十字相乘法(附答案解析)
- 格式:doc
- 大小:396.50 KB
- 文档页数:13
首先,我们通过一个例题来简单介绍下十字相乘法的优势。
【例1】某班一次数学测试,全班平均91分,其中男生平均88分,女生平均93分,则女生人数是男生人数多少倍?()A.0.5B.1C.1.5D.2―――〖2008年陕西省公务员录用考试真题〗【解法1】设男生数为x,女生数位y,则88x+93y=91(x+y),解得y:x=3:2。
【解法2】我们可以设90为基数,将平均分看做1,女生平均分为3,男生平均分为-2,同时设男生数为1,则则可以代入选项,A项带入:(0.5×3+1×(-2))/1.5=0.333…;B项带入:(1×3+1×(-2))/2=0.5;C项代入:(1.5×3+1×(-2))/2.5=1符合题意。
【解法3】解得女生男生=32比较上面三种方法,很显然,解法1是基础解法,但要经过复杂的运算;解法2运算较方法1又简便了一些,但最快捷的还是第三种方法,一步就能看出结果。
快捷、实用,这就是十字相乘法的魅力所在。
十字相乘法:一个整体有且只有两个不同的部分组成,其中整体的平均值记作C,两个部分的平均值记作A,B(且A>B),则均值为A的个体与均值为B的个体的个数比为:C -BA-C,上述概念可转换成如下形式:=>均值为A的个体的个数均值为B的个体的个数=C-BA-C在形如:A、B两溶液的浓度分别为a与b,混合后浓度为r;A班平均分为a,B班平均分为b,两班的平均分为r;A地与B地的人口增长率分别为a和b,总体增长率为r;…的题目中,要求A与B的质量(数量)比,都可以列出式子:aA+bB=r(A+B),=>AB =r-ba-r。
十字相乘法使用时要注意几点:第一点:用来解决两者之间的比例关系问题。
第二点:得出的比例关系是基数的比例关系。
第三点:总均值放中央,对角线上,大数减小数,结果放对角线上。
下面我们通过几道真题加深一下对这种方法的理解。
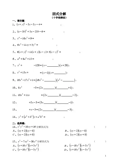
因式分解(十字相乘法)一、填空题:1、()=---+4332y x y x _______________;2、()=--+-625552b a b a _______________;3、=+-91024x x _______________;4、=+-223116y xy x _______________;5、()()()()=-+-+-+223116y x y x y x y x _______________;6、=++15836a a _______________;7、+2x _________()()120________20x x -=-+;8、++x x 132_________()()1________x x =-+;9、()()42221617116________________x x x x -+=--;10、28x _________()()32________________1x -=+;11、x x 11102+_________()()2________________2x =-;12、_________()()533________________1x x +-=-;13、_________()()32________________3x x +-=-;14、()=+++22222b a y b a y _______________;二、选择题:14、161022+-xy y x 分解因式为 ( )A 、()()82-+xy xyB 、()()82--xy xyC 、()()82+-xy xyD 、()()82++xy xy15、422307y xy x --分解因式为 ( )A 、()()22310y x y x ++B 、()()22310y x y x +-C 、()()22310y x y x --D 、()()22310y x y x -+16、分解因式15824++x x 结果为 ( ) A 、()()5322--x x B 、()()5322++x x C 、()()5322-+x x D 、()()5322+-x x17、422452118n n m m +-分解因式为 ( ) A 、()()2222563n m n m -+ B 、()()2222563n m n m -- C 、()()2222592n m n m -- D 、()()2222529n m n m --18、如果()()4222354x x x a x b --=++那么可以判断a 、b 的符号为 ( )A 、a 、b 异号B 、a 、b 同号C 、a 、b 异号且绝对值大的为正D 、a 、b 异号且绝对值大的为负19、在多项式①672++x x ;②342++x x ;③862++x x ;④1072++x x ;⑤44152++x x 中,有相同因式的是 ( ) A 、①② B 、②④ C 、②⑤ D 、以上都不正确三、分解因式:20、4524+-x x21、8936+-x x22、248-+x x23、42244139y y x x +-24、()()216175+-++a a25、()()122822+---b a b a26、161010222++--+y x xy y x 27、()a x a x ++-1228、()b a ax x b a +++-22 29、2161936-+x x30、()()22232b a x b a x --+- 31、()14552-+--y x y x32、()32422-+--y x y x33、2634422++-+-n m n mn m34、863836--a a35、1262524+-a a36、()()102292102++-+y y 37、16402522+-xy y x38、()bc x b ac abx ---2239、()()2243a x a x x x +++-40、()()()22217161----+y y y 41、()()1242-+-+y x y x42、3424422---++y x y xy x 43、()abc x c b a abcx +++222244、()()()()2221112y x y x y x y x -+-+++因式分解(十字相乘法)一、填空题:1、()=---+4332y x y x _______________; 解:()()41x y x y +-++2、()=--+-625552b a b a _______________; 解:()()5651a b a b -+--3、=+-91024x x _______________; 解:()()()()1133x x x x +-+-4、=+-223116y xy x _______________; 解:()()233x y x y --5、()()()()=-+-+-+223116y x y x y x y x _______________; 解:()()252y x x y -+6、=++15836a a _______________; 解:()()3335a a ++7、+2x _________()()120________20x x -=-+; 解:14x ;148、++x x 132_________()()1________x x =-+; 解:14-;149、()()42221617116________________x x x x -+=--;解:1;110、28x _________()()32________________1x -=+; 解:10x -;3-;4x11、x x 11102+_________()()2________________2x =-; 解:6-;3;5x12、_________()()533________________1x x +-=-;解:28x ;3;83x 13、_________()()32________________3x x +-=-;解:214x ;1;7x 14、()=+++22222b a y b a y _______________;解:()()22y a y b ++二、选择题:14、161022+-xy y x 分解因式为 ( )A 、()()82-+xy xyB 、()()82--xy xyC 、()()82+-xy xyD 、()()82++xy xy 解:B15、422307y xy x --分解因式为 ( )A 、()()22310y x y x ++B 、()()22310y x y x +-C 、()()22310y x y x --D 、()()22310y x y x -+ 解:B16、分解因式15824++x x 结果为 ( ) A 、()()5322--x x B 、()()5322++x x C 、()()5322-+x x D 、()()5322+-x x 解:B17、422452118n n m m +-分解因式为 ( ) A 、()()2222563n m n m -+ B 、()()2222563n m n m -- C 、()()2222592n m n m -- D 、()()2222529n m n m -- 解:B18、如果()()4222354x x x a x b --=++那么可以判断a 、b 的符号为 ( )A 、a 、b 异号B 、a 、b 同号C 、a 、b 异号且绝对值大的为正D 、a 、b 异号且绝对值大的为负 解:D19、在多项式①672++x x ;②342++x x ;③862++x x ;④1072++x x ;⑤44152++x x 中,有相同因式的是 ( ) A 、①② B 、②④ C 、②⑤ D 、以上都不正确 解:A三、分解因式:20、4524+-x x解:原式=()()()()1122x x x x +-+-21、8936+-x x解:原式=()()()()2212124x x x x x x --++++22、248-+x x解:原式=()()()()422111x x x x +++-23、42244139y y x x +-解:原式=()()()()3232x y x y x y x y +-+- 24、()()216175+-++a a解:原式=()()2332a a +-+26、161010222++--+y x xy y x解:原式=()()28x y x y ----27、()a x a x ++-12解:原式=()()1x a x --28、()b a ax x b a +++-22 解:原式=()()1ax bx a b x -+++29、2161936-+x x解:原式=()()()()22323924x x x x x x +--+++ 30、()()22232b a x b a x --+-解:原式=()()2x a b x a b +---31、()14552-+--y x y x解:原式=()()72x y x y ---+32、()32422-+--y x y x解:原式=()()2321x y x y ---+33、2634422++-+-n m n mn m 解:原式=()()2122m n m n ----34、863836--a a解:原式=()()()()2222124421a a a a a a -+++-+35、1262524+-a a解:原式=()()()()515111a a a a +-+- 36、()()102292102++-+y y解:原式=()()5821y y +-37、16402522+-xy y x解:原式=()254xy -38、()bc x b ac abx ---22解:原式=()()ax b bx c +-39、()()2243a x a x x x +++-解:原式=()2a x a --40、()()()22217161----+y y y解:原式=()443y y -42、3424422---++y x y xy x 解:原式=()()2123x y x y +++- 43、()abc x c b a abcx +++2222解:原式=()()abx c cx ab ++44、()()()()2221112y x y x y x y x -+-+++ 解:原式=()()535x y x y ++。
专题04 十字相乘法【学习目标】1. 熟练掌握首项系数为1的形如pq x q p x +++)(2型的二次三项式的因式分解.2. 基础较好的同学可进一步掌握首项系数非1的简单的整系数二次三项式的因式分解.3. 对于再学有余力的学生可进一步掌握分数系数;实数系数;字母系数的二次三项式的因式分解.(但应控制好难度)4. 掌握好简单的分组分解法.【要点梳理】要点一、十字相乘法利用十字交叉线来分解系数,把二次三项式分解因式的方法叫做十字相乘法.对于二次三项式2x bx c ++,若存在pq c p q b =⎧⎨+=⎩ ,则()()2x bx c x p x q ++=++要点诠释:(1)在对2x bx c ++分解因式时,要先从常数项c 的正、负入手,若0c >,则p q 、同号(若0c <,则p q 、异号),然后依据一次项系数b 的正负再确定p q 、的符号(2)若2x bx c ++中的b c 、为整数时,要先将c 分解成两个整数的积(要考虑到分解的各种可能),然后看这两个整数之和能否等于b ,直到凑对为止.要点二、首项系数不为1的十字相乘法在二次三项式2ax bx c ++(a ≠0)中,如果二次项系数a 可以分解成两个因数之积,即12a a a =,常数项c 可以分解成两个因数之积,即12c c c =,把1212a a c c ,,,排列如下: 按斜线交叉相乘,再相加,得到1221a c a c +,若它正好等于二次三项式2ax bx c ++的一次项系数b ,即1221a c a c b +=,那么二次三项式就可以分解为两个因式11a x c +与22a x c +之积,即()()21122ax bx c a x c a x c ++=++.要点诠释:(1)分解思路为“看两端,凑中间” (2)二次项系数a 一般都化为正数,如果是负数,则提出负号,分解括号里面的二次三项式,最后结果不要忘记把提出的负号添上.要点三、分组分解法对于一个多项式的整体,若不能直接运用提公因式法和公式法进行因式分解时,可考虑分步处理的方法,即把这个多项式分成几组,先对各组分别分解因式,然后再对整体作因式分解——分组分解法.即先对题目进行分组,然后再分解因式.要点诠释:分组分解法分解因式常用的思路有:方法分类分组方法特点二项、二项①按字母分组②按系数分组③符合公式的两项分组四项三项、一项先完全平方公式后平方差公式五项三项、二项各组之间有公因式三项、三项二项、二项、二项各组之间有公因式分组分解法六项三项、二项、一项可化为二次三项式要点四、添、拆项法把多项式的某一项拆开或填补上互为相反数的两项(或几项),使原式适合于提公因式法、公式法或分组分解法进行分解.要注意,必须在与原多项式相等的原则下进行变形.添、拆项法分解因式需要一定的方法方法方法技巧性,在仔细观察题目后可先尝试进行添、拆项,在反复尝试中熟练掌握方法方法方法技巧和方法.【典型例题】类型一、十字相乘法例1、分解因式: 22(1)(6136)x a x a a ++--+【参考参考参考答案与解析】解:原式=()()()212332x a x a a ++--- ()()()()23322332x a x a x a x a =--+-⎡⎤⎡⎤⎣⎦⎣⎦=-++-【总结升华】将a 视作常数,就以x 为主元十字相乘可解决.举一反三:【变式】分解因式:23345xy y x y ++--【参考参考参考答案】解:原式2(34)35(35)(1)y x y x y x y =+-+-=+-+例2、分解因式:【思路点拨】该题可以先将()2a a -看作一个整体进行十字相乘法分解,接着再套用一次十字相乘.【参考参考参考答案与解析】解: 因为()()()22221214a a a a a a ----=--所以:原式=[-2][ -12]=22(2)(12)a a a a ---- =()()()()1234a a a a +-+-【总结升华】十字相乘法对于二次三项式的分解因式十分方便,大家一定要熟练掌握.举一反三:【变式】分解因式:222(3)2(3)8x x x x ----;【参考参考参考答案】解:原式()()223432x x x x =---+ ()()()()4112x x x x =-+--例3、分解下列因式(1)22(1)(2)12x x x x ++++-(2)22(33)(34)8x x x x +-++-【参考参考参考答案与解析】解:(1)令21x x t ++=,则原式222(1)1212(4)(3)(5)(2)t t t t t t x x x x =+-=+-=+-=+++- 2(2)(1)(5)x x x x =+-++(2)令23x x m +=,原式2(3)(4)820(5)(4)m m m m m m =-+-=+-=+- 222(35)(34)(4)(1)(35)x x x x x x x x =+++-=+-++【总结升华】此两道小题结构都非常有特点,欲分解都必须先拆开,再仔细观察每个式子中都存在大量相同的因式→整体性想法.整体性思路又称换元法,这与我们生活中搬家有些类似,要先将一些碎东西找包,会省许多事.类型二、分组分解法例4、分解因式:222332x xy y x y -++-+【思路点拨】对完全平方公式熟悉的同学,一看见该式,首先想到的肯定是式子中前三项恰好组成2()x y -,第4、5项→3()x y -.【参考参考参考答案与解析】解:原式2()3()2x y x y =-+-+(1)(2)x y x y =-+-+【总结升华】①熟记公式在复杂背景下识别公式架构很重要;②我们前面练习中无论公式、配方、十字相乘一般都只涉及单一字母,其实代数式学习是一个结构的学习,其中任一个字母均可被一个复杂代数式来替代,故有时要有一些整体性认识的想法.举一反三:【变式1】分解因式:(1)22a b ac bc-++(2)225533a b a b--+(3)23345xy y x y ++--【参考参考参考答案】解:(1)原式()()()()()a b a b c a b a b a b c =+-++=+-+;(2)原式()()()()()()()225353553a b a b a b a b a b a b a b =---=+---=-+-;(3)原式233453(1)(1)(5)(1)(35)xy x y y x y y y y x y =++--=+++-=++-.【变式2】分解因式:.2242244241a b c ab ac bc ++--+-【参考参考参考答案】解:2242244241a b c ab ac bc ++--+-=()()()2222444241a b ab ac bc c +-+-++-=()()()()222222211b a c b a c c -+-++-=.()()222121b a c b a c -++-+-类型三、拆项或添项分解因式例5、阅读理解:对于二次三项式x 2+2ax +a 2可以直接用公式法分解为(x +a )2的形式,但对于二次三项式x 2+2ax ﹣8a 2,就不能直接用公式法了.我们可以在二次三项式x 2+2ax ﹣8a 2中先加上一项a 2,使其成为完全平方式,再减去a 2这项,使整个式子的值不变,于是又:x 2+2ax ﹣8a 2=x 2+2ax ﹣8a 2+a 2﹣a 2=(x 2+2ax +a 2)﹣8a 2﹣a 2=(x +a )2﹣9a 2=[(x +a )+3a ][(x +a )﹣3]=(x +4a )(x ﹣2a )像这样把二次三项式分解因式的方法叫做添(拆)项法.(1)请认真阅读以上的添(拆)项法,并用上述方法将二次三项式:x 2+2ax ﹣3a 2分解因式.(2)直接填空:请用上述的添项法将方程的x2﹣4xy+3y2=0化为(x﹣ )•(x﹣ )=0并直接写出y与x的关系式.(满足xy≠0,且x≠y)(3)先化简﹣﹣,再利用(2)中y与x的关系式求值.【参考参考参考答案与解析】解:(1)x2+2ax﹣3a2=x2+2ax+a2﹣4a2=(x+a)2﹣4a2=(x+a+2a)(x+a﹣2a)=(x+3a)(x﹣a);(2)x2﹣4xy+3y2=x2﹣4xy+4y2﹣y2=(x﹣2y)2﹣y2=(x﹣2y+y)(x﹣2y﹣y)=(x﹣y)(x﹣3y);x=y或x=3y;故参考参考参考答案为:y;3y(3)原式===﹣,若x=y,原式=﹣2;若x=3y,原式=﹣23.【总结升华】此题考查了因式分解﹣添(拆)项法,正确地添(拆)项是解本题的关键.【稳固练习】一.选择题1.如果多项式能因式分解为,那么下列结论正确的是 ( ).22mx nx --()()32x x p ++A.=6B.=1C.=-2D.=3m n p mnp 2. 若,且,则的值为( ).()2230x a b x ab x x +++=--b a <b A.5B.-6C.-5D.63. 将因式分解的结果是( ).()()256x y x y +-+-A. B.()()23x y x y +++-()()23x y x y +-++C.D. ()()61x y x y +-++()()61x y x y +++-4.把多项式1+a +b +ab 分解因式的结果是( )A .(a ﹣1)(b ﹣1)B .(a +1)(b +1)C .(a +1)(b ﹣1)D .(a ﹣1)(b +1)5. 对运用分组分解法分解因式,分组正确的是( )224293x x y y +--A. B.22(42)(93)x x y y ++--22(49)(23)x y x y -+-C. D. 22(43)(29)x y x y -+-22(423)9x x y y +--6.如果有一个因式为,那么的值是( )3233x x x m +-+()3x +m A. -9 B.9C.-1D.1二.填空题7.分解因式: .2242y xy x --+=8. 分解因式:= .224202536a ab b -+-9.分解因式的结果是__________.5321x x x -+-10. 如果代数式有一因式,则的值为_________.a 11.若有因式,则另外的因式是_________.3223a a b ab b --+()a b -12. 分解因式:(1);(2)3)32(2-+-+k x k kx mnm x m n x -+-+22)2(三.解答题13. 已知,, 求的值.0x y +=31x y +=2231213x xy y ++14. 分解下列因式:(1)()()128222+---a a a a (2)32344xy xy x y x y-++(3)42222459x y x y y --(4)43226a a a +-15.先阅读下列材料:我们已经学过将一个多项式分解因式的方法有提公因式法和运用公式法,其实分解因式的方法还有分组分解法、拆项法、十字相乘法等等.(1)分组分解法:将一个多项式适当分组后,可提公因式或运用公式继续分解的方法.如:ax +by +bx +ay =(ax +bx )+(ay +by )=x (a +b )+y (a +b )=(a +b )(x +y )2xy +y 2﹣1+x 2=x 2+2xy +y 2﹣1=(x +y )2﹣1=(x +y +1)(x +y ﹣1)(2)拆项法:将一个多项式的某一项拆成两项后,可提公因式或运用公式继续分解的方法.如:x 2+2x ﹣3=x 2+2x +1﹣4=(x +1)2﹣22=(x +1+2)(x +1﹣2)=(x +3)(x ﹣1)请你仿照以上方法,探索并解决下列问题:(1)分解因式:a 2﹣b 2+a ﹣b ;(2)分解因式:x 2﹣6x ﹣7;(3)分解因式:a 2+4ab ﹣5b 2.【参考参考参考答案与解析】一.选择题1. 【参考参考参考答案】B ;【解析】,()()()223233222x x p x p x p mx nx ++=+++=--∴,解得.22,32p p n =-+=-1n =2. 【参考参考参考答案】B ;【解析】,由,所以.()()23065x x x x --=-+b a <6b =-3. 【参考参考参考答案】C ;【解析】把看成一个整体,分解.()x y +()()()()25661x y x y x y x y +-+-=+-++4. 【参考参考参考答案】B ;【解析】解:1+a +b +ab=(1+a )+b (1+a )=(1+a )(1+b ).故选:B .5. 【参考参考参考答案】B ;【解析】A 各组经过提取公因式后,组与组之间无公因式可提取,所以分组不合理.B 第一组可用平方差公式分解得,与第二组有公因式可提取,所以分组合理,C 与D 各组均()()2323x y x y +-23x y -无公因式,也不符合公式,所以无法继续进行下去,分组不合理.6. 【参考参考参考答案】A ;【解析】由题意当时,代数式为零,解得.3x =-9m =-二.填空题7. 【参考参考参考答案】.()()22x y x y -+--【解析】解:===.2242y xy x --+()2224y xy x -+-()24x y --()()22x y x y -+--8. 【参考参考参考答案】;()()256256a b a b -+-- 【解析】原式()224202536a ab b =-+- ()()()22256256256a b a b a b =--=-+--9. 【参考参考参考答案】;()()()22111x x x x +--+ 【解析】原式.()()()()()()()23222321111111x x x x x x x x x =-+-=-+=+--+10.【参考参考参考答案】16;【解析】由题意当时,代数式等于0,解得.4x =16a =11.【参考参考参考答案】;()()a b a b -+ 【解析】.()()322322a a b ab b a a b b a b --+=---()()2a b a b =-+12.【参考参考参考答案】;;()()31kx k x +-+()()x m x m n --+ 【解析】;()()2(23)331kx k x k kx k x +-+-=+-+.()()()()22(2)x n m x m mn x m x m n x m x m n +-+-=---=--+⎡⎤⎣⎦三.解答题13.【解析】解: ()()22231213334x xy y x y x y y ++=+++ 由,解得0x y +=31x y +=12y =所以,原式.21301412⎛⎫=⨯⨯+⨯= ⎪⎝⎭14.【解析】解:(1)原式;()()()()()()22261223a a a a a a a a =----=+-+-(2)原式;()()()()222244222xy y x x xy x y xy x y x y ⎡⎤=-++=+-=++-+⎣⎦(3)原式;()()()()()()2422222245949123231y x x y x x y x x x =--=-+=+-+(4)()()()4322222626232a a a a a a a a a +-=+-=-+.15.【解析】解:(1)原式=(a +b )(a ﹣b )+(a ﹣b )=(a ﹣b )(a +b +1);(2)原式= x 2﹣6x +9-16=(x -3)2﹣16=(x -3+4)(x -3-4)=(x +1)(x ﹣7);(3)原式= a 2+4ab ﹣5b 2= a 2+4ab +4b 2﹣9b 2= (a +2b )2﹣9b 2=(a +2b ﹣3b )(a +2b +3b )=(a ﹣b )(a +5b ).知识改变命运。
因式分解--十字相乘法练习题(含答案)1、将题目格式修改为:十字相乘法因式分解练题(含答案)2、删除明显有问题的段落3、改写每段话:1.将第一个题目改写为:对于方程$x^2+3x+2=0$,使用十字相乘法进行因式分解。
2.将第二个题目改写为:对于方程$x^2-7x+6=0$,使用十字相乘法进行因式分解。
3.将第三个题目改写为:对于方程$x^2-4x-21=0$,使用十字相乘法进行因式分解。
4.将第四个题目改写为:对于方程$x^4+6x^2+8=0$,使用十字相乘法进行因式分解。
5.将第五个题目改写为:对于方程$x^2-3xy+2y^2=0$,使用十字相乘法进行因式分解。
6.将第六个题目改写为:对于方程$x^2+4x+3=0$,使用十字相乘法进行因式分解。
7.将第七个题目改写为:对于方程$y^2-7y+12=0$,使用十字相乘法进行因式分解。
8.将第八个题目改写为:对于方程$x^2+2x-15=0$,使用十字相乘法进行因式分解。
9.将第九个题目改写为:对于方程$(a+b)^2-4(a+b)+3=0$,使用十字相乘法进行因式分解。
10.将第十个题目改写为:对于方程$x^4-3x^3-28x^2=0$,使用十字相乘法进行因式分解。
11.将第十一个题目改写为:对于方程$a^2+7a+10=0$,使用十字相乘法进行因式分解。
12.将第十二个题目改写为:对于方程$q^2-6q+8=0$,使用十字相乘法进行因式分解。
13.将第十三个题目改写为:对于方程$x^2+x-20=0$,使用十字相乘法进行因式分解。
14.将第十四个题目改写为:对于方程$p^2-5p-36=0$,使用十字相乘法进行因式分解。
15.将第十五个题目改写为:对于方程$m^2+7m-18=0$,使用十字相乘法进行因式分解。
16.将第十六个题目改写为:对于方程$t^2-2t-8=0$,使用十字相乘法进行因式分解。
17.将第十七个题目改写为:对于方程$x^4-x^2-20=0$,使用十字相乘法进行因式分解。
4、用十字相乘法把二次三项式分解因式【知识精读】对于首项系数是1的二次三项式的十字相乘法,重点是运用公式2x (a b )x ab h[x • a X • b 进行因式分解。
掌握这种方法的关键是确定适合条件的 两个数,即把常数项分解成两个数的积,且其和等于一次项系数。
对于二次三项ax 2 bx c ( a 、b 、c 都是整数,且a 0 )来说,如果存在四个整数 a 1, c ,a 2, c 2 满足 a 1a^ a , qq = c ,并且 a 1c 2 - a 2C | = b ,那么二次三项式 2 2ax bx c 即 a 1a 2x - a 1c 2 - a 2c 1 x - c 1c 2 可以分解为 a 1x - c 1 a 2x - c 2。
这里要确定四个常数a 1,c 1,a 2,q ,分析和尝试都要比首项系数是1的类型复杂,因此一般要借 助画十字交叉线的办法来确定。
下面我们一起来学习用十字相乘法因式分解。
【分类解析】1.在方程、不等式中的应用2例1.已知:x - 11x 24 0,求x 的取值范围。
分析:本题为二次不等式,可以应用因式分解化二次为一次,即可求解。
解: x 2 -11x 24 0.x -3 x -8 0 将它与原式的各项系数进行对比,得:a b--1, m=1, 2a-b - -2m解得:a - -1, b =0, m =12 2此时,原式二x 2 x -x-1(2)设原式分解为 x 2 • cx -2 x 2 dx 1,其中c 、d 为整数,去括号,得:x 4 亠[c d x ‘ - x 2 亠[c - 2d x - 2x - 3 0 l x —8 - 0 或 x - 3 ” 0 x - 8 :: 0将它与原式的各项系数进行对比,得:c d - -1,m - -1,c-2d - -2m解得:c=0, d = -1,m=-12 2此时,原式二x -2 x -x 12.在几何学中的应用例.已知:长方形的长、宽为x 、y ,周长为16cm ,且满足2 -2xy - y *2=0,求长方形的面积。
专题31 十字相乘法因式分解1.下列式子中,因式分解正确的是( )A .2815(3)(5)x x x x -+=--B .2815(3)(5)x x x x -+=-+C .2815(3)(5)x x x x -+=++D .2815(3)(5)x x x x -+=+-【答案】A【分析】根据十字相乘法即可分解因式.【详解】解:2815(3)(5)x x x x -+=--.故选:A .【点睛】本题主要考查用十字相乘法分解因式,掌握分解因式的方法是解题的关键.2.将多项式x 2-2x -8分解因式,正确的是( )A .(x +2)(x -4)B .(x -2)(x -4)C .(x +2)(x +4)D .(x -2)(x +4)【答案】A【分析】利用十字相乘法分解即可.【详解】解:()()2-2-8=24x x x x +-,故选:A .【点睛】本题考查用十字相乘法进行因式分解,正确掌握十字相乘法是求解本题的关键.3.分解因式x 2-5x -14,正确的结果是( )A .(x -5)(x -14)B .(x -2)(x -7)C .(x -2)(x +7)D .(x +2)(x -7)【答案】D【分析】根据-14=-7×2,-5=-7+2,进行分解即可.【详解】解:x 2-5x -14=(x -7)(x +2),故选:D .【点睛】本题考查了因式分解-十字相乘法,熟练掌握因式分解-十字相乘法是解题的关键.4.把多项式256x x -+分解因式,下列结果正确的是( )A .(1)(6)x x -+B .(6)(1)x x -+C .(2)(3)x x ++D .(2)(3)x x --【答案】D【分析】利用公式2()()()x a b x ab x a x b +++=++即可得答案.【详解】解:256(2)(3)x x x x -+=--故选:D .【点睛】此题考查了十字相乘法进行因式分解,解题的关键是掌握公式2()()()x a b x ab x a x b +++=++.5.如果x 2+kx ﹣10=(x ﹣5)(x +2),则k 应为( )A .﹣3B .3C .7D .﹣7【答案】A【分析】根据多项式乘以多项式把等号右边展开,即可得答案.【详解】解:(x -5)(x +2)=x 2-3x -10,则k =-3,故选:A .【点睛】本题主要考查了因式分解,关键是掌握x 2+(p +q )x +pq =(x +p )(x +q ).6.如果多项式x 2﹣5x +c 可以用十字相乘法因式分解,那么下列c 的取值正确的是( )A .2B .3C .4D .5【答案】C【分析】根据十字相乘法进行因式分解的方法,对选项逐个判断即可.【详解】解:A 、252x x -+,不能用十字相乘法进行因式分解,不符合题意;B 、253x x -+,不能用十字相乘法进行因式分解,不符合题意;C 、()()25414x x x x -+=--,能用十字相乘法进行因式分解,符合题意;D 、255x x -+,不能用十字相乘法进行因式分解,不符合题意;故选C【点睛】此题考查了十字相乘法进行因式分解,解题的关键是掌握十字相乘法进行因式分解.7.因式分解22212x x --=_________【答案】()()223x x +-【分析】先提公因式再利用十字相乘法进行因式分解即可;【详解】解:()()22212=232x x x x ---+;故答案为:()()223x x +-.【点睛】本题考查分解因式.熟练掌握因式分解的方法是解题的关键.8.分解因式:2246a a --=______.【答案】()()231a a -+##()()213a a +-【分析】先提取公因数,再用十字相乘法分解因式即可;【详解】解:原式=()()()2223231a a a a --=-+;故答案为:()()231a a -+;【点睛】本题考查了十字相乘法分解因式:对于形如x 2+px +q 的二次三项式,若能找到两数a 、b ,使a •b =q 且a +b =p ,那么x 2+px +q = x 2+(a +b )x +a •b =(x +a )(x +b ).9.因式分解:289x x --=______________.【答案】()()19x x +-【分析】根据二次三项式的特征,采取十字相乘因式分解法直接分解即可.【详解】解:采取十字相乘因式分解法直接分解289x x --,289x x \--()()19x x =+-,故答案为:()()19x x +-.【点睛】本题考查十字相乘法因式分解,根据代数式特征选择恰当的因式分解方法是解决问题的关键.10.因式分解:2412x x --=_______.【答案】(6)(2)x x -+【分析】利用十字相乘法分解因式即可得.【详解】解:因为1262,624-=-´-+=-,且4-是x 的一次项的系数,所以2412(6)(2)--=-+x x x x ,故答案为:(6)(2)x x -+.【点睛】本题考查了因式分解,熟练掌握十字相乘法是解题关键.11.观察下列因式分解中的规律:①()()23212x x x x ++=++;②()()271025x x x x ++=++;③()()25623x x x x -+=--;④()()28422x x x x -=+--;利用上述系数特点分解因式26x x +-=__________.【答案】()()32x x +-【分析】利用十字相乘法分解因式即可.【详解】解:()()2632x x x x +-=+-,故答案为:()()32x x +-.【点睛】本题考查了十字相乘法因式分解,解题关键是明确二次项系数为1的十字相乘法公式:()()2()x a b x ab x a x b +++=++.12.分解因式:x 2﹣7xy ﹣18y 2=___.【答案】()()92x y x y -+【分析】根据十字相乘法因式分解即可.【详解】x 2﹣7xy ﹣18y 2()()92x y x y =-+,故答案为:()()92x y x y -+.【点睛】本题考查了因式分解,掌握因式分解的方法是解题的关键.三、解答题13.阅读材料:由多项式乘法:(x +a )(x +b )=x ²+(a +b )x +ab ,将该式从右到左使用,即可得到“十字相乘法”进行因式分解的公式:x ²+(a +b )x +ab =(x +a )(x +b ).示例:分解因式:x 2+5x +6=x ²+(2+3)x +2×3=(x +2)(x +3). 请用上述方法分解因式:(1)x 2-3x -4;(2)x 2-7x +12.【答案】(1)()()14x x +-(2)()()34x x --【分析】(1)根据-4=1×(−4),1-4=-3即可分解因式;(2)根据-3×(-4)=12,-3-4=-7即可分解因式.(1)解:x 2−3x −4=x 2+(1-4)x +1×(−4)=(x +1)(x −4);(2)解:x 2−7x +12=x 2+(−3−4)x +(−3)×(−4)=(x −3)(x −4).【点睛】本题考查了十字相乘法,解题的关键是把常数项拆成两个数的积,而两个数的和正好等于一次项的系数.14.阅读理解题:由多项式乘法:()()()2x a x b x a b x ab ++=+++,将该式从右到左使用,即可进行因式分解的公式:()()()2x a b x ab x a x b +++=++.示例:分解因式:()()()2256232323x x x x x x ++=+++´=++.分解因式:()()()()222121212x x x x x x éùéùëû--=++-+´-=+û+ë.多项式()2x a b x ab +++的特征是二次项系数为1,常数项为两数之积,一次项系数为这两数之和.(1)尝试:分解因式:()()268____________x x x x ++=++;(2)应用:请用上述方法将多项式:256x x -+、256x x --进行因式分解.【答案】(1)2,4(2)()()23x x --,()()16+-x x 【分析】(1)利用阅读材料的方法解答,即可求解;(2)利用阅读材料的方法解答,即可求解;(1)268x x ++()22424x x =+++´()()24x x =++;故答案为:2,4(2)解:256x x -+()()()()22323x x éùéùëû=+-+-+-´-ëû()()23x x =--;256x x --()()21616x x éùéùëû=++-+-ë´û()()16x x =+-【点睛】本题主要考查了多项式的因式分解,理解阅读材料的因式分解方法是解题的关键.15.阅读材料:根据多项式乘多项式法则,我们很容易计算:2(2)(3)56x x x x ++=++;2(1)(3)23x x x x -+=+-.而因式分解是与整式乘法方向相反的变形,利用这种关系可得:256(2)(3)x x x x ++=++;223(1)(3)x x x x +-=-+.通过这样的关系我们可以将某些二次项系数是1的二次三项式分解因式.如将式子223x x +-分解因式.这个式子的二次项系数是111=´,常数项3(1)3-=-´,一次项系数2(1)3=-+,可以用下图十字相乘的形式表示为:先分解二次项系数,分别写在十字交叉线的左上角和左下角;再分解常数项,分别写在十字交叉线的右上角和右下角;然后交叉相乘,求和,使其等于一次项系数,然后横向书写.这样,我们就可以得到:223(1)(3)x x x x +-=-+.利用这种方法,将下列多项式分解因式:(1)2710x x ++=__________;(2)223x x --=__________;(3)2712y y -+=__________;(4)2718x x +-=__________.【答案】(1)()()25x x ++(2)()()31x x -+(3)()()34y y --(4)()()92x x +-【分析】(1)仿照题意求解即可;(2)仿照题意求解即可;(3)仿照题意求解即可;(4)仿照题意求解即可.(1)解:根据题意可知()()271025x x x x ++=++(2)解:根据题意可知()()22331x x x x --=-+(3)解:根据题意可知()()271234y y y y =---+(4)解:根据题意可知()()271892x x x x +-=+-【点睛】本题主要考查分解因式,正确理解题意是解题的关键.16.阅读下列材料:根据多项式的乘法,我们知道,()()225710x x x x --=-+.反过来,就得到2710x x -+的因式分解形式,即2710(2)(5)x x x x -+=--.把这个多项式的二次项系数1分解为11´,常数项10分解为(2)(5)-´-,先将分解的二次项系数1,1分别写在十字交叉线的左上角和左下角;再把2-,5-分别写在十字交叉线的右上角和右下角,我们发现,把它们交叉相乘,再求代数和,此时正好等于一次项系数7-(如图1).像上面这样,先分解二次项系数,把它们分别写在十字交叉线的左上角和左下角;再分解常数项,把它们分别写在十字交叉线的右上角和右下角,然后交叉相乘,求代数和,使其正好等于一次项系数,我们把这种借助“十字”方式,将一个二次三项式分解因式的方法,叫做十字相乘法.例如,将二次三项式243x x +-分解因式,它的“十字”如图2:所以,()()243143x x x x +-=+-.请你用十字相乘法将下列多项式分解因式:(1)256x x ++= ;(2)2273x x -+= ;(3)()222x m x m +--= .【答案】(1)(x +2)(x +3)(2)(2x -1)(x -3)(3)(x +2)(x -m )【分析】根据阅读材料中的十字相乘法即可得出答案.(1)解:由上图可知:x 2+5x +6=(x +2)(x +3),故答案为:(x +2)(x +3);(2)解:由上图可知:2x 2-7x +3=(2x -1)(x -3),故答案为:(2x -1)(x -3);(3)解:由上图可知:x2+(2-m)x-2m=(x+2)(x-m),故答案为:(x+2)(x-m).【点睛】本题考查了十字相乘法因式分解,关键是读懂材料掌握十字相乘的基本步骤.17.探究:如何把多项式x2+8x+15因式分解?(1)观察:上式能否可直接利用完全平方公式进行因式分解?答:________;(2)(阅读与理解):由多项式乘法,我们知道(x+a)(x+b)=x2+(a+b)x+ab,将该式从右到左地使用,即可对形如x2+(a+b)x+ab的多项式进行因式分解,即:x2+(a+b)x+ab=(x+a)(x+b)此类多项式x2+(a+b)x+ab的特征是二次项系数为1,常数项为两数之积,一次项系数为这两数之和.猜想并填空:x2+8x+15=x2+[(_____)+(_____)]x+(___)×(___)=(x+____)(x+_____)(3)上面多项式x2+8x+15的因式分解是否符合题意,我们需要验证.请写出验证过程.(4)请运用上述方法将下列多项式进行因式分解:x2-x-12【答案】(1)不能;(2)3;5;3;5;3;5;(3)x2+8x+15;(4)(x-4)(x+3)【分析】(1)根据完全平方公式的结构特征进行判断即可;(2)将x2+8x+15=x2+(3+5)x+(3×5)即可得出答案;(3)根据整式乘法计算(x+3)(x+5)的结果即可;(4)将x2+[3+(-4)]x+[3×(-4)]即可得出答案.【详解】解:(1)因为x2+8x+16=(x+4)2,所以x2+8x+15不是完全平方公式,故答案为:不能;(2)∵x2+8x+15=x2+(3+5)x+(3×5)∴x2+8x+15=x2+(3+5)x+(3×5)=(x+3)(x+5),故答案为:3,5,3,5,3,5;(3)∵(x+3)(x+5)=x2+5x+3x+15=x2+8x+15,∴x2+8x+15=(x+3)(x+5)因此多项式x2+8x+15的因式分解是符合题意的;(4)x2-x-12=x2+[3+(-4)]x+[3×(-4)]=(x+3)(x-4).【点睛】本题考查了十字相乘法分解因式,掌握x 2+(a +b )x +ab =(x +a )(x +b )的结构特征是正确应用的前提.18.由多项式乘法:(x +a )(x +b )=x 2+(a +b )x +ab ,将该式从右到左使用,即可得到“十字相乘法”进行因式分解的公式:x 2+(a +b )x +ab =(x +a )(x +b ).示例:分解因式:x 2+5x +6=x 2+(2+3)x +2×3=(x +2)(x +3).(1)尝试:分解因式:x 2+6x +8=(x +____)(x +____);(2)应用:请用上述方法解方程:①x 2﹣3x ﹣4=0;②x 2﹣7x +12=0.【答案】(1)2,4;(2)①1x =-或4x =;②3x =或4x =【分析】(1)类比题干因式分解方法求解可得;(2)①利用十字相乘法将左边因式分解为()()41x x -´+后求解可得;②利用十字相乘法将左边因式分解()()43x x -´-后求解可得.【详解】解:(1)2268(24)24(2)(4)x x x x x x ++=+++´=++,故答案为:2,4;(2)①2340x x Q --=,2(41)(4)10x x +-++-´=,(4)(1)0x x \-+=,则10x +=或40x -=,解得:1x =-或4x =,②27120x x -+=Q ,2(34)(3)(4)0x x +--+-´-=,(3)(4)0x x \--=,则30x -=或40x -=,解得:3x =或4x =.【点睛】本题主要考查解一元二次方程的能力,解题的关键是熟练掌握解一元二次方程的几种常用方法中的因式分解法.19.阅读材料:解方程22350x x +-=我们可以按下面的方法解答:(1)分解因式2235x x +-,①竖分二次项与常数项:2x x x =×,()()3557-=-´+.②交叉相乘,验一次项:57x x -+752x x x Þ-=.③横向写出两因式:()()223557x x x x +-=-+.(2)根据乘法原理:若0ab =,则0a =或0b =,则方程22350x x +-=可以这样求解22350x x +-=方程左边因式分解得()()570x x -+=所以原方程的解为15=x ,27x =-.试用上述方法和原理解下列方程:(1)2560x x ++=;(2)2670x x --=.【答案】(1)12x =-,23x =-;(2)11x =-,27x =【分析】(1)利用已知结合十字相乘法分解因式得出即可;(2)利用已知结合十字相乘法分解因式得出即可.【详解】解:(1)2560x x ++=,()()230x x ++=,20,30x x +=+=,12x =-,23x =-.(2)2670x x --=,()()170x x +-=,10,70x x +=-=,11x =-,27x =.【点睛】本题主要考查了十字相乘法分解因式的应用,解题的关键是正确利用十字相乘法分解因式.20.阅读下列材料:材料1:将一个形如x 2+px +q 的二次三项式因式分解时,如果能满足q =mn 且p =m +n ,则可以把x 2+px +q 因式分解成(x +m )(+n )的形式,如x 2+4x +3=(x +1)(x +3);x 2﹣4x ﹣12=(x ﹣6)(x +2)材料2:因式分解:(x +y )2+2(x +y )+1解:将“x +y ”看成一个整体,令x +y =A ,则原式=A 2+2A +1=(A +1)2,再将“A ”还原,得原式=(x +y +1)2上述解题方法用到“整体思想”,“整体思想”是数学解题中常见的一种思想方法.请你解答下列问题:(1)根据材料1,把x 2﹣6x +8分解因式;(2)结合材料1和材料2,完成下面小题:分解因式:(x ﹣y )2+4(x ﹣y )+3【答案】(1)()()42x x --;(2)()()31x y x y -+-+【分析】(1)根据材料1的方法,满足()()()()842,642=-´--=-+-,进而进行因式分解即可;(2)根据材料1的方法,满足313,413=´=+,根据材料2将“x y -” 看成一个整体,进而因式分解即可【详解】(1)()()()()842,642=-´--=-+-Q \x 2﹣6x +8()()42x x =--(2)令x y A -=,313,413=´=+Q 则(x ﹣y )2+4(x ﹣y )+3(3)(1)A A =++\(x ﹣y )2+4(x ﹣y )+3=()()31x y x y -+-+【点睛】本题考查了因式分解,运用整体思想是解题的关键.。
十字相乘法练习题及答案一、选择题1. 下列哪个表达式是正确使用十字相乘法的结果?A. (x+2)(x+3)=x^2+5x+6B. (x-1)(x+1)=x^2-1C. (x-1)(x-2)=x^2-3x+2D. (x+1)(x-1)=x^2-12. 以下哪个多项式不能使用十字相乘法分解?A. x^2-4x+3B. x^2+4x+4C. x^2-6x+8D. x^2+x+13. 多项式x^3-3x^2+4x-12使用十字相乘法分解,正确的分解结果是什么?A. (x-3)(x^2+1)(x-4)B. (x-1)(x^2-2x+12)C. (x-3)(x-4)(x+1)D. (x-3)(x-4)(x+4)二、填空题1. 利用十字相乘法分解x^2+7x+10,正确的分解结果应为______。
2. 多项式x^2-10x+25使用十字相乘法分解后,得到的两个一次项的乘积为______。
3. 如果多项式x^3-6x^2+11x-6可以分解为(x-1)(x-a)(x-b),那么a 和b的值分别是______。
三、解答题1. 给定多项式x^3-9x^2+23x-15,使用十字相乘法分解,并说明分解过程。
2. 证明:使用十字相乘法分解的多项式x^2+(p+q)x+pq,其分解结果为(x+p)(x+q)。
3. 已知多项式x^3-6x^2+11x-6可以分解为三个一次项的乘积,求出这三个一次项,并验证分解的正确性。
四、应用题1. 某工厂生产的产品数量与时间的关系可以用多项式P(t)=t^3-15t^2+54t-36来表示。
如果需要将这个多项式分解为三个一次项的乘积,以便更好地理解生产数量的变化,请写出分解后的表达式。
2. 一个数学竞赛题目要求证明:对于任意正整数n,多项式x^n+x+1不能被分解为实数系数的一次项的乘积。
请尝试使用十字相乘法来说明这一点。
答案:一、选择题1. D2. D3. C二、填空题1. (x+2)(x+5)2. 253. 2, 3三、解答题1. x^3-9x^2+23x-15=(x-3)(x^2-6x+5)=(x-3)(x-1)(x-5)2. 证明略3. x-3, x-2, x+2四、应用题1. P(t)=(t-3)(t-1)(t-4)2. 证明略。
【知识精读】对于首项系数是1的二次三项式的十字相乘法,重点是运用公式()()x a b x a b x a x b 2+++=++()进行因式分解。
掌握这种方法的关键是确定适合条件的两个数,即把常数项分解成两个数的积,且其和等于一次项系数。
对于二次三项a x b x c 2++(a 、b 、c 都是整数,且a ≠0)来说,如果存在四个整数a c a c 1122,,,满足a a ac c c 1212==,,并且a c a c b 1221+=,那么二次三项式a x b x c 2++即()a a x a c a c x c c 122122112+++可以分解为()()a x c a x c 1122++。
这里要确定四个常数a c a c 1122,,,,分析和尝试都要比首项系数是1的类型复杂,因此一般要借助画十字交叉线的办法来确定。
【分类解析】1. 在方程、不等式中的应用例1. 已知:x x 211240-+>,求x 的取值范围。
分析:本题为二次不等式,可以应用因式分解化二次为一次,即可求解。
解: x x 211240-+> ()()∴-->∴->->⎧⎨⎩-<-<⎧⎨⎩∴><x x x x x x x x 3803080308083或或例2. 如果xxm x m x 43222-+--能分解成两个整数系数的二次因式的积,试求m 的值,并把这个多项式分解因式。
分析:应当把x 4分成x x 22⋅,而对于常数项-2,可能分解成()-⨯12,或者分解成()-⨯21,由此分为两种情况进行讨论。
解:(1)设原式分解为()()x a x x b x 2212+-++,其中a 、b 为整数,去括号,得: ()()x a b x x a b x 43222++++-- 将它与原式的各项系数进行对比,得:a b m a b m +=-=-=-1122,,解得:a b m =-==101,,此时,原式()()=+--x x x 2221 (2)设原式分解为()()x c x x d x 2221+-++,其中c 、d 为整数,去括号,得: ()()x c d x x c d x 43222++-+-- 将它与原式的各项系数进行对比,得:c d m cd m+=-=--=-1122,, 解得:c d m ==-=-011,, 此时,原式()()=--+x x x 22212. 在几何学中的应用例. 已知:长方形的长、宽为x 、y ,周长为16cm ,且满足xyx x yy --+-+=22220,求长方形的面积。
因式分解之“十字相乘法”【知识精读】对于首项系数是1的二次三项式的十字相乘法,重点是运用公式x 2+(a+b)x+ab=(x+a)(x+b)进行因式分解。
掌握这种方法的关键是确定适合条件的两个数,即把常数项分解成两个数的积,且其和等于一次项系数。
对于二次三项ax 2+bx+c (a 、b 、c 都是整数,且a ≠0)来说,如果存在四个整数a c a c 1122,,,满足a a a c c c 1212==,,并且a c a c b 1221+=,那么二次三项式ax 2+bx+c 即()a a x a c a c x c c 122122112+++ 可以分解为()()a x c a x c 1122++。
这里要确定四个常数a c a c 1122,,,,分析和尝试都要比首项系数是1的类型复杂,因此一般要借助画十字交叉线的办法来确定。
【思考】10~20以内的平方数心算办法。
下面我们一起来学习用十字相乘法因式分解。
【分类解析】1. 在方程、不等式中的应用例1. 已知:x 2-11x +24>0,求x 的取值范围。
分析:本题为二次不等式,可以应用因式分解化二次为一次,即可求解。
例1解: ∵x 2-11x +24>0 ∴(x -3)(x -8)>0 分解为⎩⎨⎧<-<-⎩⎨⎧>->-08030803x x x x 或 ∴ x >8 或 x <3例2. 如果x 4-x 3+mx 2-2mx -2能分解成两个整数系数的二次因式的积,试求m 的值,并把这个多项式分解因式。
分析:应当把x 4分成x 2·x 2,而对于常数项-2,可能分解成(-1)×2,或者分解成(-2)×1,由此分为两种情况进行讨论。
例2解:(1)待定系数法,设原式分解为(x 2+ax -1)(x 2+bx +2),其中a 、b 为整数,去括号,得: x 4+(a +b )x 3+x 2+(2a -b )x -2将它与原式的各项系数进行对比,得: a +b =-1, m =1, 2a -b =-2m解得:a =-1,b =0,m =1 此时,原式=(x 2+2)(x 2-x -1)(2)设原式分解为(x 2+cx -2)(x 2+dx +1),其中c 、d 为整数,去括号,得:x 4+(c +d )x 3-x 2+(c -2d )x -2将它与原式的各项系数进行对比,得: c +d =-1, m =-1, c -2d =-2m解得:c =0, d =-1, m =-1 此时,原式=(x 2-2)(x 2-x +1)2. 在几何学中的应用例3. 已知:长方形的长、宽为x 、y ,周长为16cm ,且满足x -y -x 2+2xy -y 2+2=0,求长方形的面积。
高中化学的十字相乘法十字交叉法又称图解法,应用于二元混合体系所产生的具有平均意义的计算问题,表现出实用性强,能准确、简便、迅速求解的特点。
适用范围:“十字交叉法”适用于两组分混合物(或多组分混合物,但其中若干种有确定的物质的量比,因而可以看做两组分的混合物),求算混合物中关于组分的某个化学量(微粒数、质量、气体体积等)的比值或百分含量。
例1:实验测得乙烯与氧气的混合气体的密度是氢气的14.5倍。
可知其中乙烯的质量分数为( )A.25.0%B.27.6%C.72.4%D.75.0%解析:要求混合气中乙烯的质量分数可通过十字交叉法先求出乙烯与氧气的物质的量之比(当然也可以求两组分的质量比,但较繁,不可取),再进一步求出质量分数。
这样,乙烯的质量分数是:ω(C 2H 4)=321283283⨯+⨯⨯×100%=72.4% 答案:C 。
(解毕)二、十字交叉法的解法探讨:1.十字交叉法的依据:对一个二元混合体系,可建立一个特性方程: ax+b(1-x)=c(a 、b 、c 为常数,分别表示A 组分、B 组分和混合体系的某种平均化学量,如:单位为g/mol 的摩尔质量、单位为g/g 的质量分数等) ;x 为组分A 在混合体系中某化学量的百分数(下同)。
如欲求x/(1-x)之比值,可展开上述关系式,并整理得: ax -bx=c -b解之,得: ba c a xb a bc x --=---=1, 即:ca b c x x --=-1 2.十字交叉法的常见形式:为方便操作和应用,采用模仿数学因式分解中的十字交叉法,记为:3.解法关健和难点所在:十字交叉法应用于解题快速简捷,一旦教给了学生,学生往往爱用,但是也往往出错。
究其原因,无外乎乱用平均量(即上述a 、b 、c 不知何物)、交叉相减后其差值之比不知为何量之比。
关于上述a 、b 、c 这些化学平均量,在这里是指其量纲为(化学量1 ÷化学量2)的一些比值,如摩尔质量(g/mol )、溶液中溶质的质量分数(溶质质量÷溶液质量)或关于物质组成、变化的其它化学量等等。
十字交叉法是公务员行政职业能力测验数学运算的一个重要方法,很多比例问题,都可以用十字交叉法来很快地解决,而在资料分析中,也能够派上很大用场,因此应该认真掌握,以便快速解题。
如果题目中给出两个平行的情况A,B,满足条件a,b,然后A和B按照某种条件混合在一起形成的情况C,满足条件c,而且可以表示成。
那么此时就可以用十字交叉法,表示如下:由此可列比例式:。
采用十字交叉法时要注意比例的对应性以及减数与被减数的顺序。
十字相乘法使用时要注意几点:第一点:用来解决两者之间的比例关系问题。
第二点:得出的比例关系是基数的比例关系。
第三点:总均值放中央,对角线上,大数减小数,结果放对角线上。
下面我们一真题来具体说明十字交叉法的应用。
【例1】浓度为70%的酒精溶液100克与浓度为20%的酒精溶液400克混合后得到的酒精溶液的浓度是多少?()A. 30%B. 32%C. 40%D. 45%【答案及解析】A。
解法一:这道题我们依旧可以按照传统的公式法来解:100克70%的酒精溶液中含酒精100×70%=70克;400克20%的酒精溶液中含酒精400×20%=80克;混合后的酒精溶液中含酒精的量=70+80=150克;混合后的酒精溶液的总重量=100+400=500克;混合后的酒精溶液的浓度=150/500×100%=30%,选择A。
解法二:十字相乘法:混合后酒精溶液的浓度为X%,运用十字交叉法:溶液Ⅰ70 X-20 100\ /X/ \溶液Ⅱ20 70-X 400我们可以采用带入法,把答案选项带入,结果就会一目了然。
【例2】甲容器中有浓度为4%的盐水250 克,乙容器中有某种浓度的盐水若干克。
现从乙中取出750 克盐水,放人甲容器中混合成浓度为8%的盐水。
问乙容器中的盐水浓度约是多少?()A.9.78%B.10.14%C.9.33%D.11.27%【答案及解析】C。
设浓度为x甲: 4 x-88乙:x 4(x -8):4=250:750=1:3x =9.33%【例3】某市按以下规定收取燃气费:如果用气量60立方米,按每立方0.8元收费;如果用气量超过60立方米,则超过部分按每立方1.2元收费。
十字相乘法 (2020年8月)【基础知识精讲】(1)理解二次三项式的意义; (2)理解十字相乘法的根据; (3)能用十字相乘法分解二次三项式;(4)重点是掌握十字相乘法,难点是首项系数不为1的二次三项式的十字相乘法.【重点难点解析】 1.二次三项式多项式c bx ax ++2,称为字母x 的二次三项式,其中2ax 称为二次项,bx 为一次项,c 为常数项.例如,322--x x 和652++x x 都是关于x 的二次三项式.在多项式2286y xy x +-中,如果把y 看作常数,就是关于x 的二次三项式;如果把x 看作常数,就是关于y 的二次三项式.在多项式37222+-ab b a 中,把ab 看作一个整体,即3)(7)(22+-ab ab ,就是关于ab 的二次三项式.同样,多项式12)(7)(2++++y x y x ,把x +y 看作一个整体,就是关于x +y 的二次三项式. 十字相乘法是适用于二次三项式的因式分解的方法. 2.十字相乘法的依据和具体内容利用十字相乘法分解因式,实质上是逆用(ax +b )(cx +d )竖式乘法法则.它的一般规律是:(1)对于二次项系数为1的二次三项式q px x ++2,如果能把常数项q 分解成两个因数a ,b 的积,并且a +b 为一次项系数p ,那么它就可以运用公式))(()(2b x a x ab x b a x ++=+++分解因式.这种方法的特征是“拆常数项,凑一次项”.公式中的x 可以表示单项式,也可以表示多项负数时,把它分解为两个异号因数的积,其中绝对值较大的因数的符号与一次项系数的符号相同. (2)对于二次项系数不是1的二次三项式c bx ax ++2(a ,b ,c 都是整数且a ≠0)来说,如果存在四个整数2121,,,c c a a ,使a a a =⋅21,c c c =⋅21,且b c a c a =+1221,那么c bx ax ++2))(()(2211211221221c x a c x a c c x c a c a x a a ++=+++=它的特征是“拆两头,凑中间”,这里要确定四个常数,分析和尝试都要比首项系数是1的情况复杂,因此,一般要借助“画十字交叉线”的办法来确定.学习时要注意符号的规律.为了减少尝试次数,使符号问题简单化,当二次项系数为负数时,先提出负号,使二次项系数为正数,然后再看常数项;常数项为正数时,应分解为两同号因数,它们的符号与一次项系数的符号相同;常数项为负数时,应将它分解为两异号因数,使十字连线上两数之积绝对值较大的一组与一次项系数的符号相同.用十字相乘法分解因式,还要注意避免以下两种错误出现:一是没有认真地验证交叉相乘的两个积的和是否等于一次项系数;二是由十字相乘写出的因式漏写字母.如:)45)(2(86522-+=-+x x y xy x3.因式分解一般要遵循的步骤多项式因式分解的一般步骤:先考虑能否提公因式,再考虑能否运用公式或十字相乘法,最后考虑分组分解法.对于一个还能继续分解的多项式因式仍然用这一步骤反复进行.以上步骤可用口诀概括如下:“首先提取公因式,然后考虑用公式、十字相乘试一试,分组分解要合适,四种方法反复试,结果应是乘积式”.【典型热点考题】例1 把下列各式分解因式:(1)1522--x x ;(2)2265y xy x +-.点悟:(1)常数项-15可分为3 ×(-5),且3+(-5)=-2恰为一次项系数;(2)将y 看作常数,转化为关于x 的二次三项式,常数项26y 可分为(-2y )(-3y ),而(-2y )+(-3y )=(-5y )恰为一次项系数.解:(1))5)(3(1522-+=--x x x x ; (2))3)(2(6522y x y x y xy x --=+-.例2 把下列各式分解因式:(1)3522--x x ;(2)3832-+x x .点悟:我们要把多项式c bx ax ++2分解成形如))((2211c ax c ax ++的形式,这里a a a =21,c c c =21而b c a c a =+1221.解:(1))3)(12(3522-+=--x x x x ; (2))x )(x (x x 3133832+-=-+.点拨:二次项系数不等于1的二次三项式应用十字相乘法分解时,二次项系数的分解和常数项的分解随机性较大,往往要试验多次,这是用十字相乘法分解的难点,要适当增加练习,积累经验,才能提高速度和准确性.例3 把下列各式分解因式: (1)91024+-x x ;(2))(2)(5)(723y x y x y x +-+-+; (3)120)8(22)8(222++++a a a a .点悟:(1)把2x 看作一整体,从而转化为关于2x 的二次三项式; (2)提取公因式(x +y )后,原式可转化为关于(x +y )的二次三项式; (3)以)8(2a a +为整体,转化为关于)8(2a a +的二次三项式. 解:(1) )9)(1(9102224--=+-x x x x =(x +1)(x -1)(x +3)(x -3).(2) )(2)(5)(723y x y x y x +-+-+]2)(5)(7)[(2-+-++=y x y x y x=(x +y )[(x +y )-1][7(x +y )+2] =(x +y )(x +y -1)(7x +7y +2). (3) 120)8(22)8(222++++a a a a)108)(128(22++++=a a a a )108)(6)(2(2++++=a a a a点拨:要深刻理解换元的思想,这可以帮助我们及时、准确地发现多项式中究竟把哪一个看成整体,才能构成二次三项式,以顺利地进行分解.同时要注意已分解的两个因式是否能继续分解,如能分解,要分解到不能再分解为止.例4 分解因式:90)242)(32(22+-+-+x x x x . 点悟:把x x 22+看作一个变量,利用换元法解之. 解:设y x x =+22,则 原式=(y -3)(y -24)+90162272+-=y y=(y -18)(y -9))92)(182(22-+-+=x x x x .点拨:本题中将x x 22+视为一个整体大大简化了解题过程,体现了换元法化简求解的良好效果.此外,)9)(18(162272--=+-y y y y 一步,我们用了“十字相乘法”进行分解.例5 分解因式653856234++-+x x x x . 点悟:可考虑换元法及变形降次来解之. 解:原式]38)1(5)1(6[222-+++=xx x x x ]50)1(5)1(6[22-+++=xx x x x ,令y xx =+1,则 原式)5056(22-+=y y x)103)(52(2+-=y y x32)3103)(252(22+++-=x x x x)13)(3)(12)(2(++--=x x x x .点拨:本题连续应用了“十字相乘法”分解因式的同时,还应用了换元法,方法巧妙,令人眼花瞭乱.但是,品味之余应想到对换元后得出的结论一定要“还原”,这是一个重要环节. 例6 分解因式655222-+-+-y x y xy x .点悟:方法1:依次按三项,两项,一项分为三组,转化为关于(x -y )的二次三项式. 方法2:把字母y 看作是常数,转化为关于x 的二次三项式. 解法1: 655222-+-+-y x y xy x6)55()2(22-+-++-=y x y xy x6)(5)(2----=y x y x)6)(1(--+-=y x y x .解法2: 655222-+-+-y x y xy x65)52(22-+++-=y y x y x )1)(6()52(2-+++-=y y x y x)]y (x )][y (x [16--+-==(x -y -6)(x -y +1).例7 分解因式:ca (c -a )+bc (b -c )+ab (a -b ).点悟:先将前面的两个括号展开,再将展开的部分重新分组. 解:ca (c -a )+bc (b -c )+ab (a -b ))(2222b a ab bc c b c a ac -+-+-= )()()(222b a ab b a c b a c -+---= )())(()(2b a ab b a b a c b a c -+-+--=])()[(2ab b a c c b a ++--==(a -b )(c -a )(c -b ).点拨:因式分解,有时需要把多项式去括号、展开、整理、重新分组,有时仅需要把某几项展开再分组.此题展开四项后,根据字母c 的次数分组,出现了含a -b 的因式,从而能提公因式.随后又出现了关于c 的二次三项式能再次分解.例8 已知12624+++x x x 有一个因式是42++ax x ,求a 值和这个多项式的其他因式.点悟:因为12624+++x x x 是四次多项式,有一个因式是42++ax x ,根据多项式的乘法原则可知道另一个因式是32++bx x (a 、b 是待定常数),故有=+++12624x x x +2(x )3()42+++⋅bx x ax .根据此恒等关系式,可求出a ,b 的值. 解:设另一个多项式为32++bx x ,则12624+++x x x)3)(4(22++++=bx x ax x12)43()43()(234++++++++=x b a x ab x b a x ,∵ 12624+++x x x 与12)43()43()(234++++++++x b a x ab x b a x 是同一个多项式,所以其对应项系数分别相等.即有由①、③解得,a =-1,b =1, 代入②,等式成立.∴ a =-1,另一个因式为32++x x .点拨:这种方法称为待定系数法,是很有用的方法.待定系数法、配方法、换元法是因式分解较为常用的方法,在其他数学知识的学习中也经常运用.希望读者不可轻视.【易错例题分析】例9 分解因式:22210235y aby b a -+. 错解:∵ -10=5×(-2),5=1×5, 5×5+1×(-2)=23,∴ 原式=(5ab +5y )(-2ab +5y ).警示:错在没有掌握十字相乘法的含义和步骤.正解:∵ 5=1×5,-10=5×(-2),5×5+1×(-2)=23.∴ 原式=(ab +5y )(5ab -2y ). 【同步练习】 一、选择题1.如果))((2b x a x q px x ++=+-,那么p 等于 ( ) A .ab B .a +b C .-ab D .-(a +b )2.如果305)(22--=+++⋅x x b x b a x ,则b 为 ( )A .5B .-6C .-5D .63.多项式a x x +-32可分解为(x -5)(x -b ),则a ,b 的值分别为 ( ) A .10和-2 B .-10和2 C .10和2 D .-10和-24.不能用十字相乘法分解的是 ( ) A .22-+x x B .x x x 310322+-C .242++x x D .22865y xy x --5.分解结果等于(x +y -4)(2x +2y -5)的多项式是 ( ) A .20)(13)(22++-+y x y x B .20)(13)22(2++-+y x y x C .20)(13)(22++++y x y x D .20)(9)(22++-+y x y x6.将下述多项式分解后,有相同因式x -1的多项式有 ( ) ①672+-x x ; ②1232-+x x ; ③652-+x x ; ④9542--x x ; ⑤823152+-x x ; ⑥121124-+x x A .2个 B .3个 C .4个 D .5个 二、填空题7.=-+1032x x __________. 8.=--652m m (m +a )(m +b ). a =__________,b =__________. 9.=--3522x x (x -3)(__________).10.+2x ____=-22y (x -y )(__________).11.22____)(____(_____)+=++a mna . 12.当k =______时,多项式k x x -+732有一个因式为(__________). 13.若x -y =6,3617=xy ,则代数式32232xy y x y x +-的值为__________. 三、解答题14.把下列各式分解因式:(1)6724+-x x ; (2)36524--x x ;(3)422416654y y x x +-; (4)633687b b a a --;(5)234456a a a --; (6)422469374b a b a a +-.15.把下列各式分解因式:(1)2224)3(x x --;(2)9)2(22--x x ;(3)2222)332()123(++-++x x x x ;(4)60)(17)(222++-+x x x x ;(5)8)2(7)2(222-+-+x x x x ;(6)48)2(14)2(2++-+b a b a .16.把下列各式分解因式: (1)b a ax x b a +++-2)(2;(2)))(()(222q p q p pq x q p x -+++-;(3)81023222-++--y x y xy x ;(4)310434422-+---y x y xy x ;(5)120)127)(23(22-++++x x x x ;(6)4222212)2)((y y xy x y xy x -++++.17.已知60197223+--x x x 有因式2x -5,把它分解因式.18.已知x +y =2,xy =a +4,2633=+y x ,求a 的值.十字相乘法参考答案【同步练习】1.D 2.B 3.D 4.C 5.A 6.C7.(x +5)(x -2) 8.1或-6,-6或1 9.2x +110.xy ,x +2y 11.224m n ,a ,mn 2 12.-2,3x +1或x +2 13.1714.(1) 原式)6)(1(22--=x x )6)(1)(1(2--+=x x x(2) 原式)4)(9(22+-=x x )4)(3)(3(2+-+=x x x(3) 原式)16)(4(2222y x y x --= )4)(4)(2)(2(y x y x y x y x -+-+=(4) 原式))(8(3333b a b a +-= ))()(42)(2(2222b ab a b a b ab a b a +-+++-=(5) 原式)456(22--=a a a )43)(12(2-+=a a a(6) 原式)9374(42242b b a a a +-=)9)(4(22222b a b a a --=)3)(3)(2)(2(2b a b a b a b a a -+-+=15.(1) 原式)23)(23(22x x x x +---= )1)(3)(1)(3(-++-=x x x x(2) 原式]3)2(][3)2([+---=x x x x)32)(32(22+---=x x x x)32)(1)(3(2+-+-=x x x x(3) 原式)332123()332123(2222---+++++++=⋅x x x x x x x x )1)(2)(455(2+-++=x x x x(4) 原式)5)(12(22-+-+=x x x x )5)(3)(4(2-+-+=x x x x(5) 原式)12)(82(22++-+=x x x x 2)1)(4)(2(++-=x x x(6)原式)82)(62(-+-+=b a b a16.(1) 原式)1]()[(+++-=x b a x b a(2) 原式)]()][([q p q x q p p x +---=))((22q pq x pq p x --+-=(3)原式)8103()22(22+----=y y x y x )2)(43()22(2-----=y y x y x]2)][43([-+--=y x y x)2)(43(-++-=y x y x(4) 原式3103)1(4422-+-+-=y y x y x )3)(13()1(442---+-=y y x y x)32)(132(-++-=y x y x(5) 原式120)4)(3)(2)(1(-++++=x x x x120)45)(65(22-++++=x x x x1201)55(22--++=x x)1155)(1155(22-+++++=x x x x)65)(165(22-+++=x x x x)6)(1)(165(2+-++=x x x x(6) 原式422222212)()(y y xy x y y xy x -+++++= )3)(4(222222y y xy x y y xy x -+++++=)2)(5(2222y xy x y xy x -+++=)2)()(5(22y x y x y xy x +-++=17.提示:)52()601972(23-+--÷x x x x )3)(4(122+-=--=x x x x18.∵ ))((2233y xy x y x y x +-+=+ ]3))[((2xy y x y x -++=,又∵ 2=+y x ,xy =a +4,2633=+y x ,∴ 26)]4(32[22=+-a ,解之得,a =-7.。