1,则∠BDA=[ ]A .30°B .45°.C .60°.D .不能确定5.把一个边长为1的正方形分割成面积相等的四部分,使得在其中的一部分内存在三个点,以这三个点为顶点可以组成一个边长大于1的正三角形,满足上述性质的分割[ ]A .是不存在的.B .恰有一种.C .有有限多种,但不只是一种.D .有无穷多种二、填空题:(每题1分,共5分)1. △ABC 中,∠∠B=90°,∠C 的平分线与AB 交于L ,∠C 的外角平分线与BA 的延长线交于N .已知CL=3,则CN=______.2. 2(2)0ab -=,那么111(1)(1)(1990)(1990)ab a b a b ++++++的值是_____. 3. 已知a ,b ,c 满足a+b+c=0,abc=8,则c 的取值范围是______.4. ΔABC 中, ∠B=300,三个两两互相外切的圆全在△ABC 中,这三个圆面积之和的最大值的整数部分是______.5. 设a,b,c 是非零整数,那么a b c ab ac bc abc a b c ab ac bc abc++++++的值等于_________.三、解答题:(每题5分,共15分)1.从自然数1,2,3…,354中任取178个数,试证:其中必有两个数,它们的差是177.2.平面上有两个边长相等的正方形ABCD 和A 'B 'C 'D ',且正方形A 'B 'C 'D '的顶点A '在正方形ABCD 的中心.当正方形A 'B 'C 'D '绕A '转动时,两个正方形的重合部分的面积必然是一个定值.这个结论对吗?证明你的判断.3.用1,9,9,0四个数码组成的所有可能的四位数中,每一个这样的四位数与自然数n 之和被7除余数都不为1,将所有满足上述条件的自然数n 由小到大排成一列n 1<n 2<n 3<n 4……,试求:n 1·n 2之值.答案与提示一、选择题提示:1.若底边长为12.则其他二边之和也是12,矛盾.故不可能是(B)或(D).又:底为4时,腰长是10.符合题意.故选(C).=19882+3×1988+1-19892=(1988+1)2+1988-19892=19883.只需选a=1,b=0,c=-1,x=1,y=0,z=-1代入,由于这时M=2,N=-2,P=-1,Q=-1.从而选(A).4.由图6可知:当∠BDA=60°时,∠CDB5.如图7按同心圆分成面积相等的四部分.在最外面一部分中显然可以找到三个点,组成边长大于1的正三角形.如果三个圆换成任意的封闭曲线,只要符合分成的四部分面积相等,那么最外面部分中,仍然可以找到三个点,使得组成边长大于1的正三角形.故选(D).二、填空题提示:1.如图8:∠NLC=∠B+∠1=∠CAB-90°+∠1=∠CAB-∠3 =∠N.∴NC=LC=3.5.当a,b,c均为正时,值为7.当a,b,c不均为正时,值为-1.三、解答题1.证法一把1到354的自然数分成177个组:(1,178),(2,179),(3,180),…,(177,354).这样的组中,任一组内的两个数之差为177.从1~354中任取178个数,即是从这177个组中取出178个数,因而至少有两个数出自同一个组.也即至少有两个数之差是177.从而证明了任取的178个数中,必有两个数,它们的差是177.证法二从1到354的自然数中,任取178个数.由于任何数被177除,余数只能是0,1,2,…,176这177种之一.因而178个数中,至少有两个数a,b的余数相同,也即至少有两个数a,b之差是177的倍数,即×177.又因1~354中,任两数之差小于2×177=354.所以两个不相等的数a,b之差必为177.即.∴从自然数1,2,3,…,354中任取178个数,其中必有两个数,它们的差是177.2.如图9,重合部分面积S A'EBF是一个定值.证明:连A'B,A'C,由A'为正方形ABCD的中心,知∠A'BE=∠A'CF=45°.又,当A'B'与A'B重合时,必有A'D'与A'C重合,故知∠EA'B=∠FA'C.在△A'FC和△A'EB中,∴S A'EBF=S△A'BC.∴两个正方形的重合部分面积必然是一个定值.3.可能的四位数有9种:1990,1909,1099,9091,9109,9910,9901,9019,9190.其中 1990=7×284+2,1909=7×272+5.1099=7×157,9091=7×1298+5,9109=7×1301+2,9910=7×1415+5,9901=7×1414+3,9019=7×1288+3,9190=7×1312+6.即它们被7除的余数分别为2,5,0,5,2,5,3,3,6.即余数只有0,2,3,5,6五种.它们加1,2,3都可能有余1的情形出现.如0+1≡1,6+2≡1,5+3≡(mod7).而加4之后成为:4,6,7,9,10,没有一个被7除余1,所以4是最小的n.又:加5,6有:5+3≡1,6+2≡1.(mod7)而加7之后成为7,9,10,12,13.没有一个被7除余1.所以7是次小的n.即 n1=4,n2=7∴ n1×n2=4×7=28.希望杯第二届(1991年)初中二年级第二试试题一、选择题:(每题1分,共10分)1.如图29,已知B是线段AC上的一点,M是线段AB的中点,N为线段AC的中点,P为NA的中点,Q为MA的中点,则MN∶PQ等于( )A.1 ; B.2; C.3; D.42.两个正数m,n的比是t(t>1).若m+n=s,则m,n中较小的数可以表示为( )A.ts; Bs-ts; C.1tss+; D.1st+.3.y>0时( )4.(x+a)(x+b)+(x+b)(x+c)+(x+c)(x+a)是完全平方式,则a,b,c的关系可以写成( ) A.a<b<c. B.(a-b)2+(b-c)2=0. C.c<a<b. D.a=b≠c5.如图30,AC=CD=DA=BC=DE.则∠BAE是∠BAC的 ( )A.4倍. B.3倍. C.2倍. D.1倍6.D是等腰锐角三角形ABC的底边BC上一点,则AD,BD,CD满足关系式( )A.AD2=BD2+CD2. B.AD2>BD2+CD2. C.2AD2=BD2+CD2. D.2AD2>BD2+CD27.方程219 1()1010x x-=+的实根个数为( ) A.4 B.3. C.2 D.18.能使分式33x y y x-的值为的x 2、y 2的值是( )A.x 2y 22,y 2C. x 2y 22,y 29.在整数0,1,2,3,4,5,6,7,8,9中,设质数的个数为x ,偶数的个数为y ,完全平方数的个数为z ,合数的个数为u .则x+y+z+u 的值为 ( )A .17B .15.C .13D .1110.两个质数a ,b ,恰好是x 的整系数方程x 2-21x+t=0的两个根,则b a a b +等于( ) A.2213; B.5821; C.240249; D.36538. 二、填空题(每题1分,共10分)1.1989×19911991-1991×19891988=______.2.分解因式:a 2+2b 2+3c 2+3ab+4ac+5bc=______.3.(a 2+ba+bc+ac):[(b 2+bc+ca+ab):(c 2+ca+ab+bc)]的平方根是______.4.边数为a ,b ,c 的三个正多边形,若在每个正多边形中取一个内角,其和为1800,那么111a b c++=_________. 5.方程组51x ay y x +=⎧⎨-=⎩有正整数解,则正整数a=_______. 6.从一升酒精中倒出13升,再加上等量的水,液体中还有酒精__________升;搅匀后,再倒 出13升混合液,并加入等量的水, 搅匀后,再倒出13升混合液, 并加入等量的水,这时,所得混合液中还有______升酒精.7.如图31,在四边形ABCD 中.AB=6厘米,BC=8厘米,CD=24厘米,DA=26厘米.且∠ABC=90°,则四边形ABCD 的面积是______.8.如图32,∠1+∠2+∠3∠4+∠5+∠6=______.9.2x x +++的最小值的整数部分是______.10.已知两数积ab ≠1.且2a 2+1234567890a+3=0,3b 2+1234567890b+2=0,则a b=______. 三、解答题:(每题5分,共10分,要求:写出完整的推理、计算过程,语言力求简明,字迹与绘图力求清晰、工整)1. 已知两个正数的立方和是最小的质数.求证:这两个数之和不大于2.2.一块四边形的地(如图33)(EO∥FK,OH∥KG)内有一段曲折的水渠,现在要把这段水渠EOHGKF改成直的.(即两边都是直线)但进水口EF的宽度不能改变,新渠占地面积与原水渠面积相等,且要尽可能利用原水渠,以节省工时.那么新渠的两条边应当怎么作?写出作法,并加以证明.答案与提示一、选择题提示:3.由y>0,可知x<0.故选(C).4.容易看到a=b=c时,原式成为3(x+a)2,是完全平方式.故选(B).5.△ACD是等边三角形,△BCA和△ADE均为等腰三角形.故知∠BAC=30°,而∠BAE=120°,所以选(A).6.以等边三角形为例,当D为BC边上的中点时,有AD2>BD2+CD2,当D为BC边的端点时,有AD2=BD2+CD2,故有2AD2>BD2+CD2.故选(D).故选(C).∴选(C).9.∵x=4,y=5,z=4,u=4.∴选(A).10.由a+b=21,a,b质数可知a,b必为2与19两数.二、填空题提示:1.1989×19911991-1991×19891988=1989(1991×104+1991)-1991(1989×104+1988)=1989×1991-1991×1988=1991.2.原式=a2+b2+c2+2ab+2bc+2ca+b2+2c2+ab+2ac+3bc=(a+b+c)2+(b+c)(b+2c)+a(b+2c)=(a+b+c)2+(b+2c)(a+b+c)=(a+b+c)(a+2b+3c).3.原式=(a+c)(a+b)∶[(b+a)(b+c)∶(c+a)(c+b)]∴平方根为±(a+c).4.正多边形中,最小内角为60°,只有a,b,c均为3时,所取的内角和才可能为180°.5.两式相加有(1+a)y=6,因为a,y均为正整数,故a的可能值为5,这时y=1,这与y-x=1矛盾,舍去;可能值还有a=2,a=1,这时y=2,y=3与y-x=1无矛盾.∴a=1或2.7.在直角三角形ABC中,由勾股定理可知AC=10cm,在△ADC中,三边长分别是10,24,26,由勾股定理的逆定理可△ADC为直角三角形.从而有面积为8.∠1+∠2+∠3+∠4+∠5+∠6,正好是以∠2,∠3,∠5为3个内角的四边形的4个内角之和.∴和为360°.10.由已知条件可知a是方程2x2+1234567890x+3=0的一个根,b是方程3y2+1234567890y+2=0的一个根,后者还可以看成:三、解答题1.设这两个正数为a,b.则原题成为已知a3+b3=2,求证a+b≤2.证明(反证法):若a+b>2由于a3+b3=2,必有一数小于或等于1,设为b≤1,→a>,这个不等式两边均为正数,→a3>(2-b)3.→a3>8-12b+6b2-b3.→a3+b3>8-12b+6b2.→6b2-12b+6<0.→b 2-2b+1<0.→(b-1)2<0. 矛盾.∴a+b ≤2.即本题的结论是正确的.2.本题以图33为准.由图34知OK ∥AB ,延长EO 和FK ,即得所求新渠.这时,HG=GM (都等于OK ),且OK ∥AB ,故△OHG 的面积和△KGM 的面积相同.即新渠占地面积与原渠面积相等.而且只挖了△KGM 这么大的一块地.我们再看另一种方法,如图35.作法:①连结EH ,FG .②过O 作EH 平行线交AB 于N ,过K 作FG 平行线交于AB 于M .③连结EN 和FM ,则EN ,FM 就是新渠的两条边界线.又:EH ∥ON∴△EOH 面积=△FNH 面积.从而可知左半部分挖去和填出的地一样多,同理,右半部分挖去和填出的地也一样多.即新渠面积与原渠的面积相等.由图35可知,第二种作法用工较多(∵要挖的面积较大).故应选第一种方法。
2000 年第 11 届“希望杯”全国数学邀请赛试卷(初二第2 试)一、选择题(共 10 小题,每题 3 分,满分 30 分)1.( 3 分),﹣ ,﹣ ,﹣这四个数从小到大的摆列次序是( )A .﹣ <﹣ <﹣ <﹣B .﹣ <﹣ <﹣ <﹣C .﹣ <﹣ <﹣ <﹣D .﹣<﹣<﹣<﹣2.( 3 分)一个三角形的三条边长分别是a ,b ,c ( a , b , c 都是质数),且 a+b+c =16,则这个三角形的形状是( )A .直角三角形B .等腰三角形C .等边三角形D .直角三角形或等腰三角形3.( 3 分)已知 25x = 2000, 80y = 2000,则 等于( )A .2B .1C .D .4.( 3 分)设 a+b+c =0, abc > 0,则 的值是()A .﹣ 3B .1C . 3 或﹣ 1D .﹣ 3 或 15.( 3 分)设实数 a 、 b 、 c 知足 a <b < c ( ac < 0),且 |c|< |b|< |a|,则 |x ﹣ a|+|x ﹣ b|+|x+c|的 最小值是( )A .B .|b|C . c ﹣ aD .﹣ c ﹣a6.( 3 分)若一个等腰三角形的三条边长均为整数,且周长为 10,则底边的长为()A .全部偶数B .2 或 4 或 6 或 8C . 2 或 4 或 6D . 2 或 4 7.( 3 分)三元一次方程 x+y+z = 1999 的非负整数解的个数有( )A .20001999 个B .19992000 个C . 2001000 个D . 2001999 个8.( 3 分)如图,梯形 ABCD 中, AB ∥ CD ,且 CD = 3AB ,EF ∥CD ,EF 将梯形 ABCD 分红面积相等的两部分,则 AE : ED 等于( )A .2B .C.D.9.( 3 分)如图,一个边长分别为3cm、 4cm、 5cm 的直角三角形的一个极点与正方形的顶点 B 重合,另两个极点分别在正方形的两条边AD 、DC 上,那么这个正方形的面积是()A .B .C.D.10.( 3 分)已知 p+q+r = 9,且,则等于()A .9B .10C. 8D. 7二、填空题(共10 小题,每题 4 分,满分40 分)11.(4 分)化简:=.12.( 4 分)若多项式2 2能够分解为( x+2y+m)( 2x﹣ y+n)的形式,则2x +3xy﹣2y ﹣ x+8y﹣6=.13.( 4 分)△ ABC 中, AB> AC, AD、 AF 分别是BC 边上的中线和∠ A 的均分线,则 AD 和 AF 的大小关系是AD AF.(填“>”、“<”或“=”)14.( 4 分)如图,锐角△ABC 中, AD 和 CE 分别是 BC 和 AB 边上的高,若AD 与 CE 所夹的锐角是58°,则∠ BAC +∠BCA 的大小是.15.( 4 分)设,,则4 4 4 2 2 2 2 2 2的值等a +b +c ﹣ a b ﹣ b c ﹣ c a于.16.( 4 分)已知 x 为实数,且2 3的值是.x + = 3,则 x +17(. 4 分)已知 n为正整数,若是一个既约分数,那么这个分数的值等于.18.( 4 分)如图,在△ABC 中, AC= 2, BC= 4,∠ ACB= 60°,将△ ABC 折叠,使点 B 和点 C 重合,折痕为DE,则△ AEC 的面积是.19.( 4 分)已知非负实数a、 b、c 知足条件: 3a+2b+c= 4, 2a+b+3c= 5,设 S= 5a+4b+7c 的最大值为m,最小值为n,则 n﹣ m 等于.20.( 4 分)设 a、b、c、d 为正整数,且a 7=b6,c3= d2,c﹣a= 17,则 d﹣b 等于.三、解答题(共 3 小题,满分30 分)21.( 10 分)已知实数a、 b 知足条件 |a﹣ b|=<1,化简代数式(﹣),将结果表示成只含有字母 a 的形式.22.( 10 分)如图,正方形ABCD 中, AB=,点E、F分别在BC、CD上,且∠ BAE=30°,∠ DAF =15°,求△ AEF 的面积.23.( 10 分)将编号为1,2,3,4,5 的五个小球放入编号为1,2,3,4,5 的五个盒子中,每个盒子只放入一个,① 一共有多少种不一样的放法?②若编号为 1 的球恰巧放在了 1 号盒子中,共有多少种不一样的放法?③ 若起码有一个球放入了同号的盒子中(即对号放入),共有多少种不一样的放法?2000 年第 11 届“希望杯” 全国数学邀请赛试卷(初二第2试)参照答案与试题分析一、选择题(共 10 小题,每题 3 分,满分30 分)1.( 3 分),﹣,﹣,﹣这四个数从小到大的摆列次序是()A .﹣<﹣<﹣<﹣B .﹣<﹣<﹣<﹣C.﹣<﹣<﹣<﹣D .﹣<﹣<﹣<﹣【剖析】本题中各数的数值较大,假如先通分在比较大小则会惹起繁琐的计算,故可利用,再依据负数比较大小的原则进行比较.【解答】解:设为真分数,则b﹣ a< 0,∴﹣=﹣==< 0,∴<,于是<<<,∴﹣<﹣<﹣<﹣.应选: A.【评论】本题考察的是有理数的大小比较,解答本题的重点是熟知有理数比较大小的方法,利用<是解题的重点.2.( 3 分)一个三角形的三条边长分别是a, b, c( a, b, c 都是质数),且 a+b+c=16,则这个三角形的形状是()A.直角三角形B.等腰三角形C.等边三角形D.直角三角形或等腰三角形【剖析】 把 a , b , c 中的两个字母的和看作一个整体,因为a+b+c = 16,16 是偶数,根据偶数 +偶数=偶数,奇数 +奇数=偶数, 偶数 +奇数=奇数,而 2 是独一的偶质数, 得出a , b ,c 中有一个是 2,不如设 a =2,则 b+c = 14,且 b 、 c 都是奇质数,再依据三角形三边关系定理得出b 、c 的值,从而得出结果.【解答】 解:∵ a+b+c = 16,a ,b ,c 都是质数,则 a ,b ,c 的值必定是: 1 或 2 或 3 或 5或 7 或 11 或 13.∴ a , b , c 中有一个是 2,不如设 a = 2.∴ b+c =14,且 b 、c 都是奇质数,又∵ 14= 3+11= 7+7,而 2+3 <11,∴以 2,3, 11 为边不可以构成三角形;2+7 > 7,∴以 2,7, 7 为边能构成三角形.∴这个三角形是等腰三角形.【评论】 本题考察了奇偶数、质数的有关知识及三角形三边关系定理.难度较大,此中对于奇偶数、质数的有关知识考察属于比赛题型,高出教材大纲领求范围.3.( 3 分)已知 25x = 2000, 80y = 2000,则 等于( )A .2B .1C .D .【剖析】 由 25x = 2000, 80y = 2000,可得 25x = 25× 80, 80y = 25×80,推出 25x ﹣1= 80,80y ﹣1= 25,推出( 80y ﹣ 1)x ﹣ 1= 80,推出( y ﹣ 1)( x ﹣1)= 1,即 xy = x+y ,由 xy ≠ 0,推出= 1,由此即可解决问题.【解答】 解:∵ 25x= 2000 ,80y=2000,∴ 25x = 25× 80, 80y= 25× 80, ∴ 25x ﹣ 1= 80, 80y ﹣1= 25,∴( 80y ﹣1)x ﹣ 1= 80,∴( y﹣1)( x ﹣ 1)= 1,∴ xy ﹣ x ﹣y+1= 1,∴ xy = x+y ,∵ xy ≠ 0,∴= 1,∴ + = 1.应选: B .方法二: 25x= 2000∴ 25xy = 2000y =( 25× 80) y = 25y ?80y =25y ?25x = 25x+y ,∴ xy = x+y ,∴ + = 1,应选: B .【评论】 本题考察了同底数幂的乘法运算法例,幂的乘方与积的乘方等知识,解题的关键是灵巧运用所学知识解决问题,学会用整体的思想思虑问题,属于中考常考题型.4.( 3 分)设 a+b+c =0, abc > 0,则的值是()A .﹣ 3B .1C . 3 或﹣ 1D .﹣ 3 或 1【剖析】 由 a+b+c = 0,abc > 0,可知 a 、b 、c 中二负一正,将 b+c =﹣ a ,c+a =﹣ b ,a+b=﹣ c 代入所求代数式,可判断, , 中二正一负.【解答】 解:∵ a+b+c = 0,abc > 0,∴ a 、 b 、 c 中二负一正,又 b+c =﹣ a , c+a =﹣ b , a+b =﹣ c ,∴=++ ,而当 a > 0 时, =﹣ 1,当 a < 0 时, = 1,∴, ,的结果中有二个 1,一个﹣ 1,∴ 的值是 1.应选: B .【评论】 本题考察了分式的加减,绝对值的运算,判断 a 、 b 、 c 的符号是解题的重点.5.( 3 分)设实数 a 、 b 、 c 知足 a <b < c ( ac < 0),且 |c|< |b|< |a|,则 |x ﹣ a|+|x ﹣ b|+|x+c|的 最小值是( )A .B .|b|C . c ﹣ aD .﹣ c ﹣a【剖析】 依据 ac < 0 可知, a ,c 异号,再依据 a < b <c ,以及 |c|< |b|< |a|,即可确立 a ,b ,依据数轴即可确立.【解答】解:∵ ac< 0∴a,c 异号∴a< 0, c> 0又∵ a< b< c,以及 |c|< |b|< |a|∴a< b<﹣ c< 0< c|x﹣ a|+|x﹣ b|+|x+c|表示到 a,b,﹣ c 三点的距离的和.当 x 在表示 b 点的数的地点时距离最小,即 |x﹣ a|+|x﹣ b|+|x+c|最小,最小值是 a 与﹣ c 之间的距离,即﹣ c﹣ a.应选: D .【评论】本题解决的重点是依据条件确立a,b, c,﹣ c 之间的大小关系,把求式子的最值的问题转变为距离的问题.6.( 3 分)若一个等腰三角形的三条边长均为整数,且周长为10,则底边的长为()A .全部偶数B .2 或 4 或 6 或 8C. 2 或 4 或 6D. 2 或 4【剖析】设腰长为x,则底边为10﹣ 2x,依据三角形三边关系可获得腰长可取的值,从而不难求得底边的长.【解答】解:设腰长为x,则底边为10﹣ 2x.∵10﹣2x﹣ x< x< 10﹣2x+x,∴ 2.5<x< 5,∵三边长均为整数,∴ x 可取的值为: 3 或 4,∴当腰长为 3 时,底边为 4;当腰长为 4 时,底边为 2;应选: D .【评论】本题主要考察等腰三角形的性质及三角形三边关系的综合运用.7.( 3 分)三元一次方程x+y+z= 1999 的非负整数解的个数有()A .20001999 个B .19992000 个C. 2001000 个D. 2001999 个【剖析】先设 x= 0,y+z= 1999,y 分别取 0,1,2,1999 时,z 取 1999,1998,,0,有2000 个整数解;当 x= 1 时,y+z= 1998,有 1999 个整数解;当 x= 1999 时,y+z= 0,只有 1 组整数解,依此类推,而后把个数加起来即可.【解答】解:当 x=0 时,y+z= 1999,y 分别取 0,1,2,1999 时,z 取 1999,1998,,当x= 1 时, y+z= 1998,有 1999 个整数解;当x= 2 时, y+z= 1997,有 1998 个整数解;当x= 1999 时, y+z= 0,只有 1 组整数解,故非负整数解的个数有 2000+1999+1998+ +3+2+1 =2001000 (个),应选: C.【评论】本题考察了三元一次不定方程的解,解题的重点是确立x、 y、 z 的值,分类讨论.8.( 3 分)如图,梯形ABCD 中, AB∥ CD,且 CD= 3AB,EF ∥CD ,EF 将梯形 ABCD 分红面积相等的两部分,则AE: ED 等于()A .2B .C.D.【剖析】依据 EF 将梯形 ABCD 分红面积相等的两部分的性质能够求得EF 与的长度,设CD= 3,AB =1,设 AE: ED= x,则依据梯形ABEF 面积是梯形ABCD 面积的一半即可解题.【解答】解:设梯形高为h,设 CD= 3, AB= 1,设 AE: ED= x: 1,则AM :AN =x:( x+1 ),则 AM =?h,EH=×(CD﹣AB),则梯形 ABEF 的面积为??h?[(CD﹣AB)+AB+AB]=?(? AB+CD)?h解得 x=,∴ AE: ED =.第 9 页(共 21 页)应选: C .【评论】 本题考察了梯形面积的计算,考察了相像梯形对应边比值相等的性质,本题中依据 x 的关系式求 x 的值是解题的重点.9.( 3 分)如图,一个边长分别为3cm 、 4cm 、 5cm 的直角三角形的一个极点与正方形的顶点 B 重合,另两个极点分别在正方形的两条边 AD 、DC 上,那么这个正方形的面积是 ( )A .B .C .D .【剖析】 如图,由△ BEF 的三边为 3、 4、 5,依据勾股定理逆定理能够证明其是直角三角形,利用正方形的性质能够证明△FDE ∽△ ECB ,而后利用相像三角形的性质能够得到 DE :CB = 3:4,设 DE 为 3x ,则 BC 是 4x ,依据勾股定理即可求出 x 2=,也就求出了正方形的面积.【解答】 解:如图,∵△ BEF 的三边为 2223、 4、 5,而 3 +4 = 5 ,∴△ BEF 为直角三角形,∴∠ FEB =90°,而四边形 ABCD 为正方形,∴∠ D =∠ C = 90°,∴△ FDE ∽△ ECB ,∴ DE : CB =EF : EB ,即 DE : CB = 3:4,∴设 DE 为 3x ,则 BC 是 4x ,∴ EC 是 x ,∵三角形 EBC 为直角三角形,22 2 ∴ EB = EC +BC ,22∴ 16=x +( 4x ) ,∴ x 2=,∵ S 正方形 ABCD =( 4x )2= cm 2.应选: D .【评论】 本题考察了正方形的性质、直角三角形的性质、相像三角形的性质与判断、勾股定理等知识,综合性比较强,对于学生的能力要求比较高.10.( 3 分)已知 p+q+r = 9,且 ,则 等于( )A .9B .10C . 8D . 7【剖析】 本题能够利用已知条件表示 p 、 q 、 r ,而后借助因式分解达到约分的目的.【解答】 解:设= k ,2 2 2则 p =( x ﹣ yz ) k , q =( y ﹣ zx ) k , r =( z ﹣ xy ) k .已知 p+q+r = 9,则( x 2﹣ yz ) k+( y 2﹣ zx )k+( z 2﹣ xy ) k = 9,即 k ( x 2﹣ yz+y 2﹣ zx+z 2﹣ xy )= 9.原式==k ( x 2﹣ yz+y 2﹣ zx+z 2﹣xy )= 9.应选: A .【评论】 本题考察了因式分解的运用,在碰到等比的时候,要擅长用设k 的方法.33 3222﹣xy ). 注意: x +y +z ﹣ 3xyz =( x+y+z )( x ﹣ yz+y ﹣ zx+z 二、填空题(共 10 小题,每题4 分,满分 40 分)11.(4 分)化简: = 1 .【剖析】 本题可对根号内的项进行配方,变换成平方形式,而后进行开方,化简即可.【解答】 解:原式====== 1【评论】 本题考察二次根式的化简求值,计算时联合(a+b ) 2,注意配方联合各项之间的关系.12.( 4 分)若多项式2 2能够分解为( x+2y+m)( 2x﹣ y+n)的形式,则2x +3xy﹣2y ﹣ x+8y﹣6=﹣.【剖析】由题意多项式2 2﹣ x+8y﹣ 6 能够分解为( x+2y+m)( 2x﹣ y+n)的形式,2x +3xy﹣ 2y将整式( x+2y+m)( 2x﹣ y+n)相乘,而后依据系数相等求出m 和 n,从而求解.【解答】解:∵多项式2 2能够分解为(x+2y+m)(2x﹣ y+n)的形式,2x +3 xy﹣ 2y ﹣ x+8y﹣ 6∴( x+2y+m)( 2x﹣ y+n)= 2x 2 2 2 2 +3 xy﹣ 2y +( 2m+n)x+(2n﹣ m) y+mn= 2x +3xy﹣ 2y ﹣x+8 y﹣ 6,∴2m+n=﹣ 1, 2n﹣ m= 8, mn=﹣ 6,解得 m=﹣ 2, n= 3,∴==﹣,故答案为:﹣.【评论】本题主要考察因式分解的意义,紧扣因式分解的定义,是一道基础题.13.( 4 分)△ ABC 中, AB> AC, AD、 AF 分别是BC 边上的中线和∠ A 的均分线,则 AD 和 AF 的大小关系是AD>AF.(填“>”、“<”或“=”)【剖析】设 AB 的中点是 E,连结 DE.依据三角形的中位线定理,得DE∥ AC,DE=AC,联合已知条件,得DE < AE,则∠ ADE >∠ DAE ,又∠ ADE =∠ CAD ,则∠ CAD >∠DAE,故 AF 在 AD 的右边,依据大角对大边即可证明.【解答】解:设 AB 的中点是 E,连结 DE .依据三角形的中位线定理,得DE ∥ AC, DE = AC,又AB>AC,则 DE < AE,∴∠ADE>∠DAE,又∠ ADE=∠ CAD,∴∠ CAD>∠ DAE,故 AF 在 AD 的右边,则 AD > AF.【评论】 本题综合运用了三角形的中位线定理和大角对大边、大边对大角的性质.14.( 4 分)如图,锐角△ABC 中, AD 和 CE 分别是 BC 和 AB 边上的高,若 AD 与 CE 所夹的锐角是 58°,则∠ BAC +∠BCA 的大小是122°.【剖析】 依据直角三角形的两个锐角互余,求得∠BAD =∠ BCE = 90°﹣ 58°= 32°,依据三角形的外角的性质,求得∠DAC +∠ DCA = 58°,从而求解.【解答】 解:∵ AD 和 CE 分别是 BC 和 AB 边上的高, ∴∠ BAD =∠ BCE =90°﹣ 58°= 32°, 又∠ DAC+∠ DCA = 58°,∴∠ BAC+∠ BCA = 32°× 2+58°= 122°. 故答案为 122°.【评论】 本题综合运用了三角形的内角和定理的推论:直角三角形的两个锐角互余;三 角形的一个外角等于和它不相邻的两个内角的和.15(. 4 分)设 ,4 4 42 22 22 2.,则 a +b +c ﹣ a b ﹣ b c ﹣ c a 的值等于 5 【剖析】 把所给代数式整理为和 a 2﹣ b 2,b 2﹣ c 2,a 2﹣ c 2有关的形式,把有关数值代入求值即可.【解答】 解:∵① ;② ;∴ ① +② 得: a 2﹣ c 2= 2,∴原式=== 5,故答案为 5.【评论】 考察代数式的求值,把所给代数式整理为和 a 2﹣b 2, b 2﹣ c 2,a 2﹣ c 2有关的形式是解决本题的重点.16.( 4 分)已知 x 为实数,且2 3的值是± 2 .x + = 3,则 x +2= 3,可求出3 2与+x 的形式【剖析】依据 x + +x 的值,把 x + 变形为含有 x + 即可.【解答】解:∵ x 2+ =﹣ 2= 3,故 +x=±,3=( x+ 2)=±× 2又∵ x + )( x ﹣ 1+=± 2 .故答案为:± 2 .【评论】本题考察了完整平方公式,属于基础题,重点是利用完整平方公式进行变形求解.17(. 4 分)已知 n为正整数,若是一个既约分数,那么这个分数的值等于.【剖析】第一把分式的分子分母进行因式分解,发现有公因式(n﹣2),又知是一个既约分数,故可解得n 的值,从而获得分式的值.【解答】解: n 2+3n﹣ 10=( n﹣ 2)( n+5),2n +6n﹣16=( n﹣ 2)( n+8)分子分母有公因子(n﹣ 2),又知是一个既约分数,只好 n﹣ 2= 1,即 n=3,故==.故答案为.【评论】本题主要考察分式等式证明的知识点,解答本题的重点是娴熟掌握即约分数的观点,本题难度一般.18.( 4 分)如图,在△ABC 中, AC= 2, BC= 4,∠ ACB= 60°,将△ ABC 折叠,使点 B 和点 C 重合,折痕为DE,则△ AEC 的面积是.【剖析】连结 AD ,判断出△ ADC 为正三角形,从而判断出△ABC 为直角三角形,经过翻折不变性得出△AEC≌△ DEC 、△ BED ≌△ DEC,从而获得△ AEC 和△ ABC 的面积比,求出△ABC 的面积即可求出△AEC 的面积.【解答】解:连结AD ,∵AC= DC= 2,∠ ACB=60°,∴△ ADC 是等边三角形.∵BD= DC=DA ,∠ ADC= 60°,∴∠ BAD= 30°,∴∠ BAC= 90°.在Rt△AEC 和 Rt△ DEC 中,∵ AC= DC,EC= EC,∴△AEC≌△ DEC( HL ).依据翻折不变性可知,∴△ BED≌△ DEC,于是 S△AEC= S△ABC;又∵ AB==2,∴ S△AEC=S△ABC=×AC?AB=×× 2× 2=.故答案为.【评论】本题考察了翻折变换,波及正三角形的判断、直角三角形的判断和性质等内容,构想奇妙,是一道好题.19.( 4 分)已知非负实数a、 b、c 知足条件: 3a+2b+c= 4, 2a+b+3c= 5,设 S= 5a+4b+7c 的最大值为m,最小值为n,则 n﹣ m 等于﹣2.【剖析】已知, 3a+2b+c=4, 2a+b+3c= 5,可经过转变用 c 表示出a、 b, a= 6﹣5c, b = 7c﹣7,又已知非负实数a、 b、 c,所以可得,a≥0, b≥ 0,即6﹣ 5c≥ 0, 7c﹣7≥ 0,得 c 的取值范围是1≤ c≤,再用c表示出S=10c+2,依据c的取值范围,可求出S 的最大值和最小值,解答即可.【解答】解:已知, 3a+2 b+c= 4① ,2a+b+3c=5② ,② × 2﹣①得, a+5 c= 6, a= 6﹣ 5c,① × 2﹣② × 3 得, b﹣ 7c=﹣ 7, b= 7c﹣7,又已知 a、 b、 c 为非负实数,所以, 6﹣ 5c≥ 0, 7c﹣ 7≥ 0,可得, 1≤ c≤,S= 5a+4b+7 c,=5×( 6﹣ 5c)+4×( 7c﹣7) +7c,=10c+2,所以 10≤ 10c≤ 12,12≤ 10c+2= S≤ 14,即m= 14, n= 12,n﹣ m=﹣ 2,故答案为﹣ 2.【评论】本题主要考察了一次函数的性质,要掌握它们的性质才能灵巧解题;本题用非负实数 c 表示出 a、 b,并求出s 的取值范围,是解答本题的核心.7 6 3 2,c﹣a= 17,则 d﹣b 等于 601 .20.( 4 分)设 a、b、c、d 为正整数,且 a =b ,c = d【剖析】将 a 7= b6,c3=d2转变为对于同一底数幂的形式,再代入c﹣a=17中试解即可.7 6 6 7 【解答】解:因为 a = b ,所以 a 只好是 m , b 只好是 m .由c﹣ a= 17,得2 6,n ﹣ m = 17( n+m 3)( n ﹣m 3)= 17,故 n+m 3= 17,n ﹣ m 3= 1,所以 n = 9, m = 2.所以 a = 64, b =128, c =81. d = 729,d ﹣ b =601.【评论】 本题考察了整数问题的综合运用,将题目条件进行转变,再进行试解是解题的重点,表现了转变思想在解题中的应用. 三、解答题(共 3 小题,满分 30 分)21.( 10 分)已知实数 a 、 b 知足条件 |a ﹣ b|= < 1,化简代数式(﹣ ),将结果表示成只含有字母a 的形式.【剖析】 由已知可得 a ﹣ b ﹣ 1=(a ﹣ b )﹣ 1< 0,据此把代数式化简,又因为要将结果表 示成只含有字母 a 的形式,依据|a ﹣ b|= ,分状况议论,得出用 a 表示 b 的代数式,代入化简即可.【解答】 解:∵ |a ﹣ b|= < 1,∴ a 、b 同号,且 a ≠ 0, b ≠ 0, ∴ a ﹣ b ﹣ 1=( a ﹣ b )﹣ 1< 0,∴( ﹣ )=( ﹣ ) [1﹣( a ﹣ b ) ] = .① 若 a 、b 同为正数,由< 1,得 a > b ,∴ a ﹣ b =, a 2﹣ ab = b ,解得 b = ,∴( ﹣ ) ===﹣ ? =﹣=﹣;② 若 a 、b 同为负数,由 < 1,得 b > a ,∴ a ﹣ b =﹣ , a 2﹣ ab =﹣ b ,解得 b =,∴()====.综上所述,当a、b 同为正数时,原式的结果为﹣;当a、b同为负数时,原式的结果为.【评论】本题考察二次根式的化简求值,利用了(a≥ 0)的性质,要充分利用已知条件,难度较大.22.( 10 分)如图,正方形ABCD 中, AB=,点E、F分别在BC、CD上,且∠ BAE=30°,∠ DAF =15°,求△ AEF 的面积.【剖析】将△ ADF 绕 A 点顺时针方向旋转 90°到△ ABG 的地点,获得△ ABG,求证:△AEF ≌△ AEG,要求△ AEF 的面积求△ AEG 即可,且 AB 为底边上的高, EG 为底边.【解答】解:将△ ADF 绕 A 点顺时针方向旋转 90°到△ ABG 的地点,∴AG= AF,∠ GAB =∠ FAD =15°,∠ GAE= 15° +30°= 45°,∠ EAF = 90°﹣( 30° +15 °)= 45°,∴∠ GAE=∠ FAE ,又 AE= AE,∴△ AEF ≌△ AEG ,∴ EF=EG,∠ AEF =∠ AEG = 60°,在 Rt△ABE 中, AB=,∠ BAE=30°,∴∠ AEB=60°, BE=AB ?tan30°= 1,在Rt△EFC 中,∠ FEC = 180°﹣( 60°+60 °)= 60°,EC= BC﹣ BE=﹣1,EF=2(﹣1),∴ EG= 2(﹣1),S△AEG=EG?AB= 3﹣,∴S△AEF= S△AEG= 3﹣.【评论】本题考察了全等三角形的证明,考察了正方形各边各内角均相等的性质,解本题的重点是奇妙地建立△ABG ,而且求证△ AEF ≌△ AEG.23.( 10 分)将编号为 1,2,3,4,5 的五个小球放入编号为1,2,3,4,5 的五个盒子中,每个盒子只放入一个,① 一共有多少种不一样的放法?②若编号为 1 的球恰巧放在了 1 号盒子中,共有多少种不一样的放法?③ 若起码有一个球放入了同号的盒子中(即对号放入),共有多少种不一样的放法?【剖析】① 先放入,有 5 种不一样的方法,再放第二个球,这时以4 种不一样的放法,依此类推,能够求出不一样的放法,②一个小球固定 1 号盒,其他的四个球任意放,它们挨次有4、 3、 2、1 种不一样的放法,于是能够求出不一样的放法,③解法一:在这 120 种放法中,清除去所有不对号的放法,剩下的就是起码有一个球放入了同号的盒子中的放法种数,解法二:从五个球中选定一个球,有 5 种选法,将它放入同号的盒子中(如将 1 号球放入 1 号盒子),其他的四个球任意放,有24 种放法,这样共有 5× 24= 120 种放法,而后去掉重复的放法的种数就是起码有一个球放入了同号的盒子中的放法种数.【解答】解:①将第一个球先放入,有 5 种不一样的方法,再放第二个球,这时以 4 种不同的放法,依此类推,放入第三、四、五个球,分别有3、 2、 1 种放法,所以总合有 5 × 4× 3× 2× 1=120 种不一样的放法.②将 1 号球放在 1 号盒子中,其他的四个球任意放,它们挨次有4、3、2、1 种不一样的放法,这样共有4× 3× 2×1= 24 种不一样的放法.③ (解法一)在这 120 种放法中,清除去所有不对号的放法,剩下的就是起码有一个球放入了同号的盒子中的放法种数.为研究所有不对号的放法种数的计算法,设A1为只有一个球放入一个盒子,且不对号的放法种数,明显 A1= 0,A2为只有二个球放入二个盒子,且不对号的放法种数,∴ A2=1,A3为只有三个球放入三个盒子,且都不对号的放法种数,A3= 2, A n为有 n 个球放入n 个盒子,且都不对号的放法种数.下边我们研究A n+1的计算方法,考虑它与A n及 A n﹣1的关系,假如此刻有n 个球已经按所有不对号的方法放好,种数为A n.取此中的任意一种,将第n+1 个球和第n+1 个盒子拿来,将前面n 个盒子中的任一盒子(如第m 个盒子)中的球(必定不是编号为m 的球)放入第n+1 个盒子,将第n+1 个球放入方才空出来的盒子,这样的放法都是合理的.共有nA n种不一样的放法.可是,在方才的操作中,忽视了编号为m 的球放入第n+1 个盒子中的状况,即还有这样一种状况,编号为m 的球放入第n+1 个盒子中,且编号为n+1 的球放入第m 个盒子中,其他的 n﹣ 1 个球也都不对号.于是又有了nA n﹣1种状况是合理的.综上所述得A n+1= nA n +nA n﹣1= n( A n+A n﹣1).由A1=0, A2= 1,得 A3= 2( 1+0)= 2, A4= 3(2+1 )= 9, A5= 4( 9+2 )= 44.所以起码有一个球放入了同号的盒子中的放法种数为所有放法的种数减去五个球都不对号的放法种数,即 120﹣44= 76 种.(解法二)从五个球中选定一个球,有 5 种选法,将它放入同号的盒子中(如将 1 号球放入 1 号盒子),其他的四个球任意放,有24 种放法,这样共有5× 24= 120 种放法.但这些放法中有很多种放法是重复的,如将两个球放入同号的盒子中(比如 1 号球和 2 号球分别放入 1 号盒子、 2 号盒子中)的放法就计算了两次,这样从总数中应减去两个球放入同号的盒子中的状况,得120﹣C52P33= 120﹣ 60(种).很明显,这样的计算中,又使得将三个球放入同号的盒子中(比如 1 号球、 2 号球和 3 号球分别放入 1 号盒子、 2 号盒子和 3 号盒子中)的放法少计算了一次,于是前面的式子3 2中又要加入 C5 P2 = 20 种,4 1 5C 5 P 1 ,最后加上五个球放入同号中的状况 C 5 .整个式子为120﹣ C 5 2 35 3 2 4 15﹣ 5+1=76 (种).P 3 +C P 2﹣C 5 1+C 5 = 120﹣ 60+20P【评论】 本题主要考察计数方法的知识点,解答本题的重点是掌握计数原理,特别是第三问的解法不只一种,请同学们娴熟掌握.。
1. 下列数中,是质数的是()A. 14B. 15C. 16D. 172. 一个长方形的长是6cm,宽是4cm,它的周长是()A. 20cmB. 24cmC. 30cmD. 40cm3. 如果a + b = 7,a - b = 3,那么a的值是()A. 5B. 6C. 7D. 84. 下列各式中,能被3整除的是()A. 21 ÷ 6B. 24 ÷ 7C. 27 ÷ 9D. 30 ÷ 85. 小明从家到学校的路程是1200米,他骑自行车用了20分钟,那么他骑自行车的速度是()A. 30米/分钟B. 40米/分钟C. 60米/分钟D. 80米/分钟二、填空题(每题5分,共25分)6. 乘法口诀“六七四十二”中,7乘以6等于()。
7. 一个等腰三角形的底边长是8cm,腰长是6cm,那么这个三角形的周长是()cm。
8. 如果一个数的平方是25,那么这个数是()。
9. 一个数加上它的倒数等于2,这个数是()。
10. 下列各数中,有()个正整数。
三、解答题(每题10分,共30分)11. (10分)已知一个数的4倍与9的和是23,求这个数。
12. (10分)一个长方形的长是x厘米,宽是y厘米,它的周长是30厘米,求x和y的值。
13. (10分)一个梯形的上底是5cm,下底是10cm,高是8cm,求这个梯形的面积。
14. (15分)一个正方形的边长增加10%,那么它的面积增加了多少?15. (15分)小明从家到学校的路程是3km,他骑自行车用了30分钟,骑电动车用了20分钟,求骑自行车和骑电动车的速度。
注意:本试卷共五部分,满分100分。
考试时间为60分钟。
请仔细阅读题目,认真作答。
全国2018年第十一届“希望杯”数学竞赛初二组半决赛一.选择题:
1.-, -, -, -这四个数从小到大的排列顺序是()。
(A)-<-<-<-(B)-<-<-<-
(C)-<-<-<-(D)-<-<-<-
2.一个三角形的三条边长分别是a, b, c(a, b, c都是质数),且a+b+c=16,则这个三角形的形状是()。
(A)直角三角形(B)等腰三角形(C)等边三角形(D)直角三角形或等腰三角形
3.已知25x=2000, 80y=2000,则等于()。
(A)2 (B)1 (C)(D)
4.设a+b+c=0, abc>0,则的值是()。
(A)-3 (B)1 (C)3或-1 (D)-3或1
5.设实数a、b、c满足a<b<c (ac<0),且|c|<|b|<|a|,则|x-a|+|x-b|+|x+c|的最小值是()。
(A)(B)|b| (C)c-a (D)―c―a
6.若一个等腰三角形的三条边长均为整数,且周长为10,则底边的长为()。
(A)一切偶数(B)2或4或6或8 (C)2或4或6 (D)2或4
7.三元方程x+y+z=1999的非负整数解的个数有()。
(A)20001999个(B)19992000个(C)2001000个(D)2001999个
8.如图1,梯形ABCD中,AB//CD,且CD=3AB,EF//CD,EF将梯形ABCD分成面积相等的两部分,则AE :ED等于()。
(A)2 (B)(C)(D)
9.如图2,一个边长分别为3cm、4cm、5cm的直角三角形的一
个顶点与正方形的顶点B重合,另两个顶点分别在正方形的两
条边AD、DC上,那么这个正方形的面积是()。
(A)cm2(B)c m2
(C)c m2(D)c m2
10.已知p+q+r=9,且, 则等于()。
(A)9 (B)10 (C)8 (D)7
二.填空题:
11.化简:= 。
12.已知多项式2x2+3xy-2y2-x+8y-6可以分解为(x+2y+m)(2x-y+n)的形式,那么
的值是。
13.△ABC中,AB>AC,AD、AE分别是BC边上的中线和∠A的平分线,则AD和AE的大小关系是AD AE。
(填“>”、“<”或“=”)
14.如图3,锐角△ABC中,AD和CE分别是BC和AB边上的高,
若AD与CE所夹的锐角是58°,则∠BAC+∠BCA的大小
是。
15.设a2-b2=1+, b2-c2=1-,则
a4+b4+c4-a2b2-b2c2-c2a2的值等于。
16.已知x为实数,且x2+=3,则x3+的值是。
17.已知n为正整数,若是一个既约分数,那么这
个分数的值等于。
18.如图4,在△ABC中,AC=2,BC=4,∠ACB=60°,将△ABC
折叠,使点B和点C重合,折痕为DE,则△AEC的面积
是。
19.已知非负实数a、b、c满足条件:3a+2b+c=4, 2a+b+3c=5,设S=5a+4b+7c的最大值为m,最小值为n,则n-m等于。
20.设a、b、c、d为正整数,且a7=b6, c3=d2, c-a=17,则d-b等于。
三.解答题:
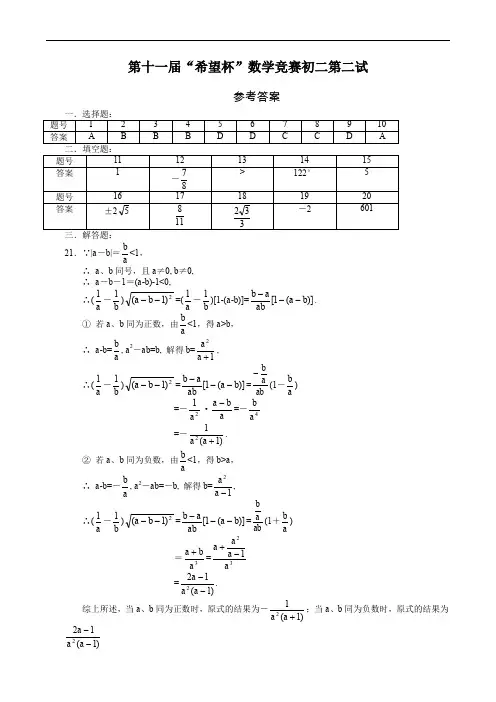
21.已知实数a、b满足条件|a-b|=<1,化简代数式(-),将结果表示成只含有字母a的形式。
22.如图5,正方形ABCD中,AB=,点E、F分别在BC、CD上,且∠BAE=30°,∠DAF =15°,求△AEF的面积。
23.将编号为1,2,3,4,5的五个小球放入编号为1,2,3,4,5的五个盒子中,每个盒子只放入一个,
= 1 * GB3 ① 一共有多少种不同的放法?
= 2 * GB3 ② 若编号为1的球恰好放在了1号盒子中,共有多少种不同的放法?
= 3 * GB3 ③ 若至少有一个球放入了同号的盒子中(即对号放入),共有多少种不同的放法?
参考答案
一.选择题:
二.填空题:
三.解答题:
21.∵|a-b|=<1,
∴ a、b同号,且a≠0, b≠0,
∴ a-b-1=(a-b)-1<0,
∴(-)=(-)[1-(a-b)]=. = 1 * GB3 ① 若a、b同为正数,由<1,得a>b,
∴ a-b=, a2-ab=b, 解得b=,
∴(-)==(1-)
=-·=-
=-.
= 2 * GB3 ② 若a、b同为负数,由<1,得b>a,
∴ a-b=-, a2-ab=-b, 解得b=,
∴(-)==(1+)
==
=.
综上所述,当a、b同为正数时,原式的结果为-;当a、b同为负数时,原式的
结果为
22.将△ADF绕A点顺时针方向旋转90°到△ABG的位置,
∴ AG=AF,∠GAB=∠FAD=15°,
∠GAE=15°+30°=45°,
∠EAF=90°-(30°+15°) =45°,
∴∠GAE=∠FAE,又AE=AE,
∴△AEF≌△AEG,∴EF=EG,
∠AEF=∠AEG=60°,
在Rt△ABE中,AB=,∠BAE=30°,
∴∠AEB=60°,BE=1,
在Rt△EFC中,∠FEC=180°-(60°+60°)=60°,
EC=BC-BE=-1,EF=2(-1),
∴EG=2(-1),S△AEG=EG·AB=3-,
∴S△AEF=S△AEG=3-.
23.= 1 * GB3 ① 将第一个球先放入,有5种不同的的方法,再放第二个球,这时以4种不同的放法,依此类推,放入第三、四、五个球,分别有3、2、1种放法,所以总共有5×4×3×2×1=120种不同的放法。
= 2 * GB3 ② 将1号球放在1号盒子中,其余的四个球随意放,它们依次有4、3、2、1种不同的放法,这样共有4×3×2×1=24种不同的放法。
= 3 * GB3 ③ (解法一)
在这120种放法中,排除掉全部不对号的放法,剩下的就是至少有一个球放入了同号的盒子中的放法种数。
为研究全部不对号的放法种数的计算法,设A1为只有一个球放入一个盒子,且不对号的放法种数,显然A1=0,A2为只有二个球放入二个盒子,且不对号的放法种数,∴ A2=1,A3为只有三个球放入三个盒子,且都不对号的放法种数,A3=2,……,A n为有n个球放入n个盒子,且都不对号的放法种数。
下面我们研究A n+1的计算方法,考虑它与A n及A n-1的关系,
如果现在有 n个球已经按全部不对号的方法放好,种数为A n。
取其中的任意一种,将第n+1个球和第n+1个盒子拿来,将前面n个盒子中的任一盒子(如第m个盒子)中的球(肯定不是编号为m的球)放入第n+1个盒子,将第n+1个球放入刚才空出来的盒子,这样的放法都是合理的。
共有n A n种不同的放法。
但是,在刚才的操作中,忽略了编号为m的球放入第n+1个盒子中的情况,即还有这样一种情况,编号为m的球放入第n+1个盒子中,且编号为n+1的球放入第m个盒子中,其余的n-1个球也都不对号。
于是又有了nA n-1种情况是合理的。
综上所述得A n+1=nA n+nA n-1=n(A n+A n-1).
由A1=0, A2=1, 得A3=2(1+0)=2, A4=3(2+1)=9, A5=4(9+2)=44.
所以至少有一个球放入了同号的盒子中的放法种数为全部放法的种数减去五个球都不对号的放法种数,即120-44=76种。
(解法二)
从五个球中选定一个球,有5种选法,将它放入同号的盒子中 (如将1号球放入1号盒子),其余的四个球随意放,有24种放法,这样共有5×24=120种放法。
但这些放法中有许多种放法是重复的,如将两个球放入同号的盒子中(例如1号球和2号球分别放入1号盒子、2号盒子中)的放法就计算了两次,这样从总数中应减去两个球放入同
号的盒子中的情况,得120-=120-60(种)。
很明显,这样的计算中,又使得将三个球放入同号的盒子中(例如1号球、2号球和3号球分别放入1号盒子、2号盒子和3号盒子中)的放法少计算了一次,于是前面的式子中又要
加入=20种,
再计算四个球、五个球放入同号盒子的情况,于是再减去四个球放入同号盒子中的情况,最后加上五个球放入同号中的情况。
整个式子为120-+-+=120-60+20-5+1=76(种)。