复合函数定义域与值域经典习题及答案
- 格式:doc
- 大小:458.00 KB
- 文档页数:6
复合函数的定义域详细讲义及练习详细标准答案复合函数的定义域详细讲义及练习详细答案————————————————————————————————作者:————————————————————————————————日期:2复合函数一,复合函数的定义:设y是u的函数,即y=f(u),u是x的函数,即u=g(x),且g(x)的值域与f(u)的定义域的交集非空,那么y通过u 的联系成为x的函数,这个函数称为由y=f(u),u=g(x)复合而成的复合函数,记作y=f[g(x)],其中u称为中间变量。
二,对高中复合函数的通解法——综合分析法1、解复合函数题的关键之一是写出复合过程例1:指出下列函数的复合过程。
(1)y=√2-x2 (2)y=sin3x (3)y=sin3x (4)y=3cos√1-x2解:(1) y=√2-x2是由y=√u,u=2-x2复合而成的。
(2)y=sin3x是由y=sinu,u=3x复合而成的。
(3)∵y=sin3x=(sinx)-3∴y=sin3x是由y=u-3,u=sinx复合而成的。
(4)y=3cos√1+x2是由y=3cosu,u=√r,r=1+x2复合而成的。
2、解复合函数题的关键之二是正确理解复合函数的定义。
看下例题:例2:已知f(x+3)的定义域为[1、2],求f(2x-5) 的定义域。
经典误解1:解:f(x+3)是由y=f(u),u=g(x)=x+3复合而成的。
F(2x-5)是由y=f(u2),u2=g(x)=2x-5复合而成的。
由g(x),G(x)得:u2=2x-11即:y=f(u2),u2=2x-11∵f(u1)的定义域为[1、2]∴1≤x﹤2∴-9≤2x-11﹤-6即:y=f(u2)的定义域为[-9、-6]∴f(2x-5)的定义域为[-9、-6]经典误解2:解:∵f(x+3)的定义域为[1、2]∴1≤x+3﹤2∴-2≤x﹤-1∴-4≤2x﹤-2∴-9≤2x-5﹤-7∴f(2x-5)的定义域为[-9、-7](下转2页)注:通过以上两例误解可得,解高中复合函数题会出错主要原因是对复合函数的概念的理解模棱两可,从定义域中找出“y”通过u的联系成为x的函数,这个函数称为由y=f(u),u=g(x)复合而成的复合函数,记作y=f[g(x)],其中u称为“中间变量”。
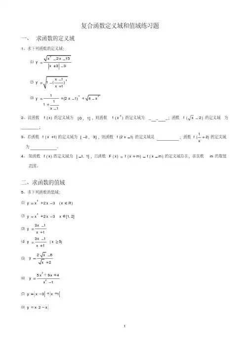
复合函数定义域与值域练习题一、 求函数得定义域1、求下列函数得定义域:⑴ ⑵⑶2、设函数f x ()得定义域为[]01,,则函数f x ()2得定义域为_ _ _;函数f x ()-2得定义域为________;3、若函数得定义域为[]-23,,则函数得定义域就是 ;函数得定义域为 。
4、 知函数f x ()得定义域为,且函数得定义域存在,求实数得取值范围。
二、求函数得值域5、求下列函数得值域:⑴ ⑵⑶ ⑷⑸ ⑹⑺ ⑻⑼ ⑽⑾6、已知函数得值域为[1,3],求得值、三、求函数得解析式1、 已知函数,求函数,得解析式。
2、 已知就是二次函数,且,求得解析式。
3、已知函数满足,则= 。
4、设就是R上得奇函数,且当时, ,则当时=____ _在R 上得解析式为5、设与得定义域就是, 就是偶函数,就是奇函数,且,求与 得解析表达式四、求函数得单调区间6、求下列函数得单调区间:⑴⑵⑶7、函数在上就是单调递减函数,则得单调递增区间就是8、函数得递减区间就是 ;函数得递减区间就是五、综合题9、判断下列各组中得两个函数就是同一函数得为 ( )⑴, ;⑵ , ;⑶, ;⑷, ;⑸, 。
A、⑴、⑵ B 、 ⑵、⑶ C 、 ⑷ ﻩD 、 ⑶、⑸10、若函数= 得定义域为,则实数得取值范围就是ﻩ( )A 、(-∞,+∞)ﻩB 、(0, C、(,+∞) D 、[0,11、若函数得定义域为,则实数得取值范围就是( )(A) (B) (C) (D)12、对于,不等式恒成立得得取值范围就是( )(A) (B) 或 (C) 或 (D)13、函数得定义域就是( )A 、 ﻩB 、C 、D 、14、函数就是( )A、奇函数,且在(0,1)上就是增函数 B 、奇函数,且在(0,1)上就是减函数C、偶函数,且在(0,1)上就是增函数 D 、偶函数,且在(0,1)上就是减函数15、函数 ,若,则=16、已知函数f x ()得定义域就是(]01,,则g x fx a fx a a ()()()()=+⋅--<≤120得定义域为 。
复合函数定义域和值域练习题一、 求函数的定义域1、求下列函数的定义域:⑴y =⑵y =⑶01(21)111y x x =+-+-2、设函数f x ()的定义域为[]01,,则函数f x ()2的定义域为_ _ _;函数f x ()-2的定义域为________;3、若函数(1)f x +的定义域为[]-23,,则函数(21)f x -的定义域是 ;函数1(2)f x+的定义域为 。
4、 知函数f x ()的定义域为 [1,1]-,且函数()()()F x f x m f x m =+--的定义域存在,求实数m 的取值范围。
二、求函数的值域5、求下列函数的值域: ⑴223y x x =+- ()x R ∈ ⑵223y x x =+- [1,2]x ∈⑶311x y x -=+ ⑷311x y x -=+ (5)x ≥⑸y =⑹ 225941x x y x +=-+⑺31y x x =-++ ⑻2y x x =-⑼ y =⑽ 4y =⑾y x =6、已知函数222()1x ax bf x x ++=+的值域为[1,3],求,a b 的值。
三、求函数的解析式1、 已知函数2(1)4f x x x -=-,求函数()f x ,(21)f x +的解析式。
2、 已知()f x 是二次函数,且2(1)(1)24f x f x x x ++-=-,求()f x 的解析式。
3、已知函数()f x 满足2()()34f x f x x +-=+,则()f x = 。
4、设()f x 是R 上的奇函数,且当[0,)x ∈+∞时, ()(1f x x =,则当(,0)x ∈-∞时()f x =____ _()f x 在R 上的解析式为5、设()f x 与()g x 的定义域是{|,1}x x R x ∈≠±且,()f x 是偶函数,()g x 是奇函数,且1()()1f xg x x +=-,求()f x 与()g x 的解析表达式四、求函数的单调区间6、求下列函数的单调区间: ⑴ 223y x x =++⑵y = ⑶ 261y x x =--7、函数()f x 在[0,)+∞上是单调递减函数,则2(1)f x -的单调递增区间是8、函数236x y x -=+的递减区间是 ;函数y =的递减区间是 五、综合题9、判断下列各组中的两个函数是同一函数的为 ( ) ⑴3)5)(3(1+-+=x x x y , 52-=x y ;⑵111-+=x x y , )1)(1(2-+=x x y ;⑶x x f =)(, 2)(x x g = ; ⑷x x f =)(,()g x =⑸21)52()(-=x x f , 52)(2-=x x f 。
复合函数练习题附答案21、已知函数f的定义域为[0,1],求函数f的定义域。
析:由已知,x?[0,1],故x?[?1,1]。
所以所求定义域为[?1,1]2、已知函数f的定义域为[?3,3],求f的定义域析:由已知x的范围为[?1,1],那么3?2x的范围为[1,5],从而f 的定义域为[1,5]3、已知函数y?f的定义域为,求f的定义域。
由f 的定义域可知f的定义域为,则求f的定义域应满足析:132x?1?,解得x??224、设f?x??lg2?x?x??2?,则ff??的定义域为?x?2??x?A. ??4,00,4?B. ??4,?11,4?C. ??2,?11,2?D. ??4,?22,4??x?0,即?0,得?2?x?2.那么由题意应有2?x析:?-2?x??4?x?4??2,解得?,综上x??,选B?2x??1或x?12??2x?5.函数y=log1的单调递减区间是2A. B.C. D.析:本题考查复合函数的单调性,根据同增异减。
对于对数型复合函数,应先求定义域,即x2?3x?2?0,得定义域为?.由于外函数是以0?1?1为底,故为减函数。
则求y的减区间,只需要求内函数的增23区间。
内函数为t?x2?3x?2,其对称轴为x?,在函数y的定义域内,t在上2为增函数,所以选择B6.找出下列函数的单调区间.y?a?x2?3x?2;解析:此题为指数型复合函数,考查同增异减。
令t??x2?3x?2,则y?at,t??x2?3x?2。
由于a?1,则外函数为增函数,由同增异减可知,t的增区间即为y的增区间。
而内函数t的333,即t在上位增函数,在上位减函数,从而函22233数y的增区间为,减区间为22对称轴为x?y?2x2?2x?3.解:设t??x2?2x?3,则y?2t.因?x2?2x?3?0,得?1?x?3.由?x2?2x?3对称轴为x?1.即内函数t的增区间为[?1,1],减区间为[1,3]。
复合函数定义域和值域练习题一、 求函数的定义域1、求下列函数的定义域:⑴y =⑵y =⑶01(21)111y x x =+-+-2、设函数f x ()的定义域为[]01,,则函数f x ()2的定义域为_ _ _;函数f x ()-2的定义域为________;3、若函数(1)f x +的定义域为[]-23,,则函数(21)f x -的定义域是 ;函数1(2)f x +的定义域为 。
4、 知函数f x ()的定义域为 [1,1]-,且函数()()()F x f x m f x m =+--的定义域存在,求实数m 的取值范围。
二、求函数的值域5、求下列函数的值域:⑴223y x x =+- ()x R ∈ ⑵223y x x =+- [1,2]x ∈ ⑶311x y x -=+ ⑷311x y x -=+ (5)x ≥ ⑸y = ⑹ 225941x x y x +=-+ ⑺31y x x =-++ ⑻2y x x =- ⑼y = ⑽4y =⑾y x =-6、已知函数222()1x ax b f x x ++=+的值域为[1,3],求,a b 的值。
三、求函数的解析式1、 已知函数2(1)4f x x x -=-,求函数()f x ,(21)f x +的解析式。
2、 已知()f x 是二次函数,且2(1)(1)24f x f x x x ++-=-,求()f x 的解析式。
3、已知函数()f x 满足2()()34f x f x x +-=+,则()f x = 。
4、设()f x 是R 上的奇函数,且当[0,)x ∈+∞时, ()(1f x x =,则当(,0)x ∈-∞时()f x =_____()f x 在R 上的解析式为5、设()f x 与()g x 的定义域是{|,1}x x R x ∈≠±且,()f x 是偶函数,()g x 是奇函数,且1()()1f xg x x +=-,求()f x 与()g x 的解析表达式 四、求函数的单调区间6、求下列函数的单调区间:⑴ 223y x x =++⑵y =⑶ 261y x x =--7、函数()f x 在[0,)+∞上是单调递减函数,则2(1)f x -的单调递增区间是8、函数236x y x -=+的递减区间是 ;函数y =的递减区间是 五、综合题9、判断下列各组中的两个函数是同一函数的为 ( )⑴3)5)(3(1+-+=x x x y , 52-=x y ; ⑵111-+=x x y , )1)(1(2-+=x x y ;⑶x x f =)(,2)(x x g = ;⑷x x f =)(, ()g x ; ⑸21)52()(-=x x f , 52)(2-=x x f 。
复合函数定义域和值域练习题一、 求函数的定义域1、求下列函数的定义域:⑴33y x =+- ⑵y =⑶y =2的定义域为32)+的定4、5⑴2y x =⑵223y x x =+-[1,2]x ∈⑶311x y x -=+ ⑷311x y x -=+(5)x ≥ ⑸y =⑹225941x x y x +=-+ ⑺31y x x =-++ ⑻2y x x =-⑼y =⑽4y =⑾y x =61、2、34、设f (,0)-∞时()f x ()f x 在5、设f ()f x +6、求下列函数的单调区间:⑴223y x x =++⑵y =⑶261y x x =--7、函数()f x 在[0,)+∞上是单调递减函数,则2(1)f x -的单调递增区间是8、函数236x y x -=+的递减区间是;函数y =的递减区间是 五、综合题9、判断下列各组中的两个函数是同一函数的为() ⑴3)5)(3(1+-+=x x x y ,52-=x y ;⑵111-+=x x y ,)1)(1(2-+=x x y ; ⑶x x f =)(,2)(x x g =;⑷x x f =)(,()g x =;⑸21)52()(-=x x f ,52)(2-=x x f 。
A 10 A 、(11(A)012 (A)13A 、[-(2,)+∞D 14A 上是增函数B 、奇函数,且在C 15、函数22(1)()(12)2(2)x x f x x x x x +≤-⎧⎪=-<<⎨⎪≥⎩,若()3f x =,则x =16、已知函数的定义域是,则的定义域为。
17、已知函数21mx n y x +=+的最大值为4,最小值为—1,则m =,n = 18、把函数11y x =+的图象沿x 轴向左平移一个单位后,得到图象C ,则C 关于原点对称的图象的解析式为19、求函数12)(2--=axxxf在区间[0,2]上的最值20、若函数2()22,[,1]f x x x x t t=-+∈+当时的最小值为()g t,求函数()g t当∈t[-3,-2]时的最值。
复合函数定义域和值域练习题一、 求函数的定义域1、求下列函数的定义域:⑴y =⑵y =⑶01(21)111y x x =+-+-2、设函数f x ()的定义域为[]01,,则函数f x ()2的定义域为_ _ _;函数f x ()-2的定义域为________;3、若函数(1)f x +的定义域为[]-23,,则函数(21)f x -的定义域是 ;函数1(2)f x+的定义域为 。
4、 知函数f x ()的定义域为 [1,1]-,且函数()()()F x f x m f x m =+--的定义域存在,求实数m的取值范围。
二、求函数的值域5、求下列函数的值域:⑴223y x x =+- ()x R ∈ ⑵223y x x =+- [1,2]x ∈ ⑶311x y x -=+ ⑷311x y x -=+ (5)x ≥⑸y = ⑹ 225941x x y x +=-+⑺31y x x =-++ ⑻2y x x =-⑼ y = ⑽ 4y =⑾y x =-6、已知函数222()1x ax bf x x ++=+的值域为[1,3],求,a b 的值。
三、求函数的解析式1、 已知函数2(1)4f x x x -=-,求函数()f x ,(21)f x +的解析式。
2、 已知()f x 是二次函数,且2(1)(1)24f x f x x x ++-=-,求()f x 的解析式。
3、已知函数()f x 满足2()()34f x f x x +-=+,则()f x = 。
4、设()f x 是R 上的奇函数,且当[0,)x ∈+∞时, ()(1f x x =+,则当(,0)x ∈-∞时()f x =____ _()f x 在R 上的解析式为5、设()f x 与()g x 的定义域是{|,1}x x R x ∈≠±且,()f x 是偶函数,()g x 是奇函数,且1()()1f xg x x +=-,求()f x 与()g x 的解析表达式四、求函数的单调区间6、求下列函数的单调区间: ⑴ 223y x x =++⑵y =⑶ 261y x x =--7、函数()f x 在[0,)+∞上是单调递减函数,则2(1)f x -的单调递增区间是8、函数236x y x -=+的递减区间是 ;函数y =的递减区间是 五、综合题9、判断下列各组中的两个函数是同一函数的为 ( ) ⑴3)5)(3(1+-+=x x x y , 52-=x y ;⑵111-+=x x y , )1)(1(2-+=x x y ;⑶x x f =)(, 2)(x x g = ;⑷x x f =)(, ()g x =;⑸21)52()(-=x x f , 52)(2-=x x f 。
复合函数定义域和值域练习题一、 求函数的定义域 1、求下列函数的定义域:⑴33y x =+-⑵y =⑶01(21)111y x x =+-+-2、设函数的定义域为,则函数的定义域为_ _ _;函数的定义域为________;3、若函数(1)f x +的定义域为,则函数(21)f x -的定义域是 ;函数1(2)f x+的定义域为 。
4、知函数的定义域为 [1,1]-,且函数()()()F x f x m f x m =+--的定义域存在,求实数m 的取值范围。
二、求函数的值域 5、求下列函数的值域: ⑴223y x x =+- ()x R ∈ ⑵223y x x =+- [1,2]x ∈⑶311x y x -=+ ⑷311x y x -=+ (5)x ≥⑸y =⑹ 225941x x y x +=-+ ⑺31y x x =-++ ⑻2y x x =-⑼ y =⑽ 4y =⑾y x =-6、已知函数222()1x ax bf x x ++=+的值域为[1,3],求,a b 的值。
三、求函数的解析式 1、 已知函数2(1)4f x x x -=-,求函数()f x ,(21)f x +的解析式。
2、已知()f x 是二次函数,且2(1)(1)24f x f x x x ++-=-,求()f x 的解析式。
3、已知函数()f x 满足2()()34f x f x x +-=+,则()f x = 。
4、设()f x 是R 上的奇函数,且当[0,)x ∈+∞时, ()(1f x x =,则当(,0)x ∈-∞时()f x =____ _()f x 在R 上的解析式为5、设()f x 与()g x 的定义域是{|,1}x x R x ∈≠±且,()f x 是偶函数,()g x 是奇函数,且1()()1f xg x x +=-,求()f x 与()g x 的解析表达式 四、求函数的单调区间 6、求下列函数的单调区间: ⑴ 223y x x =++⑵y =⑶ 261y x x =--7、函数()f x 在[0,)+∞上是单调递减函数,则2(1)f x -的单调递增区间是8、函数236xy x -=+的递减区间是 ;函数y =递减区间是 五、综合题9、判断下列各组中的两个函数是同一函数的为 ( ) ⑴3)5)(3(1+-+=x x x y , 52-=x y ; ⑵111-+=x x y ,)1)(1(2-+=x x y ;⑶x x f =)(, 2)(x x g = ; ⑷x x f =)(, ()g x =; ⑸21)52()(-=x x f ,52)(2-=x x f 。
复合函数定义域和值域练习题一、求函数的定义域1、求下列函数的定义域:⑴⑵y =y =⑶01(21)111y x x =+-++-2、设函数的定义域为,则函数的定义域为_ _ _;函数的定义f x ()[]01,f x ()2f x ()-2域为________;3、若函数的定义域为,则函数的定义域是;函数(1)f x +[]-23,(21)f x -的定义域为 。
1(2)f x+4、知函数的定义域为,且函数的定义域存在,求实数f x () [1,1]-()()()F x f x m f x m =+--的取值范围。
m 二、求函数的值域5、求下列函数的值域:⑴⑵223y x x =+-()x R ∈223y x x =+-[1,2]x ∈⑶ ⑷ 311x y x -=+311x y x -=+(5)x ≥⑸⑹y =225941x x y x +=-+⑺⑻31y x x =-++2y x x=-⑼ ⑽y =4y =⑾y x =6、已知函数的值域为[1,3],求的值。
222()1x ax bf x x ++=+,a b 三、求函数的解析式1、已知函数,求函数,的解析式。
2(1)4f x x x -=-()f x (21)f x +2、已知是二次函数,且,求的解析式。
()f x 2(1)(1)24f x f x x x ++-=-()f x 3、已知函数满足,则=。
()f x 2()()34f x f x x +-=+()f x4、设是R 上的奇函数,且当时, ,则当时()f x [0,)x ∈+∞()(1f x x =+(,0)x ∈-∞=____ _()f x在R 上的解析式为()f x 5、设与的定义域是,是偶函数,是奇函数,且()f x ()g x {|,1}x x R x ∈≠±且()f x ()g x ,求与 的解析表达式1()()1f xg x x +=-()f x ()g x 四、求函数的单调区间6、求下列函数的单调区间: ⑴223y x x =++⑵y =⑶261y x x =--7、函数在上是单调递减函数,则的单调递增区间是()f x [0,)+∞2(1)f x -8、函数的递减区间是;函数的递减区间是236xy x -=+y =五、综合题9、判断下列各组中的两个函数是同一函数的为 ( )⑴, ;3)5)(3(1+-+=x x x y 52-=x y ⑵ , ;111-+=x x y )1)(1(2-+=x x y ⑶, ; x x f =)(2)(x x g =⑷, ;x x f =)(()g x =⑸, 。
函数定义域、值域经典习题及答案1、求函数的定义域⑴ $y=\frac{x^2-2x-15}{x+3-3}$,化简得 $y=\frac{x-5}{x-3}$,所以定义域为 $(-\infty,-3)\cup(3,5)\cup(5,\infty)$。
⑵$y=1-\frac{1}{x-1}$,要使分母不为0,所以$x\neq1$,即定义域为 $(-\infty,1)\cup(1,\infty)$。
⑶ $y=\frac{1}{1+x-1}+\frac{2x-1+4-x^2}{2}$,化简得$y=\frac{5-2x-x^2}{2(1+x-1)}=\frac{-x^2-2x+5}{2x}$,要使分母不为0,所以 $x\neq0$,即定义域为 $(-\infty,0)\cup(0,\infty)$。
2、设函数 $f(x)$ 的定义域为 $[-1,1]$,则 $f(x^2)$ 的定义域为 $[0,1]$,$f(x-2)$ 的定义域为 $[-3,-1]$。
若函数 $f(x+1)$ 的定义域为 $[-2,3]$,则 $f(2x-1)$ 的定义域为 $[-\frac{1}{2},2]$,$f(-2)$ 的定义域为 $[-3,-1]$。
3、根据复合函数的定义,要使 $f(x+1)$ 有定义,$x+1$ 必须在定义域 $[-2,3]$ 中,即 $-2\leq x+1\leq 3$,解得$-4\leq x\leq 2$。
同理,要使 $f(2x-1)$ 有定义,$2x-1$ 必须在$[-2,3]$ 中,即 $-\frac{1}{2}\leq 2x-1\leq 3$,解得 $-\frac{1}{2}\leq x\leq 2$。
要使 $f(-2)$ 有定义,$-2$ 必须在 $[-2,3]$ 中,即 $-2\leq -2\leq 3$,显然成立。
根据 $f(x)$ 的定义域为 $[-1,1]$,$f(x+m)$ 和 $f(x-m)$ 的定义域也必须在 $[-1,1]$ 中,即 $-1\leq x+m\leq 1$,$-1\leq x-m\leq 1$,解得 $-m-1\leq x\leq m-1$。
复合函数定义域和值域练习题一、 求函数的定义域1、求下列函数的定义域:⑴y =(2)01(21)111y x x =+-+-2、设函数f x ()的定义域为[]01,,则函数f x ()2的定义域为_ _ _;函数f x ()-2的定义域为________;3、若函数(1)f x +的定义域为[]-23,,则函数(21)f x -的定义域是 ;函数1(2)f x+的定义域为 。
4、 已知函数f x ()的定义域为 [1,1]-,且函数()()()F x f x m f x m =+--的定义域存在,求实数m 的取值范围。
二、求函数的值域 5、求下列函数的值域: ⑴223y x x =+- ()x R ∈ ⑵223y x x =+- [1,2]x ∈⑶311x y x -=+ ⑷311x y x -=+ (5)x ≥⑸y =三、求函数的解析式1、 已知函数2(1)4f x x x -=-,求函数()f x ,(21)f x +的解析式。
2、 已知()f x 是二次函数,且2(1)(1)24f x f x x x ++-=-,求()f x 的解析式。
3、已知函数()f x 满足2()()34f x f x x +-=+,则()f x = 。
4、设()f x 是R 上的奇函数,且当[0,)x ∈+∞时, ()(1f x x =,则当(,0)x ∈-∞时()f x =____ _()f x 在R 上的解析式为 5、设()f x 与()g x 的定义域是{|,1}x x R x ∈≠±且,()f x 是偶函数,()g x 是奇函数,且1()()1f xg x x +=-,求()f x 与()g x 的解析表达式 四、求函数的单调区间 6、求下列函数的单调区间: ⑴ 223y x x =++⑵y = ⑶ 261y x x =--7、函数()f x 在[0,)+∞上是单调递减函数,则2(1)f x -的单调递增区间是8、函数236x y x -=+的递减区间是 ;函数y =是 五、综合题9、判断下列各组中的两个函数是同一函数的为 ( ) ⑴3)5)(3(1+-+=x x x y , 52-=x y ; ⑵111-+=x x y , )1)(1(2-+=x x y ;⑶x x f =)(, 2)(x x g = ; ⑷x x f =)(, ()g x =; ⑸21)52()(-=x x f , 52)(2-=x x f .A 、⑴、⑵B 、 ⑵、⑶C 、 ⑷D 、 ⑶、⑸ 10、若函数()f x = 3442++-mx mx x 的定义域为R ,则实数m 的取值范围是 ( )A 、(-∞,+∞)B 、(0,43]C 、(43,+∞)D 、[0, 43)11、若函数()f x =的定义域为R ,则实数m 的取值范围是( )(A )04m << (B) 04m ≤≤ (C) 4m ≥ (D) 04m <≤ 13、函数()f x =的定义域是( ) A 、[2,2]- B 、(2,2)- C 、(,2)(2,)-∞-+∞ D 、{2,2}-14、函数1()(0)f x x x x=+≠是( ) A 、奇函数,且在(0,1)上是增函数 B 、奇函数,且在(0,1)上是减函数 C 、偶函数,且在(0,1)上是增函数 D 、偶函数,且在(0,1)上是减函数15、函数22(1)()(12)2(2)x x f x x x x x +≤-⎧⎪=-<<⎨⎪≥⎩,若()3f x =,则x =17、已知函数21mx ny x +=+的最大值为4,最小值为 —1 ,则m = ,n =18、把函数11y x =+的图象沿x 轴向左平移一个单位后,得到图象C ,则C 关于原点对称的图象的解析式为19、求函数12)(2--=ax x x f 在区间[ 0 , 2 ]上的最值20、若函数2()22,[,1]f x x x x t t =-+∈+当时的最小值为()g t ,求函数()g t 当∈t [—3,-2]时的最值。
复合函数定义域和值域练习题一、二、 求函数的定义域 1、求下列函数的定义域:⑴y =y =⑶01(21)111y x x =+-+-2、设函数f x ()的定义域为[]01,,则函数f x ()2的定义域为___;函数f x ()-2的定义域为________;3、若函数(1)f x +的定义域为[]-23,,则函数(21)f x -的定义域是;函数1(2)f x +的定义域为。
4、 知函数f x ()的定义域为 [1,1]-,且函数()()()F x f x m f x m =+--的定义域存在,求实数m 的取值范围。
二、求函数的值域 5、求下列函数的值域:⑴223y x x =+-()x R ∈⑵223y x x =+-[1,2]x ∈ ⑶311x y x -=+⑷311x y x -=+(5)x ≥⑸y =225941x x y x +=-+ ⑺31y x x =-++⑻2y x x =-⑼y =⑽4y =⑾y x =6、已知函数222()1x ax bf x x ++=+的值域为[1,3],求,a b 的值。
三、求函数的解析式1、 已知函数2(1)4f x x x -=-,求函数()f x ,(21)f x +的解析式。
2、 已知()f x 是二次函数,且2(1)(1)24f x f x x x ++-=-,求()f x 的解析式。
3、已知函数()f x 满足2()()34f x f x x +-=+,则()f x =。
4、设()f x 是R 上的奇函数,且当[0,)x ∈+∞时, ()(1f x x =,则当(,0)x ∈-∞时()f x =_____()f x 在R 上的解析式为5、设()f x 与()g x 的定义域是{|,1}x x R x ∈≠±且,()f x 是偶函数,()g x 是奇函数,且1()()1f x g x x +=-,求()f x 与()g x 的解析表达式四、求函数的单调区间 6、求下列函数的单调区间:⑴223y x x =++⑵y = ⑶261y x x =--7、函数()f x 在[0,)+∞上是单调递减函数,则2(1)f x -的单调递增区间是8、函数236xy x -=+的递减区间是;函数y =五、综合题9、判断下列各组中的两个函数是同一函数的为 ( ) ⑴3)5)(3(1+-+=x x x y ,52-=x y ;⑵111-+=x x y ,)1)(1(2-+=x x y ;⑶x x f =)(,2)(x x g =;⑷x x f =)(,()g x =⑸21)52()(-=x x f , 52)(2-=x x f 。
复合函数定义域和值域练习题一、 求函数的定义域 1、求下列函数的定义域:⑴33y x =+-⑵y =⑶01(21)111y x x =+-+-2、设函数的定义域为,则函数的定义域为_ _ _;函数的定义域为________;3、若函数(1)f x +的定义域为,则函数(21)f x -的定义域是 ;函数1(2)f x+的定义域为 。
4、知函数的定义域为 [1,1]-,且函数()()()F x f x m f x m =+--的定义域存在,求实数m 的取值范围。
二、求函数的值域 5、求下列函数的值域: ⑴223y x x =+- ()x R ∈ ⑵223y x x =+- [1,2]x ∈⑶311x y x -=+ ⑷311x y x -=+ (5)x ≥⑸y =⑹ 225941x x y x +=-+ ⑺31y x x =-++ ⑻2y x x =-⑼ y =⑽ 4y =⑾y x =-6、已知函数222()1x ax bf x x ++=+的值域为[1,3],求,a b 的值。
三、求函数的解析式 1、 已知函数2(1)4f x x x -=-,求函数()f x ,(21)f x +的解析式。
2、已知()f x 是二次函数,且2(1)(1)24f x f x x x ++-=-,求()f x 的解析式。
3、已知函数()f x 满足2()()34f x f x x +-=+,则()f x = 。
4、设()f x 是R 上的奇函数,且当[0,)x ∈+∞时, ()(1f x x =+,则当(,0)x ∈-∞时()f x =____ _()f x 在R 上的解析式为5、设()f x 与()g x 的定义域是{|,1}x x R x ∈≠±且,()f x 是偶函数,()g x 是奇函数,且1()()1f xg x x +=-,求()f x 与()g x 的解析表达式 四、求函数的单调区间 6、求下列函数的单调区间: ⑴ 223y x x =++⑵y =⑶ 261y x x =--7、函数()f x 在[0,)+∞上是单调递减函数,则2(1)f x -的单调递增区间是8、函数236xy x -=+的递减区间是 ;函数y =的递减区间是 五、综合题9、判断下列各组中的两个函数是同一函数的为 ( ) ⑴3)5)(3(1+-+=x x x y , 52-=x y ; ⑵111-+=x x y ,)1)(1(2-+=x x y ;⑶x x f =)(, 2)(x x g = ; ⑷x x f =)(, ()g x =; ⑸21)52()(-=x x f ,52)(2-=x x f 。
复合函数定义域和值域练习题
一、 求函数的定义域
1、求下列函数的定义域:
⑴y =
⑵y =
⑶01(21)111
y x x =
+-+-
2、设函数f x ()的定义域为[]01,,则函数f x ()2
的定义域为_ _ _;函数f x ()-2的定义
域为________;
3、若函数(1)f x +的定义域为[]-23,,则函数(21)f x -的定义域是 ;函数1
(2)f x
+的定义域为 。
4、 知函数f x ()的定义域为 [1,1]-,且函数()()()F x f x m f x m =+--的定义域存在,求实数m
的取值范围。
二、求函数的值域
5、求下列函数的值域:
⑴2
23y x x =+- ()x R ∈ ⑵2
23y x x =+- [1,2]x ∈ ⑶311x y x -=+ ⑷31
1
x y x -=+ (5)x ≥
⑸
y = ⑹ 22
5941x x y x +=-+
⑺31y x x =-++ ⑻2y x x =-
⑼ y = ⑽ 4y =
⑾y x =-
6、已知函数222()1
x ax b
f x x ++=+的值域为[1,3],求,a b 的值。
三、求函数的解析式
1、 已知函数2
(1)4f x x x -=-,求函数()f x ,(21)f x +的解析式。
2、 已知()f x 是二次函数,且2
(1)(1)24f x f x x x ++-=-,求()f x 的解析式。
3、已知函数()f x 满足2()()34f x f x x +-=+,则()f x = 。
4、设()f x 是R 上的奇函数,且当[0,)x ∈+∞时, ()(1f x x =+,则当(,0)x ∈-∞时()f x =____
_
()f x 在R 上的解析式为
5、设()f x 与()g x 的定义域是{|,1}x x R x ∈≠±且,()f x 是偶函数,()g x 是奇函数,且
1
()()1
f x
g x x +=
-,求()f x 与()g x 的解析表达式
四、求函数的单调区间
6、求下列函数的单调区间: ⑴ 2
23y x x =++
⑵y =
⑶ 2
61y x x =--
7、函数()f x 在[0,)+∞上是单调递减函数,则2
(1)f x -的单调递增区间是
8、函数236x y x -=
+的递减区间是 ;函数y =的递减区间是 五、综合题
9、判断下列各组中的两个函数是同一函数的为 ( ) ⑴3
)
5)(3(1+-+=x x x y , 52-=x y ;
⑵111-+=
x x y , )1)(1(2-+=x x y ;
⑶x x f =)(, 2)(x x g = ;
⑷x x f =)(, ()g x =
;
⑸21)52()(-=x x f , 52)(2-=x x f 。
A 、⑴、⑵ B 、 ⑵、⑶
C 、 ⑷
D 、 ⑶、⑸
10、若函数()f x = 3
44
2
++-mx mx x 的定义域为R ,则实数m 的取值范围是 ( )
A 、(-∞,+∞)
B 、(0,43]
C 、(43,+∞)
D 、[0, 4
3
)
11
、若函数()f x =R ,则实数m 的取值范围是( )
(A)04m << (B) 04m ≤≤ (C) 4m ≥ (D) 04m <≤ 12、对于11a -≤≤,不等式2
(2)10x a x a +-+->恒成立的x 的取值范围是( ) (A) 02x << (B) 0x <或2x > (C) 1x <或3x > (D) 11x -<< 13
、函数()f x = ) A 、[2,2]-
B 、(2,2)-
C 、(,2)
(2,)-∞-+∞ D 、{2,2}-
14、函数1
()(0)f x x x x
=+
≠是( ) A 、奇函数,且在(0,1)上是增函数 B 、奇函数,且在(0,1)上是减函数 C 、偶函数,且在(0,1)上是增函数 D 、偶函数,且在(0,1)上是减函数
15、函数22(1)()(12)2(2)x x f x x x x x +≤-⎧⎪
=-<<⎨⎪≥⎩
,若()3f x =,则x =
16、已知函数f x ()的定义域是(]01,,则g x fx a fx a a ()()()()=+⋅--<≤1
2
0的定义域为 。
17、已知函数2
1mx n
y x +=+的最大值为4,最小值为 —1 ,则m = ,n = 18、把函数1
1
y x =+的图象沿x 轴向左平移一个单位后,得到图象C ,则C 关于原点对称的图象的
解析式为
19、求函数12)(2
--=ax x x f 在区间[ 0 , 2 ]上的最值
20、若函数2
()22,[,1]f x x x x t t =-+∈+当时的最小值为()g t ,求函数()g t 当∈t [-3,-2]时的最值。
复合函数定义域和值域练习题
答 案
一、函数定义域:
1、(1){|536}x x x x ≥≤-≠-或或 (2){|0}x x ≥ (3)
1
{|220,,1}2
x x x x x -≤≤≠≠≠且 2、[1,1]-; [4,9] 3、5
[0,];2 11(,][,)32
-∞-+∞ 4、11m -≤≤ 二、函数值域:
5、(1){|4}y y ≥- (2)[0,5]y ∈ (3){|3}y y ≠ (4)7[,3)3
y ∈ (5)[3,2)y ∈- (6)1{|5}2
y y y ≠≠且 (7){|4}y y ≥ (8)y R ∈ (9)[0,3]y ∈ (10)[1,4]y ∈ (11)1{|}2
y y ≤ 6、2,2a b =±= 三、函数解析式:
1、2
()23f x x x =-- ; 2
(21)44f x x +=- 2、2
()21f x x x =-- 3、
4
()3
3
f x x =+
4、()(1
f x x =
;(10)
()(10)
x x f x x x ⎧+≥⎪=⎨-<⎪⎩ 5、21()1f x x =- 2()1x g x x =-
四、单调区间:
6、(1)增区间:[1,)-+∞ 减区间:(,1]-∞- (2)增区间:[1,1]- 减区间:[1,3] (3)增区间:[3,0],[3,)-+∞ 减区间:[0,3],(,3]-∞-
7、[0,1]
8、(,2),(2,)-∞--+∞ (2,2]- 五、综合题:
C D B B D B
14
15、(,1]a a -+ 16、4m =± 3n = 17、12
y x =
- 18、解:对称轴为x a = (1)0a ≤时,min ()(0)1f x f ==- , max ()(2)34f x f a ==-
(2)01a <≤时,2
min ()()1f x f a a ==-- ,max ()(2)34f x f a ==- (3)12a <≤时,2
min ()()1f x f a a ==-- ,max ()(0)1f x f ==-
(4)2a >时 ,min ()(2)34f x f a ==- ,max ()(0)1f x f ==-
19、解:221(0)()1(01)22(1)t t g t t t t t ⎧+≤⎪
=<<⎨⎪-+≥⎩
(,0]t ∈-∞时,2
()1g t t =+为减函数
∴
在[3,2]--上,2
()1g t t =+也为减函数
∴
min ()(2)5g t g =-=, max ()(3)10g t g =-=。