二年级·近义词·反义词·多音字
- 格式:doc
- 大小:43.50 KB
- 文档页数:9
二年级反义词与近义词表反义词:枯-----荣疏-----密弯-----直甜-----苦长-----短慢-----快远-----近动-----静厚-----薄稠-----稀升-----降沉-----浮瘦-----胖沉睡-----苏醒美丽-----丑陋漆黑-----明亮浓密-----稀疏明亮-----黑暗脱掉-----穿上害羞-----大方温暖-----寒冷出现-----消失回答-----提问保护-----破坏弱小-----强大无力-----有力勇敢-----怯懦难过-----高兴有趣-----无趣清晰-----模糊展现-----隐藏热情-----冷淡欢乐-----痛苦开心-----难过高大-----矮小繁华-----衰败奇怪-----平常高兴-----难过容易-----困难整齐-----零乱方便-----麻烦洁白-----乌黑开始-----结束称赞-----贬低清新-----污浊慌张-----冷静表扬-----批评光滑-----粗糙真诚-----虚伪轻松-----沉重特别-----平凡富裕-----贫穷喜欢-----讨厌漂亮-----丑陋满意-----遗憾常常-----偶尔欺负-----保护刻苦-----懒惰夸奖-----批评聪明-----愚蠢枯萎-----茂盛下降-----上升减少-----增多糊涂-----明白、聪明茂盛、茂密-----稀疏仔细-----粗心、马虎暖烘烘-----冷冰冰筋疲力尽------精力充沛冷冷清清-----热热闹闹近义词:躲-----藏遮-----掩望-----看枯-----干追-----赶宿-----住鸣-----叫泊-----停弯-----曲健壮-----强壮呼唤-----叫唤高兴-----开心同伴-----伙伴足迹-----脚印寻找-----寻觅迷路-----迷途脱掉-----卸下景色-----景象芬芳-----香气赶紧-----赶快不解-----迷惑应该-----应当舒适-----舒服照顾-----照料挑选-----选择茂盛-----茂密清晰-----清楚展现-----展示流动-----流淌有名-----出名特别-----非常欢乐-----快乐祝福-----祝愿闪烁-----闪耀雄伟-----雄壮犹如-----好像装扮-----打扮奇怪-----奇异生气-----气愤哄骗-----欺骗知道-----明白连接-----联结容易-----轻易研究-----钻研立即-----立刻采用-----采纳方便-----便利洁白-----雪白忽然-----突然好像-----似乎清新-----新鲜辨别-----分辨慌张-----慌乱指点-----指示著名-----有名观赏-----欣赏指教-----指点惭愧-----羞愧光滑-----猾溜飞快-----快速力气-----力量聪明-----聪慧喜欢-----喜爱仔细-----认真满意-----满足常常-----经常谈天-----聊天往常-----以往巴望-----盼望焦急-----着急办法-----方法讨厌-----厌恶孤单-----孤独讥笑-----嘲笑清楚-----明白刻苦-----努力斥责-----训斥旅游-----旅行夸奖-----夸赞灭绝-----灭亡足够-----充足流行-----盛行美丽-----漂亮自豪-----骄傲明亮-----光明、光亮惊讶-----惊异、惊奇慢慢-----缓缓、徐徐一动不动-----纹丝不动川流不息-----络绎不绝二年级的近义词与反义词表近义词躲----藏遮------掩脱掉-----卸下枯----干追------赶宿------住美丽-----漂亮自豪-----骄傲健壮-----强壮呼唤-----叫唤慢慢-----缓缓、徐徐高兴-----开心明亮-----光明、光亮同伴-----伙伴弯-----曲足迹-----脚印寻找-----寻觅迷路-----迷途景色-----景象芬芳-----香气赶紧-----赶快不解-----迷惑应该-----应当舒适-----舒服照顾-----照料挑选-----选择茂盛-----茂密清晰-----清楚展现-----展示流动-----流淌有名-----出名特别-----非常欢乐-----快乐祝福-----祝愿闪烁-----闪耀雄伟-----雄壮犹如-----好像装扮-----打扮川流不息-----络绎不绝奇怪-----奇异生气-----气愤哄骗-----欺骗知道-----明白连接-----联结容易-----轻易研究-----钻研立即-----立刻采用-----采纳方便-----便利洁白-----雪白忽然-----突然好像-----似乎望-----看鸣-----叫泊-----停一动不动-----纹丝不动清新-----新鲜辨别-----分辨慌张-----慌乱指点-----指示著名-----有名观赏-----欣赏指教-----指点惭愧-----羞愧光滑-----猾溜飞快-----快速力气-----力量聪明-----聪慧喜欢-----喜爱仔细-----认真满意-----满足常常-----经常惊讶-----惊异、惊奇谈天-----聊天往常-----以往巴望-----盼望焦急-----着急办法-----方法讨厌-----厌恶孤单-----孤独讥笑-----嘲笑清楚-----明白刻苦-----努力斥责-----训斥夸奖-----夸赞灭绝-----灭亡足够-----充足流行-----盛行旅游-----旅行反义词脱掉-----穿上害羞-----大方仔细-----粗心、马虎枯-----荣疏-----密沉睡-----苏醒美丽-----丑陋漆黑-----明亮慢-----快浓密-----稀疏明亮-----黑暗甜-----苦长-----短弯-----直温暖-----寒冷出现-----消失回答-----提问保护-----破坏弱小-----强大无力-----有力勇敢-----怯懦难过-----高兴有趣-----无趣糊涂-----明白、聪明冷冷清清-----热热闹闹情绪茂盛、茂密-----稀疏清晰-----模糊展现-----隐藏热情-----冷淡欢乐-----痛苦开心-----难过高大-----矮小繁华-----衰败奇怪-----平常高兴-----难过容易-----困难整齐-----零乱方便-----麻烦洁白-----乌黑动-----静开始-----结束称赞-----贬低沉-----浮清新-----污浊厚-----薄慌张-----冷静稠-----稀表扬-----批评升-----降光滑-----粗糙真诚-----虚伪轻松-----沉重特别-----平凡富裕-----贫穷喜欢-----讨厌漂亮-----丑陋满意-----遗憾常常-----偶尔欺负-----保护筋疲力尽------精力充沛瘦-----胖暖烘烘-----冷冰冰远-----近刻苦-----懒惰夸奖-----批评聪明-----愚蠢枯萎-----茂盛下降-----上升减少-----增多近义词躲----藏遮------掩脱掉-----卸下枯----干追------赶宿------住美丽-----漂亮自豪-----骄傲健壮-----强壮呼唤-----叫唤慢慢-----缓缓、徐徐高兴-----开心明亮-----光明、光亮同伴-----伙伴弯-----曲足迹-----脚印寻找-----寻觅迷路-----迷途景色-----景象芬芳-----香气赶紧-----赶快不解-----迷惑应该-----应当舒适-----舒服照顾-----照料挑选-----选择茂盛-----茂密清晰-----清楚展现-----展示流动-----流淌有名-----出名特别-----非常欢乐-----快乐祝福-----祝愿闪烁-----闪耀雄伟-----雄壮犹如-----好像装扮-----打扮川流不息-----络绎不绝奇怪-----奇异生气-----气愤哄骗-----欺骗知道-----明白连接-----联结容易-----轻易研究-----钻研立即-----立刻采用-----采纳方便-----便利洁白-----雪白忽然-----突然好像-----似乎望-----看鸣-----叫泊-----停一动不动-----纹丝不动清新-----新鲜辨别-----分辨慌张-----慌乱指点-----指示著名-----有名观赏-----欣赏指教-----指点惭愧-----羞愧光滑-----猾溜飞快-----快速力气-----力量聪明-----聪慧喜欢-----喜爱仔细-----认真满意-----满足常常-----经常惊讶-----惊异、惊奇谈天-----聊天往常-----以往巴望-----盼望焦急-----着急办法-----方法讨厌-----厌恶孤单-----孤独讥笑-----嘲笑清楚-----明白刻苦-----努力斥责-----训斥夸奖-----夸赞灭绝-----灭亡足够-----充足流行-----盛行旅游-----旅行反义词脱掉-----穿上害羞-----大方仔细-----粗心、马虎枯-----荣疏-----密沉睡-----苏醒美丽-----丑陋漆黑-----明亮慢-----快浓密-----稀疏明亮-----黑暗甜-----苦长-----短弯-----直温暖-----寒冷出现-----消失回答-----提问保护-----破坏弱小-----强大无力-----有力勇敢-----怯懦难过-----高兴有趣-----无趣糊涂-----明白、聪明冷冷清清-----热热闹闹情绪茂盛、茂密-----稀疏清晰-----模糊展现-----隐藏热情-----冷淡欢乐-----痛苦开心-----难过高大-----矮小繁华-----衰败奇怪-----平常高兴-----难过容易-----困难整齐-----零乱方便-----麻烦洁白-----乌黑动-----静开始-----结束称赞-----贬低沉-----浮清新-----污浊厚-----薄慌张-----冷静稠-----稀表扬-----批评升-----降光滑-----粗糙真诚-----虚伪轻松-----沉重特别-----平凡富裕-----贫穷喜欢-----讨厌漂亮-----丑陋满意-----遗憾常常-----偶尔欺负-----保护筋疲力尽------精力充沛瘦-----胖暖烘烘-----冷冰冰远-----近刻苦-----懒惰夸奖-----批评聪明-----愚蠢枯萎-----茂盛下降-----上升减少-----增多二、多音字组词1、都:① dōu(都是)② dū (首都)2、为:① wéi (为人)② wèi (因为)3、降:①jiànɡ (降落)② xiánɡ (投降)4、背:① bēi(背包)② bèi(背景)5、兴:① xìnɡ(高兴)② xīnɡ(兴奋)6、长:① zhǎnɡ (长大)② chánɡ (长江)7、乐:① lè (快乐)② yuè (音乐)8、曲:① qū ( 弯曲)② qǔ (曲子)9、相:① xiānɡ (相信)② xiànɡ(相片)10、难:① nán(困难)② nàn(难民)11、还:① hái (还有)② huán(还书)12、种:① zhònɡ(种田)② zhǒnɡ(种子)13、发:① fā (发现)② fà (头发)14、转:① zhuàn(转动)② zhuǎn(转身)15、干:①ɡān (干净)②ɡàn(干活)16、教:① jiāo(教书)② jiào(教学)17、漂:① piào(漂亮)② piāo(漂流)18、扎:① zā(一扎)② zhā(扎花)19、当:① dānɡ(当时)② dànɡ(上当)20、传:① chuán(传达)② zhuàn(传记)21、角:① jiǎo(角落)② jué (主角)22、假:① jiǎ (假如)② jià (放假)23、好:① hǎo (好人)② hào (好学)24、少:① shǎo(多少)② shào(少年)25、行:① xínɡ(行动)② hánɡ(一行)26、处:① chù(到处)② chǔ (处方)27、朝:① cháo(朝向)② zhāo(朝阳)28、中:① zhōnɡ(中间)② zhònɡ(打中)29、重:① zhònɡ(重要)② chónɡ(重做)30、奔:① bēn (奔跑)② bèn (投奔)31、空:① kōnɡ(天空)② kònɡ(空白)32、觉:① jiào(睡觉)② jué (自觉)33、倒:① dǎo(倒下)② dào(倒水)34、喷:① pèn (香喷喷)② pēn (喷火)35、分:① fēn (分开)② fèn (水分)36、没:① méi(没有)② mò (埋没)37、卷:① juàn(卷子)② Juǎn(卷尺)38、禁:① jìn (禁止)② jīn (不禁)39、弹:① tán (弹琴)② dàn (子弹)40、模:① mó (模型)② mú (模样)41、了:① le (走了)② liǎo (了解)42、着:① zhe (看着)② zháo(着火)43、只:① zhǐ(只要)② zhī(一只小鸟)44、结:① jiē(结巴)② jié(结束)45、曾:① céng(曾经)② zēng(姓曾)46、应:① yīng(应该)② yìng(报应)47、间:① jiān(中间)② jiàn(黑白相间)48、撒:① sā(撒娇)② sǎ(撒下)49、藏:① zàng(宝藏)② cáng(捉迷藏)50、称:① chēng(称呼)② chèng(称心)给下面的句子排排队1、()我仔细一看,原来是一条蚯蚓。
二年级的近义词与反义词表近义词躲----藏遮------掩脱掉-----卸下枯----干追------赶宿------住美丽-----漂亮自豪-----骄傲健壮-----强壮呼唤-----叫唤慢慢-----缓缓、徐徐高兴-----开心明亮-----光明、光亮同伴-----伙伴弯-----曲足迹-----脚印寻找-----寻觅迷路-----迷途景色-----景象芬芳-----香气赶紧-----赶快不解-----迷惑应该-----应当舒适-----舒服照顾-----照料挑选-----选择茂盛-----茂密清晰-----清楚展现-----展示流动-----流淌有名-----出名特别-----非常欢乐-----快乐祝福-----祝愿闪烁-----闪耀雄伟-----雄壮犹如-----好像装扮-----打扮川流不息-----络绎不绝奇怪-----奇异生气-----气愤哄骗-----欺骗知道-----明白连接-----联结容易-----轻易研究-----钻研立即-----立刻采用-----采纳方便-----便利洁白-----雪白忽然-----突然好像-----似乎望-----看鸣-----叫泊-----停一动不动-----纹丝不动清新-----新鲜辨别-----分辨慌张-----慌乱指点-----指示著名-----有名观赏-----欣赏指教-----指点惭愧-----羞愧光滑-----猾溜飞快-----快速力气-----力量聪明-----聪慧喜欢-----喜爱仔细-----认真满意-----满足常常-----经常惊讶-----惊异、惊奇谈天-----聊天往常-----以往巴望-----盼望焦急-----着急办法-----方法讨厌-----厌恶孤单-----孤独讥笑-----嘲笑清楚-----明白刻苦-----努力斥责-----训斥夸奖-----夸赞灭绝-----灭亡足够-----充足流行-----盛行旅游-----旅行反义词脱掉-----穿上害羞-----大方仔细-----粗心、马虎枯-----荣疏-----密沉睡-----苏醒美丽-----丑陋漆黑-----明亮慢-----快浓密-----稀疏明亮-----黑暗甜-----苦长-----短弯-----直温暖-----寒冷出现-----消失回答-----提问保护-----破坏弱小-----强大无力-----有力勇敢-----怯懦难过-----高兴有趣-----无趣糊涂-----明白、聪明冷冷清清-----热热闹闹情绪茂盛、茂密-----稀疏清晰-----模糊展现-----隐藏热情-----冷淡欢乐-----痛苦开心-----难过高大-----矮小繁华-----衰败奇怪-----平常高兴-----难过容易-----困难整齐-----零乱方便-----麻烦洁白-----乌黑动-----静开始-----结束称赞-----贬低沉-----浮清新-----污浊厚-----薄慌张-----冷静稠-----稀表扬-----批评升-----降光滑-----粗糙真诚-----虚伪轻松-----沉重特别-----平凡富裕-----贫穷喜欢-----讨厌漂亮-----丑陋满意-----遗憾常常-----偶尔欺负-----保护筋疲力尽------精力充沛瘦-----胖暖烘烘-----冷冰冰远-----近刻苦-----懒惰夸奖-----批评聪明-----愚蠢枯萎-----茂盛下降-----上升减少-----增多近义词躲----藏遮------掩脱掉-----卸下枯----干追------赶宿------住美丽-----漂亮自豪-----骄傲健壮-----强壮呼唤-----叫唤慢慢-----缓缓、徐徐高兴-----开心明亮-----光明、光亮同伴-----伙伴弯-----曲足迹-----脚印寻找-----寻觅迷路-----迷途景色-----景象芬芳-----香气赶紧-----赶快不解-----迷惑应该-----应当舒适-----舒服照顾-----照料挑选-----选择茂盛-----茂密清晰-----清楚展现-----展示流动-----流淌有名-----出名特别-----非常欢乐-----快乐祝福-----祝愿闪烁-----闪耀雄伟-----雄壮犹如-----好像装扮-----打扮川流不息-----络绎不绝奇怪-----奇异生气-----气愤哄骗-----欺骗知道-----明白连接-----联结容易-----轻易研究-----钻研立即-----立刻采用-----采纳方便-----便利洁白-----雪白忽然-----突然好像-----似乎望-----看鸣-----叫泊-----停一动不动-----纹丝不动清新-----新鲜辨别-----分辨慌张-----慌乱指点-----指示著名-----有名观赏-----欣赏指教-----指点惭愧-----羞愧光滑-----猾溜飞快-----快速力气-----力量聪明-----聪慧喜欢-----喜爱仔细-----认真满意-----满足常常-----经常惊讶-----惊异、惊奇谈天-----聊天往常-----以往巴望-----盼望焦急-----着急办法-----方法讨厌-----厌恶孤单-----孤独讥笑-----嘲笑清楚-----明白刻苦-----努力斥责-----训斥夸奖-----夸赞灭绝-----灭亡足够-----充足流行-----盛行旅游-----旅行反义词脱掉-----穿上害羞-----大方仔细-----粗心、马虎枯-----荣疏-----密沉睡-----苏醒美丽-----丑陋漆黑-----明亮慢-----快浓密-----稀疏明亮-----黑暗甜-----苦长-----短弯-----直温暖-----寒冷出现-----消失回答-----提问保护-----破坏弱小-----强大无力-----有力勇敢-----怯懦难过-----高兴有趣-----无趣糊涂-----明白、聪明冷冷清清-----热热闹闹情绪茂盛、茂密-----稀疏清晰-----模糊展现-----隐藏热情-----冷淡欢乐-----痛苦开心-----难过高大-----矮小繁华-----衰败奇怪-----平常高兴-----难过容易-----困难整齐-----零乱方便-----麻烦洁白-----乌黑动-----静开始-----结束称赞-----贬低沉-----浮清新-----污浊厚-----薄慌张-----冷静稠-----稀表扬-----批评升-----降光滑-----粗糙真诚-----虚伪轻松-----沉重特别-----平凡富裕-----贫穷喜欢-----讨厌漂亮-----丑陋满意-----遗憾常常-----偶尔欺负-----保护筋疲力尽------精力充沛瘦-----胖暖烘烘-----冷冰冰远-----近刻苦-----懒惰夸奖-----批评聪明-----愚蠢枯萎-----茂盛下降-----上升减少-----增多二、多音字组词1、都:① dōu(都是)② dū (首都)2、为:① wéi (为人)② wèi (因为)3、降:①jiànɡ (降落)② xiánɡ (投降)4、背:① bēi(背包)② bèi(背景)5、兴:① xìnɡ(高兴)② xīnɡ(兴奋)6、长:① zhǎnɡ (长大)② chánɡ (长江)7、乐:① lè (快乐)② yuè (音乐)8、曲:① qū ( 弯曲)② qǔ (曲子)9、相:① xiānɡ (相信)② xiànɡ(相片)10、难:① nán(困难)② nàn(难民)11、还:① hái (还有)② huán(还书)12、种:① zhònɡ(种田)② zhǒnɡ(种子)13、发:① fā (发现)② fà (头发)14、转:① zhuàn(转动)② zhuǎn(转身)15、干:①ɡān (干净)②ɡàn(干活)16、教:① jiāo(教书)② jiào(教学)17、漂:① piào(漂亮)② piāo(漂流)18、扎:① zā(一扎)② zhā(扎花)19、当:① dānɡ(当时)② dànɡ(上当)20、传:① chuán(传达)② zhuàn(传记)21、角:① jiǎo(角落)② jué (主角)22、假:① jiǎ (假如)② jià (放假)23、好:① hǎo (好人)② hào (好学)24、少:① shǎo(多少)② shào(少年)25、行:① xínɡ(行动)② hánɡ(一行)26、处:① chù(到处)② chǔ (处方)27、朝:① cháo(朝向)② zhāo(朝阳)28、中:① zhōnɡ(中间)② zhònɡ(打中)29、重:① zhònɡ(重要)② chónɡ(重做)30、奔:① bēn (奔跑)② bèn (投奔)31、空:① kōnɡ(天空)② kònɡ(空白)32、觉:① jiào(睡觉)② jué (自觉)33、倒:① dǎo(倒下)② dào(倒水)34、喷:① pèn (香喷喷)② pēn (喷火)35、分:① fēn (分开)② fèn (水分)36、没:① méi(没有)② mò (埋没)37、卷:① juàn(卷子)② Juǎn(卷尺)38、禁:① jìn (禁止)② jīn (不禁)39、弹:① tán (弹琴)② dàn (子弹)40、模:① mó (模型)② mú (模样)41、了:① le (走了)② liǎo (了解)42、着:① zhe (看着)② zháo(着火)43、只:① zhǐ(只要)② zhī(一只小鸟)44、结:① jiē(结巴)② jié(结束)45、曾:① céng(曾经)② zēng(姓曾)46、应:① yīng(应该)② yìng(报应)47、间:① jiān(中间)② jiàn(黑白相间)48、撒:① sā(撒娇)② sǎ(撒下)49、藏:① zàng(宝藏)② cáng(捉迷藏)50、称:① chēng(称呼)② chèng(称心)给下面的句子排排队1、()我仔细一看,原来是一条蚯蚓。
小学反义词、近义词、多音字归类近义词特别——十分——非常渐渐——逐渐——慢慢著名——有名——闻名经常——常常喜爱——喜欢请求——恳求答应——同意注视——紧盯宽阔——宽广终于——总算宝贵——珍贵专心——认真家乡——故乡洁白——雪白动听——好听温和——温柔忽然——突然壮丽——壮观刺眼——耀眼容易——简单嘹亮——响亮高雅——高贵处处——到处商量——讨论粗心——马虎相见——相会一起——一道——一块儿知道——明白追逐——追赶欢乐——快乐疲倦——疲劳思念——想念美丽——漂亮参加——参与往日——以前消除——消灭挂牵——挂念马上——立刻发现——发觉发明——创造研究——钻研骄阳——烈日争辩——争论故意——有意亲爱——敬爱展现——出现感激——感谢拼命——用力温暖——暖和失望——灰心一定——必定乐呵呵——喜滋滋或许——也许无忧无虑——自由自在五颜六色——五彩缤纷一望无边——一望无际世界闻名——闻名中外目不转睛——目不斜视气冲冲——气呼呼净——洁耍——玩闻——听鸣——叫待——等依——傍逮——捉遥——远歪——斜存——留亮——明曲——弯归——回舟——船特别——十分——非常渐渐——逐渐——慢慢著名——有名——闻名经常——常常喜爱——喜欢请求——恳求答应——同意注视——紧盯宽阔——宽广终于——总算宝贵——珍贵专心——认真家乡——故乡洁白——雪白动听——好听温和——温柔忽然——突然壮丽——壮观刺眼——耀眼容易——简单嘹亮——响亮高雅——高贵处处——到处商量——讨论粗心——马虎相见——相会一起——一道——一块儿知道——明白追逐——追赶欢乐——快乐疲倦——疲劳思念——想念美丽——漂亮参加——参与往日——以前消除——消灭挂牵——挂念马上——立刻发现——发觉发明——创造研究——钻研骄阳——烈日争辩——争论故意——有意亲爱——敬爱展现——出现感激——感谢拼命——用力温暖——暖和失望——灰心一定——必定乐呵呵——喜滋滋或许—也许无忧无虑——自由自在五颜六色——五彩缤纷一望无边——一望无际世界闻名——闻名中外目不转睛——目不斜视气冲冲——气呼呼净——洁耍——玩闻——听鸣——叫待——等依——傍逮——捉遥——远歪——斜存——留亮——明曲——弯归——回舟——船反义词朝——夕尖——秃歪——正尾——头曲——直尾——首粗——细凉——暖亮——暗明——暗好——坏难——易浓——淡伸——缩快——慢教——学反——正因——果功——过死——生总——分顶——底呼——吸单——双善——恶失——得差——好脏——净脏——洁深——浅饱——饿展——合聚——散爱——恨老——少静——动静——闹松——紧张——驰吐——吞贵——贱气冲冲——喜滋滋一定——也许主——客主——次活——死穷——富压——抬接——送动摇——坚定安定——动乱迎——送清——浊新——旧沉——浮忘——记倒——正守——攻优——差始——终种——收安——危起——伏白——黑笑——哭凉——热早——晚方——圆香——臭真——假高——矮长——短开心——难过成功——失败美丽——丑陋粗心——细心马虎——仔细温暖——凉快寒冷——炎热轻松——紧张容易——困难凶恶——善良摇头——点头同意——反对朋友——敌人光明——黑暗安静——吵闹故意——无意危险——安全朝阳——夕阳歪斜——笔直弯曲——笔直白天——黑夜动听——难听出现——消失生存——死亡持久(长久)注视(凝视)珍惜(爱惜)祖宗(祖先)即将(将要)快乐(高兴)犹如(仿佛)喜欢(喜爱)陋习(陋俗)思念(想念)装扮(打扮)平整(平坦)愿意(乐意)忧郁(忧虑)镇定(镇静)损坏(损伤)承受(忍受)突然(骤然)得意(开心)心思(想法)透明(晶莹)奇怪(奇迹)精彩(出色)如果(假设)果然(果真)刨根问底(追根究底)观赏(欣赏)闪耀(闪烁)格外(分外)由衷(衷心)智慧(才干)开导(劝导)废除(取消)担心(害怕)生机(生气)衰老(衰弱)出现(显现)美丽(漂亮)降临(来临)俊俏(俊秀)吹奏(演奏)警觉(警惕)洪亮(响亮)欺负(欺辱)激烈(猛烈)勘探(勘测)抖擞(振作)本领(本事)巨大(庞大)争吵(争论)足迹(痕迹)职工(职员)呼啸(长啸)普通(一般)空闲(空暇)摧残(残害)损害(破坏)坚决(坚定)恳切(诚恳)承受(经受)发抖(颤抖)聚精会神(全神贯注)光秃秃(光溜溜)环绕(围绕)飘荡(飘浮)愉快(高兴)尽情(纵情)伙伴(同伴)悄悄地(偷偷地)突然(忽然)嚷(叫)解释(解说)理解(明白)奉献(贡献)飘零(飘落)茁壮(健壮)清澈(明澈)如同(好像)顿时(立刻)漾起(荡起)犹如(好像)硕大(巨大)格外(特别)荡舟(泛舟)有名(著名)对照(对比)神往(向往)雄伟(宏伟)蔚蓝(湛蓝)嘱咐(叮嘱)黑黝黝(黑油油)竞相开放(争相开放)保存(保留)聪明(聪明)拜访(访问)憨厚(忠厚)机灵(机智)随即(立刻)胡作非为(为非作歹)摇晃(摇摆)察看(观察)持久(长久)注视(凝视)珍惜(爱惜)祖宗(祖先)即将(将要)快乐(高兴)犹如(仿佛)喜欢(喜爱)陋习(陋俗)思念(想念)装扮(打扮)平整(平坦)愿意(乐意)忧郁(忧虑)镇定(镇静)损坏(损伤)承受(忍受)突然(骤然)得意(开心)心思(想法)透明(晶莹)奇怪(奇迹)精彩(出色)如果(假设)果然(果真)刨根问底(追根究底)观赏(欣赏)闪耀(闪烁)格外(分外)由衷(衷心)智慧(才干)开导(劝导)废除(取消)担心(害怕)生机(生气)衰老(衰弱)出现(显现)美丽(漂亮)降临(来临)俊俏(俊秀)吹奏(演奏)警觉(警惕)洪亮(响亮)欺负(欺辱)激烈(猛烈)勘探(勘测)抖擞(振作)本领(本事)巨大(庞大)争吵(争论)足迹(痕迹)职工(职员)呼啸(长啸)普通(一般)空闲(空暇)摧残(残害)损害(破坏)坚决(坚定)恳切(诚恳)承受(经受)发抖(颤抖)聚精会神(全神贯注)光秃秃(光溜溜)环绕(围绕)飘荡(飘浮)愉快(高兴)尽情(纵情)伙伴(同伴)悄悄地(偷偷地)突然(忽然)嚷(叫)解释(解说)理解(明白)奉献(贡献)飘零(飘落)茁壮(健壮)清澈(明澈)如同(好像)顿时(立刻)漾起(荡起)犹如(好像)硕大(巨大)格外(特别)荡舟(泛舟)有名(著名)对照(对比)神往(向往)雄伟(宏伟)蔚蓝(湛蓝)嘱咐(叮嘱)黑黝黝(黑油油)竞相开放(争相开放)持久(长久)注视(凝视)珍惜(爱惜)祖宗(祖先)即将(将要)快乐(高兴)犹如(仿佛)喜欢(喜爱)陋习(陋俗)思念(想念)装扮(打扮)平整(平坦)愿意(乐意)忧郁(忧虑)镇定(镇静)损坏(损伤)承受(忍受)突然(骤然)得意(开心)心思(想法)透明(晶莹)奇怪(奇迹)精彩(出色)如果(假设)果然(果真)刨根问底(追根究底)观赏(欣赏)闪耀(闪烁)格外(分外)由衷(衷心)智慧(才干)开导(劝导)废除(取消)担心(害怕)生机(生气)衰老(衰弱)出现(显现)美丽(漂亮)降临(来临)俊俏(俊秀)吹奏(演奏)警觉(警惕)洪亮(响亮)欺负(欺辱)激烈(猛烈)勘探(勘测)抖擞(振作)本领(本事)巨大(庞大)争吵(争论)足迹(痕迹)职工(职员)呼啸(长啸)普通(一般)空闲(空暇)摧残(残害)损害(破坏)坚决(坚定)恳切(诚恳)承受(经受)发抖(颤抖)聚精会神(全神贯注)光秃秃(光溜溜)环绕(围绕)飘荡(飘浮)愉快(高兴)尽情(纵情)伙伴(同伴)悄悄地(偷偷地)突然(忽然)嚷(叫)解释(解说)理解(明白)奉献(贡献)飘零(飘落)茁壮(健壮)清澈(明澈)如同(好像)顿时(立刻)漾起(荡起)犹如(好像)硕大(巨大)格外(特别)荡舟(泛舟)有名(著名)对照(对比)神往(向往)雄伟(宏伟)蔚蓝(湛蓝)嘱咐(叮嘱)黑黝黝(黑油油)竞相开放(争相开放)保存(保留)聪明(聪明)拜访(访问)憨厚(忠厚)机灵(机智)持久(长久)注视(凝视)珍惜(爱惜)祖宗(祖先)即将(将要)快乐(高兴)犹如(仿佛)喜欢(喜爱)陋习(陋俗)思念(想念)装扮(打扮)平整(平坦)愿意(乐意)忧郁(忧虑)镇定(镇静)损坏(损伤)承受(忍受)突然(骤然)得意(开心)心思(想法)透明(晶莹)奇怪(奇迹)精彩(出色)如果(假设)果然(果真)刨根问底(追根究底)观赏(欣赏)闪耀(闪烁)格外(分外)由衷(衷心)智慧(才干)开导(劝导)废除(取消)担心(害怕)生机(生气)衰老(衰弱)出现(显现)美丽(漂亮)降临(来临)俊俏(俊秀)吹奏(演奏)警觉(警惕)洪亮(响亮)欺负(欺辱)激烈(猛烈)勘探(勘测)抖擞(振作)本领(本事)巨大(庞大)争吵(争论)足迹(痕迹)职工(职员)呼啸(长啸)普通(一般)空闲(空暇)摧残(残害)损害(破坏)坚决(坚定)恳切(诚恳)承受(经受)发抖(颤抖)聚精会神(全神贯注)光秃秃(光溜溜)环绕(围绕)飘荡(飘浮)愉快(高兴)尽情(纵情)伙伴(同伴)悄悄地(偷偷地)突然(忽然)嚷(叫)解释(解说)理解(明白)奉献(贡献)飘零(飘落)茁壮(健壮)清澈(明澈)如同(好像)顿时(立刻)漾起(荡起)犹如(好像)硕大(巨大)格外(特别)荡舟(泛舟)有名(著名)对照(对比)神往(向往)雄伟(宏伟)蔚蓝(湛蓝)嘱咐(叮嘱)黑黝黝(黑油油)竞相开放(争相开放)保存(保留)聪明(聪明)拜访(访问)憨厚(忠厚)机灵(机智)持久(长久)注视(凝视)珍惜(爱惜)祖宗(祖先)即将(将要)快乐(高兴)犹如(仿佛)喜欢(喜爱)陋习(陋俗)思念(想念)装扮(打扮)平整(平坦)愿意(乐意)忧郁(忧虑)镇定(镇静)损坏(损伤)承受(忍受)突然(骤然)得意(开心)心思(想法)透明(晶莹)奇怪(奇迹)精彩(出色)如果(假设)果然(果真)刨根问底(追根究底)观赏(欣赏)闪耀(闪烁)格外(分外)由衷(衷心)智慧(才干)开导(劝导)废除(取消)担心(害怕)生机(生气)衰老(衰弱)出现(显现)美丽(漂亮)降临(来临)俊俏(俊秀)吹奏(演奏)警觉(警惕)洪亮(响亮)欺负(欺辱)激烈(猛烈)勘探(勘测)抖擞(振作)本领(本事)巨大(庞大)争吵(争论)足迹(痕迹)职工(职员)呼啸(长啸)普通(一般)空闲(空暇)摧残(残害)损害(破坏)坚决(坚定)恳切(诚恳)承受(经受)发抖(颤抖)聚精会神(全神贯注)光秃秃(光溜溜)环绕(围绕)飘荡(飘浮)愉快(高兴)尽情(纵情)伙伴(同伴)悄悄地(偷偷地)突然(忽然)嚷(叫)解释(解说)理解(明白)奉献(贡献)飘零(飘落)茁壮(健壮)清澈(明澈)如同(好像)顿时(立刻)漾起(荡起)犹如(好像)硕大(巨大)格外(特别)荡舟(泛舟)有名(著名)对照(对比)神往(向往)雄伟(宏伟)蔚蓝(湛蓝)嘱咐(叮嘱)黑黝黝(黑油油)竞相开放(争相开放)保存(保留)聪明(聪明)拜访(访问)憨厚(忠厚)机灵(机智)持久(长久)注视(凝视)珍惜(爱惜)祖宗(祖先)即将(将要)快乐(高兴)犹如(仿佛)喜欢(喜爱)陋习(陋俗)思念(想念)装扮(打扮)平整(平坦)愿意(乐意)忧郁(忧虑)镇定(镇静)损坏(损伤)承受(忍受)突然(骤然)得意(开心)心思(想法)透明(晶莹)奇怪(奇迹)精彩(出色)如果(假设)果然(果真)刨根问底(追根究底)观赏(欣赏)闪耀(闪烁)格外(分外)由衷(衷心)智慧(才干)开导(劝导)废除(取消)担心(害怕)生机(生气)衰老(衰弱)出现(显现)美丽(漂亮)降临(来临)俊俏(俊秀)吹奏(演奏)警觉(警惕)洪亮(响亮)欺负(欺辱)激烈(猛烈)勘探(勘测)抖擞(振作)本领(本事)巨大(庞大)争吵(争论)足迹(痕迹)职工(职员)呼啸(长啸)普通(一般)空闲(空暇)摧残(残害)损害(破坏)坚决(坚定)恳切(诚恳)承受(经受)发抖(颤抖)聚精会神(全神贯注)光秃秃(光溜溜)环绕(围绕)飘荡(飘浮)愉快(高兴)尽情(纵情)伙伴(同伴)悄悄地(偷偷地)突然(忽然)嚷(叫)解释(解说)理解(明白)奉献(贡献)飘零(飘落)茁壮(健壮)清澈(明澈)如同(好像)顿时(立刻)漾起(荡起)犹如(好像)硕大(巨大)格外(特别)荡舟(泛舟)有名(著名)对照(对比)神往(向往)雄伟(宏伟)蔚蓝(湛蓝)嘱咐(叮嘱)黑黝黝(黑油油)竞相开放(争相开放)保存(保留)聪明(聪明)拜访(访问)憨厚(忠厚)机灵(机智)随即(立刻)胡作非为(为非作歹)摇晃(摇摆)察看(观察)随即(立刻)胡作非为(为非作歹)摇晃(摇摆)察看(观察)随即(立刻)胡作非为(为非作歹)摇晃(摇摆)察看(观察)随即(立刻)胡作非为(为非作歹)摇晃(摇摆)察看(观察)保存(保留)聪明(聪明)拜访(访问)憨厚(忠厚)机灵(机智)随即(立刻)胡作非为(为非作歹)摇晃(摇摆)察看(观察)鲜艳(艳丽)飘扬(飞扬)安静(静谧)常常(时时)快乐(愉快)居然(竟然)汲取(吸收)似乎(好像)坚定(毅然)欢蹦乱跳(活蹦乱跳)忽然(突然)肯定(确定)仔细(详细)震惊(吃惊)孤零零(寂寥寥)漂亮(美丽)奇怪(怪异)精心(用心)依然(仍旧)希望(希冀)清凉(清爽)温柔(温婉)酷热(炙热)留心(用心)五彩缤纷(色彩斑斓)道别(告别)怒放(盛放)娇嫩(娇艳)推测(推断)陌生(生疏)准确(精确)清闲(悠闲)细微(微小)带劲(够劲)详细闻名(愿闻其名)纳闷(不解)雄伟(伟岸)坚固(牢固)节省(节约)宝贵(珍贵)观赏(欣赏)保存(存放)完整(完美)威武(威风)茂盛(茂密)庞大(巨大)富饶(富裕)诱人(诱惑)苍翠(翠绿)名贵(珍稀)飞舞(飘舞)固然(虽然)奚落(调侃)轻蔑(藐视)机灵(聪明)凶猛(凶狠)抱怨(埋怨)骤然(突然)忧绪(怅然)立刻(马上)热烈(热情)鼓励(奖励)诚挚(热忱)宽裕(富裕)盼望(希望)担心(担忧)连忙(赶紧)发觉(发现)写出下列词语的反义词安静(热闹)常常(偶尔)快乐(伤心)诚实(欺骗)严寒(酷暑)肯定(怀疑)忘记(想起)失信(守约)希望(绝望)炎热(寒冷)香甜(腥臭)细心(粗心)矮小(高达)欢乐(郁闷)逆风(顺风)陌生(熟悉)减少(增加)新(旧)浅(深)浪费(节约)简单(复杂)清闲(忙碌)放大(缩小)清(浊)详细(梗概)渊博(浅薄)轻(重)黑暗(光明)上升(下降)节省(浪费)减轻(加重)热闹(安静)悠闲(忙碌)完整(残缺)普通(稀有)高耸(矮小)美丽(丑陋)清澈(混浊)热情(冷漠)光彩夺目(毫无光彩)紧张(放松)胜利(失败)缩(放)进攻(撤退)谦虚(骄傲)懦弱(勇敢)朴素(奢华)傲慢(谦逊)丑陋(美丽)愚蠢(聪颖)危险(安全)减少(增加)镇定(慌乱)忧郁(快乐)犹豫(果断)激动(平静)成功(失败)不假思索(唯唯诺诺)热烈(冷漠)分享(独享)担心(放心)相信(质疑)调皮(乖巧)喜欢(讨厌)彬彬有礼(澳傲慢无礼)反义词美丽(丑陋)凉爽(闷热)愉快(痛苦)幸福(悲惨)强烈(微弱)高兴(难过)意味深长(味同嚼蜡)奉献(索取)形态各异(一模一样)清澈(浑浊)热闹(冷清)喜欢(讨厌)赞美(责备)天堂(地狱)硕大(微小)平静(动荡)典雅(庸俗)纯净(污秽)吸引(排斥)透亮(暗淡)洁白(乌黑)欢乐(痛苦)美丽(丑陋)迷惑(明白)夸奖(批评)节俭(浪费)聪明(愚蠢)保存(遗失)失败(成功)侵略(保卫)战争(和平)抵抗(投降)强大(弱小)骄傲(谦虚)屈辱(光荣)答应(拒绝)痛苦(欢乐)模糊(清楚)分析(综合)软(硬)买(卖)实(虚)甘(苦)低(高)热(冷)缓慢(飞快)希望(失望)扫兴(高兴)松软(坚硬)谦虚(骄傲)失败(成功)结束(开始)忧郁(开朗)舒服(难受)温暖(寒冷)幸运(倒霉)痛苦(快乐)空闲(繁忙)热闹(安静)失望(希望)附近(遥远骄傲(谦虚)无意(有意)犹豫(果断)勉强(坚决)诚实(虚伪愿意(反对)热烈(冷清)永远(暂时)镇定(慌张)担心(放心)损坏(保护)得意(失落)回收(输送)自在(约束)特别(平凡)喜欢(讨厌)黎明(夜晚)异常(平常)清楚(模糊)衰老(年轻)勤劳(懒惰)宁静(喧闹)俊俏(丑陋)出来(进去)出现(消失)光滑(粗糙)内心(外表)糊涂(明白)著名(普通)损伤(完好)平静(吵闹)暂新(陈旧)一声不吭(滔滔不绝)进(退)推(拉)坑坑洼洼(平平整整)聚精会神(心猿意马)弱小(强大)。
1.小学语文二年级反义词大全胖—瘦香—臭明—暗忙—闲凉—暖来—去尖—钝好—坏轻—重前—后左—右是—非有—无老—少深—浅高—低快—慢升—降入—出开—关斜—正落—升冷—热饿—饱贫—富死—活穷—富买—卖旧—新细—粗明—暗首—尾始—终洁白—漆黑美丽—丑陋仔细—马虎告别—会合舒服—难受粗心—细心出发—归来安宁—喧闹宽敞—狭窄困难—容易热闹—寂静空闲—忙碌打开—关闭流动—固定暖和—寒冷弯曲—笔直微笑—悲伤昂首—低头开始—结束现在—将来喜欢—讨厌欢快—沉重机灵—愚笨明白—糊涂希望—失望傍晚—清晨秘密—公开高大—矮小坚定—动摇张开—合拢经常—偶尔愤怒—高兴坚定—犹豫清楚—模糊熟悉—陌生保护—破坏勇敢—懦弱聪明—愚蠢失败—成功敞开—关闭飞快—缓慢明白—糊涂失败—成功烦恼—高兴特殊—一般特别—普通漂亮—丑陋高兴—伤心仔细—粗心精彩—枯燥洁净—肮脏心爱—厌恶飞快—缓慢极小—极大温和—暴躁好事—坏事奔跑—停止灾害—幸福坚硬—松软堵塞—畅通贵重—便宜锋利—迟钝聚集—分散新鲜—陈旧破碎—完整未来—现在诚实—狡猾可爱—可恨活泼—呆板赶紧—拖延透明—浑浊凉爽—炎热永远—短暂凉爽—闷热广阔—狭小相信—怀疑裂开—合拢相信—怀疑节省—浪费亲密—疏远高明—低劣热闹—冷清喜欢—讨厌茁壮—虚弱得意洋洋—垂头丧气2.小学语文二年级近义词大全斜—歪脚—足肥—胖降—落找—寻心惊肉跳—胆战心惊丝毫未动—未动分毫祝愿—祝福茁壮—强壮召唤—呼唤嘱咐—叮嘱希望—盼望闪烁—闪耀希望—盼望袭击—攻击打扰—打搅暖和—温和拜访—访问艳丽—鲜艳节省—节约美丽—漂亮快乐—欢乐时光—时间惊讶—惊奇亲密—亲切依然—依旧高明—高超喜欢—喜爱热闹—喧闹开心—快乐举行—进行凉爽—凉快广大—广阔永远—永久消失—消灭饥荒—饥饿广阔—宽阔飞翔—飞行奇怪—惊奇眨眼—瞬间聚集—聚拢根据—依据诚实—老实未来—将来称赞—赞扬发现—发觉赶紧—抓紧快乐—高兴解落—降落波纹—波浪颤动—颤抖颤动—抖动破碎—破裂珍珠—珍宝财富—财宝锋利—锐利伤心—难过高兴—快乐连忙—赶忙拦住—挡住极小—微小漂浮—漂移平时—平常奔跑—奔驰温和—温顺灾害—灾难帮助—关心温和—亲切无数—很多愿意—同意立刻—连忙如果—假如仔细—认真传说—传奇目录—名目招聘—聘请洁净—干净特殊—特别聆听—倾听领袖—首领盼望—希望费力—费劲使劲—用劲救护—抢救挑选—选择本事—本领烦恼—苦恼究竟—毕竟拼命—舍命浪费—白费干净—洁净录取—录用聊天—谈天盼望—希望耽误—耽搁敞开—放开躲藏—隐藏胆量—胆识飞快—飞速比赛—竞赛害怕—可怕亲爱—友爱保护—爱护谢谢—感谢清楚—清晰渐渐—慢慢面颊—脸蛋脖子—颈项歌唱—唱歌寻找—查找拾起—捡起办法—方法告别—离别准备—预备洁白—雪白美丽—秀丽出发—动身观察—观看很多—许多宾客—来宾安宁—安静逃窜—逃跑突然—忽然宽阔宽敞热闹—吵闹住所—住宅闪现—出现寺庙—寺院卧室—卧房流动—流淌连忙—赶忙忽然—突然好似—好像连忙—急忙正要—刚要浮上—浮现辽阔—宽阔昂首—仰头眼力—视力故乡—家乡本事—本领劝告—劝说依赖—依靠何必—为必凭着—靠着机灵—机智奔走—奔跑秘密—隐秘专心—用心著名—闻名奇怪—惊奇发现—发明好象—仿佛有趣—有味愤怒—气愤坚定—坚决仍旧—照旧弯弯曲曲—曲曲折折连绵不断—连绵起伏赞不绝口—赞叹不已一二年级多音字薄 bó(单薄) báo(薄雾)便 biàn(方便小便) pián(便宜)背 bèi(背心背书) bēi(背着背书包)奔 bēn(奔跑飞奔) bèn(嫦娥奔月)重 chóng(重叠重新) zhòng(重要)差 chā(差别) chà(差不多) chāi(出差)cī(参差不齐)曾 céng (曾经) zēng (姓曾)称 chēng (称呼简称) chèn(匀称称心如意)chèng(公平称通“秤”)场 chǎng (市场广场) cháng (一场雨)冲 chōng (冲走冲下来) chòng (冲劲冲着)处 chù(到处处处) chǔ(相处)待 dāi (待在家) dài(等待)钉 dīng (钉子) ding(钉钉子)答 dā(答应) dá(答卷)当 dāng(当天) dàng(上当)都 dū ( 成都都市) dōu (都是都对)得 de (跑得快香得很) děi(我得走了) dé(得到) 大 dà(大人大家) dài(大夫)斗 dǒu(北斗星 ) dòu(斗争战斗)地 dì(地方土地) de( 胜利地完成任务)倒 dǎo(倒下) dào(倒立倒影)当 dāng(当天当时) dàng(上当当铺)的 de(我的) dí(的确) dì(目的)弹 dàn(子弹炮弹) tán(弹琴弹力)恶ě(恶心)è(凶恶) wù(可恶)分 fēn(分数一百分) fèn(水分分量)发 fā(发现发达) fà(头发理发)缝 fèng(缝隙) féng(裁缝)佛 fú(仿佛) fó(佛像)番 fān (番茄) pān(番禺) 供 gōng(供养) gòng(供品)杆 gān (旗杆) gǎn(笔杆)骨 gū(花骨朵儿) gǔ(骨头)干 gān(干净干死 ) gàn(干活树干 )喝 hē(喝水) hè(喝彩)和 hé(和平) huo (暖和)哄 hǒng (哄骗) hòng(起哄)晃 huǎng(明晃晃晃眼) huàng(晃动晃荡)还 hái(还是还有) huán(还书还东西) 会 huì(开会大会) kuài(会计)好 hǎo(好人好事) hào(好学爱好)号 hào(号码号召) háo(风号浪吼)几 jī(几乎茶几) jǐ(几个几何)结 jiē(结实结果) jié(结构结账)间 jiān (中间时间) jiàn (黑白相间间隔)尽 jìn (尽力用尽) jǐn(尽量)假 jiǎ(真假假花) jià(放假假期)觉 jiào(睡觉午觉) jué(觉得感觉)教 jiào (教师教室 ) jiāo( 教学教书)觉 jué(觉得感觉) jiào(睡觉午觉)角 jué(角色主角) jiǎo(角钱角度)降 jiàng(下降) xiáng(投降)卷 juàn(卷子) juǎn(卷发)给 jǐ(给予) gěi(送给)禁 jīn(情不自禁) jìn(禁止)见 jiàn (看见) xiàn (见牛羊)看 kàn (看见好看) kān (看家看守)空 kōng(天空空气) kòng(空闲空隙)露 lù(露珠露水) lòu(露脸露一手)累 lěi (硕果累累) lèi (很累)乐 lè(快乐乐意) yuè(乐曲音乐)蒙 měng(蒙古) mēng(蒙人)没 méi (没有没事) mò (淹没埋没)闷 mēn(闷热) mèn(闷雷滚动)模 mú(模样) mó(模型)难 nán (困难难题) nàn (遇难灾难)漂 piāo(漂流漂浮) piào(漂亮)屏 píng(屏幕) bǐng(屏息)铺 pū(铺路) pù(店铺)强 qiáng(强大) jiàng(倔强) qiǎng(勉强)曲 qǔ(曲子歌曲) qū(弯弯曲曲 )为 wéi (为人) wèi (因为)撒 sā(撒娇) sǎ(撒下)数 shǔ(数星星不可计数) shù(数学)盛 shèng(盛开盛大) chéng(盛饭盛汤)似 sì (好似) shì(似的)少 shǎo(多少少数) shào(少年少爷)似 shì(似的) sì(似乎)调 tiáo(调整) diào(调动)为 wèi (因为为什么) wéi(为人作为)兴 xìng (高兴兴致勃勃) xīng(兴奋大兴土木)行 xíng(不行行走) háng(一行银行)应 yīng(应该应当) yìng( 报应反应)要 yào(只要要紧要强必要) yāo(要求)钻 zuān (钻研) zuàn (钻石)种 zhòng(种树种花) zhǒng(种子树种)转 zhuǎn(转弯转身) zhuàn(转动转圈)涨 zhǎng(涨潮涨价) zhàng(涨大涨红了脸)折 zhē(折腾) zhé(打折) shé(枝折花落)只 zhǐ(只要只是) zhī(一只小鸟)长 zhǎng(长大成长) cháng(长短长度)中 zhōng(中国中心) zhòng(中奖打中)藏 zàng(宝藏藏族) cáng (收藏捉迷藏)朝 zhāo (朝阳夕发朝至) cháo(上朝朝代)着 zháo(着火 ) zhe(拿着)扎 zā(扎辫子) zhā(扎花扎针扎营) zhá(挣扎)。
二年级反义词与近义词表反义词:枯-----荣疏-----密弯-----直甜-----苦长-----短慢-----快远-----近动-----静厚-----薄稠-----稀升-----降沉-----浮瘦-----胖沉睡-----苏醒美丽-----丑陋漆黑-----明亮浓密-----稀疏明亮-----黑暗脱掉-----穿上害羞-----大方温暖-----寒冷出现-----消失回答-----提问保护-----破坏弱小-----强大无力-----有力勇敢-----怯懦难过-----高兴有趣-----无趣清晰-----模糊展现-----隐藏热情-----冷淡欢乐-----痛苦开心-----难过高大-----矮小繁华-----衰败奇怪-----平常高兴-----难过容易-----困难整齐-----零乱方便-----麻烦洁白-----乌黑开始-----结束称赞-----贬低清新-----污浊慌张-----冷静表扬-----批评光滑-----粗糙真诚-----虚伪轻松-----沉重特别-----平凡富裕-----贫穷喜欢-----讨厌漂亮-----丑陋满意-----遗憾常常-----偶尔欺负-----保护刻苦-----懒惰夸奖-----批评聪明-----愚蠢枯萎-----茂盛下降-----上升减少-----增多糊涂-----明白、聪明茂盛、茂密-----稀疏仔细-----粗心、马虎暖烘烘-----冷冰冰筋疲力尽------精力充沛冷冷清清-----热热闹闹近义词:躲-----藏遮-----掩望-----看枯-----干追-----赶宿-----住鸣-----叫泊-----停弯-----曲健壮-----强壮呼唤-----叫唤高兴-----开心同伴-----伙伴足迹-----脚印寻找-----寻觅迷路-----迷途脱掉-----卸下景色-----景象芬芳-----香气赶紧-----赶快不解-----迷惑应该-----应当舒适-----舒服照顾-----照料挑选-----选择茂盛-----茂密清晰-----清楚展现-----展示流动-----流淌有名-----出名特别-----非常欢乐-----快乐祝福-----祝愿闪烁-----闪耀雄伟-----雄壮犹如-----好像装扮-----打扮奇怪-----奇异生气-----气愤哄骗-----欺骗知道-----明白连接-----联结容易-----轻易研究-----钻研立即-----立刻采用-----采纳方便-----便利洁白-----雪白忽然-----突然好像-----似乎清新-----新鲜辨别-----分辨慌张-----慌乱指点-----指示著名-----有名观赏-----欣赏指教-----指点惭愧-----羞愧光滑-----猾溜飞快-----快速力气-----力量聪明-----聪慧喜欢-----喜爱仔细-----认真满意-----满足常常-----经常谈天-----聊天往常-----以往巴望-----盼望焦急-----着急办法-----方法讨厌-----厌恶孤单-----孤独讥笑-----嘲笑清楚-----明白刻苦-----努力斥责-----训斥旅游-----旅行夸奖-----夸赞灭绝-----灭亡足够-----充足流行-----盛行美丽-----漂亮自豪-----骄傲明亮-----光明、光亮惊讶-----惊异、惊奇慢慢-----缓缓、徐徐一动不动-----纹丝不动川流不息-----络绎不绝二年级的近义词与反义词表近义词躲----藏遮------掩脱掉-----卸下枯----干追------赶宿------住美丽-----漂亮自豪-----骄傲健壮-----强壮呼唤-----叫唤慢慢-----缓缓、徐徐高兴-----开心明亮-----光明、光亮同伴-----伙伴弯-----曲足迹-----脚印寻找-----寻觅迷路-----迷途景色-----景象芬芳-----香气赶紧-----赶快不解-----迷惑应该-----应当舒适-----舒服照顾-----照料挑选-----选择茂盛-----茂密清晰-----清楚展现-----展示流动-----流淌有名-----出名特别-----非常欢乐-----快乐祝福-----祝愿闪烁-----闪耀雄伟-----雄壮犹如-----好像装扮-----打扮川流不息-----络绎不绝奇怪-----奇异生气-----气愤哄骗-----欺骗知道-----明白连接-----联结容易-----轻易研究-----钻研立即-----立刻采用-----采纳方便-----便利洁白-----雪白忽然-----突然好像-----似乎望-----看鸣-----叫泊-----停一动不动-----纹丝不动清新-----新鲜辨别-----分辨慌张-----慌乱指点-----指示著名-----有名观赏-----欣赏指教-----指点惭愧-----羞愧光滑-----猾溜飞快-----快速力气-----力量聪明-----聪慧喜欢-----喜爱仔细-----认真满意-----满足常常-----经常惊讶-----惊异、惊奇谈天-----聊天往常-----以往巴望-----盼望焦急-----着急办法-----方法讨厌-----厌恶孤单-----孤独讥笑-----嘲笑清楚-----明白刻苦-----努力斥责-----训斥夸奖-----夸赞灭绝-----灭亡足够-----充足流行-----盛行旅游-----旅行反义词脱掉-----穿上害羞-----大方仔细-----粗心、马虎枯-----荣疏-----密沉睡-----苏醒美丽-----丑陋漆黑-----明亮慢-----快浓密-----稀疏明亮-----黑暗甜-----苦长-----短弯-----直温暖-----寒冷出现-----消失回答-----提问保护-----破坏弱小-----强大无力-----有力勇敢-----怯懦难过-----高兴有趣-----无趣糊涂-----明白、聪明冷冷清清-----热热闹闹情绪茂盛、茂密-----稀疏清晰-----模糊展现-----隐藏热情-----冷淡欢乐-----痛苦开心-----难过高大-----矮小繁华-----衰败奇怪-----平常高兴-----难过容易-----困难整齐-----零乱方便-----麻烦洁白-----乌黑动-----静开始-----结束称赞-----贬低沉-----浮清新-----污浊厚-----薄慌张-----冷静稠-----稀表扬-----批评升-----降光滑-----粗糙真诚-----虚伪轻松-----沉重特别-----平凡富裕-----贫穷喜欢-----讨厌漂亮-----丑陋满意-----遗憾常常-----偶尔欺负-----保护筋疲力尽------精力充沛瘦-----胖暖烘烘-----冷冰冰远-----近刻苦-----懒惰夸奖-----批评聪明-----愚蠢枯萎-----茂盛下降-----上升减少-----增多近义词躲----藏遮------掩脱掉-----卸下枯----干追------赶宿------住美丽-----漂亮自豪-----骄傲健壮-----强壮呼唤-----叫唤慢慢-----缓缓、徐徐高兴-----开心明亮-----光明、光亮同伴-----伙伴弯-----曲足迹-----脚印寻找-----寻觅迷路-----迷途景色-----景象芬芳-----香气赶紧-----赶快不解-----迷惑应该-----应当舒适-----舒服照顾-----照料挑选-----选择茂盛-----茂密清晰-----清楚展现-----展示流动-----流淌有名-----出名特别-----非常欢乐-----快乐祝福-----祝愿闪烁-----闪耀雄伟-----雄壮犹如-----好像装扮-----打扮川流不息-----络绎不绝奇怪-----奇异生气-----气愤哄骗-----欺骗知道-----明白连接-----联结容易-----轻易研究-----钻研立即-----立刻采用-----采纳方便-----便利洁白-----雪白忽然-----突然好像-----似乎望-----看鸣-----叫泊-----停一动不动-----纹丝不动清新-----新鲜辨别-----分辨慌张-----慌乱指点-----指示著名-----有名观赏-----欣赏指教-----指点惭愧-----羞愧光滑-----猾溜飞快-----快速力气-----力量聪明-----聪慧喜欢-----喜爱仔细-----认真满意-----满足常常-----经常惊讶-----惊异、惊奇谈天-----聊天往常-----以往巴望-----盼望焦急-----着急办法-----方法讨厌-----厌恶孤单-----孤独讥笑-----嘲笑清楚-----明白刻苦-----努力斥责-----训斥夸奖-----夸赞灭绝-----灭亡足够-----充足流行-----盛行旅游-----旅行反义词脱掉-----穿上害羞-----大方仔细-----粗心、马虎枯-----荣疏-----密沉睡-----苏醒美丽-----丑陋漆黑-----明亮慢-----快浓密-----稀疏明亮-----黑暗甜-----苦长-----短弯-----直温暖-----寒冷出现-----消失回答-----提问保护-----破坏弱小-----强大无力-----有力勇敢-----怯懦难过-----高兴有趣-----无趣糊涂-----明白、聪明冷冷清清-----热热闹闹情绪茂盛、茂密-----稀疏清晰-----模糊展现-----隐藏热情-----冷淡欢乐-----痛苦开心-----难过高大-----矮小繁华-----衰败奇怪-----平常高兴-----难过容易-----困难整齐-----零乱方便-----麻烦洁白-----乌黑动-----静开始-----结束称赞-----贬低沉-----浮清新-----污浊厚-----薄慌张-----冷静稠-----稀表扬-----批评升-----降光滑-----粗糙真诚-----虚伪轻松-----沉重特别-----平凡富裕-----贫穷喜欢-----讨厌漂亮-----丑陋满意-----遗憾常常-----偶尔欺负-----保护筋疲力尽------精力充沛瘦-----胖暖烘烘-----冷冰冰远-----近刻苦-----懒惰夸奖-----批评聪明-----愚蠢枯萎-----茂盛下降-----上升减少-----增多二、多音字组词1、都:①dōu(都是)②dū(首都)2、为:①wéi (为人)②wèi (因为)3、降:①jiànɡ(降落)②xiánɡ(投降)4、背:①bēi(背包)②bèi(背景)5、兴:①xìnɡ(高兴)②xīnɡ(兴奋)6、长:①zhǎnɡ(长大)②chánɡ(长江)7、乐:①lè(快乐)②yuè(音乐)8、曲:①qū( 弯曲)②qǔ(曲子)9、相:①xiānɡ(相信)②xiànɡ(相片)10、难:①nán(困难)②nàn(难民)11、还:①hái (还有)②huán(还书)12、种:①zhònɡ(种田)②zhǒnɡ(种子)13、发:①fā(发现)②fà(头发)14、转:①zhuàn(转动)②zhuǎn(转身)15、干:①ɡān (干净)②ɡàn(干活)16、教:①jiāo(教书)②jiào(教学)17、漂:①piào(漂亮)②piāo(漂流)18、扎:①zā(一扎)②zhā(扎花)19、当:①dānɡ(当时)②dànɡ(上当)20、传:①chuán(传达)②zhuàn(传记)21、角:①jiǎo(角落)②jué(主角)22、假:①jiǎ(假如)②jià(放假)23、好:①hǎo (好人)②hào (好学)24、少:①shǎo(多少)②shào(少年)25、行:①xínɡ(行动)②hánɡ(一行)26、处:①chù(到处)②chǔ(处方)27、朝:①cháo(朝向)②zhāo(朝阳)28、中:①zhōnɡ(中间)②zhònɡ(打中)29、重:①zhònɡ(重要)②chónɡ(重做)30、奔:①bēn (奔跑)②bèn (投奔)31、空:①kōnɡ(天空)②kònɡ(空白)32、觉:①jiào(睡觉)②jué(自觉)33、倒:①dǎo(倒下)②dào(倒水)34、喷:①pèn (香喷喷)②pēn (喷火)35、分:①fēn (分开)②fèn (水分)36、没:①méi(没有)②mò(埋没)37、卷:①juàn(卷子)②Juǎn(卷尺)38、禁:①jìn (禁止)②jīn (不禁)39、弹:①tán (弹琴)②dàn (子弹)40、模:①mó(模型)②mú(模样)41、了:①le (走了)②liǎo (了解)42、着:①zhe (看着)②zháo(着火)43、只:①zhǐ(只要)②zhī(一只小鸟)44、结:①jiē(结巴)②jié(结束)45、曾:①céng(曾经)②zēng(姓曾)46、应:①yīng(应该)②yìng(报应)47、间:①jiān(中间)②jiàn(黑白相间)48、撒:①sā(撒娇)②sǎ(撒下)49、藏:①zàng(宝藏)②cáng(捉迷藏)50、称:①chēng(称呼)②chèng(称心)给下面的句子排排队1、()我仔细一看,原来是一条蚯蚓。
二年级反义词与近义词表反义词:枯-----荣疏-----密弯-----直甜-----苦长-----短慢-----快远-----近动-----静厚-----薄稠-----稀升-----降沉-----浮瘦-----胖沉睡-----苏醒美丽-----丑陋漆黑-----明亮浓密-----稀疏明亮-----黑暗脱掉-----穿上害羞-----大方温暖-----寒冷出现-----消失回答-----提问保护-----破坏弱小-----强大无力-----有力勇敢-----怯懦难过-----高兴有趣-----无趣清晰-----模糊展现-----隐藏热情-----冷淡欢乐-----痛苦开心-----难过高大-----矮小繁华-----衰败奇怪-----平常高兴-----难过容易-----困难整齐-----零乱方便-----麻烦洁白-----乌黑开始-----结束称赞-----贬低清新-----污浊慌张-----冷静表扬-----批评光滑-----粗糙真诚-----虚伪轻松-----沉重特别-----平凡富裕-----贫穷喜欢-----讨厌漂亮-----丑陋满意-----遗憾常常-----偶尔欺负-----保护刻苦-----懒惰夸奖-----批评聪明-----愚蠢枯萎-----茂盛下降-----上升减少-----增多糊涂-----明白、聪明茂盛、茂密-----稀疏仔细-----粗心、马虎暖烘烘-----冷冰冰筋疲力尽------精力充沛冷冷清清-----热热闹闹近义词:躲-----藏遮-----掩望-----看枯-----干追-----赶宿-----住鸣-----叫泊-----停弯-----曲健壮-----强壮呼唤-----叫唤高兴-----开心同伴-----伙伴足迹-----脚印寻找-----寻觅迷路-----迷途脱掉-----卸下景色-----景象芬芳-----香气赶紧-----赶快不解-----迷惑应该-----应当舒适-----舒服照顾-----照料挑选-----选择茂盛-----茂密清晰-----清楚展现-----展示流动-----流淌有名-----出名特别-----非常欢乐-----快乐祝福-----祝愿闪烁-----闪耀雄伟-----雄壮犹如-----好像装扮-----打扮奇怪-----奇异生气-----气愤哄骗-----欺骗知道-----明白连接-----联结容易-----轻易研究-----钻研立即-----立刻采用-----采纳方便-----便利洁白-----雪白忽然-----突然好像-----似乎清新-----新鲜辨别-----分辨慌张-----慌乱指点-----指示著名-----有名观赏-----欣赏指教-----指点惭愧-----羞愧光滑-----猾溜飞快-----快速力气-----力量聪明-----聪慧喜欢-----喜爱仔细-----认真满意-----满足常常-----经常谈天-----聊天往常-----以往巴望-----盼望焦急-----着急办法-----方法讨厌-----厌恶孤单-----孤独讥笑-----嘲笑清楚-----明白刻苦-----努力斥责-----训斥旅游-----旅行夸奖-----夸赞灭绝-----灭亡足够-----充足流行-----盛行美丽-----漂亮自豪-----骄傲明亮-----光明、光亮惊讶-----惊异、惊奇慢慢-----缓缓、徐徐一动不动-----纹丝不动川流不息-----络绎不绝二年级的近义词与反义词表近义词躲----藏遮------掩脱掉-----卸下枯----干追------赶宿------住美丽-----漂亮自豪-----骄傲健壮-----强壮呼唤-----叫唤慢慢-----缓缓、徐徐高兴-----开心明亮-----光明、光亮同伴-----伙伴弯-----曲足迹-----脚印寻找-----寻觅迷路-----迷途景色-----景象芬芳-----香气赶紧-----赶快不解-----迷惑应该-----应当舒适-----舒服照顾-----照料挑选-----选择茂盛-----茂密清晰-----清楚展现-----展示流动-----流淌有名-----出名特别-----非常欢乐-----快乐祝福-----祝愿闪烁-----闪耀雄伟-----雄壮犹如-----好像装扮-----打扮川流不息-----络绎不绝奇怪-----奇异生气-----气愤哄骗-----欺骗知道-----明白连接-----联结容易-----轻易研究-----钻研立即-----立刻采用-----采纳方便-----便利洁白-----雪白忽然-----突然好像-----似乎望-----看鸣-----叫泊-----停一动不动-----纹丝不动清新-----新鲜辨别-----分辨慌张-----慌乱指点-----指示著名-----有名观赏-----欣赏指教-----指点惭愧-----羞愧光滑-----猾溜飞快-----快速力气-----力量聪明-----聪慧喜欢-----喜爱仔细-----认真满意-----满足常常-----经常惊讶-----惊异、惊奇谈天-----聊天往常-----以往巴望-----盼望焦急-----着急办法-----方法讨厌-----厌恶孤单-----孤独讥笑-----嘲笑清楚-----明白刻苦-----努力斥责-----训斥夸奖-----夸赞灭绝-----灭亡足够-----充足流行-----盛行旅游-----旅行反义词脱掉-----穿上害羞-----大方仔细-----粗心、马虎枯-----荣疏-----密沉睡-----苏醒美丽-----丑陋漆黑-----明亮慢-----快浓密-----稀疏明亮-----黑暗甜-----苦长-----短弯-----直温暖-----寒冷出现-----消失回答-----提问保护-----破坏弱小-----强大无力-----有力勇敢-----怯懦难过-----高兴有趣-----无趣糊涂-----明白、聪明冷冷清清-----热热闹闹情绪茂盛、茂密-----稀疏清晰-----模糊展现-----隐藏热情-----冷淡欢乐-----痛苦开心-----难过高大-----矮小繁华-----衰败奇怪-----平常高兴-----难过容易-----困难整齐-----零乱方便-----麻烦洁白-----乌黑动-----静开始-----结束称赞-----贬低沉-----浮清新-----污浊厚-----薄慌张-----冷静稠-----稀表扬-----批评升-----降光滑-----粗糙真诚-----虚伪轻松-----沉重特别-----平凡富裕-----贫穷喜欢-----讨厌漂亮-----丑陋满意-----遗憾常常-----偶尔欺负-----保护筋疲力尽------精力充沛瘦-----胖暖烘烘-----冷冰冰远-----近刻苦-----懒惰夸奖-----批评聪明-----愚蠢枯萎-----茂盛下降-----上升减少-----增多近义词躲----藏遮------掩脱掉-----卸下枯----干追------赶宿------住美丽-----漂亮自豪-----骄傲健壮-----强壮呼唤-----叫唤慢慢-----缓缓、徐徐高兴-----开心明亮-----光明、光亮同伴-----伙伴弯-----曲足迹-----脚印寻找-----寻觅迷路-----迷途景色-----景象芬芳-----香气赶紧-----赶快不解-----迷惑应该-----应当舒适-----舒服照顾-----照料挑选-----选择茂盛-----茂密清晰-----清楚展现-----展示流动-----流淌有名-----出名特别-----非常欢乐-----快乐祝福-----祝愿闪烁-----闪耀雄伟-----雄壮犹如-----好像装扮-----打扮川流不息-----络绎不绝奇怪-----奇异生气-----气愤哄骗-----欺骗知道-----明白连接-----联结容易-----轻易研究-----钻研立即-----立刻采用-----采纳方便-----便利洁白-----雪白忽然-----突然好像-----似乎望-----看鸣-----叫泊-----停一动不动-----纹丝不动清新-----新鲜辨别-----分辨慌张-----慌乱指点-----指示著名-----有名观赏-----欣赏指教-----指点惭愧-----羞愧光滑-----猾溜飞快-----快速力气-----力量聪明-----聪慧喜欢-----喜爱仔细-----认真满意-----满足常常-----经常惊讶-----惊异、惊奇谈天-----聊天往常-----以往巴望-----盼望焦急-----着急办法-----方法讨厌-----厌恶孤单-----孤独讥笑-----嘲笑清楚-----明白刻苦-----努力斥责-----训斥夸奖-----夸赞灭绝-----灭亡足够-----充足流行-----盛行旅游-----旅行反义词脱掉-----穿上害羞-----大方仔细-----粗心、马虎枯-----荣疏-----密沉睡-----苏醒美丽-----丑陋漆黑-----明亮慢-----快浓密-----稀疏明亮-----黑暗甜-----苦长-----短弯-----直温暖-----寒冷出现-----消失回答-----提问保护-----破坏弱小-----强大无力-----有力勇敢-----怯懦难过-----高兴有趣-----无趣糊涂-----明白、聪明冷冷清清-----热热闹闹情绪茂盛、茂密-----稀疏清晰-----模糊展现-----隐藏热情-----冷淡欢乐-----痛苦开心-----难过高大-----矮小繁华-----衰败奇怪-----平常高兴-----难过容易-----困难整齐-----零乱方便-----麻烦洁白-----乌黑动-----静开始-----结束称赞-----贬低沉-----浮清新-----污浊厚-----薄慌张-----冷静稠-----稀表扬-----批评升-----降光滑-----粗糙真诚-----虚伪轻松-----沉重特别-----平凡富裕-----贫穷喜欢-----讨厌漂亮-----丑陋满意-----遗憾常常-----偶尔欺负-----保护筋疲力尽------精力充沛瘦-----胖暖烘烘-----冷冰冰远-----近刻苦-----懒惰夸奖-----批评聪明-----愚蠢枯萎-----茂盛下降-----上升减少-----增多二、多音字组词1、都:①dōu(都是)②dū(首都)2、为:①wéi (为人)②wèi (因为)3、降:①jiànɡ(降落)②xiánɡ(投降)4、背:①bēi(背包)②bèi(背景)5、兴:①xìnɡ(高兴)②xīnɡ(兴奋)6、长:①zhǎnɡ(长大)②chánɡ(长江)7、乐:①lè(快乐)②yuè(音乐)8、曲:①qū( 弯曲)②qǔ(曲子)9、相:①xiānɡ(相信)②xiànɡ(相片)10、难:①nán(困难)②nàn(难民)11、还:①hái (还有)②huán(还书)12、种:①zhònɡ(种田)②zhǒnɡ(种子)13、发:①fā(发现)②fà(头发)14、转:①zhuàn(转动)②zhuǎn(转身)15、干:①ɡān (干净)②ɡàn(干活)16、教:①jiāo(教书)②jiào(教学)17、漂:①piào(漂亮)②piāo(漂流)18、扎:①zā(一扎)②zhā(扎花)19、当:①dānɡ(当时)②dànɡ(上当)20、传:①chuán(传达)②zhuàn(传记)21、角:①jiǎo(角落)②jué(主角)22、假:①jiǎ(假如)②jià(放假)23、好:①hǎo (好人)②hào (好学)24、少:①shǎo(多少)②shào(少年)25、行:①xínɡ(行动)②hánɡ(一行)26、处:①chù(到处)②chǔ(处方)27、朝:①cháo(朝向)②zhāo(朝阳)28、中:①zhōnɡ(中间)②zhònɡ(打中)29、重:①zhònɡ(重要)②chónɡ(重做)30、奔:①bēn (奔跑)②bèn (投奔)31、空:①kōnɡ(天空)②kònɡ(空白)32、觉:①jiào(睡觉)②jué(自觉)33、倒:①dǎo(倒下)②dào(倒水)34、喷:①pèn (香喷喷)②pēn (喷火)35、分:①fēn (分开)②fèn (水分)36、没:①méi(没有)②mò(埋没)37、卷:①juàn(卷子)②Juǎn(卷尺)38、禁:①jìn (禁止)②jīn (不禁)39、弹:①tán (弹琴)②dàn (子弹)40、模:①mó(模型)②mú(模样)41、了:①le (走了)②liǎo (了解)42、着:①zhe (看着)②zháo(着火)43、只:①zhǐ(只要)②zhī(一只小鸟)44、结:①jiē(结巴)②jié(结束)45、曾:①céng(曾经)②zēng(姓曾)46、应:①yīng(应该)②yìng(报应)47、间:①jiān(中间)②jiàn(黑白相间)48、撒:①sā(撒娇)②sǎ(撒下)49、藏:①zàng(宝藏)②cáng(捉迷藏)50、称:①chēng(称呼)②chèng(称心)给下面的句子排排队1、()我仔细一看,原来是一条蚯蚓。
二年级的近义词与反义词表近义词躲--- 藏遮---- 掩追---- 赶宿--- 住枯---- 干弯---- 曲应当---- 应当舒坦---- 舒畅照顾 ---- 照顾仿佛 ---- 仿佛精选---- 选择旺盛---- 茂盛清楚 ---- 清楚勤苦 ----- 努力显现---- 显现流动---- 流淌出名 ---- 出名流行 ----- 流行特别---- 特别欢喜---- 快乐祝福 ---- 祝福训诫 ----- 训诫闪耀---- 闪耀宏伟---- 雄伟如同 ---- 仿佛清楚 ----- 理解奇异---- 奇异生气---- 生气利用 ---- 欺诈聊天 ----- 聊天知道---- 理解连结---- 联络简单 ---- 轻易平时 ----- 过去研究---- 研究马上---- 马上采用 ---- 采用方法 ----- 方法方便---- 便利洁白---- 雪白突然 ---- 突然耻笑 ----- 嘲讽鉴别---- 分辨慌张---- 慌张指点 ---- 指示焦虑 ----- 焦急有名---- 出名赏析---- 赏识赐教 ---- 指点孤单 ----- 孤单愧疚---- 惭愧圆滑---- 猾溜飞速 ---- 迅速巴望 ----- 期望力气---- 力量聪慧---- 聪颖喜爱 ---- 喜爱厌烦 ----- 憎恶认真---- 认真满意---- 知足常常 ---- 常常旅行 ----- 旅行泊--- 停鸣--- 叫望---- 看脱掉---- 卸掉漂亮 --- 漂亮夸耀 --- 夸赞骄傲 ---- 骄傲强健 ---- 强健快乐---- 高兴伙伴 ---- 伙伴足迹---- 脚迹找寻---- 找寻迷路 ---- 迷路风景 ---- 情景芳香 ---- 香气连忙---- 赶忙不解 ---- 诱惑清爽---- 新鲜呼喊 ---- 叫唤灭绝----消亡足够----充分装束 ----妆扮车水马龙----纷至沓来吃惊-----惊诧、诧异慢慢 ----慢慢、逐渐光明---光明、光明一动不动-----岿然不动反义词枯--- 荣疏--- 密弯--- 直动--- 静厚--- 薄升--- 降瘦--- 胖远--- 近慢--- 快甜--- 苦稠--- 稀沉--- 浮长--- 短熟睡 ---- 清醒下降---- 上涨减少---- 增加光明---- 黑暗漂亮 ---- 丑恶漆黑---- 光明显现---- 隐蔽热忱---- 冷漠茂盛 ---- 稀少出现---- 消逝回答---- 发问保护---- 损坏微小 ---- 强盛无力---- 有力英勇---- 胆怯悲伤---- 快乐风趣 ---- 无趣清楚---- 模糊欢喜---- 悲伤高兴---- 悲伤繁荣 ---- 衰落奇异---- 平时快乐---- 悲伤圆滑----- 粗拙简单 ---- 困难齐整---- 凌乱方便---- 麻烦夸奖---- 责备洁白 ---- 漆黑开始---- 结束慌张---- 沉着勤苦---- 懒散夸赞 ---- 贬斥清爽---- 浑浊夸耀---- 责备枯败---- 旺盛真挚 ---- 虚伪轻松---- 深重特别---- 平庸聪慧---- 愚笨富饶 ---- 贫困喜爱---- 厌烦漂亮---- 丑恶害羞---- 大方满意 ---- 遗憾常常---- 有时欺凌---- 保护脱掉---- 穿上高大 ---- 认真 ---- 糊涂 ---- 矮小暖和-----严寒暖烘烘----冷飕飕疲惫不堪-----精力充足粗心、粗心冷冷清清 ----热喧闹闹旺盛、茂盛----稀少理解、聪慧二年级下册语文总复习(二)量词填空:一(颗)草莓一(位)同学一(只)蝴蝶一(位)同乡一(篇)文章一(所)小学一(块)黑板一(辆)马车一(道)数学题一(只)天鹅一(件)事情一(把)神斧一(声)巨响一(道)血痕一(只)老虎一(条)风帆一(阵)旋风一(座)石桥一(条)小河一(个)口袋一(头)毛驴一(株)紫丁香一(根)棒一(口)气一(颗)心一(条)山沟一(根)绳一(棵)梨树一(柄)大伞一(片)绿叶一(条)小鱼一(只)蝈蝈一(把)手枪一(位)科学家一(块)石头一(匹)白马一(片)晨晖一(片)茶树一(片)农田一(身)武艺一(群)鱼儿一(片)大海一(对)翅膀一(个个)血泡一(根)鹤发一(道道)血痕一(个)哨所一(架)飞机一(艘)潜艇一(枚)导弹一(挺)机枪一(支)步枪一(头)大象一(声)祝福一(件)衬衫一(条)裤子一(间)教室一(扇)窗户一(条)裙子一(个)神话一(面)镜子一(个)乡村一(个)小岛一(个)鸟窝一(种)颜色一(棵)梨树一(只)乌鸦一(次)竞赛二、多音字组词1、都 : ① d ōu(都是)② d ū ( 国都 )2、为 : ① wéi ( 为人 ) ② wèi ( 由于 )3、降 : ①ji ànɡ( 下降 ) ② xi ánɡ( 投诚 )4、背 : ① b ēi( 背包) ② b èi( 背景 )5、兴 : ① x ìnɡ(快乐 ) ② x īnɡ(喜悦 )6、长 : ① zh ǎnɡ( 长大 ) ② ch ánɡ( 长江 )7、乐 : ① l è ( 快乐) ② yu è ( 音乐 )8、曲 : ① q ū ( 曲折 ) ② q ǔ ( 曲子 )9、相 : ① xi ānɡ( 相信 ) ② xi ànɡ(相片 )10、难 : ① n án( 困难 ) ② n àn( 难民 )11、还 : ① h ái ( 还有 ) ② hu án( 还书 )12、种 : ① zh ònɡ(耕田 ) ② zh ǒnɡ(种子 )13、发 : ① f ā ( 发现 ) ② f à ( 头发 )14、转 : ① zhu àn( 转动 ) ② zhu ǎn( 转身 )15、干 : ① ɡān ( 洁净 )16、教 : ① jiāo(教书)17、漂 : ① pi ào( 漂亮 )18、扎 : ① z ā(一扎)19、当 : ① d ānɡ(当时 )20、传 : ① chu án( 传达 )21、角 : ① jiǎo(角落)22、假 : ① jiǎ (若是)23、好 : ① h ǎo ( 好人 )24、少 : ① sh ǎo( 多少 )25、行 : ① x ínɡ(行动 )26、处 : ① ch ù(各处)27、朝 : ① ch áo( 朝向 )28、中 : ① zh ōnɡ(中间 )29、重 : ① zh ònɡ(重要 )30、奔 : ① b ēn ( 奔跑 )② ɡàn(干活)②ji ào( 教课 )②pi āo(漂流)②zh ā(扎花)②d ànɡ(受骗 )②zhu àn( 列传 )②ju é ( 主角 )②ji à ( 放假 )②h ào ( 勤学 )②sh ào( 少年 )②h ánɡ(一行 )②ch ǔ ( 处方 )②zh āo( 旭日 )②zh ònɡ(打中 )②ch ónɡ(重做 )②b èn ( 投靠 )31、空 : ① k ōnɡ(天空 ) ② k ònɡ(空白 )32、觉 : ① ji ào( 睡觉 ) ② ju é ( 自觉 )33、倒 : ① d ǎo( 倒下 ) ② d ào( 倒水 )34、喷 : ① p èn ( 香馥馥 ) ② p ēn ( 喷火 )35、分 : ① f ēn ( 分开 ) ② f èn ( 水分 )36、没 : ① méi( 没有 ) ② mò ( 沉没 )37、卷 : ① ju àn( 卷子 ) ② Ju ǎn( 卷尺 )38、禁 : ① j ìn ( 严禁 ) ② j īn ( 不由 )39、弹 : ① t án ( 抚琴 ) ② d àn ( 子弹 )40、模 : ① mó ( 模型 ) ② mú ( 模样 )41、了 : ① le ( 走了 ) ② li ǎo ( 认识 )42、着 : ① zhe ( 看着 ) ② zh áo( 着火 )43、只 : ① zh ǐ(只需)② zh ī( 一只小鸟 )44、结 : ① ji ē(结巴)② ji é( 结束 )45、曾 : ① c éng(以前)② zēng(姓曾)46、应 : ① y īng(应当)② yìng(报应)47、间 : ① jiān(中间)② jiàn(黑白相间)48、撒 : ① s ā(撒娇)② sǎ(撒下)49、藏 : ① z àng(宝藏)② cáng(捉迷藏)50、称 : ① ch ēng(称号)② chèng(满意)给下边的句子排排队1、()我认真一看,本来是一条蚯蚓。
二年级上册语文近、反义词及多音字等近义词躲---藏遮----掩追----赶宿---住枯----干弯----曲应该----应当舒适----舒服照顾----照料好像----似乎挑选----选择茂盛----茂密清晰----清楚刻苦-----努力展现----展示流动----流淌有名----出名流行-----盛行特别----非常欢乐----快乐祝福----祝愿斥责-----训斥闪烁----闪耀雄伟----雄壮犹如----好像清楚-----明白奇怪----奇异生气----气愤哄骗----欺骗谈天-----聊天知道----明白连接----联结容易----轻易往常-----以往研究----钻研立即----立刻采用----采纳办法-----方法方便----便利洁白----雪白忽然----突然讥笑-----嘲笑辨别----分辨慌张----慌乱指点----指示焦急-----着急著名----有名观赏----欣赏指教----指点孤单-----孤独惭愧----羞愧光滑----猾溜飞快----快速巴望-----盼望力气----力量聪明----聪慧喜欢----喜爱讨厌-----厌恶仔细----认真满意----满足常常----经常旅游-----旅行泊---停鸣---叫望----看脱掉----卸下美丽---漂亮夸奖---夸赞自豪----骄傲健壮----强壮高兴----开心同伴----伙伴足迹----脚印寻找----寻觅迷路----迷途景色----景象芬芳----香气赶紧----赶快不解----迷惑清新----新鲜呼唤----叫唤灭绝----灭亡足够----充足装扮----打扮川流不息----络绎不绝惊讶-----惊异、惊奇慢慢----缓缓、徐徐明亮---光明、光亮一动不动-----纹丝不动反义词枯---荣疏---密弯---直动---静厚---薄升---降瘦---胖远---近慢---快甜---苦稠---稀沉---浮长---短沉睡----苏醒下降----上升减少----增多明亮----黑暗美丽----丑陋漆黑----明亮展现----隐藏热情----冷淡浓密----稀疏出现----消失回答----提问保护----破坏弱小----强大无力----有力勇敢----怯懦难过----高兴有趣----无趣清晰----模糊欢乐----痛苦开心----难过繁华----衰败奇怪----平常高兴----难过光滑-----粗糙容易----困难整齐----零乱方便----麻烦表扬----批评洁白----乌黑开始----结束慌张----冷静刻苦----懒惰称赞----贬低清新----污浊夸奖----批评枯萎----茂盛真诚----虚伪轻松----沉重特别----平凡聪明----愚蠢富裕----贫穷喜欢----讨厌漂亮----丑陋害羞----大方满意----遗憾常常----偶尔欺负----保护脱掉----穿上高大----矮小温暖-----寒冷暖烘烘----冷冰冰筋疲力尽-----精力充沛仔细----粗心、马虎冷冷清清----热热闹闹茂盛、茂密----稀疏糊涂----明白、聪明二年级下册语文总复习(二)量词填空:一(颗)草莓一(位)同学一(只)蝴蝶一(位)老乡一(篇)文章一(所)小学一(块)黑板一(辆)马车一(道)数学题一(只)天鹅一(件)事情一(把)神斧一(声)巨响一(道)血痕一(只)老虎一(条)帆船一(阵)旋风一(座)石桥一(条)小河一(个)口袋一(头)毛驴一(株)紫丁香一(根)棒一(口)气一(颗)心一(条)山沟一(根)绳一(棵)梨树一(柄)大伞一(片)绿叶一(条)小鱼一(只)蝈蝈一(把)手枪一(位)科学家一(块)石头一(匹)白马一(片)朝霞一(片)茶树一(片)农田一(身)武艺一(群)鱼儿一(片)海洋一(对)翅膀一(个个)血泡一(根)白发一(道道)血痕一(个)哨所一(架)飞机一(艘)潜艇一(枚)导弹一(挺)机枪一(支)步枪一(头)大象一(声)祝福一(件)衬衫一(条)裤子一(间)教室一(扇)窗户一(条)裙子一(个)神话一(面)镜子一(个)村庄一(个)小岛一(个)鸟窝一(种)颜色一(棵)梨树一(只)乌鸦一(次)比赛二、多音字组词1、都:①dōu(都是)②dū(首都)2、为:①wéi (为人)②wèi (因为)3、降:①jiànɡ(降落)②xiánɡ(投降)4、背:①bēi(背包)②bèi(背景)5、兴:①xìnɡ(高兴)②xīnɡ(兴奋)6、长:①zhǎnɡ(长大)②chánɡ(长江)7、乐:①lè(快乐)②yuè(音乐)8、曲:①qū( 弯曲)②qǔ(曲子)9、相:①xiānɡ(相信)②xiànɡ(相片)10、难:①nán(困难)②nàn(难民)11、还:①hái (还有)②huán(还书)12、种:①zhònɡ(种田)②zhǒnɡ(种子)13、发:①fā(发现)②fà(头发)14、转:①zhuàn(转动)②zhuǎn(转身)15、干:①ɡān (干净)②ɡàn(干活)16、教:①jiāo(教书)②jiào(教学)17、漂:①piào(漂亮)②piāo(漂流)18、扎:①zā(一扎)②zhā(扎花)19、当:①dānɡ(当时)②dànɡ(上当)20、传:①chuán(传达)②zhuàn(传记)21、角:①jiǎo(角落)②jué(主角)22、假:①jiǎ(假如)②jià(放假)23、好:①hǎo (好人)②hào (好学)24、少:①shǎo(多少)②shào(少年)25、行:①xínɡ(行动)②hánɡ(一行)26、处:①chù(到处)②chǔ(处方)27、朝:①cháo(朝向)②zhāo(朝阳)28、中:①zhōnɡ(中间)②zhònɡ(打中)29、重:①zhònɡ(重要)②chónɡ(重做)30、奔:①bēn (奔跑)②bèn (投奔)31、空:①kōnɡ(天空)②kònɡ(空白)32、觉:①jiào(睡觉)②jué(自觉)33、倒:①dǎo(倒下)②dào(倒水)34、喷:①pèn (香喷喷)②pēn (喷火)35、分:①fēn (分开)②fèn (水分)36、没:①méi(没有)②mò(埋没)37、卷:①juàn(卷子)②Juǎn(卷尺)38、禁:①jìn (禁止)②jīn (不禁)39、弹:①tán (弹琴)②dàn (子弹)40、模:①mó(模型)②mú(模样)41、了:①le (走了)②liǎo (了解)42、着:①zhe (看着)②zháo(着火)43、只:①zhǐ(只要)②zhī(一只小鸟)44、结:①jiē(结巴)②jié(结束)45、曾:①céng(曾经)②zēng(姓曾)46、应:①yīng(应该)②yìng(报应)47、间:①jiān(中间)②jiàn(黑白相间)48、撒:①sā(撒娇)②sǎ(撒下)49、藏:①zàng(宝藏)②cáng(捉迷藏)50、称:①chēng(称呼)②chèng(称心)给下面的句子排排队1、()我仔细一看,原来是一条蚯蚓。
二年级的近义词与反义词表近义词美丽---漂亮高兴---开心明亮---光明同伴---伙伴弯----曲景色---景象舒适---舒服挑选---选择展现---展示有名---出名特别---非常欢乐---快乐祝福---祝愿雄伟---雄壮犹如---好像奇怪---奇异知道---明白容易---轻易立即---立刻洁白---雪白好像---似乎望---看指点---指示著名---有名观赏---欣赏指教---指点飞快---快速力气---力量喜欢---喜爱仔细---认真满意---满足常常---经常惊讶-----惊异、惊奇办法---方法清楚---明白刻苦---努力夸奖---夸赞灭绝---灭亡足够---充足旅游---旅行反义词脱掉-----穿上仔细-----粗心、马虎美丽-----丑陋漆黑-----明亮慢-----快明亮-----黑暗甜-----苦长-----短弯-----直温暖-----寒冷出现-----消失回答-----提问保护-----破坏弱小-----强大无力-----有力难过-----高兴欢乐-----痛苦开心-----难过高大-----矮小奇怪-----平常高兴-----难过容易-----困难洁白-----乌黑动-----静开始-----结束称赞-----批评沉-----浮表扬-----批评升-----降光滑-----粗糙真诚-----虚伪轻松-----沉重特别-----平凡富有-----贫穷喜欢-----讨厌漂亮-----丑陋欺负-----保护远-----近刻苦-----懒惰夸奖-----批评下降-----上升二、多音字组词1、为:① wéi (为人) ② wèi (因为)7、乐:① lè (快乐) ②yuè (音乐)8、曲:① qū ( 弯曲) ②qǔ (曲子)9、相:① xiānɡ(相信) ② xiànɡ(相片)11、还:① hái (还有) ② h uán(还书)14、转:① zhuàn (转动) ② zhu ǎn(转身)15、干:①ɡān (干净) ②ɡàn(干活)16、教:① jiāo(教书) ② jiào (教学)17、漂:① piào(漂亮) ② piāo (漂流)18、扎:① zā(一扎)② zhā(扎花)19、当:① dānɡ(当时) ② dànɡ(上当)(当做) 21、角:① jiǎo(角落) ② ju é (主角)22、假:① jiǎ (假如) ② ji à (放假)23、好:① hǎo (好人) ② hào (好学)26、处:① chù(到处)② chǔ(处方)28、中:① zhōnɡ(中间) ② z hònɡ(打中)29、重:① zhònɡ(重要) ② c hónɡ(重做)30、奔:① bēn (奔跑) ② bèn (投奔)33、倒:① dǎo (倒下) ②dào(倒水)34、喷:① pèn (香喷喷) ② pēn (喷火)35、分:① fēn (分开) ② fèn (水分)36、没:① méi (没有)②mò(埋没)37、卷:① juàn(卷子) ② Ju ǎn(卷尺)38、39、弹:① t án (弹琴) ② dàn (子弹)40、模:① mó(模型) ② m ú (模样)46、应:① yīn g(应该)② yìn g(报应)47、间:① jiān (中间)② jiàn (黑白相间)50、称:① chēng(称呼)② ch èn(称心)行 xínɡ(行为不行) háng (银行一行)降 jiànɡ(降落下降)xiánɡ(投降)都 dōu (都是都有)dū(首都天都峰)尽jìn (尽头用尽)jǐn (尽管)兴xīng(兴奋兴中华)Xìng(高兴)担 dān (担心担负)dàn (担子挑担)弹dàn (子弹弹珠)tán (弹琴弹钢琴)宁níngɡ(安宁宁静)nìnɡ(宁可宁愿)背bēi(背书包背着) bèi(背包背书)切qiè(亲切一切)qiē(切菜切断)发 fā(发生发现)fà(头发)曲 qū(弯曲曲折)qǔ(曲子乐曲)似shì(似的)sì(相似)相 xiānɡ(相互相同)xiànɡ(照相相片)铺pū(铺床铺着)pù(店铺铺子)转zhuǎn (转弯转身)zhàn(转动转圈)还hái(还有还好)huán(还给还书)漂 piāo(飘扬)piào(漂亮)教 jiào(教学)(教室) jiāo(教书)吐 tǔ(吞吞吐吐)(吐出)tù(吐口水)(吐痰)背 bēi(背着)(背书包) bèi (背上)(背包)干ɡān(干净)ɡàn(干活)(干部)处 chǔ(相处)(处理)chù(到处)(处处)好 hǎo (好人好事) hào (好奇爱好)乐 lè(快乐)yuè(音乐乐曲)假 jiǎ(假如)jià(放假假期假日)卷 juǎn(一卷)juàn(试卷)朝cháo(朝向朝南)Zhāo(朝阳朝夕)中 zhōnɡ(中间中国) zhònɡ(猜中中奖)重zhònɡ(重要重大) chónɡ(重写重来) 奔 bēn(奔跑)bèn(奔向投奔)没 méi(没有)mò(淹没)削 xiāo 削铅笔刀削面 xuē削平削价倒 dǎo(倒下摔倒)dào(倒影倒立倒水) 分 fēn(分开分别十分) fèn(水分)。
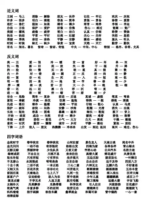
近义词立刻—马上消除—解除朋友—伙伴记住—牢记欢庆—庆祝许多—很多明白—清楚容易—简单责怪—责备珍惜—爱惜连忙—急忙假如—如果稀有—稀少培育—培养幸福—幸运办法—方法保护—爱护好像—仿佛伤心—难过宽阔—宽广美丽—漂亮疲倦—疲劳雪白—洁白认真—仔细称赞—赞扬快乐—快活平常—平时壮美—壮丽关心—关怀突然—忽然秀丽—秀美亲切—亲热平静—安静激动—感动服从—听从时刻—时候缺乏—缺少珍贵—宝贵灭绝—灭亡勤劳—勤快有名—闻名、著名惊奇—惊讶、奇怪中央—中间、中心特别—格外、非常、尤其反义词美—丑爱—恨冷—暖贫—富好—坏单—双饥—饱新—旧捉—放失—得干—湿升—降扔—捡快—慢买—卖轻—重真—假聚—散内—外对—错扁—圆正—反深—浅动—静松—紧吞—吐生—死出—入长—短高—低明—暗因—果天—地宽—窄善—恶老—少胖—瘦浓—淡前—后大—小早—晚粗—细借—还远—近黑—白浮—沉弯—直进—退软—硬伸—缩苦—甜朝—夕安全—危险简单—复杂前进—后退真诚—虚假笔直—弯曲索取—奉献冷漠—热忱饥寒—温饱特殊—一般傍晚—清晨先进—落后寒冷—温暖陡峭—平坦仔细—粗心认真—马虎保护—破坏凉快—闷热安静—吵闹粗糙—光滑消失—出现长处—短处容易—困难暴躁—温和细长—粗短脱下—穿上开始—结束成功—失败许多—稀少漂亮—难看责怪—称赞幸福—痛苦悲伤—喜悦小气—大方白天—黑夜干燥—潮湿喜欢—讨厌勤劳—懒惰城市—乡村平静—激动紧张—放松下降—上升敌人—朋友热腾腾—冷冰冰出发—到达返回高兴—难过、伤心四字词语金秋时节春华秋实春种秋收山河壮丽景色宜人天高云淡闻名中外金光闪闪一动不动奇形怪状纷纷出发四海为家各种各样青山绿水无影无踪秀丽神奇少先队员又香又甜怦然心动公共汽车名胜古迹绿树成阴不由自主川流不息来来往往高楼大厦鲜花盛开风景优美取长补短尺有所短寸有所长坐井观天无边无际拔苗助长一叶障目不见泰山水到渠成弯弯曲曲自言自语自由自在迫不及待四面八方十全十美二话不说一本正经三心二意六神无主五颜六色不好意思又细又长百花齐放吞吞吐吐叫苦连天断断续续摇摇摆摆五谷丰登前因后果天南地北七上八下九死一生弃暗投明深入浅出汪洋大海家家户户议论纷纷助人为乐雪中送炭少年儿童蹦蹦跳跳成百上千画龙点睛不学无术人造卫星航空母舰精卫填海运载火箭宇宙飞船女娲补天瓜果飘香瓜熟蒂落科学技术引人注目兴致勃勃百花盛开秋高气爽丰富多彩不约而同徒劳无功嫦娥奔月四处张望展翅欲飞叽叽喳喳指手画脚秋收冬藏叠翠流金和蔼可亲管中窥豹一心一意相得益彰1、都:①dōu(都是)②dū(首都)2、为:①wéi (为人) ②wèi (因为)3、降:①jiànɡ(降落) ②xiánɡ(投降)4、背:①bēi(背包) ②bèi(背景)5、兴:①xìnɡ(高兴) ②xīnɡ(兴奋)6、长:①zhǎnɡ(长大) ②chánɡ(长江)7、乐:①lè (快乐) ②yuè (音乐)8、曲:①qū ( 弯曲) ②qǔ (曲子)9、相:①xiānɡ(相信) ②xiànɡ(相片)10、难:①nán(困难) ②nàn(难民)11、还:①hái (还有) ②huán(还书)12、种:①zhònɡ(种田) ②zhǒnɡ(种子)13、发:①fā (发现) ②fà (头发)14、转:①zhuàn(转动) ②zhuǎn(转身)15、干:①ɡān (干净) ②ɡàn(干活)16、教:①jiāo(教书) ②jiào(教学)17、漂:①piào(漂亮) ②piāo(漂流)18、扎:①zā (一扎)②zhā(扎花)19、当:①dānɡ(当时) ②dànɡ(上当)20、传:①chuán(传达) ②zhuàn(传记)21、角:①jiǎo(角落) ②jué (主角)22、假:①jiǎ (假如) ②jià (放假)23、好:①hǎo (好人) ②hào (好学)24、少:①shǎo(多少) ②shào(少年)25、行:①xínɡ(行动) ②hánɡ(一行) 26、处:①chù(到处)②chǔ (处方)27、朝:①cháo(朝向) ②zhāo(朝阳)28、中:①zhōnɡ(中间) ②zhònɡ(打中)29、重:①zhònɡ(重要) ②chónɡ(重做)30、奔:①bēn (奔跑) ②bèn (投奔)31、空:①kōnɡ(天空) ②kònɡ(空白)32、觉:①jiào(睡觉) ②jué (自觉)33、倒:①dǎo(倒下) ②dào(倒水)34、喷:①pèn (香喷喷) ②pēn (喷火)35、分:①fēn (分开) ②fèn (水分)36、没:①méi(没有) ②mò (埋没)37、卷:①juàn(卷子) ②Juǎn(卷尺)38、禁:①jìn (禁止) ②jīn (不禁)39、弹:①tán (弹琴) ②dàn (子弹)40、模:①mó (模型) ②mú (模样)41、了:①le (走了) ②liǎo (了解)42、着:①zhe (看着) ②zháo(着火)43、只:①zhǐ(只要)②zhī(一只小鸟)44、结:①jiē(结巴)②jié(结束)45、曾:①céng(曾经)②zēng(姓曾)46、应:①yīng(应该)②yìng(报应)47、间:①jiān(中间)②jiàn(黑白相间)48、撒:①sā(撒娇)②sǎ(撒下)49、藏:①zàng(宝藏)②cáng(捉迷藏)50、称:①chēng(称呼)②chèng(称心)。
近义词躲——藏遮----掩追----赶宿---住枯----干弯----曲应该----应当舒适----舒服照顾----照料好像----似乎挑选----选择茂盛----茂密清晰----清楚刻苦-----努力展现----展示流动----流淌有名----出名流行-----盛行特别----非常欢乐----快乐祝福----祝愿斥责----训斥闪烁----闪耀雄伟----雄壮犹如----好像清楚----明白奇怪----奇异生气----气愤哄骗----欺骗谈天-----聊天知道----明白连接----联结容易----轻易往常-----以往研究----钻研立即----立刻采用----采纳办法----方法方便----便利洁白----雪白忽然----突然讥笑----嘲笑辨别----分辨慌张----慌乱指点----指示焦急----着急著名----有名观赏----欣赏指教----指点孤单----孤独惭愧----羞愧光滑----猾溜飞快----快速巴望----盼望力气----力量聪明----聪慧喜欢----喜爱讨厌-----厌恶仔细----认真满意----满足常常----经常旅游-----旅行泊---停鸣---叫望----看脱掉----卸下美丽---漂亮夸奖---夸赞自豪----骄傲健壮----强壮高兴----开心同伴----伙伴足迹----脚印寻找----寻觅迷路----迷途景色----景象芬芳----香气赶紧----赶快不解----迷惑清新----新鲜呼唤----叫唤灭绝----灭亡足够----充足装扮----打扮川流不息----络绎不绝惊讶----惊异、惊奇慢慢----缓缓、徐徐明亮---光明、光亮一动不动-----纹丝不动反义词枯---荣疏---密弯---直动---静厚---薄升---降瘦---胖远---近慢---快甜---苦稠---稀沉---浮长---短沉睡----苏醒下降----上升减少----增多明亮----黑暗美丽----丑陋漆黑----明亮展现----隐藏热情----冷淡浓密----稀疏出现----消失回答----提问保护----破坏弱小----强大无力----有力勇敢----怯懦难过----高兴有趣----无趣清晰----模糊欢乐----痛苦开心----难过繁华----衰败奇怪----平常高兴----难过光滑-----粗糙容易----困难整齐----零乱方便----麻烦表扬----批评洁白----乌黑开始----结束慌张----冷静刻苦----懒惰称赞----贬低清新----污浊夸奖----批评枯萎----茂盛真诚----虚伪轻松----沉重特别----平凡聪明----愚蠢富裕----贫穷喜欢----讨厌漂亮----丑陋害羞----大方满意----遗憾常常----偶尔欺负----保护脱掉----穿上高大----矮小温暖-----寒冷暖烘烘----冷冰冰筋疲力尽-----精力充沛仔细----粗心、马虎冷冷清清----热热闹闹茂盛、茂密----稀疏糊涂----明白、聪明多音字组词1、都:① dōu(都是)② dū (首都)2、为:① wéi (为人)② wèi (因为)3、降:①jiànɡ (降落) ② xiánɡ (投降)4、背:① bēi(背包) ② bèi(背景)5、兴:① xìnɡ(高兴) ② xīnɡ(兴奋)6、长:① zhǎnɡ (长大) ② chán ɡ (长江)7、乐:① lè (快乐) ② yuè (音乐) 8、曲:① qū ( 弯曲) ② qǔ(曲子)9、相:① xiānɡ (相信) ② xiànɡ(相片) 10、难:① nán(困难) ② nàn(难民)11、还:① hái (还有) ② huán(还书) 12、种:① zhònɡ(种田) ② zhǒnɡ(种子)13、发:① fā (发现) ② fà (头发) 14、转:① zhuàn(转动) ② zhu ǎn(转身)15、干:①ɡān (干净) ②ɡàn(干活) 16、教:① jiāo(教书) ② jiào(教学)17、漂:① piào(漂亮) ② piāo(漂流) 18、扎:① zā(一扎)② zhā(扎花)19、当:① dānɡ(当时) ② dànɡ(上当) 20、传:① chuán(传达) ② zhuàn(传记)21、角:① jiǎo(角落) ② jué (主角) 22、假:① jiǎ (假如) ② jià(放假)23、好:① hǎo (好人) ② hào (好学) 24、少:① shǎo(多少) ② shào(少年)25、行:① xínɡ(行动) ② hánɡ(一行) 26、处:① chù(到处)② chǔ(处方)27、朝:① cháo(朝向) ② zhāo(朝阳) 28、中:① zhōnɡ(中间) ② zhònɡ(打中)29、重:① zhònɡ(重要) ② chónɡ(重做) 30、奔:① bēn (奔跑) ② bèn (投奔)31、空:① kōnɡ(天空) ② kònɡ(空白) 32、觉:① jiào(睡觉) ② jué(自觉)33、倒:① dǎo(倒下) ② dào(倒水) 34、喷:① pèn (香喷喷) ② pēn (喷火)35、分:① fēn (分开) ② fèn (水分) 36、没:① méi(没有) ② mò(埋没)37、卷:① juàn(卷子) ② Juǎn(卷尺) 38、禁:① jìn (禁止) ② jīn (不禁)39、弹:① tán (弹琴) ② dàn (子弹) 40、模:① mó (模型) ② mú (模样)41、了:① le (走了) ② liǎo (了解) 42、着:① zhe (看着) ② zh áo(着火)43、只:① zhǐ(只要)② zhī(一只小鸟) 44、结:① jiē(结巴)② jié(结束)45、曾:① céng(曾经)② zēng(姓曾) 46、应:① yīng(应该)② yìng(报应)47、间:① jiān(中间)② jiàn(黑白相间) 48、撒:① sā(撒娇)② sǎ(撒下)49、藏:① zàng(宝藏)② cáng(捉迷藏) 50、称:① chēng(称呼)② chèng(称心)。
近义词照例—按例求教—请教流畅—流利拜访—访问认真—专心智慧—才智凉爽—清凉责备—责怪教诲—教导灵巧—灵活出奇—特别仿佛—好像湿润—潮湿保护—爱护赞叹—赞美滋味—味道绝对—肯定到处—处处多亏—幸亏奇特—奇怪徐徐—缓缓必须—一定慈祥—安详方便—便利耽搁—耽误抱歉—愧疚犹豫—迟疑诚恳—真诚担心—担忧伤害—损害仁慈—慈爱顿时—立刻激昂—激扬聚拢—聚集镇定—镇静快乐—快活发射—放射贫穷—贫困费力—费劲环视—环顾钦佩—敬佩稀少—稀有宝贵—珍贵规则—规章参与—参加公平—公正友谊—友情盛行—流行演变—演化议论—谈论办法—方法讨厌—厌烦立即—马上忽然—突然比喻—比方仰望—仰视计划—打算想念—思念危急—危险顺从—听从英勇—勇敢思索—思考骄傲—自豪期待—期望心痛—伤心停歇—休息烦恼—苦恼悠闲—悠然巡视—巡察朦胧—模糊川流不息—车水马龙天涯海角—海角天涯天塌地陷—天崩地裂遮—挡聊—谈还—回啼—叫宰—杀疼—痛反义词主动—被动耐心—急躁清凉—闷热责备—赞扬灵巧—笨拙失败—成功残害—保护出奇—普通湿润—干燥响亮—轻柔悠闲—忙碌悠闲—繁忙朦胧—清晰方便—为难仔细—马虎容易—困难美丽—丑陋快乐—伤心许多—稀少遮—露朝—暮辞—还犹豫—坚定失信—守信高兴—悲伤阻隔—流畅粗糙—精致轻—重南—北好—坏稀疏—茂密摇头—点头上浮—下沉讨厌—喜欢浑浊—清澈错—对恨—爱仰望—俯视伟大—平凡顺从—违抗危急—安全聚拢—分散糊里糊涂—明明白白镇静—慌张冷静—冲动骄傲—虚心痛快—苦恼贫穷—富有隐隐约约—清清楚楚痛苦—快乐炎热—寒冷浓浓—淡淡保护—破坏喜爱—讨厌有—无善—恶智—愚左—右高—矮笑—哭甜—苦美—丑成语1 / 2摇头晃脑鸦雀无声登门求教添砖加瓦高耸入云调虎离山目瞪口呆七拐八弯林遮树掩南辕北辙固执己见天涯海角川流不息争先恐后昏头昏脑光耀门楣若有所思自告奋勇1、ABB 绿油油白茫茫金灿灿蓝晶晶乐呵呵笑哈哈气呼呼2、AABB马马虎虎密密麻麻轻轻松松高高兴兴平平安安干干净净开开心心快快乐乐端端正正明明白白隐隐约约断断续续3、AABC历历在目斤斤计较闷闷不乐井井有条遥遥领先翩翩起舞4、ABAC自由自在无边无际无忧无虑无法无天古色古香一心一意十全十美自作自受自言自语自说自话笨手笨脚糊里糊涂5、ABCC得意洋洋喜气洋洋生机勃勃千里迢迢想入非非逃之夭夭银花朵朵金光闪闪凉风习习气喘吁吁6、ABAB碧绿碧绿火红火红雪白雪白金黄金黄乌黑乌黑8、表示“看”的词瞄准、盯着、注视、凝视、眺望、俯视、张望9、描写骨肉亲情:舐犊之爱天伦之乐骨肉之情情深四海恩重如山10、描写人的品质:助人为乐光明正大拾金不昧言而有信光明磊落11、写神话故事的成语:精卫填海愚公移山女娲补天夸父追日嫦娥奔月后羿射日八仙过海12、写寓言故事的成语:守株待兔拔苗助长亡羊补牢掩耳盗铃13、描写颜色多的成语:五彩缤纷色彩斑斓万紫千红色色俱全14、带有颜色的成语:青山绿水桃红柳绿黑白分明白手起家青黄不接15、带有“星”和“月”的成语:披星戴月流星赶月众星捧月烘云托月16、表示时间快的成语:日月如梭光阴似箭寒来暑往星移物换17、学习方面的成语:人外有人天外有天学无止境一往无前学海无涯九牛一毛人一己百笨鸟先飞勤能补拙奋起直追全力以赴循序渐进由浅入深日积月累温故知新18、表示山水景色:青山绿水山清水秀湖光山色江山如画19、表示欢乐场面:张灯结彩普天同庆喜气洋洋欢声雷动欢天喜地20、表示春天:春色满园春光明媚春意盎然春暖花开桃红柳绿多音字。
近义词:温暖—暖和眺望—远望啼——叫勃勃—生气生气—气愤应付—对付告别—拜别武艺—武功在乎—在意激动—感动凶恶—凶残应该—理应征战—作战探望—看望哨所—哨卡巡逻—巡查祝福—祝愿祖先—祖宗明亮—明朗朦胧—模糊提醒—提示进步—长进专心致志—聚精会神演算—计算不由自主—情不自禁聚精会神—全神贯注忽然—突然办法—主意顿时—立刻简单—简易发明—创造无可奈何—无能为力故障—障碍耽搁—耽误凌晨—清晨潜伏—埋伏隐藏—隐蔽顺从—服从传扬—传颂陆续—连续闻名中外—驰名中外养育—扶育照耀—照射色彩斑斓—五彩缤纷五颜六色—五光十色灌—倒吉利—吉祥追赶—追逐游人—游到嬉戏—游戏成活—存活着急—心急告别—离别特别—十分大概—也许宽阔—宽广南来北往—来来往往反义词:温暖—寒冷晴空—阴雨好—坏粗—细落—升黑—白嫩—老新旧胖—瘦脱下—穿上前—后远—近朝霞—晚霞高—低勇敢—胆小容易—困难强烈—微弱前进—后退重—轻硬—软现在—过去深—浅神气活现—垂头丧气送—迎密—疏难过—开心苍老—年轻增添—增加饱—饿脚下—顶端忧—喜现代—古代胜利—失败明亮—黑暗朦胧—清楚出色—一般专心致志—心不在焉开始—结束慢慢—飞快急性—慢性危险—安全光明—黑暗夜晚—白天凌晨—深夜疏通—堵塞死—活敌人—朋友昏头昏脑—头脑清醒解冻—结冻热闹—冷清来—去充足—缺乏茂盛—枯萎弯—直热情—冷淡死亡—成活耐心—厌烦宽阔—狭窄上游—下游多音字:二年级语文。
====Word行业资料分享--可编辑版本--双击可删====
小学语文二年级反义词、同义词、多音字大全
小学语文二年级反义词大全
胖—瘦香—臭明—暗忙—闲凉—暖来—去尖—钝
好—坏轻—重前—后左—右是—非有—无老—少
深—浅高—低快—慢升—降入—出开—关斜—正
落—升冷—热饿—饱贫—富死—活穷—富买—卖
旧—新细—粗明—暗首—尾始—终
洁白—漆黑美丽—丑陋仔细—马虎告别—会合舒服—难受
粗心—细心出发—归来3000型沥青拌合楼重油泵安宁—喧闹宽敞—狭窄困难—容易
热闹—寂静空闲—忙碌打开—关闭流动—固定暖和—寒冷
弯曲—笔直微笑—悲伤昂首—低头开始—结束现在—将来
喜欢—讨厌欢快—沉重煤焦油燃烧器油泵机灵—愚笨明白—糊涂希望—失望
傍晚—清晨秘密—公开高大—矮小坚定—动摇张开—合拢
经常—偶尔愤怒—高兴坚定—犹豫清楚—模糊熟悉—陌生
保护—破坏勇敢—懦弱BWCB保温沥青泵聪明—愚蠢失败—成功敞开—关闭
飞快—缓慢明白—糊涂失败—成功烦恼—高兴特殊—一般
特别—普通漂亮—丑陋高兴—伤心仔细—粗心精彩—枯燥
洁净—肮脏心爱—厌恶沥青保温泵飞快—缓慢极小—极大温和—暴躁
好事—坏事奔跑—停止灾害—幸福坚硬—松软堵塞—畅通
贵重—便宜锋利—迟钝聚集—分散新鲜—陈旧破碎—完整
未来—现在诚实—狡猾CLB型沥青泵可爱—可恨活泼—呆板赶紧—拖延透明—浑浊凉爽—炎热永远—短暂凉爽—闷热广阔—狭小
相信—怀疑裂开—合拢相信—怀疑节省—浪费亲密—疏远
高明—低劣热闹—冷清夹套保温泵喜欢—讨厌茁壮—虚弱得意洋洋—垂头丧气
源-于-网-络-收-集。
1、小蝌蚪找妈妈近义词:快活—高兴连忙—赶忙摆动—挥动雪白—洁白碧绿—翠绿反义词:快活—难过雪白—乌黑低头—抬头长—短宽—窄chάng长短长发lù露水jiāo教书xíng旅行zhǎng长大长高lòu露面jiào教育hάng银行2.我是什么近义词:温和—温顺平常—平时灾害—灾难办法—方法极小—很小飘浮—飘动暴躁—狂躁奔跑—奔驰灌溉—浇灌发动—开动冲毁—冲坏浮—漂反义词:温和—暴躁发动—停止帮助—干扰好事—坏事极小—巨大硬—软白—黑聚—散升—降hé 和气méi没有gěi给你piàn卡片hè 应和mò淹没jǐ 给予piān相片儿huó 和面huò 和稀泥3.植物妈妈有办法近义词:旅行—旅游粗心—马虎观察—观测准备—预备告别—离别很多—许多仔细—认真降落—下降反义词:粗心—细心仔细—马虎降落—上升离开—回归轻—重wéi作为为难hǎo好人jiàng降落gèng更加de飞得高wèi因为为什么hào爱好xiάng投降gēng更正dé 得到děi得亏识字1.场景歌近义词:场景—场面欢笑—欢乐翠—绿反义词:欢笑—痛哭喜欢—讨厌清晰—模糊痛苦—幸福矮小—高大hάo号叫bǎ把关zhī 只身hào 铜号号召bà 刀把zhǐ 只有2.树之歌近义词:壮—强像—似披—穿喜—爱尖—钝(圆)反义词:高—矮南—北喜—厌暖—寒活—死开—谢(关)香—臭耐寒—喜暖复杂—简单bǎi柏树lǜ 绿叶绿色bó 柏林lù 绿林鸭绿江3.拍手歌近义词:伙伴—朋友飞翔—翱翔嬉戏—玩耍保护—保卫新奇—奇特反义词:朋友—敌人保护—破坏新奇—陈旧深—浅细—粗jiān中间chǔ 处理kōng 天空jiàn间隔亲密无间chù 深处kòng 空闲4.田家四季歌近义词:耕作—耕耘辛苦—辛劳归来—回来喜洋洋—笑盈盈嫩—鲜肥—胖暖—热反义词:嫩—老肥—瘦暖—冷轻—重忙—闲早—晚勤—懒香—臭晴—阴归来—外出战争—和平zhēng正月liǎo了不起了解chάng 打场场院zhèng正好更正le完了好了chǎng 广场场所4.曹冲称象近义词:高兴—快乐议论—讨论办法—方法果然—果真下沉—下降宰—杀反义词:高兴—难过下沉—上升chēng称象zhòng重量liàng重量gān旗杆chèn对称chóng重复liάng测量gǎn枪杆5.玲玲的画近义词:端详—打量收拾—整理满意—满足仔细—细心糟—坏反义词:仔细—马虎参加—退出好事—坏事懒—勤哭—笑xīng兴奋zhī 船只zāng弄脏de我的jiǎo角落shén什么cān参加xìng高兴zhǐ 只要zàng心脏dí的确jué角斗shí什锦cēn参差shēn人参6.一封信近义词:开心—快乐重新—从头结尾—末尾冷清—清静亲爱—心爱告诉—告知开始—开端反义词:开心—难过冷清—热闹现在—以前告诉—隐瞒xiāo 削皮chάo 朝向jiē 结实结果子xuē 剥削zhāo 朝阳jié 结尾结束7.妈妈睡了近义词:美丽—漂亮明亮—闪亮乌黑—漆黑慈祥—慈爱闭—关沉—重反义词:美丽—难看明亮—昏暗乌黑—雪白闭—睁香—臭笑—哭沉—轻fā 发现zhān粘贴gān干净hōng哄堂大笑fà 头发niάn粘性gàn干活hŏng哄骗hòng起哄8.古诗二首近义词:入—进尽—完欲—想登—攀目—眼望—看遥看—远看反义词:直—弯前—后白—黑上—下穷—富前—后直—曲落—升jìn尽力gēng三更打更luò 落叶luō大大落落jǐn 尽管尽早gèng更加lào落枕là丢三落四9.黄山奇石近义词:闻名—著名神奇—奇妙尤其—特别陡峭—峻峭好像一仿佛秀丽一美丽(秀美)反义词:陡峭—平坦神奇—平常有趣—乏味升起—落下闻名—无名秀丽—丑陋中外闻名—不为人知dōu都是tάn弹琴hǎo好像xiάng投降dū首都都市dàn子弹hào好奇jiàng降落10.日月潭近义词:清晰—清楚环绕—围绕展现—出现周围—附近(四周)隐隐约约—模模糊糊反义词:清晰—模糊茂盛—稀疏深—浅隐隐约约—清清楚楚dǎo摔倒shèng茂盛shěng 台湾省节省bάo薄片mēng蒙人蒙骗dào倒映chéng盛饭xǐng 反省bó单薄méng启蒙bò薄荷měng内蒙古11.葡萄沟近义词:茂密—茂盛喜爱—喜欢有名—著名生产—出产五光十色—五颜六色反义词:热情—冷淡展开—收拢蒸发—凝结茂密—稀疏喜欢—讨厌淡—浓hǎo好处gān干净葡萄干fèn水分dīng钉子zhŏng种子hào好客gàn干活fēn分开dìng钉钉子zhòng种地。
1.小学语文二年级反义词大全胖—瘦香—臭明—暗忙—闲凉—暖来—去尖—钝好—坏轻—重前—后左—右是—非有—无老—少深—浅高—低快—慢升—降入—出开—关斜—正落—升冷—热饿—饱贫—富死—活穷—富买—卖旧—新细—粗明—暗首—尾始—终洁白—漆黑美丽—丑陋仔细—马虎告别—会合舒服—难受粗心—细心出发—归来安宁—喧闹宽敞—狭窄困难—容易热闹—寂静空闲—忙碌打开—关闭流动—固定暖和—寒冷弯曲—笔直微笑—悲伤昂首—低头开始—结束现在—将来喜欢—讨厌欢快—沉重机灵—愚笨明白—糊涂希望—失望傍晚—清晨秘密—公开高大—矮小坚定—动摇张开—合拢经常—偶尔愤怒—高兴坚定—犹豫清楚—模糊熟悉—陌生保护—破坏勇敢—懦弱聪明—愚蠢失败—成功敞开—关闭飞快—缓慢明白—糊涂失败—成功烦恼—高兴特殊—一般特别—普通漂亮—丑陋高兴—伤心仔细—粗心精彩—枯燥洁净—肮脏心爱—厌恶飞快—缓慢极小—极大温和—暴躁好事—坏事奔跑—停止灾害—幸福坚硬—松软堵塞—畅通贵重—便宜锋利—迟钝聚集—分散新鲜—陈旧破碎—完整未来—现在诚实—狡猾可爱—可恨活泼—呆板赶紧—拖延透明—浑浊凉爽—炎热永远—短暂凉爽—闷热广阔—狭小相信—怀疑裂开—合拢相信—怀疑节省—浪费亲密—疏远高明—低劣热闹—冷清喜欢—讨厌茁壮—虚弱得意洋洋—垂头丧气2.小学语文二年级近义词大全斜—歪脚—足肥—胖降—落找—寻心惊肉跳—胆战心惊丝毫未动—未动分毫祝愿—祝福茁壮—强壮召唤—呼唤嘱咐—叮嘱希望—盼望闪烁—闪耀希望—盼望袭击—攻击打扰—打搅暖和—温和拜访—访问艳丽—鲜艳节省—节约美丽—漂亮快乐—欢乐时光—时间惊讶—惊奇亲密—亲切依然—依旧高明—高超喜欢—喜爱热闹—喧闹开心—快乐举行—进行凉爽—凉快广大—广阔永远—永久消失—消灭饥荒—饥饿广阔—宽阔飞翔—飞行奇怪—惊奇眨眼—瞬间聚集—聚拢根据—依据诚实—老实未来—将来称赞—赞扬发现—发觉赶紧—抓紧快乐—高兴解落—降落波纹—波浪颤动—颤抖颤动—抖动破碎—破裂珍珠—珍宝财富—财宝锋利—锐利伤心—难过高兴—快乐连忙—赶忙拦住—挡住极小—微小漂浮—漂移平时—平常奔跑—奔驰温和—温顺灾害—灾难帮助—关心温和—亲切无数—很多愿意—同意立刻—连忙如果—假如仔细—认真传说—传奇目录—名目招聘—聘请洁净—干净特殊—特别聆听—倾听领袖—首领盼望—希望费力—费劲使劲—用劲救护—抢救挑选—选择本事—本领烦恼—苦恼究竟—毕竟拼命—舍命浪费—白费干净—洁净录取—录用聊天—谈天盼望—希望耽误—耽搁敞开—放开躲藏—隐藏胆量—胆识飞快—飞速比赛—竞赛害怕—可怕亲爱—友爱保护—爱护谢谢—感谢清楚—清晰渐渐—慢慢面颊—脸蛋脖子—颈项歌唱—唱歌寻找—查找拾起—捡起办法—方法告别—离别准备—预备洁白—雪白美丽—秀丽出发—动身观察—观看很多—许多宾客—来宾安宁—安静逃窜—逃跑突然—忽然宽阔宽敞热闹—吵闹住所—住宅闪现—出现寺庙—寺院卧室—卧房流动—流淌连忙—赶忙忽然—突然好似—好像连忙—急忙正要—刚要浮上—浮现辽阔—宽阔昂首—仰头眼力—视力故乡—家乡本事—本领劝告—劝说依赖—依靠何必—为必凭着—靠着机灵—机智奔走—奔跑秘密—隐秘专心—用心著名—闻名奇怪—惊奇发现—发明好象—仿佛有趣—有味愤怒—气愤坚定—坚决仍旧—照旧弯弯曲曲—曲曲折折连绵不断—连绵起伏赞不绝口—赞叹不已一二年级多音字薄 bó(单薄) báo(薄雾)便 biàn(方便小便) pián(便宜)背 bèi(背心背书) bēi(背着背书包)奔 bēn(奔跑飞奔) bèn(嫦娥奔月)重 chóng(重叠重新) zhòng(重要)差 chā(差别) chà(差不多) chāi(出差)cī(参差不齐)曾 céng (曾经) zēng (姓曾)称 chēng (称呼简称) chèn(匀称称心如意)chèng(公平称通“秤”)场 chǎng (市场广场) cháng (一场雨)冲 chōng (冲走冲下来) chòng (冲劲冲着)处 chù(到处处处) chǔ(相处)待 dāi (待在家) dài(等待)钉 dīng (钉子) ding(钉钉子)答 dā(答应) dá(答卷)当 dāng(当天) dàng(上当)都 dū ( 成都都市) dōu (都是都对)得 de (跑得快香得很) děi(我得走了) dé(得到) 大 dà(大人大家) dài(大夫)斗 dǒu(北斗星 ) dòu(斗争战斗)地 dì(地方土地) de( 胜利地完成任务)倒 dǎo(倒下) dào(倒立倒影)当 dāng(当天当时) dàng(上当当铺)的 de(我的) dí(的确) dì(目的)弹 dàn(子弹炮弹) tán(弹琴弹力)恶ě(恶心)è(凶恶) wù(可恶)分 fēn(分数一百分) fèn(水分分量)发 fā(发现发达) fà(头发理发)缝 fèng(缝隙) féng(裁缝)佛 fú(仿佛) fó(佛像)番 fān (番茄) pān(番禺)供 gōng(供养) gòng(供品)杆 gān (旗杆) gǎn(笔杆)骨 gū(花骨朵儿) gǔ(骨头)干 gān(干净干死 ) gàn(干活树干 )喝 hē(喝水) hè(喝彩)和 hé(和平) huo (暖和)哄 hǒng (哄骗) hòng(起哄)晃 huǎng(明晃晃晃眼) huàng(晃动晃荡)还 hái(还是还有) huán(还书还东西) 会 huì(开会大会) kuài(会计)好 hǎo(好人好事) hào(好学爱好)号 hào(号码号召) háo(风号浪吼)几 jī(几乎茶几) jǐ(几个几何)结 jiē(结实结果) jié(结构结账)间 jiān (中间时间) jiàn (黑白相间间隔)尽 jìn (尽力用尽) jǐn(尽量)假 jiǎ(真假假花) jià(放假假期)觉 jiào(睡觉午觉) jué(觉得感觉)教 jiào (教师教室 ) jiāo( 教学教书)觉 jué(觉得感觉) jiào(睡觉午觉)角 jué(角色主角) jiǎo(角钱角度)降 jiàng(下降) xiáng(投降)卷 juàn(卷子) juǎn(卷发)给 jǐ(给予) gěi(送给)禁 jīn(情不自禁) jìn(禁止)见 jiàn (看见) xiàn (见牛羊)看 kàn (看见好看) kān (看家看守)空 kōng(天空空气) kòng(空闲空隙)露 lù(露珠露水) lòu(露脸露一手)累 lěi (硕果累累) lèi (很累)乐 lè(快乐乐意) yuè(乐曲音乐)蒙 měng(蒙古) mēng(蒙人)没 méi (没有没事) mò (淹没埋没)闷 mēn(闷热) mèn(闷雷滚动)模 mú(模样) mó(模型)难 nán (困难难题) nàn (遇难灾难)漂 piāo(漂流漂浮) piào(漂亮)屏 píng(屏幕) bǐng(屏息)铺 pū(铺路) pù(店铺)强 qiáng(强大) jiàng(倔强) qiǎng(勉强)曲 qǔ(曲子歌曲) qū(弯弯曲曲 )为 wéi (为人) wèi (因为)撒 sā(撒娇) sǎ(撒下)数 shǔ(数星星不可计数) shù(数学)盛 shèng(盛开盛大) chéng(盛饭盛汤)似 sì (好似) shì(似的)少 shǎo(多少少数) shào(少年少爷)似 shì(似的) sì(似乎)调 tiáo(调整) diào(调动)为 wèi (因为为什么) wéi(为人作为)兴 xìng (高兴兴致勃勃) xīng(兴奋大兴土木)行 xíng(不行行走) háng(一行银行)应 yīng(应该应当) yìng( 报应反应)要 yào(只要要紧要强必要) yāo(要求)钻 zuān (钻研) zuàn (钻石)种 zhòng(种树种花) zhǒng(种子树种)转 zhuǎn(转弯转身) zhuàn(转动转圈)涨 zhǎng(涨潮涨价) zhàng(涨大涨红了脸)折 zhē(折腾) zhé(打折) shé(枝折花落)只 zhǐ(只要只是) zhī(一只小鸟)长 zhǎng(长大成长) cháng(长短长度)中 zhōng(中国中心) zhòng(中奖打中)藏 zàng(宝藏藏族) cáng (收藏捉迷藏)朝 zhāo (朝阳夕发朝至) cháo(上朝朝代)着 zháo(着火 ) zhe(拿着)扎 zā(扎辫子) zhā(扎花扎针扎营) zhá(挣扎)。
1.小学语文二年级反义词大全胖—瘦香—臭明—暗忙—闲凉—暖来—去尖—钝好—坏轻—重前—后左—右是—非有—无老—少深—浅高—低快—慢升—降入—出开—关斜—正落—升冷—热饿—饱贫—富死—活穷—富买—卖旧—新细—粗明—暗首—尾始—终洁白—漆黑美丽—丑陋仔细—马虎告别—会合舒服—难受粗心—细心出发—归来安宁—喧闹宽敞—狭窄困难—容易热闹—寂静空闲—忙碌打开—关闭流动—固定暖和—寒冷弯曲—笔直微笑—悲伤昂首—低头开始—结束现在—将来喜欢—讨厌欢快—沉重机灵—愚笨明白—糊涂希望—失望傍晚—清晨秘密—公开高大—矮小坚定—动摇张开—合拢经常—偶尔愤怒—高兴坚定—犹豫清楚—模糊熟悉—陌生保护—破坏勇敢—懦弱聪明—愚蠢失败—成功敞开—关闭飞快—缓慢明白—糊涂失败—成功烦恼—高兴特殊—一般特别—普通漂亮—丑陋高兴—伤心仔细—粗心精彩—枯燥洁净—肮脏心爱—厌恶飞快—缓慢极小—极大温和—暴躁好事—坏事奔跑—停止灾害—幸福坚硬—松软堵塞—畅通贵重—便宜锋利—迟钝聚集—分散新鲜—陈旧破碎—完整未来—现在诚实—狡猾可爱—可恨活泼—呆板赶紧—拖延透明—浑浊凉爽—炎热永远—短暂凉爽—闷热广阔—狭小相信—怀疑裂开—合拢相信—怀疑节省—浪费亲密—疏远高明—低劣热闹—冷清喜欢—讨厌茁壮—虚弱得意洋洋—垂头丧气2.小学语文二年级近义词大全斜—歪脚—足肥—胖降—落找—寻心惊肉跳—胆战心惊丝毫未动—未动分毫祝愿—祝福茁壮—强壮召唤—呼唤嘱咐—叮嘱希望—盼望闪烁—闪耀希望—盼望袭击—攻击打扰—打搅暖和—温和拜访—访问艳丽—鲜艳节省—节约美丽—漂亮快乐—欢乐时光—时间惊讶—惊奇亲密—亲切依然—依旧高明—高超喜欢—喜爱热闹—喧闹开心—快乐举行—进行凉爽—凉快广大—广阔永远—永久消失—消灭饥荒—饥饿广阔—宽阔飞翔—飞行奇怪—惊奇眨眼—瞬间聚集—聚拢根据—依据诚实—老实未来—将来称赞—赞扬发现—发觉赶紧—抓紧快乐—高兴解落—降落波纹—波浪颤动—颤抖颤动—抖动破碎—破裂珍珠—珍宝财富—财宝锋利—锐利伤心—难过高兴—快乐连忙—赶忙拦住—挡住极小—微小漂浮—漂移平时—平常奔跑—奔驰温和—温顺灾害—灾难帮助—关心温和—亲切无数—很多愿意—同意立刻—连忙如果—假如仔细—认真传说—传奇目录—名目招聘—聘请洁净—干净特殊—特别聆听—倾听领袖—首领盼望—希望费力—费劲使劲—用劲救护—抢救挑选—选择本事—本领烦恼—苦恼究竟—毕竟拼命—舍命浪费—白费干净—洁净录取—录用聊天—谈天盼望—希望耽误—耽搁敞开—放开躲藏—隐藏胆量—胆识飞快—飞速比赛—竞赛害怕—可怕亲爱—友爱保护—爱护谢谢—感谢清楚—清晰渐渐—慢慢面颊—脸蛋脖子—颈项歌唱—唱歌寻找—查找拾起—捡起办法—方法告别—离别准备—预备洁白—雪白美丽—秀丽出发—动身观察—观看很多—许多宾客—来宾安宁—安静逃窜—逃跑突然—忽然宽阔宽敞热闹—吵闹住所—住宅闪现—出现寺庙—寺院卧室—卧房流动—流淌连忙—赶忙忽然—突然好似—好像连忙—急忙正要—刚要浮上—浮现辽阔—宽阔昂首—仰头眼力—视力故乡—家乡本事—本领劝告—劝说依赖—依靠何必—为必凭着—靠着机灵—机智奔走—奔跑秘密—隐秘专心—用心著名—闻名奇怪—惊奇发现—发明好象—仿佛有趣—有味愤怒—气愤坚定—坚决仍旧—照旧弯弯曲曲—曲曲折折连绵不断—连绵起伏赞不绝口—赞叹不已一二年级多音字薄 bó(单薄) báo(薄雾)便 biàn(方便小便) pián(便宜)背 bèi(背心背书) bēi(背着背书包)奔 bēn(奔跑飞奔) bèn(嫦娥奔月)重 chóng(重叠重新) zhòng(重要)差 chā(差别) chà(差不多) chāi(出差)cī(参差不齐)曾 céng (曾经) zēng (姓曾)称 chēng (称呼简称) chèn(匀称称心如意)chèng(公平称通“秤”)场 chǎng (市场广场) cháng (一场雨)冲 chōng (冲走冲下来) chòng (冲劲冲着) 处 chù(到处处处) chǔ(相处)待 dāi (待在家) dài(等待)钉 dīng (钉子) ding(钉钉子)答 dā(答应) dá(答卷)当 dāng(当天) dàng(上当) 都 dū ( 成都都市) dōu (都是都对)得 de (跑得快香得很) děi(我得走了) dé(得到) 大 dà(大人大家) dài(大夫)斗 dǒu(北斗星 ) dòu(斗争战斗)地 dì(地方土地) de( 胜利地完成任务)倒 dǎo(倒下) dào(倒立倒影)当 dāng(当天当时) dàng(上当当铺)的 de(我的) dí(的确) dì(目的)弹 dàn(子弹炮弹) tán(弹琴弹力)恶ě(恶心)è(凶恶) wù(可恶)分 fēn(分数一百分) fèn(水分分量)发 fā(发现发达) fà(头发理发)缝 fèng(缝隙) féng(裁缝)佛 fú(仿佛) fó(佛像)番 fān (番茄) pān(番禺)供 gōng(供养) gòng(供品)杆 gān (旗杆) gǎn(笔杆)骨 gū(花骨朵儿) gǔ(骨头)干 gān(干净干死 ) gàn(干活树干 )喝 hē(喝水) hè(喝彩)和 hé(和平) huo (暖和)哄 hǒng (哄骗) hòng(起哄)晃 huǎng(明晃晃晃眼) huàng(晃动晃荡)还 hái(还是还有) huán(还书还东西) 会 huì(开会大会) kuài(会计)好 hǎo(好人好事) hào(好学爱好)号 hào(号码号召) háo(风号浪吼)几 jī(几乎茶几) jǐ(几个几何)结 jiē(结实结果) jié(结构结账)间 jiān (中间时间) jiàn (黑白相间间隔)尽 jìn (尽力用尽) jǐn(尽量)假 jiǎ(真假假花) jià(放假假期)觉 jiào(睡觉午觉) jué(觉得感觉)教 jiào (教师教室 ) jiāo( 教学教书)觉 jué(觉得感觉) jiào(睡觉午觉)角 jué(角色主角) jiǎo(角钱角度)降 jiàng(下降) xiáng(投降)卷 juàn(卷子) juǎn(卷发)给 jǐ(给予) gěi(送给)禁 jīn(情不自禁) jìn(禁止)见 jiàn (看见) xiàn (见牛羊)看 kàn (看见好看) kān (看家看守)空 kōng(天空空气) kòng(空闲空隙)露 lù(露珠露水) lòu(露脸露一手)累 lěi (硕果累累) lèi (很累)乐 lè(快乐乐意) yuè(乐曲音乐)蒙 měng(蒙古) mēng(蒙人)没 méi (没有没事) mò (淹没埋没)闷 mēn(闷热) mèn(闷雷滚动)模 mú(模样) mó(模型)难 nán (困难难题) nàn (遇难灾难)漂 piāo(漂流漂浮) piào(漂亮)屏 píng(屏幕) bǐng(屏息)铺 pū(铺路) pù(店铺)强 qiáng(强大) jiàng(倔强) qiǎng(勉强)曲 qǔ(曲子歌曲) qū(弯弯曲曲 )为 wéi (为人) wèi (因为)撒 sā(撒娇) sǎ(撒下)数 shǔ(数星星不可计数) shù(数学)盛 shèng(盛开盛大) chéng(盛饭盛汤)似 sì (好似) shì(似的)少 shǎo(多少少数) shào(少年少爷)似 shì(似的) sì(似乎)调 tiáo(调整) diào(调动)为 wèi (因为为什么) wéi(为人作为)兴 xìng (高兴兴致勃勃) xīng(兴奋大兴土木)行 xíng(不行行走) háng(一行银行)应 yīng(应该应当) yìng( 报应反应)要 yào(只要要紧要强必要) yāo(要求)钻 zuān (钻研) zuàn (钻石)种 zhòng(种树种花) zhǒng(种子树种)转 zhuǎn(转弯转身) zhuàn(转动转圈)涨 zhǎng(涨潮涨价) zhàng(涨大涨红了脸)折 zhē(折腾) zhé(打折) shé(枝折花落)只 zhǐ(只要只是) zhī(一只小鸟)长 zhǎng(长大成长) cháng(长短长度)中 zhōng(中国中心) zhòng(中奖打中)藏 zàng(宝藏藏族) cáng (收藏捉迷藏)朝 zhāo (朝阳夕发朝至) cháo(上朝朝代)着 zháo(着火 ) zhe(拿着)扎 zā(扎辫子) zhā(扎花扎针扎营) zhá(挣扎)。