高等流体力学复习题
- 格式:docx
- 大小:167.95 KB
- 文档页数:18
32学时流体力学课复习题一、填空题1、流体是一种受任何微小的都会产生连续的物质。
2、牛顿内摩擦定律:,其中的比例系数称为。
3、作用在流体上的力可分为和两类。
4、水力学中,单位质量力是指作用在单位_____ 液体上的质量力。
5、单位质量力的量纲是。
6、对于不同的流体,体积弹性系数的值不同,弹性模量越,流体越不易被压缩。
7、某点处的绝对压强等于该处的加上该处的。
8、某点处的真空等于该处的减去该处的。
9、某点处的相对压强等于该处的减去该处的。
10、根据的大小,粘性流体的流动状态可分为和。
11、根据流体是否有粘性,流体可分为和。
12、根据流动参数随时间的变化,流体流动可分为流动和流动。
13、连续性方程是定律在流体力学上的数学表达形式。
14、总流伯努利方程是在流体力学上的数学表达形式。
15、计算局部阻力的公式为:;计算沿程阻力的公式为:。
16、相似条件包括、和。
17、沿程阻力主要是由于引起的,而局部阻力则主要是由于引起的。
18、连续性方程表示控制体的________守恒。
19、液体随容器作等角速度旋转时,重力和惯性力的合力总是与液体自由面。
20、圆管层流中断面平均流速等于管中最大流速的。
二、简答题1、简述液体与气体的粘性随温度的变化规律,并说明为什么?2、请详细说明作用在流体上的力。
3、简述流体的连续介质假说。
4、何谓不可压缩流体?在什么情况下可以忽略流体的压缩性?5、流体静压力有哪两个重要特征?6、不同形状的敞开的贮液容器放在桌面上,如果液深相同,容器底部的面积相同,试问作用于容器底部的总压力是否相同?桌面上受到的容器的作用力是否相同?为什么?7、相对平衡的液体的等压面形状与什么因素有关?8、静力学的全部内容适用于理想流体还是实际粘性流体?或者两者都可?为什么?9、叙述帕斯卡原理,试举例说明它在工程中的应用。
10、何谓压力体?压力体是由哪些面围成的?11、试述文丘里管测量流量的原理,如果通过文丘里管的流量保持不变,试问管道倾斜放置与水平放置的两种情况,测得差压计的液面高差是否会改变?为什么?12、简述沿程阻力系数随雷诺数的变化规律,并画出其趋势图。
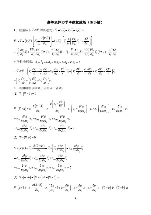
高等流体力学考题权威版(陈小榆)1、 柱坐标下V V ⋅∇的表达式(112233V V e V e V e =++):()()()()()()2211i i i i i i j i i j i i j j j j j j i j j i j j i i i i i i i i i j j j j j i i j j i j i i iV e V e V V V e e V e e e V h q h q q V VV V VV h V e V e V V e e i j i j e e i j h q h q h q h q h h q h q ⎡⎤⎡⎤∂⎛⎫∂∂⎢⎥⋅∇=⋅=⋅+⎢⎥ ⎪ ⎪∂∂∂⎢⎥⎢⎥⎝⎭⎣⎦⎣⎦∂∂∂∂∂∂=+≠+==+≠+∂∂∂∂∂∂对于柱坐标系:1321231,;,,h h h r q r q q z ε======2121122222121311323332133dV V dV dV V dV V dV dV V V =V ++V e +V ++V +e dr r d dz r dr r d dz r dV dVdV V +V ++V e drd dz V V r εεε∴⋅∇⎛⎫⎛⎫- ⎪ ⎪⎝⎭⎝⎭⎛⎫ ⎪⎝⎭2、 利用哈密尔顿算子证明以下各式: (1) ()a =0∇⋅∇⨯()()2222221233132231121222331213a j j i i i j i j ijk ki ii j i j i j a e x aaaa =e e e e e e e e x x x xx x x x aa ae e e e e e x x x x x x a e ⎛⎫∂∂⨯ ⎪ ⎪∂∇⨯∂⎛⎫⎛⎫∂∂∂⎝⎭∇⋅∇⨯⋅=⋅=⋅⨯=⨯⋅=⋅ ⎪ ⎪ ⎪ ⎪∂∂∂∂∂∂∂∂⎝⎭⎝⎭∂∂∂=⋅+⋅+⋅∂∂∂∂∂∂∂+22331232121213132a ae e e e e x x x x x x ∂∂⋅+⋅+⋅=∂∂∂∂∂∂(2) ()0ψ∇⨯∇=()()22222123313223213232121311121222213331323212i i jijk ki i j i j =e e e e e x x x x x e e e e e e x x x x x x e e e e e e x x x x x x ψψψψψψψψψψ⎛⎫∂∇⨯∂∂∇⨯∇⨯=⨯= ⎪ ⎪∂∂∂∂∂⎝⎭∂∂∂=++∂∂∂∂∂∂∂∂∂+++=∂∂∂∂∂∂(3) ()()()a b a b b a ∇⋅⨯=∇⨯⋅-∇⨯⋅()()()()i iiii i iiia b a b a b a b e e b a e b e a a b b a x x x x x ∂⨯⎛⎫∂∂∂∂∇⋅⨯=⋅=⋅⨯+⨯=⨯⋅-⨯⋅=∇⨯⋅-∇⨯⋅⎪∂∂∂∂∂⎝⎭(4) ()()()a b a b a b b a b a ∇⋅=⨯∇⨯+⋅∇+⋅∇+⨯∇⨯()()iii ii ia b a ba b e eb e a a b b a x x x ∂∂⋅∇⋅=⋅+⋅=∇⋅+∇⋅∂=∂∂∂ 又:()()b b b b ba a i i i i ii i i i i a b e e a e e a a e b a a b x x x x x ⎛⎫⎛⎫⎛⎫∂∂∂∂∂⨯∇⨯=⨯⨯=⋅-⋅=⋅-⋅=∇⋅-⋅∇ ⎪ ⎪ ⎪∂∂∂∂∂⎝⎭⎝⎭⎝⎭()()i i i i ii i i i i a a a a ab a b e b e b e e b b e a b b a x x x x x ⎛⎫⎛⎫⎛⎫∂∂∂∂∂⨯∇⨯=⨯⨯=⋅-⋅=⋅-⋅=∇⋅-⋅∇ ⎪ ⎪ ⎪∂∂∂∂∂⎝⎭⎝⎭⎝⎭3、 如果n 为闭曲面A 上的微元面dA 的单位外法线向量,12,ϕϕ是闭曲面满足20ϕ∇=的两个不同的解,试证明:(38页,6) (1)AndA=0⎰⎰(2)2112AAdA dA nnϕϕϕϕ∂∂=∂∂⎰⎰⎰⎰ 证明:(1)1AndA=d 0ττ∇=⎰⎰⎰⎰⎰(2)()()()()()()211221122112212212122121221221120AA A AdA dA n n dAnnn n dA d d d τττϕϕϕϕϕϕϕϕϕϕϕϕϕϕϕϕτϕϕϕϕϕϕϕϕτϕϕϕϕτ∂∂-=⋅∇-⋅∇∂∂⎡⎤=⋅∇-⋅∇=∇⋅∇-∇⎣⎦=∇+∇∇-∇-∇∇=⋅⋅=∇-∇⎰⎰⎰⎰⎰⎰⎰⎰⎰⎰⎰⎰⎰⎰⎰⎰⎰4、 有两族平面正交曲线()(),,,x y c x y d ζη==,已知22,2x y y ζ=-=时4x η=,求()x,y η,(40页,10) 解:,=0x x y yζηζηζη∂∂∂∂∴+∂∂∂∂正交, 即2x2y =0x yηη∂∂-∂∂ 40y y =22x 4-22x ηη∂∂=⋅⨯=∂∂当时,,代入得22yx xy c ηη∂∴=⇒=+∂2402y x c xy ηη===∴=由时,知,5、 求半径为a 的四分之一圆的垂直平面上流体的总的作用力F 和压力中心C 的位置,已知0x 与流体自由水平面重合,自由面上压力为零。
第一章 流体的主要物理性质计算题:1 一无限大平板在另一固定平面上作如图所示的平行运动,0.3V m s =,间隙高0.3h mm =,其中充满比重为0.88δ=、粘度为0.65cP μ=的流体,间隙中的流速按线性分布。
试求:(1)流体的运动粘度ν;(2)上平板壁面上的切应力τ上及其方向;(3)下平面壁面上的切应力τ下及其方向。
2 管道内流体速度分布为u=2y-y 2,式中u 为距管壁y 处的速度;试求:(1)管壁处之切应力;(2)距管壁0.5cm 处的切应力;(3)若管道直径d=2cm,在100长度的管壁上其总阻力为若干?设流体的粘度μ=0.4Pa ·s. 基本概念:1. 流体 2. 牛顿流体 3. 粘性 填空题:1流体力学中的三种主要假设模型是------------,-----------和--------------。
2 粘度是衡量流体--------物理量,动力粘度单位是--------。
问答题:1作用在流体上的力有哪几种?各如何表示?有何不同?判断题:1作用在流体质点上的力有重力和表面力( ).2液体一定是不可压缩性流体, 气体一定是可压缩性流体( ).3作用于流体上的重力可作为表面力来处理( ).第一章 流体的主要物理性质计算题: 1 解: (1)437265100.88107.410m s νμρ--==⨯⨯=⨯(2)y hdv dyV h τμμ===上53265100.30.3100.65N m --=⨯⨯⨯=。
顺y 轴的方向看去,上平板壁面为一负平面,故所得τ的正值应指向负x 轴方向,即指向左边。
(3)20.65V h N m τμ==下。
下平面为一正平面,故正τ应指向x 轴的正方向,即指向右边。
2 解:先求速度梯度y dydu22-= (1) 管壁处的切应力为8.024.000=⨯===y dydu μτ 2N m(2) 距管壁0.5cm 处的切应力为 当y=0.5cm 时15.022=⨯-=dydu1s 所以 4.014.0=⨯==dyduμτ 2N m (3) 当d=2cm,l=100m 时的总阻力为026.51001028.020=⨯⨯⨯⨯==-ππτdl T N基本概念:4. 流体: 流体是一种受任何微小剪切力作用都能持续变形的一种物体. 5. 牛顿流体: 内摩擦力满足牛顿内摩擦定律的流体. 6. 粘性: 是指流体在运动中所表现出的抵抗剪切变形的性质. 填空题:1 连续介质假设,不可压缩流体假设,理想流体假设2 粘性,Pa ·S 问答题:1 答: 作用在流体上的力有质量力和表面力.二种不同在于: ⑴质量力属于非接触产生的力,是力场的作用.表面力属于接触产生的力.⑵质量力作用在流体的每一个质点上,表面力作用在流体的表面上. ⑶质量力与流体的质量成正比,(如为均质体,与体积成正比),表面力与所取的流体的表面积成正比.判断题: 1 (ⅹ). 2 (ⅹ). 3 (ⅹ).第二章 流体静力学计算题:1 有如图所示的容器A 和B 。
2023年大学流体力学期末考试复习题总结(最新版汇总)一、选择题1.连续介质假设意味着 B 。
(A)流体分子互相紧连 (B) 流体的物理量是连续函数(C) 流体分子间有空隙 (D) 流体不可压缩2.流体的体积压缩系数βp 是在 B 条件下单位压强变化引起的体积变化率。
(A) 等压 (B) 等温 (C) 等密度3.水的体积弹性模数 C 空气的弹性模数。
(A) 小于 (B) 近似等于 (C) 大于4.静止流体 A 剪切应力。
(A) 不能承受 (B) 可以承受 (C) 能承受很小的 (D)具有粘性时可承受5.温度升高时,空气的粘性系数 B 。
(A) 变小 (B) 变大 (C) 不变6.运动粘性系数的单位是 B 。
(A)s/m2 (B) m2/s (C)N ·s/m2 (D) N ·m/s7.动力粘性系数μ与运动粘性系数ν的关系为μ= A 。
(A)ρν (B)ν/ρ (C) ν/p (D) pν8.流体的粘性与流体的 D 无关。
(A) 分子内聚力 (B) 分子动量交换 (C) 温度 (D) 速度梯度9.毛细液柱高度h 与 C 成反比。
(A) 表面张力系数 (B) 接触角 (C) 管径 (D) 粘性系数10.流体受压,体积缩小,密度增大 的性质,称为流体的压缩性 ;流体受热,体积膨胀,密度减少 的性质,称为流体的热胀性 。
压缩系数β的倒数称为流体的弹性模量 ,以E 来表示11.流体静压强的方向必然是沿着作用面的内法线方向。
12.通过描述物理量在空间的分布来研究流体运动的方法称为欧拉法。
13. 流线不能相交(驻点处除外),也不能是折线,因为流场内任一固定点在同一瞬间只能有一个速度向量,流线只能是一条光滑的曲线或直线。
14.液体质点的运动是极不规则的,各部分流体相互剧烈掺混,这种流动状态称为紊流。
15.由紊流转变为层流的临界流速k v 小于 由层流转变为紊流的临界流速kv ',其中kv '称为上临界速度,k v 称为下临界速度。
2011年1月流体力学试题一、单项选择题(本大题共10小题,每小题2分,共20分)在每小题列出的四个备选项中只有一个是符合题目要求的,请将其代码填写在题后的括号内。
错选、多选或未选均无分。
1.不可压缩流体是指( )A.平衡流体B.运动流体C.无粘性流体D.忽略密度变化的流体2.如题2图所示,用U形水银压差计测量水管A、B两点的压强差,水银面高差h p=10cm,p A-p B 为( )A.13.33kPaB.12.35kPaC.9.8kPaD.6.4kPa3.关于水流流向的正确说法是( )A.水一定是从高处往低处流题2图B.水一定是从流速大处往流速小处流C.水一定是从机械能大处往机械能小处流D.水一定是从测压管水头高处往测压管水头低处流4.实际液体的水力坡度J为( )A.J<0B.J=0C.J>0D.J=J p5.如题5图所示,排水管的断面平均流速v=2.0m/s,则管道出口的局部水头损失为( )A.0.102mB.0.204mC.0.306mD.0.408m题5图6.欲使水力最优梯形断面渠道的水深和底宽相等,则渠道的边坡系数m应为( )A.1/4B.1/2C.3/4D.17.棱柱形渠道发生M2型水面曲线时,水流的特性为( )A.Fr<l h>h cB.Fr>l h>h cC.Fr<l h<h cD.Fr>l h<h c8.宽顶堰的淹没系数随淹没程度h g/H的增大而( )sA.减小B.增大C.先减小后增大D.先增大后减小9.地下水渐变渗流的浸润线,沿程变化为( )A.下降B.保持水平C.上升D.前述情况都可能10.桥墩绕流的模型设计应采用( )A.雷诺准则B.马赫准则C.欧拉准则D.弗劳德准则二、填空题(本大题共10小题,每小题2分,共20分)请在每小题的空格中填上正确答案。
错填、不填均无分。
11.已知某流体的粘性切应力为5.0N/m2,动力粘度为0.1Pa·s,则其剪切变形速率为_______。
《高等流体力学》复习题一、 基本概念1. 什么是理想流体?正压流体,不可压缩流体? [答]:教材P57当流体物质的粘度较小,同时其内部运动的相对速度也不大,所产生的粘性应力比起其它类型的力来说可以忽略不计时,可把流体近似地看为是无粘性的,这样无粘性的流体称为理想流体。
内部任一点的压力只是密度的函数的流体,称为正压流体。
流体的体积或密度的相对变化量很小时,一般可以看成是不可压缩的,这种流体就被称为不可压缩流体。
2. 什么是定常场;均匀场;并用数学形式表达。
[答]:如果一个场不随时间的变化而变化,则这个场就被称为定常场。
其数学表达式为:)(ϕϕ=如果一个场不随空间的变化而变化,即场中不显含空间坐标变量r ,则这个场就被称为均匀场。
其数学表达式为:)(t ϕϕ=3. 理想流体运动时有无切应力?粘性流体静止时有无切应力?静止时无切应力是否无粘性?为什么? [答]:理想流体运动时无切应力。
粘性流体静止时无切应力。
但是,静止时无切应力,而有粘性。
因为,粘性是流体的固有特性。
4. 流体有势运动指的是什么?什么是速度势函数?无旋运动与有势运动有何关系? [答]:教材P119-123如果流体运动是无旋的,则称此流体运动为有势运动。
对于无旋流动来说,其速度场V 总可以由某个速度标量函数(场)),(t r φ的速度梯度来表示,即φ∇=,则这个标量函数(场)),(t φ称为速度场V 的速度势函数。
无旋运动与有势运动的关系:势流运动与无旋运动是等价的,即有势运动是无旋的,无旋运动的速度场等同于某个势函数的梯度场。
5. 什么是流函数?存在流函数的流体具有什么特性?(什么样的流体具有流函数?) [答]:6. 平面流动中用复变位势描述的流体具有哪些条件(性质)? [答]:教材P126-127理想不可压缩流体的平面无旋运动,可用复变位势描述。
7. 什么是第一粘性系数和第二粘性系数?在什么条件下可以不考虑第二粘性系数?Stokes 假设的基本事实依据是什么? [答]:教材P89第一粘性系数μ:反映了剪切变形对应力张量的贡献,因此称为剪切变形粘性系数; 第二粘性系数μ’:反映了体变形对应力张量的贡献,因而称为体变形粘性系数。
一、选择题(每题2分,共计30分)1、在( )参考系中给出各个流体质点的空间位置随时间的变化:000(,,,)r r x y z t =,而把相关的物理量表示为流体质点和时间的函数。
a. 拉格朗日 b. 欧拉 c. 黎曼 d. 连续介质2. 流体质点的某一物理量η随时间的变化率为:()D u Dt tηηη∂=+∇∂,其中t η∂∂称为( )。
a. 随体导数 b. 质点导数 c. 当地导数d. 对流导数3. 若速度场在任意空间点都满足0u ∇⨯=,则该速度场为( )流场。
a. 无旋 b. 定常 c. 层流 d. 均匀4. 应力张量ij σ与应变率张量ij s 之间的关系称为本构方程,下面叙述不正确的选项是( )。
a. 应力ij σ张量是对称张量b. 应变率张量ij s 是对称张量c. 理想流体本构关系为:ij ij p σδ=-d. 静止流体本构关系为:ij p σ=-5. 若速度场在任意空间点都满足( ),则该速度场为不可压缩流场。
a.0t ρ∂=∂ b. ()0u ρ∇=c. 0u ∇=d. 0dudt=6.已知:平面不可压缩流动,其y 方向的速度v=v 0( t ),忽略重力,则x 方向的N-S 方程可以写为:a. 221u u p ut y x y νρ∂∂∂∂+=-+∂∂∂∂b. 202()u u p uv t t y x y ν∂∂∂∂+=+∂∂∂∂c. 2021()u u p u v t t y x y νρ∂∂∂∂+=-+∂∂∂∂d. 202()u u u v t t y yν∂∂∂+=∂∂∂7.根据开尔文定理,正压、理想流体在质量力有势的情况下,如果某时刻部分流体无旋,则这部分流体在( )。
a.该时刻以前无旋,该时刻以后可能有旋。
b. 该时刻以前无旋,该时刻以后也无旋。
c.该时刻以前可能无旋,该时刻以后可能有旋。
d. 该时刻以前可能有旋,该时刻以后也可能有旋。
8.如图1所示,假设河水是理想不可压缩匀质、定常无旋流动,且外力只考虑重力,则( )。
流体力学试题及答案4一、选择题(每题2分,共10分)1. 流体力学中,描述流体运动的基本概念是()。
A. 质量B. 密度C. 速度D. 压力答案:C2. 流体静力学基本方程中,描述流体静压力与深度关系的公式是()。
A. P = ρghB. P = ρgh²C. P = ρgh³D. P = ρg答案:A3. 在不可压缩流体中,连续性方程表明()。
A. 质量守恒B. 能量守恒C. 动量守恒D. 角动量守恒答案:A4. 流体力学中的雷诺数是用来描述()。
A. 流体的密度B. 流体的粘度C. 流体流动的层流与湍流状态D. 流体的压缩性答案:C5. 根据伯努利方程,流体在管道中流动时,流速增加会导致()。
A. 压力增加B. 压力减小C. 温度增加D. 密度增加答案:B二、填空题(每题2分,共10分)1. 流体力学中,流体的粘性系数通常用符号________表示。
答案:μ2. 当流体流动时,如果流体的流线不相交,则该流动称为________流动。
答案:层流3. 流体力学中,流体的惯性力与流体的________和________有关。
答案:密度,速度4. 流体力学中,流体的表面张力是由分子间的________力引起的。
答案:吸引力5. 流体力学中,流体的压缩性是指流体在压力作用下体积的________。
答案:变化三、简答题(每题10分,共20分)1. 简述流体力学中的边界层概念及其重要性。
答案:边界层是指流体在固体表面附近流动时,由于粘性作用,流体速度从零逐渐增加到与主流速度相近的区域。
边界层的存在对流体的流动特性、摩擦阻力和流体的传热、传质等过程有重要影响。
2. 描述流体力学中的能量守恒定律,并给出其数学表达式。
答案:能量守恒定律表明,流体系统中能量的总量在没有外力作用的情况下是守恒的。
数学表达式为:ρu(E + p/ρ + gz) = constant,其中ρ是流体密度,u是流体速度,E是单位质量流体的内能,p是压力,g是重力加速度,z是垂直高度。
《高等流体力学》复习题一、基本概念1. 什么是流体,什么是流体质点?2. 什么是流体粘性,静止的流体是否具有粘性,在一定压强条件下,水和空气的粘性随着温度的升高是如何变化的?3. 什么是连续介质模型?在流体力学中为什么要建立连续介质这一理论模型?4. 给出流体压缩性系数和膨胀性系数的定义及表达式。
5. 简述系统与控制体的主要区别。
6. 流体静压强的特性是什么?绝对压强s p 、计示压强(压力表表压)p 、真空v p 及环境压强(一般为大气压)a p 之间有什么关系?7. 什么是理想流体,正压流体,不可压缩流体?8. 什么是定常场,均匀场,并用数学形式表达。
9. 分别用数学表达式给出拉格朗日法和欧拉法的流体加速度表达式。
10. 流线和迹线有何区别,在什么条件下流场中的流线和迹线相重合?11. 理想流体运动时有无切应力?粘性流体静止时有无切应力?静止时无切应力是否无粘性?为什么?12. 试述伯努利方程()22p V Z C g gψρ++=中各项的物理意义,并说明该方程的适用条件。
13. 流体有势运动指的是什么?什么是速度势函数?无旋运动与有势运动有何关系?14. 什么是流函数?存在流函数的流体具有什么特性?(什么样的流体具有流函数?)15. 平面流动中用复变位势描述的流体具有哪些条件(性质)?16. 伯努利方程22p V Z Const g gρ++=对于全流场均成立需要基于那些基本假设? 17. 什么是第一粘性系数和第二粘性系数?在什么条件下可以不考虑第二粘性系数?stokes 假设的基本事实依据是什么?18. 为推出牛顿流体的本构方程,Skokes 提出了3条基本假设,分为是什么?19. 作用在流体微团上的力分为那两种?表面应力ij τ的两个下标分别表示?ij τ的正负如何规定?20. 从分子运动学观点看流体与固体比较有什么不同?21. 试述流体运动的Helmhottz 速度分解定律并给出其表达式。
一、选择题1.按连续介质的概念,流体质点是指A .流体的分子; B. 流体内的固体颗粒; C . 无大小的几何点; D. 几何尺寸同流动空间相比是极小量,又含有大量分子的微元体。
2.作用在流体的质量力包括A. 压力;B. 摩擦力;C. 重力;D. 惯性力。
3.单位质量力的国际单位是:A . N ; B. m/s ; C. N/kg ; D. m/s 2。
4.与牛顿内摩擦定律直接有关系的因素是A. 切应力和压强; B. 切应力和剪切变形速率; C. 切应力和剪切变形。
5.水的粘性随温度升高而A . 增大; B. 减小; C. 不变。
6.气体的粘性随温度的升高而 A. 增大;B. 减小;C. 不变。
7.流体的运动粘度υ的国际单位是A. m 2/s ;B. N/m 2 ; C. kg/m ;D. N ·s/m2 8.理想流体的特征是A. 粘度是常数;B. 不可压缩;C. 无粘性; D. 符合pV=RT 。
9.当水的压强增加1个大气压时,水的密度增大约为A. 200001; B. 100001;C. 40001 。
10.水力学中,单位质量力是指作用在A. 单位面积液体上的质量力;B. 单位体积液体上的质量力; C. 单位质量液体上的质量力;D. 单位重量液体上的质量力 11.以下关于流体粘性的说法中不正确的是A. 粘性是流体的固有属性;B. 粘性是在运动状态下流体具有抵抗剪切变形速率能力的量度C. 流体的粘性具有传递运动和阻滞运动的双重作用;D. 流体的粘性随温度的升高而增大。
12.已知液体中的流速分布µ-y 如图所示,其切应力分布为 A.τ=0;B.τ=常数; C. τ=ky (k 为常数)。
13.以下关于液体质点和液体微团的正确论述是A. 液体微团比液体质点大;B. 液体微团包括有很多液体的质点; C. 液体质点没有大小,没有质量;D. 液体质点又称液体微团。
14.液体的汽化压强随温度升高而 A. 增大;B. 减小;C. 不变;15.一封闭容器盛以水,当其从空中自由下落时(不计空气阻力),其单位质量力为 A. 0 ; B. -g ; C. mg ;D. –mg 。
流体力学复习题及答案流体力学是一门研究流体(液体和气体)运动规律及其与固体边界相互作用的科学。
以下是一些流体力学的复习题及答案,以帮助学生更好地掌握这门学科的基本概念和计算方法。
一、选择题1. 流体力学中的流体包括哪些类型?A. 液体B. 气体C. 液体和气体D. 固体答案:C2. 流体静压的特点是?A. 随深度线性增加B. 随深度线性减少C. 与深度无关D. 随深度非线性变化答案:A3. 流体的粘性对流动有什么影响?A. 增加流动阻力B. 减少流动阻力C. 无影响D. 取决于流体的密度答案:A二、填空题4. 流体力学中的雷诺数(Re)是无量纲数,用于描述流体流动的_________。
答案:惯性力与粘性力的相对重要性5. 根据流体的流动速度和压力分布,流体流动可以分为_________和_________。
答案:层流;湍流三、简答题6. 描述伯努利定理的基本内容。
答案:伯努利定理指出,在理想流体(不可压缩、无粘性)的稳定流动中,沿流线的压力能、动能和势能之和是常数。
7. 什么是流体的压缩性,它对流体流动有什么影响?答案:流体的压缩性是指流体在压力作用下体积变化的能力。
压缩性高的流体在压力变化下体积变化较大,这会影响流体的流动特性,例如在高速流动中可能导致激波的形成。
四、计算题8. 假设有一个水平管道,内径为0.1米,水的流速为2米/秒,求管道内水的雷诺数。
答案:首先,我们需要知道水的密度(ρ)和动力粘度(μ)。
假设水的密度为1000 kg/m³,动力粘度为1.002×10⁻³ Pa·s。
雷诺数的计算公式为:Re = (ρVD) / μ,其中V是流速,D是管道直径。
将已知数值代入公式,得到Re = (1000 × 2 × 0.1) /(1.002×10⁻³) ≈ 199600。
五、论述题9. 论述流体力学在工程应用中的重要性。
上海海事大学高等流体力学复习题及答案一,试列出流线微分方程、轨迹方程和涡线方程及说明涡线和流线的区别。
答:流线微分方程: d x u(x,y,z,t)=d y v(x,y,z,t)=d zw(x,y,z,t)轨迹方程:d x d t =u(x,y,z,t),d y d t=v(x,y,z,t), d z d t=w(x,y,z,t)涡线方程: dx dωx=dy dωy=dzdωz涡线与流线的区别:1)涡线:先把涡量定义为矢量,再定义涡量连续相切的曲线称为“涡线”。
换种说法:“涡线”就是通过连续涡量(元涡)的轴线。
2)流线:流体质点连续运动速度(矢量)与之相切的曲线称作“流线”它们的区别:流线定义前提一维和无旋。
这样在一条流线上,同一运动质团能量守恒。
因此推定出知名的柏努利定理方程。
这个定理在无旋流体计算中一直起着十分重要的作用。
但是在传统理论的涡线上无论定义它是一个涡量还是一串涡量,能量都是不被考虑的因素。
龙卷风可以按现理论定义成一个连续涡量的涡线,其象鼻状的各段截面涡量显然不相同。
即“涡量通量”。
如果运动有涡, 便存在涡线,运动无涡则不存在涡线。
但是 只要有流体运动,不论是否有涡,流线总是 存在的二、流体微团运动的主要运动并用数学方程表示。
答:平移:一个流体微团的所有流体质点都有相同的速度,即速度梯度为零。
∆u→ =0 (这个表达式不正确)==∂v ∂y , Dεz Dt =∂w ∂z剪切变形:Dγxy Dt=∂u∂y +∂v∂x ,Dγyz Dt=∂v∂z+∂w∂yDγzx Dt=∂w ∂x+∂u∂z旋转变形⎪⎪⎪⎭⎪⎪⎪⎬⎫∂∂-∂∂=∂∂-∂∂=∂∂-∂∂=)(21)(21)(21y u x u x u z u z u y u x y z z x y y z x ωωω及⎪⎪⎪⎭⎪⎪⎪⎬⎫∂∂-∂∂+=∂∂-∂∂=∂∂-∂∂=)(21)(21)(21θωωθωθθθθr u r u r ur u z uz u r u r z z r z r三,试指出质点的随体导数、涡量、速度环量及斯托克定理的数学表达式及物理含义。
《高等流体力学》考试题
专业: 姓名: 学号:
1. 已知P 点的应力张量[P ]=210
13
54
57-- 求图示平行于平面ABC 平面上的应力矢量。
2. 设u=v=0,w=b (a 2-x 2-y 2)求应变率张量和旋转张量。
3.流体本构方程是怎样建立的?
4.设速度场μ=-ky,v=k(x-at),w=0,k,a为常数,求:
①t时刻的流线方程及t=0时在(a,b,c)处的流体质点的迹线;
②速度与加速度的拉格朗日表示式。
5.用数量级比较方法导出边界层方程?
6.湍流耗散率ε的定义是什么?怎么导出?
7.湍流的外间歇性和内间歇性是如何定义?
8.分析引入湍流模型的原因?
9.相距为h的两无限大平板间充满粘性均质不可压缩流体,上板固
定不动,下板的速度v sin(n,t)作往复运动,试求流体的速度分布。
10. 半径为a 的圆球缓慢在一粘性很大的流体中下坠,已知小球密度b ρ,流体密度s ρ,流体粘性系数为μ。
求小球最终下坠速度。
11. 设某定常层流边界层的外流速度分布为31kx =μ,设)(32ηφf X kv m =
其中3132x
y v k =η。
试证明边界层方程可转换内微分方程021)(212////=+-+f ff f。
流体力学期末考试复习题注:可利用查找功能复制部分题干查询对应题目和解析。
查找按键:Ctrl+F 超越高度一、单项选择题(超越高度)1、下列各力中,不属于表面力的是( )。
A .惯性力B .粘滞力C .压力D .表面张力2、连续介质假设意味着 。
(A) 流体分子互相紧连 (B) 流体的物理量是连续函数(C) 流体分子间有空隙 (D) 流体不可压缩3、下列关于流体粘性的说法中,不准确的说法是( )。
A .粘性是实际流体的物性之一B .构成流体粘性的因素是流体分子间的吸引力C .流体粘性具有阻碍流体流动的能力D .流体运动粘度的国际单位制单位是m 2/s4、已知外界大气压强p 0 =1.02个工程大气压,如果某点的真空度为5mH 2O 柱,则该点的绝对压强为 N/m 2。
(A) 51×103 (B) 149×103 (C) 1.5×105 (D) 1.05×1055、在流体研究的欧拉法中,流体质点的加速度包括当地加速度和迁移加速度,迁移加速度反映( )。
A .由于流体质点运动改变了空间位置而引起的速度变化率B .流体速度场的不稳定性C .流体质点在流场某一固定空间位置上的速度变化率D .流体的膨胀性6、管径不变的流道内粘性流体总水头线沿流程的变化是 ,测压管水头线沿流程的变化是 。
(A )上升;下降 (B) 不变;可能上升,可能下降(C )下降;下降 (D) 下降;可能上升,可能下降7、对于并联长管道,每根管道的 。
(A) 流量相等 (B) 切应力相等 (C) 沿程水头损失相等 (D) 水力坡度相等8、下列命题中正确的命题是 。
(A) 壁面粗糙度较大的管道,流动阻力一定较大(B) 雷诺数相同的两根圆管水头损失相同(C) 雷诺数表征压力与粘性力之比(D) 两根不同管径的圆管,通过不同粘性的液体,它们的判别流态的临界雷诺数相同9、已知不可压缩流体的流速场为xyj zi x 2V 2+= ,则流动属于( )。
大学流体力学期末考试题型和章节复习第一章流体的主要物理性质计算题: 1 一无限大平板在另一固定平面上作如图所示的平行运动,V?,间隙高h?,其中充满比重为??、粘度为??的流体,间隙中的流速按线性分布。
试求:流体的运动粘度?;上平板壁面上的切应力?上及其方向;下平面壁面上的切应力?下及其方向。
2 管道内流体速度分布为u=2y-y2,式中u为距管壁y处的速度;试求:管壁处之切应力;距管壁处的切应力;若管道直径d=2cm,在100长度的管壁上其总阻力为若干?设流体的粘度μ=·s. 填空题:1流体力学中的三种主要假设模型是------------,-----------和--------------。
2 粘度是衡量流体--------物理量,动力粘度单位是--------。
问答题: 1作用在流体上的力有哪几种?各如何表示?有何不同?判断题: 1作用在流体质点上的力有重力和表面力( 错). 2液体一定是不可压缩性流体, 气体一定是可压缩性流体(错). 3作用于流体上的重力可作为表面力来处理(错). 第一章流体的主要物理性质计算题:1 解:?????65?10?上??dvdy?5y?h??103??10?7m2s ??V h ?3?65?10??10?。
顺y 轴的方向看去,上平板壁面为一负平面,故所得?的正值应指向负x轴方向,即指向左边。
?下??Vh?。
下平面为一正平面,故正?应指向x轴的正方向,即指向右边。
2 解:先求速度梯度2du?2?2y dy 管壁处的切应力为?0??dudyy?0??2? Nm2 距管壁处的切应力为当y=时du?2?2??1 1s dydu??1? Nm2 dy所以??? 当d=2cm,l=100m时的总阻力为T??0?dl????2?10填空题: 1 连续介质假设,不可压缩流体假设,理想流体假设 2 粘性,Pa·S 问答题: ?2?100? N 1 答: 作用在流体上的力有质量力和表面力. 二种不同在于: ⑴质量力属于非接触产生的力,是力场的作用.表面力属于接触产生的力. ⑵质量力作用在流体的每一个质点上,表面力作用在流体的表面上. ⑶质量力与流体的质量成正比,(如为均质体,与体积成正比),表面力与所取的流体的表面积成正比. 第二章流体静力学计算题: 1 有如图所示的容器A和B。
《高等流体力学》复习题一、基本概念1.什么是流体,什么是流体质点?答:在任何微小剪切应力作用下,都会发生连续不断变形的物质称为流体。
宏观无限小,微观无限大,由大量流体分子组成,能够反映流体运动状态的集合称为流体质点。
2.什么事连续介质模型?在流体力学中为什么要建立连续介质这一理论模型?答:认为流体内的每一点都被确定的流体质点所占据,其中并无间隙,于是流体的任一参数φ(密度、压力、速度等)都可表示为空间坐标和时间的连续函数(,,,)x y z t φφ=,而且是连续可微函数,这就是流体连续介质假说,即流体连续介质模型。
建立“连续介质”模型,是对流体物质结构的简化,使在分析流体问题得到两大方便:第一、 可以不考虑流体复杂的微观粒子运动,只考虑在外力作用下的微观运动;第二、 能用数学分析的连续函数工具。
3.给出流体压缩性系数和膨胀性系数的定义及表达式。
答:压缩性系数:单位体积的相对减小所需的压强增值。
(/)/d d βρρρ=膨胀性系数:在一定压强下,单位温度升高所引起的液体体积的相对增加值。
(/)(/)/v a dV V dT d dT ρρ==-4.什么是理想流体,正压流体,不可压缩流体?答:当流体物质的粘度较小,同时其内部运动的相对速度也不大,所产生的粘性应力比起其它类型的力来说可以忽略不计时,可把流体近似地看为是无粘性的,这样无粘性的流体称为理想流体。
内部任一点的压力只是密度的函数的流体,称为正压流体。
流体的体积或密度的相对变化量很小时,一般可以看成是不可压缩的,这种流体就被称为不可压缩流体。
5.什么是定常场;均匀场;并用数学形式表达。
答:如果一个场不随时间的变化而变化,则这个场就被称为定常场。
其数学表达式为:)(r ϕϕ=如果一个场不随空间的变化而变化,即场中不显含空间坐标变量r ,则这个场就被称为均匀场。
其数学表达式为:)(t ϕϕ=6.分别用数学表达式给出拉格朗日法和欧拉法的流体加速度表达式。
《高等流体力学》复习题、基本概念I .什么是流体,什么是流体质点? 2.什么是流体粘性,静止的流体是否具有粘性,在一定压强条件下,水和空气的粘性随着温度的升高 是如何变化的? 3. 什么是连续介质模型?在流体力学中为什么要建立连续介质这一理论模型? 4. 给出流体压缩性系数和膨胀性系数的定义及表达式。
5.简述系统与控制体的主要区别。
6. 流体静压强的特性是什么?绝对压强 P s 、计示压强(压力表表压)p 、真空P v 及环境压强(一般为大气压)P a 之间有什么关系? 7.什么是理想流体,正压流体,不可压缩流体?& 什么是定常场,均匀场,并用数学形式表达。
9. 分别用数学表达式给出拉格朗日法和欧拉法的流体加速度表达式。
10 .流线和迹线有何区别,在什么条件下流场中的流线和迹线相重合?II .理想流体运动时有无切应力?粘性流体静止时有无切应力?静止时无切应力是否无粘性?为什么?13 .流体有势运动指的是什么?什么是速度势函数?无旋运动与有势运动有何关系? 14 .什么是流函数?存在流函数的流体具有什么特性?(什么样的流体具有流函数?) 15 .平面流动中用复变位势描述的流体具有哪些条件(性质)?17 .什么是第一粘性系数和第二粘性系数?在什么条件下可以不考虑第二粘性系数?stokes 假设的基本事实依据是什么?18 .为推出牛顿流体的本构方程,Skokes 提出了 3条基本假设,分为是什么?19 .作用在流体微团上的力分为那两种?表面应力 j 的两个下标分别表示?j 的正负如何规定?20 .从分子运动学观点看流体与固体比较有什么不同?21 .试述流体运动的Helmhottz 速度分解定律并给出其表达式。
22 .流体微团有哪些运动形式?它们的数学表达式是什么?12 .试述伯努利方程Z匕V1g 2g中各项的物理意义,并说明该方程的适用条件。
16 .伯努利方程Z丄V! g 2gConst 对于全流场均成立需要基于那些基本假设?v00 ,23.描述流体运动的基本方法有哪两种?分别写出其描述流体运动的速度、加速度的表达式。
v0 ,及v v 0的物理意义?什么是流体的速度梯度张量?试述其对称和反对称张量的物理意义。
流体应力张量的物理意义是什么?它有什么性质?某平面上的应力与应力张量有什么关系? P mn P nm 的物理含义是什么?流体微团上受力形式有哪两种?它们各自用什么形式的物理量来表达? 什么是广义的牛顿流体和非牛顿流体?试述广义牛顿内摩擦定律的物理意义及相应的数学表达式? 粘性流动和理想流动的壁面边界条件有何不同?v d u/ p 2v简述N-S 方程是如何得到的,以不可压流动的 N-S 方程 f2为例,说明其各项的dt物理意义。
在理想有势的流动假设条件下,绕流物体产生的升力主要受那些因素的影响,有何规律? 什么是层流运动、湍流运动、雷诺数和临界雷诺数? 圆管中定常不可压层流和湍流运动的速度分布规律是什么? 流动相似的条件是什么?简述 定理的内容。
什么是马赫数?其物理意义是什么? 什么是雷诺数?其物理意义是什么?给出当量直径(水力直径)的表达式并说明各项的意义。
流体的阻力可分为哪几种?管路中因阻力引起的损失通常分为哪几种?影响管路损失系数的主要因 素有那些?何谓管道流动的水击现象,如何减轻水击造成的危害?怎样判断流动是否有旋,涡度与速度环量有何关系,流动是否有旋与流体质点的运动轨迹有关吗? 试说明粘性流体流动的三个基本特征,它们与理想流体运动相比有何不同?什么是涡管?涡管模型的特点是什么?使流体涡量产生变化的因素有哪些?其中哪些是流体运动的内在因素,哪些是外在因素? 螺旋流、偶极子流和绕圆柱体有环流动分别是由那些基本势流叠加而成? 何谓空化现象?何谓空蚀现象?试说明层流边界层和湍流边界层的速度分布特征。
分别给出不可压流动平板边界层的位移(排挤)厚度和动量损失厚度的表达式。
试述雷诺应力U i U j 的物理意义及其与分子粘性应力的异同。
试述平板湍流边界层的结构及其速度分布特征。
边界层理论的基本思想是什么?平板不可压定常层流边界层的厚度主要受那些因素的影响?2425 26 2728 29 30 313233 34 35 36 37 38 39 4041 42 43 44 45 46 47 48 49 50 51 52什么是随体导数(加速度)、局部导数(加速度)及位变导数(加速度)?分别说明dv dt4。
53 .边界层分离的概念和原因是什么?分离点处的流动特征是什么(用表达式)? 54 .求解平板边界层动量积分方程时原则上需要补充那几个方程?55 .以圆柱绕流为例,简述卡门涡街现象,并对涡街引发圆柱振动作简要说明。
56 .简述卡门涡街流量计测量流量的基本原理。
57 .大涡模拟的基本思想是什么?58 .简述湍流的特点、湍流模型的概念和主要分类。
59 .什么是Prantl 混合长度?雷诺应力的定义表达式是什么?雷诺应力有何特征? 60 .什么是壁面函数?引入壁面函数的意义何在?D V 2uv uv s uv uv u/$t,, 61 .粘性流动的动能方程一- fV TV pVpVT:中右边5项的物理意义依次 dt 2为?62 .完整的CFD 数学模型主要包括那些内容?63 .利用CFD 技术求解流动问题主要包括那三个环节?各环节主要完成那些工作? 64 .为提高CFD 计算的效率和精度,计算网格应具备那些特点。
65 .给出速度矢量的随体导数表达式并说明各项的物理意义。
66 .什么是声速,理想气体的声速大小与那些因素有关?67 .在流场中出现扰动时,亚声速气流和超声速气流的流动状态有何本质上的区别? 68 .什么是压气机的喘振现象,喘振和旋转失速有何关系? 69 .什么是压气机的堵塞现象,产生堵塞的原因是什么? 70 .什么是喷管的壅塞的现象,为什么会出现这种现象?71.什么是激波,激波在什么条件下才会出现,激波通常分为那三种?72 .激波是压缩波还是膨胀波,激波前后的流动参数速度、压力和密度是如何变化的,激波前后的流动 一般看作等熵过程还是绝热过程?、推导及证明1 .根据质量守恒定律推导连续性方程。
2.根据动量定律推导出微分形式的运动方程。
3 .试推导理想流体平面二维运动欧拉微分方程式。
2 2 - -()其中:()44.从N-S 方程出发,试推导出Bernoulli 公式V 2 一、、 2g C ,其中表示流线。
5.试利用N-S 方程证明不可压平面层流的流函数(x, y,z)满足:x4。
x管内径d 及管壁粗糙度k —的函数,而且 p 与1成正比。
试用因次分析方法证明pI 12甘u ,其dd 2 中k, Re 为无因次系数。
7. 从不可压流动的 N-S 方程出发,推导出平板定常不可压二维层流的 Prantl 边界层方程。
& d X 「 1xx yxdy「1以平面二维问题为例,证明动量方程:Xf x XXy,yf ydtx ydtyy xy---- ----- 。
y x9•如图所示,已知不可压射流初速为°,流量为q v ,平板向着射流以等速运动,试推导出平板运动所需要的功率N 的表达式。
10. 流体在弯曲的变截面细管中流动, 该细管连续方程可写为:A( Au) 0t s式中u 是沿管轴的速度,s 是沿流动方向的微元弧长 。
11.写出理想不可压缩流体定常平面流动的动量方程 (忽略质量力),如果是密度分层流动,则流体密度可转换为速度u 和V 、流体密度为 0的平面流动的动量方程。
)u2 2(u14.证明对于理想流体,当质量力有势时有下式成立。
6•进行圆管中流体摩擦试验时,发现圆管中沿轴向的压降p 是流速U 、密度、粘性系数管长I 、设A 为细管的横截面积, 在A 截面上流动参数均匀分布,试证明对将是x,y 的函数。
试证明如令 U.oU ,Vj —V ,式中0是一个参考密度,为常数,则上述方程12.证明方程—u jijf j 可化简为ij13.对于不可压缩流体,证明速度矢量u 禾口涡量矢量 r之间有下述关系式成(U qV 0r (x 0, y 0, z 0, t),再求此加速度的拉格朗日描述;2t3t7.已知流体质点的空间位置表示如下:x x °, y y x °(e1) , z z x °(e 1)。
求(1)速度的欧拉表示;(2)加速度的欧拉和拉格朗日表示;(3)过点(1,1,1)的流线及t=0时在(x , y , z ) = (1,1,1)处的流体质点的迹线;(4)散度、旋度及涡线;(5)应变率张量和旋转张量。
&如图所示,一个圆柱形水箱放置在电梯中,水箱直径为D ,水箱底面附近有一出水管,出水直径为 d ,水箱中自由面与出水管轴线间水深为h 。
当电梯以等加速度 a 垂直上升时打开出水管水龙头, 试确定瞬15.设某定常层流边界层外边界的流体速度分布为kx 13,设3k x m f 2,其中试证明边界层方程可转换为常微分方程ff二、计算题231.已知 xy yz ,求 在点 M (2,-1,1)处沿向量v 2iv2j k 方向的方向导数。
2.设流场的速度分布为:U x 4t 22y 2x yU y22x2。
求x y(1 )当地加速度的表达式;(2) t=0时在点(1,1) 3.在柱坐标系下, 处流体质点的加速度。
sinV rcos 2r—,V r r0,求流线族。
4•在直角坐标系下,0,求流线族和迹线族。
5•在直角坐标系下,求流线族和迹线族。
6.—速度场用U2y 1 t昱描述,1 t(1)求加速度的欧拉描述;(2 )先求矢径表示式 (3 )求流线。
y1 3。
间的出流速度。
9.如图所示,一个盛有流体的容器相对于地面作直线匀加速运动,其加速度a a x i a y j a z k ,求容器中的压强分布。
10.一盛有液体的的开口圆筒,设圆筒以等角速度3绕其中心铅垂轴旋转。
待运动稳定后,液体各质点与圆筒具有相同的角速度。
将坐标系取在运动的容器上,坐标原点取在旋转轴与自由表面的交点上,z轴垂直向上。
求稳定后圆筒中自由液体表面的方程(r为半径,g为重力加速度)。
11.如图所示,一充满水的圆柱形容器直径为d ,绕垂直轴等角速旋转,在顶盖r o处安装一开口测压管,管中水位为h。
求容器的转速为多少时,顶盖上所受静水总压力为零。
12.有一个二维流动,假定流体是不可压缩流体,其速度分量为U x 2 2 ;u y试问:1)流动是否满足连续性方程;2)流动是否无旋?13.如图所示,设等截面直角形管道,铅直段长L1,水平段长L2,管中盛满理想不可压缩均质的水,当C处阀门打开后,管中的流动在各截面上是均匀分布的。