第8章 无穷级数练习题解析
- 格式:doc
- 大小:419.50 KB
- 文档页数:20
第8章⽆穷级数练习题解析第8章⽆穷级数练习题习题8.11.判断题(对的划“√”,错的划“×”)(1)级数部分和的极限已求出,则级数收敛.若部分和的极限不存在,则级数发散.()(2)若级数∑∞=±1)(n n nv u收敛,则级数∑∞=1n n u 与级数∑∞=1n n v 都收敛.()(3)改变级数的有限项不会改变级数的和.()(4)当0lim =∞→n n u 时,级数∑∞=1n nu不⼀定收敛.()2.⽤级数的“∑”形式填空(1),!3!2!1 +++ 即.(2),7151311 +-+-即.(3)+++4ln 313ln 212ln 1即.(4),63524101 +++++-即. 3.判断下列各级数的收敛性,并求收敛级数的和(1) -+-3322747474.(2) +++πππ553321.(5)∑∞=-+1)1(nn n.4.级数∑∞=+1)31 21(nnn是否收敛?若收敛,求其和.5.制造灯泡需要抽去玻璃泡中的空⽓,设灯泡中原有空⽓的质量m,在多次抽⽓时,每⼀次抽出的空⽓质量为上次剩余质量的20%,连续不断地抽,抽出的空⽓质量最多是多少?习题8.21.⽤“收敛”或“发散”填空(1)∑∞=13 1n n.()(2)∑∞=122.()(3)∑∞=1!n n.()(4)∑∞=12.11nn.()2.判断下列正项级数的收敛性(1)∑∞=+11 9.01n n.(2)∑∞=++12658nnn.(3)∑∞=+.3.判断下列级数是否收敛(1)∑∞=--1)1 (nnnπ. (2) ∑∞=--1311)1(nnn.(3) ∑∞=-122sin)1(.(4) ∑∞=-+12)1(1nnn.4.判断下列级数的收敛性(1)∑∞=++1)2(1n n n n .(2)∑∞=??+11n nn n .(3)∑∞=--1131arcsin )1(n n n .(4)∑∞=+-1=12n n n.(6)∑∞=166n n n.(7))0,(,31211>++++++b a b a b a b a .(8)∑∞=+++1) 3)(2)(1(n n n n n.(9) ++++++nn 134232.(10) +-+-2227151311.习题8.31.求下列幂级数的收敛区间(1) ------n x x x x n 3232.(2) -++++n nnx x x x 3333233322.(3) +?++?+?+?+nnn x x x x x 33433323443322.(4) ++++++nnx n x x x 3322321.(5) +??++??+?+)2(64264242232n x x x x n.(6)∑∞=++-11=--122212n n nx n .(8) ∑∞=?+13)1(n nn n x . (9) ∑∑∞=∞=++-112212)1(n n n n n n n x n x .(10)??∑∑∞=∞=11!n n n n n x n x .2.利⽤逐项求导数或逐项求积分或逐项相乘的⽅法,求下列级数在收敛区间上的和函数(1)∑∞=--122212n n nx n .(2) ++++753753x x x x .(3) +++13951392x x x .(4) +?+?+?433221432x x x .(5) +?+?+?+?3254433221x x x .(6)∑∑∞=∞=11!n n n n n x n x .习题8.41.将下列函数展开为x 的幂级数,并指出其收敛域(1)xe 2.(2))1,0(≠>a a a x 且.(3)2sin x.(4))0()ln(>+a x a .(5)-=)2cos 1(21sin sin 2+xt dt41.(8)?x dt tt 0sin .(9)?-xt dt e22.2.将下列函数展开为x 的幂级数,并指出其收敛半径(1))0(22>+a x a .(2)x arcsin .(3))1ln(2x x ++.3.⽤级数的展开式,近似计算下列各值(1)e (取前五项).(2)521?(取前三项).(3)?18sin (取前两项).4.计算下列积分的近似值(计算前三项)(1)212dx e x .(2)?10sin dx xx.(3)?11.0dx xe x.习题8.5(2)设周期函数)(2)(ππ<≤-=x xx f ,则它的傅⾥叶系数 =0a ,=n a , =1b , =nb .(3)⽤周期为π2的函数)(x f 的傅⾥叶系数公式,求周期为l 的函数)(t g 的傅⾥叶级数,应作代换=t .(4)周期为l 的函数)(x f 的傅⾥叶系数=0a ,=n a ,=n b .2.把下列周期函数展开成傅⾥叶级数(1)<≤<≤-=ππt t t u 0100)(.(2)<≤+<≤--=ππx x x x x f 0,10,1)(.(3)<≤-<≤-+=ππππt t t t t f 0,0,)(.(4))(2cos)(ππ<≤-=x xx f .(5)??<≤<≤--<≤--=21,11112,1)(x x x x x f .(6)2121,1)(2<≤--=x x x f .3.将函数)11()(≤≤-=x e x f x展开成傅⽒级数.4.将函数)0()(ππ≤≤-=x x x f 分别展开成正弦级数和余弦级数.5.将周期为4的单向窄脉冲信号,展开成傅⾥叶级数的复数形式,其表达式<≤<<--≤≤-=221,02121,211.判断题(对的划“√”,错的划“×”)(1)若,0lim =∞→n n u 则级数∑∞=1n nu收敛.()(2)若级数∑∞=1n nu发散,则级数∑∞=≠10(n nc cu为常数)也发散.()(3)改变级数的有限多个项,级数的敛散性不变.()(4)若级数∑∞=1n nu收敛,则∑∞=-+1212)(n n n u u收敛.()(5)若)(x f 是周期函数为π2的函数,且满⾜收敛定理的条件,则在任意点x 处)(x f 的傅⽒级数收敛于)(x f .()2.⽤“收敛”或“发散”填空 (1)若级数∑∞u收敛,则∑∞=+1)001.0(n nu.(2)级数∞=1n (3)当10<=-+111n nn aa . (4)级数∞=1n n (5)级数∞=n3.单项选择题(1)下列级数中,收敛的是()(A ) ∑∞=--11)1(n n n ;(B ) ∑∞=+-1232)1(n n n n;(C ) ∑∞=+115n n ;(D )∑∞=-+1231n n n .(2)下列级数中,绝对收敛的是()(A )∑∞=-1)1(n n n ;(B )∑∞=++12123n n n ;(C )∑∞=-??? ??-1132)1(n nn ;(D )∑∞=-+-11)1ln()1(n n n . (3)幂级数∑∞=1n nnx 的收敛区间是()(A )[]1,1-;(B )[)1,1-;(C )(]1,1-;(D )()1,1-. (4)函数2)(x e x f -=展开成x 的幂级数是()(A )∑∞=12!n n n x ;(B )∑∞=-12!)1(n n n n x ;(C )∑∞=1!n n n x ;(D )∑∞=--11!)1(n nn n x .(5) 设)(x f 的周期为π2,它在[)ππ,-的表达式),(,2)(ππ<≤-=x x x f 则)(x f 的傅⽒展开式为()(A )∑∞=+-11sin )1(2n n nx n ;(B )∑∞=+-11sin )1(4n n nx n ;(C )),)12(,(sin )1(411Z k k x x nx n n n ∈-≠+∞<<-∞-∑∞=+π;(D )),)12(,(sin )1(211Z k k x x nx n n n ∈-≠+∞<<-∞-∑∞=+π.4.判别下列各级数的敛散性(1))0(1112>+∑∞=a a n .(2)∑∞=+112tann n n π.(3)∑∞=+11tann n n π. (4)∑∞=1sincos n nn ππ.(5) ∑∞=+112!n n n . (6) ∑∞=--1ln )1(n n n n .(B )组1.⽤已知函数的展开式,将下列函数展开成x 的幂级数(1)x e x x f -=3)(.(2)x x f 2cos )(2=.(3)211)(x x f -=.(4)321)(2--=x x x f .2.⽤已知函数的展开式,将下列函数展开成2-x 的幂级数(1)x x f -=41)(.(2)x x f ln )(=.3.将下列周期函数展开成傅⾥叶级数(1))(sin )(ππ<≤-=x ax x f (a 为⾮整数的常数).(2))()(22πππ<≤--=x x x f .(3) )()(3ππ<≤-=x x x f .4.把周期函数<≤<≤--=22,2)(x x xx f 展开成傅⽒级数.5.将≤≤-<≤-=24,440,)(T t T T T x t t q 分别展开成正弦型级数和余弦型级数.6.将)210(1)(2≤≤-=x x x f 分别展开成正弦型级数和余弦型级数.第8题图7.把函数≤≤<≤--=ππππx x x f 0,40,4)(展开成傅⽒级数,并由它导出(1)+-+-=71513114π.(2) ++--+-=131111917151163π.8.将下⾯波形的函数展开成傅⾥叶级数。
无穷级数习题课1.判别级数的敛散性:(1)(2)(3)(4)(5)()211ln1nn n¥=+å()41tan1nn p¥=+å363663666-+-++×××+-++×××++×××21sinlnnnnp¥=æö+ç÷èøå()211lnnnn n¥=--å解:(1)为正项级数,当时, ,根据比较审敛准则,与有相同敛散性,根据积分审敛准则,与反常积分有相同敛散性, 而发散,故发散.()211ln 1n n n ¥=+ån ®¥()2111~2ln ln 1n u n n n n =+()211ln 1n n n ¥=+å21ln n n n ¥=å21ln n n n¥=å21ln dx x x +¥ò21ln dx x x +¥ò()211ln 1n n n ¥=+å(2)为正项级数,当时,,而收敛,根据比较审敛准则,收敛.()41tan 1n n p¥=+ån ®¥()422421tan1tan~21n u n n n n npp p =+-=++211n n ¥=å()41tan1n n p¥=+å(3)为正项级数, 令,其中,易证单调递增且,故收敛;令,由,两边取极限得,,(舍去);,,根据达朗贝尔比值审敛法,该级数收敛.363663666-+-++×××+-++×××++×××3n n u a =-666n a =++×××+{}n a 3n a <{}n a lim n n a a ®¥=16n n a a -=+6a a =+Þ260a a --=3a =2a =-111113311333n n n n n n n a a u u a a a +++++-+=×=-++1111lim lim 136n n n nn u u a +®¥®¥+==<+(4)看成交错级数,单调递减趋于0,根据Leibniz 定理,该级数收敛; 其绝对值级数发散(这是因为当时,,而且),故级数条件收敛. ()2211sin 1sin ln ln n n n n n n p ¥¥==æö+=-ç÷èøåå1sin ln n ìüíýîþ21sin ln n n ¥=ån ®¥11sin ~ln ln n n 1lim ln n n n®¥×=+¥(5)为交错级数,其绝对值级数为,当时,, 所以,该级数绝对收敛.()211ln nn n n¥=--å211ln n n n ¥=-ån ®¥2211~ln n n n-2. 设,且,证明级数条件收敛. ()01,2,n u n ¹= lim 1n nn u ®¥=()111111n n n n u u ¥-=+æö-+ç÷èøå证明:设级数的部分和为,则 ,因为,所以,于是 ,即级数收敛;其绝对值级数为,因为, 所以级数发散,故原级数条件收敛.()111111n n n n u u ¥-=+æö-+ç÷èøån s ()()211223111111111111n n n n n n n s u u u u u u u u ---+æöæöæöæö=+-+++-++-+ç÷ç÷ç÷ç÷èøèøèøèø()111111n n u u -+=+-lim1n nn u ®¥=()()1111111lim 1lim 101n n n n n n n u u n --®¥®¥+++-=-×=+()1111111lim lim 1n n n n n s u u u -®¥®¥+éù=+-=êúëû()111111n n n n u u ¥-=+æö-+ç÷èøå1111n n n u u ¥=++å11111lim lim 21n n n n n n n n nn u u u u n ®¥®¥+++×+=+×=+1111n n n u u ¥=++å3. 填空(1) _____(2) 设幂级数在处收敛, 则级数__收敛__.(收敛还是发散)(3) 设幂级数在处条件收敛,则幂级数在处( 绝对收敛 ),在处( 发散 ); (4)设,, ,则________;________.11(1)2n n n -¥=-=å130(1)nn n a x ¥=-å12x =-0(1)n n n a ¥=-å1()nn x a n ¥=-å2x =-1()2nn n x a ¥=+åln 2x =-x p =11,02()1,12x f x x x ì£<ïï=íï ££ïî1()sin nn s x bn xp ¥==å102()sin n b f x n xdx p =ò3()2s =34-5()2s =344. 求幂级数的收敛域2112sin 22nn x n x ¥=+æöæöç÷ç÷-èøèøå 解:令,原级数变为变量t的幂级数.因为,所以收敛半径.又时级数发散,时级数收敛, 故收敛域为;再由,解得, 原函数项级数的收敛域为.122xt x +=-21sin 2n n t n ¥=æöç÷èøå ()11sin21limlim 11sin2n n n nn a a n+®¥®¥+==1R =1t=21sin 2n n ¥=å1t=-()211sin 2nn n ¥=-å21sin 2n n t n ¥=æöç÷èøå [)1,1-12112x x +-££-133x -£<2112sin 22nn x n x ¥=+æöæöç÷ç÷-èøèøå 13,3éö-÷êëø5.求下列级数的和函数(1) (2)221212n n n n x ¥-=-å()()()201123!nn n n x n ¥=-++å解:(1).令,,所以收敛半径. 当时,级数发散,所以幂级数的收敛域为.设级数的和函数为,对幂级数逐项积分得,, 对上式两边求导得, .221212n n n n x ¥-=-å212n n n a -=11lim 2n n n a a +®¥=1212R ==2x =±()2,2D =-()s x ()212200112122n xx n n n n n n x s x dx x dx -¥¥-==-==ååòò222212xx x x ==--()2,2x Î-()()2222222x x s x x x ¢+æö==ç÷-èø-()2,2x Î-(2). 易求该幂级数的收敛域为;设级数的和函数为,,, 两边取积分,逐项求积分得, ()()()201123!nnn n x n ¥=-++å(),-¥+¥()s x ()()()()201123!nn n n s x xn ¥=-+=+å()()()()2101123!nn n n xs x x n ¥+=-+=+å()()()()()()21220000111123!223!nnxx n n n n n xs x dx x dx x n n ¥¥++==-+-==++ååòò当时,,求导得 , 当时,由所给级数知.因此. 0x ¹()()()()230111sin 223!2nxn n xs x dx x x x x n x¥+=-==-+åò()2sin 1sin cos 22x x x x xxs x x x ¢--æö==ç÷èø()3sin cos 2x x x s x x -=0x =()106s =()3sin cos ,021,06x x xx xs x x -ì¹ïï=íï=ïî6.求级数的和.()22112n n n ¥=-å解:考虑幂级数,收敛区间,设和函数为, 则当且时,,. ()2211nn x n ¥=-å()1,1-()s x 11x -<<0x ¹()()222211121211nnnn n n x x s x x n n n ¥¥¥=====--+-ååå112212121n n n n x x x n x n -+¥¥===--+åå11220121212n n n n x x x x x n x n -+¥¥==æö=---ç÷-+èøåå()11ln 12224x x x x æö=--++ç÷èø()2211311153ln ln 2242288412nn s n ¥=æö==++=-ç÷-èøå()()211ln 1ln 1222x x x x x x éù=-------êúëû7.设,试将展开成的幂级数.()111ln arctan 412x f x x x x +=+--()f x x 解:,取0到x 的定积分,幂级数逐项求积分, .()241111111114141211f x x x x x¢=++-=-+-+-44011n n n n x x ¥¥===-=åå()11x -<<()()()4410111041xx nn n n f x f f x dx x dx x n ¥¥+==¢=+==+ååòò1x <8.设在上收敛,试证:当时,级数必定收敛. ()0nn n f x a x ¥==å[]0,1010a a ==11n f n ¥=æöç÷èøå证明: 由已知在上收敛,所以,从而有界. 即存在,使得 ,所以,;级数收敛,根据比较审敛准则,级数绝对收敛.()0n n n f x a x ¥==å[]0,1lim 0n n a ®¥={}n a 0M>n a M£()1,2,n = 0123232323111111f a a a a a a n n n n n n æö=++++=++ç÷èø()2231111111n M M M n n n n næö£++==ç÷-èø- ()2n ³()211n n n ¥=-å11n f n ¥=æöç÷èøå9.已知为周期是的周期函数,(1)展开为傅立叶级数; (2)证明;(3)求积分的值.[)2(),0,2f x x x p =Î2p ()f x ()1221112n n np -¥=-=å()10ln 1x dx x +ò解:(1)在处间断,其它点处都连续.所以由Dirichlet 收敛定理,时,级数收敛于,所以当时,有,亦即:.()f x ()20,1,2,x k k p ==±± ()()22220011183a f x dx f x dx x dx pppp pp pp-====òòò222022014cos ,14sin ,1,2,n n a x nxdx n b x nxdx n npp p p p ====-=òò ()()221414cos sin 20,1,2,3n f x nx nx x k k nn p p p ¥=æö=+-¹=±±ç÷èøå ()22214114cos sin ,0,23n x nx nx x nn p p p ¥=æö=+-Îç÷èøå()20,1,2,x k k p ==±± ()()2002022f f p p ++-=()20,1,2,x k k p ==±± 222141423n np p ¥=+=å22116n n p ¥==å(2)是连续点,所以即:;x p =()f x 2221414cos ,3n n np p p ¥==+å()221112nn n p¥=-=-å()1221112n n n p-¥=-Þ=å(3)积分是正常积分,不是瑕点, 对,令,.()10ln 1x dx x +ò0x=()1,1t "Î-()()()()111112000111ln 1111n n n tt tn n nn n n x dx x dx x dx tx n nn---¥¥¥--===+---===åååòòò1t -®()10ln 1x dx x +ò()01ln 1lim t t x dx x -®+=ò()12111lim n n t n t n --¥®=-=å()12111lim n n t n t n --¥®=-=å()1221112n n np -¥=-==å10.证明下列展开式在上成立:(1);(2).并证明. []0,p ()221cos 26n nxx x n pp ¥=-=-å()()()31sin 21821n n xx x n p p¥=--=-å()()133113221n n n p -¥=-=-å证明:将函数展开为余弦级数和正弦级数.(1) 对作偶延拓,再作周期延拓,得到的周期函数处处连续,根据Dirichlet 定理,时,的余弦级数处处收敛于.,()()f x x x p =-[]0,x p Î()f x []0,x p Î()f x ()f x ()()0022a f x dx x x dx ppp p p==-òò23202233x x pp p p æö=-=ç÷èø, ,所以在上,.()()022cos cos n a f x nxdx x x nxdx ppp p p==-òò()()()()200022sin 2sin 2cos x x nx x nxdx x d nx n n pppp p p ppéù=---=-êúëûòò()2211nn éù=--+ëû()()202112cos 11cos 26n n n n a f x a nx nx n p ¥¥==éù=+=--+ëûåå221cos 26n nxnp ¥==-å[]0,x p Î[]0,p ()221cos 26n nxx x n p p ¥=-=-å(2)对作奇延拓,再作周期延拓,得到的周期函数处处连续,根据Dirichlet 定理,时,的正弦级数处处收敛于. , ()f x []0,x p Î()f x ()f x ()()0022sin sin n b f x nxdx x x nxdx p pp p p ==-òò()()()()200022cos 2cos 2sin x x nx x nxdx x d nx n n p p p p p p p p éù=----=-êúëûòò()3411n n p éù=--ëû, 所以在上,. 令,有. ()()3114sin 11sin n n n n f x b nx nx n p ¥¥==éù==--ëûåå()()31sin 21821n n x n p ¥=-=-å[]0,x p Î[]0,p ()()()31sin 21821n n xx x n p p ¥=--=-å2x p =()()23181sin 214221n n n p p p ¥==--åÞ()()133113221n n n p -¥=-=-å。
第8章 无 穷 级 数§8. 1 常数项级数1.级数的概念(1)数列{}n u 的各项依次相加所得的表达式称为无穷级数121nn n uu u u ∞==++++∑(2)121nn in i S uu u u ===+++∑,称为级数1n n u ∞=∑的前n 项部分和。
(3)若lim n n S S →∞=,则1nn u∞=∑收敛,且1nn uS ∞==∑;若n n S ∞→lim 不存在,则1n n u ∞=∑发散。
收敛原理:1nn u∞=∑收敛 ⇒ 0,0N ε∀>∃>,使当n N >,对任何自然数p 有12n n n p a a a ε+++++<2. 级数的性质 (1)若1nn uA ∞==∑,1n n v B ∞==∑,则()111n n n n n n n u v u v A B αβαβαβ∞∞∞===±=±=±∑∑∑(2)加上或去掉有限项不影响级数的敛散性 (3)收敛级数加括号后仍收敛于原级数的和 (4)若∑∞=1n nu收敛,则必有0lim =∞→n n u注意:(1)∑∞=1n nu与∑∞=1n nku具有相同敛散性;(2)若∑∞=1n nu收敛,∑∞=1n nv发散,则()∑∞=±1n n nv u发散;(3)若∑∞=1n nu,∑∞=1n nv均发散,则()∑∞=±1n n nv u敛散性不确定;(4)若加括号后级数发散,则原级数发散;若加括号后级数收敛,则原级数敛散性不确定;(5)级数收敛的必要条件常用来判别级数发散。
3. 正项级数审敛法(设∑∞=1n nu与∑∞=1n nv为正项级数,0n v ≠)(1)正项级数∑∞=1n nu收敛的充分必要条件是其部分和序列{}n S 有界。
(2)比较判别法:若n n u kv ≤(0k >),则1111n n n n n nn n v u u v ∞∞==∞∞==⎧⇒⎪⎪⎨⎪⇒⎪⎩∑∑∑∑收敛收敛发散发散比较法的极限形式:若lim nn n u l v →∞=,则 00l l ≤<+∞⎧⎨<≤+∞⎩收敛性相同发散性相同注意:(1)若分母,分子关于n 的最高次数分别为q p ,,则∑∞=1n n u ⎩⎨⎧≤->-11q p q p 发散收敛;(2)若当∞→n 时,n n v u ~,则∑∞=1n nu与∑∞=1n nv具有相同敛散性;(3)当∞→n 时,ln ,,,!,annn n a n n (1)a >,后者较前者趋于+∞的速度快 两个重要级数:几何级数∑∞=-⎩⎨⎧≥<=1111n n q q aq发散收敛;p -级数 1111p n p n p ∞=>⎧=⎨≤⎩∑收敛发散(3)比值/根值判别法:11lim 11n n n u u l +→∞⎧⎫<⎧⎪⎪⎪=>⎨⎪=⎩收敛发散失效(4)积分判别法:若()f x 在[)1,+∞上非负单调连续,则1()n f n ∞=∑与1()f x dx +∞⎰具有相同敛散性4. 任意项级数(1)交错级数判别法:若()111n n n u ∞-=-∑()0n u >满足1lim 0n n nn u u u +→∞≥⎧⎪⎨=⎪⎩,则()111n n n u ∞-=-∑收敛,且其和1u S ≤,其余和1+≤n n u R常用n u 递减的判别:11n nu u +<;10n n u u +->;()n u f n =,()0f x '< (2)任意项级数判别法(n u 符号不定)1111,,n n n n n n n n u u u u ∞∞==∞∞==⎧⎪⎪⎨⎪⎪⎩∑∑∑∑若收敛,则收敛 称为绝对收敛若发散,而收敛 称为条件收敛 定理表明任意项级数的收敛问题可以转化为正项级数的问题,因此可以用正项级数的判别法判定级数是否绝对收敛。
无穷级数习题答案无穷级数是数学中一个非常重要的概念,它在数学分析、物理学、工程学等领域都有广泛的应用。
无穷级数的求和问题一直是学生们在学习过程中面临的难题。
在这篇文章中,我将给出一些常见无穷级数习题的答案,并尝试解释其中的一些思路和技巧。
首先,让我们来看一个经典的无穷级数:1 + 1/2 + 1/4 + 1/8 + ... 这个级数被称为几何级数,它的通项为1/2的n次方。
我们的目标是求出这个级数的和。
要解决这个问题,我们可以使用一个重要的公式,即几何级数的求和公式。
根据这个公式,当公比小于1时,几何级数的和等于首项除以(1减公比)。
在这个例子中,首项是1,公比是1/2,因此这个级数的和等于1除以(1减1/2),即2。
所以,这个级数的和是2。
接下来,让我们考虑另一个无穷级数:1 + 1/3 + 1/5 + 1/7 + ... 这个级数的通项是1除以(2n-1)。
我们的目标是求出这个级数的和。
这个级数是一个调和级数的变形。
调和级数是指形如1 + 1/2 + 1/3 + 1/4 + ...的级数。
调和级数是发散的,也就是说它的和是无穷大。
但是,当我们去掉其中的偶数项时,级数的和会发生变化。
要解决这个问题,我们可以使用一个技巧,即将级数中的每一项乘以一个适当的因子。
在这个例子中,我们将每一项乘以2,得到2/1 + 2/3 + 2/5 + 2/7 + ... 这个级数的和等于2乘以(1 + 1/3 + 1/5 + 1/7 + ...)。
这个级数是一个调和级数,它的和是无穷大。
因此,原始级数的和也是无穷大。
除了几何级数和调和级数,还有许多其他类型的无穷级数。
其中一个常见的类型是幂级数,形如a0 + a1x + a2x^2 + a3x^3 + ...的级数。
幂级数在微积分中有广泛的应用。
让我们考虑一个幂级数的例子:1 + x + x^2 + x^3 + ... 这个级数的通项是x的n次方。
我们的目标是找到这个级数的和。
习题9-11.写出下列级数的前五项:(1) ∑∞=++1211n n n; (2) ∑∞=⋅-12)12(1n nn ; (3) ∑∞=-1)1(n nn ; (4)∑∞=1n nne.解 (1)第一项为1,第二项为53,第三项为104,第四项为175,第五项为266。
(2)第一项为21,第二项为121,第三项为401,第四项为1121,第五项为2881。
(3)第一项为-1,第二项为21,第三项为31-,第四项为41,第五项为51-。
(4)第一项为e ,第二项为22e ,第三项为33e ,第四项为44e ,第五项为55e 。
2.写出下列级数的一般项:(1) 1111357++++… (2) 1112ln 23ln 34ln 4+++…(3) 11234024567-++++++…(4)2345625101726a a a a a -+-+-…解 (1) 121-=n u n (2)()()1ln 11++=n n u n(3)12+-=n n u n (4)()11211-+-=+n a u n n n3.根据级数收敛与发散的定义,判别下列级数的敛散性,如果收敛,并求其和. (1)∑∞=12n n ; (2)∑∞=+-1)12)(12(1n n n ; (3)∑∞=++-+1)122(n n n n .解:(1) 级数的部分和为()222-12-121-==+n nn S 因为 ()+∞=-=+∞→∞→22lim lim 1n n n n S所以级数∑∞=12n n发散.(2)因为()()⎪⎭⎫⎝⎛+=+-121-1-212112121n n n n所以级数的部分和为 ()()12121751531311+-++⨯+⨯+⨯=n n S n⎪⎭⎫⎝⎛+++++=121-1-2171-5151-3131-121n n ⎪⎭⎫ ⎝⎛+=121-121n 12+=n n而 21121lim12limlim =+=+=∞→∞→∞→nn nS n n n n 所以级数∑∞=+-1)12)(12(1n n n 收敛.且级数的和为21.(3)因为()()()n n n n n n n -+-+-+=+++11212-2所以级数的部分和为()()n n n S n ++++++++=12-2232-4122-3 )(()()()()()nn n n -11-22-3-3-41-2-2-3+-+++++= )(()()1212--+-+=n n()()12121--+++=n n而 ()()2-112lim121limlim =--+++=∞→∞→∞→n n n n n n s所以级数∑∞=+-1)12)(12(1n n n 收敛.且级数的和为2-1. 4.判别下列级数的敛散性,若收敛,并求其和. (1) 1111124816-+-+-… (2) 234e e e e -+-+… (3) 2233121212()()()232323++++++… (4) 231ln 3ln 3ln 3++++ (5)∑∞=+1)11ln(n n n(6)∑∞=1sinn nn π(7) 231sin1sin 1sin 1-+-+ (8)++-++⋅+⋅+⋅)15)(45(1161111161611n n解:(1) 级数的部分和可写为∑=-⎪⎭⎫ ⎝⎛⨯-=nn n n n s 1142141因为∑∞=-1141n n 是41=q 的等比数列,收敛并且和为3441-11=.同理∑∞=⨯1421n n是41=q 的等比数列,收敛并且和为3241-1121=⨯. 根据级数性质,∑∞=-⎪⎭⎫⎝⎛⨯-1142141n n n 也收敛,其和为 ∑∞=-⎪⎭⎫ ⎝⎛⨯-1142141n n n =∑∞=-1141n n -∑∞=⨯1421n n=3232-34=(2) 级数的部分和可写为()()()()n n n nn nn n e e e ee e e e e ees 2222221212111111-+=-----=-=∑=- 因为 ()-∞=-+=∞→∞→n n n n e ees 211limlim所以根据定义,该级数发散。
无穷级数同步测试一、单项选择题1.下列结论中,错误的是( )()A 若lim 0→∞≠n n u ,则级数21∞=∑n n u 发散.()B 若级数1∞=∑n n u 绝对收敛,则21∞=∑n n u 收敛.()C 若级数1∞=∑n n u 收敛,则21∞=∑n n u 收敛.()D 若级数21∞=∑n n u 收敛,则lim 0→∞=n n u 收敛.2.已知幂级数1(1)∞=−∑nn n a x 在0=x 处收敛,在2=x 处发散,则该级数的收敛域( )()[0,2)()(0,2]()(0,2)()[0,2]A B C D3.已知幂级数1∞=∑nn n a x 的收敛半径1=R ,则幂级数0!∞=∑n n n a x n 的收敛域为( )()(1,1)()[1,1)()(1,1]()(,)−−−−∞+∞A B C D4. 设常数0>x ,则级数11(1)sin ∞−=−∑n n x n ( ). ()A 发散 ()B 条件收敛 ()C 绝对收敛 ()D 收敛性与x 有关二、填空题5. 级数11()2∞=∑nn n 的和为 .6.2!lim(!)→∞=n n n .7.已知级数22116π∞==∑n n ,则级数211(1)∞=−=∑n n n .8.幂级数2101!∞+=∑n n x n 的和函数()=S x . 三、解答题9.判断下列运算过程是否正确,若不正确,指出错误所在,并给出正确解法.级数∞=n n .又由于0=n,但=n u 不是单调递减的,由此得出该级数不满足莱布尼茨定理的第二个条件,故级数发散.10.讨论级数21(0)(1)(1)(1)∞=≥+++∑nn n x x x x x 的敛散性.11.求级数11(21)2∞=+∑nn n n 的和. 12.将2()ln(3)=−f x x x 展开为1−x 的幂级数. 13.求极限2313521lim()2222→∞−++++nn n . 14.验证函数3693()1()3!6!9!(3)!=++++++−∞<<+∞n x x x x y x x n 满足微分方程()()()'''++=xy x y x y x e ,并求幂级数30(3)!∞=∑nn x n 的和函数.第九章 多元函数微分法及其应用同步测试B 答案及解析一、单项选择题答案详细解析1. 解 利用级数的性质.若lim 0→∞≠n n u ,则2lim 0→∞≠nn u ,因此级数21∞=∑n n u 发散, ()A 正确;若1∞=∑n n u 绝对收敛,即1∞=∑n n u 收敛,则lim 0→∞=n n u ,2lim lim 01→∞→∞==<nn n n nu u u根据正项级数的比较审敛法知21∞=∑n n u 收敛,()B 正确;若级数21∞=∑n n u 收敛,则2lim 0lim 0→∞→∞=⇒=nn n n u u ,()D 正确; 故选()C .事实上,令(1)=−nn u ,则1∞=∑n n u 收敛,但2111∞∞===∑∑n n n u n发散. 『方法技巧』 本题考查级数收敛的必要条件及正项级数的比较审敛法. 『特别提醒』 比较审敛法只限于正项级数使用.2.解 由于幂级数1(1)∞=−∑n n n a x 在0=x 处收敛,则该级数在以1为中心,以0和1之间的距离1为半径的开区间11−<x ,即02<<x 内,级数绝对收敛.又级数在2=x 处发散,则在以1为中心,以1和2之间的距离1为半径的区间外11−>x ,即0<x 或2>x 内,级数发散.因此级数的收敛区间(不含端点)为(0,2),则收敛域为[0,2),故选()A .『方法技巧』 本题考查幂级数的阿贝尔定理.『特别提醒』 阿贝尔定理经常出现在各类考试的选择题或填空题中,要求大家熟练掌握它.3. 解 由于1∞=∑n n n a x 的收敛半径1=R ,则有1lim1→∞+=nn n a a . 幂级数0!∞=∑nn n a x n 的收敛半径为 11!lim lim (1)(1)!→∞→∞++'==+=+∞+nn n n n n a an R n a a n ,因此收敛域为(,)−∞+∞,故选()D .『方法技巧』 本题考查幂级数的收敛半径和收敛域. 由于级数是标准的幂级数,直接代入公式即可求出收敛半径=+∞R .4. 解 由于存在充分大的n ,有,sin 02π<>x xn n,所以从某时刻开始,级数1(1)sin ∞−=−∑k k nxk 是交错级数,且满足 sin sin ,limsin 01→∞≤=+k x x x k k k ,即满足莱布尼茨定理的条件,所以此交错级数收敛,而前有限项(1−n 项)不影响级数的敛散性,因此原级数11(1)sin ∞−=−∑n n xn 收敛.又由于sinlim 01→∞=>n xn x n,因此级数111(1)sin sin ∞∞−==−=∑∑n n n x x n n 发散,所以原级数11(1)sin ∞−=−∑n n xn 条件收敛,故选()B .『方法技巧』 本题考查正项项级数的比较审敛法及绝对收敛、条件收敛的概念和级数的性质.『特别提醒』 解题中需要说明,此级数可能不是从第一项就是交错级数,从某项以后为交错级数,而前有限项不影响级数的敛散性. 二、填空题 5. 2 6. 0 7. 212π− 8. 2x xe答案详细解析5. 解 考查幂级数1∞=∑n n nx ,其收敛域为(1,1)−.由111∞∞−===∑∑nn n n nx x nx,令11()∞−==∑n n f x nx ,则111()1∞∞−=====−∑∑⎰⎰xxn n n n x f x dx nx dx x x因此21()()1(1)'==−−x f x x x ,故21()(1)∞===−∑nn x nx xf x x ,所以 2111112()()21222(1)2∞====−∑n n n f 『方法技巧』 本题考查幂级数的收敛域及和函数.求常数项级数的和经常转化为讨论幂级数的和函数在确定点的值.『特别提醒』 在幂级数求和时,经常使用逐项积分和逐项求导的方法,将其转化为熟悉的幂级数(如等比级数),注意级数的第一项(0=n 或1=n ).6. 解 考虑级数21!(!)∞=∑n n n ,由比值审敛法 212(1)!(!)1lim lim lim 01![(1)!]1+→∞→∞→∞+===<++n n n n nu n n u n n n 因此级数21!(!)∞=∑n n n 收敛,由收敛级数的必要条件得2!lim 0(!)→∞=n n n . 『方法技巧』 本题考查利用收敛级数的必要条件求极限.这是求数列极限的一种方法,有些数列变形十分复杂,可考虑将其作为级数的一般项讨论.7. 解 由题设 222211111236π∞==+++=∑n n,则2222222111111111(2)42464624ππ∞∞====++=⨯=∑∑n n n n 22222222111111111(21)35(2)6248πππ∞∞∞====+++=−=−=−∑∑∑n n n n n n 故 222222222111111111(1)122234(21)6812πππ∞∞∞===−=−+−+−=−=−⨯=−−∑∑∑nn n n n n n 『方法技巧』 本题考查收敛级数的性质——收敛级数的代数和仍收敛(此性质只适用于收敛级数).『特别提醒』 一些同学不熟悉符号∑,可以将其写成普通和的形式,看起来会方便一些.8. 解 由于函数xe 的幂级数展开式为 01()!∞==−∞<<+∞∑xnn e x x n ,而 2122000111()!!!∞∞∞+=====∑∑∑n n n n n n x x x x x n n n 因此 22120011()()!!∞∞+=====∑∑n n x n n S x x x x xe n n .『方法技巧』 本题考查指数函数()=x f x e 的幂级数展开式01()!∞==−∞<<+∞∑xnn e x x n 一般而言,若幂级数的系数为1!n 时,求和时可能与指数函数x e 有关;若幂级数的系数为1(21)!−n 或1(2)!n 时,求和时可能与三角函数sin x 或cos x 有关.三、解答题9. 解 判断条件收敛的运算过程是错误的.由于lim11→∞→∞===n n n n u ,因此由比较审敛法知,级数∞=n2∞=n n 不是绝对收敛的.错误在于:莱布尼茨定理是判断交错级数收敛的一个充分条件,不是必要的,因此并不能说明不满足莱布尼茨定理的第二个条件,级数就一定不收敛.本题的正确解法要用级数收敛的充分必要条件,即研究lim →∞n n S 是否存在.正确解法:212⎛=+++ ⎝n S n由于每个括号均为负数,因此2n S 单调递减,且有212⎛=+++⎝n S n12⎛>+++⎝n=> 因此2lim →∞n n S 存在,不妨设2lim →∞=n n S S ,而21221221lim lim()lim lim 0+++→∞→∞→∞→∞=+=+=+=+=n n n n n n n n n n S S u S u S S S从而得到lim →∞=n n S S ,即级数∞=n n .『方法技巧』 本题考查绝对收敛和条件收敛的概念、莱布尼茨定理的应用及级数收敛的充分必要条件.1∞=∑nn u收敛⇔部分和n S 的极限存在,即lim →∞=n n S S『特别提醒』 莱布尼茨定理是判断交错级数收敛的充分非必要条件,即使不满足莱布尼茨定理,级数也可能收敛.10. 解 由于级数的一般项中含有连乘的形式,所以用比值审敛法1111lim 0 111limlim0111 12→∞+++→∞→∞⎧⎪=>⎪⎪+⎪⎪==≤<⎨+⎪⎪=⎪⎪⎪⎩n n n n n n n nx x x u xx x u x x 故对任意的0≥x ,原级数均收敛.『方法技巧』 本题考查正项级数的比值审敛法.若正项级数的一般项中含有连乘(包括阶乘!n )时,一般考虑用比值审敛法判断级数的敛散性.『特别提醒』 由于x 的范围不同,1lim+→∞n n nu u 不同,故需要分别进行讨论,但不论什么情况,极限值均小于1,因此级数收敛.11. 解 考虑幂级数21(21)∞=+∑nn x n n由于2211(1)(23)limlim 1(21)+→∞→∞++==+n n n nu n n x x u n n ,故其收敛半径为1=R ,而当1=±x 时,级数11(21)∞=+∑n n n 均收敛,因此幂级数的收敛域为[1,1]−.令 22111()(1)(21)(21)+∞∞====<++∑∑n n n n x x S x x x n n n n则 2212112(),()21∞∞−=='''===−∑∑n n n n x xS x S x x n x 因此 22002()(0)()ln(1)1''''−===−−−⎰⎰xxxS x S S x dx dx x x又 (0)0'=S ,则 2()ln(1)'=−−S x x ,同理2201()(0)()ln(1)ln(1)2ln1+'−==−−=−−+−−⎰⎰xxxS x S S x dx x dx x x x x而 (0)0=S ,则 21()ln(1)2ln1+=−−+−−xS x x x x x,故1111)](21)22∞====+−+∑nn n n2ln 21)=++『方法技巧』 本题考查利用幂级数求常数项级数的和,这是一种常用方法,关键要做出合适的幂级数.本题由于级数一般项的分母中含有因式21+n ,故所做级数为21(21)∞=+∑n n x n n,此时只要令=x ,即为所求的常数项级数.『特别提醒』 在求幂级数的和时,不要忽略了收敛域的讨论,要保证常数项级数是幂级数取收敛域内的点.12. 解 2()ln(3)ln ln(3)=−=+−f x x x x x1ln[1(1)]ln[2(1)]ln[1(1)]ln 2ln[1()]2−=+−++−=+−+++xx x x 由于 234111ln(1)(1)(1)(11)234∞−−=+=−+−++−+=−−<≤∑nnn n n x x x x x x x x nn则 11111()(1)2()ln 2(1)(1)∞∞−−==−−=+−+−∑∑n nn n n n x x f x n n12111(1)(1)ln 2(1)(1)2∞∞−−==−−=+−+−∑∑n nn n nn n x x n n 111(1)ln 2[(1)]2∞−=−=+−−∑nn n n x n且满足1111112−<−≤⎧⎪⎨−−<≤⎪⎩x x,即 02<≤x . 『方法技巧』 本题考查形如()ln(1)=+f x x 的函数展开式及收敛域11−<≤x .首先将2()ln(3)=−f x x x 化为1()ln[1(1)]ln 2ln[1()]2−=+−+++xf x x ,将第一项中的1−x 看成标准形中的x ,第二项中的12−x看成标准形中的x ,再展开. 『特别提醒』 ()ln(1)=+f x x 的展开式可以用如下方法记忆:由于 231111111(1)(1)1∞−−−−==−+−++−+=−+∑n n n n n x x x xx x两边积分得11234011111(1)(1)ln(1)1234−−∞=−−+==−+−+++=+∑⎰n n xnnn x dx x x x x x x x n n13. 解 所求极限实际上是级数1212∞=−∑nn n 的和,因此可考虑幂级数 221(21)∞−=−∑n n n x令 22221222111()(21)()()1(1)∞∞−−==+''=−===−−∑∑n n n n x x S x n xxx x故2321113521112lim()31222222(1)2→∞+−++++===−n n n S 『方法技巧』 本题考查利用级数的和求其部分和的极限.关键是找到一个适当的幂级数,利用它求出常数项级数的和,再利用级数收敛的充要条件求极限.『特别提醒』 1212∞=−∑nn n 不刚好等于S ,而是相差12倍. 14. 解 当(,)∈−∞+∞x 时,3693()13!6!9!(3)!=++++++n x x x x y x n ,(0)1=y则 25831()2!5!8!(31)!−'=+++++−n x x x x y x n ,(0)0'=y4732()4!7!(32)!−''=+++++−n x x x y x x n ,故4732258314!7!(32)!2!5!8!(31)!−−'''++=+++++++++++−−n n x x x x x x x y y y x n n369313!6!9!(3)!+++++++n x x x x n2345612!3!4!5!6!!=++++++++++=n x x x x x x x x e n所以()y x 满足方程'''++=x y y y e .由于幂级数30(3)!∞=∑nn x n 的和函数为()y x ,因此所要求的是二阶常系数非齐次线性微分方程 '''++=x y y y e 的满足条件(0)1,(0)0'==y y 的特解()y x .其特征方程为210++=r r ,特征根为1,2122=−±r i ,对应的齐次方程的通解为212(cossin )22−=+x Y e C x C x ,又因1λ=不是特征根,则其特解形式为*=x y Ae ,代入原方程,解得13=A ,故微分方程的通解为11 2121(cos sin )223−=++x x y e C x C x e ,将(0)1,(0)0'==y y 代入得122,03==C C ,所求微分方程的特解为221cos 323−=+x x y e x e 因此32021cos (3)!323∞−==+∑x n x n x e x e n 『方法技巧』 本题考查幂级数逐项求导及二阶常系数非齐次线性微分方程的求通解和特解.。
无穷级数习题一、填空题1、设幂级数0nn n a x ∞=∑的收敛半径为3,则幂级数11(1)n n n na x ∞+=-∑的收敛区间为 。
2、幂级数0(21)n n n x ∞=+∑的收敛域为 。
3、幂级数211(3)2n n nn nx ∞-=-+∑的收敛半径R = 。
4、幂级数0nn ∞=的收敛域是 。
5、级数21(2)4nnn x n ∞=-∑的收敛域为 。
6、级数0(ln 3)2nnn ∞=∑的和为 。
7、111()2n n n ∞-==∑ 。
8、设函数2()f x x x π=+ ()x ππ-<<的傅里叶级数展开式为01(cos sin )2n n n a a nx b nx ∞=++∑,则其系数3b 的值为 .9、设函数21,()1,f x x -⎧=⎨+⎩ 0,0,x x ππ-<≤<≤ 则其以2π为周期的傅里叶级数在点x π=处的敛于 。
10、级数11(1)(2)n n n n ∞=++∑的和 。
11、级数21(2)4nnn x n ∞=-⋅∑的收敛域为 。
参考答案:1、(2,4)- 2、(1,1)- 3、R =、[1,1)- 5、(0,4) 6、22ln 3- 7、4 8、23π 9、212π 10、1411、(0,4)二、选择题1、设常数0λ>,而级数21n n a ∞=∑收敛,则级数1(1)nn ∞=-∑是( ).(A )发散 (B )条件收敛 (C)绝对收敛 (D)收敛与λ有关 2、设2n n n a a p +=,2n nn a a q -=, 1.2n =,则下列命题中正确的是( )。
(A )若1n n a ∞=∑条件收敛,则1n n p ∞=∑与1n n q ∞=∑都收敛。
(B )若1n n a ∞=∑绝对收敛,则1n n p ∞=∑与1n n q ∞=∑都收敛。
(C )若1n n a ∞=∑条件收敛,则1n n p ∞=∑与1n n q ∞=∑的敛散性都不一定.(D )若1n n a ∞=∑绝对收敛,则1n n p ∞=∑与1n n q ∞=∑的敛散性都不定。
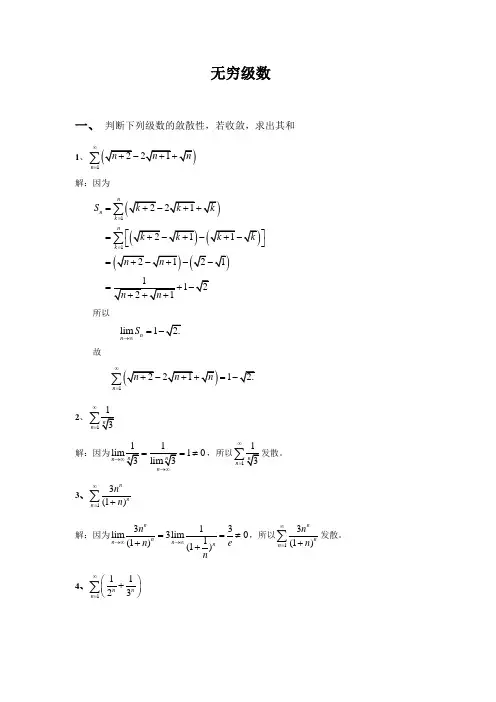
无穷级数一、判断下列级数的敛散性,若收敛,求出其和1、1n∞=∑解:因为111nnknkS===⎡⎤=-⎣⎦=-=+-∑∑所以lim1nnS→∞=故11n∞==-∑2、1n∞=解:因为10n==≠,所以1n∞=发散。
3、13(1)nnnnn∞=+∑解:因为313lim3lim01(1)(1)nnn n nnn en→∞→∞==≠++,所以13(1)nnnnn∞=+∑发散。
4、11123n nn∞=⎛⎫+⎪⎝⎭∑解:111111111332.11232321123n n n n n n n ∞∞∞===⎛⎫+=+=+= ⎪--⎝⎭∑∑∑ 注:常用极限及公式:11, (0), 1, lim 1.nn n n a e n →∞⎛⎫=>=+= ⎪⎝⎭[]1(1)()(1)(1)nn k S f k f k f n f ==+-=+-∑,11||1, .1n n a q aq q∞-=<=-∑ 二、 用比较判别法判断下列正项级数的敛散性1、11cos n n π∞=⎛⎫- ⎪⎝⎭∑解: 因为 2221c o s 2s i n 22n u nn nπππ=-=≤而级数 222211122n n n n ππ∞∞===∑∑收敛,故11cos n n π∞=⎛⎫- ⎪⎝⎭∑收敛。
2、11235(21)n n n -∞=⋅⋅-∑解:因为 112235(21)3n n n u n --⎛⎫=≤ ⎪⋅⋅-⎝⎭而级数1123n n -∞=⎛⎫⎪⎝⎭∑收敛,故11235(21)n n n -∞=⋅⋅-∑收敛。
3、125nn n n ∞=⎛⎫⎪+⎝⎭∑解:因为 1252nnn n u n ⎛⎫⎛⎫=≤ ⎪ ⎪+⎝⎭⎝⎭而级数112nn ∞=⎛⎫ ⎪⎝⎭∑收敛,故125nn n n ∞=⎛⎫⎪+⎝⎭∑收敛。
4、12(21)3nnn n ∞=-⋅∑ 解:因为 22(21)33nn n n u n ⎛⎫=≤ ⎪-⋅⎝⎭而级数123nn ∞=⎛⎫⎪⎝⎭∑收敛,故12(21)3n nn n ∞=-⋅∑收敛。
第8章 无穷级数§8—1 数项无穷级数A 类1.写出下列级数的一般项:(1)解 121-=n u n , ,3,2,1=n (2)解 nn u n n 1)1(1+-=+, ,3,2,1=n(3)解 !)!2()2(422/2/n x n x u n n n =⋅⋅⋅= , ,3,2,1=n2.解 ()n n n n S S S 2lim 11-+-+∞→()()[]11lim -+∞→---=n n n n n S S S S ()0lim 1=-=+∞→n n n a a3.按定义判断下列级数的敛散性。
若收敛,求它的和。
(1)解 ∑∑==→--=⎪⎭⎫ ⎝⎛---=--=nk nk n n k k k k S 1111311131231)13)(23(1(∞→n ) 故原级数收敛。
其和为1。
(2)解 ()1111111-+=-+=++=∑∑==nk nk n n k k kk S即+∞=∞→n n S lim ,原级数发散。
(3)解911109)11911109)1(111→⎪⎪⎭⎫ ⎝⎛⎪⎪⎭⎫ ⎝⎛⎪⎭⎫ ⎝⎛--=⎪⎭⎫ ⎝⎛-=-=-∑nn nk k k n S (∞→n ) 故原级数收敛。
其和为911。
(4)解 !)1(1!)(1!)1(11!)1(+-=+-+=+=n n n n n n u n ,1!)1(11→+-=n S n 故原级数收敛。
其和为1。
4.利用基本性质判别下列级数的敛散性。
(1)解⎪⎭⎫ ⎝⎛++++=++++ 413121131121916131,而 ++++4131211是调和级数,它是发散的,故原级数发散。
(2)解 这是公比为98-=q 的等比数列,因1||<q ,故级数收敛。
(3)解++++n 2121212是公比21=q 的等比级数,故收敛。
++++n 3131312是公比31=q 的等比级数,故收敛。
两级数相加后所得级数 +⎪⎭⎫ ⎝⎛+++⎪⎭⎫ ⎝⎛++⎪⎭⎫ ⎝⎛+n n 31213121312122也收敛。
级数部分难题参考答案1. (书中P364,第1题)研究下列级数的敛散性(说出收敛或发散的理由): (1).)0(1>∑∞=a a n n;(2). 11ln 1n n ∞=⎛⎫+ ⎪⎝⎭∑;(3).()()113231n n n ∞=-+∑;(4).1sinn n nπ∞=∑;(5).()1112n n n n ∞=⎡⎤-+⎢⎥⎢⎥⎣⎦∑;(6).()111.n n n n ∞=⎡⎤-+⎢⎥⎢⎥⎣⎦∑ 【解】(1).因为10n =≠,所以1n ∞=发散;(2). 记 ()n n n u n ln 1ln 11ln -+=⎪⎭⎫⎝⎛+=(,...2,1=n )则()()()[]n n u u u s n n ln 1ln ..._2ln 3ln 1ln 2ln ...21-++-+-=+++= ()()1ln 1ln 1ln +=-+=n n因为 ()lim lim ln 1n n n s n →∞→∞=+=∞,所以11ln 1n n ∞=⎛⎫+ ⎪⎝⎭∑发散.(3). 记⎪⎭⎫⎝⎛+--=13123131n n u n (,...2,1=n )则⎥⎦⎤⎢⎣⎡⎪⎭⎫ ⎝⎛+--++⎪⎪⎭⎫ ⎝⎛⎪⎭⎫ ⎝⎛-+-=131231...714141131n n s n ⎪⎭⎫ ⎝⎛+-=131131n (,...2,1=n )因为 1lim ,3n n s →∞=,所以()()113231n n n ∞=-+∑收敛,且和为13.(4).因为lim sin0n n nππ→∞=≠,所以∑∞=1sinn nn π发散;(5).因为112n n ∞=∑收敛,且()11nn n ∞=-∑也收敛,故()∑∞=⎥⎦⎤⎢⎣⎡-+1121n n n n 收敛;(6). 因为11n n∞=∑发散,而()11nn n∞=-∑收敛,故()111n n n n ∞=⎡⎤-+⎢⎥⎢⎥⎣⎦∑发散.2. (书中P364,第2题)证明级数12nn n∞=∑收敛,并求出它的和. 【解】设 n n n n n n u u u s 221...232221...13221+-++++=+++=- ① 则 122221...232212--+-++++=n n n nn s ②②—①,得:n n n nn n n n n n s 22122211211221...21211112--=---=-++++=-- 因为 11l i m l i m 2 2.22n n n n n n s -→∞→∞⎛⎫=--=⎪⎝⎭所以12nn n∞=∑收敛,且和为2. 3. (书中P374,第1题)判别下列级数的敛散性(并为你的结论简要说明理由):(1).121n n n ∞=+∑;(2).2111n nn∞=++∑;(3). 321645n n n n n ∞=++-+∑;(4). 211n n ∞=⎛ ⎝∑; (5).()∑∞=+1211n n n ;(6)∑∞=+-132sin 121n n n ;(7). ∑∞=12log n n n;(8). ∑∞=13sin2n nn π;(9). ∑∞=1!n n nn ;(10).()()21!2!n n n ∞=∑;(11).11n n -∞=-;(12).()11nn ∞=-∑;(13).()()()1121!!12!n nn n n -∞=--∑;(14). (1sin .n ∞=∑【解】(1). 因为1lim 0212n n n →∞=≠+,所以121n nn ∞=+∑发散;(2). 因为211lim11n nn n →∞+=+,且11n n ∞=∑发散,所以2111n n n ∞=++∑发散; (3).因为32261lim 145n n n n n n →∞+=+-+,且211n n ∞=∑收敛,所以321645n n n n n ∞=++-+∑收敛; (4).因为211n n∞=∑收敛,且1n ∞=211n n ∞=⎛ ⎝∑发散; (5)因为1n =,且3121n n∞=∑收敛,所以()∑∞=+1211n n n 收敛(6).2323232111lim lim lim 1.121sin 221sin 1.cos 2n nn n n n n nn n n →∞→∞→∞===-+-+- (6). 因为32261lim 1,45n n n n n n →∞+=+-+且211n n ∞=∑收敛,故∑∞=+-++123546n n n n n 收敛; (7).因为322log 1lim lim 0n n x nnn →∞===,且3121n n∞=∑收敛,故∑∞=12log n n n 收敛; (8).因为22lim 2sinlim 2.3333nn n n nnn n πππ→∞→∞⎛⎫⎛⎫== ⎪ ⎪⎝⎭⎝⎭,且123nn ∞=⎛⎫ ⎪⎝⎭∑收敛,故 ∑∞=13sin2n nnπ收敛;(9).记n n n n u !=(,...2,1=n ),因为()()111!11!lim lim lim 1,111n n n n n n n nn u n n u en n ++→∞→∞→∞+===<+⎛⎫+ ⎪⎝⎭所以∑∞=1!n nnn 收敛; (10). 记()()!2!2n n u n =(,...2,1=n ) 因为()()()()()()()()()22211!1!1lim limlim 1,2!21!22214n n n n nn n n un n u n n +→∞→∞→∞++===<+++所以()()21!2!n n n ∞=∑收敛;(11).记()xn x u n +=1(,...2,1=n )则显然{}n u 单减;又,lim 0.n n n u→∞==所以,由莱布尼兹判别法知()111n n -∞=-∑收敛.另一方面,再考察()111|1|n n n -∞∞==-=∑的敛散性.因为lim 1,n n n n u →∞→∞===且1n ∞=所以,1n ∞=发散.总之,()111n n -∞=-∑条件收敛.(12).令1,....)n u n == 令()[)100,f x x =∈+∞. 则()()100,.100f x x x '==∈+∞+因此,当100x ≥时,()0.f x '<所以 ,当100n ≥时,有()()11(100)n n f n f n u u n +≥+⇒≥≥, 即当100n ≥时{}n u单减;又,lim 0.1100.n n n u n →∞→∞==+所以,由莱布尼兹判别法知()1001nn ∞=-∑收敛.再由收敛级数的性质,在级数前面加上有限多项不改变级数的敛散性,知原级数()11100nn n ∞=-+∑也收敛.另一方面,再考察()11|1|100100nn n n n ∞∞==-=++∑∑的敛散性.因为100lim lim 1,n n n n u →∞→∞+==且1n ∞=1100n n ∞=+∑发散.总之,()11nn ∞=-∑条件收敛.(13).().a 该级数是交错级数. 记()()!2!!12n n u n n -=(,...2,1=n )注意 ()()()()()n n n n n n u n n 2...6.4.2)12...(5.3.1!!2!!12!2!!12-=-=-=(,...2,1=n )因为122121<++=+n n u u n n ,所以{}n u 单减; 又根据瓦里斯公式,有()()()()21!!21!!lim lim lim 0.2!2!n n n n n n n n u n n →∞→∞→∞⎧⎫⎡--⎪====⎨⎢⎪⎣⎩ 所以由莱布尼兹判别法知()()()1121!!12!n nn n n -∞=--∑收敛. ().b 再考察()()()()()11121!!21!!|1|2!2!n nn n n n n n n -∞∞==---=∑∑的敛散性. 仍由瓦里斯公式,有()()21!!lim lim 2!n n n n n u n →∞→∞⎡-==⎢⎣1n ∞=发散, 故()()121!!2!nn n n ∞=-∑发散.(或者因为()()()()()()21!!21!!21!!11.2!2!!22!!22n n n n n u n n n n n ---===≥-,故()()121!!2!nn n n ∞=-∑的发散).总之,()()()1121!!12!n n n n n ∞-=--∑条件收敛.(14).(1sin .n ∞=∑(sin)sin n n ππ⎡⎤=+⎢⎥⎣⎦())()21sin 1nn n π⎡⎤=-=-⎢⎥⎣⎦. 原级数可化为()211nn ∞=-∑因为2202n n a ππ==<,所以,,N ∃当n N >时,202π<<,故当N n >时20.>故原级数可看作交错级数.().a 记na n a u n ++=222sinπ(,...2,1=n )因为221.n n u u +=>=且2lim 0n n n u →∞→∞==,所以,()211nn ∞=-∑收敛.().b 再考察()2211|1|nn n ∞∞==-=∑∑.因为2222n n a nπ→∞==,所以,21n ∞=∑∑∞=11n n同敛、散,故()21|1|nn ∞=-∑发散;总之,(1sin n ∞=∑条件收敛.4.(书中P374,第2题)关于参数x ,讨论下列级数的敛、散性(收敛时,指出是绝对收敛还是条件收敛)(1).1nn x ∞=∑;(2). 21nn x n∞=∑;(3).1!nn x n ∞=∑;(4). ()1!nn n x∞=∑.【解】(1).记()n n x x u =(,...2,1=n )(一)当0=x 时,级数显然收敛,且为绝对收敛;(二)当0≠x 时,()()()11limlim ||||n n n n n nu x x x x u x x ρ++→∞→∞=== (1)当1||<x 时,原级数绝对收敛; (2)当1||>x 时,原级数发散;(3)当1||=x 时,又分两种小情况来讨论: (i )1-=x 时,原级数变成()11nn ∞=-∑发散;(ii )1=x 时,原级数变成11n ∞=∑发散.(2).记()2nx x u nn =(,...2,1=n )(一)当0=x 时,级数显然收敛,且为绝对收敛;(二)当0≠x 时,()()()1lim||n n nu x x x u x ρ+→∞== (1)当1||<x 时,原级数绝对收敛; (2)当1||>x 时,原级数发散;(3)当1||=x 时,又分两种小情况来讨论: (i )1-=x 时,原级数变成()2111nn n∞=-∑绝对收敛; (ii )1=x 时,原级数变成211n n ∞=∑绝对收敛. (3).记()!n x x u nn =(,...2,1=n )(一)当0=x 时,级数显然收敛,且为绝对收敛;(二)当0≠x 时,因为对于任何0≠x ,都有()()()1lim01n n n u x x u x ρ+→∞==<,故对于任何0≠x ,1!nn x n ∞=∑绝对收敛.(4).记()n n x n x u !=(,...2,1=n )(一)当0=x 时,级数显然收敛,且为绝对收敛; (二)当0≠x 时,因为对于任何0≠x ,都有()()()()1limlim 1n n n n u x x n x u x ρ+→∞→∞==+=+∞, 故对于任何0≠x ,()1!n n n x ∞=∑发散.5.(书中P374,第3题)若级数21nn a ∞=∑和21nn b ∞=∑都收敛,证明:级数1n n n a b ∞=∑和()21n n n a b ∞=+∑也都收敛.【证明】(一)因为()2212n n n n a b a b ≤+,而21n n a ∞=∑和21n n b ∞=∑都收敛,故1n n n a b ∞=∑绝对收敛.(二)因为21nn a ∞=∑和21nn b ∞=∑,及12n n n a b ∞=∑都收敛,故()2212n n n n n a a b b ∞=++∑也收敛,即()21n n n a b ∞=+∑也都收敛.6.(书中P374,第4题)证明:若有极限lim 0,n n nu l →∞=>则级数1n n u ∞=∑发散.【证明】根据极限的保号性,存在正整数N ,当n N ≥时,有 0,n nu >从而当n N ≥时,有 0,n u >故可视1n n u ∞=∑为正项级数.再由题设条件l i m l i m 01nn n n u nu l n→∞→∞==>及级数11n n ∞=∑发散,知1n n u ∞=∑发散.(在级数前面加上有限多项不改变级数的敛散性)7.(书中P374,第5题)研究下列级数的敛散性:(1).1sin p n n π∞=∑;(2). 11ln 1pn n ∞=⎛⎫+ ⎪⎝⎭∑;(3). ()21ln pn nn ∞=∑【解】(1).因为1lim sin1pp n n n π→∞=,所以1sin p n n π∞=∑与11p n n∞=∑同敛散.故 当1p >时,1sinpn n π∞=∑收敛;而当1p ≤时,1sinpn n π∞=∑发散.(2).因为11lim ln 11p p n n n →∞⎛⎫+= ⎪⎝⎭,所以11ln 1p n n ∞=⎛⎫+ ⎪⎝⎭∑与11p n n∞=∑同敛散.故 当1p >时,1sinpn nπ∞=∑收敛;而当1p ≤时,1sinpn nπ∞=∑发散.(3).记()()11,2,.ln n pu n n n == 显然1+>n n u u (,...2,1=n )且()()21111111122ln 2ln 22ln 2k kkppp pk k k k k k u k k ∞∞∞∞=======∑∑∑∑是p -级数. 由书中第365页例2(柯西定理)知,级数()21ln pn n n ∞=∑与p -级数111ln 2p pk k ∞=∑同敛散.故当1p >时,()21ln pn n n ∞=∑收敛;当1p ≤时,()21ln pn n n ∞=∑发散.8. (书中P382,第1题)求下列各幂级数的收敛区间:(1).∑∞=12n n nn x ;(2).1nn ∞=;(3). ()()212!!n n n x n ∞=∑;(4). 11112n n x n ∞=⎛⎫+++ ⎪⎝⎭∑ ; (5). ()nn x n n ∑∞=++111ln ;(6).()211!12n n n n n x ∞-=-∑;(7).()()123nnn x n∞=--∑;(8). ()()1321.nn nn x n ∞=+-+∑【解】(1). 记nn n a 21=(,...2,1=n )().a ()111121lim ||lim ,122n n n n n nn a a n ρ++→∞→∞+===所以,2R =; ().b 在端点()112,1nn x n∞==-⇒-∑收敛; 在端点112,n x n∞==⇒∑,发散.总之,∑∞=12n n nn x 的收敛区间为[)2,2.-(2). 记na n 1=(,...2,1=n )().a 1lim ||1,n n n na a ρ+→∞→∞===所以,1R =; ().b 在端点()11,1nn x ∞==-⇒-∑在端点11,n x ∞==⇒,发散.总之,1nn ∞=[)1,1.- (3). 记()()2!!2n n a n =(,...2,1=n ) ().a ()()()()()()()212222!1!2221lim ||lim lim 4,2!1!n n n n n n n n n a n a n n ρ+→∞→∞→∞++⎡⎤++⎣⎦====+ 所以,1.4R =().b 在端点()()()()()()2112!21!!11,11.442!!!nn n n n n n x n n ∞∞==-⎛⎫=-⇒-=- ⎪⎝⎭∑∑(其中()()()()()()()()()()()22222222!2!2!2!2!14!!.22!!!.22!nn n n n n n n n n n n n n ⎛⎫==== ⎪⎝⎭⎡⎤⎣⎦()()()()()()21!!2!!21!!.2!!2!!2!!n n nn n n --==) 记()()!!2!!12n n u n -=(,...2,1=n )因为()()()()121!!2!!21.122!!21!!22n n n n u n u n n n +++==<+-+, 所以{}n u 单减; 又根据瓦里斯公式,有()()()()21!!21!!lim lim lim 0.2!!2!n n n n n n n u n n →∞→∞→∞⎧⎫⎡--⎪====⎨⎢⎪⎣⎩ 在端点()()()()2112!21!!11,.442!!!nn n n n x n n ∞∞==-⎛⎫=⇒= ⎪⎝⎭∑∑仍根据瓦里斯公式,有()()21!!limlim 2!n n n n n u n →∞→∞⎡-==⎢⎣且1n ∞=发散,故()()121!!2!!n n n ∞=-∑发散. 总之,()()212!!n n n x n ∞=∑的收敛区间为11,.44⎡⎫-⎪⎢⎣⎭ (4). 记na n 1...211+++=(,...2,1=n ) 根据等式 n n c n na ε++=+++=ln 1...211(,...2,1=n )得l i m n n a →∞=+∞,从而1lim0.n na →∞= ().a 因为1...211...211limlim1++++++++==∞→+∞→n n n a a n nn n ρ 11limlim11111001.11nn n n na a n n a →∞→∞====+⨯++++,所以, 1.R =().b 在端点()∑∞=⎪⎭⎫ ⎝⎛+++-⇒-=01...21111n n n x 因为+∞=⎪⎭⎫ ⎝⎛+++=∞→∞→n a n n n 1...211lim lim ,故()∞=⎪⎭⎫ ⎝⎛+++-∞→n n n 1...2111lim ,所以()∑∞=⎪⎭⎫⎝⎛+++-01 (2)111n nn 发散; 同理,在端点∑∞=⎪⎭⎫ ⎝⎛+++⇒=01 (21)11n n x 也发散.(5). ().a ()()1ln 22lim ||lim 1,ln 11n n n nn an n a n ρ+→∞→∞++===++所以,1R =;().b 在端点()()1ln 11,11nn n x n ∞=+=-⇒-+∑收敛; 在端点()1ln 11,1n n x n ∞=+=⇒+∑,发散. 总之,()nn x n n ∑∞=++111ln 的收敛区间为()1,1.- (6).记()22!11n n n n a --=(,...2,1=n )因为()()()()222112111!1!212lim ||lim lim .lim 0,!!222n n n n n n n n n nnn n a n n a n ρ++++→∞→∞→∞→∞+++===== (21112n n n ∞+=+∑收敛,所以,211lim 0.2n n n +→∞+=) 所以,R =+∞; 故()211!12n n nn n x ∞-=-∑的收敛区间为(),.-∞+∞(7).令3,t x =-则原级数变为:()12nn n t n∞=-∑因为()()()112lim ||lim 2,21n n n n n n n aa n ρ++→∞→∞-===-+所以,11.2R ρ== 又当12t =时,级数变为:()111n n n ∞=-∑,收敛;当12t =-时,级数变为:11n n ∞=∑,发散,因此,当1122t -<≤时,()12nn n t n ∞=-∑收敛.故当115732222x x -<-≤⇒<≤时原级数收敛,所以()()123nnn x n∞=--∑为57,.22⎛⎤ ⎥⎝⎦(8).()()1321.nn nn x n ∞=+-+∑令1,t x =+则原级数变为:()132.nn nn t n ∞=+-∑因为()()111232323213lim ||limlim .3,112113nn nn n n n n n n na n na n ρ+++→∞→∞→∞⎛⎫-- ⎪+-+-⎝⎭====+⎛⎫++- ⎪⎝⎭所以,11.3R ρ== 又当13t =-时,级数变为:()()1132112133n n n n n n n n n ∞∞==⎡⎤+-⎛⎫⎛⎫-=-+⎢⎥ ⎪ ⎪⎝⎭⎝⎭⎢⎥⎣⎦∑∑收敛; (两收敛级数之和仍然收敛.)而当13t =时,级数变为:()113211233n n n n n n n n ∞∞==⎡⎤+-⎛⎫⎛⎫=+⎢⎥ ⎪ ⎪⎝⎭⎝⎭⎢⎥⎣⎦∑∑,发散; (一个收敛级数与另一个发散级数之和是发散的.)因此,当1133t -≤<时,()132nn n n t n ∞=+-∑收敛.故当114213333x x -≤+<⇒-≤< 时原级数收敛,所以()()1321nn nn x n ∞=+-+∑的收敛区间为42,.33⎡⎫-⎪⎢⎣⎭9. (书中P383,第2题)求下列级数的和: (1).∑∞=++11414n n n x ;(2).()11.nn n n x ∞=+∑【解】(1).∑∞=++11414n n n x ;().a 记()1414+=+n x x u n n (,...2,1=n ),()()()14lim ||.n n nu x x x u x ρ+→∞== 如果()41x x ρ=<时,即1||<x 时,则∑∞=++11414n n n x 收敛;如果()41x x ρ=>时,即1||>x 时,则∑∞=++11414n n n x 发散;所以,R=1.又在端点()111,141n x n ∞==-⇒-+∑发散;又在端点111,41n x n ∞==⇒+∑发散.所以,∑∞=++11414n n n x 的收敛区间为()1,1.-.().b 设()()411,1,1.41n n x s x x n +∞==∈-+∑ 逐项求导后,有:()4144411.411n n n n x x s x x n x +∞∞=='⎛⎫'=== ⎪+-⎝⎭∑∑ 所以,()()()440001xxx s x s s x dx dx x '-==-⎰⎰111ln arctan .412x x x x +=+--故()s x 111ln arctan .412x x x x +=+--注意:其中()()().11ln lim lim 00=--==→→xx x s s x x (2). 记()()n n x n n x u 1+=(,...2,1=n ),()()()1lim||.n n n u x x x u x ρ+→∞==如果()1x x ρ=<时,即1||<x 时,则()11.n n n n x ∞=+∑收敛;如果()1x x ρ=>时,即1||>x 时,则()11.n n n n x ∞=+∑发散;所以,R=1.又在端点()()11,11nn x n n ∞==-⇒-+∑发散;又在端点()11,1n x n n ∞==⇒+∑发散.所以,()11.n n n n x ∞=+∑的收敛区间为()1,1.-.().b 设()()()11,1,1.n n s x n n x x ∞==+∈-∑逐项积分后,有:()()12111,1,1.xn n n n s x dx nxxnxx ∞∞+-====∈-∑∑⎰(1)记 ()()11,1,1.n n g x n x x ∞-==∈-∑ (2)则()()()2,1,1.xs x d x x g x x =∈-⎰(3) 又因为()01.1xnn xg x d x x x∞===-∑⎰(4) 所以,()()21.11x g x x x '⎛⎫== ⎪-⎝⎭- (5) 故()()220.1xx s x d x x =-⎰所以, ()()()2232.11x xs x x x '⎛⎫== ⎪ ⎪--⎝⎭()1,1.x ∈- 10.(书中P383,第5题)求下列广义幂级数的收敛域:(1).()121nn x n∞=+∑;(2).()1ln nn x ∞=∑;(3). 21n n n x∞=∑;(4).111.211nn x n x ∞=-⎛⎫ ⎪++⎝⎭∑ 【解】(1).令21,t x =+则原级数变为:1nn t n ∞=∑因为1lim ||lim 1,1n n n na na n ρ+→∞→∞===+所以,1 1.R ρ== 又当1t =-时,级数变为:()111nn n∞=-∑收敛;而当1t =时,级数变为:11n n∞=∑,发散.因此,当11t -≤<时,1nn t n∞=∑收敛.故当121110x x -≤+<⇒-≤<时原级数收敛,所以()121nn x n∞=+∑的收敛域为[)1,0.-(2).令ln ,t x =则原级数变为:1n n t ∞=∑因为1lim ||lim 1,1n n n na na n ρ+→∞→∞===+所以,1 1.R ρ== 又当1t =-时,级数变为:()11n ∞=-∑发散;而当1t =时,级数变为:11n ∞=∑,发散.因此,当11t -<<时,1n n t ∞=∑收敛.故当11ln 1x e x e --<<⇒<<时原级数收敛,所以()121nn x n∞=+∑的收敛域为()1,.e e -(3). 21n n n x∞=∑;令1t x =则原级数变为:21n n n t ∞=∑因为()2121lim ||lim 1,n n n n n a a n ρ+→∞→∞+===所以,11.R ρ== 又当1t =-时,级数变为:()211n n ∞=-∑收敛;而当1t =时,级数变为:21n n ∞=∑,发散.因此,当11t -<<时,21n n n t ∞=∑收敛.故当1111x x-<<⇒-∞<<-或1.x <<+∞时原级数收敛,所以21n n n x∞=∑的收敛域为()(),11,.-∞-⋃+∞(4). 111.211nn x n x ∞=-⎛⎫⎪++⎝⎭∑令11x t x -=+则原级数变为:11.21nn t n ∞=+∑因为121lim ||lim 1,23n n n na n a n ρ+→∞→∞+===+所以,1 1.R ρ== 又当1t =-时,级数变为:()11121nn n ∞=-+∑收敛; 而当1t =时,级数变为:1121n n ∞=+∑,发散.因此,当11t -≤<时,1121nn t n ∞=+∑收敛.故当11101x x x --≤<⇒>+ 时原级数收敛,所以111.211nn x n x ∞=-⎛⎫⎪++⎝⎭∑的收敛域为()0,.+∞11.(书中P389,第1题)利用基本展开式将下列函数展开成简单幂级数,并确定展开式成立的区间:(1).()()1112x x +-;(2). 2x x e e shx --=;(3). x 2sin ;(4). ⎪⎭⎫ ⎝⎛+-x x 11ln ;(5).(6).(7). arctan x ; (8). arcsin .x 【解】(1) ()()11212111...112312131231x x x x x x⎛⎫=+=+ ⎪+--+-+⎝⎭ .其中()100212111.22,.3123322n n n n n x x x x ∞∞+==⎛⎫==-<< ⎪-⎝⎭∑∑ ()()()001111.1,11.3133n n n n n x x x x ∞∞===-=--<<+∑∑ 所以()()()10111121,.112322nn n n x x x x ∞+=⎛⎫⎡⎤=+--<< ⎪⎣⎦+-⎝⎭∑ (2). 2xx e e shx --=;由 ()0,,.!nxn x e x n ∞==∈-∞+∞∑ 得 ()()01,,.!nnxn x ex n ∞-==-∈-∞+∞∑ 故 ()()1111.112222!x x nx x n n e e shx e e x n -∞-=-==-=--∑()()2101,,.21!k k x x k ∞+==∈-∞+∞+∑ ()()()()()2123.2sin .cos sin 2121!n nn x f x x x x n +∞='===-⇒+∑()()()()()()()()()21222100002011221!2221!n n xx n n n n n x x f x f f x dx dx n n n ++∞∞+==⎡⎤'=+=-=-⎢⎥+++⎢⎥⎣⎦∑∑⎰⎰()()()222112,.22!n nn n x x n +∞+==--∞<<+∞+∑.(4).因为()()(]10ln 11,1,11n nn x x x n +∞=+=-∈-+∑,()()()()[)1100ln 111,1,111n n nn n x x x x n n ++∞∞==--=-=-∈-++∑∑. 故 ()()()()11001ln ln 1ln 111111n n n n n x x x x x x n n ++∞∞==-⎛⎫=--+=--- ⎪+++⎝⎭∑∑ ()()()12100112,11.121n k nn n x xx n k ++∞∞==⎡⎤=---=--<<⎣⎦++∑∑(5)()3221!322112121!212121!21111x x x x x ⎪⎭⎫ ⎝⎛-⎪⎭⎫ ⎝⎛-+⎪⎭⎫ ⎝⎛-++=+=+...!121...12121...+⎪⎭⎫⎝⎛+-⎪⎭⎫ ⎝⎛-++n x n n ...232...232121!1...232121!312121!2121132+⎪⎭⎫ ⎝⎛--⎪⎭⎫ ⎝⎛-⎪⎭⎫ ⎝⎛-++⎪⎭⎫ ⎝⎛-⎪⎭⎫ ⎝⎛-+⎪⎭⎫ ⎝⎛-++=n x n n x x x ()()()()...212!!32!11...2!!3!31121!211211133222+⎪⎭⎫ ⎝⎛---++-+-++=-n n n x n n x x x ()()()()1223!!11.1122!!n nn n x x x n ∞-=-=++--≤≤∑(上述级数在端点处的敛散性请参考第3(13)题) (6)()3221!322112121!212121!211111x x x x x⎪⎭⎫ ⎝⎛--⎪⎭⎫ ⎝⎛--⎪⎭⎫ ⎝⎛-+⎪⎭⎫ ⎝⎛--⎪⎭⎫ ⎝⎛-+⎪⎭⎫ ⎝⎛-+=+=+-...!121...12121...+⎪⎭⎫⎝⎛+--⎪⎭⎫ ⎝⎛--⎪⎭⎫ ⎝⎛-++n x n n ...212...2321!1...252321!312321!2121132+⎪⎭⎫ ⎝⎛--⎪⎭⎫ ⎝⎛-⎪⎭⎫ ⎝⎛-++⎪⎭⎫ ⎝⎛-⎪⎭⎫ ⎝⎛-⎪⎭⎫ ⎝⎛-+⎪⎭⎫ ⎝⎛-⎪⎭⎫ ⎝⎛-+-=n x n n x x x ()()()()...212!!12!11...2!!5!3112!!3!2112111333222+⎪⎭⎫ ⎝⎛---++-+-+-=-n n n x n n x x x ()()n n nnx n n ∑∞=--+=12!!12!111()()()()11!!2!!12111≤<---+=∑∞=x x n n n n n . (上述级数在端点处的敛散性请参考第3(13)题)()()()2217.11n nn f x x x ∞='==-⇒+∑()()()()[]()()()()dx x f dx x f f f x f f x f xn n n x ⎰∑⎰⎥⎦⎤⎢⎣⎡-+='+=-+=∞=002010000 =()()[].1,1,121120-∈+-+∞=∑x n x n n n.(8). ()()()()122222111122211!2!f x x x x -⎛⎫⎛⎫⎛⎫---- ⎪ ⎪⎪⎝⎭⎝⎭⎝⎭⎡⎤'==+-=+-+-⎣⎦()()...!121...12121...!3221 (121212)32+-⎪⎭⎫ ⎝⎛+--⎪⎭⎫ ⎝⎛--⎪⎭⎫ ⎝⎛-++-⎪⎭⎫⎝⎛--⎪⎭⎫ ⎝⎛--⎪⎭⎫ ⎝⎛-+nx n n x()()nn nx n n 21!212...3.11∑∞=-+=()()n n x n n 21!!2!!121∑∞=-+=所以()()()()()()20121!!0012!!xx n n n f x f f x dx f x dx n ∞=⎡⎤-'=+=++⎢⎥⎣⎦∑⎰⎰()()21121!!,1 1.2!!21n n n x x x n n +∞=-=+-≤≤+∑12. (书中P390,第2题)将函数()()2ln 12f x x x =--: 展开成简单幂级数,并确定展开式成立的区间.【解】()()()()()()2ln 12ln 112ln 1ln 12.f x x x x x x x =--=+-=++-⎡⎤⎣⎦ 注意到()()(]10l n 11,1,11n nn x x x n +∞=+=-∈-+∑;()()()()111211ln 12112,,1122n n n n n n x x x x n n ++∞∞+==-⎡⎫-=-=-∈-⎪⎢++⎣⎭∑∑. 所以有()()()()1111100012112111nn n n nn n n n n x xf x x n n n +++∞∞∞++===--=-+-=+++∑∑∑,11,.22x ⎡⎫∈-⎪⎢⎣⎭13.(书中P390,第3题)按下面的要求,将函数()2132f x x x =++: (1) 展开成 简单幂级数(并指出收敛区间);(2) 在点04x =-展开成泰勒级数(并指出收敛区间). 【解】(1).()()()21111321212f x x x x x x x ===-++++++其中 ()()011,1,1.1n n n x x x ∞==-∈-+∑ ()()()10011111.11,2,2.2222212n n n n n n n x x x x x ∞∞+==⎛⎫==-=-∈- ⎪+⎝⎭+∑∑ 所以()()()()1100011111122n n n n n n n n n n n f x x x x ∞∞∞++===⎛⎫=---=-- ⎪⎝⎭∑∑∑,()1,1.x ∈- (2).()()()1111123424f x x x x x =-=-++-++-++ 又因为()()()1001111414,7,1.434333313n n n n n x x x x x ∞∞+==+⎛⎫=-=-=-+∈-- ⎪+-++⎝⎭-∑∑ ,()()()1001111414,6,2.24222212n n n n n x x x x ∞∞+==+⎛⎫=-=-=-+∈-- ⎪-++⎝⎭-∑∑ 所以,()()()110114,6,2.23n n n n f x x x ∞++=⎛⎫=-+∈-- ⎪⎝⎭∑ 14.(书中P390,第4题)把⎪⎪⎭⎫ ⎝⎛-x e dx d x 1展开成简单幂级数,并由此证明等式求()0 1.1!n n n ∞==+∑ 【解】(一)因为(),,!11∞+∞-∈=-∑∞=x n x e n nx()∑∑∞=∞=-+==-011!1!1n nn n x n x n x x e . =()()().,!1!11110∞+∞-∈+='⎥⎦⎤⎢⎣⎡+=⎪⎪⎭⎫ ⎝⎛-∑∑∞=-∞=x n nx n x x e dx d n n n n x (二)将1=x 代入(20)式,得:()().1111!1||1210=+-=⎪⎪⎭⎫ ⎝⎛-=+==∞=∑x x x x n x e x x e dx d n n。
1234234111.13.,:2222(1)333322[1()]2233[1()]253132lim .5(3)1lim .1(4)(54)(51)11155451n n n n n n n n n n n nn k S S S S S n n S k k →∞∞=→∞∞==-+-+--==--+=∴==∞∴-+⎛⎫=- ⎪-+⎝⎭∑∑∑ 第八章无穷级数习题解答习题8写出下列级数的部分和并判别其敛散性解原级数收敛解原级数发散解22122211(1)5511lim .54.:2345(1);34561,lim 10,.21111(2)48121611,,.441(3)sin 1sin lim lim10,.188(4)99n n n n n n n n n n n S n u u n u n n n n u n →∞→∞∞=→∞→∞=-+=∴+++++==≠∴+++++===≠∴-∑ 原级数收敛判别下列级数的敛散性解通项原级数发散解通项原级数为调和级数的倍故发散解原级数发散34234111889988-,||||1,.9923(5);413,()().24n nnn n nn n r ∞=∞∞==+-+=-<+∑∑∑ 解原级数为公比是的等比级数而有故级数收敛解原级数的通项为两个收敛级数与的通项之和故收敛2111111111111(6)310011()(||1)3311(),.1005.,,??(),,()(),.6.(1),n n n n n n n n n n n nn n n n n n n n n n n n r nv u v uv u v u v u u ∞=∞=∞=∞∞∞===∞∞∞===∞=⎛⎫- ⎪⎝⎭=<∴±±=±∑∑∑∑∑∑∑∑∑∑ 收敛其公比又发散调和级数原级数发散若级数级数发散问级数是否收敛为什么解发散因为若其收敛则收敛与假设矛盾设级数收敛问10011100111111100111001111,?1(2),,?(3),,()?11(1),,lim .11(2),,,,n n nn n n n n nn n n n n n n n n n n n nn n n n n n n u u u u u v u v u u u u u n u u ∞∞+==∞∞∞+===∞∞∞===∞∞+→∞==∞∞∞+===±=∞=∑∑∑∑∑∑∑∑∑∑∑∑∑是否收敛设级数发散问是否发散设级数发散问级数是否发散解收敛发散因为发散而不一定如时发散211,.n n nu n u ∞==∑而时收敛 112122112221111(3),,,,,.1.21.:1(1);111111211,.1(2)1cos 1cos 2sin 2()222n n n n n n n n n n n n n u v u v u v u v n n n n nn n n n n n n n n nnnn πππππ∞∞==∞=∞=∞===-==++++++>=++++∴+⎛⎫- ⎪⎝⎭-=≤⋅=∑∑∑∑∑ 不一定,如时收敛而时发散习题8用比较判敛法判别下列级数的敛散性解发散原级数发散解2211,.2(3)3sin;5n n nn n ππ∞=∞=∴∑∑收敛原级数收敛33sin 55nnn ππ⎛⎫≤⋅ ⎪⎝⎭解31231223422121222213,.5ln(1)(4)ln(1)112,,,.1(5)(0,0)()111()lim lim 01()1,1nn n n n n an n n n n n n n n n n n na b an bn c an bn c b c aa n n n n αααααπα∞=∞=∞=∞=→∞→∞∞=⎛⎫∴ ⎪⎝⎭++≥<=∴>>++++==>++>∴∑∑∑∑∑ 收敛原级数收敛解当时而收敛原级数收敛解收敛当原级数与有相同的收敛性1011010111121,22.21(1)21lim lim 1.22!(2)311lim lim .3(3)tan22111lim lim 2nn n n n n n n n n n n n nn n n n n n nn u n u n n u n u n tgu n u n αρρππρ∞=+→∞→∞∞=→∞→∞∞+=→∞→∞⎧⎪⎪⎨⎪≤⎪⎩++==⋅=<∴++===∞∴++==⋅⋅∑∑∑时发散当时用比值判敛法判别下列级数的敛散性:(1)解原级数收敛解原级数发散解2211121222n n n tg πππ++++=<∴原级数1(4)(0);11lim lim n n n n n nna a u n a au n ρ∞=→∞→∞>++==⋅=∑解4,1,1,1a a a <⎧⎪∴>⎨⎪=⎩收敛当时原级数发散当时发散当时1135(21)(5)258(31)n n n ∞=⋅⋅-⋅⋅-∑11111212limlim 1,.3232!(6)12lim lim 211(1)3.:22(1)312131(3)[ln(1)]01n n n nn nn n n n n n nn n nn n u n u n n nu u enn n n ρ+→∞→∞∞=+→∞→∞∞=∞=+===<∴+=⋅=<+∴+⎛⎫ ⎪+⎝⎭=<∴+=<∴∑∑∑解原级数收敛解原级数收敛用根值判敛法判别下列级数的敛散性解原级数收敛解原级数收敛11(4)2sin (0)01(5)(0)1111,lim lim1(1),1,1n nn n nn n n n n n aa nna a n a a u ena a ∞=∞=→∞→∞>=<∴⎛⎫> ⎪+⎝⎭====≠+<⎧∴⎨≥⎩∑∑解原级数收敛解当时收敛当时原级数发散当时122114.,,?(1)1(1)(1)11(1)n n n nn n n n n n n n -∞=∞∞∞===∞+=⎡⎤-=--=--⎢⎥-⎣⎦⎡⎤=--⎢⎥⎣⎦∑∑∑判别下列级数的敛散性如果收敛是条件收敛还是绝对收敛解51131133311131111(1),.,.(2)(1)2||(1)21|||(1)|,lim lim 122||232||,(1).2(1(3)n n n n nn n n n n n n n n n n nn n nn n Leibniz nn u n n n u u n u ρ∞∞+==∞-=-++→∞→∞∞∞-==--+=-===⋅=<∴--∑∑∑∑∑容易证明交错级数判别法故知其收敛又调和级数为发散级数故原级数必发散解有收敛故绝对收敛22212212)ln 1111(1,2,),,,ln lnln 1(1),(ln ),ln ln .(5)sin(0)sin )(1)sin )(1)nn n n n n n n n n n nn n nn n n n n na u n n n πππ∞=∞∞==∞∞-==∞=>=-→∞≠⎡⎤=+=-⋅=-⎣⎦∑∑∑∑∑∑ 解因发散于是发散所以不绝对收敛又因单减并当趋于零故交错级数条件收敛解11211111,,.lim 0,|sin(|||,sin(12.5.232122,lim lim 1,333n n n n n n n n n n nn nn n n n nu Leibniz u u a u nn u n u n n u n πρ∞∞==∞∞∞→∞===∞=+→∞→∞=≠=⎛⎫⎪⎝⎭+⎛⎫===⋅=< ⎪⎝⎭∑∑∑∑∑∑故当充分大时是交错级数且满足法则故收敛又因故发散则条件收敛判别下列级数的敛散性:(1)解有故11112.3!(2)(2)!!!lim 01.(2)!(2)!nn n n n n n nn n u n n u n u n ∞=∞=∞+→∞=⎛⎫⋅ ⎪⎝⎭==<∑∑∑收敛解又于是收敛11(1)(3)2n nn n -∞=-⋅∑61111(1)1(1)lim lim 1,.22(1)22n n n n n n n n n nu n u n u n n --∞+→∞→∞=--===<⋅+⋅∑解因为故绝对收敛11112112211(6)tan(0,1)tan ,,tan (0,1);,tan .,tan.2(7)(1)2122lim(1)0,(1).2121(8)n nn nnn n n n nn n n n nn n n nn n n a a b b a u a a b a a b a b a b b b b a b a b n n n n n n b a πππππ∞=∞∞==∞=∞-=∞-→∞=>>==<>>>=-+-≠-++∑∑∑∑∑∑解因故时收敛时发散当时故发散解因于是发散11121(0,0),lim 1,.,lim 0,,.,,,(1,2,),;,nn n n nn n n n n nnn n n n nnn n n n n a a b b bb a b a a a b b a b a a b a b a b n a b na b a ∞=∞→∞=∞→∞=∞=⎛⎫→>> ⎪⎝⎭⎛⎫>==< ⎪⎝⎭⎛⎫⎛⎫<≠ ⎪ ⎪⎝⎭⎝⎭⎛⎫====⋅ ⎪⎝⎭⎛⎫⎪⎝⎭∑∑∑∑ 解当时故收敛当时于是发散当时可能收敛也可能发散如时发散时1211212111111.6.(1),:;,0,||(1,2,),||,4.21.(2),(1,2,),:;,nn n n n n n n n n n n n n n n n n n n n n n n n n u u u M u M n u M u u a c a b c n b a c ξ∞=∞∞==∞=∞=∞∞∞===∞∞==>≤=≤≤≤=∑∑∑∑∑∑∑∑∑∑ 收敛若级数绝对收敛试证级数收敛证因为绝对收敛故存在使得故由推论有收敛设级数和都收敛且满足试证级数也收敛证由和都收敛于11114.12().,0, 4.21().,4.12.n n n n n n n n n n n n n n n n n c a a b c b a c a b a a b ξξξ∞=∞∞==∞=-≤≤≤-≤--∑∑∑∑是按照性质有收敛由有按照推论有收敛既然收敛故按照性质有收敛721112222111221(3)0,,:(1).11,,().110(),,2(1)..31.n n n n nn n n n n n n n a a a n n a n λλλλ∞∞-==∞∞∞===∞=∞-=>-+++<≤++-∑∑∑∑∑∑设为常数且级数收敛试证级数证因为收敛并且收敛所以收敛又因为故由比较判别法知级数则习题8求下列级数的收敛2321121221121121:2(1);(2);2242461(1)21(3);(4);212(5)(6)(2).1(1),lim ,(,).(2)!!21(2),lim ,12nn n n n n n n n nn n n n n n n n n n n n x x x x nn x x n x a a R n a a a R n a ∞=-∞∞+-==∞∞==→∞+→∞++++⋅⋅⋅+--+-===∞-∞+∞===+∑∑∑∑ 区间解故收敛区间为解故收敛22212111111.,,2211[,].22(3)lim ,:1,||1,:1,||1,,[1,1].212121(4).,,lim 2,2,222n n n n n n n n n n n n n x ux x x x u x a n n n t x t a R t t a +→∞∞--→∞=+=±-=<<>>----=====±∑半径为当时级数收敛故收敛区间为解因故由比值判别法有如即时级数收敛如时即时由交错级数的判别法知级数收敛故收敛区间为解令对级数则当时12221121,2,||,.,,2((5)5,lim 1.1,;1,.5[1,1),,[4,6).(6)2n n nn nnn n n n n n n nn n n x x x x a t x a R t a t x t x ∞=∞-=∞∞→∞==+∞∞==-<<==-=====--∈-=-∑∑发散故当时即收敛当级数发散故收敛区间为令对级数则当时当时故当时因而收敛区间为令2111221.,1,lim 1,1,,|2|1,(1),(2).(1)nn nn n n n n n n a t a R t t a x x x x ∞∞→∞==+∞=====±-<∈-∈--⋃∑∑∑对级数故当时发散故当时即或时收敛故收敛区间为8111 10 0111212.:(1);,lim 1. 1.1,,()(1,1).()..1:(),(1,1).(1)1(2)41n n n nn n n n xx nn n n n n n nx a a n R x nx a s x x s x nx dx nx dx x x x xs x x x n ∞=∞→∞=+∞∞∞-===∞=====±-====-=∈--+∑∑∑∑∑⎰⎰∑求下列级数在其收敛区间内的和函数解故收敛半径为由于时发散故收敛区间为令上式两端求导得41411144144114 4 011,lim 1, 1.1,,41411(1,1).(),'().411111(),()ln arctan ,(1,1).14121(3)(1n n n n n n n n nn n xxa a R x x n a n x s x x S x x n x x x s x dx s x x x x x x n n +∞+→∞=+∞∞+======±++-===+-+==+-∈---+∑∑∑⎰解故收敛半径为由于时发散故收敛区间为令上式两端同时积分得故111111111)11.lim 1, 1.1,,(1)(1)11[1,1].(),"().(1)1n n n n n n n n n n n n x a a R x x n n a n n s x x s x x n n x ∞+=∞+→∞=+∞∞+-======±++-===+-∑∑∑∑解故收敛半径为由于时收敛故收敛区间为令0 0 0 02111212111221()"()ln(1)ln(1)1(6)211,lim 1 1.211,.(),2121'()xx x x n n n n n n n n n n n n dx s x s x dx dx dx x x x xx x n a a R n a x x x s x n n s x x -∞=→∞+--∞∞==∞-=⎡⎤⎡⎤===--+-+⎢⎥⎢⎥⎣⎦-⎣⎦-===-=±=--==⎰⎰⎰⎰∑∑∑∑于是解故收敛半径为当时发散令则22 01111.,()ln ,(1,1)1121x xs x dx x x x x+==∈----⎰所以12 1 0 0113.,:(1)(1)2()(1).()(1,1). ()1n n xx nn n n n n x S x n n x s x S x dx dx x x ∞=∞∞+==+⎡⎤=+-==⎢⎥⎣⎦-∑∑∑⎰⎰利用幂级数的和函数求下列级数的和解令的收敛区间为9"231211(1),(),(1,1),,()2,1(1)222nn x n n S x x x S x x ∞=⎛⎫+==∈-==⋅ ⎪--⎝⎭∑于是令有 31202222 223 0 0223(1)1112()812222(1)21(3)(1)2()(1)(1),()(1,1).1()2()(1),,1(1)2(),(1)n n nn n n n n x x n n n n n S n n s x n n x s x x d x x s x s x dx dx x x x dx x x s x x ∞=∞=∞=∞=+=⋅=⋅=--+-=---⎛⎫⎪+⎝⎭⎡⎤=-===⎢⎥⎣⎦++=+∑∑∑∑⎰⎰则解令的收敛区间为于是所以2001114122(1,1),(1)()(1)1222272712n n n n n n n n x s ∞∞==-+∈--=+-=+=+∑∑()(4)20ln .41.,.(1)()cos ;(2)()(0,1)(1)()cos()(1,2,).2(0)1,'(0)0,"(0)1,(0)0,(0)1,(1)()cos ,(,)(2)!(2)()x n n nn x x f x x f x a a a nf x x n f f f f f f x x x x n f x e π∞===>≠=+='''===-==-==∈-∞+∞=∑习题8用直接法将下列函数开展成的幂级数并求出展开式成立的区间解于是得解()ln ()020,()(ln ),(0)1,(0)(ln )(ln ):,(,)!2.,.1(1)();(2)();29()(1):,(,),,(,)!!a n n x a n nn xnn x x n n xxxn n f x a e f f a a a x n x xshx e e f x x x x e e x e x n n ∞=-∞-=====-∞+∞=-=+-=∈-∞+∞=∈-∞+∞∑∑于是我们有用间接法将下列函数展开成的幂级数并求出展开式成立的区间解按的幂级数展开式有02102212(1)2002,1(),(,)2(21)!11(2)()(1)()(1),(3,3).99331()3(3)()cos ;n x xn n nn n n n n x shx e e x n x x x f x x x x f x x ∞=+∞-=∞∞++===-=∈-∞+∞+=⋅=-=-∈-+=∑∑∑∑于是解21cos2cos .cos :2xx x +=解按照的幂级数展开式为102220022211444(1)44114(1)(1)cos 2(2)2,(,),(2)!(2)!(1)cos 12,(,).(2)!111(6)()ln arctan ;412'(),(1,1).11()41n n nn n n n n n n n n n n n nx x x x n n x x x n x f x x x x x f x x x x x x f x x dx n ∞∞==∞-=∞∞-==--==⋅∈-∞+∞-=+⋅∈-∞+∞+=+--===∈--==+∑∑∑∑∑于是解 41112211 2 0 01,(1,1)(7)()arcsin ;(1):111()(1)(1)(21)!!222(arcsin )'1()1!(2)!!(21)!!(2(arcsin )(2)!!xn n n n n n n x x n n x x f x x x x n n x x x n n n x dx x dx x n α∞∞+==∞∞==∞=∈-=+-----+-==+-=+-=+=+∑∑⎰∑∑∑⎰⎰ 解按幂级数展开式有故2112221200101)!!1,(2)!!21(21)!!1arcsin ),[1,1].(2)!!211(9)();23111111()()(1)4314331311(1),(1,1)43n n n n n n n n n n n n n n x n n n x x x x x n n f x x x x f x x x x x ∞+=∞+=∞∞==+=-+-=+∈-+=--⎡⎤⎢⎥⎡⎤=-+=-+-⎢⎥⎢⎥+⎣⎦⎢⎥-⎣⎦⎡⎤=-+-∈-⎢⎥⎣⎦∑∑∑∑于是解003.,.(1)()lg ,1;x x f x x x ∞-==∑将下列函数展开成的幂级数并求出展开式成立的区间111101lg lg(11)ln(11)ln1011(1)1(1)1,()ln(1)(1)(0,2]ln10ln10ln10(3)()sin ,2sin sin()222n n n n n n x x x t x f x t t x n nxf x x x x πππ--∞∞===-+=-+--=-=+==-==-=+∑∑解由于令有解由于22200(1)(1),sin sin()cos (),(,)222(2)!(2)!2n nn n nn n x x t t t t x x n n πππ∞∞==---==+===-∈-∞+∞∑∑令有1101(4)(),3(1)f x x x x ==-11001100113,31111()()(1)(3)(2)232311(1)()(3),(1,5)23(5)(),11111,1,111!!n nn n n n n n n n n x x x x t n n n t x x t t t x x t t t t x x d e e f x x dx x e e e e e e t t e x t e e e x x x t t n n ∞∞++==∞++=--=-=+--==-=--++++=---∈⎛⎫-== ⎪-⎝⎭----=-==⋅=⋅=---∑∑∑解令则解令1111()(1),11(1)!n x n n d e e nf x e x x dx x n ∞∞==∞-=⎛⎫-==-≠ ⎪-+⎝⎭∑∑∑0 0 08.61.{1,cos ,cos 2,,cos ,}[0,];(2){sin ,sin 3,,sin(21),},[0,];2(1)cos 0(1,2,)1cos cos [cos()cos()]0,(,1,2,2x x nx x x n x nxdx n mx nxdx m n x m n x dx m n πππππ+===++-==⎰⎰⎰习题验证下列函数系在指定的区间上构成一个正交函数系:(1)在上在上证)[0,]0,.π∴即函数系满足两个不同函数的乘积在区间上积分为是正交[]22 01(2)sin(21)sin(21)cos 2(1)cos 2()02[0,].22.2,[,)0, 0,(), 0m x n xdx m n x m n x dx x f x x x ππππππππ+⋅+=-++--=∴--≤≤⎧=⎨-≤<⎩⎰⎰证该函数学系在上正交将下列以为周期的周期函数展开成傅里叶级数它们在上的表达式为:(1)6 011()2a f x dx xdx ππππππ-==-=-⎰⎰解2 02 01111()cos cos (sin cos )2,11(1),()sin sin (1,2,)0, n nn x a f x nxdx x nxdx nx nx n nn b f x nxdx x nxdx n n n n πππππππππππππ--==-=-+⎧-⎪===-==⎨⎪⎩⎰⎰⎰⎰ 为奇数为偶数2121(1)()cos(21)sin ,,(0,1,)4(21)nn f x n x nx x x k k n n πππ∞=⎡⎤-∴=-+-+-∞<<+∞≠=±⎢⎥-⎣⎦∑12222220 1 222 22 2121(3)()114()()31(1)4()cos ,1,2,1()sin 0,1,2,2(1)()4cos ()3n n n n n f x x a f x dx x dx a x nxdx n n b x nxdx n f x nx x n ππππππππππππππππππ--+-+∞==-==-=-⋅=-===-==-∴=+-∞<<+∞⎰⎰⎰⎰∑解()()0 0 02 03.,0()1,011111(1)cos cos ,(1,2,)(1)11(1)sin sin 1x x n nxn n xne xf x x e a e dx dx e a e nxdx nxdx n n n ne b e nxdx nxdx ππππππππππππππππππ------⎧-≤<=⎨≤≤⎩+-=+=--=+==+-+-=+=+⎰⎰⎰⎰⎰⎰将下列函数展开傅里叶级数:(1)解2221 0 12 1(1),(1,2,)111(1)(1)1(1)()cos sin 211(2)()cos ,;214cos 214(1)cos cos 241n n nn n n n n n n n e e n ne f x nx nx n n n xf x x x a dx x a nxdx n πππππππππππππππ---∞=---⎡⎤--+=⎢⎥⎣⎦⎧⎫⎡⎤+----+---⎪⎪=+++⎨⎬⎢⎥++⎪⎪⎣⎦⎩⎭=-≤≤==-==-∑⎰⎰ 解 121002(1,2,)1cos sin 0(1,2,)224(1)()cos ,(,)41(3)()2||,;11(2||)(42)44,1(2||)cos 0,1(2n n n n n n xb nxdx n f x nx x n f x x x a x dx xdx n a x nxdx n n b πππππππππππππππππππππ--∞=--====-=+∈--=+-≤≤=+=+=+⎧-⎪=+=⎨⎪⎩=⎰∑⎰⎰⎰ 解为奇数为偶数2||)sin 0(1,2,)41()2cos(21),[,]2(21)n x nxdx n f x n x x n ππππππ-∞=+==∴=+-+∈-+⎰∑1320 2 0 2 00 0 5.()2,:()1()cos (01,2,)1()sin (1,2,)()cos (2)cos (2)()cos ()cos n n x t f x f x a f x nxdx n b f x nxdx n f x nxdx f t n t dtf t ntdt f x nxdxπππππππππππππ=+---===========++==⎰⎰⎰⎰⎰⎰ 令设周期函数的周期为试证的傅里叶系数为证明0 2 2 0 011()cos ()cos ()cos 11()cos ()cos ()cos (0,1,2,)n a f x nxdx f x nxdx f x nxdx f x nxdx f x nxdx f x nxdx n ππππππππππππ--⎡⎤∴==+⎢⎥⎣⎦⎡⎤=+==⎢⎥⎣⎦⎰⎰⎰⎰⎰⎰201()sin 6.2,[,), 0,()0 0.()[2,]().0, 20(), 2, 0n b f x nxdxx x f x x f x S x x x x S x x x x x πππππππππππππππ=---≤<⎧=⎨≤<⎩--≤<-≤<⎧⎪⎪==-=⎨⎪--<<⎪⎩⎰同理可证设函数以为周期在上的表达式为,写出的傅里叶级数上的和函数或解或 22 228.72.2(),()[,],,22(),,22,.22(),0,(0,1,2,)1()sin sin sin 22 n n f x f x x f x x x x f x a n b nxdx x nxdx nxdx ππππππππππππππππππππ----⎧--≤<-⎪⎪⎪=-≤<⎨⎪⎪≤<⎪⎩∴==⎡⎤=-+⋅+⎢⎥⎣⎦=⎰⎰⎰ 习题将以为周期的函数展开成傅里叶级数其中上的表达式为解为奇函数1212121sin (1) (1,2,)2221()sin (1)sin 22,(21),0,1,2,n n n n n n n n f x nx n n x x k k πππππππ+∞+=⎡⎤+-=⎢⎥⎣⎦⎡⎤=+-⎢⎥⎣⎦-∞<<+∞≠+=±±∑1413.()[0,]42(,0),0,(0,1,2,)0,21()sin 142,n n f x x a n n b x nxdx n n ππππππ=--==⎧⎪=-=⎨⎪⎩⎰将函数在区间上展开成正弦级数和余弦级数解(1)将函数在作奇延拓此时有为奇数为偶数11()sin 2,(0,)2n f x nx x nπ∞=∴=∈∑(2)[,0),0,(1,2,)n b n π-== 将函数在作偶延拓有0 0 0201,2121()0,()cos 42420,1()cos(21),[0,](21)4.()|sin |[,].()[,]0,(1,2,3,)242sin ,sin n n n n n a x dx a x nxdx nn f x n x n f x x f x b n a xdx a πππππππππππππππ∞=⎧⎪=-==-=⎨⎪⎩∴=+∈+=--∴=====⎰⎰∑ 为奇数为偶数将函数在区间上展开成傅里叶级数解在上的偶函数1221000, cos 4, (1)241()cos 2,[,]411,06.()(0).0,(,0),0,(1,2,)221,n n l n n x nxdx n n f x nx x n x hf x h h x b n ha dx a ππππππππππππ∞=⎧⎪=⎨-⎪-⎩∴=-∈--≤<⎧=≤<⎨≤≤⎩-=====⎰⎰∑⎰为奇数为偶数将函数展开成余弦函数解将函数在作偶延拓有1122sin cos (1,2,)2sin ()cos ,0,n nh nxdx n nhnhf x nx x x hππππππ∞==⋅=∴=+≤≤≠⎰∑ 且3 030 3 3 0 0 3 3 08.81.,21, 30(1)()1, 0311()(21)11,3316[1(1(21)cos cos 333n x x f x x a f x dx x dx dx n n a x xdx xdx ππ---+-≤<⎧=⎨≤<⎩⎡⎤==++=-⎢⎥⎣⎦--⎡⎤=++=⎢⎥⎣⎦⎰⎰⎰⎰⎰习题将下列函数展开成傅里叶级数函数在一个周期内的表达式为解2210 3 3 0)](1,2,)16(1)(21)sin sin ,(1,2,)333nn n n n n n b x xdx xdx n n ππππ+-=⨯-⎡⎤=++==⎢⎥⎣⎦⎰⎰151221||11(1)(1)()6cos sin,233,3(21)(0,1,2,)(3)(),22n n n x n n f x x x n n x x k k f x e x ππππ+∞=⎡⎤---∴=-++⎢⎥⎣⎦-∞<<+∞≠+=±±=-≤<∑220 02 22202142(1)1cos 4,(1,2,)424x n x n a e dx e n e a e xdx n n ππ==---==⨯=+⎰⎰ 解0,(1,2,)n b n ==222211(1)1()(1)4cos 242n e n f x e x x n ππ∞=--∴=-+-∞<<+∞+∑2 1 1 2 0 012.:sin, 01(2)()20, 12(),,.11110,()sin sin sin cos cos 222222211,si 2(1)n n n xx f x x f x n x x n x n n a b F x dx dx x x dx b b n πππππππ-⎧≤<⎪=⎨⎪≤≤⎩-+⎡⎤====-⎢⎥⎣⎦==-⎰⎰⎰将下列函数在指定的区间上展开成正弦级数解对作奇延拓再作周期延拓如图则222211121n sin sin (1)2(1)2(1)2sin , 0121121, 1()~sin sin sin 222(1)220, 123.:(2)()2,03()n n n n n n n n xx x n n n x x f x n x f x x x f x ππππππππππ∞=-+--=>+-⎧≤<⎪⎪-⎪=∴+=⎨-⎪⎪⎪<≤⎩=+≤≤∑将下列函数在指定的区间上展开成余弦级数解对,,.作偶延拓再作周期延拓如图3 322022 0 022121 10 02236(1)0,(2)10(2)cos (1,2,)33336(1)()5cos [0,3]314.()2||[1,1].(),0,2(2)5nn n n n n n n x b a x dx a x dx n n n xf x x n f x x nf x b a x dx ππππ∞=∞=-==+==+==-∴=+∈=+-==+=⎰⎰∑∑⎰ 则将函数在上展开成傅里叶级数,并求级数的和解对作周期延拓则16122 0222212222211110, 222(2)cos (1)14, 21(21)54()cos(21),[1,1]2(21)1111110,,,(21)8(21)4nn k k n k k n k a x n xdx n k n k f x k x x k x k n k k ππππππ∞=∞∞∞∞=====⎧⎪⎡⎤=+=--=-⎨⎣⎦=+⎪+⎩-∴=++∈-+===+∴++⎰∑∑∑∑∑令得而2216n nπ∞==∑1, 12,6.()2.3, 23()(),.1, 10[-1,1],(),[1,3),()()1, 01x f x x x f x F x x F x F x f x x x ≤<⎧=⎨-≤≤⎩-≤<⎧==⎨-≤<⎩将函数展开成周期为的傅里叶级数解将作周期延拓为如图在上在上 1 010 110 1 0 122111 0 1 1 1 03()(1)21()cos cos (1)cos [1(1)]1()sin sin (1)sin (1)3()~n n nn a F x dx dx x dx a F x n xdx n xdx x n xdx n b F x n xdx n xdx x n xdx n F x ππππππππ------==+-===+-=--==+-=-∴⎰⎰⎰⎰⎰⎰⎰⎰⎰则221(), 131(1)1[1(1)]cos sin , 1421, 32n nn f x x n x n x x n n x ππππ∞=⎧⎪<<⎪-⎪+--+==⎨⎪⎪=⎪⎩∑。
第8章 无穷级数练习题习题8.11.判断题(对的划“√”,错的划“×”)(1)级数部分和的极限已求出,则级数收敛.若部分和的极限不存在,则级数发散. ( )(2)若级数∑∞=±1)(n n nv u收敛,则级数∑∞=1n n u 与级数∑∞=1n n v 都收敛.( ) (3)改变级数的有限项不会改变级数的和.( ) (4)当0lim =∞→n n u 时,级数∑∞=1n nu不一定收敛.( )2.用级数的“∑”形式填空(1),!3!2!1 +++ 即 . (2),7151311 +-+-即 . (3)+++4ln 313ln 212ln 1即 . (4),63524101 +++++-即 . 3.判断下列各级数的收敛性,并求收敛级数的和(1) -+-3322747474. (2) +++πππ543ln ln ln .(3) +⋅+⋅+⋅751531311. (4) ++++7453321.(5)∑∞=-+1)1(nn n.4.级数∑∞=+1)31 21(nnn是否收敛?若收敛,求其和.5.制造灯泡需要抽去玻璃泡中的空气,设灯泡中原有空气的质量m,在多次抽气时,每一次抽出的空气质量为上次剩余质量的20%,连续不断地抽,抽出的空气质量最多是多少?习题8.21.用“收敛”或“发散”填空(1)∑∞=13 1n n.()(2)∑∞=1222lnnn.()(3)∑∞=1!n n.()(4)∑∞=12.11nn.()2.判断下列正项级数的收敛性(1)∑∞=+11 9.01n n.(2)∑∞=++12658nnn.(3)∑∞=+15 23n n.3.判断下列级数是否收敛(1)∑∞=--1)1 (nnnπ. (2) ∑∞=--1311)1(nnn.(3) ∑∞=-122sin)1(n nnn.(4) ∑∞=⎥⎦⎤⎢⎣⎡-+12)1(1nnn.4.判断下列级数的收敛性(1)∑∞=++1)2(1n n n n . (2)∑∞=⎪⎭⎫⎝⎛+11n nn n .(3)∑∞=--1131arcsin )1(n n n . (4)∑∞=+-1321)1(n n n n .(5)∑∞=12n n n. (6)∑∞=166n n n.(7))0,(,31211>++++++b a b a b a b a . (8)∑∞=+++1)3)(2)(1(n n n n n.(9) ++++++nn 134232. (10) +-+-2227151311.习题8.31.求下列幂级数的收敛区间(1) ------n x x x x n 3232. (2) -++++n nnx x x x 3333233322.(3) +⋅++⋅+⋅+⋅+nnn x x x x x 33433323443322.(4) ++++++nnx n x x x 3322321.(5) +⋅⋅++⋅⋅+⋅+)2(64264242232n x x x x n.(6)∑∞=++-11212)1(n n nn x . (7) ∑∞=--122212n n nx n .(8) ∑∞=⋅+13)1(n nn n x . (9) ∑∑∞=∞=++-112212)1(n n n n n n n x n x .(10) ⎪⎪⎭⎫⎝⎛⎪⎪⎭⎫ ⎝⎛∑∑∞=∞=11!n n n n n x n x .2.利用逐项求导数或逐项求积分或逐项相乘的方法,求下列级数在收敛区间上的和函数(1)∑∞=--122212n n nx n . (2) ++++753753x x x x .(3) +++13951392x x x . (4) +⋅+⋅+⋅433221432x x x .(5) +⋅+⋅+⋅+⋅3254433221x x x . (6)⎪⎪⎭⎫ ⎝⎛⋅⎪⎪⎭⎫ ⎝⎛∑∑∞=∞=11!n n n n n x n x .习题8.41.将下列函数展开为x 的幂级数,并指出其收敛域 (1)xe 2. (2))1,0(≠>a a a x 且.(3)2sin x. (4))0()ln(>+a x a .(5)⎥⎦⎤⎢⎣⎡-=)2cos 1(21sin sin 22x x x 提示:. (6))1ln()1(x x ++.(7)⎰+xt dt41. (8)⎰x dt tt 0sin .(9)⎰-xt dt e22.2.将下列函数展开为x 的幂级数,并指出其收敛半径(1))0(22>+a x a . (2)x arcsin .(3))1ln(2x x ++.3.用级数的展开式,近似计算下列各值(1)e (取前五项). (2)521⋅(取前三项).(3)︒18sin (取前两项).4.计算下列积分的近似值(计算前三项)(1)⎰212dx e x . (2)⎰10sin dx xx.(3)⎰11.0dx xe x.习题8.51.填空(1)若)(x f 在[]ππ,-上满足收敛定理的条件,则在连续点0x 处它的傅里叶级数与)(0x f .(2)设周期函数)(2)(ππ<≤-=x xx f ,则它的傅里叶系数 =0a ,=n a , =1b , =nb .(3)用周期为π2的函数)(x f 的傅里叶系数公式,求周期为l 的函数)(t g 的傅里叶级数,应作代换=t .(4)周期为l 的函数)(x f 的傅里叶系数=0a ,=n a ,=n b .2.把下列周期函数展开成傅里叶级数 (1)⎩⎨⎧<≤<≤-=ππt t t u 0100)(. (2)⎩⎨⎧<≤+<≤--=ππx x x x x f 0,10,1)(.(3)⎩⎨⎧<≤-<≤-+=ππππt t t t t f 0,0,)(. (4))(2cos)(ππ<≤-=x xx f .(5)⎪⎩⎪⎨⎧<≤<≤--<≤--=21,11112,1)(x x x x x f . (6)2121,1)(2<≤--=x x x f .3.将函数)11()(≤≤-=x e x f x展开成傅氏级数.4.将函数)0()(ππ≤≤-=x x x f 分别展开成正弦级数和余弦级数.5.将周期为4的单向窄脉冲信号,展开成傅里叶级数的复数形式,其表达式⎪⎪⎪⎩⎪⎪⎪⎨⎧<≤<<--≤≤-=221,02121,212,0)(t t e t t f .复习题八(A )组1.判断题(对的划“√”,错的划“×”) (1)若,0lim =∞→n n u 则级数∑∞=1n nu收敛.( )(2)若级数∑∞=1n nu发散,则级数∑∞=≠10(n nc cu为常数)也发散.( ) (3)改变级数的有限多个项,级数的敛散性不变.( ) (4)若级数∑∞=1n nu收敛,则∑∞=-+1212)(n n n u u收敛.( ) (5)若)(x f 是周期函数为π2的函数,且满足收敛定理的条件,则在任意点x 处)(x f 的傅氏级数收敛于)(x f .( )2.用“收敛”或“发散”填空 (1)若级数∑∞=1n nu收敛,则∑∞=+1)001.0(n nu.(2)级数∞=1n (3)当10<<a 时,级数∑∞=-+111n nn aa . (4)级数∞=1n n (5)级数∞=n3.单项选择题(1)下列级数中,收敛的是( )(A ) ∑∞=--11)1(n n n ; (B ) ∑∞=+-1232)1(n n n n; (C ) ∑∞=+115n n ; (D )∑∞=-+1231n n n .(2)下列级数中,绝对收敛的是( )(A )∑∞=-1)1(n n n ; (B )∑∞=++12123n n n ; (C )∑∞=-⎪⎭⎫ ⎝⎛-1132)1(n nn ; (D )∑∞=-+-11)1ln()1(n n n . (3)幂级数∑∞=1n nnx 的收敛区间是( )(A )[]1,1-; (B )[)1,1-; (C )(]1,1-; (D )()1,1-. (4)函数2)(x e x f -=展开成x 的幂级数是( )(A )∑∞=12!n n n x ; (B )∑∞=-12!)1(n n n n x ; (C )∑∞=1!n n n x ; (D )∑∞=--11!)1(n nn n x .(5) 设)(x f 的周期为π2,它在[)ππ,-的表达式),(,2)(ππ<≤-=x x x f 则)(x f 的傅氏展开式为( )(A )∑∞=+-11sin )1(2n n nx n ; (B )∑∞=+-11sin )1(4n n nx n ;(C )),)12(,(sin )1(411Z k k x x nx n n n ∈-≠+∞<<-∞-∑∞=+π;(D )),)12(,(sin )1(211Z k k x x nx n n n ∈-≠+∞<<-∞-∑∞=+π.4.判别下列各级数的敛散性(1))0(1112>+∑∞=a a n . (2)∑∞=+112tann n n π.(3)∑∞=+112tann n n π. (4)∑∞=1sincos n nn ππ.(5) ∑∞=+112!n n n . (6) ∑∞=--1ln )1(n n n n .(B ) 组1.用已知函数的展开式,将下列函数展开成x 的幂级数(1)x e x x f -=3)(. (2)x x f 2cos )(2=.(3)211)(x x f -=. (4)321)(2--=x x x f .2.用已知函数的展开式,将下列函数展开成2-x 的幂级数 (1)xx f -=41)(. (2)x x f ln )(=.3.将下列周期函数展开成傅里叶级数(1))(sin )(ππ<≤-=x ax x f (a 为非整数的常数).(2))()(22πππ<≤--=x x x f .(3) )()(3ππ<≤-=x x x f .4.把周期函数⎪⎩⎪⎨⎧<≤<≤--=20102,2)(x x xx f 展开成傅氏级数.5.将⎪⎪⎩⎪⎪⎨⎧≤≤-<≤-=24,440,)(T t T T T x t t q 分别展开成正弦型级数和余弦型级数.6.将)210(1)(2≤≤-=x x x f 分别展开成正弦型级数和余弦型级数.第8题图7.把函数⎪⎪⎩⎪⎪⎨⎧≤≤<≤--=ππππx x x f 0,40,4)(展开成傅氏级数,并由它导出(1)+-+-=71513114π. (2) ++--+-=131111917151163π.8.将下面波形的函数展开成傅里叶级数9.将下面半波整流后的周期函数)(t f 展开成傅氏级数10.将)10()(2≤≤=x x x f ,展开成正弦级数和余弦级数。