2015-2018全国考研大数据
- 格式:pdf
- 大小:660.19 KB
- 文档页数:18
全国历年高考、研究生招生人数全国历年高考、研究生招生人数全国1977-2008高考录取人数,1970年代至1990年代,高考计划招生数中专科、中专所占的比例很大,而最近10多年来计划招生数中本科所占的比率有所提高。
1977年,报考人数570万人,录取27万,录取比例为29∶1。
约4.8%。
1978年,610万人报考,原计划招生29.3万人,后增加近11万人,共录取40.2万人。
1979年,共有468.5万人参加高考,录取了28.4万人。
1980年,共有333万人报考,共录取28万人。
1981年,共有259万人报考,共录取28万人。
1982年,共有187万人报考,共录取32万人。
1983年,共有167万人报考,共录取39万人。
1984年,共有164万人报考,共录取48万人。
1985年,共有176万人报考,共录取62万人。
1986年,共有191万人报考,共录取57万人。
1987年全国高考共有228万人报考,共录取62万人1988年,高考共有272万人报考,共录取67万人。
1989年,当年国家计划招生64万1990年,全国高校招生人数为60.89万,1991年,全国高校招生人数为61.9万,1992年,全国普通高校招生数75.15万,1993年,全国高校招生人数为92.4万,1994年,全国高校招生人数为89.98万,1995年,全国高校招生人数为92.59万,1996年,全国高校招生人数为96. 58万,其中本科生50.53万,1997年,全国高校招生人数为100.04万,1998年,全国高校招生人数为108万,1999年,全国高校大规模扩招始自1999年,按当年统计,全国普通高校招生160万人,比1998年增加了52万人,增幅高达48%。
2000年:录取180万人2001年:录取260万人录取率首次突破50%2002年:录取321万人报考527万2003年:录取382万人报考613万2004年:录取447万人报考723万2005年:录取504万人报考867万2006年:录取540万人报考880万2007年,高校计划招生567万人,报考1000万,2008年,高考招生人数创新高,计划录取599万人,报名1050万。
《2015年全国研究生招生数据调查报告》中国教育在线权威发布/摘要2015年全国硕士研究生招生考试报名人数为164.9万人,较2014年减少6.5万人。
这是继2014年考研报名人数下跌以来,再次明显下降,宣告了持续20多年的考研热画上了句号。
与此相关的是高校的招生,2014年研究生招生遭遇前所未有的尴尬,很多省市未能完成招生计划,这也是前所未有的现象。
相比较749万大学毕业生数,研究生报名人数的下降明白无误地传递了这样一个客观现实:对学历的盲目追求与崇拜,一去不复返了!报名人数连续第二年下降招生计划不能完成中国教育在线发布《2015年研究生招生调查报告》自1981年我国学位制度建立以来,30多年间共培养硕士研究生426万人,近20年我国硕士研究生报名人数始终处在爆发式增长的阶段。
不过,从2014年开始,报名人数出现一定程度的下滑,2015年全国硕士研究生招生考试报名人数为164.9万人,较2014年减少6.5万人。
这是继2014年考研报名人数下跌以来,再次明显下降,宣告了持续20多年的考研热画上了句号。
与此相关的是高校的招生,2014年研究生招生遭遇前所未有的尴尬,很多省市未能完成招生计划,这也是前所未有的现象。
根据中国教育在线发布的《2015年全国研究生招生数据调查报告》(以下简称《报告》),2015年全国各地硕士研究生招生考试报名人数均呈现不同程度下降趋势,如辽宁、黑龙江、内蒙古、甘肃、河南、河北分别下降6.56%、6.14%、5%、3.88%、3.36%、2.97%。
硕士研究生报名人数从2014年开始减少,而招生规模在每年不断扩大。
未来,硕士研究生招生报名人数下降、招生规模上升的“剪刀差”会愈发明显。
《报告》显示,2014年全国多个省份硕士研究生招生出现未完成计划的情况,部分高校反映,可调剂复试的合格生源偏少,生源质量下滑,录取工作面临比较严峻的形势。
另外,报考专业呈现两极分化趋势,考生对经济管理类专业报考热度一直未减,工商管理、会计、法律等专业报考热度较高;报考学校呈现集中化趋势,调查显示报考人数位列前五的地区为北京市、江苏省、上海市、天津市、湖北省,这五个地区的考生占报考总数的50%左右。
中国研究生历年招生人数一览(1978—2012)2012年01月26日星期四下午9:292012年1月7日,全国165.6万考生参加2012年全国硕士研究生招生考试。
北京共有近12万名考生在雪中走进考场。
这是全国考研人数连续第三年增幅超过10万人。
今年考研大军达到165.6万,比2011年增加9.6%;其中专业学位报考人数达43.7万。
这是硕士研究生报考人数连续第8年达到100万以上,也是连续第三年以超过10万人的幅度增长。
其中,报考北京地区高校的考生约为27万,为全国最多;北京地区考生则达到将近12万。
三年前,受经济危机、就业紧张等因素影响,考研成为很多学生的就业“避风港”。
今年就业形势虽相对乐观,但考研人数增幅仍居高不下。
与此同时,教育部近年开始对研究生教学进行改革,大力扩招专业学位研究生。
2007年,全国研究生招生人数为36.4万;2011年这一数字增至49.5万。
自2008年以来,全国硕士研究生入学考录比大体稳定在3:1左右。
多家教育机构预测,今年的考录比例也在3:1左右。
虽然考研大军越来越庞大,但其中很大一部分是“酱油党”,他们大多数已经有了就业选择,更多将考研看作一种体验和尝试,并不看重结果得失。
也有一些“酱油党”将今年的考试看作一次练兵,寄望于来年。
这些考生往往“裸考”,并不作很多考前复习。
连续3年报考增幅超10万人分数线区划调整加剧竞争除了报考人数的大幅增长之外,今年考研复试分数线区域划分调整也将使部分院校竞争变得更加激烈。
根据教育部公布的2012年全国研究生招生简章,原来的全国复试分数线一、二、三区调整为两个区,原一、二区合并为一区,三区变为二区。
从2012年起国家将按照新的一区、二区确定考生参加复试的基本分数要求。
专家分析,招生区域调整后,会导致准备报考原二区学校的考生顿时失去低分优势,可能改报原一区的院校,一区中位于北京、上海的热门高校将越来越热,竞争更激烈。
从数据上看,今年有269555名考生报考北京的研究生招生单位,比2011年增加5800余人,同样创造了历史纪录,北京地区考研竞争的激烈程度继续加大。
考研大数据:15-18年研究生报考数据分析报告近日,研招网发布了“2015-2018年全国硕士研究生报考数据分析报告”,从报考总人数、各省报考人数、应届生往届生报考比例、学硕专硕比例、男女比例、全日制和非全日制、热门报考专业、热门高校专业报录比等8个方面,统计了近四年的考研生报考数据,其中2018年考研报考人数达到238万,比2017年增加37万人,增长18.4%。
其中,应届考生131万人,比去年增加18万人,往届考生107万人,比去年增加19万人,考研增加人数和增长率均为近年来最高。
本期篇文章就让我们通过数据来看一下近几年考研的走势。
1研究生报名人数持续增长从图1、图2我们可以看出:近几年考研人数连年增高,屡创新高,考研竞争激烈程度有所增加。
那么,为什么本科毕业生纷纷选择考研呢?中国青年报社社会调查中心针对考研的一项问卷调查显示,提升就业竞争力、通过考研进入名校、通过考研更换专业、完成自己的学术理想、暂时逃避就业压力、寻找备考过程中的独特体验等均成为接受调查者给出的答案。
通过近些年的调查和分析,究其原因,主要有以下几点:本科就业压力大,考研可提升就业竞争力随着本科生越来越多,本科学历已经不足以满足部分用人单位的需求了,所以用人单位就提高了招聘的门槛,纷纷打上了“研究生以上学历”的标签。
因此,很多考生为了提升自己的就业竞争力,纷纷加入考研的队伍。
名校情结很多考生在高考时由于各种原因进入了一些普通本科高校,但是心中却有着一颗名牌大学的心。
而且在招聘时,很多企业往往会注明优先考虑985、211大学的学生,很多普通本科高校学生甚至连简历关都过不了,这更加剧了这些学生追求名校的心理,想通过考研给自己一个去理想学府继续深造的机会。
所以,不仅仅是应届毕业生考研的人数在增长,就连一些工作了两三年的本科毕业生都有很多选择了继续读研深造,由此可见,学历和名校确实对大家在以后的工作中影响很大。
在职研究生纳入统考,往届生考研人数增加2017年在职研究生首次纳入统考,让更多在职人员也加入了考研大军。
自1978年开始实施开放以来,中国高等教育系统经历了快速的发展和转型。
研究生教育作为高等教育的重要组成部分,也得到了长足的进步和提升。
下面将回顾中国研究生历年招生人数的变化情况,以便更好地了解中国研究生教育的发展轨迹。
随着中国经济的快速发展和科技创新的推动,研究生教育逐渐得到了更多的重视和投入。
1990年,研究生招生人数达到了30万人的规模,相比1984年大约增长了3倍。
在随后的几年内,研究生招生规模持续增长,但增长速度逐渐减缓。
到了2000年,中国研究生招生规模再次迅速增长,达到了115.9万人。
这主要是由于中国高等教育体制的,扩大了研究生的培养规模。
2000年以后的十年间,研究生招生规模保持在100万人以上的大规模,进一步推动了中国研究生教育的发展。
进入2024年代,中国研究生招生规模再次迎来了爆发式增长。
2024年,研究生招生人数达到了265.6万人,创下历史新高。
这与中国政府提出的“大众创业、万众创新”的发展战略密切相关,也是中国进一步推动科技创新和人才培养的重要举措之一总体来看,中国研究生历年招生人数呈现出明显的增长趋势。
从1978年的2427人到2024年的265.6万人,招生规模增长了约109倍。
这一变化不仅反映了中国高等教育发展的巨大成就,也体现了中国大力培养科学研究和创新人才的迫切需求。
然而,与招生规模的快速增长相比,中国研究生教育的质量和结构仍存在一些问题和挑战。
例如,研究生培养方式的单一化、导师资源的不均衡分布、学科结构的不合理等都需要进一步加以改善和完善。
除了招生数量的增长,中国研究生教育也需要更多关注培养质量和创新能力的提升。
综上所述,中国研究生教育在近几十年的发展中取得了重要进展,招生规模不断扩大。
然而,随着中国社会和经济的进一步发展,对高素质科研人才的需求也将不断增加。
因此,持续和完善研究生教育,提高培养质量和培养创新能力,成为中国高等教育系统下一阶段的重要任务。
中国研究生历年招生人数一览(1978—2012)2012年01月26日星期四下午9:292012年1月7日,全国165.6万考生参加2012年全国硕士研究生招生考试。
北京共有近12万名考生在雪中走进考场。
这是全国考研人数连续第三年增幅超过10万人。
今年考研大军达到165.6万,比2011年增加9.6%;其中专业学位报考人数达43.7万。
这是硕士研究生报考人数连续第8年达到100万以上,也是连续第三年以超过10万人的幅度增长。
其中,报考北京地区高校的考生约为27万,为全国最多;北京地区考生则达到将近12万。
三年前,受经济危机、就业紧张等因素影响,考研成为很多学生的就业“避风港”。
今年就业形势虽相对乐观,但考研人数增幅仍居高不下。
与此同时,教育部近年开始对研究生教学进行改革,大力扩招专业学位研究生。
2007年,全国研究生招生人数为36.4万;2011年这一数字增至49.5万。
自2008年以来,全国硕士研究生入学考录比大体稳定在3:1左右。
多家教育机构预测,今年的考录比例也在3:1左右。
虽然考研大军越来越庞大,但其中很大一部分是“酱油党”,他们大多数已经有了就业选择,更多将考研看作一种体验和尝试,并不看重结果得失。
也有一些“酱油党”将今年的考试看作一次练兵,寄望于来年。
这些考生往往“裸考”,并不作很多考前复习。
连续3年报考增幅超10万人分数线区划调整加剧竞争除了报考人数的大幅增长之外,今年考研复试分数线区域划分调整也将使部分院校竞争变得更加激烈。
根据教育部公布的2012年全国研究生招生简章,原来的全国复试分数线一、二、三区调整为两个区,原一、二区合并为一区,三区变为二区。
从2012年起国家将按照新的一区、二区确定考生参加复试的基本分数要求。
专家分析,招生区域调整后,会导致准备报考原二区学校的考生顿时失去低分优势,可能改报原一区的院校,一区中位于北京、上海的热门高校将越来越热,竞争更激烈。
从数据上看,今年有269555名考生报考北京的研究生招生单位,比2011年增加5800余人,同样创造了历史纪录,北京地区考研竞争的激烈程度继续加大。
中国研究生历年招生人数一览(1978—2012)2012年01月26日星期四下午9:292012年1月7日,全国165.6万考生参加2012年全国硕士研究生招生考试。
北京共有近12万名考生在雪中走进考场。
这是全国考研人数连续第三年增幅超过10万人。
今年考研大军达到165.6万,比2011年增加9.6%;其中专业学位报考人数达43.7万。
这是硕士研究生报考人数连续第8年达到100万以上,也是连续第三年以超过10万人的幅度增长。
其中,报考北京地区高校的考生约为27万,为全国最多;北京地区考生则达到将近12万。
三年前,受经济危机、就业紧张等因素影响,考研成为很多学生的就业“避风港”。
今年就业形势虽相对乐观,但考研人数增幅仍居高不下。
与此同时,教育部近年开始对研究生教学进行改革,大力扩招专业学位研究生。
2007年,全国研究生招生人数为36.4万;2011年这一数字增至49.5万。
自2008年以来,全国硕士研究生入学考录比大体稳定在3:1左右。
多家教育机构预测,今年的考录比例也在3:1左右。
虽然考研大军越来越庞大,但其中很大一部分是“酱油党”,他们大多数已经有了就业选择,更多将考研看作一种体验和尝试,并不看重结果得失。
也有一些“酱油党”将今年的考试看作一次练兵,寄望于来年。
这些考生往往“裸考”,并不作很多考前复习。
连续3年报考增幅超10万人分数线区划调整加剧竞争除了报考人数的大幅增长之外,今年考研复试分数线区域划分调整也将使部分院校竞争变得更加激烈。
根据教育部公布的2012年全国研究生招生简章,原来的全国复试分数线一、二、三区调整为两个区,原一、二区合并为一区,三区变为二区。
从2012年起国家将按照新的一区、二区确定考生参加复试的基本分数要求。
专家分析,招生区域调整后,会导致准备报考原二区学校的考生顿时失去低分优势,可能改报原一区的院校,一区中位于北京、上海的热门高校将越来越热,竞争更激烈。
从数据上看,今年有269555名考生报考北京的研究生招生单位,比2011年增加5800余人,同样创造了历史纪录,北京地区考研竞争的激烈程度继续加大。
中国研究生历年招生人数一览(1978—2012)2012年01月26日星期四下午9:292012年1月7日,全国165.6万考生参加2012年全国硕士研究生招生考试。
北京共有近12万名考生在雪中走进考场。
这是全国考研人数连续第三年增幅超过10万人。
今年考研大军达到165.6万,比2011年增加9.6%;其中专业学位报考人数达43.7万。
这是硕士研究生报考人数连续第8年达到100万以上,也是连续第三年以超过10万人的幅度增长。
其中,报考北京地区高校的考生约为27万,为全国最多;北京地区考生则达到将近12万。
三年前,受经济危机、就业紧张等因素影响,考研成为很多学生的就业“避风港”。
今年就业形势虽相对乐观,但考研人数增幅仍居高不下。
与此同时,教育部近年开始对研究生教学进行改革,大力扩招专业学位研究生。
2007年,全国研究生招生人数为36.4万;2011年这一数字增至49.5万。
自2008年以来,全国硕士研究生入学考录比大体稳定在3:1左右。
多家教育机构预测,今年的考录比例也在3:1左右。
虽然考研大军越来越庞大,但其中很大一部分是“酱油党”,他们大多数已经有了就业选择,更多将考研看作一种体验和尝试,并不看重结果得失。
也有一些“酱油党”将今年的考试看作一次练兵,寄望于来年。
这些考生往往“裸考”,并不作很多考前复习。
连续3年报考增幅超10万人分数线区划调整加剧竞争除了报考人数的大幅增长之外,今年考研复试分数线区域划分调整也将使部分院校竞争变得更加激烈。
根据教育部公布的2012年全国研究生招生简章,原来的全国复试分数线一、二、三区调整为两个区,原一、二区合并为一区,三区变为二区。
从2012年起国家将按照新的一区、二区确定考生参加复试的基本分数要求。
专家分析,招生区域调整后,会导致准备报考原二区学校的考生顿时失去低分优势,可能改报原一区的院校,一区中位于北京、上海的热门高校将越来越热,竞争更激烈。
从数据上看,今年有269555名考生报考北京的研究生招生单位,比2011年增加5800余人,同样创造了历史纪录,北京地区考研竞争的激烈程度继续加大。
一、2018年全国研究生招生总人数据统计数据显示,2018年全国研究生招生总人数为XXX万人。
这一数字较2017年有所增加,显示出我国研究生教育的持续发展趋势。
二、不同学科研究生招生情况1. 理工类学科2018年,理工类学科研究生招生人数继续保持较高水平,其中工程学、计算机科学与技术等专业招生规模较大。
这一现象与我国对科技创新和工程技术的需求密切相关。
2. 文史类学科相较理工类学科,文史类学科研究生招生规模虽有所增加,但整体增速较慢。
这可能与我国社会发展对理工类人才的需求更为迫切有关。
三、研究生招生考试1. 全国硕士研究生招生考试全国硕士研究生招生考试在2018年依然是全国研究生招生的主要渠道之一,考试内容覆盖了各大学科类考试科目,为广大考生提供了公平的竞争评台。
2. 博士研究生招生考试博士研究生招生考试则更加注重考生的研究能力和创新能力,考试科目和形式相对更为灵活,更能够体现考生的综合素质。
四、研究生招生政策1. 硕士研究生政策2018年,我国研究生教育继续实施“以考试为主、综合评价为辅”的招生政策,旨在选拔更多优秀的研究生人才。
2. 博士研究生政策对于博士研究生,政策也在不断优化,鼓励更多具有研究潜力和创新能力的优秀人才报考,以进一步提高我国的高等教育水平。
五、研究生就业情况2018年,全国研究生毕业生就业形势整体向好。
研究生毕业生的就业率不断提高,尤其是理工类学科的研究生就业形势较为乐观。
六、研究生培养模式近年来,我国研究生教育也在不断深化改革,加强研究生的创新能力和实践能力培养,使研究生教育更贴近社会实际需求。
七、结语总体来看,2018年全国研究生招生人数增加,研究生教育整体发展态势良好。
然而,也要注意到一些问题和挑战,如研究生就业压力和学科结构失衡等,需要进一步加强政策引导和实践探索,以推动我国研究生教育朝着更加健康和可持续的方向发展。
八、研究生招生政策的改革与应对针对研究生教育中存在的问题,政府和教育部门也在不断探索改革,以促进研究生教育的持续健康发展。
历年在职研究生报考人数
中国社会福利研究院显示,2014年5月,经教育部、公安部等有关部门批准,首批全国在职研究生招生考试的录取率和考生报考人数分别达到了58.9%和97.4万人。
此后,
在职研究生考试人数陆续上升,到2015年,报考人数达到103.2万人,2016年达到
114.7万人,2017年则达到123.2万人,2018年达到124.9万人,2019年报考人数为132.2万人。
回顾过去几年,2014年报考人数最低,仅为97.4万人,而2018年报考人数则处于历史最高水平,达到124.9万人。
这表明,人们对在职研究生教育的兴趣度越来越高,而在
职研究生的需求也在不断增加。
除了报考人数的逐年增加,在职研究生的考试录取率也在
不断提升。
2014年,该考试的录取率为58.9%,而到2019年已经达到82.2%。
据悉,在职研究生的考试难度越来越大,这也对考试录取率的提高起到了积极的作用。
此外,随着教育体制的改革,在职研究生教育机制也在不断完善。
从2014年5月起,国家便开始推行“专项招研制度”,即国家一日放开一招录取,每年一招录取一批在职研
究生。
值得注意的是,在职研究生的毕业时间仅为一年至三年,以尽快提供更多的高学历
招聘人才为己任。
另外,在职研究生考试还设有专业招考及技能招考,对报考人群更有了
针对性。
综上所述,不难发现,随着教育体制的改革与市场需求的提高,在职研究生考试报考
人数有逐年上升的趋势,而考试录取率也在不断提高。
可见,在职研究生热度正在不断上升,考生也在实施更多的发展计划,以适应市场的技术需求。
瑟瑟发抖!18考研这些学校报考人数均破万,你感到压力了吗?据教育部的数据,2018年的全国硕士研究生招生考试报名人数达238万,比去年增长37万,创下历史新高。
凯程静静学姐觉得,虽然今年考研报名人数尚未有权威统计,但是,从部分省份披露的数据来看,辽宁、河北、湖南等省份的考研报名人数均创新高。
2018年全国报考北京招生单位的考生为322897人,北京共有12所高校报考人数超过1万,至此,全国已公布报名人数的高校中,共有18所报名人数超过1万。
2018硕士研究生招生考试,全国报考北京招生单位的考生为322897人(不含推免考生),较2017年增加33402人,增幅达到11.5%,其中报考专业学位的考生超过一半。
具体来说,在报考北京招生单位的考生中,146192人报考学术型专业,占45.3%,176705人报考专业学位,占54.7%;279311人报考全日制硕士研究生,占86.5%,43586人报考非全日制硕士研究生,占13.5%。
在专业上,工商管理专业报考人数居首,为19749人,随后为会计专业的13124人和法律硕士(非法学)专业的12957人,报考人数居第四至十位的专业依次为金融、公共管理、计算机技术、法律硕士(法学)、广播电视、软件工程、计算机科学与技术。
从志愿来看,12个招生单位的报考人数均超过1万人,分别为北京大学、中国人民大学、中国科学院大学、对外经济贸易大学、清华大学、中国传媒大学、北京师范大学、北京理工大学、中央财经大学、北京航空航天大学、北京交通大学和中国政法大学。
今年是统筹全日制和非全日制硕士研究生管理的第一年,教育部下达给北京的硕士生招生计划为101756人,包括全日制学术学位招生计划45311人,全日制专业学位招生计划36417人,非全日制学术学位招生计划389人,非全日制专业学位招生计划19639人。
已公布报名人数的高校中,超过一万的高校还有以下6所:2018考研:报考山东大学考生23018人2018年全国各报考点报考山东大学的确认前考生共23018人。
中国研究生历年招生人数一览(1978—2012)2012 年 01 月 26 日礼拜四下午 9:292012 年 1 月 7 日,全国165.6 万考生参加 2012 年全国硕士研究生招生考试。
北京共有近 12 万名考生在雪中走进考场。
这是全国考研人数连续第三年增幅超出10 万人。
今年考研大军达到165.6 万,比 2011 年增添9.6%;此中专业学位报考人数达43.7 万。
这是硕士研究生报考人数连续第 8 年达到 100 万以上,也是连续第三年以超出 10 万人的幅度增添。
此中,报考北京地域高校的考生约为 27 万,为全国最多;北京地域考生则达到快要 12 万。
三年前,受经济危机、就业紧张等要素影响,考研成为好多学生的就业“避风港”。
今年就业局势虽相对乐观,但考研人数增幅仍居高不下。
与此同时,教育部最近几年开始对研究生教课进行改革,鼎力扩招专业学位研究生。
2007 年,全国研究生招生人数为36.4 万; 2011 年这一数字增至49.5 万。
自 2008 年以来,全国硕士研究生入学考录比大概稳固在3:1左右。
多家教育机构展望,今年的考录比率也在 3:1左右。
固然考研大军愈来愈宏大,但此中很大一部分是“酱油党”,他们大部分已经有了就业选择,更多将考研看作一种体验和试试,其实不看重结果得失。
也有一些“酱油党”将今年的考试看作一次练兵,寄望于来年。
这些考生常常“裸考”,其实不作好多考前复习。
连续 3 年报考增幅超 10 万人分数线区划调整加剧竞争除了报考人数的大幅增添以外,今年考研复试分数线地区区分调整也将使部分院校竞争变得更为强烈。
依据教育部宣布的2012 年全国研究生招生简章,本来的全国复试分数线一、二、三区调整为两个区,原一、二区归并为一区,三区变成二区。
从 2012 年起国家将依据新的一区、二区确立考生参加复试的基安分数要求。
专家剖析,招生地区调整后,会致使准备报考原二区学校的考生立时失掉低分优势,可能改报原一区的院校,一区中位于北京、上海的热点高校将愈来愈热,竞争更强烈。
全国历年研究生录取人数统计全文共四篇示例,供读者参考第一篇示例:近年来,随着社会发展和人才需求的增加,研究生教育越来越受到重视。
而研究生招生人数也在逐年增加,成为教育界和社会关注的热点话题之一。
本文将对全国历年研究生录取人数进行统计分析,探讨其发展态势和影响因素。
我们来看一下全国研究生录取人数的整体趋势。
根据教育部发布的数据显示,从2010年到2020年,全国研究生录取人数呈现逐年增加的趋势。
特别是在近几年,随着国家对高等教育的加大投入和政策扶持,研究生招生规模不断扩大,录取人数也在持续攀升。
2018年,全国研究生录取人数突破百万大关,创历史新高,这标志着我国研究生教育发展进入了一个新阶段。
研究生录取人数的增加不仅反映了学生对高等教育的强烈需求,也与政策导向和社会发展需求密不可分。
一方面,随着科技发展和经济结构调整,我国对高层次人才的需求越来越迫切,这需要更多的研究生来进行科学研究和技术创新。
政府出台了一系列扶持研究生教育的政策和措施,比如增加研究生奖学金、加大科研经费支持等,这也为研究生录取人数的增加提供了保障。
研究生录取人数的增加对于高等教育质量和研究水平的提升具有积极作用。
随着研究生数量的增加,研究生院校和教师队伍的建设也在不断完善,研究生招生标准和管理制度也在逐步规范。
这有利于培养更多高素质的研究生,促进科研成果的转化和应用,提高我国整体的科技创新能力。
要实现研究生录取人数的持续增长和高效发展,还需要加强政策引导、优化资源配置、提升学校管理水平等方面的工作。
制定更加灵活和包容的研究生政策,加大对研究生教育的投入和支持,完善研究生培养机制和评价体系,建立健全研究生质量监控和评估体系等。
只有通过全社会共同努力,才能够实现我国研究生教育的持续健康发展,为国家的长远发展注入源源不断的人才动力。
全国历年研究生录取人数的统计数据反映了我国高等教育发展的巨大成就和潜力,也展示了我国研究生教育体系的不断完善和提升。
中国研究生历年招生人数一览(1978—2012)2012年01月26日星期四下午9:292012年1月7日,全国165.6万考生参加2012年全国硕士研究生招生考试。
北京共有近12万名考生在雪中走进考场。
这是全国考研人数连续第三年增幅超过10万人。
今年考研大军达到165.6万,比2011年增加9.6%;其中专业学位报考人数达43.7万。
这是硕士研究生报考人数连续第8年达到100万以上,也是连续第三年以超过10万人的幅度增长。
其中,报考北京地区高校的考生约为27万,为全国最多;北京地区考生则达到将近12万。
三年前,受经济危机、就业紧张等因素影响,考研成为很多学生的就业“避风港”。
今年就业形势虽相对乐观,但考研人数增幅仍居高不下。
与此同时,教育部近年开始对研究生教学进行改革,大力扩招专业学位研究生。
2007年,全国研究生招生人数为36.4万;2011年这一数字增至49.5万。
自2008年以来,全国硕士研究生入学考录比大体稳定在3:1左右。
多家教育机构预测,今年的考录比例也在3:1左右。
虽然考研大军越来越庞大,但其中很大一部分是“酱油党”,他们大多数已经有了就业选择,更多将考研看作一种体验和尝试,并不看重结果得失。
也有一些“酱油党”将今年的考试看作一次练兵,寄望于来年。
这些考生往往“裸考”,并不作很多考前复习。
连续3年报考增幅超10万人分数线区划调整加剧竞争除了报考人数的大幅增长之外,今年考研复试分数线区域划分调整也将使部分院校竞争变得更加激烈。
根据教育部公布的2012年全国研究生招生简章,原来的全国复试分数线一、二、三区调整为两个区,原一、二区合并为一区,三区变为二区。
从2012年起国家将按照新的一区、二区确定考生参加复试的基本分数要求。
专家分析,招生区域调整后,会导致准备报考原二区学校的考生顿时失去低分优势,可能改报原一区的院校,一区中位于北京、上海的热门高校将越来越热,竞争更激烈。
从数据上看,今年有269555名考生报考北京的研究生招生单位,比2011年增加5800余人,同样创造了历史纪录,北京地区考研竞争的激烈程度继续加大。
中国研究生历年招生人数一览(1978—2012)2012年01月26日星期四下午9:292012年1月7日,全国165.6万考生参加2012年全国硕士研究生招生考试。
北京共有近12万名考生在雪中走进考场。
这是全国考研人数连续第三年增幅超过10万人。
今年考研大军达到165.6万,比2011年增加9.6%;其中专业学位报考人数达43.7万。
这是硕士研究生报考人数连续第8年达到100万以上,也是连续第三年以超过10万人的幅度增长。
其中,报考北京地区高校的考生约为27万,为全国最多;北京地区考生则达到将近12万。
三年前,受经济危机、就业紧张等因素影响,考研成为很多学生的就业“避风港”。
今年就业形势虽相对乐观,但考研人数增幅仍居高不下。
与此同时,教育部近年开始对研究生教学进行改革,大力扩招专业学位研究生。
2007年,全国研究生招生人数为36.4万;2011年这一数字增至49.5万。
自2008年以来,全国硕士研究生入学考录比大体稳定在3:1左右。
多家教育机构预测,今年的考录比例也在3:1左右。
虽然考研大军越来越庞大,但其中很大一部分是“酱油党”,他们大多数已经有了就业选择,更多将考研看作一种体验和尝试,并不看重结果得失。
也有一些“酱油党”将今年的考试看作一次练兵,寄望于来年。
这些考生往往“裸考”,并不作很多考前复习。
连续3年报考增幅超10万人分数线区划调整加剧竞争除了报考人数的大幅增长之外,今年考研复试分数线区域划分调整也将使部分院校竞争变得更加激烈。
根据教育部公布的2012年全国研究生招生简章,原来的全国复试分数线一、二、三区调整为两个区,原一、二区合并为一区,三区变为二区。
从2012年起国家将按照新的一区、二区确定考生参加复试的基本分数要求。
专家分析,招生区域调整后,会导致准备报考原二区学校的考生顿时失去低分优势,可能改报原一区的院校,一区中位于北京、上海的热门高校将越来越热,竞争更激烈。
从数据上看,今年有269555名考生报考北京的研究生招生单位,比2011年增加5800余人,同样创造了历史纪录,北京地区考研竞争的激烈程度继续加大。
全国近十年硕士研究生招生录取人数随着我国经济和科技的快速发展,对专业人才的需求也日益增加。
作为高等教育的重要组成部分,硕士研究生教育承担着培养高层次专门人才的重要任务。
近年来,我国的硕士研究生招生录取人数出现了怎样的变化,值得我们深入探讨。
一、全国硕士研究生招生录取总人数的变化据教育部发布的数据显示,近十年来,全国硕士研究生招生录取总人数呈现出逐年增长的趋势。
在这十年间,随着我国经济快速增长和科技创新的不断推进,对高层次专门人才的需求持续增加,深受人才荒困扰的各行各业纷纷加大了对硕士研究生的培养力度。
据统计数据显示,2008年全国硕士研究生招生录取人数为50万人左右,而2018年已达到了120万人左右,增长近两倍。
这一变化不仅反映了我国教育发展的成就,也体现了我国高等教育对人才的需求日益迫切。
二、不同专业硕士研究生招生录取人数的变化除了硕士研究生招生录取总人数的变化外,不同专业的录取人数也呈现出差异化的特点。
根据教育部公布的数据显示,近十年来,工科类专业的硕士研究生录取人数呈现出逐年增长的趋势。
尤其是电子信息、机械工程等专业的录取人数增长最为迅速,这与我国制造业的快速发展和对高端技术人才的需求密切相关。
而文科、法学类专业的录取人数增长相对较慢,反映了我国在经济快速增长的过程中对工科类专业人才的需求更为迫切。
三、硕士研究生招生录取的政策变化从政策层面来看,近年来,教育部对硕士研究生招生录取政策进行了多次调整。
逐步取消了硕士研究生入学考试的英语笔试部分,改为综合素质评价。
还逐步放宽了对硕士研究生的学历要求,允许更多具有实际工作经验和实践能力的人员报考。
这些政策的调整,有利于吸引更多具有实际工作能力和创新能力的人才进入硕士研究生学习,有利于提高我国的高端人才培养质量。
四、对未来硕士研究生招生录取的展望随着我国经济和科技的不断发展,对高层次专门人才的需求将会更加迫切。
未来,在改革开放和创新驱动的政策引导下,我国硕士研究生招生录取人数还将会继续保持稳步增长的趋势。
2015-2018全国考研大数据
据教育部数据统计,2018年考研报考人数达到238万,比2017年增加37万人,增长18.4%。
其中,应届考生131万人,比去年增加18万人,往届考生107万人,比去年增加19万人,考研增加人数和增长率均为近年来最高。
注:本报告数据来源于各省级管理部门、高校公开数据。
这次,就让我们通过数据来看一下近几年考研的走势。
一、硕士研究生报名人数持续增长
从图1、图2我们可以看出:近几年考研人数连年增高,屡创新高,考研竞争激烈程度有所增加。
那么,为什么本科毕业生纷纷选择考研呢?中国青年报社社会调查中心针对考研的一项问卷调查显示:提升就业竞争力、通过考研进入名校、通过考研更换专业、完成自己的学术理想、暂时逃避就业压力、寻找备考过程中的独特体验等均成为接受调查者给出的答案。
通过近些年的调查和分析,究其原因,主要有以下几点:
1、本科就业压力大,考研可提升就业竞争力
随着本科生越来越多,本科学历已经不足以满足部分用人单位的需求了,所以用人单位就提高了招聘的门槛,纷纷打上了“研究生以上学历”的标签。
因此,很多考生为了提升自己的就业竞争力,纷纷加入考研的队伍。
2、名校情结
很多考生在高考时由于各种原因进入了一些普通本科高校,但是心中却有着一颗名牌大学的心。
而且在招聘时,很多企业往往会注明优先考虑985、211大学的学生,很多普通本科高校学生甚至连简历关都过不了,这更加剧了这些学生追求名校的心理,想通过考研给自己一个去理想学府继续深造的机会。
所以,不仅仅是应届毕业生考研的人数在增长,就连一些工作了两三年的本科毕业生都有很多选择了继续读研深造,由此可见,学历和名校确实对大家在以后的工作中影响很大。
3、在职研究生纳入统考,往届生考研人数增加
2017年在职研究生首次纳入统考,让更多在职人员也加入了考研大军。
在职考生中,有一部分人是为了升职加薪选择考研深造,也有一部分人因为不满意现在的工作,所以想通过考研换一个更好的平台。
种种原因使得往届生考研人数大增,而且这里也不乏有二战三战的考生。
二、多个省市报名人数持续增长
下面,我们以几个省的数据来举例说明:
1、山东
山东作为生源大省,2018年考研人数达213803人,同比增长14.54%,为历年最多。
2、四川
2018年,四川省研究生招生考试报名人数再度飙升,有效报名人数达到了119523人,较2017年增加了37583人,增幅为45.87%。
3、黑龙江
黑龙江省2018年硕士研究生招生考试共计报名79242人,比2017年增加了12053人,增幅为17.9%,这是该省研究生报考人数连续第三年增长。
4、河北
2018年河北省共报考120580人,比2017年增加17525人,增幅为17.0%。
报名人数和增幅均创历史新高。
三、应届生考研比例涨幅平稳,往届生读研比例增幅明显
对在职人员来讲,考取双证不必脱产学习,充分满足了工作、学习两不误的需求。
2017年在职研究生纳入统考后,在职考生的积极性空前高涨。
下面我们就通过几个省的数据统计来看一下应届生和往届生的增长趋势。
1、湖北
2、河北
四、部分省市专业硕士报名人数超过学术硕士
近年来,由于招生计划增加的影响,除了总体报名人数呈上涨趋势之外,专硕的报考人数增长明显,多地甚至出现专硕报考人数超过学硕的现象。
1、北京
最近几年,随着专硕培养规模壮大及认可度提升,在全国报考北京招生单位的考生中,瞄准专硕的考生比例逐年提升,2015年为43%,2016年为46.3%,2017则首次超过50%,达到52.2%,到了2018年,这个比例则高达54.7%。
2、河北
3、湖北
五、女生读研占比超半数
硕士研究生招生规模不断增长的同时,女生考取研究生的比例不断提高,女生成考研群体主流。
下面,以河北省为例:
六、全日制和非全日制统一招生
2016年9月,教育部办公厅印发了《关于统筹全日制和非全日制研究生管理工作的通知》(教研厅[2016]2号)。
这意味着人们耳熟能详的在职研究生纳入非全日制研究生,与全日制研究生实行并轨统考。
非全日制研究生在新政策发布之后,明显提高了考试难度,尤其对于在职考生而言,意味着要付出更多的努力。
相应的,非全日制研究生的含金量也必然提高,非全日制研究生顺利毕业后,将拥有“双证”(学历证书和研究生学位证书),和全日制研究生相同。
因此,非全日制研究生成为了众多在职考生的首选。
全日制和非全日制统一招生两年以来,报考非全日制的考生占比逐年增多。
以北京、河北为例:
七、MB A、会计、法律硕士等依然是报考的热门专业
以北京为例:
2018年,工商管理专业报考人数居首,为19749人,随后为会计专业的13124人和法律硕士(非法学)专业的12957人,报考人数居第四至十位的专业依次为金融、公共管理、计算机技术、法律硕士(法学)、广播电视、软件工程、计算机科学与技术。
2016年,报考“工商管理”的人数为13395名,居各专业报考人数之首,报考会计的人数为9369名,报考“法律硕士(非法学)”的人数为7608名(不含推免生),分别居第二位和第三位。
报考人数居第4至10位的专业依次为金融、公共管理、计算机科学与技术、金融学、材料科学与工程、汉语国际教育、计算机技术。
由此可见,工商管理、会计、法律硕士(非法学)连续数年成为报考专业的前三甲,依然是最热门的专业。
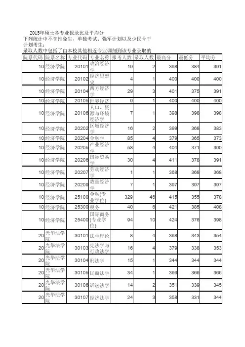
八、热门高校各专业报录比
报录比指的是报考人数和录取人数之比,报录比越大说明该专业考研难度越大。
近几年研究生招生规模扩大,使硕士研究生报考的竞争度变小,录取率提高。
但是,一些热门专业,如经济类、管理类等专业的报录比相对较高,考研难度依然很大。
下面,我们就通过4所热门高校报录比排名前10的专业来看一下那些相对难考的专业有哪些:
1、中国人民大学
2017年全国统考硕士研究生报名录取统计(学术型学位)。