中国A股总市值前50只股票交易情况统计(便于2012-2018多年数据分析对比)
- 格式:xls
- 大小:108.50 KB
- 文档页数:24
中国股市市值最高的公司排名榜中国股市市值最高的公司排名榜在当今世界范围内,中国的股市发展迅速,其市值最高的公司排名榜也备受关注。
作为我国经济发展的重要体现,不仅反映了中国企业的实力和发展潜力,也给投资者提供了重要的参考指标。
1. 腾讯控股有限公司作为中国市值最高的公司,腾讯控股有限公司在科技行业拥有举足轻重的地位。
其主要业务包括社交媒体、互联网服务和人工智能等领域,旗下拥有腾讯QQ、微信、QQ音乐等知名产品,以及多家互联网企业的股权。
腾讯的市值一直居于中国公司排名榜的榜首,展现出了其强大的发展实力和市场影响力。
2. 阿里巴巴集团作为中国电子商务领域的领军企业,阿里巴巴集团在中国市值最高的公司排名榜上也占据着重要的位置。
公司的主营业务包括电子商务、零售、金融科技、云计算等多个领域,旗下拥有天猫、淘宝、支付宝等众多知名品牌,其市值一直紧随腾讯,展现出了其强劲的发展势头和市场表现。
3. 工商银行作为中国的大型国有银行之一,工商银行在中国的金融市场上具有重要地位。
其主要业务包括公司金融、零售金融、国际业务等,市值一直在中国股市排名榜的前列,展现出其在金融行业中的稳健实力和市场地位。
4. 中国建筑作为中国最大的建筑工程公司,中国建筑在中国的市值排名中一直名列前茅。
其主营业务包括基础设施建设、房地产开发、房屋建筑等多个领域,市值稳步增长,展现出了其在建筑行业中的领先地位和市场势头。
5. 茅台集团作为中国知名的白酒企业,茅台集团在中国市值最高的公司排名榜上也占据重要地位。
其拥有茅台酒、迎宾酒等多个知名品牌,主营业务包括白酒生产、销售等,市值持续增长,展现出了其在食品行业中的引领地位和市场价值。
文章至此,我们简要介绍了中国股市市值最高的公司排名榜,并对其中的几家知名企业进行了深度解析。
通过这些公司的案例,我们不难看出,中国市值最高的企业不仅在各自行业中具有强大的市场地位,还反映了中国经济发展的活力和潜力。
希望这样的文章能够为您对中国股市有一个更加全面深入的了解,并帮助您在投资决策时有所启发。
我国近20年A股总市值变化曲线一、总市值的定义A股总市值是指某一时间点上,所有A股上市公司的总市值之和。
总市值的变化是反映A股市场整体规模和变化趋势的重要指标,也是投资者和市场监管部门密切关注的指标之一。
二、总市值变化的历史背景我国股市迅速发展的历程,始于上世纪90年代末期。
1990年代初,我国A股市场于上海、深圳两地同时开市。
经过20年的长足发展,我国A股市场已经成为全球最大的股票市场之一。
而A股总市值的变化也在这一过程中反映出我国经济和金融市场的巨大变化。
三、近20年A股总市值的变化曲线1. 2000年至2010年:蓬勃发展的十年在这十年间,随着我国经济的高速增长和股市的蓬勃发展,A股总市值呈现出快速增长的趋势。
2006年,A股市场总市值突破了10万亿元人民币,创下了新高。
投资者对A股市场寄予厚望,股市繁荣景象一度成为社会热点话题。
2. 2010年至2015年:市场波动的五年然而,2010年后,A股市场总市值出现了明显的波动。
2015年6月,A股市场总市值一度蒸发了约30万亿元人民币,市场陷入了深度调整期。
投资者信心受挫,大量资金纷纷退出A股市场。
3. 2015年至今:逐步回升的新趋势自2015年的市场大跌后,我国证券监管部门采取了一系列积极措施来稳定市场,A股市场总市值也逐步开始回升。
2019年,A股市场总市值已经重新站上了65万亿元人民币,市场信心逐渐恢复。
四、总结与展望近20年来,A股市场总市值的变化曲线反映出了我国资本市场发展的历程。
经历了20年的起起伏伏,A股市场也迎来了逐步回升的新趋势。
然而,总市值的变化仅仅是市场的表面现象,背后更深层次的内在规律仍需要我们深入探讨和研究。
个人观点:总市值的变化不仅仅反映了市场本身的波动,更代表着整个我国经济发展的历程。
A股市场的发展和变化离不开我国经济的整体发展,只有稳健的经济基础才能支撑起健康的资本市场。
我期待未来我国A股市场更加成熟和健康地发展,为我国经济的全面建设做出更大的贡献。
股市历史龙头股排名(详情)股市历史龙头股排名根据公开资料,股市历史龙头股有:-片仔癀:国内处方药、口服剂型、丸剂终端中药市场排名第一。
-泰禾集团:自从爆雷后,赖姓富豪从福建首富的宝座跌落,但他旗下的“禾&上天猫”战略,却实实在在提升了泰禾的业绩。
-古越龙山:在白酒概念股中,古越龙山堪称“历史最悠久”的。
-中炬高新:中山公用旗下拥有“中山大学GEREN”商标的食品公司。
-安井食品:速冻食品行业中的人气王。
-宏发股份:继新宙邦、碧水源、万邦达、鼎龙股份之后,国内电解液领域的第5家上市公司。
-华邦制药:国内皮肤病领域龙头。
-传化股份:纺织印染助剂龙头企业。
-思源电气:我国电磁继电器的龙头企业。
-莱茵体育:体育产业概念第一股。
-中青宝:网络游戏行业黑马。
-中炬高新:主营中高端餐饮,主营产品“厨邦”系列调味品,2012年6月,公司发行股份及支付现金购买杨振、肖海东、王永红、中山市厨邦食品有限公司持有的美味鲜公司股权,并募集配套资金。
您可以根据实际情况对榜单进行排名或查阅其他相关信息。
股市激光龙头股有哪些根据公开资料,股市激光龙头股有:______大族激光。
____大族激光(002008)3月30日开盘消息,7日内股价上涨2.19%,总市值为236.52亿元。
______机器人。
____机器人(300024)3月30日开盘消息,7日内股价上涨1.61%,总市值为195.26亿元。
______光峰科技。
____光峰科技(688005)3月30日开盘消息,7日内股价上涨1.59%,总市值为161.96亿元。
______德龙激光。
____德龙激光(688170)3月30日开盘消息,7日内股价上涨1.49%,总市值为156.45亿元。
______蓝光发展。
____蓝光发展(600466)3月30日开盘消息,7日内股价上涨1.42%,总市值为154.33亿元。
______海创药业。
____海创药业(688302)3月30日开盘消息,7日内股价上涨1.22%,总市值为145.54亿元。
中国内地股市与美国、日本、中国香港等主要市场结构对比分析行业结构A 股市场行业结构在上交所上市的公司中,金融类公司市值占比最高,电信服务类公司占比最少。
在深交所上市的公司中,信息技术类公司市值排名第一,金融类公司占比较少。
从净利润占比来看,上交所上市公司中,金融类公司净利润占比最高,超过整个市场的一半,电信服务、医疗保健和信息技术类公司净利润占比较低,均不超过整个市场的 2%。
深交所上市公司中,房地产类公司净利润占比最高,金融类和可选消费类公司净利润占比也较高,电信服务类公司净利润占比最低。
虽然深交所上市公司中,信息技术类公司市值占比最高,但是净利润占比仅 3%。
美国股市行业结构纳斯达克市场中,信息技术类公司市值占比最高,能源类公司占比最低,金融类公司行业市值占比较低。
标普 500 成分股中,信息技术类公司市值占比最高,材料类公司市值占比最低,金融类公司行业市值占比较高。
纳斯达克市场中,信息技术类公司和电信服务类公司净利润占比显著高于其他行业。
标普500 成分股中,金融类公司净利润占比最高,信息技术类、电信服务类和医疗保健类公司净利润占比也较高,与相应行业的市值占比对应。
中国香港股市行业结构在港交所上市的公司中,无论是大型股、中型股还是小型股,金融类公司均是市值占比最高的公司。
大型股中,材料类公司占比最低;中型股中,电信服务类公司占比最低;小型股中,日常消费类公司市值占比最低。
恒生大型股成分股中,金融类公司净利润占比最高,超过整个市场的一半,材料类、信息技术类、医疗保健类和日常消费类公司净利润占比均不到 1%。
中型股成分股中,房地产类、金融类和工业类公司净利润占比排名成分股前三,电信服务类公司净利润占比最低,不到0.5%。
恒生小型股中工业类和金融类公司净利润占比最高。
日本股市行业结构日经 225 成分股中,工业类公司市值占比最高,可选消费类公司市值占比排名第二,能源类公司市值占比最低,金融类公司市值占比较低。
A股市值变化曲线引言A股市场是中国境内的证券交易所,也是全球最大的股票市场之一。
A股市值变化曲线是指A股市场中上市公司的总市值随时间的变化情况。
通过分析A股市值变化曲线,可以了解到A股市场整体的发展趋势和投资者对不同行业、公司的关注程度。
本文将详细介绍A股市值变化曲线的相关内容。
A股市值A股市值是指所有在A股上市公司的总市值,即所有上市公司的总股本乘以当前股价之和。
A股市值是衡量一个国家或地区证券交易所规模大小和影响力的重要指标之一。
随着中国经济的快速发展和资本市场改革开放,A股市值持续增长,并且在全球范围内占据重要地位。
A股市值变化趋势A股市值随时间呈现出不同的变化趋势,这些趋势受到多种因素的影响,包括宏观经济环境、政策调整、行业发展等。
下面将介绍几个常见的A股市值变化趋势。
1. 总体增长趋势随着中国经济的快速发展,A股市场总体呈现出增长的趋势。
在过去几十年里,A股市值从几百亿人民币增长到数万亿人民币,甚至超过百万亿人民币。
这种增长主要受益于中国经济的高速增长和资本市场改革开放。
2. 行业分化不同行业的公司在A股市场中的表现存在较大差异,导致行业之间市值变化趋势的分化。
一些高科技行业如互联网、新能源等在近年来受到投资者追捧,其市值呈现出快速增长的态势;而一些传统行业如制造业、采矿业等则面临着市场竞争压力和产能过剩等问题,其市值可能出现下降。
3. 市场波动A股市场存在着周期性的波动,这种波动会对A股市值产生影响。
一般来说,在经济形势不确定或政策调整期间,投资者情绪容易波动,导致股票价格的大幅波动,进而影响A股市值的变化。
A股市值变化曲线图A股市值变化曲线图是一种直观展示A股市场总体发展趋势的方式。
下面是一个示例图表:通过观察A股市值变化曲线图,可以清晰地看到不同时间段内A股市场总体的增长或下降趋势,以及各个行业之间的差异。
影响A股市值变化的因素A股市值变化受到多种因素的影响,下面将介绍几个重要的因素。
中国2018年B股总市值前50股票交易情况统计201739900910海立B股1580.52 201740900953凯马B1544.95 201741900924上工B股1530.20 201742900909华谊B股1451.30 201743900914锦投B股1385.48 201744900945海控B股1320.43 201745900919绿庭B股1311.26 201746900901云赛B股1299.56 201747900941东信B股1283.51 201748200553沙隆达B1250.57 201749900956东贝B股1248.95 201750200413东旭B1246.98 2017合计——149032.31 201720161900932陆家B股9328.17 20162200625长 安B8951.71 20163900948伊泰B股8560.51 20164200550江 铃B5916.79 20165900947振华B股5610.79 20166900905老凤祥B4915.47 20167200869张 裕B4308.11 20168200418小天鹅B4185.05 20169200012南 玻B4162.86 201610900903大众B股3999.54 201611900925机电B股3280.44 201612200488晨 鸣B3245.01 201613200596古井贡B3221.64 201614200726鲁 泰B3005.34 201615900936鄂资B股2862.01 201616200581苏威孚B2846.15 201617900911金桥B股2809.46 201618900917海欣B股2696.61 201619200539粤电力B2593.62 201620900933华新B股2548.15 201621200053深基地B2525.18 201622900926宝 信B2496.81 201623200725京东方B2398.92 201624900912外高B股2333.50 201625900934锦江B股2307.03 201626200028一 致B2283.46 201627900908氯碱B股2247.97 201628200055方 大B2203.71 201629900942黄山B股2186.21 201630200152山 航B2075.99 201631200771杭汽轮B2075.82 201632200016深康佳B2062.06 201633900920上柴B股2054.97 201634200022深赤湾B2023.62 201635900924上工B股1945.29 201636900953凯 马B1900.51 201637900902市北B股1833.16 201638900923百联B股1766.45201439900914.SH锦投B股1225.92 201440200413.SZ东旭B1206.97 201441200541.SZ粤照明B1185.08 201442900937.SH华电B股1163.10 201443900909.SH双钱B股1145.40 201444200016.SZ深康佳B1062.48 201445900941.SH东信B股1059.20 201446900929.SH锦旅B股1049.62 201447200160.SZ南江B1048.55 201448900938.SH天海B1015.81 201449900924.SH上工B股1012.05 201450900910.SH海立B股996.35 2014合计--141599.84 201420131900948伊泰B股14342.06 20132200002万科B12545.79 20133200625长安B10881.61 20134200550江铃B7838.95 20135200024招商局B5750.13 20136900932陆家B股5024.44 20137200869张裕B4719.71 20138900947振华B股4277.70 20139200012南玻B3746.08 201310200581苏威孚B3697.07 201311200726鲁泰B3363.48 201312200513丽珠B3348.59 201313900905老凤祥B3077.54 201314900933华新B股3055.72 201315900912外高B股2636.14 201316900936鄂资B股2482.05 201317200539粤电力B2423.75 201318200771杭汽轮B2386.80 201319900950新城B股2385.92 201320900925机电B股2275.88 201321900903大众B股2164.16 201322200022深赤湾B2059.63 201323200725京东方B2016.07 201324900911金桥B股1769.64 201325900920上柴B股1658.73 201326200596古井贡B1651.12 201327200028一致B1557.12 201328900917海欣B股1545.66 201329900923友谊B股1537.15 201330900934锦江B股1512.38 201331200418小天鹅B1426.48 201332200488晨鸣B1425.88 201333200053深基地B1396.51 201334200152山航B1394.23 201335200553沙隆达B1374.67 201336900926宝信B1331.17 201337900908氯碱B股1183.94 201338900942黄山B股1172.38201339200160南江B1073.53 201340900909双钱B股1070.05 201341900910海立B股995.81 201342200541粤照明B992.73 201343900945海航B股936.02 201344200056*ST国商B919.68 201345900902市北B股908.66 201346900914锦投B股890.79 201347200016深康佳B882.86 201348900941东信B股879.12 201349900924上工B股856.33 201350900901仪电B股850.74 2013合计--139692.63 201320121900948伊泰B股23758.94 20122200002万科B13345.15 20123200869张裕B8604.44 20124200024招商局B7532.52 20125200550江铃B4912.77 20126900932陆家B股4025.71 20127900947振华B股3539.92 20128900950新城B股3436.44 20129900933华新B股3358.55 201210200012南玻B3287.64 201211200625长安B3185.60 201212900936鄂资B股2731.45 201213200539粤电力B2549.70 201214200513丽珠B2531.42 201215200726鲁泰B2498.10 201216900949东电B股2491.06 201217200596古井贡B2489.29 201218900905老凤祥B2474.80 201219200581苏威孚B2340.05 201220200771杭汽轮B2319.61 201221900903大众B股1772.94 201222200725京东方B1673.76 201223900911金桥B股1561.23 201224200022深赤湾B1530.68 201225200488晨鸣B1502.74 201226900920上柴B股1471.85 201227900925机电B股1429.39 201228900934锦江B股1396.22 201229900923友谊B股1328.17 201230200418小天鹅B1292.00 201231900942黄山B股1216.66 201232200152山航B1213.95 201233900917海欣B股1209.04 201234900908氯碱B股1178.82 201235200028一致B1151.92 201236900912外高B股1021.76 201237200053深基地B999.26 201238900921丹科B股976.33201239200541粤照明B963.67 201240900910海立B股938.34 201241900909双钱B股880.71 201242200761本钢板B837.88 201243900926宝信B股828.18 201244200056*ST国商B769.47 201245200429粤高速B764.51 201246900914锦投B股762.74 201247200016深康佳B754.25 201248900955九龙山B753.43 201249900945海航B股736.60 201250900937华电B股728.19 2012合计--135057.83 20120.861580.52221.461232.5017.13 0.841544.95123.01871.59146.65 0.841530.2095.78673.9017.42 0.791451.3082.63530.8020.42 0.761385.4856.25533.1919.18 0.721320.4365.67259.5718.08 0.721311.26104.40419.2856.79 0.711299.5691.45433.8521.83 0.701283.51131.78594.1345.46 0.681250.57109.84733.8622.72 0.681248.9561.36710.9630.60 0.681246.98169.65891.8422.17 81.38148101.3410824.8475056.60—4.889328.17305.084458.7012.91 4.688951.71678.287235.52 4.60 4.478560.511303.997421.5710.56 3.095916.7924.66432.52 6.26 2.935610.79521.531755.8571.50 2.574915.47121.692991.8511.80 2.254308.11123.972466.6311.57 2.194185.0548.82975.7414.11 2.184162.24491.332697.9016.98 2.093999.54337.762323.6021.13 1.713280.44177.432700.0110.71 1.703244.32491.372644.7812.23 1.683221.6440.08984.5717.69 1.572019.60116.051000.5910.47 1.502862.01167.041052.8626.47 1.492846.15131.171899.7410.29 1.472809.46158.101692.6018.79 1.412696.61459.272388.6377.17 1.362593.62422.811424.07 4.93 1.332548.15251.991163.3016.09 1.322524.6865.751393.0753.51 1.312496.81180.232792.7925.46 1.252398.92803.911443.9740.18 1.222333.50105.051284.6818.28 1.212307.0398.781822.0220.40 1.192283.4624.14919.6218.55 1.182247.97478.062492.69—1.152203.71209.351247.7746.48 1.142186.21178.491973.2619.83 1.092075.99140.532246.33—1.092074.97205.101521.3010.43 1.082062.06349.03903.300.00 1.072054.97361.292052.170.00 1.062023.4661.95673.3152.78 1.021945.29199.361458.2912.87 0.991900.51373.723041.5730.33 0.961833.16312.252519.74834.50 0.921766.45119.711220.7748.031.012008.94398.933293.3032.80 0.941860.68532.74776.31624.65 0.931846.291035.63782.0454.91 0.921831.0152.272344.3618.54 0.901789.981188.14790.20-74.29 0.891769.07256.692397.7134.45 0.881743.79631.28510.5556.85 0.871735.74310.50217.87154.63 0.851686.52476.18350.6721.46 0.851685.95429.83301.1270.09 0.851680.341241.57834.4252.00 0.681360.80782.765291.64618.31 83.71165285.1731047.71124589.24—7.2512494.81463.675602.709.68 6.7511636.48523.604643.7512.39 4.838325.6720.11468.5410.60 4.738160.44227.832685.0222.83 4.633333.70211.392569.1014.25 3.225547.96624.371801.7390.87 2.724685.32197.683340.3414.15 2.303959.47127.91927.027.85 2.183762.7898.771633.519.72 2.093610.41103.932158.7613.83 2.003440.69430.531975.55 5.69 1.873217.43511.302011.27 6.86 1.852236.86113.59942.477.51 1.702929.52192.001449.8420.99 1.692920.48288.911315.1120.77 1.642819.601362.562467.6026.09 1.632805.06187.582244.5812.48 1.512598.01212.902450.3625.34 1.342301.4173.40796.4119.55 1.322274.4388.86481.979.54 1.312254.91105.481596.2115.68 1.161994.14280.32879.08 4.10 1.111910.9147.13399.0410.48 1.101894.78208.851755.2218.06 1.071836.5861.57617.1224.66 1.041788.15172.591230.9513.20 1.021757.0387.581122.7318.46 0.981695.52299.86975.9933.30 0.961660.15272.131932.547.69 0.921580.25166.10740.2721.46 0.911561.3138.981172.4516.39 0.901556.57267.05812.5912.26 0.901546.39107.31896.3622.81 0.821413.8314.78179.9312.43 0.791368.37195.241713.8015.58 0.791355.82205.44613.42-115.12 0.771330.41366.931173.6333.96 0.721241.09185.71537.9522.620.711225.92131.87824.6119.84 0.701206.97444.602402.2716.94 0.691185.06275.151484.5416.53 0.671163.10338.61776.2813.88 0.661145.40101.63452.5814.20 0.621062.48410.221002.6261.63 0.611059.20333.421153.2922.90 0.611049.6252.02627.3336.45 0.611048.55287.92676.1735.30 0.591015.81584.011443.18-126.47 0.591012.05252.96953.9323.28 0.58996.35102.83355.8923.13 82.12135977.2612459.2072467.57-8.5714342.06359.517701.7710.20 7.4912545.79539.306345.198.61 6.5010881.611430.1210713.0240.02 4.687838.9556.62966.5313.31 3.445730.62149.443056.919.02 3.005024.44317.913014.0613.10 2.824719.71179.025174.408.44 2.564277.70691.501727.9382.80 2.243746.081081.715441.1738.86 2.213697.07181.623995.9724.69 2.012353.54263.421770.9312.37 2.003348.5941.751224.8520.64 1.843077.54247.273646.308.78 1.833055.7295.51954.327.38 1.572636.14477.075247.9024.40 1.482482.05165.821001.858.28 1.452423.75645.202518.218.71 1.432386.12343.183318.539.23 1.432385.92633.283061.60 3.67 1.362275.88229.321761.9011.40 1.292164.16334.171324.7715.65 1.232059.4176.70821.2516.26 1.202016.071578.792358.1181.62 1.061769.64303.231959.1114.13 0.991658.73359.871796.0520.31 0.991651.12184.863046.589.83 0.931557.1251.941298.9917.68 0.921545.66570.961859.7360.85 0.921537.15181.801414.9014.22 0.901512.38108.761003.3615.49 0.851426.4866.20469.1914.22 0.851425.88517.651524.7328.30 0.831396.3396.481081.8018.45 0.831394.2369.94668.60 6.97 0.821374.67602.072421.3135.17 0.801331.17189.761899.9213.67 0.711183.94279.36894.19202.57 0.701172.38127.481137.1924.630.641073.52412.06925.9347.81 0.641070.05240.481098.0412.81 0.59995.81234.21853.6522.47 0.59992.71158.93724.3411.06 0.56936.02141.33520.4814.66 0.55916.6087.64844.63116.21 0.54908.66536.152002.6212.86 0.53890.79142.36750.9412.99 0.53882.86413.02876.7858.72 0.53879.12361.441051.4719.00 0.51856.33229.39724.5219.81 0.51850.74241.18617.5029.82 83.45138659.0017026.76110614.00-15.0223758.94348.2912149.938.79 8.4313345.15620.324916.4511.70 5.448604.4495.554160.2613.67 4.767507.13236.012893.8814.95 3.104912.7730.41411.18 6.97 2.544025.71191.851203.3114.59 2.243539.92407.22946.44-2.173436.44646.012532.55 6.47 2.123358.5577.37784.9017.24 2.083287.64707.723042.507.87 2.013185.601144.543069.6117.06 1.732731.45216.931394.9910.71 1.612549.70411.521244.0530.06 1.602531.4243.89733.3519.11 1.581830.24218.461202.25 6.98 1.572491.06235.68759.019.10 1.572489.29100.992443.0018.57 1.562474.80187.622208.9710.28 1.482340.0582.741344.3911.74 1.472319.04266.541956.5710.32 1.121772.94146.45455.0913.45 1.061673.76965.73925.0130.20 0.991561.23100.06460.5415.96 0.971529.9022.89177.9711.40 0.951502.74418.131210.569.82 0.931471.85248.021169.4318.09 0.901429.39107.90691.349.61 0.881396.2251.85427.8814.63 0.841328.17102.42825.0910.88 0.821292.0048.74310.939.65 0.771216.6650.69396.0315.32 0.771213.95174.071504.04 4.71 0.761209.04279.98758.2960.15 0.751178.82250.85768.4832.70 0.731151.9268.871079.9418.39 0.651021.7674.68327.6811.69 0.63999.0638.62284.9216.38 0.62976.33156.90840.46141.370.61963.66106.63467.8715.14 0.59938.34148.57488.0414.91 0.56880.71101.56351.2611.03 0.53837.88410.65858.108.63 0.52828.1855.29392.109.46 0.49766.8943.72355.470.00 0.48764.50126.24252.1713.17 0.48762.7450.41241.7514.14 0.48754.25320.83555.7088.08 0.48753.4388.85214.30-0.47736.6036.80150.5312.60 0.46728.19109.36181.21-85.36134360.4411175.4166519.74-1.152.6777.93 4.73-14.2151.25 1.60-16.9939.260.76-9.1433.991.41-9.5134.93 1.04-9.7217.77 3.90-12.9530.29 1.59-12.9931.17 1.78-8.0443.931.0014.6949.862.22-13.1153.36 1.25-7.7067.86———2.50-33.6043.60 1.22-30.3175.200.87 1.8898.191.22-24.257.171.00-16.4432.152.47-16.6759.071.58-24.2453.442.4236.2625.55 1.42-9.6764.43 1.27-14.8556.79 1.68-28.0882.05 0.6149.04104.35 2.529.5233.40 1.15-8.0443.960.97-0.1739.771.33-4.2776.10 1.34-18.8358.09 1.67-6.4397.96 0.71-23.6152.96 0.73-11.0548.02 2.9427.7359.16 2.06-26.91104.380.91-2.5166.881.40-26.1352.381.11-39.3163.322.4917.8343.983.29-10.26117.59 2.85 3.3062.32 1.68-0.1794.72—-18.95149.95 1.43-32.60100.381.37-46.6674.832.23-26.8043.02 1.46-7.61104.791.57-15.8834.442.28-11.1581.72 6.01-18.22155.72 1.30-25.36134.051.9163.06153.23 4.22192.11426.87 4.68130.03287.39 2.3010.8995.24 5.6894.38342.673.22137.40138.46 1.3867.40222.154.0472.3494.091.8529.36128.892.0460.04146.51 2.2836.14287.40 242.81102.48315.17———2.7615.7951.411.29-15.8439.432.089.55 5.85 2.7266.1444.71 1.4444.13110.491.0229.4038.502.08 2.8385.211.2032.0828.212.6528.8447.94 2.02-0.9460.29 1.13-1.9656.46 1.0240.4976.851.22-0.6341.222.0868.8670.54 1.4637.5854.12 0.9839.79101.79 2.1326.3486.751.76-0.10106.152.0316.6240.90 0.82-6.2421.16 2.3540.2887.900.75-13.4243.611.4939.1924.67 1.3526.88116.21 1.2626.3939.471.15-22.9962.972.3034.5076.551.319.4463.962.2021.45118.321.17-3.6048.172.260.9171.02 0.4721.0056.71 2.1032.2468.79 1.77 1.1913.29 1.30 1.16139.461.4014.5150.532.5068.08109.22 1.5032.2950.271.8743.9481.882.0983.84180.66 1.7023.31122.17 1.6745.7078.38 1.469.6041.810.7720.72101.121.6022.41111.142.2250.5978.81 6.53-2.3762.390.7649.27179.061.5117.91103.70 0.992.7836.19---1.66-35.1838.57 1.54-1.9241.01 3.20254.04158.55 2.2571.6716.46 1.09-20.2944.181.6331.0262.382.31-40.9577.160.8024.5042.631.4320.65141.852.3564.96136.151.4462.6586.882.7338.7437.28 2.3434.09120.031.00-4.6729.122.46171.92237.87 0.92-4.8539.480.86 1.0396.971.6311.41125.190.89-27.0398.521.8769.15106.05 1.1628.3162.59 1.9044.1342.650.7524.03117.941.3119.08111.41 1.2618.52103.68 1.92-29.37154.05 3.8540.2794.63 1.3331.71121.78 1.1424.88101.16 1.3516.3369.72 1.2418.6934.65 0.4318.0393.432.0545.3886.791.4224.0749.962.50148.24261.77 2.3669.72165.88 1.183.4768.71 1.74-0.3081.728.2094.0889.28 1.4427.8998.920.9913.2482.421.5013.1770.57 1.2133.2456.500.8523.0786.481.7144.63230.18 1.3826.1588.390.6420.99101.811.3428.89120.48 1.9831.2894.04 1.3640.1282.21---2.9619.3652.45 1.9865.3447.17 4.73-28.1944.52 1.69166.0469.79 1.5926.118.84 1.2757.8537.650.67-20.9646.111.6572.06100.50 1.24-5.1523.59 1.29 6.3192.81 1.1159.02116.53 1.12-2.3551.651.0158.6761.852.2985.7039.19 1.1119.8967.35 0.7434.8234.163.29-6.1495.83 2.2820.91100.63 1.6629.4471.99 1.7558.17105.12 0.9612.7327.430.6850.9872.141.2449.2936.76 1.5330.8512.730.42-8.2775.001.1654.0589.62 1.3217.9949.90 1.2724.9933.24 1.04-5.0256.99 1.182.1925.51 1.93 4.4032.49 1.34-2.29124.33 1.08-3.0759.72 1.19-1.7161.70 3.6580.36125.49 1.0442.2837.24 1.6653.8334.75 3.905.3980.961.52-1.0647.340.9312.0152.281.298.1141.780.4310.22102.661.6816.0848.33 0.00 5.4343.130.6519.8436.201.238.7831.300.5632.1879.081.84-8.1026.92 1.02-1.0319.92 1.13-1.1125.32---。
中国A股行业龙头上市公司汇总(2017-2018)1.贵州茅台:白酒第一品牌市值亿元年净利润亿五年内没有其它白酒企业可以撼动它的老大地位。
2.恒瑞医药:国内化学制药实力第一这二年进军国际市场未来有机会挑战国际医药巨头的中国制药公司非恒瑞药业莫属了。
市值亿元年净利润亿元。
3.伊利股份:国内乳企第一品牌旗下产品吩咐伊利旗下的冰淇淋行业市占率第一。
市值亿元年净利润亿元。
4.海天味业:调味料细分领域酱油行业市场占有率第一利润第一巩固酱油市场地位的同时也在向耗油料酒、醋等细分领域进军。
市值亿元年净利润亿。
5.中国平安:国内金融全牌照的保险公司金融布局最好的金融公司。
市值亿元年净利润亿元。
6.绝味食品:鸭脖行业市占率第一营业额第一多家门店。
市值亿年净利润亿7.长江电力:中国综合实力最优质的电力企业。
市值亿元年净利润亿元8.万科A:中国最佳地产开发商最响亮的品牌。
市值亿年净利润亿元。
9.比亚迪:中国新能源汽车技术综合实力第一市值亿元年净利润亿元。
10.格力电器:中国空调行业第一品牌利润和市占率第一的空调企业。
市值亿元年净利润亿元。
11.美的集团:中国家电综合实力排名第一品牌市值亿元年净利润亿元。
12.福耀玻璃:全球汽车玻璃行业市占率第一市值亿元。
年净利润亿元。
13.白云山:国产伟哥第一品牌金戈中国第一饮料王老吉老字号第一多得药企。
市值亿年净利润亿元。
14.科大讯飞:智能语音、中文语音等产业语音市场绝对老大。
市值亿元年净利润亿元。
15.宋城演艺:国内以演艺及观光园为主营的上市龙头。
市值亿元年净利润亿元。
16.云南白药:中药第一民族品牌国产牙膏第一品牌。
市值亿元年净利润亿元。
17.片仔癀:国家绝密保密配方被誉为国宝名药市值亿元年净利润亿元。
18.马应龙:痔疮第一药市值亿元年净利润亿元。
19.海螺水泥:水泥行业第一市值亿元年净利润亿元。
20.苏宁云商:连锁家电行业第一国内上市公司电商龙头。
市值亿元年净利润亿元。
21.海康威视:国内安防龙头企业。
上证50成分股及权重排名(由高到底)一览表排名代码简称指数权重(% )总股本(亿股)收盘(元)总市值(亿元)证监会行业wind行业1 601318.SH 中国平安9.18 88.92 72.84 6,477.06 保险业金融2 600016.SH 民生银行7.57 341.53 10.20 3,483.62 货币金融服务金融3 600036.SH 招商银行7.03 252.20 15.71 3,962.04 货币金融服务金融4 600030.SH 中信证券6.85 110.17 34.96 3,851.51 资本市场服务金融5 600837.SH 海通证券5.00 95.85 23.48 2,250.49 资本市场服务金融6 601166.SH 兴业银行4.84 190.52 16.18 3,082.67 货币金融服务金融7 600000.SH 浦发银行4.51 186.53 15.43 2,878.23 货币金融服务金融8 601668.SH 中国建筑2.80 300.00 6.65 1,995.00 土木工程建筑业工业9 601328.SH 交通银行2.74 742.63 6.50 4,827.08 货币金融服务金融10 601601.SH 中国太保2.61 90.62 30.92 2,801.97 保险业金融11 601818.SH 光大银行2.49 466.79 4.60 2,147.24 货币金融服务金融12 601288.SH 农业银行2.47 3,247.94 3.76 12,212.26 货币金融服务金融13 600887.SH 伊利股份2.25 30.64 28.15 862.62 食品制造业日常消费14 600519.SH 贵州茅台2.22 11.42 190.31 2,173.34 酒、饮料和精制茶制造业日常消费15 601398.SH 工商银行2.16 3,534.94 4.88 17,250.52 货币金融服务金融16 600104.SH 上汽集团1.82 110.26 23.74 2,617.47 汽车制造业可选消费17 600048.SH 保利地产1.79 107.30 10.68 1,145.94 房地产业金融18 601169.SH 北京银行1.78 105.60 10.72 1,132.05 货币金融服务金融19 601688.SH 华泰证券1.76 56.00 24.95 1,397.20 资本市场服务金融20 601989.SH 中国重工1.74 183.62 8.86 1,626.84 铁路、船舶、航空航天和其他运输设备制造业工业21 601088.SH 中国神华1.72 198.90 21.56 4,288.20 煤炭开采和洗选业能源22 600999.SH 招商证券1.69 58.08 27.41 1,592.01 资本市场服务金融23 601006.SH 大秦铁路1.63 148.67 11.32 1,682.92 铁路运输业工业24 600015.SH 华夏银行1.54 89.05 12.84 1,143.36 货币金融服务金融25 601901.SH 方正证券1.49 82.32 12.86 1,058.65 资本市场服务金融26 601628.SH 中国人寿1.32 282.65 33.88 9,576.08 保险业金融27 600585.SH 海螺水泥1.13 52.99 22.08 1,170.09 非金属矿物制品业材料28 600050.SH 中国联通1.08 211.97 4.98 1,055.59 电信、广播电视和卫星传输服务电信服务29 601857.SH 中国石油1.08 1,830.21 12.07 22,090.63 石油和天然气开采业能源30 600111.SH 包钢稀土0.97 24.22 26.35 638.21 有色金属冶炼和压延加工业材料31 600028.SH 中国石化0.93 1,182.80 6.73 7,960.27 石油和天然气开采业能源32 600010.SH 包钢股份0.84 160.05 4.18 669.02 黑色金属冶炼和压延加工业材料33 600089.SH 特变电工0.82 32.40 12.89 417.65 电气机械和器材制造业工业34 600109.SH 国金证券0.79 28.37 18.68 529.93 资本市场服务金融35 601766.SH 中国南车0.77 138.03 10.27 1,417.57 铁路、船舶、航空航天和其他运输设备制造业工业36 600018.SH 上港集团0.75 227.55 6.59 1,499.57 水上运输业工业37 601299.SH 中国北车0.74 122.60 11.44 1,402.52 铁路、船舶、航空航天和其他运输设备制造业工业38 600690.SH 青岛海尔0.73 30.46 19.60 597.00 电气机械和器材制造业可选消费39 600256.SH 广汇能源0.67 52.21 8.53 445.39 石油和天然气开采业能源40 600150.SH 中国船舶0.65 13.78 36.45 502.32 铁路、船舶、航空航天和其他运输设备制造业工业41 600637.SH 百视通0.65 11.14 36.40 405.40 电信、广播电视和卫星传输服务可选消费42 600196.SH 复星医药0.62 23.12 22.06 509.94 医药制造业医疗保健43 600518.SH 康美药业0.62 21.99 16.42 361.03 医药制造业医疗保健44 601998.SH 中信银行0.62 467.87 7.60 3,555.84 货币金融服务金融45 600832.SH 东方明珠0.57 31.86 13.56 432.07 公共设施管理业工业46 600406.SH 国电南瑞0.54 24.29 15.19 368.96 软件和信息技术服务业工业47 600703.SH 三安光电0.44 23.93 15.52 371.41 计算机、通信和其他电子设备制造业信息技术48 600372.SH 中航电子0.38 17.59 28.18 495.73 铁路、船舶、航空航天和其他运输设备制造业工业49 600332.SH 白云山0.37 12.91 27.11 350.08 医药制造业医疗保健50 601118.SH 海南橡胶0.26 39.31 8.61 338.47 农业日常消费。
2012年底中国行业A股市值总表(单位:亿元)2012年市值排名证监会行业2012年A股市值(亿元)2012年A股股本(亿股)股本排名上市公司家数家数排名2011年A股市值(亿元)2011年市值排名2012年市值增量(亿元)增量排名2012年市值增幅(%)增幅排名1金融、保险业56915.3510737.451421950520.8916394.46112.66%7 2采掘业34084.343377.132581434701.082-616.7420-1.78%18 3制造业--机械、设备、仪表25578.682948.83477124073.0631505.624 6.25%12 4制造业--金属、非金属14302.862064.434201313522.934779.938 5.77%13 5制造业--食品、饮料10698.48522.21495910656.07542.41150.40%15 6房地产业10306.571320.53712887637.9392668.64234.94%2 7制造业--石油、化学、塑胶、塑料9460.921137.41925629278.946181.9812 1.96%14 8制造业--医药、生物制品9298.36633.411314768230.5971067.77512.97%6 9电力、煤气及水的生产和供应业7547.061330.12676136720.3912826.67712.30%9 10交通运输、仓储业7358.051785.94577117417.3210-59.2718-0.80%17 11信息技术业7240.78864.351020137925.528-684.7422-8.64%21 12建筑业6989.061251.4852164980.55142008.51340.33%1 13制造业--电子6728.1834.321115355771.5613956.54616.57%5 14批发和零售贸易6350.48730.0512********.8411-619.3621-8.89%22 15社会服务业4141.36420.061679103501.6415639.72918.27%4 16综合类2862.2488.71554152540.7416321.461012.65%8 17传播与文化产业2249.08225.631936202030.5818218.51110.76%10 18制造业--纺织、服装、皮毛2240.3323.21777112437.3717-197.0719-8.09%2019农、林、牧、渔业1984.99227.511846171992.4419-7.4516-0.37%16 20制造业--造纸、印刷1278.92201.032045181190.132088.79137.46%11 21制造业--其他制造业1093.96107.252126211118.4221-24.4617-2.19%19 22制造业--木材、家具356.6360.95221222291.042265.591422.54%3——合计229066.5331591.87——2469——213509.03——15557.5——7.29%——。
a股市场行情总结A股市场行情总结近年来,A股市场经历了许多波动和变化。
本文将从以下几个方面对A股市场的行情进行总结。
一、A股市场概况A股市场是指中国证券交易所上市公司的股票交易市场,是中国最大的股票市场之一。
截至2021年底,A股上市公司数量已经超过4000家,总市值超过100万亿元人民币。
二、A股市场历史走势1. 2007年至2008年:A股市场出现“牛市”,上涨幅度较大。
2. 2008年至2013年:A股市场经历了长达5年的“熊市”,整体下跌。
3. 2014年至2015年:A股再次出现“牛市”,但持续时间较短。
4. 2015年至2016年:A股再次进入“熊市”。
5. 2016年至2020年:A股逐渐回暖,并出现了多次波动。
三、当前A股行情1. 指数表现:目前,沪指、深成指和创业板指数均处于相对高位。
其中,创业板指数表现最为突出,涨幅明显。
2. 行业表现:近期,科技板块表现较为强劲,医药、消费等板块也有不错的表现。
3. 个股表现:一些公司的股价表现突出,如茅台、五粮液等。
四、影响A股市场行情的因素1. 宏观经济形势:宏观经济形势对A股市场行情有重要影响。
如国内GDP增长率、国际贸易形势等。
2. 政策因素:政策对A股市场行情的影响也很大。
如监管政策、财政政策等。
3. 公司业绩:公司业绩是影响个股表现的重要因素。
好的业绩能够带动股价上涨。
4. 投资者情绪:投资者情绪也可能对A股市场行情产生影响。
如投资者信心不足可能导致市场下跌。
五、未来A股市场走势预测1. 经济复苏带动市场上涨:随着疫情逐渐得到控制和经济逐渐复苏,未来A股市场有望持续上涨。
2. 政策支持:政策对A股市场的影响也很大,政府可能会出台一些支持股市的政策。
3. 风险因素:虽然未来A股市场有望上涨,但是仍存在一些风险因素,如国际贸易形势不确定等。
六、投资建议1. 长期投资:对于那些长期看好中国经济和A股市场的投资者,可以考虑进行长期投资。
中国2018年A股跌幅前50股票交易情况统计(依据中国证券期货统计年鉴2013-2019收集整理,便于2012-201739002785万里石-57.502680.00 201740002762金发拉比-57.503331.80 201741002633申科股份-57.501743.00 201742600767 *ST运盛-57.492254.08 201743300533冰川网络-57.285063.00 201744603878武进不锈-57.273425.92 201745603031安德利-57.161942.40 201746300417南华仪器-57.111902.91 201747603819神力股份-57.002057.56 201748300491通合科技-56.792597.68 201749600649城投控股-56.7422260.27 201750002209达意隆-56.661962.20 2017合计———174231.38 201720161300372欣泰电气-83.84519.82 20162300333兆日科技-64.585701.92 20163002667鞍重股份-62.343828.63 20164300245天玑科技-59.234708.43 20165300028金亚科技-58.914877.64 20166600645中源协和-58.7810347.25 20167300188美亚柏科-57.7610616.72 20168300392腾信股份-57.446524.16 20169300299富春通信-56.867702.65 201610002751易尚展示-56.726523.89 201611002018华信国际-56.1323165.50 201612002292奥飞娱乐-56.0429689.10 201613600556ST慧球-55.934709.89 201614300364中文在线-55.9111259.21 201615300288朗玛信息-55.699242.70 201616300383光环新网-55.1718050.47 201617600756浪潮软件-55.037480.20 201618002739万达院线-54.8263494.13 201619600160巨化股份-54.4622341.43 201620002368太极股份-54.1812721.43 201621300336新文化-53.0210562.82 201622300109新开源-52.908340.00 201623300479神思电子-52.684091.20 201624002312三泰控股-52.6712058.30 201625002568百润股份-52.5918845.46 201626002183怡亚通-52.4022898.60 201627000972中基健康-52.385398.99 201628300431暴风集团-52.0012727.68 201629002612朗姿股份-51.857248.00 201630600978宜华生活-51.8115792.57 201631300467迅游科技-51.757307.17 201632002184海得控制-51.614955.44 201633002153石基信息-51.5225997.64 201634300085银之杰-51.3514295.89 201635000638万方发展-51.294603.87 201636000622*ST恒立-50.593886.57 201637603227雪峰科技-50.565440.86 201638300384三联虹普-50.556192.13201439002456SZ欧菲光-20.8119540.40 201440300014SZ亿纬锂能-20.695528.14 201441600597SH光明乳业-20.4821486.92 201442300104SZ乐视网-20.4327288.21 201443002683SZ宏大爆破-20.435996.54 201444000661SZ长春高新-19.8411386.01 201445002148SZ北纬通信-19.774653.96 201446002557SZ洽洽食品-19.386391.58 201447600119SH长江投资-18.984414.26 201448300307SZ慈星股份-18.956921.26 201449600728SH佳都科技-18.736377.03 201450300205SZ天喻信息-18.325818.66 2014合计---521240.70 2014201320131000010深华新-58.984510.50 20132000799酒鬼酒-56.544588.00 20133600395盘江股份-55.1612015.68 20134002304洋河股份-54.8744085.60 20135600547山东黄金-54.5724548.00 20136002506*ST超日-54.401965.40 20137600809山西汾酒-52.3116710.87 20138000780平庄能源-52.074625.24 20139600381*ST贤成-50.833331.84 201310600546山煤国际-50.129813.16 201311601699潞安环能-49.8424552.57 201312600348阳泉煤业-49.8116979.30 201313601268*ST二重-49.805825.36 201314600188兖州煤业-49.7326284.80 201315000983西山煤电-48.7422373.52 201316002155辰州矿业-48.607860.56 201317000961中南建设-48.248209.91 201318000629攀钢钒钛-48.0618382.06 201319600489中金黄金-47.7125164.61 201320600702沱牌舍得-46.785072.99 201321000630铜陵有色-46.6414244.50 201322600779水井坊-46.584978.28 201323000960锡业股份-46.1812295.03 201324600199金种子酒-46.055635.56 201325600531豫光金铅-45.622739.93 201326600961*ST株冶-45.172932.67 201327600997开滦股份-44.896876.94 201328600123兰花科创-44.7912189.41 201329000937冀中能源-44.7817161.60 201330601101昊华能源-44.358651.99 201331300278华昌达-43.831277.96 201332000656金科股份-43.779361.00 201333600971恒源煤电-43.067130.03 201334600432吉恩镍业-42.746269.97 201335000422湖北宜化-42.725629.62 201336000858五粮液-42.5859444.84 201337600815厦工股份-42.453807.11201338000878云南铜业-42.4312336.83 201339600724宁波富达-41.966055.56 201340000718苏宁环球-41.379337.39 201341600376首开股份-41.1211277.32 201342601918国投新集-40.9810310.36 201343600157永泰能源-40.889527.15 201344600988赤峰黄金-40.723575.28 201345002237恒邦股份-40.706254.45 201346000869张裕A-40.6712243.44 201347600111包钢稀土-40.1053938.92 201348000758中色股份-39.5010585.41 201349002128露天煤业-39.2210640.02 201350600331宏达股份-39.164200.24 2013合计---627808.78 2013201220121601012隆基股份-67.623661.96 20122600537亿晶光电-60.723872.39 20123002214大立科技-60.181500.00 20124002416爱施德-55.225425.11 20125300111向日葵-54.182957.29 20126300029天龙光电-52.901226.00 20127600603*ST兴业-52.63860.32 20128002601佰利联-52.374327.76 20129002073软控股份-49.955612.28 201210002610爱康科技-48.321650.00 201211002269美邦服饰-47.8313125.30 201212300077国民技术-47.783908.64 201213300307慈星股份-47.327218.00 201214300118东方日升-47.002424.80 201215002123荣信股份-46.974364.64 201216300223北京君正-46.661346.80 201217300134大富科技-46.612819.20 201218002006精功科技-46.493823.34 201219002261拓维信息-45.882267.55 201220600132重庆啤酒-45.517438.64 201221300036超图软件-45.021304.40 201222002218拓日新能-44.532855.24 201223600298安琪酵母-44.155382.90 201224002498汉缆股份-43.976467.58 201225002651利君股份-43.955517.76 201226600793ST宜纸-43.66921.38 201227601908京运通-43.015201.61 201228300274阳光电源-43.002774.02 201229000810华润锦华-42.621011.39 201230300323华灿光电-42.602296.00 201231000869张裕A-42.4421312.66 201232300046台基股份-41.821267.35 201233600550天威保变-41.778938.17 201234002055得润电子-41.692379.30 201235603333明星电缆-41.512828.83 201236002293罗莱家纺-41.476070.701298.271236.3228311.66116.12 4.03 1137.191093.1438784.3745.47 3.62 1732.54706.8912539.55 3.38 2253.421209.6712330.2751.918.45 1808.92192.6317224.3432.57 3.41 1713.131141.1433087.4926.80 1.69 968.81307.0312541.8250.23 3.19 648.02488.6718804.9554.18 4.83 955.38549.6717919.4366.88 2.77 908.30679.2928435.4963.33 6.48 21302.973843.1543654.6612.66 1.17 1920.47695.2910716.81 3.25 109160.4555827.481063533.17——299.16944.009804.8288.600.83 5615.292915.0070760.55136.97 6.68 2556.19890.0032953.94614.85 5.12 3375.322748.0061850.07102.82 5.84 4877.574428.0079979.08383.2414.31 9461.262137.0080351.34273.30 6.52 6009.563337.0091409.1378.27 6.23 2788.311313.0032333.1544.337.51 3750.75967.0026213.75110.10 5.59 3527.121365.0096096.31165.3314.76 23165.407967.0080991.31146.547.60 15293.686053.00204758.1560.74 6.31 4709.892984.0045778.31—63.26 5274.641024.0071363.85359.60 4.35 4640.291010.0035434.5393.928.35 8781.512488.0091940.16158.88 3.05 6433.493949.00122189.7164.78 3.66 21952.421405.00105896.6953.55 6.23 19159.497144.0081924.47147.73 2.15 12083.741394.0051217.6363.14 5.91 8783.992048.0049786.2442.56 3.89 4130.89836.0045280.90146.34 6.89 2219.48651.0034324.4982.7810.45 8834.247280.0096773.380.00 2.93 7711.491605.0039036.6337.6821.13 22883.919320.00173150.0546.27 4.29 5398.245916.0042175.700.00 5.42 8834.173201.00217899.1272.9516.07 4039.27978.0022386.7797.31 3.01 15792.577353.0085151.9822.26 2.13 4293.83795.0048733.92122.5214.47 2796.18925.0023558.1863.65 4.48 11806.361399.0053860.0372.02 5.37 6875.363431.00115393.53195.6915.25 4577.801605.0031780.830.0021.02 3886.571515.0016474.290.0028.87 3481.921616.0022218.17— 4.83 2004.81570.0029516.3953.807.6558900.2034294.15492405.2534.54 3.69 5944.592899.5547136.7220.40 1.82 16676.465018.52134313.2346.12 2.82 18655.5123712.38241505.2120.430.79 9217.6214861.35115279.69905.07 6.72 115130.2225067.82569890.2429.51 2.02 7307.875578.1349345.0425.75 1.91 45946.467992.62181226.239.88 1.59 246870.8420074.53409199.738.09 1.01 51371.0121548.52154965.4238.04 1.49 33515.0444985.90325131.7869.02 1.04 8893.861287.7433545.0534.38 2.62 1776111.44930756.2114308113.52——14492.373885.42104011.3820.72 4.86 2404.351610.9940212.8197.89 4.38 16258.821710.8170481.5822.34 3.76 10454.171440.3422727.7139.30 2.50 1243.831429.4414003.6250.32 3.17 5168.32759.9541662.8326.44 5.47 4933.231572.6525554.7981.58 3.99 6181.94853.8536875.8126.269.48 4309.761512.4723349.8441.77 2.69 3955.831057.4322846.7464.88 4.32 3705.654311.7422825.5123.21 2.03 3907.191605.9217792.3571.51 4.51 2655.701013.0421183.74126.33 5.50 5262.84580.4818918.3220.46 3.97 1983.32297.2913257.0232.89 5.86 2608.222161.1128471.94-38.78 1.80 38226.722326.6278167.7516.59 4.78 29699.433717.48102375.5924.31 5.12 4766.90347.8311377.8265.24 3.06 5124.381791.9333161.3735.08 3.68 7499.931375.2212762.8614.68 3.24 4710.814475.2744787.53-27.30 6.11 8551.391155.4533764.7931.297.05 2832.42233.228140.3249.08 4.10 1537.31675.505755.71261.768.78 1935.84972.4412549.7339.19 2.27 2476.49559.4319684.8838.31 3.86 2633.96712.5411767.3951.30 2.50 1368.341285.2522007.6372.48 3.47 17544.882537.5636226.6717.13 4.02 796.22252.939467.4162.38 4.65 1603.801334.9127760.3528.14 6.54 6565.561497.8521997.2314.85 1.98 906.88654.8318631.7032.85 3.05 14978.841117.4548296.6627.10 6.04 10789.301344.3140608.5447.54 4.79 1388.882307.9830512.01-59.21 2.93 3007.27976.6410828.2175.14 4.4613663.803027.7076890.5827.19 3.45 4329.572138.2339750.9945.12 5.82 21376.313783.3263716.2842.58 4.86 15464.142596.27107176.3194.478.74 2556.50321.069066.3034.18 3.07 11385.77325.0231237.6545.218.67 3160.481669.4445925.55124.60 4.52 6391.58650.1012706.5722.20 2.42 4414.263208.0447616.52133.44 5.82 1352.391794.3420382.39-27.78 1.76 5064.661452.2721389.1848.89 5.84 5747.132452.6246525.3293.55 5.31 353377.6980873.991687191.78--2073.971312.8210008.164261.117.20 3165.732593.7659977.769.26 2.52 12015.682464.4331209.5525.04 1.66 36037.531104.6866581.977.16 2.60 24548.002611.2569433.3921.78 2.90 1102.763617.4612292.690.00 3.41 16710.871882.6949315.9817.40 4.36 4625.241428.509796.0111.400.98 2462.697137.3623754.28101.40-9813.163927.3335208.9340.22 1.23 24552.574117.5164158.5416.06 1.44 16979.303632.8840962.7318.16 1.32 4292.601407.045805.93- 3.21 26284.801995.0626936.5234.36 1.12 22373.313872.6939686.3412.36 1.33 7859.112072.1827346.2714.65 2.62 7232.921601.4616188.567.99 1.18 10200.9814057.3740824.0631.01 1.22 25164.614825.7658063.2358.38 2.52 5072.992160.5441472.17430.86 2.27 14244.222515.1236632.0615.42 1.29 3009.351454.4320868.72- 3.06 9681.641543.6124992.20356.00 1.66 5635.563291.5348111.8642.23 2.60 2739.93643.008007.76- 2.04 2932.67767.985339.85126.35 4.17 6876.941376.029527.2727.310.99 12189.413877.7463390.8512.17 1.26 16277.833945.5346001.507.63 1.11 8651.992164.0722585.4716.44 1.28 578.73412.284132.1940.94 2.34 3371.371301.3615543.257.35 1.21 7130.031706.2716667.6523.05 1.02 6269.97822.248890.7763.63 2.11 5478.653285.7628766.42 6.500.90 59438.945737.13125472.90 5.98 1.69 3730.652563.8413581.09-0.9412336.711407.5516820.30435.50 2.27 6054.311411.877109.8014.90 1.58 6717.202540.9215562.6410.88 2.10 11277.324256.5532224.568.750.81 10310.362943.0221572.69691.30 1.19 7728.987450.1957612.1419.990.97 1773.15859.1213735.8115.68 5.99 5498.041645.3030377.2021.47 1.91 12243.44631.1523766.5510.89 3.07 32947.798689.44247547.1034.26 6.90 9691.793007.6843022.6052.18 2.52 10640.02912.609523.19 6.74 1.77 4200.241999.9610712.20158.80 5.50 562226.04142986.011757121.65--918.00412.963951.47- 1.27 1833.371517.2920419.40- 3.28 1068.03486.3210603.5948.69 3.38 774.72738.286630.1615.51 1.42 975.691143.268493.8083.00 2.18 1069.101044.5510685.9919.97 1.09 860.32910.114358.8548.760.00 2568.75516.4823563.0910.35 2.03 4646.832934.9128717.3812.41 1.85 917.861133.0710754.577.25 1.32 13125.30357.806517.4311.29 3.25 2383.371194.3427341.2536.38 1.44 1098.00513.6410319.968.05 1.81 1207.441452.1612244.0546.56 1.04 3916.701592.4218788.3915.46 2.03 587.78218.694266.0419.24 1.25 946.81685.498887.4114.93 1.23 3489.772257.0133098.019.38 3.21 1464.211559.1423647.9634.78 2.79 7438.644055.39106593.8346.77 5.01 894.40248.253368.5327.87 2.36 2796.031374.6212311.320.00 1.99 4817.12587.7512691.6422.13 2.01 860.78399.674554.2322.75 1.73 564.16262.635039.0711.87 2.73 921.38163.451660.0916.4436.02 1255.49778.1710570.5868.55 1.43 1213.63780.6710819.2812.80 1.51 1011.39230.422465.7918.35 2.10 574.00518.877737.2018.43 1.38 21312.66368.9723646.5717.15 5.99 637.96188.232227.0614.77 1.51 8938.171409.0713435.27- 1.67 2308.851204.2110940.7219.73 2.09 707.23694.645772.7234.06 1.81 6070.70112.786363.5116.50 3.441276.11 1598.73 781.70 354.83 728.64 2241.45 1337.69 1759.40 1789.39 1596.82 158.76 367.47—955.80880.88980.33 1393.03 1287.42605.41 1187.86800.32522.82 1797.10349.75898.36755.78767.31595.16707.25 1416.64346.17394.51353.20458.18990.44749.72721.02421.36442.30767.12 1666.78438.75495.86810.69684.86288.81 1042.90521.56356.36383.33 1179.00723.07530.33606.99886.00919.00420.21575.08269.98121.72213.40718.47535.53—596.55 1277.12 361.16 150.38 1004.86 761.42 407.73 460.80 420.58 476.05 537.56 428.63 670.77 293.17 554.06 919.73 192.01 309.88 390.55 593.12 153.42 862.66 363.48 615.70 305.83 563.20 844.12 394.86 1264.37 231.32 1090.79 1618.08 327.64 1789.82 296.20 315.09 1750.41 361.38474.29 730.44 309.32 546.71 307.19 247.49 1127.12 263.56 1043.60 1145.02 399.37 976.74-486.12 1156.89 148.90 186.27 183.49 777.19 217.44 140.84 602.82 262.76 178.94 151.06 130.60 446.06 122.90 235.19 155.65 294.91 163.96 640.54 176.92 492.49 170.28 592.24 217.78 297.07 111.45 339.44 219.84 286.24 888.15 337.15 170.63 101.37 379.81 151.15 273.2999.3897.71 173.35 224.56 136.47 543.84 849.75 411.17 139.18 587.34 350.6868.79 193.79-397.56 659.60 683.89 545.39 1023.47 956.93 467.58 977.94 484.91 1245.0035.60 738.54 726.86 654.16 351.57 727.00 840.67 646.43 989.71 837.94 362.89 300.19 208.11 419.74 721.78 155.22 825.37 1103.29 177.70 1037.7488.19 263.19 102.63 372.72 807.94 194.14。
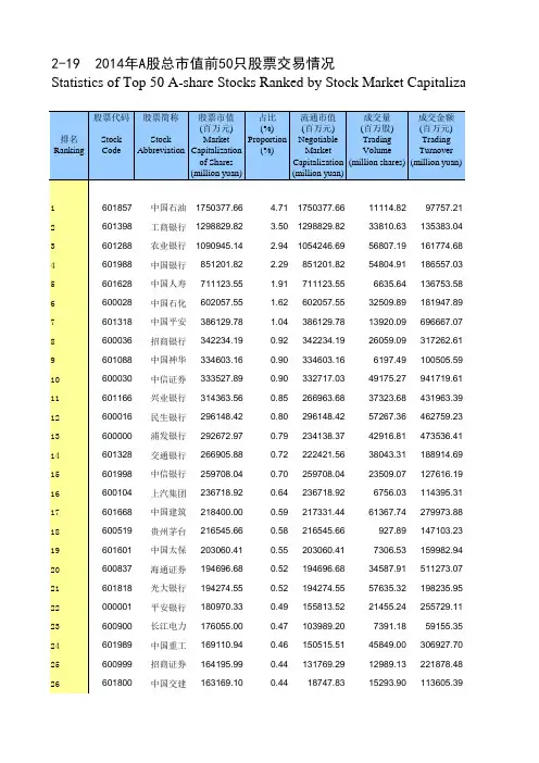
中国A股总市值前50只股票交易情况统计201738601390中国中铁156363.690.28 201739001979招商蛇口154604.050.27 201740600018上港集团154104.940.27 201741601800中国交建150364.610.27 201742601336新华保险146397.840.26 201743603288海天味业145324.920.26 201744601211国泰君安139198.290.25 201745000617中油资本135450.850.24 201746601006大秦铁路134841.800.24 201747601169北京银行130473.280.23 201748601186中国铁建128146.150.23 201749601238广汽集团125007.330.22 201750000063中兴通讯124975.480.22 2017合计17436089.9330.85 201720161601857中国石油1287280.52 2.54 20162601398工商银行1188989.86 2.35 20163601288农业银行911571.41 1.80 20164601988中国银行725033.37 1.43 20165600028中国石化516967.54 1.02 20166601628中国人寿501638.840.99 20167600519贵州茅台419758.490.83 20168601318中国平安383801.300.76 20169600036招商银行363069.420.72 201610600000浦发银行350432.320.69 201611601166兴业银行307504.720.61 201612600900长江电力278520.000.55 201613600016民生银行268330.070.53 201614601088中国神华266824.990.53 201615601668中国建筑265800.000.53 201616600104上汽集团258549.540.51 201617601328交通银行226477.490.45 201618601766中国中车223905.850.44 201619601998中信银行218277.380.43 201620000002万 科 A199832.240.39 201621000333美的集团181940.920.36 201622601800中国交建178440.510.35 201623601601中国太保174581.660.34 201624601390中国中铁165123.040.33 201625600030中信证券158007.610.31 201626000001平安银行156250.740.31 201627601818光大银行155658.510.31 201628600050中国联通154947.120.31 201629300498温氏股份153217.460.30 201630601169北京银行148417.150.29 201631000651格力电器148107.290.29 201632002415海康威视145305.450.29 201633601211国泰君安141748.750.28 201634601229上海银行139783.600.28 201635601186中国铁建137578.820.27 201636000858五 粮 液130884.930.26 201637601989中国重工130184.210.26201438000333美的集团115681.780.31 201439600019宝钢股份115461.890.31 201440601169北京银行115422.890.31 201441000725京东方A114075.280.31 201442000651格力电器111651.970.30 201443600050中国联通104923.150.28 201444601336新华保险103354.370.28 201445601788光大证券97549.720.26 201446600011华能国际92715.000.25 201447002415海康威视89842.800.24 201448600585海螺水泥88313.430.24 201449600887伊利股份87732.940.24 201450600795国电电力87149.920.23 2014合计--14096485.3237.96 201420131601857中国石油1248419.22 5.26 20132601398工商银行944322.20 3.98 20133601288农业银行729257.13 3.07 20134601988中国银行512278.66 2.16 20135600028中国石化407912.25 1.72 20136601628中国人寿315060.01 1.33 20137601088中国神华260888.22 1.10 20138600036招商银行224649.200.95 20139601318中国平安199736.870.84 201310601166兴业银行193190.690.81 201311600000浦发银行175902.240.74 201312600016民生银行174380.850.73 201313600104上汽集团155901.510.66 201314601328交通银行150723.320.63 201315600519贵州茅台133281.550.56 201316600030中信证券125441.900.53 201317601998中信银行123472.980.52 201318600018上港集团120147.350.51 201319601601中国太保116492.550.49 201320601006大秦铁路109865.590.46 201321601818光大银行106002.570.45 201322600900长江电力104280.000.44 201323000895双汇发展103603.230.44 201324000001平安银行100417.670.42 201325000651格力电器98236.890.41 201326601668中国建筑94200.000.40 201327002415海康威视92315.790.39 201328600837海通证券91602.920.39 201329601989中国重工85123.430.36 201330000333美的集团84316.170.36 201331601633长城汽车82720.530.35 201332600887伊利股份79837.080.34 201333000002万科A77891.110.33 201334600015华夏银行76312.790.32 201335000776广发证券73872.760.31 201336000538云南白药70808.240.30 201337600050中国联通68041.070.29201338600585海螺水泥67834.960.29 201339600019宝钢股份67369.350.28 201340002024苏宁云商66668.880.28 201341601169北京银行66089.200.28 201342601808中海油服66077.650.28 201343600023浙能电力61552.720.26 201344000858五粮液59444.840.25 201345600999招商证券59102.750.25 201346601766中国南车59012.790.25 201347600048保利地产58888.450.25 201348002594比亚迪58818.480.25 201349600111包钢稀土53938.920.23 201350002241歌尔声学53547.170.23 2013合计--8709252.6936.69 201320121601857中国石油1463775.58 6.40 20122601398工商银行1089487.88 4.76 20123601288农业银行823354.82 3.60 20124601988中国银行570933.19 2.50 20125600028中国石化484675.40 2.12 20126601628中国人寿445623.54 1.95 20127601088中国神华418047.81 1.83 20128600036招商银行242909.30 1.06 20129600519贵州茅台217000.380.95 201210601318中国平安216776.490.95 201211600104上汽集团194491.000.85 201212601328交通银行193899.270.85 201213600000浦发银行185042.440.81 201214601166兴业银行180025.200.79 201215600016民生银行177538.560.78 201216601601中国太保141450.750.62 201217601998中信银行136873.150.60 201218600030中信证券131443.440.57 201219601818光大银行123326.110.54 201220601668中国建筑117000.000.51 201221600900长江电力113355.000.50 201222000858五粮液107160.140.47 201223601006大秦铁路100499.510.44 201224600048保利地产97076.720.42 201225000776广发证券91275.470.40 201226600111包钢稀土90705.550.40 201227600019宝钢股份83726.820.37 201228600837海通证券82944.350.36 201229000001平安银行82076.070.36 201230601169北京银行81841.480.36 201231600031三一重工80417.350.35 201232000651格力电器76700.570.34 201233600011华能国际74970.000.33 201234600050中国联通74188.090.32 201235600585海螺水泥73794.510.32 201236601898中煤能源71568.640.31 201237600015华夏银行70894.660.31201238601989中国重工69964.960.31 201239000895双汇发展63706.750.28 201240002415海康威视62487.910.27 201241601800中国交建62260.350.27 201242601899紫金矿业60528.570.26 201243601186中国铁建60233.510.26 201244601336新华保险60102.360.26 201245600018上港集团59846.120.26 201246601766中国南车58423.840.26 201247000157中联重科57801.270.25 201248600256广汇能源57436.500.25 201249601688华泰证券54880.000.24 201250000069华侨城A54536.240.24 2012合计--9789077.6342.79 2012153772.1813884.27124422.6311.93 1.23 37161.146812.56130883.4016.14 2.76 151321.9410411.5871521.7113.36 2.22 150364.616546.52108552.6110.06 1.14 146397.842904.59163659.2040.68 3.44 145092.50618.9525605.3241.1512.36 87649.437227.06143345.7516.33 1.31 4313.091031.1618958.8324.47 1.93 134841.8010776.1489713.7010.10 1.36 130473.289502.0878705.278.070.86 128146.1512668.32159904.009.42 1.01 106428.732087.0454781.5016.67 2.59 124859.6814763.69389173.53 4.94 16357782.03888362.5011184743.271287280.528603.3864972.22184.18 1.22 1188989.8622759.2298956.26 5.650.80 911571.4130992.3397349.00 5.470.76 725033.3733463.95113726.52 6.150.72 516967.5425296.28123532.6714.110.92 501638.843141.1771006.7035.60 2.24 419758.49732.48202381.2025.11 5.76 383801.3010555.73347819.1610.38 1.69 363069.427110.98121564.337.15 1.10 332610.056895.10119956.04 6.600.95 307504.7212720.91200714.28 5.710.88 123383.625348.4768377.6413.40 2.17 268330.0720681.77189093.87 6.920.97 266824.994951.5775369.6314.17 1.03 265328.7957091.82438657.898.90 1.40 258549.544703.32103490.218.08 1.35 226477.4919761.54111358.75 6.380.68 223905.8520362.58205283.8523.60 2.54 204512.109962.4860840.617.530.83 199447.2518267.16414877.3012.53 2.26 174080.217392.95200336.2214.19 3.10 178440.516016.4377607.4414.67 1.54 174581.662910.5977880.3220.87 1.91 162386.3617819.52148363.2916.18 1.44 157623.4728522.94472659.9418.77 1.36 133071.1312808.55124228.067.150.79 155658.5121389.5181484.26 5.960.72 154947.1236182.75197181.751005.67 2.00 104986.461728.3570368.3724.69 5.22 148417.1511963.39115933.308.34 1.04 146964.8210108.19242834.0611.82 2.98 111544.633844.5699622.0824.76 6.76 88748.838888.78164737.2914.40 1.42 13978.481478.2940171.179.77 1.21 137578.8214954.36160853.7211.60 1.24 130877.666292.08198703.9421.19 2.88 127321.2033817.03236060.54186.50 2.3014400.001270.21158122.51167.8028.42 73533.078306.61270329.2613.33 2.94 108514.477635.16274577.5229.998.19 133476.8221021.52669108.489.50 2.99 133438.5846847.28540163.148.54 1.24 130994.97105723.77766741.1032.90 1.67 94512.6226474.89358401.507.21 1.16 128151.7435932.64418022.229.03 1.46 128017.5260881.261328797.3523.60 1.76 104227.2720981.08574372.4832.73 2.75 23290.0015326.61440151.3752.53 3.89 56828.7196857.89537719.38586.76 2.38 115130.2225067.82569890.2429.51 2.02 12145474.342776888.0534747450.221750377.6611114.8297757.2115.18 1.69 1298829.8233810.63135383.04 6.17 1.20 1054246.6956807.19161774.68 6.67 1.26 851201.8254804.91186557.03 6.94 1.16 711123.556635.64136753.5833.72 3.74 602057.5532509.89181947.8911.36 1.28 386129.7813920.09696667.0717.42 2.57 342234.1926059.09317262.617.21 1.39 334603.166197.49100505.599.69 1.41 332717.0349175.27941719.6147.20 4.03 266963.6837323.68431963.39 6.77 1.34 296148.4257267.36462759.238.12 1.58 234138.3742916.81473536.41 6.38 1.27 222421.5638043.31188914.697.76 1.11 259708.0423509.07127616.199.38 1.52 236718.926756.03114395.318.70 1.63 217331.4461367.74279973.889.15 1.65 216545.66927.89147103.2314.67 4.44 203060.417306.53159982.9428.87 2.63 194696.6834587.91511273.0743.57 3.51 194274.5557635.32198235.958.03 1.32 155813.5221455.24255729.119.41 1.43 103989.207391.1859155.3516.07 2.13 150515.5145849.00306927.7067.47 2.81 131769.2912989.13221878.4851.63 4.17 18747.8315293.90113605.3916.23 2.20 158960.3433978.06177532.0119.44 2.09 158480.0012633.22107313.0411.14 1.96 156586.6117560.12143340.1617.37 2.17 153605.6113824.78229733.2843.30 4.16 146088.2512307.0367258.5524.46 2.81 137032.0017815.39282183.7045.66 3.59 134922.8125803.92241270.039.93 1.95 6007.701088.9232409.578569.5414.70 87324.2615348.14151688.29 6.83 1.25 116095.8431829.86217856.229.50 2.10 85949.0031404.06272992.7766.30 3.8961540.674445.85111900.5311.28 3.04 115134.1912143.9561127.6418.66 1.02 98016.8413316.06112238.847.68 1.26 38659.1247148.70122283.1441.62 1.57 110857.745310.27161284.508.51 2.80 104923.1537272.23140899.9625.22 1.36 103354.373356.57110505.8522.75 3.30 97549.7211055.48187664.95164.10 4.00 92715.007223.1047363.9911.24 1.84 70476.044229.8583320.0922.37 6.96 88313.437346.12129876.629.62 1.87 86113.998391.73236332.8020.74 4.89 78654.5045013.06149012.7113.48 1.95 13253725.541181501.5910586767.84--1248419.224765.8739978.1710.89 1.25 944322.2016620.5466851.59 4.780.99 704725.5530227.2682398.95 4.840.96 512278.669095.4226068.54 4.660.79 407912.2512350.5067605.977.770.92 315060.014164.9868269.0717.27 1.94 260888.223382.2565539.28 6.89 1.16 224649.2020588.71250214.57 5.31 1.03 199736.878697.35348380.4911.33 1.75 164061.3125754.14365072.92 4.690.97 140721.7938986.50396534.77 4.300.86 174380.8544265.13422568.71 5.18 1.11 130687.847423.03110527.34 6.29 1.13 125602.7619352.9186913.79 4.580.68 133281.55983.75166735.838.81 3.13 125136.9426540.74333492.7026.79 1.60 123472.988201.6935131.21 4.620.80 110831.4216105.3485353.1122.86 2.41 115039.565631.46106629.3018.13 1.70 109865.598193.7358156.088.66 1.43 106002.5725973.8779947.21 4.610.81 61594.354899.9534253.9011.50 1.33 57048.211148.4354283.1335.947.81 68248.2217718.62265387.027.48 1.06 97506.514357.18120149.2113.22 3.14 93739.1124437.8285598.14 4.620.80 67604.612418.0568042.2742.959.38 91602.9230660.91347810.0826.89 1.76 66275.1615324.7589078.8229.00 1.78 34315.90596.4627925.8016.13 2.64 12525.68953.5434893.2315.23 4.47 62065.633197.60109779.0525.05 4.95 77670.2820844.55214829.637.04 1.30 55599.489293.7085069.16 4.920.89 73872.768248.36111993.8833.73 2.15 70805.90497.2145518.1844.738.36 68041.0723699.5681297.2019.760.9167834.966497.74109887.749.58 1.60 67369.356268.5828430.4611.580.61 44614.6527234.31248617.2924.41 2.32 56122.798430.7373477.55 4.910.85 64961.651845.5034769.1214.94 2.69 4111.28951.737356.8010.69 1.70 59438.945737.13125472.90 5.98 1.69 59102.758570.11104387.0526.51 2.18 50685.6512540.6856688.3116.70 1.89 58888.4514790.06164650.13 5.48 1.14 14479.392291.1677220.831256.00 4.10 32947.798689.44247547.1034.26 6.90 41669.812176.0487485.0857.409.12 8057820.56611625.076404268.66--1460159.583509.9233124.1814.35 1.55 1089487.8810483.7843094.42 6.08 1.29 71597.6516921.6944591.41 6.27 1.21 570933.195879.0116980.87 5.850.99 484675.407080.1648580.369.46 1.17 445623.543038.6255494.3654.68 2.74 413484.812914.1272163.3510.58 1.99 242909.3011818.28135096.63 6.55 1.48 217000.38743.04163159.7016.31 6.35 216776.495230.60213688.6817.27 2.17 161764.514855.9170108.429.37 1.59 161582.7212036.5355456.33 6.280.97 148033.9516095.61137442.55 5.41 1.04 180025.2011522.10155020.67 5.19 1.06 177538.5625107.14160310.15 5.94 1.37 139686.464180.8485724.5840.16 2.12 135955.804430.8918280.50 6.47 1.01 131123.8817101.16204482.7634.73 1.70 57751.1111763.2733467.83 5.23 1.08 117000.0016276.8852850.737.44 1.15 66954.623689.4524253.3810.95 1.51 107148.145698.78184866.2817.65 3.70 100499.518451.4658668.558.74 1.43 97076.729887.85112841.9311.50 2.28 37857.445576.9991700.5440.26 2.83 55406.1510625.92462841.0660.0513.50 83726.826571.8831126.788.060.75 82944.3514260.79133561.0932.53 1.67 49701.574291.6965631.75 6.53 1.00 69499.595623.8350507.477.01 1.14 74456.177295.2587231.0014.14 3.49 76130.313314.0670783.0215.00 3.11 71400.003837.9923875.0517.10 1.81 74188.0918049.5375104.4831.33 1.03 73794.516643.10110071.6915.50 2.00 70434.562600.6121847.1511.17 1.20 51651.976808.2567366.87 5.540.9553938.898707.2945977.9219.56 1.67 35077.10481.3630105.9047.46 5.96 16709.76637.3421148.1742.388.10 6172.126840.5737186.867.170.98 60528.5714745.8560922.1716.03 2.96 58795.365419.3525303.578.54 1.01 31718.741325.9537560.3230.65 2.51 55205.801389.453758.4312.04 1.25 47199.367647.4135324.6517.08 2.09 57784.1011160.36104115.559.00 1.76 33666.944321.1273506.2359.587.09 21838.554969.4847668.3033.97 1.61 24268.127268.3048067.4217.32 3.10 8368884.34389130.764042042.03---4.3175.75 22.23358.59 33.0645.76 -14.7355.73 61.61139.28 86.9434.001.74152.37 -20.00358.62 32.0672.48 -9.6656.56 -5.73110.137.6948.74 127.96430.32-4.27 5.311.378.441.2210.54-9.6615.8812.3326.47 -13.1515.0856.4558.310.0697.441.8034.470.4633.60-1.7466.77-4.0154.88-2.1569.9810.5730.0345.14190.6418.0842.66-6.0950.35 -22.6888.85-8.0731.23 -12.36188.2233.63119.6315.2951.22-0.0846.30 -17.7997.23 -14.56290.62-7.5487.59-3.0653.7320.15170.70-5.2057.9813.9278.6719.48169.346.1082.06 -19.95186.1931.01246.20-9.82130.0029.36165.77 -24.57188.31683.301672.8222.89366.4255.68240.2026.91476.5117.95433.9626.09498.7311.20386.24 -16.32241.59 -33.44751.61 -20.36441.5962.871532.64 -11.52615.24 -24.50420.2146.30 6.86 46.2912.77 61.1019.99 70.7227.82 130.6931.87 51.8135.61 82.14290.51 62.14126.32 36.6737.58 168.95501.0470.68230.6871.37219.34 78.59287.59 89.73116.31 123.2973.68 62.9372.82 143.20205.56 66.9484.49 78.28116.41 115.31427.43 96.51144.77 57.36273.77 76.7175.84 65.90293.42 125.66278.67 262.161133.10 255.42198.79 53.9084.98 234.01171.38 112.25233.55 25.1255.18 178.59318.16 82.61266.73 111.36785.73 65.84236.57 104.74327.35 138.41640.0343.27284.26 75.5973.90 78.61158.37 56.28409.57 19.41177.83 56.65175.84 118.10276.74 229.24323.45 86.0068.79 -1.19136.28 33.01183.67 12.56324.88 108.77285.68 ---11.67 2.95 -8.17 6.32 -5.5277.00 -4.73 4.65 -11.3915.07 -28.6420.00 -33.9120.69 -15.23110.90 -6.68181.71 -5.08196.500.33261.251.62195.97 -16.1180.92 -17.4259.17 -36.5694.76 -1.92270.42 -6.1025.78 111.0476.73 -15.8490.71 15.7855.12 -11.07114.81 -3.4050.28 65.33111.87 23.42430.87 33.23145.94 -16.9481.63 48.91184.77 11.65378.90 19.19133.55 12.2186.91 76.40313.41 79.56201.41 -19.37215.58 13.33165.56 -18.00188.27 50.7971.62 -7.09111.81-6.49162.46 -13.6837.46 36.89551.07 -14.95112.82 38.8263.41 22.24156.49 -42.58151.15 21.78183.87 3.63125.43 -38.20207.20 85.16605.28 -40.10587.34 67.84231.24---3.95 2.17 2.77 3.99 12.3466.88 5.24 3.01 0.8610.12 23.0114.59 3.8317.86 20.1666.90 9.8371.57 32.73109.28 27.6752.95 12.6336.80 21.20107.86 36.76106.82 43.78111.15 19.0567.34 10.0413.98 42.52174.24 10.6371.33 37.2895.46 12.1447.96 -12.69150.14 -3.7056.85 65.62150.79 49.36346.88 99.93901.42 5.2137.56 40.78175.07 3.52138.33 22.9483.10 -13.45103.76 51.00113.31 34.4838.38 -32.6785.15 20.45166.09 -11.0728.87 -5.58136.42-5.62208.65 -16.5179.45 45.83161.161.99719.002.9193.31 58.1854.11 4.91809.13 6.29 6.62 19.4580.36 22.88177.88 43.34253.47 27.04265.40 37.62250.39--。