药品批准文号资料
- 格式:pdf
- 大小:850.26 KB
- 文档页数:5
中药制剂批准文号申请
中药制剂批准文号的申请程序如下:
1. 准备材料:申请人需准备相关材料,包括企业法人营业执照复印件、药品生产许可证复印件、中药制剂质量控制标准、制剂工艺及生产设备情况介绍、中药制剂安全性、有效性等相关文献资料。
2. 文号申请:将所需材料递交给国家药品监督管理机构进行中药制剂批准文号的申请。
申请人需填写《申请表》,并按规定缴纳相关费用。
3. 审核与评估:国家药品监督管理机构对申请材料进行审核和评估,包括中药制剂的质量控制标准、临床试验结果、安全性、有效性等方面的评估。
4. 技术审查:国家药品监督管理机构将委托专业的技术评审机构对申请中药制剂的质量控制标准、制剂工艺、生产设备等进行审查。
5. 现场检查:国家药品监督管理机构将对申请人的生产场所进行现场检查,确保其符合药品生产要求。
6. 审批:国家药品监督管理机构根据审核、评估、技术审查和现场检查的结果,决定是否批准中药制剂批准文号,并通知申请人。
以上是一般情况下的中药制剂批准文号申请程序,具体操作可能会因地区和具体情况而有所不同。
申请人应根据实际情况,及时咨询相关部门以获取详细的申请要求和程序。
新的药品批准文号为“国药准(试)字+1位汉语拼音字母+8位阿拉伯数字”。
其中“准”字代表国家批准正式生产的药品,“试”字代表国家批准试生产的药品。
字母共分7个,分别代表药品的不同类别,见下表:
H Z S B T F J
化学药品中药生物制品保健药品体外化学诊断试剂药用辅料进口分包装药品
8位数字的第1、2位代表原批准文号的来源,具体见下表:
代码地区代码地区代码地区
11 北京市34 安徽省50 重庆市
12 天津市35 福建省51 四川省
13 河北省36 江西省52 贵州省
14 山西省37 山东省53 云南省
15 内蒙古41 河南省54 西藏自治区
21 辽宁省42 湖北省61 陕西省
22 吉林省43 湖南省62 甘肃省
23 黑龙江省44 广东省63 青海省
31 上海市45 广西自治区64 宁夏回族
32 江苏省46 海南省65 新疆自治区
33 浙江省
10--------原卫生部19、20-------国家药品监督管理局
第三、四位代表换发批准文号之年公元年号的后两位数字,但来源于卫生部和国家药品监督管理局的批准文号仍然使用原文号年号的后两位数字,后四位为顺序号。
例如:某药品的批准文号为国药准字H44021518,表明该药为化学药,原批准文号是广东省药品监督管理部门核发的,2002年统一换后的批准文号,该品种的顺序号为1518。
国药准字Z10890019,表明该药品为中药,原批准文号是卫生部于1989年核发的,顺序号为0019。
了解批准文号的表示后,我们就可以知道药品的有关情况。
药品批准文号名词解释
药品批准文号是从中国食品药品监督管理总局发布的许可证,用以标
识某类特定产品(包括药品、保健食品、医疗器械、原料药、中药材、中
药饮片、中成药等)的批准文号,(简称“许可证”)。
药品批准文号由
由国家药品监督管理机构在审批通过后发放,是进行药品检验、药品登记
和药品上市的前提条件。
每一种药品的批准文号都有特定的规范,可以由它自身的特征来表示,例如,对西药来说:批准文号一般由山东省食品药品监督局负责发放,其
格式是“山药药字(2015)号”,其中号指批准文号,号包括字母和数字;对于中成药来说,其批准文号则由国家食品药品监督管理总局发放,其格
式是“国药准字H2014号”,其中号包括字母和数字。
药品批准文号是医药行业安全保障的重要证明,也是医疗健康和临床
诊断的重要依据,它是药品经国家药品监督管理机构审批批准后发放,用
以证明药品合法生产、经过安全检验、符合国家标准,并可持续供应市场的,能够有效识别和促进药品的统一管理、指导药品的使用、保护消费者
的权利。
健康类产品批准文号含义参考资料1、(省卫或食药监)健用字:为陕西、河南、黑龙江、湖北、吉林等省审批的保健用品。
因保健用品目前无全国性的管理法律法规,只有个别省份制定了地方性法规或政府规章,但一直存在争议,有人认为涉嫌违反•立法法‣、•行政许可法‣和•药品管理法‣。
陕西省:“陕卫健用字”,2005年9月以前依据•陕西省卫生监督管理办法‣由陕西省卫生厅审批,之后“陕食药监健用字”依据•陕西省保健用品管理条例‣(地方性法规)由陕西省食品药品监督管理局审批。
河南省:“豫卫健用字”由河南省卫生厅审批,2003年以后该省卫生厅已经停止保健用品的审批。
因此可以肯定标示为“豫卫健用字(2004)第**号”及以后时间的“豫卫健用字”文号均为假冒。
黑龙江省:“黑卫健用字”由黑龙江省卫生厅依据•黑龙江省保健用品卫生监督管理规定‣(省政府规章)审批。
湖北省:“鄂卫健用字”由湖北省卫生厅审批。
吉林省:“吉卫健用字”由吉林省卫生厅根据•吉林省保健用品生产管理办法‣(省政府规章)审批。
从查询情况看,“健用字”多为真实的,经省级卫生行政部门或食品药品监管部门批准的,但也有一些编造的假文号,具体情况要具体分析。
2、(省简称)卫(食)健证字:是省级卫生部门发放的保健食品或保健用品生产企业的卫生许可证号,针对企业而不是针对产品。
3、各种食字号,此类产品相对混乱。
省级卫食字:多依据原•**省实施†中华人民共和国食品卫生法‡办法‣(地方性法规)对“以药食两用物品为原料生产的食品”进行审批,时间应为2009年6月1日•食品卫生法‣废止以前。
但从查询情况看,有的省核发了“卫食字”或“卫食准字”的批准文号,有的省只核发了卫生许可证,但卫生许可证的编号是“卫食字”或“卫食证字”。
故标示“卫食字”的产品中,有的可能确实是经省级卫生部门审批的,有的则可能并无批准文号,所标示的只是卫生许可证号,而卫生许可证是针对企业颁发的,并非针对某一产品的许可。
省级以下卫食字:未见相关法规赋予省级以下卫生部门审批产品批准文号的权力,应为卫生许可证号。
批准文号什么是药品的批准文号?一共有多少种?《中华人民共和国药品管理法》规定,生产药品须经国家药品监督管理部门批准,并发给药品批准文号方可生产,未经批准生产的药品以假药论处。
因此,药品批准文号是指药品生产企业在生产药品前报请国家药品监督管理部门批准后获得的身份证明,是依法生产药品的合法标志。
怎样识别药品批准文号呢?国家药品监督管理局于2001年对药品批准文号和试生产药品批准文号的表达格式作了规定,统一格式为“国药准(试)字+1位汉语拼音字母+8位阿拉伯数字”。
其中(1)“准”字代表国家批准正式生产的药品,“试”字代表国家批准试生产的药品。
(2)国药准(试)字后的1位汉语拼音字母代表药品类别,分别是H代表化学药品,S代表生物制品,J代表进口分装药品,T代表体外化学诊断试剂,F代表药用辅料,B代表保健药品,Z 代表中药。
(3)汉语拼音字母后的8位阿拉伯数字中的第1、2位代表批准文号的来源,其中10代表原卫生部批准的药品,19、20代表国家食品药品监督管理局批准的药品,各省、自治区、直辖市的数字代码分别是11-北京市,12-天津市,13-河北省,14-山西省,15-内蒙古自治区,第 1 页共3 页21-辽宁省,22-吉林省,23-黑龙江省,31-上海市,32-江苏省,33-浙江省,34-安徽省,35-福建省,36-江西省,37-山东省,41-河南省,42-湖北省,43-湖南省,44-广东省,45-广西壮族自治区,46-海南省,50-重庆市,51-四川省,52-贵州省,53-云南省,54-西藏自治区,61-陕西省,62-甘肃省,63-青海省,64-宁夏回族自治区,65-新疆维吾尔自治区。
8位阿拉伯数字中的第3、4位表示批准某药生产之公元年号的后两位数字,第5、6、7、8位数字(即最后四位数字)为顺序号。
了解药品批准文号统一格式识别方法后,让我们一起来识别几种常用药品,如(1)广谱喹诺酮类抗菌药可乐必妥(左氧氟沙星)片的批准文号为国药准字H20000655,表明该药是化学药品,系国家药品监督管理局于2000年批准生产的,顺序号为0655。
药品批准文号格式02年1月1日以后批准生产的新药、仿制药品和通过地方标准整顿或再评价升为国家标准的药品,采用药品批准文号格式、药品批准文号格式:国药准字+1位字母+8位数字,试生产药品批准文号格式:国药试字+1位字母+字。
进口药品注册证格式:由字母H(Z或S)后接八位阿拉伯数字组成,前四位为公元年号,后四位为编号。
化学药品使用字母“H”,中药使用字母“Z”,通过国家药品监督管理局整顿的保健药品使用字母,生物制品使用字母“S”,体外化学诊断试剂使用字母“T”,药用辅料使用字母“F”,进口分包装药用字母“J”。
数字第1、2位为原批准文号的来源代码,其中“10”代表原卫生部批准的药品,“19”、”代表2002年1月1日以前国家药品监督管理局批准的药品,其它使用各省行政区划代码(见附件一)位的,为原各省级卫生行政部门批准的药品。
第3、4位为换发批准文号之年公元年号的后两位数字,但于卫生部和国家药品监督管理局的批准文号仍使用原文号年号的后两位数字。
数字第5至8位为顺序号。
、每种药品的每一规格发给一个批准文号。
除经国家药品监督管理局批准的药品委托生产和异地加工外药品不同生产企业发给不同的药品批准文号。
、自2002年1月1日以后批准生产的新药、仿制药品和通过地方标准整顿或再评价升为国家标准的药品采用新的药品批准文号格式。
、自2002年1月1日以后批准发给的化学药品《进口药品注册证》,其注册证号格式亦作部分改变,其母“X”改为“H”,其它部分不变。
原已发给的旧格式注册证号在换发《进口药品注册证》时用新格式取、药品批准文号及化学药品的进口药品注册证号换发后,印有原格式批准文号及注册证号的包装标签在年12月31日后禁止流通使用。
、药品批准文号采用的中华人民共和国行政区划代码代码省(自治区、直辖市)代码省(自治区、直辖市)11××××北京市42××××湖北省12××××天津市43××××湖南省13××××河北省44××××广东省14××××山西省45××××广西壮族自治区15××××内蒙古自治区46××××海南省21××××辽宁省50××××重庆市22××××吉林省51××××四川省23××××黑龙江省52××××贵州省31××××上海市53××××云南省32××××江苏省54××××西藏自治区33××××浙江省61××××陕西省34××××安徽省62××××甘肃省35××××福建省63××××青海省36××××江西省64××××宁夏回族自治区37××××山东省65××××新疆维吾尔自治区41×××河南省。
针对根本,才有治愈的希望!--------治疗白血病的革命性研究成果解毒维康片隆重问世解毒维康片是由西安恒生堂制药有限公司研制生产的纯中药治疗白血病新药,该药汇聚多位国内知名中医药专家数十年临床经验,经过反复论证、多番修改,始得成功,是目前唯一获得SFDA严格审查通过的纯中药治疗性药物。
针对根本才有治愈的希望!解毒维康片直接针对人体造血组织正常造血机能的恢复,在对白血病的治疗中坚持气血辩证和脏腑辩证相结合,多靶点作用。
以解毒、清热、散温,调整动态平衡、扶正祛邪;以补肝益肾,重建骨髓造血环境为根本。
通过清热解毒净化血液,使血象、髓象趋于正常;通过补益肝肾使正常细胞活跃,抑制白血病细胞,增强人体免疫力。
采用“君、臣、佐、使”的配伍原则,充分发挥中药特有的修复作用,补益肝肾、扶正培元,改善骨髓造血微环境,激活骨髓生理造血机能,使白血病细胞失去赖以生存之壤而自灭,从根本上治疗白血病。
其作用特点如下:[适应症]用于初治的各种类型白血病。
1、用于缓解后治疗,有效降低复发率。
2、用于难治复发性白血病治疗,提高完全缓解率。
3、协同放化疗治疗。
4、自体骨髓移植后巩固治疗,有效降低复发率。
[功能]1、用于急慢性白血病的综合治疗,有效杀灭白血病细胞,提高临床完全缓解率2、迅速治疗白血病发病期出现的贫血、发热、出血、肝脾肿大、关节疼痛等临床症状3、纯中药口服片剂,系统综合性的治疗作用,有效促进患者正常造血功能的恢复4、有效克服了患者在化疗过程中出现的多药、耐药的临床治疗难题,并可预防缓解后复发对治疗难治性白血病效果显著5、药或合并用药治疗白血病,可显著提高化疗药物的治疗效果,提高临床白血病的完全缓解率,降低化疗药物的毒副作用反应,提高患者对化疗药物治疗的耐受性、提高人体生存质量。
长期而缜密的临床研究资料表明:解毒维康片治疗白血病效果确切,能够迅速改善症状,同时针对病源根本,有效恢复人体造血组织正常造血机能,达至治疗目的,一举打破了白血病临床治疗中中药只能作为辅助用药的格局,为中医药治疗白血病翻开了崭新的一页。
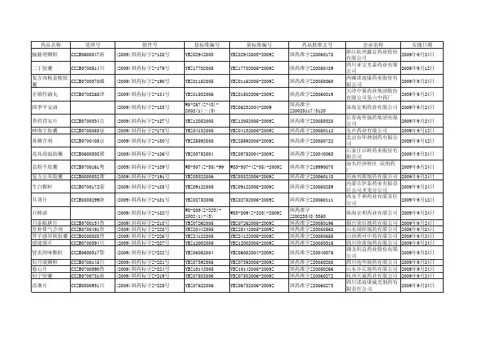
药品名称受理号批件号原标准编号新标准编号药品批准文号企业名称实施日期脑脉利颗粒CXZB0600347浙(2009)国药标字Z-188号YBZ02942003YBZ02942003-2009Z国药准字Z20060178浙江杭州鑫富药业股份有限公司2009年9月24日二丁胶囊CXZB0700514川(2009)国药标字Z-179号YBZ17702005YBZ17702005-2009Z国药准字Z20050489四川亚宝光泰药业有限公司2009年9月12日复方南板蓝根胶囊CXZB0700370藏(2009)国药标字Z-190号YBZ01162005YBZ01162005-2009Z国药准字Z20050060西藏诺迪康药业股份有限公司2009年9月24日牙痛停滴丸CYZB0703268津(2009)国药标字Z-184号YBZ01502006YBZ01502006-2009Z国药准字Z20060019天津中新药业集团股份有限公司第六中药厂2009年9月24日四季平安油(2009)国药标字Z-183号WS-257(Z-43)-2002(1)~(3)YBZ06232004-2009国药准字Z20023117/3120珠海宏利药业有限公司2009年9月24日香药胃安片CXZB0700334吉(2009)国药标字Z-187号YBZ12052005YBZ12052005-2009Z国药准字Z20050320长春海外制药集团有限公司2009年9月24日咳喘宁胶囊CXZB0700053琼(2009)国药标字Z-178号YBZ04132005YBZ04132005-2009Z国药准字Z20050112先声药业有限公司2009年9月12日鼻渊合剂CXZB0700405京(2009)国药标字Z-180号YBZ25592005YBZ25592005-2009Z国药准字Z20050722北京市华神制药有限公司2009年9月12日连花清瘟胶囊CYZB0600308冀(2009)国药标字Z-186号YBZ03752004YBZ03752004-2009Z国药准字Z20040063石家庄以岭药业股份有限公司2009年9月24日益脂平胶囊CYZB0700161粤(2009)国药标字Z-189号WS-307(Z-35)-99WS3-307-(Z-35)-2009Z国药准字Z19990070汕头经济特区 滨制药厂2009年9月24日复方公英胶囊CXZB0800082豫(2009)国药标字Z-191号YBZ03822006YBZ03822006-2009Z国药准字Z20060143河南兴源制药有限公司2009年9月24日生白颗粒CXZB0700172蒙(2009)国药标字Z-185号YBZ09122005YBZ09122005-2009Z国药准字Z20050259内蒙古伊泰药业有限责任公司圣龙分公司2009年9月24日耳聋片CYZB0803299陕(2009)国药标字Z-181号YBZ02752006YBZ02752006-2009Z国药准字Z20060111西安千和药业有限责任公司2009年9月12日百树油(2009)国药标字Z-182号WS-809(Z-223)-2002(1)-(3)WS3-809(Z-223)-2009Z国药准字Z20023348/3350珠海宏利药业有限公司2009年9月24日月泰贴脐片CXZB0700134鲁(2009)国药标字Z-218号YBZ07262005YBZ07262005-2009Z国药准字Z20050196烟台荣昌制药有限公司2009年9月24日厚朴排气合剂CXZB0700491鲁(2009)国药标字Z-220号YBZ20442005YBZ20442005-2009Z国药准字Z20050563山东瑞阳制药有限公司2009年9月24日羚羊感冒软胶囊CXZB0800088晋(2009)国药标字Z-226号YBZ24122005YBZ24122005-2009Z国药准字Z20050655山西黄河中药有限公司2009年9月24日感速康片CXZB0700394川(2009)国药标字Z-227号YBZ12002005YBZ12002005-2009Z国药准字Z20050315四川珍珠制药有限公司2009年9月24日肾炎四味颗粒CXZB0600317鄂(2009)国药标字Z-222号YBZ06052004YBZ06052004-2009Z国药准字Z20040076湖北科益药业股份有限公司2009年9月24日妇月康颗粒CXZB0700145川(2009)国药标字Z-221号YBZ07392005YBZ07392005-2009Z国药准字Z20050208四川旭华制药有限公司2009年9月24日稳心片CXZB0700090鲁(2009)国药标字Z-224号YBZ10142005YBZ10142005-2009Z国药准字Z20050266山东步长制药有限公司2009年9月24日妇宁胶囊CXZB0700781浙(2009)国药标字Z-219号YBZ07582006YBZ07582006-2009Z国药准字Z20060272杭州天诚药业有限公司2009年9月24日清淋片CYZB0800931川(2009)国药标字Z-225号YBZ07622006YBZ06782006-2009Z国药准字Z20060273四川诺迪康威光制药有限责任公司2009年9月24日脑塞安胶囊中转20090016(2009)国药标字Z-223号WS-689(Z-134)-2001WS3-689(Z-134)-2009Z国药准字Z20010125浙江得恩德制药有限公司2009年9月24日归脾颗粒CXZB0600286浙(2009)国药标字Z-207号YBZ12042004YBZ06782006-2009Z国药准字Z20044213浙江爱生药业有限公司2009年9月24日复方雷尼替丁颗粒CXHB0700443琼(2009)国药标字X-010号YBH13122005WS1-(X-010)-2009Z国药准字H20051022海南长安国际制药有限公司2009年9月22日克痹骨泰片CXZB0700183吉(2009)国药标字Z-192号YBZ13762005YBZ13762005-2009Z国药准字Z20050400长春海外制药集团有限公司2009年9月24日舒筋通络颗粒CXZB0700591冀(2009)国药标字Z-198号YBZ23662005YBZ23662005-2009Z国药准字Z20050612神威药业有限公司2009年9月24日昆仙胶囊CXZB0800103粤(2009)国药标字Z-196号YBZ07522006YBZ07522006-2009Z国药准字Z20060267广州陈李济药厂2009年9月24日小儿七星茶口服液CXZB0700744粤(2009)国药标字Z-193号YBZ31172005YBZ31172005-2009Z国药准字Z20050862中山市恒生药业有限公司2009年9月24日十五味乳鹏胶囊CXZB0700620藏(2009)国药标字Z-195号YBZ25682005YBZ25682005-2009Z国药准字Z20050730西藏金珠雅砻藏药有限责任公司2009年9月24日抗病毒颗粒(2009)国药标字Z-210号YBZ00652004\YBZ00392007\WS-687(Z-132)-2001WS3-687(Z-132)-2009Z国药准字Z2007007\Z20010127四川光大制药有限公司2009年9月29日痔宁胶囊CXZB0600362吉(2009)国药标字Z-206号YBZ04112005YBZ04112005-2009Z国药准字Z20073033长春海外制药集团有限公司2009年9月24日咽炎胶囊CYZB0801536陕(2009)国药标字Z-215号YBZ31142005YBZ31142005-2009Z国药准字Z20050860西安阿房宫药业有限公司2009年9月24日骨疏康胶囊CXZB0800061辽(2009)国药标字Z-228号YBZ07562006YBZ07562006-2009Z国药准字Z20060270辽宁康辰药业有限公司2009年9月24日清火胶囊CYZB0800194浙(2009)国药标字Z-204号YBZ02892006YBZ02892006-2009Z国药准字Z20060123浙江泰康药业集团有限公司2009年9月24日肾骨片CXZB0800183辽(2009)国药标字Z-229号YBZ11732006YBZ11732006-2009Z国药准字Z20060350沈阳东新药业有限公司2009年9月24日益坤宁片CXZB0600402苏(2009)国药标字Z-230号YBZ04202005YBZ04202005-2009Z国药准字Z20050119江苏康缘药业股份有限公司2009年9月24日抑亢散CXZB0700293吉(2009)国药标字Z-197号YBZ10362005YBZ10362005-2009Z国药准字Z20050270吉林敖东集团力源药业股份有限公司2009年9月24日舒咽清喷雾剂CYZB0602433桂(2009)国药标字Z-231号YBZ12892004YBZ12892004-2009Z国药准字Z20040137三金集团桂林三金生物药业有限责任公司2009年9月24日黄公烧伤膏CXZB0800218闽(2009)国药标字Z-211号YBZ09092006YBZ09092006-2009Z国药准字Z20060301福建省泉州亚泰制药有限公司2009年9月24日三七脂肝颗粒CYZB0700935川(2009)国药标字Z-202号YBZ04162005YBZ04162005-2009Z国药准字Z20050115成都恩威药业有限公司2009年9月24日龟鹿二仙口服液CXZB0700081鲁(2009)国药标字Z-199号YBZ08332005YBZ08332005-2009Z国药准字Z20050229山东东阿阿胶股份有限公司2009年9月24日桂附地黄颗粒CXZB0500246鲁(2009)国药标字Z-203号YBZ02782003YBZ02782003-2009Z国药准字Z20040005华夏药业集团有限公司2009年9月24日盐酸瑞芬太尼CXHB0500509鄂(2009)国药标字X-008号WS-1043(X-783)-2002WS1-(X-008)-2009Z国药准字Z20030198宜昌人福药业有限责任公司2009年9月22日四物胶囊CXZB0800293京(2009)国药标字Z-214号YBZ21722005YBZ21722005-2009Z国药准字Z20050589悦康药业集团有限公司2009年9月24日脉安颗粒ZGB2009-7WS3-B-0115-89WS3-B-0115-89-2009感冒滴丸CXZB0700261黔(2009)国药标字Z-217号YBZ14322005YBZ14322005-2009Z国药准字Z20050415贵州健兴药业有限公司2009年9月24日舒眠片CXZB0700147京(2009)国药标字Z-194号YBZ12072005YBZ12072005-2009Z国药准字Z20050322北京长城制药厂2009年9月24日青鹏软膏ZGB2009-5WS3-BC-0319-95WS3-BC-0319-95-2009补肺活血胶囊CXZB0500108粤(2009)国药标字Z-201号YBZ01112003YBZ01112003-2009Z国药准字Z20030068广东永康药业有限公司艾叶油软胶囊CXZB0600437琼(2009)国药标字Z-209号YBZ00112005YBZ00112005-2009Z国药准字Z20050010海南海神同洲制药有限公司2009年9月24日槐耳颗粒中转20090010(2009)国药标字Z-213号YBZ04202003YBZ04202003-2009Z国药准字Z20050070启东盖天力药业有限公司2009年9月24日杜蛭丸中转20090012(2009)国药标字Z-216号WS-193(Z-029)-2002WS3-193(Z-029)-2009Z国药准字Z20020085吉林敖东集团珲春恒源药业股份有限公司2009年9月24日障眼明胶囊CYZB0801897湘(2009)国药标字Z-205号YBZ06762006YBZ06762006-2009Z国药准字Z20060218湖南德康制药股份有限公司2009年9月24日妇科十味胶囊CYZB0701824湘(2009)国药标字Z-208号YBZ17752005YBZ17752005-2009Z国药准字Z20050494湖南方盛制药有限公司2009年9月24日归脾胶囊CXZB0600045苏(2009)国药标字Z-232号YBZ00542004YBZ00542004-2009Z国药准字Z20040147苏州长征-欣凯制药有限公司2009年9月24日三苯双脒CXHB0600657鲁(2009)国药标字X-011号YBH06052004WS1-(X-011)-2009Z国药准字H20040643山东新华制药股份有限公司2009年9月22日伤风停片CXZB0700533赣(2009)国药标字Z-200号YBZ28132005YBZ28132005-2009Z国药准字H20050760江西聚仁堂药业有限公司2009年9月24日通心络片CYZB0801588冀(2009)国药标字Z-212号YBZ09352006YBZ09352006-2009Z国药准字Z20060322石家庄以岭药业股份有限公司2009年9月24日氨酚咖匹林片XGB2009-002WS1-10001(HD-1126)-2002-20092009年10月1日镇咳宁胶囊ZGB2009-6WS3-221(X-221)-99(Z)WS3-221(X-221)-99(Z)-20092009年9月24日硝酸咪康唑乳膏CYHB0806512豫(2009)国药标字X-009号YBH19602006中国药典2005年版二部国药准字H20066425新乡市新辉药业有限公司2009年9月22日复方杏香兔耳风口服液CYZB0701344赣(2009)国药标字Z-275号YBZ13792005YBZ13792005-2009Z国药准字Z20050403江西民济药业有限公司2009年10月22日大补阴丸(浓缩丸)CXZB0500301浙(2009)国药标字Z-269号YBZ12052004YBZ12052004-2009Z国药准字Z20030122杭州胡庆余堂药业有限公司2009年10月15日复方风湿宁胶囊CXZB0800133粤(2009)国药标字Z-270号YBZ06722006YBZ06722006-2009Z国药准字Z20060214广东罗浮山药业有限公司2009年10月15日壮骨止痛胶囊CXZB0700021川(2009)国药标字Z-271号YBZ04192005YBZ04192005-2009Z国药准字Z20050118四川美大康药业股份有限公司2009年10月15日三七通舒胶囊CXZB0500165川(2009)国药标字Z-272号WS-798(Z-219)-2002WS3-798(Z-219)-2009Z国药准字Z20030109成都华神集团股份有限公司制药厂2009年10月15日宫瘤宁颗粒CXZB0700301吉(2009)国药标字Z-273号YBZ13462005YBZ13462005-2009Z国药准字Z20050562长春海外制药集团有限公司2009年10月22日祛痰止咳胶囊CXZB0700692吉(2009)国药标字Z-268号YBZ02962006YBZ02962006-2009Z国药准字Z20060129吉林吉春制药有限公司2009年10月15日二十五味珊瑚胶囊CXZB0700619藏(2009)国药标字Z-266号YBZ25742005YBZ25742005-2009Z国药准字Z20050736西藏金珠雅砻藏药有限责任公司2009年10月15日枫苓合剂CXZB0600207沪(2009)国药标字Z-274号YBZ03162003YBZ03162003-2009Z国药准字Z20053611上海百棵药业有限公司2009年10月22日妇康宁胶囊CYZB0801895湘(2009)国药标字Z-267号YBZ12142006YBZ12142006-2009Z国药准字Z20060390福寿堂制药有限公司2009年10月15日麻杏止咳膏CYZB0701483桂(2009)国药标字Z-255号YBZ14282005YBZ14282005-2009Z国药准字Z20050411广西邦琪药业有限公司2009年10月15日护骨胶囊CXZB0600400粤(2009)国药标字Z-234号YBZ12742004YBZ12742004-2009Z国药准字Z20040124东莞万成制药有限公司2009年10月15日黑加仑油CXZB0500188吉(2009)国药标字Z-238号WS-698(Z-195)-2002WS3-698(Z-195)-2009Z国药准字Z20020127四平参美原料药有限公司2009年10月15日双黄消炎片CYZB0802198冀(2009)国药标字Z-251号YBZ10962006YBZ10962006-2009Z国药准字Z20063846河北东盛英华制药有限公司2009年10月16日乳癖消颗粒(2009)国药标字Z-239号WS-226(Z-226)-98WS3-226(Z-226)-2009Z国药准字Z19990028哈尔滨泰华药业股份有限公司2009年10月15日尿路通胶囊CYZB0703504桂(2009)国药标字Z-245号YBZ01862006YBZ01862006-2009Z国药准字Z20060041广西古方药业有限公司2009年10月15日妇炎净片CXZB0800155琼(2009)国药标字Z-240号YBZ09362006YBZ09362006-2009Z国药准字Z20060323海南新中正制药有限公司2009年10月15日花藤子颗粒CXZB0700677苏(2009)国药标字Z-248号YBZ23712005YBZ23712005-2009Z国药准字Z20050617江苏苏中海欣制药有限公司2009年10月16日济泰片CYZB0806123沪(2009)国药标字Z-253号WS3-053(Z-015)-2005(Z)国药准字Z20044197上海中药制药技术有限公司2009年10月15日口炎片CXZB0700412川(2009)国药标字Z-233号YBZ16242005YBZ16242005-2009Z国药准字Z20050470四川光大制药有限公司2009年10月15日银杏酮酯滴丸CXZB0700064晋(2009)国药标字Z-243号YBZ08232005YBZ08232005-2009Z国药准字Z2000220山西千汇药业有限公司2009年10月15日双黄消炎胶囊CXZB0800111赣(2009)国药标字Z-249号YBZ09012006YBZ09012006-2009Z国药准字Z20073214江西百神药业集团有限公司2009年10月16日强身颗粒CXZB0700368黔(2009)国药标字Z-242号YBZ17672005YBZ17672005-2009Z国药准字Z20050486贵州德良方药业股份有限公司2009年10月15日小儿定喘口服液(2009)国药标字Z-254号WS-628(Z-109)-2001WS3-628(Z-109)-2009Z国药准字Z20010138山东鲁泰环中制药有限公司2009年10月15日伤痛宁胶囊CYZB0703169湘(2009)国药标字Z-247号YBZ24082005YBZ24082005-2009Z国药准字Z20050652湖南德康制药股份有限公司2009年10月15日安坤片CYZB0702701陕(2009)国药标字Z-241号YBZ29832005YBZ29832005-2009Z国药准字Z20050818赫尔药业有限公司2009年10月15日养血饮颗粒CXZB0700754吉(2009)国药标字Z-246号YBZ02872006YBZ02872006-2009Z国药准字Z20060121吉林敖东集团力源制药股份有限公司2009年10月16日复方金黄连胶囊CYZB0803512冀(2009)国药标字Z-244号YBZ11842006YBZ11842006-2009Z国药准字Z20060360河北恒利集团制药股份有限公司2009年10月15日再造生血胶囊CXZB0800272吉(2009)国药标字Z-252号YBZ02372006YBZ02372006-2009Z国药准字Z20060078辽源誉隆亚东药业有限责任公司2009年10月15日正柴胡饮胶囊CXZB0600030皖(2009)国药标字Z-236号YBZ00402004YBZ00402004-2009Z国药准字Z20040013合肥神鹿双鹤药业有限责任公司2009年10月15日消渴平胶囊CXZB0800049吉(2009)国药标字Z-250号YBZ05142006YBZ05142006-2009Z国药准字Z20060161吉林益民堂制药有限公司2009年10月15日安多霖胶囊CXZB0500105闽(2009)国药标字Z-235号WS-011(Z-005)-2001WS3-011(Z-005)-2009Z国药准字Z10970016福州阿多拉制药有限公司2009年10月15日复方皂矾片CYZB0700969闽(2009)国药标字Z-237号YBZ07402005YBZ07402005-2009Z国药准字Z20050209陕西郝其军制药股份有限公司2009年10月15日。
药品注册批准文号副本复印件及原件核对表格和材料清单1. 背景介绍药品注册批准文号副本复印件及原件核对是一个重要的环节,通过核对表格和材料清单,可以确保药品注册申请的准确性和规范性。
本文将介绍该表格和清单的使用方法和注意事项。
2. 表格和清单的使用方法2.1 表格的填写药品注册批准文号副本复印件及原件核对表格应包括以下内容:- 药品注册申请人信息:包括公司名称、地址、联系人等;- 药品信息:包括药品名称、剂型、规格等;- 批准文号副本复印件和原件核对:逐项核对药品注册批准文号副本与原件的一致性。
2.2 清单的编制药品注册批准文号副本复印件及原件核对清单是对药品注册材料的细致核对,以确保材料的齐备性和准确性。
清单应包括以下内容:- 药品注册申请人信息;- 药品信息;- 药品注册批准文号副本复印件清单:列出每份药品注册批准文号副本的编号和相关核对要点;- 药品注册原件清单:列出每份药品注册原件的编号和相关核对要点。
3. 注意事项3.1 核对准确性在核对过程中,必须保证表格和清单的准确性。
核对时,应仔细对照每个项目,确保复印件与原件的一致性,以及清单中每个材料的完备性。
3.2 清单的更新随着药品注册申请的进行,可能会有新的副本或原件需要核对。
因此,应定期更新清单,确保清单的完整性和针对性。
3.3 保存备份完成核对后,应妥善保存表格和清单的备份。
备份文件应存放在安全可靠的地方,以备日后查询和核对之需。
4. 结论药品注册批准文号副本复印件及原件核对表格和材料清单在药品注册申请过程中发挥着重要作用。
通过正确使用该表格和清单,可以确保注册申请的准确性和规范性,提高药品注册申请的通过率和效率。
以上是药品注册批准文号副本复印件及原件核对表格和材料清单的相关介绍和使用方法。
希望本文对您有所帮助。
医疗器械批准文号里文字数字含义:□ (食)药监械(□ )字□□□□ 第□□□□□□□ 号1 2 3 4 56具体含义如下:1为注册审批部门所在地的简称:境内第三类医疗器械、境外医疗器械以及台湾、香港、澳门地区的医疗器械为“国”字;境内第二类医疗器械为注册审批部门所在的省、自治区、直辖市简称;境内第一类医疗器械为注册审批部门所在的省、自治区、直辖市简称加所在设区的市级行政区域的简称(无相应设区的市级行政区域时,仅为省、自治区、直辖市的简称)。
2为注册形式,包括“准、进、许”,“准”字适用于境内医疗器械;“进”字适用于境外医疗器械;“许”字适用于台湾、香港、澳门地区的医疗器械。
3为批准注册年份。
4为产品管理类别。
5为产品品种编码,医疗器械分类编码的后两位。
6为注册流水号。
如果发现购进、销售或使用的医疗器械的注册号编排方式与上述内容不符,则该产品可疑,可与药品监督管理部门联系。
例:国食药监械(准)字2007第3400847号含义为:境内三类医疗器械,2007年批准注册,分类为6840临床检验分析仪器,注册流水号0847。
评分如何识别药品批准文号、如何读懂医疗器械注册号本文阅读如何识别药品批准文号《中华人民共和国药品管理法》规定,生产药品须经国家药品监督管理部门批准,并发给药品批准文号方可生产,未经批准生产的药品以假药论处。
因此,药品批准文号是指药品生产企业在生产药品前报请国家药品监督管理部门批准后获得的身份证明,是依法生产药品的合法标志。
怎样识别药品批准文号呢?国家药品监督管理局于2001年对药品批准文号和试生产药品批准文号的表达格式作了规定,统一格式为“国药准(试)字+1位汉语拼音字母+8位阿拉伯数字”。
其中(1)“准”字代表国家批准正式生产的药品,“试”字代表国家批准试生产的药品。
(2)国药准(试)字后的1位汉语拼音字母代表药品类别,分别是H代表化学药品,S代表生物制品,J代表进口分装药品,T代表体外化学诊断试剂,F代表药用辅料,B代表保健药品,Z代表中药。
药品批准文号格式2002年1月1日以后批准生产的新药、仿制药品和通过地方标准整顿或再评价升为国家标准的药品,采用新的药品批准文号格式1、药品批准文号格式:国药准字+1位字母+8位数字,试生产药品批准文号格式:国药试字+1位字母+8位数字。
进口药品注册证格式:由字母H(Z或S)后接八位阿拉伯数字组成,前四位为公元年号,后四位为顺序编号。
化学药品使用字母“H”,中药使用字母“Z”,通过国家药品监督管理局整顿的保健药品使用字母“B”,生物制品使用字母“S”,体外化学诊断试剂使用字母“T”,药用辅料使用字母“F”,进口分包装药品使用字母“J”。
数字第1、2位为原批准文号的来源代码,其中“10”代表原卫生部批准的药品,“19”、“20”代表2002年1月1日以前国家药品监督管理局批准的药品,其它使用各省行政区划代码(见附件一)前两位的,为原各省级卫生行政部门批准的药品。
第3、4位为换发批准文号之年公元年号的后两位数字,但来源于卫生部和国家药品监督管理局的批准文号仍使用原文号年号的后两位数字。
数字第5至8位为顺序号。
2、每种药品的每一规格发给一个批准文号。
除经国家药品监督管理局批准的药品委托生产和异地加工外,同一药品不同生产企业发给不同的药品批准文号。
3、自2002年1月1日以后批准生产的新药、仿制药品和通过地方标准整顿或再评价升为国家标准的药品,一律采用新的药品批准文号格式。
4、自2002年1月1日以后批准发给的化学药品《进口药品注册证》,其注册证号格式亦作部分改变,其中字母“X”改为“H”,其它部分不变。
原已发给的旧格式注册证号在换发《进口药品注册证》时用新格式取代。
5、药品批准文号及化学药品的进口药品注册证号换发后,印有原格式批准文号及注册证号的包装标签在2003年12月31日后禁止流通使用。
6、药品批准文号采用的中华人民共和国行政区划代码例如,“国药准字H11020001”,字母和数字含义依次是:“H”为化学药品,“11”为北京市的行政区划代码前两位,“02”为换发之年2002年的后两位数字,“0001”为新的顺序号。