2019 年浙江大学人文学院统考硕士研究生拟录取名单公示
- 格式:pdf
- 大小:188.48 KB
- 文档页数:4
2019年浙江科技学院汉语国际教育学位点研究生拟录取考生名单公示作者:人文与国际教育学院来源:日期:2019-4-2 11:14:43 人气:828加入收藏标签:经考生初试、复试、体检、心理测试等各个环节,学院招生工作领导小组确认,学校研究生院审核,现对2019年汉语国际教育专业研究生拟录取考生名单进行公示(详见下表)。
2019年浙江科技学院汉语国际教育硕士专业学位研究生拟录取名单(一志愿)序号姓名考生编号外国语政治理论业务课1业务课2初试成绩笔试成绩专业面试成绩外语面试成绩复试成绩总成绩1袁子霄110579331100108 63 74 133 127 397.00 79 90.67 87.67 86.57 82.98 2周品旭110579330100038 70 67 108 135 380.00 80 92.00 96.33 89.27 82.63 3章玉玲110579330600099 64 76 134 129 403.00 75 88.33 83.00 83.27 81.93 4 罗灵110579371400121 58 69 106 128 361.00 83 88.67 87.00 86.63 79.42灵郑诗110579330300090 56 69 110 138 373.00 85 81.33 79.33 82.03 78.32 5韵柴焕110579121300001 46 67 102 124 339.00 85 91.67 85.00 88.33 78.07 6芳7 姜来 110579330100028 52 63 121 125 361.00 71 88.33 91.00 83.67 77.93月明8110579330600097 54 69 124 119 366.00 64 86.33 84.33 79.23 76.22 宇张怡110579330100026 65 68 101 97 331.00 75 88.00 94.33 85.37 75.78 9婷熊松110579350800114 64 64 131 116 375.00 66 78.67 85.00 76.13 75.57 10庭高文11110579130200003 68(德)58 94 115 335.00 73 87.67 86.67 83.07 75.03 楠包思110579130400005 61(德)68 92 112 333.00 76 87.67 80.00 82.63 74.62 12远曹丽13110579330100036 50 69 109 106 334.00 64 87.00 83.00 79.30 73.05 洁张沙14110579321600018 49(日)70 99 118 336.00 61 84.00 83.33 76.97 72.08 沙。
第 1 页,共 49 页第 2 页,共 49 页第 3 页,共 49 页第 4 页,共 49 页第 5 页,共 49 页第 6 页,共 49 页第 7 页,共 49 页第 8 页,共 49 页第 9 页,共 49 页第 10 页,共 49 页第 11 页,共 49 页第 12 页,共 49 页第 13 页,共 49 页第 14 页,共 49 页第 15 页,共 49 页第 16 页,共 49 页第 17 页,共 49 页第 18 页,共 49 页第 19 页,共 49 页第 20 页,共 49 页第 21 页,共 49 页第 22 页,共 49 页第 23 页,共 49 页第 24 页,共 49 页第 25 页,共 49 页第 26 页,共 49 页第 27 页,共 49 页第 28 页,共 49 页第 29 页,共 49 页第 30 页,共 49 页第 31 页,共 49 页第 32 页,共 49 页第 33 页,共 49 页第 34 页,共 49 页第 35 页,共 49 页第 36 页,共 49 页第 37 页,共 49 页第 38 页,共 49 页第 39 页,共 49 页第 40 页,共 49 页第 41 页,共 49 页第 42 页,共 49 页第 43 页,共 49 页第 44 页,共 49 页第 45 页,共 49 页第 46 页,共 49 页第 47 页,共 49 页第 48 页,共 49 页第 49 页,共 49 页。
罗干松经济学院020101政治经济学陈秀茂经济学院020101政治经济学任泊阳经济学院020104西方经济学思政陶彦君经济学院020104西方经济学来孟菲经济学院020104西方经济学孔令勇经济学院020104西方经济学丁旭经济学院020104西方经济学蔡丹炎经济学院020105世界经济张慧莹经济学院020202区域经济学徐凯经济学院020202区域经济学支教许铭雪经济学院020203财政学吴宵经济学院020203财政学郎泽方经济学院020204金融学张梦洁经济学院020204金融学陈俊超经济学院020204金融学江承承经济学院020204金融学李夏洋经济学院020205产业经济学高旭冉经济学院020205产业经济学王今非经济学院020206国际贸易学高雯茜经济学院020206国际贸易学褚轶凡经济学院020206国际贸易学赵亚奇经济学院020206国际贸易学杨淑媛经济学院020209数量经济学彭格经济学院0202Z1互联网金融学田博经济学院025100金融王金玲经济学院025100金融吕晨曦经济学院025100金融邓晔菁经济学院025100金融杨鹤冉经济学院025100金融罗健经济学院025100金融张彧经济学院025100金融王书戎经济学院025100金融何志含经济学院025100金融金卓梁经济学院025100金融龚思瑜经济学院025100金融孙伯略经济学院025100金融方一帆经济学院025100金融支教邹嫱嫔经济学院025100金融钟艺经济学院025100金融支教李文澜经济学院025100金融刘琪经济学院025100金融田伊雪经济学院025100金融王瑶瑶经济学院025100金融柳晓珊经济学院025100金融王嘉诚经济学院025100金融何张韬经济学院025100金融陈菲儿经济学院025100金融谭惠文经济学院025100金融周雨赛经济学院025100金融项荣淏经济学院025100金融支教范宗平经济学院025100金融龚仪经济学院025100金融周钰佳经济学院025100金融黄文禹经济学院025100金融郭艳经济学院025100金融杨丽蓉经济学院025100金融支教夏珊巧经济学院025100金融田万里经济学院025100金融支教张天翊经济学院025100金融陈中慧经济学院025100金融卡依沙·阿不力克木经济学院025100金融王婷经济学院025100金融荆斐然经济学院025100金融王志伟经济学院025100金融蔡昊栋经济学院025100金融何香怡经济学院025100金融温文经济学院025100金融王俊经济学院025300税务汪明洁经济学院025300税务谢雨芹经济学院025300税务杨蓉洁经济学院025300税务涂皓翔经济学院025300税务杨赏经济学院025400国际商务孟瑜瑾经济学院025400国际商务刘冰倩经济学院025400国际商务赵一涵经济学院025400国际商务郑钟缘经济学院025400国际商务李佳经济学院025400国际商务吴赛男经济学院025400国际商务张雨辰经济学院025400国际商务刘健琦经济学院025400国际商务屈亚星经济学院025400国际商务王鹏程经济学院025400国际商务孙睿经济学院025400国际商务洪滢滢光华法学院030101法学理论陈瑜光华法学院030101法学理论应弘毅光华法学院030103宪法学与行政法学何羽浓光华法学院030103宪法学与行政法学罗琳光华法学院030104刑法学赵音泽光华法学院030105民商法学陆佳炜光华法学院030105民商法学王可鑫光华法学院030105民商法学思政金迪非光华法学院030105民商法学韩笑光华法学院030106诉讼法学施懿光华法学院030106诉讼法学赵镔光华法学院030106诉讼法学李毅光华法学院030107经济法学章琳敏光华法学院030107经济法学康琼梅光华法学院030107经济法学陈苗苗光华法学院030107经济法学杨佳凝光华法学院030109国际法学顾天杰光华法学院030109国际法学孙瑜光华法学院030109国际法学吴林芝光华法学院035101法律(非法学)周嘉莹光华法学院035101法律(非法学)田晓丽光华法学院035101法律(非法学)蒋馨月光华法学院035101法律(非法学)潘枝峰光华法学院035101法律(非法学)赵子墨光华法学院035101法律(非法学)蔡诗萌光华法学院035101法律(非法学)程怡展光华法学院035101法律(非法学)姜佳怡光华法学院035101法律(非法学)陈旭光华法学院035101法律(非法学)程择怡光华法学院035101法律(非法学)葛文祥光华法学院035101法律(非法学)鲍悦倩光华法学院035101法律(非法学)徐圆缘光华法学院035101法律(非法学)孟令晨旸光华法学院035101法律(非法学)谢红阳光华法学院035101法律(非法学)王鹏光华法学院035101法律(非法学)刘鲁苏光华法学院035101法律(非法学)祁嘉霜光华法学院035101法律(非法学)思政应越光华法学院035101法律(非法学)王啸森光华法学院035101法律(非法学)王金涛光华法学院035101法律(非法学)曾婧雅光华法学院035101法律(非法学)支教马子滟光华法学院035101法律(非法学)郑岩玲光华法学院035101法律(非法学)许佳真光华法学院035101法律(非法学)梁合恒光华法学院035101法律(非法学)项白雪光华法学院035101法律(非法学)毛天棋光华法学院035101法律(非法学)宋伯原光华法学院035101法律(非法学)钱辰光华法学院035101法律(非法学)门吉越光华法学院035101法律(非法学)祝芷卉光华法学院035101法律(非法学)章银佳光华法学院035101法律(非法学)夏东琦光华法学院035101法律(非法学)张江南光华法学院035101法律(非法学)陈高鸣光华法学院035101法律(非法学)张展志光华法学院035101法律(非法学)卓博文光华法学院035101法律(非法学)陈素晶光华法学院035101法律(非法学)朱佳蔚光华法学院035101法律(非法学)饶振宇光华法学院035101法律(非法学)邵祖燕光华法学院035102法律(法学)周佳涛光华法学院035102法律(法学)傅金莎光华法学院035102法律(法学)李沛雨光华法学院035102法律(法学)崔佳辰光华法学院035102法律(法学)任茹麟光华法学院035102法律(法学)谢欣蕾光华法学院035102法律(法学)杜金光华法学院035102法律(法学)吕秋艳教育学院040101教育学原理刘密佳教育学院040102课程与教学论杨依林教育学院040102课程与教学论张无弦教育学院040102课程与教学论蔡潇教育学院040102课程与教学论孙良红教育学院040102课程与教学论梁程宏教育学院040103教育史陆思佳教育学院040103教育史吴沁璇教育学院040104比较教育学朱思晓教育学院040104比较教育学熊浩天教育学院040104比较教育学杨浦云教育学院040104比较教育学傅锐杰教育学院040106高等教育学黄幸教育学院040106高等教育学姚超教育学院040106高等教育学郑佩翔教育学院040106高等教育学杨帆骏教育学院040110教育技术学郑夏童教育学院040301体育人文社会学邓茹月教育学院040301体育人文社会学陈梦蕾教育学院040302运动人体科学吴春春教育学院040302运动人体科学何子薇教育学院040302运动人体科学陈虹宇教育学院045117科学与技术教育史东麟教育学院045117科学与技术教育易苏情教育学院045117科学与技术教育马晓宇教育学院045202运动训练吴泽教育学院045202运动训练白梦圆教育学院045202运动训练王芳教育学院045202运动训练范楚瑶教育学院045202运动训练谢翰希教育学院045202运动训练周洁人文学院010102中国哲学石澜宁人文学院010102中国哲学曹若溪人文学院010103外国哲学董玉人文学院010103外国哲学罗玉林人文学院010104逻辑学孙玥人文学院010104逻辑学王祁涛人文学院010105伦理学吕晨可人文学院010108科学技术哲学赵婷婷人文学院010108科学技术哲学周钟乐人文学院050101文艺学胡程韫人文学院050101文艺学吴琳琳人文学院050101文艺学李嘉鑫人文学院050102语言学及应用语言学周荧人文学院050103汉语言文字学殷可人文学院050103汉语言文字学孙少卓人文学院050103汉语言文字学陆海燕人文学院050104中国古典文献学丁晨人文学院050104中国古典文献学吴扬广人文学院050104中国古典文献学马越人文学院050104中国古典文献学吴慧欣人文学院050104中国古典文献学黄舒婷人文学院050105中国古代文学邵瑞敏人文学院050105中国古代文学陈怡雯人文学院050105中国古代文学城市学院联培王婷人文学院050105中国古代文学冒颖轩人文学院050105中国古代文学徐小劲龙人文学院050105中国古代文学思政梁钺皓人文学院050106中国现当代文学严智芳人文学院050106中国现当代文学郭圣钰人文学院050106中国现当代文学宋浩钰人文学院050106中国现当代文学倪琪琪人文学院050108比较文学与世界文学应新鸿人文学院050108比较文学与世界文学林楚枰人文学院060100考古学徐韵菲人文学院060200中国史周诗佳人文学院060200中国史刘缘人文学院060200中国史杨宗义人文学院060200中国史徐少强人文学院060200中国史秦玥人文学院060200中国史朱舟人文学院060200中国史段锦云人文学院060200中国史谷大建人文学院060300世界史李一方人文学院060300世界史宋文菲人文学院060300世界史周志颖人文学院060300世界史朱泽昀人文学院065100文物与博物馆尚静人文学院065100文物与博物馆许祯津人文学院065100文物与博物馆施鑫莹人文学院065100文物与博物馆王竹君人文学院065100文物与博物馆朱伊凡人文学院065100文物与博物馆王怡静人文学院065100文物与博物馆侯雅涵人文学院065100文物与博物馆朱子墨人文学院065100文物与博物馆陈舒怡人文学院130100艺术学理论凌君华人文学院130500设计学黎丽莲萍人文学院130500设计学姜心心人文学院135107美术刘韬人文学院135107美术林中花外国语言文化与国际交流学院050201英语语言文学祝赫外国语言文化与国际交流学院050201英语语言文学邹菲菲外国语言文化与国际交流学院050201英语语言文学余杨外国语言文化与国际交流学院050201英语语言文学枣彬吉外国语言文化与国际交流学院050201英语语言文学宋楠外国语言文化与国际交流学院050201英语语言文学李雨婷外国语言文化与国际交流学院050201英语语言文学林雪松外国语言文化与国际交流学院050201英语语言文学满孜颖外国语言文化与国际交流学院050201英语语言文学李心仪外国语言文化与国际交流学院050202俄语语言文学周莉英外国语言文化与国际交流学院050202俄语语言文学华浩外国语言文化与国际交流学院050202俄语语言文学钟晨露外国语言文化与国际交流学院050203法语语言文学汪家祺外国语言文化与国际交流学院050203法语语言文学施思外国语言文化与国际交流学院050204德语语言文学冯红红外国语言文化与国际交流学院050204德语语言文学陈茜外国语言文化与国际交流学院050205日语语言文学张芊芊外国语言文化与国际交流学院050205日语语言文学朱淳熙外国语言文化与国际交流学院050211外国语言学及应用语言学杨丛聪外国语言文化与国际交流学院050211外国语言学及应用语言学刘子琦外国语言文化与国际交流学院050211外国语言学及应用语言学陆意希外国语言文化与国际交流学院050211外国语言学及应用语言学辜佩琪外国语言文化与国际交流学院050211外国语言学及应用语言学戴颖外国语言文化与国际交流学院050211外国语言学及应用语言学刘欣外国语言文化与国际交流学院050211外国语言学及应用语言学房照旭外国语言文化与国际交流学院050211外国语言学及应用语言学沈安天外国语言文化与国际交流学院050211外国语言学及应用语言学高健民外国语言文化与国际交流学院050211外国语言学及应用语言学韩绮琪外国语言文化与国际交流学院050211外国语言学及应用语言学宋春雅外国语言文化与国际交流学院050211外国语言学及应用语言学卞夕瑶外国语言文化与国际交流学院0502Z1国际组织与国际交流袁誉畅外国语言文化与国际交流学院0502Z1国际组织与国际交流邵钰岚外国语言文化与国际交流学院0502Z1国际组织与国际交流谢欣言外国语言文化与国际交流学院0502Z1国际组织与国际交流黄艳外国语言文化与国际交流学院0502Z1国际组织与国际交流陈聪聪外国语言文化与国际交流学院0502Z1国际组织与国际交流陈柯铮外国语言文化与国际交流学院0502Z1国际组织与国际交流赵艺林外国语言文化与国际交流学院0502Z1国际组织与国际交流杜佳宁外国语言文化与国际交流学院0502Z1国际组织与国际交流胡锡涛外国语言文化与国际交流学院0502Z1国际组织与国际交流梁雪外国语言文化与国际交流学院0502Z1国际组织与国际交流吴帝标外国语言文化与国际交流学院0502Z1国际组织与国际交流谢菲外国语言文化与国际交流学院0502Z1国际组织与国际交流徐鹏博外国语言文化与国际交流学院0502Z1国际组织与国际交流邱寒外国语言文化与国际交流学院0502Z1国际组织与国际交流姜越外国语言文化与国际交流学院0502Z1国际组织与国际交流胡温婕外国语言文化与国际交流学院0502Z1国际组织与国际交流胡方夕子外国语言文化与国际交流学院0502Z1国际组织与国际交流安雨晨外国语言文化与国际交流学院0502Z1国际组织与国际交流章佩琳外国语言文化与国际交流学院0502Z1国际组织与国际交流吴梦涵外国语言文化与国际交流学院055101英语笔译赵梦瑶外国语言文化与国际交流学院055101英语笔译俞晔娇外国语言文化与国际交流学院055101英语笔译倪雪琪外国语言文化与国际交流学院055101英语笔译邹旻外国语言文化与国际交流学院055101英语笔译蒋满仙外国语言文化与国际交流学院055101英语笔译耿媛君外国语言文化与国际交流学院055101英语笔译蔡思慧外国语言文化与国际交流学院055101英语笔译刘蜜蜜外国语言文化与国际交流学院055101英语笔译王雅男生命科学学院071001植物学高娟生命科学学院071001植物学吕雪祺生命科学学院071001植物学李梦真生命科学学院071001植物学许梦萱生命科学学院071001植物学文雨昕生命科学学院071001植物学李艾凝生命科学学院071001植物学贾利霞生命科学学院071001植物学马哲宇生命科学学院071001植物学姚紫薇生命科学学院071001植物学方静生命科学学院071001植物学杨临泽生命科学学院071001植物学郭仟仟生命科学学院071001植物学张明祥生命科学学院071005微生物学王昶生命科学学院071005微生物学徐天扬生命科学学院071005微生物学徐思远生命科学学院071005微生物学余青紫生命科学学院071005微生物学李梦瑶生命科学学院071007遗传学倪嘉豪生命科学学院071009细胞生物学张楠生命科学学院071009细胞生物学王清生命科学学院071009细胞生物学辛帆生命科学学院071009细胞生物学李婷生命科学学院071009细胞生物学袁雪颖生命科学学院071009细胞生物学生研院王婷生命科学学院071009细胞生物学生研院李勤生命科学学院071009细胞生物学生研院丁思文生命科学学院071009细胞生物学生研院贾竣棋生命科学学院071009细胞生物学生研院宗旨生命科学学院071009细胞生物学生研院刘继阳生命科学学院071010生物化学与分子生物学生研院李磊生命科学学院071010生物化学与分子生物学金卓生命科学学院071010生物化学与分子生物学郑秦博生命科学学院071010生物化学与分子生物学生研院朱诗蕾生命科学学院071010生物化学与分子生物学生研院黄佩佩生命科学学院071010生物化学与分子生物学生研院吴韵雯生命科学学院071010生物化学与分子生物学生研院高熊枫生命科学学院071010生物化学与分子生物学生研院李思达生命科学学院0710Z1生物信息学吴碧洁生命科学学院071300生态学王媚臻生命科学学院071300生态学杨席席生命科学学院071300生态学王李春晓生命科学学院071300生态学许心玉生命科学学院071300生态学张心怡生命科学学院071300生态学辛敏生命科学学院071300生态学周静怡生命科学学院071300生态学陈佳生命科学学院071300生态学李文昊生命科学学院071300生态学姚艺翔电气工程学院080800电气工程朱晶菁电气工程学院080800电气工程刘晶莹电气工程学院080800电气工程郭亦宗电气工程学院080800电气工程陈倩电气工程学院080800电气工程张钰峰电气工程学院080800电气工程王裕翠电气工程学院080800电气工程吴晓波电气工程学院080800电气工程黄伦俊电气工程学院080800电气工程张梦甜电气工程学院080800电气工程李成潮电气工程学院080800电气工程任绪甫电气工程学院080800电气工程秦艺晗电气工程学院080800电气工程高天乐电气工程学院080800电气工程赵梦圆电气工程学院080800电气工程孙灿电气工程学院080800电气工程黄依婷电气工程学院080800电气工程何伟严电气工程学院080800电气工程童豪电气工程学院080800电气工程唐兆鹏电气工程学院080800电气工程郭潇电气工程学院080800电气工程李良浩电气工程学院080800电气工程章意电气工程学院080800电气工程王秦松电气工程学院080800电气工程马睿电气工程学院080800电气工程骆中宝电气工程学院080800电气工程宋志豪电气工程学院080800电气工程喻凌强电气工程学院080800电气工程唐滢淇电气工程学院080800电气工程蒋晨威电气工程学院080800电气工程叶昊亮电气工程学院080800电气工程赵裕昊电气工程学院080800电气工程杜诗嘉电气工程学院080800电气工程赵显赫电气工程学院080800电气工程惠恒宇电气工程学院080800电气工程沈开程电气工程学院080800电气工程杨昊林电气工程学院080800电气工程曾皙电气工程学院080800电气工程陈礼电气工程学院080800电气工程胡金迪电气工程学院080800电气工程杨军电气工程学院080800电气工程伍锐恒电气工程学院080800电气工程陈浩电气工程学院080800电气工程李恒晖电气工程学院080800电气工程段舒尹电气工程学院080800电气工程施鲁强电气工程学院080800电气工程董萌苇电气工程学院080800电气工程思政陈悦电气工程学院080800电气工程万克厅电气工程学院081101控制理论与控制工程葛志远电气工程学院081101控制理论与控制工程郑易电气工程学院081101控制理论与控制工程钟骅电气工程学院081101控制理论与控制工程程嘉昊电气工程学院081101控制理论与控制工程白若飞电气工程学院081101控制理论与控制工程李鑫锋电气工程学院081101控制理论与控制工程滕国龙电气工程学院081101控制理论与控制工程戴莉电气工程学院085207电气工程刘欣怡电气工程学院085207电气工程赵乐冰电气工程学院085207电气工程陈张林电气工程学院085207电气工程李雨桐电气工程学院085207电气工程钱佳伟电气工程学院085207电气工程李文雅电气工程学院085207电气工程吴思玥电气工程学院085207电气工程谭嘉电气工程学院085207电气工程马红如电气工程学院085207电气工程徐智远电气工程学院085207电气工程王铭泽电气工程学院085207电气工程李博群电气工程学院085207电气工程丁强电气工程学院085207电气工程叶怡伟电气工程学院085207电气工程董璧韬电气工程学院085207电气工程冒俊杰电气工程学院085207电气工程陈宏凯电气工程学院085207电气工程张谦电气工程学院085207电气工程谢海葳电气工程学院085207电气工程冯雨心电气工程学院085207电气工程马富艺龙电气工程学院085207电气工程李雅婷电气工程学院085207电气工程王沛电气工程学院085207电气工程支教李万电气工程学院085207电气工程胡兴懿电气工程学院085207电气工程邢纹硕电气工程学院085207电气工程罗志昆电气工程学院085207电气工程胡晓晨电气工程学院085207电气工程孙菲电气工程学院085207电气工程卢晨电气工程学院085207电气工程刘逸如电气工程学院085207电气工程王根檑电气工程学院085207电气工程伍力权电气工程学院085207电气工程周迪雅电气工程学院085207电气工程董丽澜电气工程学院085207电气工程杨阳电气工程学院085207电气工程陈俊电气工程学院085207电气工程曹幸东电气工程学院085207电气工程孔旻玥电气工程学院085207电气工程张晓笛建筑工程学院081401岩土工程王张弛建筑工程学院081401岩土工程王思崎建筑工程学院081401岩土工程程章建筑工程学院081401岩土工程刘燕晶建筑工程学院081401岩土工程韩英越建筑工程学院081401岩土工程戴晨祥建筑工程学院081401岩土工程陈绍祥建筑工程学院081401岩土工程王子昂建筑工程学院081401岩土工程蔡文清建筑工程学院081401岩土工程张斯妤建筑工程学院081401岩土工程闫珞洢建筑工程学院081401岩土工程尹昭宇建筑工程学院081401岩土工程黄中原建筑工程学院081401岩土工程谯钰建筑工程学院081402结构工程陈同琪建筑工程学院081402结构工程左千建筑工程学院081402结构工程吴经纬建筑工程学院081402结构工程柯延宇建筑工程学院081402结构工程王强建筑工程学院081402结构工程余杭聪建筑工程学院081402结构工程俞超群建筑工程学院081402结构工程张旭伟建筑工程学院081402结构工程姜璟荦建筑工程学院081402结构工程刘鑫建筑工程学院081402结构工程林天乐建筑工程学院081402结构工程申莹珲建筑工程学院081402结构工程孙浩淞建筑工程学院081402结构工程谢俊建筑工程学院081403市政工程支教李辰星建筑工程学院081403市政工程唐开杰建筑工程学院081403市政工程崔贺宁建筑工程学院081403市政工程吴佳佳建筑工程学院081403市政工程汤莎莎建筑工程学院081403市政工程林若洲建筑工程学院081403市政工程杨泽良建筑工程学院081405防灾减灾工程及防护工程王俊彦建筑工程学院081405防灾减灾工程及防护工程林佳辉建筑工程学院081406桥梁与隧道工程叶志凯建筑工程学院081406桥梁与隧道工程何澜建筑工程学院081406桥梁与隧道工程吴锐建筑工程学院081406桥梁与隧道工程王立鹏建筑工程学院0814Z1道路与交通工程雷川建筑工程学院0814Z1道路与交通工程马以越建筑工程学院0814Z1道路与交通工程陈鹏旭建筑工程学院0814Z1道路与交通工程姚文彬建筑工程学院0814Z1道路与交通工程郑紫荆建筑工程学院0814Z3水资源与水环境工程葛路建筑工程学院0814Z3水资源与水环境工程王金建筑工程学院0814Z3水资源与水环境工程吴垚建筑工程学院0814Z3水资源与水环境工程陈家祺建筑工程学院0814Z4水工结构与港口工程吕佳云建筑工程学院0814Z4水工结构与港口工程李冰清建筑工程学院0814Z4水工结构与港口工程黄芯怡建筑工程学院0814Z4水工结构与港口工程张赵嫣斓建筑工程学院085100建筑学支教庄家瑶建筑工程学院085100建筑学沈令逸建筑工程学院085100建筑学邵婧建筑工程学院085100建筑学刘晓俐建筑工程学院085100建筑学董昱建筑工程学院085100建筑学林俊挺建筑工程学院085100建筑学鲍蕾建筑工程学院085100建筑学吴婧一建筑工程学院085100建筑学刘伟琦建筑工程学院085100建筑学钟佳滨建筑工程学院085100建筑学卢佳盼建筑工程学院085100建筑学胡亦川建筑工程学院085100建筑学张恒志建筑工程学院085213建筑与土木工程叶子豪建筑工程学院085213建筑与土木工程科研院刘鹏飞建筑工程学院085213建筑与土木工程胡张鹏建筑工程学院085213建筑与土木工程高锦森建筑工程学院085213建筑与土木工程姜舒怀建筑工程学院085213建筑与土木工程肖杨依建筑工程学院085213建筑与土木工程彭慧建筑工程学院085213建筑与土木工程代健波建筑工程学院085213建筑与土木工程谢震建筑工程学院085213建筑与土木工程陈鹏建筑工程学院085213建筑与土木工程杨松伟建筑工程学院085213建筑与土木工程高超奇建筑工程学院085213建筑与土木工程陈致远建筑工程学院085213建筑与土木工程王炯超建筑工程学院085213建筑与土木工程郑思思建筑工程学院085213建筑与土木工程雷盼建筑工程学院085213建筑与土木工程赵天浩建筑工程学院085213建筑与土木工程张晓建筑工程学院085213建筑与土木工程万佳怡建筑工程学院085213建筑与土木工程詹正书建筑工程学院085213建筑与土木工程陈仕海建筑工程学院085213建筑与土木工程胡沈江建筑工程学院085213建筑与土木工程陈正建筑工程学院085213建筑与土木工程苗本麒建筑工程学院085213建筑与土木工程闫旭政建筑工程学院085213建筑与土木工程孙孟建筑工程学院085213建筑与土木工程陆陈杰建筑工程学院085213建筑与土木工程卢一笑建筑工程学院085222交通运输工程张素敏建筑工程学院085222交通运输工程胡佑薇建筑工程学院085222交通运输工程孔亮建筑工程学院085222交通运输工程章秀芳建筑工程学院085222交通运输工程季昊雯建筑工程学院085300城市规划朱灵巧建筑工程学院085300城市规划李入凡建筑工程学院085300城市规划刘雨婷建筑工程学院085300城市规划章金晶建筑工程学院085300城市规划童诚宇建筑工程学院085300城市规划张柯炜建筑工程学院085300城市规划蔡鑫羽建筑工程学院085300城市规划梁静宜建筑工程学院085300城市规划。
学院代码学院名称专业代码专业名称报考人数录取人数最高分40人文学院10101马克思主义哲学121387 40人文学院10102中国哲学353390 40人文学院10103外国哲学526376 40人文学院10104逻辑学142380 40人文学院10105伦理学81390 230传媒与国际文化学院10106美学405393 40人文学院10107宗教学101366 40人文学院10108科学技术哲学223358 40人文学院10120★休闲学332382 10经济学院20101政治经济学884385 10经济学院20102经济思想史81391 10经济学院20104西方经济学745424 10经济学院20106人口、资源与环境经济学161389 10经济学院20201国民经济学130010经济学院20202区域经济学341397浙江大学2012年硕士报考录取人数统计表(按专业代码下列统计中不含免试、单独考试、强军计划以及少民骨干计划考生;录取人数中包括了由本校其他业调剂到该专业录取的考生。
2013年招生专业和招生人数会有较大变动,请以2013年硕士招生目录为准10经济学院20203财政学362393 10经济学院20204金融学39912428 10经济学院20205产业经济学2395393 10经济学院20206国际贸易学2098426 220公共管理学院20207劳动经济学283398 10经济学院20209数量经济学11140810经济学院25100金融(专业学位)3052241010经济学院25400国际商务(专业学位)761740120光华法学院30101法学理论291391 20光华法学院30102法律史5136720光华法学院30103宪法学与行政法学60338120光华法学院30104刑法学471369 20光华法学院30105民商法学1322370 20光华法学院30106诉讼法学312371 20光华法学院30107经济法学95237820光华法学院30108环境与资源保护法学11135720光华法学院30109国际法学442359 220公共管理学院30201政治学理论305383 220公共管理学院30202中外政治制度294408220公共管理学院30204中共党史51383 330思政部30206国际政治273371 220公共管理学院30207国际关系291398 220公共管理学院30301社会学503395 220公共管理学院30302人口学24383330思政部30501马克思主义基本原理103384330思政部30503马克思主义中国化研究244370330思政部30505思想政治教育1025376330思政部30506中国近现代史基本问题研究4138020光华法学院35101法律(非法学)(专业学位)8146240520光华法学院35102法律(法学)(专业学位)67236630教育学院40101教育学原理653357 30教育学院40102课程与教学论1817354 30教育学院40103教育史534350 30教育学院40104比较教育学834360 30教育学院40106高等教育学1198368 30教育学院40107成人教育学202350 30教育学院40110教育技术学31234860理学院40202发展与教育心理学62135060理学院40203应用心理学7491540830教育学院40301体育人文社会学21233630教育学院40302运动人体科学25232430教育学院40303体育教育训练学130030教育学院45201体育教学400230传媒与国际文化学院45300汉语国际教育(专业学位)0440560理学院45400应用心理(专业学位)32335140人文学院50101文艺学414407 40人文学院50103汉语言文字学217641340人文学院50104中国古典文献学91841340人文学院50105中国古代文学247839540人文学院50106中国现当代文学283940140人文学院50108比较文学与世界文学86440450外语学院50201英语语言文学2906414 50外语学院50202俄语语言文学185422 50外语学院50203法语语言文学191400 50外语学院50204德语语言文学212410 50外语学院50205日语语言文学32440650外语学院50211外国语言学及应用语言学217739650外语学院55101英语笔译(专业学位)703376230传媒与国际文化学院55200新闻与传播(专业学位)1692539340人文学院60100考古学244341 40人文学院60200中国史10311370 60理学院60200中国史71341 40人文学院60300世界史46637340人文学院65100文物与博物馆(专业学位)13135660理学院70101基础数学17216356 60理学院70102计算数学9810360 60理学院70104应用数学1801234260理学院70105运筹学与控制论68538960理学院70201理论物理7510393 60理学院70204等离子体物理63420 60理学院70205凝聚态物理12917411 60理学院70207光学7412402 60理学院70208无线电物理92396 60理学院70300化学51055400290高分子系70305高分子化学与物理1751440360理学院70502人文地理学79737860理学院70503地图学与地理信息系统42941160理学院70601气象学81337 340海洋系70700海洋科学613399 70生命科学学院70703海洋生物学10060理学院70704海洋地质7133760理学院70901矿物学、岩石学、矿床学7238060理学院70902地球化学94379 60理学院70904构造地质学146411 70生命科学学院71001植物学13122393 180医学院71003生理学95371 70生命科学学院71005微生物学17512400 170动物科学学院71005微生物学51379 180医学院71005微生物学181351 180医学院71006神经生物学3112378 70生命科学学院71007遗传学4211390 180医学院71007遗传学113383 70生命科学学院71008发育生物学62394 70生命科学学院71009细胞生物学17310403 180医学院71009细胞生物学901439270生命科学学院71010生物化学与分子生物学21316399160农业与生物技术学院71010生物化学与分子生物学124383180医学院71010生物化学与分子生物学801239470生命科学学院71011生物物理学200160农业与生物技术学院71011生物物理学2112398180医学院71011生物物理学61363 70生命科学学院71020★生物信息学365393100电气工程学院71102系统分析与集成12539140人文学院71200科学技术史83376 60理学院71200科学技术史21384 70生命科学学院71300生态学2310394 10经济学院71400统计学30060理学院71400统计学296341 240航空航天学院80102固体力学377400 240航空航天学院80103流体力学383415 240航空航天学院80104工程力学484364250机械工程学系80201机械制造及其自动化45218429250机械工程学系80202机械电子工程43222422130生工食品学院80203机械设计及理论100250机械工程学系80203机械设计及理论31317432250机械工程学系80204车辆工程523417 270能源工程学系80204车辆工程311384 250机械工程学系80220★工业工程1009442300光电信息工程学系80300光学工程49329410300光电信息工程学系80402测试计量技术及仪器4513393150生物医学与仪器学院80420★电子信息技术及仪器21519430260材料科学与工程系80500材料科学与工程80648434290高分子系80520★高分子材料29017395 270能源工程学系80701工程热物理22719437 270能源工程学系80702热能工程19316419270能源工程学系80703动力机械及工程447392270能源工程学系80704流体机械及工程200270能源工程学系80705制冷及低温工程813397280化工系80706化工过程机械19010427270能源工程学系80720★能源环境工程3012415100电气工程学院80801电机与电器15413429100电气工程学院80802电力系统及其自动化34314449100电气工程学院80804电力电子与电力传动25912434100电气工程学院80805电工理论与新技术637419100电气工程学院80820★电力工程管理与信息化200310信息与电子工程学系80900电子科学与技术19629426100电气工程学院80902电路与系统15913424310信息与电子工程学系81000信息与通信工程61514420320控制科学与工程学系81100控制科学与工程69837412100电气工程学院81101控制理论与控制工程1377420240航空航天学院81105导航、制导与控制43397210计算机学院81201计算机系统结构1096375210计算机学院81203计算机应用技术196097410240航空航天学院81221★空天信息技术85392120建筑工程学院81401岩土工程21518421 120建筑工程学院81402结构工程51119431 120建筑工程学院81403市政工程762400120建筑工程学院81404供热、供燃气、通风及空调工程22382120建筑工程学院81405防灾减灾工程及防护工程662406120建筑工程学院81406桥梁与隧道工程1245404120建筑工程学院81501水文学及水资源73395120建筑工程学院81502水力学及河流动力学61388120建筑工程学院81503水工结构工程183433340海洋系81505港口、海岸及近海工程166393280化工系81701化学工程54224412 280化工系81702化学工艺1004398 280化工系81703生物化工14511411 60理学院81704应用化学600 280化工系81704应用化学764389 280化工系81705工业催化17139060理学院81800地质资源与地质工程122369130生工食品学院82203发酵工程400120建筑工程学院82301道路与铁道工程112369120建筑工程学院82302交通信息工程及控制200120建筑工程学院82303交通运输规划与管理100340海洋系82401船舶与海洋结构物设计制造138391240航空航天学院82501飞行器设计144391240航空航天学院82502航空宇航推进理论与工程21393240航空航天学院82503航空宇航制造工程200160农业与生物技术学院82703核技术及应用31364130生工食品学院82801农业机械化工程185411130生工食品学院82803农业生物环境与能源工程52384130生工食品学院82804农业电气化与自动化174401130生工食品学院82820★生物系统工程177386140环境与资源学院83001环境科学14112406 140环境与资源学院83002环境工程53324408150生物医学与仪器学院83100生物医学工程17620418130生工食品学院83201食品科学45515433 170动物科学学院83201食品科学51341130生工食品学院83202粮食、油脂及植物蛋白工程300130生工食品学院83203农产品加工及贮藏工程200120建筑工程学院83300城乡规划学678425160农业与生物技术学院83400风景园林学332399210计算机学院83500软件工程713381120建筑工程学院85100建筑学(专业学位)1279389250机械工程学系85201机械工程(专业学位)6231411300光电信息工程学系85202光学工程(专业学位)1416384150生物医学与仪器学院85203仪器仪表工程(专业学位)59397260材料科学与工程系85204材料工程(专业学位)2517402270能源工程学系85206动力工程(专业学位)1416399280化工系85206动力工程(专业学位)06391100电气工程学院85207电气工程(专业学位)7428438310信息与电子工程学系85208电子与通信工程(专业学位)7122420310信息与电子工程学系85209集成电路工程400320控制科学与工程学系85210控制工程(专业学位)2721393210计算机学院85211计算机技术(专业学位)2317371510软件学院85212软件工程(专业学位)362119416120建筑工程学院85213建筑与土木工程(专业学位)329397280化工系85216化学工程(专业学位)122938860理学院85217地质工程100 120建筑工程学院85222交通运输工程100130生工食品学院85227农业工程(专业学位)26406140环境与资源学院85229环境工程(专业学位)1625391150生物医学与仪器学院85230生物医学工程(专业学位)57381130生工食品学院85231食品工程(专业学位)4114406240航空航天学院85233航天工程(专业学位)110390210计算机学院85237工业设计工程(专业学位)01361280化工系85238生物工程(专业学位)03364160农业与生物技术学院90100作物学17417410160农业与生物技术学院90200园艺学38327398140环境与资源学院90301土壤学587405 140环境与资源学院90302植物营养学637402140环境与资源学院90320★农业遥感与信息技术536424140环境与资源学院90322★环境修复与资源再生74392160农业与生物技术学院90400植物保护42941409170动物科学学院90501动物遗传育种与繁殖272402170动物科学学院90502动物营养与饲料科学19117412170动物科学学院90504特种经济动物饲养598387170动物科学学院90601基础兽医学161336 170动物科学学院90602预防兽医学939397 170动物科学学院90603临床兽医学162343 170动物科学学院90801水产养殖304390160农业与生物技术学院95101作物(专业学位)213376160农业与生物技术学院95102园艺(专业学位)317387140环境与资源学院95103农业资源利用(专业学位)38391160农业与生物技术学院95104植物保护(专业学位)516371170动物科学学院95105养殖(专业学位)215396140环境与资源学院95112农业信息化(专业学位)03369170动物科学学院95200兽医(专业学位)76362160农业与生物技术学院95300风景园林(专业学位)515394180医学院100101人体解剖与组织胚胎学44358180医学院100102免疫学177378 180医学院100103病原生物学21375180医学院100104病理学与病理生理学3610373180医学院100105法医学100180医学院100120干细胞和再生医学62365180医学院100201内科学56631379 180医学院100202儿科学8910376 180医学院100203老年医学101327 180医学院100204神经病学844375180医学院100205精神病与精神卫生学293335180医学院100206皮肤病与性病学312365180医学院100207影像医学与核医学762343180医学院100208临床检验诊断学632352180医学院100210外科学43818386 180医学院100211妇产科学1799365 180医学院100212眼科学514381180医学院100213耳鼻咽喉科学121350 180医学院100214肿瘤学1427380 180医学院100216运动医学900 180医学院100217麻醉学963381 180医学院100218急诊医学192374 180医学院100220★全科医学191368 180医学院100302口腔临床医学1175363180医学院100401流行病与卫生统计学714373180医学院100402劳动卫生与环境卫生学284368180医学院100403营养与食品卫生学251356180医学院100405卫生毒理学61355180医学院100602中西医结合临床61369190药学院100700药学80128405 180医学院100706药理学587374 180医学院101100护理学592350180医学院105101内科学(专业学位)20628372180医学院105102儿科学(专业学位)145357180医学院105103老年医学100180医学院105104神经病学(专业学位)382378180医学院105105精神病与精神卫生学(专业学位)62340180医学院105106皮肤病与性病学(专业学位)111336180医学院105107影像医学与核医学(专业学位)285375180医学院105109外科学(专业学位)22122367180医学院105110妇产科学(专业学位)597346180医学院105111眼科学(专业学位)52348180医学院105112耳鼻咽喉科学(专业学位)21339180医学院105113肿瘤学(专业学位)597352180医学院105116麻醉学(专业学位)163372180医学院105117急诊医学(专业学位)62338180医学院105200口腔医学(专业学位)386352190药学院105500药学(专业学位)84379200管理学院120100管理科学与工程2837411120建筑工程学院120120★工程管理783417 200管理学院120202企业管理108614416 200管理学院120203旅游管理843389 200管理学院120220★创业管理413416 200管理学院120301农业经济管理383401 200管理学院120302林业经济管理100220公共管理学院120401行政管理55212402180医学院120402社会医学与卫生事业管理553392220公共管理学院120403教育经济与管理235415220公共管理学院120404社会保障452407 220公共管理学院120405土地资源管理16013411220公共管理学院120421★非传统安全管理111383220公共管理学院120501图书馆学400 220公共管理学院120502情报学164410 220公共管理学院120503档案学184410200管理学院125100工商管理(专业学位)2234307236220公共管理学院125200公共管理(专业学位)75051238200管理学院125300会计(专业学位)46323740人文学院130100艺术学理论300230传媒与国际文化学院130300戏剧与影视学14238840人文学院130400美术学102401 40人文学院130500设计学261353 210计算机学院130500设计学746377230传媒与国际文化学院135105广播电视(专业学位)288397业代码排序)取人数中包括了由本校其他相近专2013年硕士招生目录为准。
2015浙江大学各专业硕士推免生拟录取人数注:1、下表中“+”号后面数字为支教等专项计划(不占已公布的招生目录名额)。
2、各学院专业统考实际招生人数须按明年国家最终下达的招生计划和生源情况再作调整。
学院码学院专业代码专业名称硕士推免生拟录取人数010经济学院020101 政治经济学 3010 经济学院020104 西方经济学 5 010 经济学院020105 世界经济 1 010 经济学院020203 财政学 2 010 经济学院020204 金融学7 010 经济学院020205 产业经济学 3 010 经济学院020206 国际贸易学 5 010 经济学院025100 金融23+3 010 经济学院025300 税务4+3 010 经济学院025400 国际商务10 020光华法学院030101法学理论1+1 020光华法学院030102法律史1 020光华法学院030103宪法学与行政法学2+1 020光华法学院030104刑法学2 020光华法学院030105民商法学5 020光华法学院030106诉讼法学1 020光华法学院030107经济法学3+1 020光华法学院030108环境与资源保护法学1 020光华法学院030109国际法学3 020光华法学院035101法律(非法学)25 020光华法学院035102法律(法学)8 030教育学院040101教育学原理3 030教育学院040102课程与教学论8 030教育学院040103教育史3 030教育学院040104比较教育学3 030教育学院040106高等教育学5 030教育学院040107成人教育学1 030教育学院040110教育技术学1+1 030教育学院040301体育人文社会学3 030教育学院040303体育教育训练学1 030教育学院045100教育3 030教育学院045202运动训练8 040人文学院010102中国哲学2 040人文学院010103外国哲学2040人文学院010104逻辑学2 040人文学院010105伦理学1 040人文学院010107宗教学1 040人文学院0101Z1★休闲学1 040人文学院050101文艺学3 040人文学院050102语言学及应用语言学1 040人文学院050103汉语言文字学2 040人文学院050104中国古典文献学3 040人文学院050105中国古代文学5+1 040人文学院050106中国现当代文学3 040人文学院050108比较文学与世界文学1 040人文学院060100考古学2 040人文学院060200中国史8 040人文学院060300世界史3 040人文学院130400美术学1 040人文学院130500设计学2 040人文学院065100文物与博物馆8 040人文学院135107美术2 050外语学院050201英语语言文学10 050外语学院050202俄语语言文学3 050外语学院050203法语语言文学2 050外语学院050204德语语言文学3+1 050外语学院050205日语语言文学2 050外语学院050211外国语言学及应用语言学14 050外语学院055101英语笔译7 070生命科学学院071001植物学7 070生命科学学院071002动物学1 070生命科学学院071005微生物学5 070生命科学学院071007遗传学5 070生命科学学院071009细胞生物学5 070生命科学学院071010生物化学与分子生物学5 070生命科学学院0710Z1★生物信息学1 070生命科学学院071300生态学7 100电气工程学院080800电气工程46 100电气工程学院080902电路与系统8 100电气工程学院081101控制理论与控制工程13 100电气工程学院085207电气工程45 120建筑工程学院081401岩土工程12+1 120建筑工程学院081402结构工程22 120建筑工程学院081403市政工程5 120建筑工程学院081404供热、供燃气、通风及空调工程1 120建筑工程学院081405防灾减灾工程及防护工程3 120建筑工程学院081406桥梁与隧道工程3 120建筑工程学院081501水文学及水资源2 120建筑工程学院081503水工结构工程3 120建筑工程学院082301道路与铁道工程4+1 120建筑工程学院082302交通信息工程及控制1 120建筑工程学院082303交通运输规划与管理2 120建筑工程学院083300城乡规划学7 120建筑工程学院1201Z2★工程管理6+2 120建筑工程学院085100建筑学16+2 120建筑工程学院085213建筑与土木工程39+2120建筑工程学院085214水利工程3 120建筑工程学院085222交通运输工程2 130生工食品学院082801农业机械化工程4 130生工食品学院082803农业生物环境与能源工程1 130生工食品学院082804农业电气化与自动化2 130生工食品学院0828Z1★生物系统工程4 130生工食品学院083201食品科学8 130生工食品学院0832Z1★食品安全与营养1 130生工食品学院085227农业工程6 130生工食品学院085231食品工程9 140环境与资源学院083001环境科学10 140环境与资源学院083002环境工程14 140环境与资源学院090301土壤学6 140环境与资源学院090302植物营养学2 140环境与资源学院0903Z1★农业遥感与信息技术4 140环境与资源学院085229环境工程16 140环境与资源学院095103农业资源利用4 140环境与资源学院095112农业信息化2 150生物医学与仪器学院0804Z1★电子信息技术及仪器15+1 150生物医学与仪器学院083100生物医学工程15+7 150生物医学与仪器学院085203仪器仪表工程4 150生物医学与仪器学院085230生物医学工程8 160农业与生物技术学院071011生物物理学5 160农业与生物技术学院083400风景园林学2 160农业与生物技术学院090101作物栽培学与耕作学2 160农业与生物技术学院090102作物遗传育种10 160农业与生物技术学院090201果树学8 160农业与生物技术学院090202蔬菜学12 160农业与生物技术学院090203茶学4+1 160农业与生物技术学院090401植物病理学11 160农业与生物技术学院090402农业昆虫与害虫防治14+1 160农业与生物技术学院090403农药学4 160农业与生物技术学院095101作物5 160农业与生物技术学院095102园艺11 160农业与生物技术学院095104植物保护3 160农业与生物技术学院095300风景园林6 170动物科学学院083201食品科学1 170动物科学学院090501动物遗传育种与繁殖1 170动物科学学院090502动物营养与饲料科学9 170动物科学学院090504特种经济动物饲养2 170动物科学学院090601基础兽医学1 170动物科学学院090602预防兽医学5 170动物科学学院090603临床兽医学1 170动物科学学院090801水产养殖2 170动物科学学院095105养殖8 170动物科学学院095200兽医2 180医学院071003生理学1 180医学院071006神经生物学9 180医学院071007遗传学2 180医学院071009细胞生物学21 180医学院071010生物化学与分子生物学17 180医学院100101人体解剖与组织胚胎学2180医学院100102免疫学3 180医学院100103病原生物学3 180医学院100104病理学与病理生理学10 180医学院1001Z1★干细胞和再生医学5 180医学院100201内科学19 180医学院100202儿科学2 180医学院100204神经病学1 180医学院100206皮肤病与性病学1 180医学院100207影像医学与核医学2 180医学院100208临床检验诊断学1 180医学院100210外科学8 180医学院100211妇产科学7 180医学院100212眼科学4 180医学院100214肿瘤学8 180医学院1002Z4★重症医学2 180医学院100302口腔临床医学2 180医学院100401流行病与卫生统计学3 180医学院100402劳动卫生与环境卫生学2 180医学院100403营养与食品卫生学3 180医学院100405卫生毒理学3 180医学院100602中西医结合临床1 180医学院100706药理学7 180医学院101100护理学4 180医学院120402社会医学与卫生事业管理5 180医学院105101内科学16 180医学院105104神经病学3 180医学院105106皮肤病与性病学2 180医学院105107影像医学与核医学3 180医学院105108临床检验诊断学2 180医学院105109外科学15 180医学院105110妇产科学6 180医学院105111眼科学4 180医学院105112耳鼻咽喉科学1 180医学院105113肿瘤学5 180医学院105116麻醉学2 180医学院105200口腔医学8 190药学院100700药学19 190药学院105500药学14+3 200管理学院120100管理科学与工程10 200管理学院095110农村与区域发展8 200管理学院125300会计14+1 210计算机学院081200计算机科学与技术106 210计算机学院083500软件工程2 210计算机学院130500设计学6 210计算机学院085211计算机技术46+5 210计算机学院085237工业设计工程14+1 220公共管理学院020207劳动经济学3 220公共管理学院030201政治学理论3 220公共管理学院030202中外政治制度3 220公共管理学院030207国际关系1+1 220公共管理学院030301社会学3 220公共管理学院030302人口学1220公共管理学院120401行政管理17+3 220公共管理学院120403教育经济与管理4 220公共管理学院120404社会保障4 220公共管理学院120405土地资源管理10 220公共管理学院1204Z3★非传统安全管理1 220公共管理学院1204Z4★城市发展与管理1+2 220公共管理学院120502情报学2 220公共管理学院120503档案学2 220公共管理学院035200社会工作10 230传媒与国际文化学院010106美学3 230传媒与国际文化学院050301新闻学2 230传媒与国际文化学院050302传播学2 230传媒与国际文化学院045300汉语国际教育5 230传媒与国际文化学院055200新闻与传播25 230传媒与国际文化学院135105广播电视2 240航空航天学院080102固体力学3 240航空航天学院080103流体力学3 240航空航天学院080104工程力学5 240航空航天学院080903微电子学与固体电子学3 240航空航天学院081105导航、制导与控制1 240航空航天学院0812Z3★空天信息技术3 240航空航天学院082501飞行器设计2 240航空航天学院082502航空宇航推进理论与工程1 240航空航天学院085208电子与通信工程1 240航空航天学院085233航天工程5 250机械工程学系080201机械制造及其自动化25 250机械工程学系080202机械电子工程33 250机械工程学系080203机械设计及理论16 250机械工程学系080204车辆工程1 250机械工程学系0802Z1★工业工程6 250机械工程学系085201机械工程43+2 260材料科学与工程系080500材料科学与工程38 260材料科学与工程系085204材料工程22 270能源工程学系080204车辆工程2 270能源工程学系080701工程热物理6 270能源工程学系080702热能工程16+1 270能源工程学系080703动力机械及工程2 270能源工程学系080705制冷及低温工程5 270能源工程学系0807Z1★能源环境工程4 270能源工程学系085206动力工程38+1 280化工系080706化工过程机械10 280化工系081700化学工程与技术32 280化工系081703生物化工8 280化工系085206动力工程7 280化工系085216化学工程24 280化工系085238生物工程7 290高分子系070305高分子化学与物理18 290高分子系0805Z1★高分子材料18 300光电信息工程学系080300光学工程40 300光电信息工程学系085202光学工程24 310信息与电子工程学系080900电子科学与技术24+2 310信息与电子工程学系081000信息与通信工程22+1310信息与电子工程学系085208电子与通信工程28 320控制科学与工程学系081100控制科学与工程46 320控制科学与工程学系085210控制工程34 330思政部030206国际政治2 330思政部030501马克思主义基本原理2 330思政部030505思想政治教育4 340海洋学院070701物理海洋学9 340海洋学院070702海洋化学1 340海洋学院070703海洋生物学3 340海洋学院070704海洋地质10 340海洋学院081505港口、海岸及近海工程7 340海洋学院082400船舶与海洋工程5 340海洋学院1007Z1★海洋药物学7 340海洋学院085214水利工程7 340海洋学院085223船舶与海洋工程5 350数学系070101基础数学4 350数学系070102计算数学16 350数学系070104应用数学8 350数学系070105运筹学与控制论2 350数学系071400统计学8+1 360物理系070201理论物理7 360物理系070205凝聚态物理11 360物理系070207光学4 370化学系070300化学46 380地科系070502人文地理学8 380地科系070503地图学与地理信息系统7 380地科系070601气象学1 380地科系070901矿物学、岩石学、矿床学1 380地科系070904构造地质学5 380地科系081800地质资源与地质工程2 380地科系085217地质工程4 390心理系040202发展与教育心理学1 390心理系040203应用心理学20 390心理系045400应用心理8 510软件学院085212软件工程155。
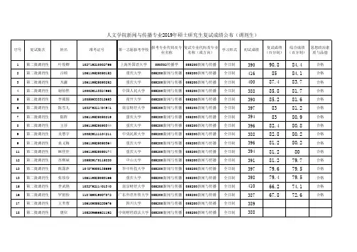
2019年浙江大学人文学院统考硕士研究生拟录取名单公示
2019年统考硕士研究生录取工作已经结束。
经学院研究生招生工作领导小组审核,报学校研究生招生领导小组审定,学院2019年拟录取统考硕士研究生名单已经确定,现给予公示,公示期为十个工作日(2019年3月20日至4月2日)。
如对公示名单及其相关内容有异议,请在公示期内以电话、电子邮件等形式向学院反映。
申诉联系人:高晖,联系电话:88273199 ,电子信箱:rwbksk1@。
2019年浙江大学人文学院统考硕士研究生拟录取名单(公示)
浙江大学人文学院 2019.3.20。