陕师大2016年研究生复试名单
- 格式:pdf
- 大小:466.29 KB
- 文档页数:54
陕西师范大学考研网|陕师大考研网独家分析提供陕西师范大学2014 硕士研究生录取 单各学院各专 按初试分数 到高排学院 专 姓 总分 复试 总 备注 总人数:允5聂儿, 中统考允兀允聃医少 兀兀5, 免允际5,支教 允儿,单考5,破格兀材料科学与材料 程杨佩 允先允 陆际 陆际李昕 聂儿聂 际聃 际允谢雪珂 聂兀允 陆允 陆允仇盼龙 聂兀5 陆聃 陆聃高鹤芸 聂兀陆 陆儿 陆儿徐庆蒙 聂兀8 陆8 陆8向玉春 聂兀先 陆际 陆际常 聂兀先 陆5 陆5德珍 聂允聂 陆聃 陆聃欧 聂允陆 陆兀 陆兀金辉 聂允8 陆允 陆允董丽媛 聂允先 陆允 陆允毛正楠 聂聂兀 陆聂 陆聂聂聂允 际先 际先陈豪 聂聂5 陆聃 陆聃康 诚 聂聂陆 陆陆 陆陆材料物理与 学陈虹 儿 儿 儿 荐免试李雪菲 儿 儿 儿 荐免试牛金 儿 儿 儿 支教胡西红 允先聃 陆允 际5祁 鹏 聂儿际 际8 际聃郭小佳 聂允陆 陆先 陆先党锐娟 聂允8 陆聂 陆聂王 聂聂聂 陆兀 陆兀解方元 聂聂聃 8允 陆聃尚 聂聃聃 陆儿 陆儿孔瑞 聂聃际 陆允 陆允材料学渝城 儿 儿 儿 荐免试悦 儿 儿 儿 荐免试黄苗苗 聂儿聃 陆际 陆际陈 聂儿际 陆8 陆8李婷 聂允聂 陆聃 陆聃傅鹏 聂允5 陆兀 际8苟 聂允5 际先 际陆王瑞强 聂聂允 陆5 陆5杨佩 聂聃5 陆聂 陆兀王 聂5儿 8儿 8儿小 聂58 8儿 8儿无机 学 云霞 儿 儿 儿 荐免试 于航 聂儿际 陆聂 陆聂徐广蕊 聂兀陆 陆儿 陆儿李姣姣 聂兀8 陆允 陆允尚 强 聂聂先 陆5 陆兀淑霞 聂聃兀 陆兀 陆儿郅磊 聂聃允 8儿 陆聃王璐 聂聃聃 8聃 陆际苏凤 聂聃先 陆允 陆允王秀 聂陆允 陆陆 陆5王 聂陆陆 陆陆 陆际李 波 聂85 陆际 陆陆机 学晋峥 儿 儿 儿 荐免试 党王喆 聂儿先 陆允 际际武超 聂兀儿 陆儿 际际时 聂允聂 陆5 陆5王 聂聃聂 陆际 陆允秦 聂聃先 陆允 陆兀雪 聂5聃 8儿 8儿罗雨佳 聂5先 陆陆 陆聃卢鑫 聂陆际 陆兀 陆聂杨辉 聂8聂 陆际 陆允汉学院 汉语 教育 航 儿 儿 儿 荐免试 陈淑娟 儿 儿 儿 荐免试 娜 允8聃 际先 际允 少 曹真真 允8聃 际陆 际兀 少 王亚男 聂55 陆陆 陆聃爱 聂55 陆5 陆聂嘉敏 聂5际 陆陆 陆聃郭蔓 聂5际 陆先 陆5岳艺璇 聂5际 陆先 陆5杨 聂5陆 8兀 陆5李 聂5陆 85 陆8史婷 聂5陆 陆陆 陆聃王秦玥 聂5先 陆际 陆聃李晶 聂际允 陆兀 陆允王 聂际聂 陆际 陆聃小敏 聂际聂 陆聂 陆聂颜莞 聂际聂 陆聂 陆聂贺城芳 聂际聃 陆聃 陆聂丽恒 聂际聃 陆陆 陆5党哲林 聂际聃 陆8 陆5李娟 聂际聃 8儿 陆际 贵 聂际5 陆8 陆5 思源 聂际5 85 陆8 程婵娟 聂际5 陆兀 陆允 史柔 聂际5 陆先 陆际 阿 聂际5 陆兀 陆允 宋璐璐 聂际际 85 陆先 郑奕 聂际际 陆聃 陆聂 杨长江 聂际陆 陆8 陆5 徐海 聂际8 陆际 陆5 李茜 聂际8 陆陆 陆5 杨佩蓉 聂际先 陆先 陆际 王羽红 聂际先 先儿 8兀 李 聂陆儿 陆陆 陆5 谢亚男 聂陆儿 8儿 陆陆 唐媛媛 聂陆兀 际先 陆允 尚 聂陆兀 陆陆 陆5 杨秀 聂陆兀 陆陆 陆5 商静 聂陆允 陆陆 陆际 航 聂陆允 8聂 陆8 杨曌 聂陆允 8聂 陆8 陈亚利 聂陆聂 陆儿 陆聂 艳 聂陆聃 陆际 陆际 贾幸芸 聂陆聃 8兀 陆8 顾芳 聂陆际 8聃 陆先 李秋香 聂陆陆 8允 陆8 王景旭 聂陆陆 8际 8儿 戚凤泽 聂陆8 陆5 陆际 聂陆8 8兀 陆8 聂陆先 陆先 8兀 高健 聂8兀 8聃 8儿 肖榕 聂8聂 8聂 8儿 吴 婷 聂8聂 陆陆 陆陆 李开慧 聂8聃 8允 陆先 茹 聂8聃 8兀 陆先 李 然 聂85 8聃 8儿 燕升 聂8际 8聂 8儿 蒋梦琪 聂8陆 陆先 陆8 金英 聂8先 陆聃 陆际 胡 聂8先 8聃 8儿 王婷婷 聂先兀 陆际 陆陆 包鸿睿 聂先兀 88 8聂 迅 聂先际 陆陆 陆8王路 聂先际 陆聂 陆陆 李彤 聂先际 8兀 8儿 微 聂先8 陆陆 陆先 陈璐 聃儿儿 8儿 8儿 侯治中 聃儿聃 88 8聃 贺婷 聃儿先 8聃 8聂 聃兀聃 陆8 陆陆 娜娜 聃兀5 陆8 8兀 钮玉珠 聃兀陆 8聂 8聂语言学 用语言汪彩 儿 儿 儿 荐免试 亚利 聂5允 陆兀 陆儿谢 聂5际 8儿 陆5王曦 聂际允 陆聃 陆聂李梦颖 聂际聃 8陆 8陆史慧超 聂际聃 陆8 陆5宋璐 聂陆允 陆儿 陆聂峰 聂8允 8陆 8陆徐佩 聂先允 8聂 8儿段新颖 聂先5 陆8 陆先商学院财政学魏爽 聂5际 陆儿 陆儿王婕 聂5先 8陆 陆8经济学唯 儿 儿 儿 荐免试胡 聂聂8 8陆 8陆家 聂5聂 8允 8允南 聂5陆 8际 陆8商管理卢 兀际儿 8陆 8陆李继鹏 兀际儿 8陆 8陆徐 兀际儿 陆先 陆先晨 兀际儿 8儿 际5爱柱 兀际兀 8聃 8聃佟旭 兀际兀 8际 8际王 兀际兀 8际 8际家 兀际兀 陆陆 陆陆苗 兀际兀 陆先 陆先沈 兀际兀 陆允 陆允永胜 兀际兀 8陆 8陆董学科 兀际兀 8聃 8聃磊 兀际允 8际 8际王震霄 兀际允 8际 8际穆园园 兀际允 8允 8允魏鹏 兀际允 陆8 陆8尹志健 兀际允 8聃 8聃王颖 兀际聂 陆陆 陆陆顾婧 兀际聂 85 85 赵发印 兀际聂 8聂 际陆 李海鹏 兀际聂 8陆 际先 华勇 兀际聂 8陆 8陆 胡 婷 兀际聃 陆允 陆允 曹电 兀际聃 8允 际陆 胡银 兀际聃 8聂 际陆 明柱 兀际5 85 85 徐源 兀际5 8聃 8聃 陈俊 兀际5 陆聃 陆聃 时华南 兀际5 陆先 际际 滨 兀际5 陆陆 际5 魏建丽 兀际5 8聂 际8 禚锦栋 兀际际 8聃 8聃 陈纪燕 兀际际 8际 8际 汪迪 兀际际 8聃 8聃 裴 根 兀际际 陆8 陆8 兀际际 8兀 际陆 岳璐 兀际际 8允 际陆 王仲舒 兀际际 陆8 际际 兀际陆 陆儿 陆儿 王乐 兀际陆 85 85 王艺颖 兀际陆 陆允 际聂 康蕊 兀际陆 8聂 际8 敬钊 兀际陆 陆允 际聂 赵海 兀际8 陆8 际际 陈大尉 兀际先 85 85 全 兀际先 8陆 8陆 敏 兀际先 8先 8先 舒曼 兀际先 陆陆 际5 薛景云 兀际先 8儿 际陆 亢江波 兀际先 8兀 际8 董锟 兀陆儿 85 85 郭 川 兀陆儿 8际 8际 楠 兀陆儿 陆先 陆先 峰 兀陆儿 85 85 李 兀陆儿 陆先 际陆 才艳 兀陆儿 陆5 际5 王艳艳 兀陆儿 陆先 际陆 吉纯 兀陆儿 陆5 际5 向玉茜 兀陆儿 8际 8际 翔 兀陆兀 8允 8允 徐达 兀陆兀 陆聃 陆聃邓 元 兀陆兀 陆先 陆先 李 千 兀陆兀 8允 际8 鑫 兀陆兀 陆先 际陆 娜 兀陆兀 陆先 际陆 兀陆允 8际 8际 高 兀陆允 陆聃 陆聃 侯蕾 兀陆允 8聃 8聃 周娜 兀陆允 先儿 先儿 韩雷 兀陆允 陆先 陆先 义锋 兀陆允 陆允 际聃 梁倬 兀陆聂 85 85 林辉 兀陆聂 陆8 陆8 亚奇 兀陆聂 8允 际8 赵炎 兀陆聂 陆8 际陆 杨 兀陆聂 8兀 际8 鹏 兀陆聃 先儿 先儿 锐 兀陆聃 8允 际先 兀陆5 8聃 8聃 罗 兀陆5 陆聂 陆聂 谢骁锋 兀陆5 8兀 8兀 陈祎 兀陆5 8陆 8陆 郭昂 兀陆5 8儿 际8 晨 兀陆5 8际 陆兀 志 兀陆5 85 陆儿 高岩 兀陆际 8兀 8兀 葛 常 兀陆际 8际 8际 杨希红 兀陆际 陆先 际8 学菊 兀陆陆 8先 8先 时绍杰 兀陆陆 8聃 8聃 毅 兀陆陆 先兀 先兀 文利 兀陆陆 8陆 8陆 李 栋 兀陆陆 8聃 陆儿 任 政 兀陆陆 陆先 际8 王微 兀陆8 8际 8际 高珂 兀陆8 陆先 陆先 又仁 兀陆8 8儿 8儿 宋 威 兀陆8 8儿 8儿 晁贤 兀陆8 陆陆 际陆 杨峰 兀陆先 陆先 陆先 孟科峰 兀陆先 85 85 丽 兀陆先 8聃 8聃 石梦琪 兀陆先 陆先 际先 路芳 兀陆先 8允 陆儿马勇 兀8儿 85 85 洪杰 兀8儿 陆8 陆8 杜若滨 兀8儿 8聂 8聂 周 兀8儿 8聂 陆兀 林春钗 兀8兀 陆允 陆允 兀8兀 8儿 8儿 孟宏恩 兀8兀 陆陆 际8 胡文博 兀8兀 8聃 8聃 王刚 兀8允 8聂 陆兀 程金烈 兀8聂 8聂 8聂 明 兀8聃 85 85 李垒 兀8聃 8聃 8聃 胡三 兀8聃 8际 8际 贵丽 兀8聃 8儿 陆儿 李清珅 兀8聃 陆8 际先 王楠 兀8聃 陆先 际先 贾芳菲 兀8聃 8聂 陆兀 韩云 兀8聃 85 85 李俊超 兀85 88 88 宋 兀85 8儿 陆儿 路新鹏 兀8陆 8际 8际 金健 兀8陆 8聂 8聂 罗宁 兀8陆 8聃 陆允 琪 兀88 8际 8际 林兆 兀88 陆允 陆允 霍峰 兀88 陆聃 陆聃 兀88 8兀 陆兀 孟谦 兀8先 8允 陆兀 贾卓 兀先儿 88 88 贾 兀先儿 陆际 际先 王俊锋 兀先兀 陆8 陆8 陈硕 兀先允 陆先 陆兀 李燕超 兀先聂 8兀 8兀 陈德贵 兀先聂 8儿 陆兀 胡潇潇 兀先聂 8陆 8陆 王广建 兀先聂 陆陆 陆儿 李静 兀先聃 陆允 际8 珍晶 兀先5 陆先 陆兀 永 兀先际 8聂 陆聂 周明 兀先陆 8聃 8聃 蔡燕如 兀先陆 8兀 8兀 兆瑞 兀先陆 85 陆聃 李波 兀先8 8际 8际姚陈 兀先先 8允 8允 李 兀先先 85 陆5 马腾 兀先先 陆8 陆允 雷栋栋 允儿允 85 85 季文驹 允儿聂 8聃 8聃 吕敏 允儿聂 8陆 8陆 瑞 允儿聂 先聂 先聂 党冉 允儿聃 8陆 陆陆 海娟 允儿5 8允 8允 林静秋 允儿5 85 陆际 海燕 允儿8 8聂 8聂 胜波 允儿8 8陆 陆陆 许振 允兀5 8陆 8陆 王博 允兀8 8陆 陆先 婷婷 允允5 85 8儿贸易学 李祉豪 聂聃8 8陆 8陆 李杨 聂陆际 陆先 陆陆民经济学鹏 儿 儿 儿 荐免试 陈超 儿 儿 儿 荐免试 朱 霞 儿 儿 儿 荐免试 陈杰 儿 儿 儿 支教 王文 聂聂儿 陆先 陆先汪洋 聂聂先 陆先 陆先卫柯臻 聂聃兀 陆陆 陆陆心 聂聃聃 陆际 陆际赵璨 聂5儿 8聃 陆际王静文 聂5兀 陆际 陆际聂5允 8兀 8兀元元 聂际先 8聂 陆8会计学 朱超男 聂聂先 陆聂 陆儿 宋 宸 聂聃允 8儿 8儿 高诗音 聂聃聂 陆5 陆5 崔咪 聂际儿 陆聂 陆允 王瑞雯 聂际聃 陆际 陆聃技术经济 管理 徐 庆 儿 儿 儿 荐免试 沈志云 聂聃儿 陆聂 陆儿金融学 洋 聂际儿 陆陆 陆聃 任 聂际聂 8儿 陆际 聂际陆 8聂 陆8 丽薇 聂陆兀 8聃 陆先 王盼盼 聂陆聃 8陆 8儿经济思想史 李大 聂际聃 8兀 8兀 劳动经济学 高芳凝 聂聃允 8聃 陆际企 管理李菲 儿 儿 儿 荐免试 茹霞 聂聂先 陆5 陆兀师雯静 聂聃兀 陆先 陆先蕾 聂聃聃 陆兀 陆儿珍 聂聃聃 陆5 陆允聂聃陆 陆8 陆聂云杰 聂聃先 陆聃 陆允鲁瑶 聂5允 陆际 陆际王磊 聂55 陆先 陆先王榆尧 聂际儿 陆兀 陆允胡炳坤 聂际允 8聃 陆8王璐 聂际际 8儿 陆际域经济学马 儿 儿 儿 荐免试 曹琼 儿 儿 儿 荐免试 赵 凡 聂聃际 85 陆际雷斐 聂聃先 际先 际先郭艺 聂5先 8兀 8兀人 资源与 境玥 儿 儿 儿 荐免试 邓俊利 儿 儿 儿 荐免试 路利 儿 儿 儿 荐免试 亚明 聂聂兀 陆陆 陆陆黎飒 聂聂允 8陆 8陆伍晨 聂聃聂 8际 8际社会 障热依曼库允85 陆5 际5 少 婷 聂陆兀 8聃 陆先马英楷 聂陆聂 8允 陆8 少 赵瑾 聂先允 8兀 8儿许易 聂先5 8际 8允庆超 聃允聃 85 85社会 学与卫生 于正洋 聂聃际 8聃 8聃 于洁 聂5聂 8聃 8聃 杨媛 聂5际 8聃 8聃 杨洋 聂陆儿 陆8 陆8数 经济学 美 聂聂兀 8聃 陆聃 徐煜婷 聂际8 8聃 陆8统计学 卢全 儿 儿 儿 荐免试 邢丽敏 聂5先 8聂 陆陆土地资源管理 任静慧 聂聃允 85 85 郭碧薇 聂8先 8兀 陆先西方经济学 韦章涵 儿 儿 儿 荐免试 郭小 聂际兀 陆先 陆先李云婷 聂先聃 88 8聂政治经济学 郭芮 儿 儿 儿 荐免试学 学院材料物理与 学陈云 聂兀兀 陆聂 际陆董小云 聂兀允 际际 际聃材料学儿 儿 儿 荐免试赖 然 允先陆 陆陆 陆陆富华 允先8 陆允 陆允杨 聂儿际 陆聂 陆聂乐春林 聂聂陆 陆允 陆允峰 聂5兀 陆际 陆际分析 学骈红茹 儿 儿 儿 荐免试连晋予 儿 儿 儿 荐免试晶晶 允先兀 8兀 8兀姚秀南 聂儿聂 8儿 8儿李敏 聂兀兀 88 88赵春 聂兀际 际聃 际聃秦海艳 聂允聃 陆陆 陆儿杨璐 聂允聃 陆兀 际陆 少李 聂聂儿 陆聃 陆儿陈华艳 聂聂允 际5 际际樊 聂聂5 陆先 陆允李嫚 聂聂陆 陆聂 陆儿文 聂聂陆 陆先 陆聂王艳 聂聂先 陆8 陆聂杨小林 聂聃儿 陆8 陆聂任仪 聂聃兀 8兀 陆聃段瑞 聂聃兀 8际 陆际曲曲 聂聃5 陆聂 陆兀王要才 聂聃5 8聃 陆际谷 荣 聂聃际 陆8 陆聂褚 茹 聂聃8 陆际 陆允魏静茹 聂聃8 8兀 陆5崔 玩 聂5聂 陆5 陆聂孟蓉 聂5际 8兀 陆5智娟 聂5际 陆际 陆聂尚 聂际儿 陆5 陆聂马雪娟 聂际允 陆际 陆聃韩 娟 聂际聂 陆8 陆5郭丽敏 聂际际 8际 陆先艾俊杰 聂际陆 陆陆 陆5王彦君 聂陆聂 陆际 陆5霞 聂陆聂 陆先 陆陆蒋超 聂8先 8聂 8儿高分子 学与物理 宣 允先允 际8 际8赵敏 允先8 陆聂 陆聂 郭 周 聂儿5 陆聂 陆聂 亚婷 聂允聃 陆聃 陆聃 魏雪鹏 聂允陆 陆聃 际先 王园 聂允先 际先 际先 明 聂聂儿 陆聃 陆聃 骆楚 聂聂先 陆聂 陆聂 艳宁 聂聂先 际际 际陆 恒 聂聃兀 际8 际8催 郭立鹏 聂儿兀 际先 际先 林佩瑶 聂兀8 陆儿 际际学 程郭策 允先兀 陆儿 陆儿 戴锟 允先允 陆兀 陆兀 赵凯 允先5 际8 际8 胜 允先5 陆儿 陆儿 史秦之 聂兀儿 陆5 陆5 宋珂琛 聂允际 陆际 陆际 杨彤 聂聂兀 陆际 陆际 常海 聂聂8 际先 际先 敏 聂5兀 陆5 陆5学 艺 王利 允先陆 陆聂 际际 李婷 聂儿兀 际先 际聃 邢天 聂兀先 陆5 陆5学生物学 梓颀 聂儿聂 陆际 陆际 王科 聂儿先 际先 际先 洲 聂兀儿 陆允 际陆 孔丽秀 聂兀聂 陆聃 际8 聂兀8 际先 际先 丽颖 聂允聂 陆聃 陆聃 祁艳 聂允5 陆8 陆8 婷婷 聂聂聃 陆8 陆允 臻昊 聂5先 8聂 陆陆 李燕茹 聂陆儿 8兀 陆陆科学与技术教育雷洁 聂允8 际陆 际陆 程思源 聂聃兀 际陆 际8课程与教学论苏 儿 儿 儿 荐免试 王骄 儿 儿 儿 荐免试 崔俊莉 儿 儿 儿 荐免试 沈雪 聂兀5 陆儿 际际周礼 聂际允 陆5 陆5无机 学 会 儿 儿 儿 荐免试 高静 儿 儿 儿 荐免试 王钦 儿 儿 儿 荐免试贤 儿 儿 儿 荐免试 涂鑫 儿 儿 儿 支教 苏小山 允先聂 际聃 际兀 少 红霞 聂允兀 际先 际际万山红 聂允先 陆儿 际8戴文卿 聂聂兀 陆5 陆儿武 清 聂聂允 陆际 陆儿李朋 聂聂允 陆先 陆先颖 聂聂聂 8儿 陆允徐 聂聂聃 8际 陆5高仲 聂聂际 陆聃 陆儿少康 聂聂8 际先 际8李鹤 聂聂8 陆5 陆兀邵 莎 聂聃兀 际先 际先王贤 聂聃允 陆际 陆允辛芝娟 聂聃8 陆5 陆允赵睿南 聂聃8 8允 陆5瑞雪 聂5聂 际8 陆儿皇 庭 聂5聂 陆儿 陆兀夏发 聂5际 际先 陆儿郭 聂5陆 陆聃 陆聂齐静 聂58 陆兀 陆兀秦旭莉 聂58 8际 陆8李文丽 聂际兀 陆5 陆聂陈芳芳 聂际兀 陆5 陆聂耿永洁 聂际聃 8兀 陆际蕾 聂陆兀 8聂 陆8罗艳龙 聂陆兀 8聂 陆8王凤娇 聂8儿 陆5 陆际蒲 允8先 8先 8先朱壮丽 聂儿5 陆8 陆8高云雪 聂聃儿 陆先 陆先王坤 聂聃陆 陆允 陆儿李富民 聂5陆 8先 8先物理 学 林 雯 允先兀 陆际 陆际 哈媛 允先5 85 85 艳丽 聂儿5 陆聂 际际 小 聂兀兀 陆聂 陆聂 薛佳男 聂际5 陆陆 陆5 王 聂际际 陆8 陆5 吴鹏 聂际8 陆先 陆际 杨 聂陆聂 陆际 陆5 高梦凡 聂陆陆 陆先 陆陆花盼盼 聂8兀 陆陆 陆际红霞 聂8聃 8聂 8儿晴晴 聃允际 8允 8聃健焜 儿 儿 儿 荐免试 范佳云 儿 儿 儿 荐免试 尚 娣 儿 儿 儿 荐免试 马 聂儿聂 陆兀 际5 少 赵 波 聂聂聂 陆兀 际8苏 聂聃兀 陆聃 陆兀李沙沙 聂聃聂 陆8 陆聂淑花 聂聃聃 8允 陆5毛虹 聂5儿 陆陆 陆聂卜雨 聂5兀 8儿 陆5蕾 聂5聂 陆5 陆聂园园 聂际儿 陆际 陆聃高升 聂际兀 陆先 陆5金 聂际聂 陆陆 陆5韩杰 聂际聃 陆际 陆聃园 聂际5 陆陆 陆5王秦 聂8兀 陆聂 陆5马冬霞 聂先聂 陆陆 陆8学科教学 学陈甜 聂兀5 陆陆 际先 吴建 聂允聂 陆陆 陆儿 雷敏 聂允际 陆聃 际先 霞 聂允陆 陆陆 陆儿 周敏娜 聂允8 8兀 陆允 王茹 聂聂聃 8聂 陆聃 罗辉辉 聂聂聃 陆际 陆兀 雪 聂聂际 陆8 陆允 鲁春梅 聂聃儿 陆8 陆聂 颜燕 聂聃允 8聂 陆5 聂聃聃 陆聃 陆兀 聂聃5 陆5 陆允 徐 聂5儿 陆际 陆聂 毛永舜 聂5允 陆陆 陆聂 蒙文英 聂5聂 陆儿 陆儿 玲 聂5聂 8聃 陆际 黄 聂际儿 际先 陆兀 秦雪 聂际5 际先 陆兀 杨艳丽 聂陆允 际际 陆兀 鑫 聂陆聂 陆聃 陆聃 舒妍 聂8聃 陆际 陆际 马育谷 聂先允 陆陆 陆8药物分析学 梁思思 聂儿陆 际8 际8 瑞玲 聂允陆 陆聃 际先 金梦 聂聃聃 陆儿 陆儿用 学 石宏 聂儿兀 陆聃 陆聃 杨 聂儿聃 陆陆 陆陆 殷彦瑞 聂兀陆 陆允 陆允 娜 聂允兀 陆聂 际8 王雪 聂聂允 陆儿 际8 杜冠群 聂聃允 陆5 陆允 王 聂际陆 陆际 陆际机 学 赵 芳 儿 儿 儿 荐免试 李颜庆 允8先 陆陆 陆陆余树生 允先兀 陆聃 际5 少 自如 允先聃 陆先 陆先吉震 允先陆 陆兀 陆兀杜作灵 聂兀兀 陆聃 际陆 少 陈蕾 聂兀5 陆允 际陆 少 禹婷 聂兀陆 陆允 际陆 少 王丽 聂聂兀 际际 际际杨恒拓 聂聂允 陆5 陆儿邓楚翘 聂聂际 际陆 际陆鲁瑶 聂聂先 陆聃 陆聃曼 聂聂先 陆5 陆兀卫 玲 聂聃儿 陆先 陆聂王俊亚 聂聃聂 8兀 陆聃唐莉 聂聃聂 陆聃 陆兀陈龙 聂聃5 8儿 陆聃康辉 聂5聂 陆5 陆聂惠文 聂5陆 陆际 陆聃赵 聂58 8兀 陆际王文璐 聂际儿 8际 陆8李君君 聂际兀 陆先 陆5陈 聂际允 陆8 陆5王蓉 聂际聃 陆聂 陆聂侯 聂际际 8兀 陆陆颖 聂际8 陆聂 陆聂王静 聂陆聃 8聂 陆先李利婷 聂陆陆 陆8 陆陆陈丽 聂陆8 8陆 8兀轩 聂8允 8兀 陆先高 聂8聂 8儿 陆8周朋娟 聂8先 陆陆 陆陆李晨晨 聂8先 8允 8儿崔燚 聂先际 8聂 8兀 莎 聂先陆 陆5 陆陆计算机科学学计算机技术李 潘 儿 儿 儿 荐免试郭蓉 允88 陆5 际5吉冬玉 允先兀 8兀 8兀郑 允先5 8聂 8聂陈祖雪 允先际 8陆 8陆王勇 允先陆 8儿 8儿赖新明 允先先 8际 8际史素真 聂儿聂 8儿 8儿璐 聂儿5 85 陆允党 聂儿先 先儿 先儿李媛 聂兀先 陆8 陆儿凯文 聂际儿 8聂 8聂贾泽玉 聂际兀 8聃 陆陆计算机软件与理论周颖 儿 儿 儿 荐免试杨云辉 允先5 陆8 际陆力 允先5 8兀 际先甜 聂儿兀 陆先 际先赵梦 聂儿聂 8聃 陆兀朱 聂儿5 8兀 陆儿吴瑞龙 聂兀聃 先儿 先儿韦文瑾 聂允聂 8儿 陆允武朵朵 聂聂兀 85 陆聃聂聂8 8聂 陆5王明钊 聂聃聃 陆聃 陆兀陈 心 聂55 88 陆先马衡 聂际兀 8聃 陆8何思雨 聂际8 陆先 陆际王静 聂陆儿 8先 8兀党佳奇 聂陆兀 85 陆先祥建 聂陆5 8陆 8儿从 聂8兀 陆陆 陆陆谢贤文 聂8允 先儿 8聂李玲 聂8先 先儿 8聂李 聂8先 先兀 8聃计算机系统 构娟 儿 儿 儿 荐免试周记 允85 8际 陆儿师佩 聂儿允 88 陆聂森 聂兀儿 先际 先际马 敏 聂兀际 8允 陆允陈慧君 聂允际 8先 8先计算机 用技术 赖 霞 儿 儿 儿 荐免试桥 允先允 陆允 际聃 杨 莉 允先陆 8儿 际先 雪华 允先8 8先 8先 李瑶 允先先 8聃 陆兀 杨健 聂儿允 陆陆 陆陆 赵静 聂儿允 陆先 陆先 王健 聂儿5 8先 8先 高银 聂儿陆 8聃 8聃 李盼盼 聂儿8 陆先 际先 照胜 聂兀聂 8际 8际 雪娜 聂兀聃 陆8 际先 赵 聂兀聃 85 85 聂兀5 陆先 陆先 玉连 聂兀5 8兀 8兀 史武超 聂兀陆 8兀 8兀 新新 聂允兀 8陆 8陆 静娜 聂聂兀 88 88 芳芳 聂5聂 8际 陆8 李 聂5际 8陆 8陆软件 程 王小佳 允8陆 陆陆 际际 高 允先儿 8儿 际8 王 信 允先允 陆聃 陆聃 崔亚超 允先允 陆陆 际陆 高凤 允先5 8先 8先 加倍 允先际 际先 际先 蔡中华 允先陆 陆际 陆际 谭梁 聂儿儿 88 88 唐子龙 聂儿兀 8允 8允 汪之涛 聂儿允 陆聃 陆聃 王雪 聂儿陆 陆陆 际8 丽 聂兀际 陆聂 际8 勋 聂兀先 8际 8际教育技术郅 聂允际 8允 8允 宋文思 聂允8 8聂 8聂 王娟 聂聂允 8兀 8兀 亓瑶 聂聂聂 陆陆 陆陆 贺亚楠 聂聂聂 陆8 陆8 达芳 聂聂陆 8儿 陆聂 雷武超 聂聃允 陆8 陆8 聂聃际 陆际 陆允 旭静 聂5陆 陆先 陆5 崔 猛 聂陆聃 陆先 陆陆教育 验经济 较教育学 赵 聂聂允 先兀 先兀赵锦 聂聂聃 先儿 先儿 杨莎 聂聃聂 先儿 先儿发展与教育心理学 燕妮 聂兀8 先儿 先儿 郑丽 聂兀8 8聂 8聂 念蕊 聂允聃 8聂 8聂 席至琪 聂允先 88 88 聂聂5 先儿 先儿 王 红 聂聂际 85 85劳动经济学 仁婧 聂聂5 陆8 陆8 贾芳 聂聂5 8陆 8陆 茹彤 聂聂5 陆5 陆5 李 聂聂5 8聂 8聂 高 茹 聂聂8 陆际 陆际 周思文 聂聂先 陆先 陆先 学样 聂聃儿 8际 8际 李珊珊 聂聃兀 8兀 8兀 闵文 聂聃聂 陆陆 陆陆 文 海 聂聃5 8际 8际 秦菲 聂聃先 先儿 先儿 韩玉贤 聂5儿 陆8 陆8 赵 聂5聃 8儿 8儿 朱 淇 聂5先 8儿 8儿 李婷 聂际允 8儿 8儿教育学院 较教育学马园园 允陆儿 陆8 际5 少李盼宁 聂聃儿 88 陆陆陈少 聂5兀 8聃 陆际韩楚云 聂5聂 陆兀 陆兀聂陆聃 8聂 陆8高等教育学顾 儿 儿 儿 荐免试郑 允58 陆儿 际儿 少文 允陆儿 陆际 际聃 少静 聂兀儿 陆5 际8 少李柯茜 聂允兀 8聂 陆允江芳妍 聂允兀 陆聂 际8向彩 聂允聃 陆5 际先乔筱茜 聂允8 8儿 陆允王卓 聂聂兀 8先 陆际文纹 聂聂5 陆陆 陆兀美凤 聂聂际 陆允 际先聂5允 8聂 陆际教育管理凡凡 聂兀际 8允 8允曾瑞 聂兀8 8兀 8兀宁雪 聂允兀 8兀 8兀李凡 聂允聂 8聂 8聂 魏银银 聂际陆 8允 陆陆教育技术学汤 儿 儿 儿 荐免试 江 君 儿 儿 儿 荐免试 雪梅 聂兀陆 陆聂 际先 少 莉娟 聂兀先 8陆 8陆杨丽 聂聂聂 8允 8允胡立如 聂聃聃 8际 8际静静 聂5兀 8聂 8聂吕春祥 聂5聂 际陆 际先韩燕娟 聂5际 陆聃 陆聂乐 聂5际 际5 际8凯鑫 聂5际 陆儿 陆儿袁芬 聂5陆 陆际 陆聂高 聂际儿 陆先 陆5胡若楠 聂际儿 陆聃 陆聂朱格格 聂际兀 陆允 陆允杨玉玉 聂际兀 际聃 际先秦 聂际8 陆际 陆5李鹏 聂际8 陆际 陆5程瑞蒙 聂际先 陆际 陆5芮 聂陆儿 陆聂 陆聂艳 聂陆兀 陆聂 陆聃小娟 聂陆聂 8聂 陆8李芳 聂陆聃 陆聃 陆聃解 婵 聂8儿 陆允 陆聃王米雪 聂85 陆8 陆8教育经济与管理武洁 儿 儿 儿 荐免试 王洁茹 允聃先 陆聂 际际 少 娟 聂5先 陆先 陆5樊 缨 聂际兀 陆5 陆聃亚丽 聂际8 陆际 陆5鲁 聂8聂 陆先 陆8赵俊 聂85 陆5 陆际王 聂88 陆先 陆8汪佩 聂先聂 8儿 陆先陈银银 聃儿儿 8聂 8兀教育史 湘 允际陆 8兀 际5 少 杨 聂聂聃 先兀 陆8孟祥庚 聂聂8 先兀 陆8毛芳芳 聂聂8 陆先 陆聂茜 聂聃儿 8陆 陆陆教育学原理 燕 儿 儿 儿 荐免试李真 儿 儿 儿 荐免试 盘寒梅 允际兀 陆儿 际儿 少 黄春建 允陆聂 际际 际儿 少 李明 允陆陆 陆5 际聃 少 李 允8兀 陆陆 际5 少 苏日 允先允 陆兀 际聃 少 李彩洁 聂聂兀 际陆 际陆宏霞 聂聂际 85 85怡 聂聂际 陆陆 陆陆李玲玲 聂聂先 陆聃 陆兀董贵芬 聂聂先 陆8 陆聂李君丽 聂聃聂 8兀 8兀武 聂聃聃 陆5 陆允许乐乐 聂聃聃 陆陆 陆允卢云霞 聂聃5 8兀 陆聃洪松松 聂聃陆 8陆 陆陆邢天璐 聂聃8 陆际 陆允玉 聂5儿 88 陆8艳 聂5兀 陆际 陆聂陈晨 聂5允 陆8 陆聃聂5允 8际 陆陆王菲菲 聂际允 陆际 陆聃课程与教学论 李瑞娇 儿 儿 儿 荐免试 何静知 儿 儿 儿 荐免试 余海燕 儿 儿 儿 荐免试 时晨露 儿 儿 儿 荐免试 鹏 儿 儿 儿 荐免试 胡玥 允88 58 际聃 少 赵君 允先5 5先 际际 少 马丽娜 聂儿允 际儿 际8 少 李 聂聂际 85 陆5高娜 聂聂陆 陆8 陆允聂聃儿 陆5 陆兀路忍忍 聂聃聃 陆8 陆聂赵思 聂聃际 陆陆 陆聂陈娜 聂聃8 陆8 陆聃聂聃先 陆5 陆允何艳洁 聂聃先 陆际 陆聂瑞敏 聂5际 陆际 陆聂赵雯婕 聂5陆 8儿 陆5史蒂芬 聂58 陆允 陆允崔 会 聂际际 8兀 陆陆特殊教育学 王凤丽 允际5 际先 际儿 少赖 丽 聂允允 85 85 党凯 聂允8 陆先 陆兀 李雷雷 聂聂兀 陆允 际先 王 聂聂陆 陆陆 陆允 汪 聂聃聃 陆聃 陆兀 赵 琪 聂聃陆 陆兀 陆儿 乔 聂5聃 8允 陆际 王 霞 聂55 陆聃 陆允教育技术 袁冬 聂兀5 陆先 陆儿 赵非凡 聂兀先 85 陆聂 姬向 聂允5 陆8 陆兀 朱大松 聂允际 陆陆 陆兀 赵越菲 聂允8 8儿 陆允 杜少丽 聂聂儿 8聂 陆聃 瑞芳 聂聂兀 8聃 陆聃 罗 聂聂聂 陆陆 陆兀 高立立 聂聃际 85 陆际 盈盈 聂5际 8先 陆先 潇雨 聂际儿 8允 陆陆 何 聂际聂 陆聃 陆聂小学教育 珂娜 聂允聂 陆先 陆兀 卢妍 聂聂儿 陆允 际先 黄婷婷 聂聂儿 陆兀 际8 赵 森 聂聂聃 陆陆 陆兀 李昀 聂聂8 8兀 陆聃 陈秋 聂聃儿 陆8 陆聂 高鸿鹄 聂5允 8儿 陆5 陈园 聂际允 陆际 陆聃 静雯 聂际际 陆先 陆际 秦 聂陆聂 陆允 陆聃 学慧 聂陆陆 陆聃 陆5 喻敏 聂陆先 际8 陆允学前教育 文乐 儿 儿 儿 荐免试 吴 聂允聃 陆际 陆儿沟 聂允8 陆聂 际先屈晶晶 聂允先 8允 陆聂思敏 聂聂聂 8聂 陆聃王 春 聂聂际 陆陆 陆兀王婧 聂聃5 85 陆际杨乐 聂5允 陆儿 陆儿杨 志 聂5允 85 陆陆牛婉羽 聂5际 陆先 陆5肖夏 聂际聃 8聂 陆陆杨 允5允 陆聃 际兀 少 陈晨 允58 陆兀 际允 少 罕 清 允际陆 陆8 际聃 少 邓雯雯 允际先 陆陆 际聃 少 冀 聂聂陆 8兀 陆聃高曼 聂聂8 陆8 陆允园园 聂聃兀 8兀 陆聃谢哲 聂聃8 8聃 陆际赵炎朋 聂聃8 8允 陆5岳 娜 聂55 陆陆 陆聃红丽 聂5先 陆聂 陆允刁迎雪 聂际8 陆8 陆际陈 聂8聃 8儿 陆8职 技术教育学 虎文华 允5先 际8 5先 少 楠 聂允允 陆5 际先王 雪 聂允聃 8兀 陆允霞 聂允聃 8聃 陆聃历史文 学院考 学李季真 聂允陆 陆聂 际先郭龙 聂聃兀 8聂 8聂相鹏 聂际允 8允 陆际陈续涛 聂际陆 陆陆 陆陆课程与教学论童盟 儿 儿 儿 荐免试儿 儿 儿 荐免试卢 杉 儿 儿 儿 荐免试 世界史赵 炜 儿 儿 儿 荐免试韦晶 儿 儿 儿 荐免试马瑞琼 儿 儿 儿 荐免试吴会杰 聂际兀 陆陆 陆聃韩向科 聂际允 陆陆 陆聃璐璐 聂际聃 85 陆8卫雪妍 聂际陆 8陆 8儿聂际陆 8聃 陆8李志 聂际8 8允 陆陆万可蒙 聂际8 8允 陆陆树豪 聂陆儿 8兀 陆陆马 聂陆允 陆兀 陆聂武文超 聂陆聂 85 陆先李 改 聂陆聃 8陆 8儿佳 聂陆5 8聂 陆8李强 聂陆8 陆先 陆陆全瑾 聂先允 陆际 陆陆魏 聃儿先 8允 8允艳红 聃允兀 8允 8聂。
带“*”号的导师仅限招收少数民族高层次骨干人才计划博士研究生。
人口、资源与环境带“*”号的导师仅限招收少数民族高层次骨干人才计划博士研究生。
01理论(含原著)带“*”号的导师仅限招收少数民族高层次骨干人才计划博士研究生。
带“*”号的导师仅限招收少数民族高层次骨干人才计划博士研究生。
带“*”号的导师仅限招收少数民族高层次骨干人才计划博士研究生。
发展与教育心理学心理学带“*”号的导师仅限招收少数民族高层次骨干人才计划博士研究生。
带“*”号的导师仅限招收少数民族高层次骨干人才计划博士研究生。
带“*”号的导师仅限招收少数民族高层次骨干人才计划博士研究生。
中国语言文带“*”号的导师仅限招收少数民族高层次骨干人才计划博士研究生。
陕西师范大学2016年博士研究生招生专业目录基础知识或3450唐宋文献基础或3451古籍整理与碑刻文献基跨语言文化研究8外国语学院陕西师范大学2016年博士研究生招生专业目录带“*”号的导师仅限招收少数民族高层次骨干人才计划博士研究生。
带“*”号的导师仅限招收少数民族高层次骨干人才计划博士研究生。
带“*”号的导师仅限招收少数民族高层次骨干人才计划博士研究生。
带“*”号的导师仅限招收少数民族高层次骨干人才计划博士研究生。
带“*”号的导师仅限招收少数民族高层次骨干人才计划博士研究生。
带“*”号的导师仅限招收少数民族高层次骨干人才计划博士研究生。
陕西师范大学2016年博士研究生招生专业目录化学16化学化工学院(带◇的导师同时依托陕西表界面技术协同创新中心招收研究生,带△的导师同时依托化学生物学交叉学科平台招收研究生)带“*”号的导师仅限招收少数民族高层次骨干人才计划博士研究生。
带“*”号的导师仅限招收少数民族高层次骨干人才计划博士研究生。
带“*”号的导师仅限招收少数民族高层次骨干人才计划博士研究生。
陕西师范大学2016年博士研究生招生专业目录生物学带“*”号的导师仅限招收少数民族高层次骨干人才计划博士研究生。
政治经济学院马克思主义哲学袁祖社107187100010012王鑫240668193非定向汉族普通政治经济学院马克思主义哲学袁祖社107187100010002冯晔235677989非定向汉族普通政治经济学院马克思主义哲学袁祖社107187100010004夏玉汉233667691非定向汉族普通政治经济学院马克思主义哲学袁祖社107187100011304许逸颖230757382非定向汉族普通政治经济学院马克思主义哲学袁祖社107187100010011田燕斋226587890非定向汉族普通政治经济学院中国哲学丁为祥107187100010033孙德仁221568184非定向汉族普通政治经济学院中国哲学丁为祥107187100010028商春丽217647083非定向汉族普通政治经济学院中国哲学丁为祥107187100010032程永凯217637282非定向汉族普通政治经济学院中国哲学丁为祥107187100010024路鹏飞216686583非定向汉族普通政治经济学院中国哲学丁为祥107187100010029李宏达196517669非定向汉族普通政治经济学院马克思主义基本原理王俊拴107187100010046文列224708173定向汉族普通政治经济学院马克思主义基本原理王俊拴107187100010045刘桐源196487375非定向汉族普通政治经济学院马克思主义基本原理王俊拴107187100010047杨阳183487560定向汉族普通政治经济学院马克思主义发展史任晓伟107187100010060王娟216697374非定向汉族普通政治经济学院马克思主义发展史任晓伟107187100010070何红娟207517680非定向汉族普通政治经济学院马克思主义发展史任晓伟107187100010061崔苗206577475非定向汉族普通政治经济学院马克思主义发展史任晓伟107187100010059王诗涵204707262非定向汉族普通政治经济学院马克思主义发展史任晓伟107187100010072郭霆204476790非定向汉族普通政治经济学院马克思主义中国化研究陈答才107187100010075吕越颖221697280非定向汉族普通政治经济学院马克思主义中国化研究陈答才107187100010077朱文靓214636982非定向汉族普通政治经济学院马克思主义中国化研究陈答才107187100010083张丽208567082非定向汉族普通政治经济学院马克思主义中国化研究陈答才107187100010088许川川207607572非定向汉族普通政治经济学院马克思主义中国化研究陈答才107187100010074朱晓芸205597769非定向其他普通国际商学院政治经济学孔祥利107187100020185夏金梅215647873定向汉族普通国际商学院经济思想史张治河107187100020190薄玮229628780定向汉族普通国际商学院经济史睢党臣107187100020193黄昕219558876非定向汉族普通国际商学院西方经济学雷宏振107187100020202申利195566871定向汉族普通国际商学院世界经济许军107187100020205窦兮言219687774非定向汉族普通国际商学院世界经济许军107187100020209殷培伟207696969定向汉族普通国际商学院国民经济学雷宏振107187100020213杨靓雅225757674非定向汉族普通国际商学院国民经济学雷宏振107187100020219高爱雄215846665定向汉族普通国际商学院国民经济学雷宏振107187100020214袁元208717463非定向汉族普通国际商学院国民经济学雷宏振107187100020212毛瑞琼205666673非定向汉族普通教育学院课程与教学论陈晓端107187100030312高嵩219597585非定向汉族普通教育学院课程与教学论陈晓端107187100030325雷蕾219666885非定向汉族普通教育学院课程与教学论陈晓端107187100030316南腊梅215567485定向汉族普通教育学院课程与教学论陈晓端107187100030330赵俏梅196666565非定向汉族普通教育学院教育史李延平107187100030247李奕婷236737588非定向汉族普通教育学院高等教育学陈鹏107187100031197余智慧257719393非定向汉族普通教育学院高等教育学陈鹏107187100031190郑玉洁240708486非定向汉族普通教育学院高等教育学陈鹏107187100031200龙思214587581非定向汉族普通教育学院高等教育学陈鹏107187100031189倪嘉敏204517974定向汉族普通教育学院高等教育学陈鹏107187100031192王鹏197517769非定向汉族普通教育学院高等教育学陈鹏107187100031198张双喜197466289非定向汉族普通教育学院教育管理学司晓宏107187100030264樊莲花226578683非定向汉族普通教育学院教育管理学司晓宏107187100030259王桐225567990非定向汉族普通教育学院教育管理学司晓宏107187100030263苟晓玲221618872非定向汉族普通教育学院教育管理学司晓宏107187100030257吴旭刚214628666非定向汉族普通教育学院教育管理学司晓宏107187100030262陈建琦210807060定向汉族普通教育学院教育技术学傅钢善107187100030435王改花238509197定向汉族普通教育学院教育技术学傅钢善107187100030446孙洋227518591定向汉族普通教育学院教育技术学傅钢善107187100030450陈文华226617689定向汉族普通教育学院教育技术学傅钢善107187100030438马伟杰225608481定向汉族普通教育学院教育技术学傅钢善107187100030444杨小锋223517993定向汉族普通新闻与传播学院媒介与社会变迁鲍海波107187100040402王翔239579191定向汉族普通新闻与传播学院媒介与社会变迁鲍海波107187100040408王翎233718775定向汉族普通新闻与传播学院媒介与社会变迁鲍海波107187100040417何伟227698375非定向汉族普通新闻与传播学院媒介与社会变迁鲍海波107187100040422元冬维223597985非定向汉族普通新闻与传播学院媒介与社会变迁鲍海波107187100040410马滢220697180非定向汉族普通新闻与传播学院文艺与文化传播学李震107187100040392侯婧243688887非定向汉族普通新闻与传播学院文艺与文化传播学李震107187100040398刘曌琼239678587非定向汉族普通新闻与传播学院文艺与文化传播学李震107187100040399闫敏226538786非定向汉族普通新闻与传播学院文艺与文化传播学李震107187100040391杨莹221797963非定向汉族普通新闻与传播学院文艺与文化传播学李震107187100040395范珊珊202588064非定向汉族普通体育学院课程与教学论史兵107187100060350丁建岚222677580非定向汉族普通体育学院课程与教学论史兵107187100060336贾慧芬193527071非定向汉族普通文学院文艺学李西建107187100070487杨也218626690非定向汉族普通文学院文艺学李西建107187100070493樊高峰206577970非定向汉族普通文学院文艺学李西建107187100070488吴芳198636075非定向汉族普通文学院文艺学李西建107187100070494耶丹197587366定向汉族普通文学院文艺学李西建107187100070491刘文元188467270非定向汉族普通文学院文艺学尤西林107187100070507王普明254817895非定向汉族普通文学院文艺学尤西林107187100070510刘维邦245728390非定向汉族普通文学院文艺学尤西林107187100070499钟祖流240687894非定向汉族普通文学院文艺学尤西林107187100070498白英236657794定向汉族普通文学院文艺学尤西林107187100070496马子新230638285定向汉族普通文学院语言学及应用语言学杜敏107187100070517李兴忠238797782定向汉族普通文学院语言学及应用语言学杜敏107187100070518刘志刚236549191非定向汉族普通文学院语言学及应用语言学杜敏107187100070514王文琦235718282非定向汉族普通文学院语言学及应用语言学杜敏107187100070516吉海韵234787581非定向汉族普通文学院语言学及应用语言学杜敏107187100071291肖贵纯227846380定向汉族普通文学院语言学及应用语言学赵学清107187100070530张文倩255639696非定向汉族普通文学院语言学及应用语言学赵学清107187100071292陈彬彬221896171定向汉族普通文学院语言学及应用语言学赵学清107187100070529杨琳216766773非定向汉族普通文学院语言学及应用语言学赵学清107187100070532王娇娇206736073定向汉族普通文学院语言学及应用语言学赵学清107187100070538何珮196526579非定向汉族普通文学院汉语言文字学胡安顺107187100071256石慧248837986非定向汉族普通文学院汉语言文字学胡安顺107187100070563孙梦城245856595非定向汉族普通文学院汉语言文字学胡安顺107187100070565谢文乾186547161定向汉族普通文学院汉语言文字学邢向东107187100070553曹兴隆223646792非定向汉族普通文学院汉语言文字学邢向东107187100070549贺梅梅218647876非定向汉族普通文学院汉语言文字学邢向东107187100070554赵锦秀213666681非定向汉族普通文学院汉语言文字学邢向东107187100070551王鹏飞194696461非定向汉族普通文学院中国古典文献学周淑萍107187100070571殷陆陆251689291非定向汉族普通文学院中国古典文献学周淑萍107187100070570阎慧240698388非定向汉族普通文学院中国古典文献学周淑萍107187100071257张珊珊238648688定向汉族普通文学院中国古代文学柏俊才107187100070606杨闪闪234638388非定向汉族普通文学院中国古代文学柏俊才107187100070605杨玉锋223698074非定向汉族普通文学院中国古代文学柏俊才107187100070612王天觉223597193非定向汉族普通文学院中国古代文学柏俊才107187100070611高武斌221657581非定向汉族普通文学院中国古代文学柏俊才107187100070604陈宁波212618071非定向汉族普通文学院中国古代文学曹胜高107187100070574张金杰233687788非定向汉族普通文学院中国古代文学曹胜高107187100070581李申曦233667691非定向汉族普通文学院中国古代文学曹胜高107187100070578刘永娟206587870非定向汉族普通文学院中国古代文学曹胜高107187100070579安亚198637560非定向汉族普通文学院中国古代文学曹胜高107187100070576梅伟196537568非定向汉族普通文学院中国古代文学傅绍良107187100070615郭明乐221717278非定向汉族普通文学院中国古代文学傅绍良107187100070613宫臻祥214518083定向汉族普通文学院中国古代文学傅绍良107187100070616王锋锋208667765非定向汉族普通文学院中国古代文学高一农107187100070586祁小真209637868非定向汉族普通文学院中国古代文学高一农107187100070587蒋庆栋196597463非定向汉族普通文学院中国古代文学高益荣107187100070635张诗芳233757286非定向汉族普通文学院中国古代文学高益荣107187100070639王艳歌232598390非定向汉族普通文学院中国古代文学高益荣107187100070637闫丽230678776非定向汉族普通文学院中国古代文学高益荣107187100070633薛润梅216557190非定向汉族普通文学院中国古代文学高益荣107187100070629刘爽215637082非定向汉族普通文学院中国古代文学高益荣107187100070634范婷婷215586394非定向汉族普通文学院中国古代文学刘锋焘107187100070620郭明254819182非定向汉族普通文学院中国古代文学刘锋焘107187100070624吴致宁238718483非定向汉族普通文学院中国古代文学刘锋焘107187100070621闫赵玉221727673非定向汉族普通文学院中国古代文学刘锋焘107187100070625夏荣林215727667非定向汉族普通文学院中国古代文学刘锋焘107187100070623高云飞205507283非定向汉族普通文学院中国古代文学吴言生107187100070644马莉娜243588996定向汉族普通文学院中国古代文学张新科107187100070598李月辰247659290非定向汉族普通文学院中国古代文学张新科107187100070596袁方愚231638682非定向汉族普通文学院中国古代文学张新科107187100071293王艳丽220777172非定向汉族普通文学院中国古代文学张新科107187100070592邹朝斌208657865非定向汉族普通文学院中国古代文学张新科107187100070594原煜媛183546069非定向汉族普通文学院中国现当代文学李继凯107187100070697庞琦昕245619193非定向汉族普通文学院中国现当代文学李继凯107187100070694徐翔234658485定向汉族普通文学院中国现当代文学李继凯107187100070700杜睿223578680非定向汉族普通文学院中国现当代文学李继凯107187100070701吴艳223668572非定向汉族普通文学院中国现当代文学李继凯107187100070696宋秀娟215637775非定向汉族普通文学院中国现当代文学田刚107187100070705蔺晓珣249649293非定向汉族普通文学院中国现当代文学田刚107187100070711刘茸茸249659193非定向汉族普通文学院中国现当代文学田刚107187100070709吕惠静235658783非定向汉族普通文学院中国现当代文学田刚107187100070710王云凤230698081非定向汉族普通文学院中国现当代文学田刚107187100070708贾正209567677定向汉族普通文学院比较文学与世界文学李永平107187100070730乔现荣266838895定向汉族普通文学院比较文学与世界文学李永平107187100070747赵世昌251679094定向汉族普通文学院比较文学与世界文学李永平107187100070748惠菲菲248748490定向汉族普通文学院比较文学与世界文学李永平107187100070734王亚荣245818183定向汉族普通文学院比较文学与世界文学李永平107187100070742袁丽244768484非定向汉族普通外国语学院中国少数民族史王启龙107187100081181李洁201766362非定向汉族普通外国语学院跨语言文化研究贺俊杰107187100081299李晶晶249787695定向汉族普通外国语学院跨语言文化研究贺俊杰107187100081300贾锦瑛242808280非定向汉族普通外国语学院跨语言文化研究贺俊杰107187100081306席婧242738485非定向汉族普通外国语学院跨语言文化研究贺俊杰107187100080754黎璐228637293定向汉族普通外国语学院跨语言文化研究王文107187100081302伏健246838479非定向汉族普通外国语学院跨语言文化研究王文107187100081308郭荣237777981非定向汉族普通外国语学院跨语言文化研究王文107187100081307刘倩216727371非定向汉族普通外国语学院跨语言文化研究王文107187100081268杨关锋206458477定向汉族普通音乐学院课程与教学论张君仁107187100090385豆军红223577393定向汉族普通音乐学院课程与教学论张君仁107187100090382赵蓉199696565非定向汉族普通音乐学院课程与教学论张君仁107187100090375李秀明189547461定向汉族普通美术学院艺术文化史曹桂生107187100100786李天244549595非定向汉族普通美术学院艺术文化史曹桂生107187100100801魏亮亮225519084非定向汉族普通美术学院艺术文化史曹桂生107187100100788刘嘉欣204607668非定向汉族普通美术学院艺术文化史曹桂生107187100100779何靖202547474定向汉族普通美术学院艺术文化史高明107187100100661唐睿221647483定向汉族普通美术学院艺术文化史高明107187100100673李丽219668073定向汉族普通美术学院艺术文化史高明107187100100666李琼215568871定向汉族普通美术学院艺术文化史高明107187100101260杨燕214766474非定向汉族普通美术学院艺术文化史高明107187100100677李朝霞208636085定向汉族普通美术学院艺术文化史高明107187100100680李玉芹208507583非定向汉族普通美术学院艺术文化史胡玉康107187100100774刘飞245569594非定向汉族普通美术学院艺术文化史胡玉康107187100100761薛正206597176非定向汉族普通美术学院艺术文化史胡玉康107187100100765王会娟182586361非定向汉族普通西北历史环境与经济社会发展研究人口、资源与环境经济学郭剑雄107187100110846邓亚丽227608879定向汉族普通西北历史环境与经济社会发展研究人口、资源与环境经济学郭剑雄107187100110847路敏210618168定向汉族普通西北历史环境与经济社会发展研究中国史李令福107187100110821邱海文197607364非定向汉族普通西北历史环境与经济社会发展研究中国史刘景纯107187100110829冯晓多198477873非定向汉族普通西北历史环境与经济社会发展研究中国史刘景纯107187100110832许亮196637360非定向汉族普通西北历史环境与经济社会发展研究中国史张萍107187100110836张通185636260非定向汉族普通西北历史环境与经济社会发展研究中国史周宏伟107187100110840郭海183507063非定向汉族普通中国西部边疆研究院中国少数民族史马强107187100120852咸月忠196516481非定向回族普通中国西部边疆研究院中国少数民族史王欣107187100120854卜凯悦195476583非定向汉族普通中国西部边疆研究院中国少数民族史周伟洲107187100120858李鹏翔209557381非定向汉族普通中国西部边疆研究院中国少数民族史周伟洲107187100120857李锋195516084非定向汉族普通历史文化学院中国史艾冲107187100130896李雪峰240688092定向汉族普通历史文化学院中国史艾冲107187100130897郭鑫203526784非定向汉族普通历史文化学院中国史贾二强107187100130891翟兴龙232598588非定向汉族普通历史文化学院中国史贾二强107187100130887陈祎舒215638369非定向汉族普通历史文化学院中国史贾二强107187100130889方俊瑞205467683非定向汉族普通历史文化学院中国史贾二强107187100130890雷震193467968非定向汉族普通历史文化学院中国史介永强107187100130908陈国飞226618283非定向汉族普通历史文化学院中国史介永强107187100130903严可215507788非定向汉族普通历史文化学院中国史介永强107187100130904陈华伟214538180非定向汉族普通历史文化学院中国史介永强107187100130899高阳213568275非定向汉族普通历史文化学院中国史介永强107187100130905徐盛雷213796470定向汉族普通历史文化学院中国史王晖107187100130912刘梦扬250709486非定向回族普通历史文化学院中国史王晖107187100130915张巧巧238797089非定向汉族普通历史文化学院中国史王晖107187100130914杜垒垒206776762非定向汉族普通历史文化学院中国史王双怀107187100130919黄京210527385定向汉族普通历史文化学院中国史王双怀107187100130918屈蓉蓉208557182非定向汉族普通历史文化学院中国史王双怀107187100130920盖佳择207567477非定向汉族普通历史文化学院中国史王双怀107187100130921方健199517474非定向汉族普通历史文化学院中国史王双怀107187100131284岳鹏198626274非定向汉族普通历史文化学院中国史王玉华107187100130929陈恺248738590非定向汉族普通历史文化学院中国史王玉华107187100130933张荣杰239679181定向汉族普通历史文化学院中国史王玉华107187100130924荆玲玲212697370非定向汉族普通历史文化学院中国史王玉华107187100130928彭钰堰196517075非定向汉族普通历史文化学院中国史萧正洪107187100130845赵力扬191626564非定向汉族普通历史文化学院中国史周晓薇107187100130893李皓241668689非定向汉族普通历史文化学院世界史韩中义107187100130940李郁瑜225647784非定向汉族普通历史文化学院世界史胡舶107187100130950张盛楠254748892非定向汉族普通历史文化学院世界史胡舶107187100130952宋海群228598188非定向汉族普通历史文化学院世界史胡舶107187100130953岳恒219558282定向汉族普通历史文化学院世界史胡舶107187100130954张潇219528285非定向汉族普通历史文化学院世界史李化成107187100130955姚娜娜253799183定向汉族普通历史文化学院世界史李化成107187100130956石昀峰226678772非定向汉族普通历史文化学院世界史王成军107187100130942杜红艳245639389非定向汉族普通历史文化学院世界史王成军107187100130943邢欣欣233697787定向汉族普通历史文化学院世界史王成军107187100130945张建斌229558787定向汉族普通历史文化学院世界史王成军107187100130948苗岩春206628064非定向汉族普通历史文化学院世界史王成军107187100130946史晓文200538265定向汉族普通数学与信息科学学院课程与教学论黄秦安107187100140358黄晓林222637188非定向汉族普通数学与信息科学学院基础数学赵彬107187100141161刘慧253619696非定向汉族普通数学与信息科学学院基础数学赵彬107187100141160吴涛237579090非定向汉族普通数学与信息科学学院应用数学曹怀信107187100140970张程泱243599292非定向汉族普通数学与信息科学学院应用数学吴保卫107187100140968冯甜266709898非定向汉族普通物理学与信息技术学院凝聚态物理尹峰107187100150976王婷241718288非定向汉族普通物理学与信息技术学院声学贺西平107187100150978汪彦军239578894非定向汉族普通物理学与信息技术学院光学王勇刚107187100150972王江180456570非定向汉族普通物理学与信息技术学院光学郑海荣107187100150973张成云212568868非定向汉族普通化学化工学院课程与教学论周青107187100160363濮江227597494非定向汉族普通化学化工学院无机化学白俊峰107187100160981张宗辉244638695非定向汉族普通化学化工学院无机化学高子伟107187100160985张刊216478188非定向汉族普通化学化工学院无机化学翟全国107187100160984卜海艳226657190非定向汉族普通化学化工学院分析化学张成孝107187100160989杨小林235538894非定向汉族普通化学化工学院有机化学徐利文107187100160992陈丽209656183非定向汉族普通化学化工学院有机化学张生勇107187100160990刘爱云213567582非定向汉族普通化学化工学院物理化学肖建良107187100160996刘宇轩243569493非定向汉族普通化学化工学院高分子化学与物理杨鹏107187100160979王方略241648988非定向汉族普通旅游与环境学院自然地理学段克勤107187100171013王飞宇258689595非定向汉族普通旅游与环境学院自然地理学段克勤107187100170999梁爱民245639290非定向汉族普通旅游与环境学院自然地理学段克勤107187100171000邵康197577565非定向汉族普通旅游与环境学院自然地理学段克勤107187100171002刘建宙195597561非定向汉族普通旅游与环境学院自然地理学庞奖励107187100171003王海燕245609095非定向汉族普通旅游与环境学院自然地理学庞奖励107187100171006何晋娜240708387定向汉族普通旅游与环境学院自然地理学庞奖励107187100171009王娜239568895非定向汉族普通旅游与环境学院人文地理学陈瑛107187100171020韩佳祥233589283非定向汉族普通旅游与环境学院人文地理学陈瑛107187100171022黄驰233559286定向汉族普通旅游与环境学院人文地理学陈瑛107187100171021赵蕊211558571非定向汉族普通旅游与环境学院人文地理学陈瑛107187100171019李航193516973非定向汉族普通旅游与环境学院人文地理学薛东前107187100171029董朝阳242708686非定向汉族普通旅游与环境学院人文地理学薛东前107187100171024樊婷224459089非定向汉族普通旅游与环境学院人文地理学薛东前107187100171025刘心宇209507980非定向汉族普通旅游与环境学院人文地理学薛东前107187100171023王静206478970非定向汉族普通旅游与环境学院人文地理学延军平107187100171038李旭谱232628486非定向汉族普通旅游与环境学院人文地理学延军平107187100171031武晓英224568484定向汉族普通旅游与环境学院人文地理学延军平107187100171037王志伟207578466非定向汉族普通旅游与环境学院地图学与地理信息系统孙九林107187100171045尚珂235539092非定向汉族普通旅游与环境学院地图学与地理信息系统孙九林107187100171046家淑珍230618188定向汉族普通旅游与环境学院地图学与地理信息系统孙九林107187100171047张晓艳209586289非定向汉族普通旅游与环境学院地图学与地理信息系统孙九林107187100171044王凤娇208576091定向汉族普通旅游与环境学院区域环境学卢新卫107187100171014石栋奇266809393非定向汉族普通旅游与环境学院区域环境学卢新卫107187100171017代燕233628487定向汉族普通旅游与环境学院国土资源学曹小曙107187100171032吕敏娟229697783非定向汉族普通旅游与环境学院旅游管理吴晋峰107187100171056吴宝清221539276非定向汉族普通旅游与环境学院旅游管理吴晋峰107187100171057赵敏216677178非定向汉族普通旅游与环境学院旅游管理吴晋峰107187100171055刘智兴214557584非定向汉族普通旅游与环境学院旅游管理吴晋峰107187100171052师永强208597376定向汉族普通旅游与环境学院旅游管理吴晋峰107187100171076闫敏194546179定向汉族普通旅游与环境学院旅游管理赵振斌107187100171060李小永223746683非定向汉族普通旅游与环境学院旅游管理赵振斌107187100171058侯晓飞219687180定向汉族普通旅游与环境学院旅游管理赵振斌107187100171063李丹丹212746870非定向汉族普通旅游与环境学院旅游管理赵振斌107187100171059邓勇勇208676873定向汉族普通旅游与环境学院旅游管理赵振斌107187100171061叶洋洋201606774非定向汉族普通生命科学学院动物学黄原107187100181084常会会251659195非定向汉族普通生命科学学院动物学黄原107187100181083张伟239609188非定向汉族普通生命科学学院生理学安书成107187100181087张静209587180非定向汉族普通生命科学学院生理学邰发道107187100181090阳秀英227578783非定向汉族普通生命科学学院生理学邰发道107187100181089李来福207617076定向汉族普通生命科学学院神经生物学马新明107187100181092谭支内245698591非定向汉族普通生命科学学院神经生物学马新明107187100181093常远221658175非定向汉族普通生命科学学院发育生物学肖辉107187100181099史晨霞214637972非定向汉族普通生命科学学院细胞生物学肖辉107187100181103高宁218637976非定向汉族普通生命科学学院细胞生物学肖辉107187100181104何莹213707172非定向汉族普通生命科学学院生物信息学黄华腾107187100181250丁颖217478189非定向汉族普通生命科学学院生物信息学许升全107187100181249祖超256649795非定向汉族普通生命科学学院生物信息学许升全107187100181251王明钊234588393非定向汉族普通生命科学学院生态学尤平107187100181098陈晓宁241668293定向汉族普通生命科学学院生态学朱志红107187100181096解宝225588780定向汉族普通食品工程与营养科学学院食品化学李建科107187100191107丁勇243678987定向汉族普通食品工程与营养科学学院食品化学李建科107187100191105陈文超213617775非定向汉族普通食品工程与营养科学学院食品化学李建科107187100191110李丹213688065非定向汉族普通食品工程与营养科学学院食品化学李建科107187100191111刘佳荣188458063非定向汉族普通食品工程与营养科学学院食品化学杨兴斌107187100191114杜海平213538575非定向汉族普通食品工程与营养科学学院食品化学张有林107187100191116张玉锋232628486定向汉族普通计算机科学学院计算机软件与理论曹菡107187100201126王磊195516876定向汉族普通计算机科学学院计算机软件与理论郭敏107187100201125吕琼帅233548792非定向汉族普通计算机科学学院计算机软件与理论郭敏107187100201124曾梦璐216637083非定向汉族普通计算机科学学院计算机软件与理论李永明107187100201118杨超240539097非定向汉族普通计算机科学学院计算机软件与理论吴晓军107187100201123胡学伟232627595非定向汉族普通材料科学与工程学院材料物理与化学安忠维107187100231141周朋娟209597773非定向汉族普通材料科学与工程学院材料学刘生忠107187100231145张璐234717390定向汉族普通材料科学与工程学院材料学刘生忠107187100231147刘渝城233618290非定向汉族普通材料科学与工程学院材料学刘生忠107187100231148王康216556893非定向汉族普通材料科学与工程学院材料学杨祖培107187100231151乔笑爽207567675非定向汉族普通材料科学与工程学院历史文化遗产保护与工程李玉虎107187100231143祁赟鹏225468693非定向汉族普通材料科学与工程学院历史文化遗产保护与工程李玉虎107187100231144程秀花191616367定向汉族普通心理学院基础心理学王勇慧107187100241205张保强219548481非定向汉族普通心理学院基础心理学王勇慧107187100241206赵楠215686978非定向汉族普通心理学院基础心理学王勇慧107187100241204安龙208628363定向汉族普通心理学院基础心理学王勇慧107187100241208吴静197597662非定向汉族普通心理学院基础心理学王勇慧107187100241207苏波波195567960非定向汉族普通心理学院基础心理学杨剑峰107187100241211张瑞227628481非定向汉族普通心理学院发展与教育心理学王振宏107187100241221邢婉莹221568085非定向汉族普通心理学院发展与教育心理学王振宏107187100241222彭源213747465非定向汉族普通心理学院发展与教育心理学王振宏107187100241219席佩玲191676262非定向汉族普通心理学院发展与教育心理学张丽锦107187100241240刘晓婷236578990非定向汉族普通心理学院航空航天心理学游旭群107187100241154李晨麟216637974非定向汉族普通心理学院航空航天心理学游旭群107187100241153王若竹199716761定向汉族普通心理学院航空航天心理学游旭群107187100241156曾祥思198637560非定向汉族普通现代教学技术教育部重点实验室科学教育学胡卫平107187100251174王红艳242638990定向汉族普通现代教学技术教育部重点实验室科学教育学胡卫平107187100251173燕梅239668984定向汉族普通现代教学技术教育部重点实验室科学教育学胡卫平107187100251176刘翠222518685定向汉族普通现代教学技术教育部重点实验室科学教育学胡卫平107187100251172祝传鹏219618276定向汉族普通现代教学技术教育部重点实验室科学教育学胡卫平107187100251171郭威212577976定向汉族普通现代教学技术教育部重点实验室发展与教育心理学胡卫平107187100251165王雪微245659090非定向汉族普通现代教学技术教育部重点实验室发展与教育心理学胡卫平107187100251169乔瑞243718686定向汉族普通现代教学技术教育部重点实验室发展与教育心理学胡卫平107187100251170文静235718084非定向汉族普通现代教学技术教育部重点实验室发展与教育心理学胡卫平107187100251166丁然233728675非定向汉族普通现代教学技术教育部重点实验室发展与教育心理学胡卫平107187100251168高小雨231668580非定向汉族普通现代教学技术教育部重点实验室神经生物学张遐107187100251094刁志君244658693非定向汉族普通教育实验经济研究所实验经济学Scott Roze107187100271183李珊珊266799493非定向汉族普通教育实验经济研究所实验经济学Scott Roze107187100271184贾芳241728881非定向汉族普通教育实验经济研究所实验经济学Scott Roze107187100271182赵锦235628390非定向汉族普通教育实验经济研究所实验经济学张林秀107187100271188邢俊升186517065定向汉族普通西北濒危药材资源开发国家工程实植物学王喆之107187100291245胡苏莹243589194非定向汉族普通西北濒危药材资源开发国家工程实植物学王喆之107187100291244李川231598884非定向汉族普通西北濒危药材资源开发国家工程实植物学王喆之107187100291246唐文文204508470非定向汉族普通“一带一路”建设与中亚研究协同创新世界史黄达远107187100301294赵静281939395非定向汉族普通世界史李琪107187100300958邢立涛240599091非定向汉族普通“一带一路”建设与中亚研究协同创新“一带一路”建设与中亚研究协同创新世界史李琪107187100301295崔悦232888361非定向汉族普通政治经济学院马克思主义基本原理袁祖社107187100010051刘华清206676871定向苗族少干政治经济学院马克思主义发展史阎树群107187100010092关翠玲233578888定向满族少干政治经济学院马克思主义发展史阎树群107187100010093张启龙186646260定向土家族少干政治经济学院思想政治教育王涛107187100010121马喜宁201507774定向回族少干政治经济学院中国近现代史基本问题研究王晓荣107187100010097成正兴205566881定向土族少干政治经济学院社会发展与制度文明段塔丽107187100010098单昕190497170定向汉族少干国际商学院国民经济学雷宏振107187100020223刘如210687072定向回族少干教育学院教育学原理王庭照107187100030235张琪179406574定向蒙古族少干。
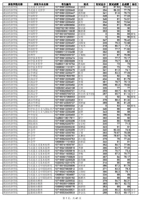
录取学院名称录取专业名称考生编号姓名初试总分复试成绩总成绩备注政治经济学院马克思主义哲学107185612200444闫璐璐36187.8379.23政治经济学院马克思主义哲学107185612200445胡潇35486.3377.79政治经济学院中国哲学107185612200447裘伟健34191.678.73政治经济学院中国哲学107185612200448许肖思雪3289177.03政治经济学院中国哲学107185612200450张囡3468174.51政治经济学院中国哲学107185612200452张青3348273.64政治经济学院中国哲学107185140905694郭秋桂3648176.49政治经济学院中国哲学100275219010050徐洁蕊3329090政治经济学院中国哲学100035069110638魏德赛3539090政治经济学院中国哲学107185100750002彭欣欣08585推免政治经济学院中国哲学107185101260001安琪09090推免政治经济学院外国哲学107185612200455王强3478576.42政治经济学院外国哲学107185612200457刘顺来33979.372.98政治经济学院外国哲学107185612200460王俊杰31880.771.3政治经济学院外国哲学107185612200462马乐33577.771.82政治经济学院外国哲学105585113103498马渊3628080政治经济学院伦理学107185620305707王颖娟3318775.56政治经济学院科学技术哲学107185612200474刘楠32077.770.17政治经济学院科学技术哲学107185130605689李翔29375.766.3政治经济学院科学技术哲学104865113016754鲁宛虹3247373政治经济学院科学技术哲学106985611101571陈小雨2807373政治经济学院法学理论107185612200475马丽雅34181.374.1政治经济学院法学理论107185612200477陈芳36083.377.09政治经济学院法学理论107305021805760陈昊3308282政治经济学院民商法学107185612200480罗友4048381.79政治经济学院民商法学107185612200481李翔36178.775.13政治经济学院民商法学107185612200482洪博39880.379.92政治经济学院民商法学100535014040108王昭3357777政治经济学院民商法学107185620905721马孝磊29368.763.15少干政治经济学院民商法学107185650705723库拉西·爱不的拉斯28765.761.14少干政治经济学院民商法学107185107360003赵婧婧09292推免政治经济学院政治学理论107185612200483窦欢37888.381.32政治经济学院政治学理论107185140505727郑鲜丽3898681.49政治经济学院政治学理论107185100650004冯鑫08383推免政治经济学院科学社会主义与国际共产主107185612200512焦会3468888政治经济学院科学社会主义与国际共产主107185612200488赵妍3438888政治经济学院中共党史107185612200493王华3668478.06政治经济学院中共党史104865118017811梁宁3608080政治经济学院国际政治107185612200496齐春晓3458073.95政治经济学院国际政治107185620205751史岩松3357771.5政治经济学院国际政治100405030000230梁鹏遥3239191政治经济学院社会学107185612200499马望午34083.3374.9政治经济学院社会学107185614305760王蓉39379.6779.08政治经济学院社会学107185614305761孔繁星35878.6774.78政治经济学院社会学107185620205763孙小娟3797977.24政治经济学院社会学106985611101603孙秋晨3448181政治经济学院马克思主义基本原理107185141605797裴洁36284.777.94政治经济学院马克思主义基本原理107185410505815李静36683.777.93政治经济学院马克思主义基本原理107185410505816何高龙37870.773.4政治经济学院马克思主义基本原理107185411605822李梅36887.379.77政治经济学院马克思主义基本原理107185501705829金倩3678478.17政治经济学院马克思主义基本原理107185612200529张伟娜3558585政治经济学院马克思主义基本原理102005210201076许妍3148585政治经济学院马克思主义中国化研究107185150205806刘亚亚38687.381.75政治经济学院马克思主义中国化研究107185370605812刘蓉37183.378.3政治经济学院马克思主义中国化研究107185431405826王晓彤36686.379.1政治经济学院马克思主义中国化研究106985411904687吴丹晨3348989政治经济学院马克思主义中国化研究100015015400182杨雅杰3448989政治经济学院思想政治教育107185612200532康岳37994.784.31政治经济学院思想政治教育107185350105809程英38589.782.72政治经济学院思想政治教育105595210008776胡碧伟3838989政治经济学院思想政治教育107185530405831张成慧24980.363.53少干政治经济学院思想政治教育107185530405833李金岚28883.369.17少干政治经济学院思想政治教育107185620405845刘珍2608265.5少干政治经济学院思想政治教育107185107490006马玉霞09191推免政治经济学院思想政治教育107185107490005王晓娟09292推免政治经济学院思想政治教育107185107180007张凌寒08989推免政治经济学院中国近现代史基本问题研究107185612200533胡偌菲3958682.15政治经济学院中国近现代史基本问题研究107185612200534陈娉娉3488174.73政治经济学院社会工作107185612201517寇苗苗3318775.56政治经济学院社会工作107185612201518王译梵35578.6774.45政治经济学院社会工作107185612201521余英36086.3378.45政治经济学院社会工作107185120309012李丰华35982.3376.54政治经济学院社会工作107185231109015王永星3988180.23政治经济学院社会工作107185410309017王苏紧36675.6774.31政治经济学院社会工作107185410709019王瑞35571.6771.3政治经济学院社会工作107185450209024王译若3788077.58政治经济学院社会工作107185501409025杨娅倩38389.6782.48政治经济学院社会工作107185614309026尚欢35377.3373.63政治经济学院课程与教学论107185321704245田晶32385.373.92政治经济学院课程与教学论107185107180008李冉087.287.2推免政治经济学院学科教学(思政)107185612201558王玉立35785.777.84政治经济学院学科教学(思政)107185612201569李玉婷3848781.39政治经济学院学科教学(思政)107185612201573孙瑞杰3718478.61政治经济学院学科教学(思政)107185612201578田璐娜38789.382.76政治经济学院学科教学(思政)107185612201581文佳慧35388.778.75政治经济学院学科教学(思政)107185141009072王丽红3948682.04政治经济学院学科教学(思政)107185210509081易佳辰37485.379.53政治经济学院学科教学(思政)107185500209089刘洋36784.778.49政治经济学院学科教学(思政)107185612200484史金惠3618484政治经济学院学科教学(思政)106985611101612余佳霖3008484政治经济学院学科教学(思政)107185620209092张丽霞34779.373.86少干政治经济学院学科教学(思政)107185640109098杨彦杰27876.765.1少干政治经济学院学科教学(思政)107185650609100韩静2457962.5少干政治经济学院学科教学(思政)107185106360009彭月09191推免政治经济学院学科教学(思政)107185107180010付晨晨09292推免政治经济学院行政管理107185612200552周子茵38678.877.92政治经济学院行政管理107185612200576苏敏36277.474.65政治经济学院行政管理107185612200578李梦娜3707574.45政治经济学院行政管理107185612200589张瑶36778.775.79政治经济学院行政管理107185612200605高敏36475.874.15政治经济学院行政管理107185141105877李梦36772.272.86政治经济学院行政管理107185153105891李红红36674.973.97政治经济学院行政管理107185322205897周媛35177.173.31政治经济学院行政管理107185412305922张杨子36280.175.87政治经济学院行政管理103575210004585代佳朋3628080政治经济学院行政管理100555333316745李修齐3658080政治经济学院行政管理107015161133091乐谱3368080政治经济学院行政管理107185422205924白玉龙2977064.17少干政治经济学院行政管理107185510805933黄磊31668.365.5少干政治经济学院行政管理107185520705937黄利晓25370.959.74少干政治经济学院行政管理107185530405940陈佑康29070.863.76少干政治经济学院行政管理107185101350012张淼08585推免政治经济学院行政管理107185102120011文旭升09090推免政治经济学院行政管理107185612202731张济帆3657774.8单考政治经济学院行政管理107185612202732陈彦婷3777675.67单考政治经济学院公共管理107185612203657沈忱17978.354.93政治经济学院公共管理107185612203658高敏17672.351.9政治经济学院公共管理107185612203659朱博涛17377.754政治经济学院公共管理107185612203669张倩16376.452.31政治经济学院公共管理104225510090217张合宁1667979政治经济学院公共管理104455690002749王峥1627979政治经济学院公共管理104565750000864严子真1737979政治经济学院公共管理104565750000766张鹏1747979政治经济学院公共管理104565750001089赵望1607979政治经济学院公共管理104565750000894张瀚中1607979政治经济学院公共管理104225510010806于斐1607979政治经济学院公共管理104565750000909宋帅刚1917979政治经济学院公共管理104225510010787尉皓铮1667979政治经济学院公共管理110655850000494刘雷1767979政治经济学院公共管理110655850000465袁景艳1837979政治经济学院公共管理110655850000201曹瑾1617979政治经济学院公共管理104565750000833崔正扬1707979政治经济学院公共管理104225510011521曹檬1667979政治经济学院公共管理104225510010749丁琦1917979政治经济学院公共管理104225510090160何红霞1737979政治经济学院公共管理104455690002437刘海奎1797979政治经济学院公共管理105615500009356刘俊1797979政治经济学院公共管理104145125100297古向东1627979政治经济学院公共管理105745000006072吴可嘉1637979政治经济学院公共管理105615500010406曾金明1737979政治经济学院公共管理105615500009851李论1647979政治经济学院公共管理104225510090157任彦领2047979政治经济学院公共管理104565750000790张雯1667979政治经济学院公共管理104565750001186张贤杰1757979政治经济学院公共管理104565750001054欧阳潇航1677979政治经济学院公共管理104225510011737程宗越1897979政治经济学院公共管理104565750001020张雅琼1657979政治经济学院公共管理104345601501091姜良佼1647979政治经济学院公共管理104225510011604李晓君1627979政治经济学院公共管理104455690002851王政1647979政治经济学院公共管理110655850000394王超1837979政治经济学院公共管理104225510010917董斌1697979政治经济学院公共管理106995561128023严爱美1857979政治经济学院公共管理105615500010205陈碧青1807979政治经济学院公共管理105615500010127龙柠璨1867979国际商学院政治经济学106985611101585李文槟3397777国际商学院政治经济学107185107360013唐春08686推免国际商学院西方经济学102865612213336李丹丹3567171国际商学院世界经济104865105013566魏琼黎3417979国际商学院世界经济106985611102568刘鑫3357979国际商学院人口、资源与环境经济学107185612200097王佳惠3467270.46国际商学院人口、资源与环境经济学107185530203770洪欣钰33773.3370.07国际商学院人口、资源与环境经济学106985340106140马征3568080国际商学院人口、资源与环境经济学107185422603767李朝鹏3598080国际商学院人口、资源与环境经济学107185106350015王典086.6786.67推免国际商学院人口、资源与环境经济学107185107260014王煊083.883.8推免国际商学院国民经济学107185612200106杨历36276.774.34国际商学院国民经济学105205670600114赵燕妮3767272国际商学院国民经济学106985611102489崔晓健3617272国际商学院国民经济学107305021806736马婧3537272国际商学院国民经济学107305021806691董秋丛3517272国际商学院国民经济学107185105890018陈秋彤08383推免国际商学院国民经济学107185107590017景英085.6785.67推免国际商学院国民经济学107185107360016程志航086.286.2推免国际商学院区域经济学107185612200110马媛36976.975.2国际商学院区域经济学107185412903763刘莹3657474国际商学院区域经济学100365999904673吕林茂3467474国际商学院区域经济学107185107000019张玉084.6784.67推免国际商学院金融学107185612200118寇煜坤34388.5377.57国际商学院金融学107185612200128张偲琪36488.880国际商学院金融学107185612200138武珊33970.669.06国际商学院金融学107185612200139柯蕊37364.4770.04国际商学院金融学107185412903762路璐35383.6776.48国际商学院金融学107185107010020祝婕09191推免国际商学院产业经济学107185612200141陈芳33172.468.99国际商学院国际贸易学107185612200147任洁琼34782.7775.42国际商学院国际贸易学103845216107009金雨辰3407979国际商学院国际贸易学106985345905923王瑶3427979国际商学院劳动经济学105205670611031革兆东3547373国际商学院统计学106105020200382梁婷3467373国际商学院数量经济学106985611102659杨哲3418080国际商学院数量经济学105325611604133韩璐3608080国际商学院数量经济学106985611102654华亦朴3498080国际商学院数量经济学107185107180021游艳艳09191推免国际商学院会计学107185612200160陈天妍3468978.11国际商学院会计学107185612200162朱梅芳41077.880.11国际商学院会计学107185612200166吕磊37879.4777.34国际商学院会计学107185612200178王娇36382.877.19国际商学院会计学107185370103798张夙夙34682.675.23国际商学院会计学107185441203819李知臻36382.1376.89国际商学院会计学107185620403832段莉39189.9383.48国际商学院会计学105205670600850陆博雅3617575国际商学院会计学107105161331439马龙3537575国际商学院会计学107185612200176李逍雯33182.3373.46少干国际商学院会计学107185107180022强雪伟089.3389.33推免国际商学院企业管理107185612200199张涛33784.4475.07国际商学院企业管理107185360103796张萍35882.4476.48国际商学院企业管理107185410403803李洋35675.2273.01国际商学院企业管理107185410603807王成改38277.5676.92国际商学院企业管理107185411103809魏金婵33679.6772.81国际商学院企业管理107185614103826岳星星33779.6772.92国际商学院企业管理100705123606655冀艳璐3477676国际商学院企业管理104865104013178骆俏3517676国际商学院企业管理107185210703786郭晶婧3357676国际商学院企业管理104865105013991牛楠3697676国际商学院企业管理106985611101373刘思嘉3367676国际商学院企业管理107185107180024张红芳087.3387.33推免国际商学院企业管理107185107360023段佳09191推免国际商学院技术经济及管理107185107180025李怡087.3387.33推免国际商学院社会医学与卫生事业管理107185612200609张姗姗36283.6777.47国际商学院社会医学与卫生事业管理107185511705987向琼36376.7574.47国际商学院社会保障107185612200610王忠环36682.9277.57国际商学院社会保障107185612200618张菀煜36487.3379.34国际商学院社会保障107185370605976张瑞芳3668277.16国际商学院社会保障107185413105983赵艳芳37280.9277.33国际商学院土地资源管理107185612200626李哲37986.5880.65国际商学院土地资源管理107185510705986杨勇35984.2577.4国际商学院工商管理107185612203543崔文韬1728155.37国际商学院工商管理107185612203547张洋17780.3355.62国际商学院工商管理107185612203551刘宗芹16482.6755.24国际商学院工商管理107185612203554杨舟16376.3352.28国际商学院工商管理107185612203555刘哲炜17980.6755.99国际商学院工商管理107185612203557黄旭17779.6755.32国际商学院工商管理107185612203559张惠然1958358.8国际商学院工商管理107185612203560晁阳1667853.36国际商学院工商管理107185612203564陈戈17179.6754.66国际商学院工商管理107185612203567陈思诚16875.6752.53国际商学院工商管理107185612203568高俏20285.3360.62国际商学院工商管理107185612203569张佳路16175.6751.76国际商学院工商管理107185612203571刘言17380.3355.18国际商学院工商管理107185612203581张智伦1608254.5国际商学院工商管理107185612203582魏振18581.3356.95国际商学院工商管理107185612203584李亚非16675.3352.16国际商学院工商管理107185612203591黄金华1798156.14国际商学院工商管理107185612203598王连旨1828256.92国际商学院工商管理107185612203609孙严严17981.6756.44国际商学院工商管理107185612203610武春苗1778256.37国际商学院工商管理107185612203613常焕坦17781.3356.07国际商学院工商管理107185612203615王希1648254.94国际商学院工商管理107185612203618王峰涛1978459.47国际商学院工商管理107185612203622吕硕16074.3351.05国际商学院工商管理107185612203629张琦欣20983.6760.64国际商学院工商管理107185612203630宋森21585.6762.2国际商学院工商管理107185612203636陈腾16676.3352.61国际商学院工商管理107185612203640武琦1697652.79国际商学院工商管理107185612203648马永兴1637652.13国际商学院工商管理107185612203649杨雨龙18181.6756.66国际商学院工商管理107185612203650樊珍1718255.71国际商学院工商管理104225510011159周庆峰1628080国际商学院工商管理104225510090225孙华超1948080国际商学院工商管理106355303732230李广华1838080国际商学院工商管理104225510090152张蒙1668080国际商学院工商管理104225510010958周成璐1698080国际商学院工商管理104225510090136李宁1748080国际商学院工商管理104335890160964王英亮1638080国际商学院工商管理104225510090176张孟涛1708080国际商学院工商管理104225510090223韩翠翠1748080国际商学院工商管理104225510090228姜宾1628080国际商学院工商管理104225510090156靳莎1918080国际商学院工商管理104225510090138石岩1648080国际商学院工商管理104225510090226邵凡1898080国际商学院工商管理104225510090191殷冰冰1768080国际商学院工商管理104225510090166李晗1678080国际商学院工商管理104225510090163韩玲玲1608080国际商学院工商管理104225510090153陈曦1678080国际商学院工商管理104225510090235吕萌1738080国际商学院工商管理104225510090158汤乐1868080国际商学院工商管理802015802000007商勇1618080国际商学院工商管理104225510090193王心洁1988080国际商学院工商管理104565750001149黄晏如1688080国际商学院工商管理104225510090209孙学晨1988080国际商学院工商管理104225510090180孙昊1918080国际商学院工商管理104225510090146刘姗姗1958080国际商学院工商管理104225510090183孙白鸽1848080国际商学院工商管理110655850000267姜楠1848080国际商学院工商管理104225510090233马雷1768080国际商学院工商管理104225510090185刘文1728080国际商学院工商管理104565750000234李翔1758080国际商学院工商管理104225510090171杜方杰1748080国际商学院工商管理104565750000503任增凯1658080国际商学院工商管理104225510090167刘洋2068080国际商学院工商管理104455690002645靖伟鹏1728080国际商学院工商管理104305000001850吴思明1878080国际商学院工商管理104305000001704李予晟2048080国际商学院工商管理104305000001715王武斌2018080国际商学院工商管理104305000001787黄腾辉1778080国际商学院工商管理104305000001848陈耀远1958080国际商学院工商管理104305000001805郑崇炜1738080国际商学院工商管理104305000001759孙道举1738080国际商学院工商管理104305000001750冯征1918080国际商学院工商管理104565750000409剡玉香2088080国际商学院工商管理105005006370805魏永生1818080国际商学院工商管理105205670604711李姣1838080国际商学院工商管理104235237520283孙大伟1678080国际商学院工商管理104225510090179李思1848080国际商学院工商管理104565750000759陈素芬1678080国际商学院工商管理104225510010717张童1968080国际商学院工商管理106135125300404朱文祥1608080国际商学院工商管理104225510090194张寒1708080国际商学院工商管理104305000001849江明1988080国际商学院工商管理104305000001716柳伟1898080国际商学院工商管理104305000001875郭珺2138080国际商学院工商管理104565750000318辛蕾蕾1768080国际商学院工商管理104225510010269张伟1728080国际商学院工商管理104565750000005李彦鹏1698080国际商学院工商管理104565750000548左云凯1998080国际商学院工商管理116605100940076杨熹1708080国际商学院工商管理104455690002279姚昕廷1788080国际商学院工商管理105615500010515毛崇文1638080国际商学院工商管理105615500010537钟湘悦2038080国际商学院工商管理105615500010482胡乔雅1798080国际商学院工商管理104305000001799洪琛1668080国际商学院工商管理104305000001776赵金2048080国际商学院工商管理101125000005228都晋1778080国际商学院工商管理104305000001818宋波1948080国际商学院工商管理105615500010527韩鹏1808080国际商学院工商管理105615500010516蒋国彬1748080国际商学院工商管理105615500010212叶明星1808080国际商学院工商管理105615500009939黄春香1768080国际商学院工商管理105615500010451郭豪义1938080国际商学院工商管理105615500009757王皓楠1658080国际商学院工商管理105615500010238肖志文1818080国际商学院工商管理105615500010551朱敏杰1958080国际商学院工商管理105615500010175张丹虹1828080国际商学院工商管理105615500010234贺新明1668080国际商学院工商管理105615500010534王成成1838080国际商学院工商管理105615500010481李志文1678080国际商学院工商管理105615500010548刘俊1808080国际商学院工商管理105615500010475胡杰翔1838080国际商学院工商管理105615500010541李儒婷1948080国际商学院工商管理105615500010218王巍2038080国际商学院工商管理105615500010474伍柯牧1868080国际商学院工商管理105615500010215翁翌1788080国际商学院工商管理105615500010017汤超1718080国际商学院工商管理105615500010538骆绍冠1938080国际商学院工商管理105615500010303邓穗雯1818080国际商学院工商管理104305000001822顾超1958080国际商学院工商管理104305000001846翁航1928080国际商学院工商管理104455690002607赵心愿1628080国际商学院工商管理104875000121791张圣1748080国际商学院工商管理104875000120666李曙光2098080国际商学院工商管理104875000120285高杰1978080国际商学院工商管理104875000120815刘海霞2018080国际商学院工商管理104565750000454付亚2108080国际商学院工商管理115605561397011韩波1618080国际商学院工商管理104455690002549秦洁1608080国际商学院工商管理802025000000289吴潇2318080国际商学院工商管理106995561127954翟琳1648080国际商学院工商管理107005237257665翟自国1818080国际商学院工商管理104225510011495任冬寒1678080国际商学院工商管理100045514134694徐东冉1698080教育学院教育学原理107185612202748潘小芳36177.0774.39教育学院教育学原理107185130603963贾晨3677775.02教育学院教育学原理107185140904050曹晓婷35681.875.97教育学院教育学原理107185321904249王欣35477.9374.01教育学院教育学原理107185341204274沈艳艳35878.7374.81教育学院教育学原理107185342204276刘恒美36580.876.51教育学院教育学原理107185411604529刘梦华36281.276.36教育学院教育学原理107185612202743王敏捷27167.4660.17少干教育学院教育学原理107185150204162王淑颖2977064.17少干教育学院教育学原理107185530404758李姣姣28167.6661.36少干教育学院课程与教学论107185612202775白雪双35874.6772.98教育学院课程与教学论107185612202792白彬36984.6978.7教育学院课程与教学论107185612202800陈渝35683.5176.74教育学院课程与教学论107185612202813陈春怡35480.4775.15教育学院课程与教学论107185220604210段婷婷35780.5875.53教育学院课程与教学论107185412204578陈丹36282.1176.77教育学院课程与教学论107185501204703王悦婷36776.6774.87教育学院课程与教学论107185511904741张子燕35376.6273.31教育学院课程与教学论107185650604909高峰32770.4270.42教育学院课程与教学论102695211302026郭蕊33071.271.2教育学院课程与教学论102695211301238周晨32776.5176.51教育学院课程与教学论105115104441518何同舟32279.7379.73教育学院课程与教学论105115104441582王岚33275.3375.33教育学院课程与教学论107185612202769哈燕34870.6270.06少干教育学院课程与教学论107185361004302樊淑珍28166.0960.65少干教育学院课程与教学论107185410204424朱晓敏32873.0268.94少干教育学院课程与教学论107185421404640刘晓艳33468.0267.35少干教育学院课程与教学论107185530404759李永素29966.1662.66少干教育学院课程与教学论107185620804861秦丽娜29964.4961.91少干教育学院课程与教学论107185101350030张姝09090推免教育学院课程与教学论107185100650029褚清新08888推免教育学院课程与教学论107185100750028陈璐08585推免教育学院课程与教学论107185107360027关丽琴08888推免教育学院课程与教学论107185107490026万江文08989推免教育学院教育史107185612202887吕芳35282.4775.83教育学院教育史107185142004143尚晓雪34289.477.85教育学院教育史107185370104308李君34189.8777.95教育学院比较教育学107185612202892毛歆34038.9454.92教育学院比较教育学107185612202894张小桢33638.1654.13教育学院比较教育学107185612202898王燕子34536.1854.23教育学院比较教育学107185211304200朱艺丹33637.853.97教育学院比较教育学107185460404689薛丹34637.7155.03教育学院比较教育学107185612202889马娇32938.6153.56少干教育学院比较教育学107185531104769武星棋25437.844.95少干教育学院比较教育学107185620104796韦杰程25533.3643.06少干教育学院比较教育学107185101080031杨洋09393推免教育学院学前教育学107185612202942刘夏鸽3568476.96教育学院学前教育学107185120403919余瑶35284.3376.67教育学院学前教育学107185131503987白兴圆3658678.85教育学院学前教育学107185140604032毛珺36586.3379教育学院学前教育学107185310604239张卓然35285.3377.12教育学院学前教育学107185340104259张扬36585.3378.55教育学院学前教育学107185410204425翟晓婷35485.6777.49教育学院学前教育学107185411604530曹巧利36385.6778.48教育学院学前教育学105115104430595王冲32576.3376.33教育学院学前教育学102695211701191于燕3257979教育学院学前教育学105745000001204胡梦蝶3248080教育学院学前教育学102005210100324苏航33181.6781.67教育学院学前教育学107185612202901张秦28472.3363.79少干教育学院学前教育学107185150104158哈日格纳29769.3363.87少干教育学院学前教育学107185152304180王丽杰2627160.77少干教育学院学前教育学107185220304206高凯歌2697261.99少干教育学院学前教育学107185421804645覃阿敏32272.6768.12少干教育学院学前教育学107185450804683李枳薛25769.3359.47少干教育学院学前教育学107185521104753韦秀英25667.3358.46少干教育学院学前教育学107185104750035吴冰冰08686推免教育学院学前教育学107185107360036陈纯菲08484推免教育学院学前教育学107185100750033王艳敏09696推免教育学院学前教育学107185104750034王柳09393推免教育学院学前教育学107185100750032秦赛08787推免教育学院高等教育学107185612203001刘中玲37285.579.4教育学院高等教育学107185612203017常静35381.5875.54教育学院高等教育学107185612203020张佳乐3518375.96教育学院高等教育学107185612203024陈雪3598577.74教育学院高等教育学107185120103909张小钰35881.8376.2教育学院高等教育学106985611102393韩思朦32785.8285.82教育学院高等教育学107185150404175青格勒2527360.57少干教育学院高等教育学107185450704680韦施婷2977164.62少干教育学院高等教育学107185107300037罗娜09090推免教育学院职业技术教育学107185370204326薛寒34939.4556.14教育学院职业技术教育学107185371404389王雷35140.0156.61教育学院职业技术教育学107185410504453任雪园34538.1455.11教育学院职业技术教育学107185450804681潘姿曲30835.2949.76少干教育学院职业技术教育学107185530404761王锦雁29931.4347.03少干教育学院特殊教育学107185130403955张萌33887.6776.63教育学院特殊教育学107185340604268王磊34785.3376.57教育学院特殊教育学107185350304283刘丝34487.3377.14教育学院特殊教育学107185141008940梁璇3518476.41教育学院特殊教育学107185350105085纳莹33488.6788.67教育学院少年儿童组织与思想意识教107185612203452周璐3318474.21教育学院少年儿童组织与思想意识教100555333305544孙志慧3258787教育学院少年儿童组织与思想意识教107185413104627李博文3228383教育学院少年儿童组织与思想意识教107185370104312谷旭辉3398585教育学院少年儿童组织与思想意识教107185612202802于泠泠3439090教育学院教育管理100555333304727吴娇35684.3384.33教育学院教育管理107185142009822赵小燕35085.6785.67教育学院教育管理107185612202697高敏莉37077.6777.67教育学院教育管理107185612201757林晓敏3489191教育学院教育管理107185612202169龚艳娇32686.6786.67教育学院现代教育技术107185612201641康欣欣34783.1775.6教育学院现代教育技术107185612201644王莉35376.473.21教育学院现代教育技术107185612201645白雪34284.3775.59教育学院现代教育技术107185612201647李纯35579.4374.79教育学院现代教育技术107185612201649王维娜34679.5373.85教育学院现代教育技术107185612201650胡晓密38679.378.15教育学院现代教育技术107185612201651武美丽39384.1781.11教育学院现代教育技术107185612201652卫青34886.2777.1教育学院现代教育技术107185612201653李丹32882.6373.26教育学院现代教育技术107185211309147张凤32078.270.39教育学院现代教育技术107185411609153陈雨37380.4377.22教育学院现代教育技术107185620209158张小辉33084.0374.11教育学院小学教育107185612201593吴婷35082.6775.7教育学院小学教育107185612201595祝琳36881.877.29教育学院小学教育107185612201596王葭萌34483.5375.43教育学院小学教育107185612201601孙旭滨39086.1381.66教育学院小学教育107185612201620王雅琪33583.7374.53教育学院小学教育107185612201623李维亚36884.0778.31教育学院小学教育107185350109119柳琳36484.6778.14教育学院小学教育107185370109121张凤至36280.0775.85教育学院小学教育107185370109122孙书珊34876.9372.9教育学院小学教育107185412209128杨雪3567572.91教育学院小学教育107185422409130齐明月37482.8778.43教育学院小学教育107185422409131周雨36285.678.34教育学院小学教育107185614309137许强37676.875.92教育学院小学教育107185612201926陈来英34080.8780.87教育学院小学教育107185612201828于慧35479.8779.87教育学院小学教育107185612202976张琪32877.2777.27教育学院小学教育107185140104003李晓32874.3374.33教育学院小学教育107185614304794苏琳茹3247575教育学院学前教育107185612202253杨子娟秀3638678.63教育学院学前教育107185612202264张海宇32884.3374.03教育学院学前教育107185612202274李帆帆32583.6773.4教育学院学前教育107185612202276田凤娟3537572.58教育学院学前教育107185612202279贾翠霞3278071.97教育学院学前教育107185140910014邢智智35182.3375.66教育学院学前教育107185141510017高亚男3608376.95教育学院学前教育107185210710018李曼曼34289.6777.97教育学院学前教育107185410310026宋红姣32482.3372.69教育学院学前教育107185412310028马煜34089.6777.75教育学院学前教育107185422410030杨洋33885.3375.58教育学院学前教育107185501410032谭越月34683.3375.56教育学院学前教育107185520110035沈思敏35581.3375.65教育学院学前教育107185620610041胡悦36289.6780.17教育学院学前教育107185140404023杨宏宁34484.3384.33教育学院教育经济与管理107185612203230王君妍39487.6782.79教育学院教育经济与管理107185612203232高源34780.5774.43教育学院教育经济与管理107185411706000周晓莹34683.1775.49教育学院教育经济与管理107185611506002张妍36482.6777.24教育学院教育经济与管理107185614306004王璇36476.1774.32教育学院教育经济与管理107185640106006魏平西3768780.51教育学院教育经济与管理104865116017557刘逸青33080.2280.22教育学院教育经济与管理107185107180038李莹09494推免教育学院教育技术学107185612201462李序佳32873.9769.37教育学院教育技术学107185130608766田佳33677.5371.85教育学院教育技术学107185140508770赵晓慧33171.368.5教育学院教育技术学107185140608771吴晨光32475.569.62教育学院教育技术学107185140908776郭敏敏37171.9373.18教育学院教育技术学107185140908778王美茹34374.6371.31教育学院教育技术学107185140908783裴培35174.5372.15教育学院教育技术学107185140908784师亚媛35276.473.1教育学院教育技术学107185140908790陈云杰34171.5369.7教育学院教育技术学107185220708801张美芬32773.9369.24教育学院教育技术学107185372508806张莎莎35768.8370.24教育学院教育技术学107185410508811赵雪飞32073.8368.42教育学院教育技术学107185422408822唐静萍32672.7568.6教育学院教育技术学107185650208837张小雪32078.7570.64教育学院教育技术学105745000005340关晶晶31588.188.1教育学院教育技术学103195620513331王凤歌31373.7873.78教育学院教育技术学102695211201034智飞飞30380.2280.22教育学院教育技术学107185106020042卢美杏092.592.5推免教育学院教育技术学107185104750041李楠090.7590.75推免教育学院教育技术学107185104450040房萌萌08383推免教育学院教育技术学107185107460039把玉琴085.585.5推免新闻与传播学院文艺与文化传播学107185612200628金昭羽36589.0880.24新闻与传播学院文艺与文化传播学103845212101005谢昕忻3477878新闻与传播学院文艺与文化传播学100135285240121刘榕3557878新闻与传播学院文艺与文化传播学107185612200764曹妮娜3617878新闻与传播学院文艺与文化传播学107185106350045张皓月088.1788.17推免新闻与传播学院文艺与文化传播学107185106380044尹莉莲088.2588.25推免新闻与传播学院文艺与文化传播学107185107180043门倩君088.7588.75推免新闻与传播学院新闻学107185612200643李岩35272.4771.33新闻与传播学院新闻学107185612200647朱云35470.0570.46新闻与传播学院新闻学107185612200656应瑞奇35373.3371.83新闻与传播学院新闻学107185140806025苏伟娜34872.971.09新闻与传播学院新闻学107185211306041牛佳佳36775.4874.34新闻与传播学院新闻学102805210013108刘艺璇3528484新闻与传播学院新闻学104865103012855陈颖3478484新闻与传播学院新闻学105585170104352杨鑫3648484新闻与传播学院新闻学104865103002633苏清华3458484新闻与传播学院新闻学105585170104350郑珂3548484新闻与传播学院新闻学103845215007003储晓娟3468484新闻与传播学院新闻学107185612200631潘严31372.8167.19少干新闻与传播学院新闻学107185371106053陈晓雯29771.6764.92少干新闻与传播学院新闻学107185107180046王思阳068.1668.16推免新闻与传播学院传播学107185612200671尹丽萍35575.4873.02新闻与传播学院传播学107185612200673马瑞馥36280.8676.21新闻与传播学院传播学107185612200683张凤35972.7172.21新闻与传播学院传播学107185612200691王润溪35777.8674.31新闻与传播学院传播学107185140306017张雅婷3827575.77新闻与传播学院传播学107185140606019张瑾瑶37774.4874.99新闻与传播学院传播学107185141006029成云3517873.71新闻与传播学院传播学107185370806052万雨思34675.0571.83新闻与传播学院传播学107185410206057贾林迤36776.9575新闻与传播学院传播学107185620706114孙琪35477.4373.78新闻与传播学院传播学107185650106120张继民36076.0573.82新闻与传播学院传播学107185107360052牛婧娥079.8379.83推免新闻与传播学院传播学107185100650051孙倩08888推免新闻与传播学院传播学107185100750050杨伟09292推免新闻与传播学院传播学107185104760049蒋宇琪081.2581.25推免新闻与传播学院传播学107185107180048余靓豪081.9281.92推免新闻与传播学院传播学107185107180047杜丽洁087.9287.92推免新闻与传播学院新闻与传播107185612202307王明媚40274.677.79新闻与传播学院新闻与传播107185612202314王薇40287.3383.52。
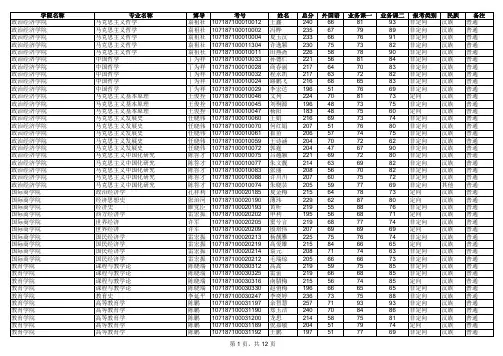
西北师范大学2016年硕士研究生第一志愿复试名单公示(不含推免生、农村师资计划)姓名考生编号报考学院专业代码报考专业名称政治或管理类联考外语业务课一业务课二总分备注何琪萱107366620900162文学院050101文艺学66 55 122 115 358姚文婧107366620900194文学院050103汉语言文字学64 65 120 126 375杨小英107366620900195文学院050103汉语言文字学74 53 122 105 354祁洁灵107366620900196文学院050103汉语言文字学78 51 116 126 371郭庆平107366620900198文学院050103汉语言文字学68 67 112 119 366易雪凤107366620900202文学院050103汉语言文字学66 62 105 119 352冯秀婷107366620900205文学院050103汉语言文字学76 64 120 127 387关肖107366620900207文学院050103汉语言文字学68 71 114 122 375张海荣107366620900210文学院050103汉语言文字学70 67 112 112 361尚秀娟107366620900220文学院050103汉语言文字学67 60 111 122 360王云107366620900221文学院050103汉语言文字学72 66 101 105 344何进107366620900226文学院050104中国古典文献学76 69 103 114 362常艳霞107366620900229文学院050104中国古典文献学76 58 111 114 359张俊娅107366620900239文学院050105中国古代文学70 65 107 114 356尹雪107366620900241文学院050105中国古代文学65 61 115 121 362朱思伟107366620900245文学院050105中国古代文学67 67 116 116 366方慧107366620900247文学院050105中国古代文学70 52 111 123 356曹珺奇107366620900251文学院050105中国古代文学68 63 108 130 369李振淼107366620900253文学院050105中国古代文学76 55 128 117 376曹芙蓉107366620900254文学院050105中国古代文学70 74 120 125 389李琪107366620900257文学院050105中国古代文学70 67 130 126 393姬蓓107366620900261文学院050105中国古代文学72 54 116 105 347康小芹107366620900262文学院050105中国古代文学72 53 121 107 353理类联考李赟107366620900263文学院050105中国古代文学77 65 121 111 374 邵欢107366620900264文学院050105中国古代文学74 50 116 111 351 贾群107366620900265文学院050105中国古代文学71 51 122 129 373 缪云好107366620900268文学院050105中国古代文学79 64 121 133 397 陈林107366620900269文学院050105中国古代文学65 60 121 121 367 唐妍107366620900270文学院050105中国古代文学62 67 119 104 352 于媛107366620900272文学院050105中国古代文学75 61 129 114 379 袁红娟107366620900273文学院050105中国古代文学79 67 119 122 387 金书宇107366620900275文学院050105中国古代文学71 68 132 129 400 罗佩轩107366620900276文学院050105中国古代文学60 72 128 115 375 闫瑞107366620900283文学院050105中国古代文学70 62 117 122 371 单晓芳107366620900285文学院050105中国古代文学68 69 125 113 375 窦玲玉107366620900288文学院050105中国古代文学66 60 116 123 365 夏盼园107366620900292文学院050105中国古代文学65 78 121 100 364 刘亚洁107366620900294文学院050105中国古代文学76 58 127 119 380 魏丽君107366620900298文学院050105中国古代文学77 51 113 106 347 朱向红107366620900306文学院050105中国古代文学74 51 111 115 351 寇小娟107366620900320文学院050105中国古代文学76 68 131 130 405 王春燕107366620900331文学院050105中国古代文学63 52 130 129 374 张子清107366620900333文学院050105中国古代文学73 68 117 115 373 鲁国霞107366620900334文学院050105中国古代文学65 51 128 122 366 高菊107366620900340文学院050105中国古代文学67 66 125 111 369 杨东兴107366620900351文学院050105中国古代文学76 54 112 117 359 李潇107366620900352文学院050105中国古代文学75 59 126 130 390理类联考张萍107366620900353文学院050105中国古代文学71 57 111 120 359移飞燕107366620900355文学院050105中国古代文学69 64 125 95 353石婷107366620900363文学院050105中国古代文学73 55 126 102 356戚晶107366620900382文学院050106中国现当代文学63 65 131 104 363颉红霞107366620900389文学院050106中国现当代文学69 58 119 112 358陈颖107366620900392文学院050106中国现当代文学72 66 129 130 397杨光107366620900397文学院050106中国现当代文学60 37 112 99 308 少数民族骨干专项计划胡海雁107366620900408文学院050106中国现当代文学74 58 112 105 349刘志珍107366620900409文学院050106中国现当代文学72 57 114 111 354闫银花107366620900410文学院050106中国现当代文学68 58 107 124 357宋丹107366620900416文学院050106中国现当代文学69 65 128 121 383王圆107366620900417文学院050106中国现当代文学66 72 120 107 365寇宴榕107366620900420文学院050106中国现当代文学68 58 118 117 361刘娟107366620900427文学院050108比较文学与世界文学76 54 117 111 358孙千茹107366620900430文学院050108比较文学与世界文学72 67 99 115 353张群107366620900435文学院050108比较文学与世界文学74 84 115 96 369代佳欣107366620900436文学院050108比较文学与世界文学68 61 121 106 356彭宇107366620900450历史文化学院060100考古学64 64 184 0 312王曦晨107366620900467历史文化学院060200中国史65 53 193 0 311张顺晰107366620900470历史文化学院060200中国史69 47 192 0 308罗昀成107366620900475历史文化学院060200中国史75 50 184 0 309王娟花107366620900481历史文化学院060200中国史79 57 181 0 317马元晖107366620900507历史文化学院060200中国史71 46 260 0 377李纳107366620900514历史文化学院060200中国史68 55 177 0 300 大学生志愿服务西部计划加10分理类联考李佳佳107366620900536历史文化学院060200中国史77 61 173 0 311张文颖107366620900549历史文化学院060200中国史63 53 190 0 306王虎107366620900555历史文化学院060200中国史73 47 186 0 306强政隆107366620900556历史文化学院060200中国史73 42 198 0 313李景辉107366620900559历史文化学院060200中国史71 71 199 0 341陈思思107366620900563历史文化学院060200中国史65 55 187 0 307薛娜107366620900569历史文化学院060200中国史77 49 191 0 317王少鹏107366620900581历史文化学院060200中国史73 48 207 0 328孙宁107366620900587历史文化学院060200中国史71 68 176 0 315张亮平107366620900594历史文化学院060200中国史68 58 186 0 312张建虎107366620900603历史文化学院060200中国史70 58 179 0 307王一婷107366620900620历史文化学院060200中国史83 64 175 0 322沈辉107366620900648历史文化学院060200中国史73 66 202 0 341张琦107366620900657历史文化学院060200中国史74 49 191 0 314王会玲107366620900673历史文化学院060300世界史70 66 208 0 344刘国伟107366620900674历史文化学院060300世界史74 54 186 0 314曹睿107366620900681历史文化学院060300世界史73 46 201 0 320夏珍珍107366620900691历史文化学院060300世界史68 47 196 0 311罗婷107366620900693历史文化学院065100文物与博物馆54 45 212 0 311刘兴臻107366620900695历史文化学院065100文物与博物馆68 52 255 0 375张俊雅107366620900701历史文化学院065100文物与博物馆73 53 256 0 382丁建伟107366620900706历史文化学院065100文物与博物馆69 31 222 0 322 少数民族骨干专项计划马佳俐107366620900711历史文化学院065100文物与博物馆58 59 243 0 360刘燕107366620900715历史文化学院065100文物与博物馆68 68 233 0 369理类联考韦婷婷107366620900721教育学院040101教育学原理71 64 194 0 329 刘昕107366620900737教育学院040101教育学原理78 69 183 0 330 金妍序107366620900740教育学院040101教育学原理62 68 199 0 329 马飞107366620900742教育学院040101教育学原理73 51 211 0 335 赵康艳107366620900744教育学院040101教育学原理71 58 209 0 338 李腾107366620900747教育学院040101教育学原理71 51 202 0 324 武天宏107366620900758教育学院040101教育学原理75 47 198 0 320 何雪琴107366620900765教育学院040101教育学原理70 72 207 0 349 赵宁107366620900769教育学院040101教育学原理64 60 198 0 322 王茜107366620900779教育学院040101教育学原理76 52 214 0 342 王曦107366620900793教育学院040101教育学原理70 62 212 0 344 徐福珍107366620900801教育学院040101教育学原理74 63 184 0 321 王新107366620900820教育学院040101教育学原理74 69 174 0 317 翟雨辰107366620900822教育学院040101教育学原理66 71 189 0 326 马国莉107366620900825教育学院040101教育学原理67 56 212 0 335 朱丽桢107366620900827教育学院040102课程与教学论71 66 215 0 352 徐艳霞107366620900831教育学院040102课程与教学论72 68 202 0 342 魏子涵107366620900832教育学院040102课程与教学论71 64 183 0 318 缐海婷107366620900836教育学院040102课程与教学论70 73 176 0 319 张婷婷107366620900840教育学院040102课程与教学论74 52 191 0 317 袁子巧107366620900848教育学院040102课程与教学论72 54 195 0 321 王亚囡107366620900856教育学院040102课程与教学论56 58 219 0 333 赵复婧107366620900860教育学院040102课程与教学论68 67 221 0 356 王玉婷107366620900867教育学院040102课程与教学论70 67 186 0 323理类联考赵野107366620900868教育学院040102课程与教学论73 60 198 0 331 陈开心107366620900875教育学院040102课程与教学论69 67 188 0 324 孟甜107366620900885教育学院040102课程与教学论70 55 204 0 329 蒋蓥谦107366620900899教育学院040102课程与教学论64 42 212 0 318 刘冰107366620900900教育学院040102课程与教学论72 62 240 0 374 耿艳妮107366620900906教育学院040102课程与教学论59 51 236 0 346 闫佳洁107366620900908教育学院040102课程与教学论59 59 217 0 335 刘晶晶107366620900909教育学院040102课程与教学论68 59 232 0 359 王红霞107366620900911教育学院040102课程与教学论55 66 202 0 323 席燕灵107366620900912教育学院040102课程与教学论64 71 234 0 369 崔婧107366620900913教育学院040102课程与教学论71 56 229 0 356 张帅107366620900915教育学院040102课程与教学论73 43 205 0 321 孙向群107366620900917教育学院040102课程与教学论69 48 240 0 357 周梦婷107366620900918教育学院040102课程与教学论69 72 231 0 372 董朝颜107366620900920教育学院040102课程与教学论69 63 228 0 360 郝世乐107366620900921教育学院040102课程与教学论73 50 243 0 366 吴宏伟107366620900927教育学院040102课程与教学论68 47 233 0 348 王玥107366620900933教育学院040102课程与教学论60 44 231 0 335 杨建霞107366620900934教育学院040102课程与教学论73 44 249 0 366 蒋永霞107366620900941教育学院040102课程与教学论63 53 248 0 364 梁鑫107366620900945教育学院040103教育史69 72 219 0 360 郭鉴107366620900948教育学院040103教育史75 74 227 0 376 陈京来107366620900951教育学院040103教育史76 67 201 0 344 李晶晶107366620900952教育学院040103教育史69 76 206 0 351理类联考代玉芬107366620900958教育学院040103教育史61 61 158 0 280 少数民族骨干专项计划汪玉107366620900971教育学院040105学前教育学68 62 191 0 321芮玉彬107366620900988教育学院040105学前教育学63 70 187 0 320杨欣107366620900990教育学院040105学前教育学71 63 209 0 343于珍珍107366620900997教育学院040105学前教育学80 64 208 0 352王文清107366620901011教育学院040105学前教育学72 67 178 0 317苏泽林107366620901036教育学院040105学前教育学65 61 183 0 309 少数民族骨干专项计划王莉娟107366620901040教育学院040105学前教育学68 66 190 0 324鲁梦鸽107366620901051教育学院040105学前教育学68 37 181 0 286 少数民族骨干专项计划牟海飞107366620901053教育学院040105学前教育学72 62 184 0 318路妍妍107366620901054教育学院040105学前教育学74 59 227 0 360韩贝贝107366620901071教育学院040105学前教育学68 57 216 0 341王景107366620901079教育学院040105学前教育学69 54 197 0 320闫敏楠107366620901081教育学院040105学前教育学74 62 230 0 366马玲娜107366620901082教育学院040105学前教育学58 42 147 0 247 少数民族骨干专项计划马晓静107366620901093教育学院040105学前教育学67 52 203 0 322王秀丽107366620901095教育学院040105学前教育学69 69 187 0 325徐琳107366620901098教育学院040105学前教育学73 52 198 0 323李英英107366620901104教育学院040105学前教育学71 47 202 0 320张家荣107366620901114教育学院040105学前教育学70 66 185 0 321史亚亚107366620901128教育学院040106高等教育学78 65 217 0 360赵晋立107366620901133教育学院040106高等教育学73 82 186 0 341高桂107366620901135教育学院040106高等教育学71 65 198 0 334尤小清107366620901139教育学院040106高等教育学75 75 236 0 386理类联考周焕春107366620901150教育学院040109特殊教育学58 73 189 0 320许柯107366620901168教育学院040109特殊教育学74 70 174 0 318何转霞107366620901170教育学院040109特殊教育学78 66 182 0 326李莉莉107366620901171教育学院040109特殊教育学72 58 207 0 337高倩怡107366620901175教育学院040109特殊教育学75 82 179 0 336樊寿娜107366620901184教育学院0401Z2少年儿童组织与思想意识教育69 54 197 0 320范湘翎107366620901193教育学院045102学科教学(思政)65 48 102 101 316尉心华107366620901195教育学院045102学科教学(思政)71 58 106 96 331李娟107366620901196教育学院045102学科教学(思政)58 62 93 102 315张立金107366620901208教育学院045102学科教学(思政)71 47 107 121 346万腾飞107366620901211教育学院045102学科教学(思政)69 47 125 128 369杨妮107366620901215教育学院045102学科教学(思政)69 60 125 128 382郭丹107366620901216教育学院045102学科教学(思政)62 48 135 108 353王采芳107366620901217教育学院045102学科教学(思政)76 63 122 116 377杨竹韵107366620901220教育学院045102学科教学(思政)64 47 128 102 341陈蓉107366620901229教育学院045103学科教学(语文)67 50 111 103 331马丹107366620901232教育学院045103学科教学(语文)57 40 102 106 305 享受少数民族政策考生赵源珍107366620901233教育学院045103学科教学(语文)65 52 110 106 333陶铭航107366620901244教育学院045103学科教学(语文)75 54 104 102 335吴彤107366620901256教育学院045103学科教学(语文)73 46 130 115 364李海义107366620901257教育学院045103学科教学(语文)78 42 120 101 341张力也107366620901259教育学院045103学科教学(语文)77 47 116 111 351陈昕107366620901269教育学院045103学科教学(语文)71 60 102 118 351唐晓丽107366620901275教育学院045103学科教学(语文)75 48 108 116 347理类联考唐勇峰107366620901284教育学院045103学科教学(语文)74 55 110 115 354张帆107366620901292教育学院045103学科教学(语文)74 59 105 106 344贺彩芳107366620901293教育学院045103学科教学(语文)75 63 107 111 356许嘉蓉107366620901298教育学院045103学科教学(语文)60 57 112 127 356陈晓婷107366620901299教育学院045103学科教学(语文)70 56 110 117 353王颖107366620901303教育学院045103学科教学(语文)54 45 108 91 298 少数民族骨干专项计划邓罗笠107366620901306教育学院045103学科教学(语文)69 58 107 102 336卢敏107366620901309教育学院045103学科教学(语文)77 56 113 96 342李妍107366620901315教育学院045103学科教学(语文)62 43 128 109 342司晶晶107366620901322教育学院045103学科教学(语文)72 63 100 114 349蒋霄107366620901324教育学院045103学科教学(语文)71 54 116 101 342黄涛107366620901330教育学院045103学科教学(语文)61 52 107 111 331曹晓萱107366620901333教育学院045103学科教学(语文)69 56 125 98 348马步清107366620901334教育学院045103学科教学(语文)70 64 109 114 357周亚云107366620901336教育学院045103学科教学(语文)75 65 109 118 367石灿107366620901340教育学院045103学科教学(语文)71 52 119 129 371周婧107366620901342教育学院045103学科教学(语文)73 53 106 111 343郝建莹107366620901349教育学院045103学科教学(语文)72 56 119 116 363李俊彦107366620901354教育学院045104学科教学(数学)70 57 123 121 371卢秀兰107366620901355教育学院045104学科教学(数学)66 63 120 105 354左婧婷107366620901376教育学院045104学科教学(数学)73 55 115 112 355张彦倩107366620901382教育学院045104学科教学(数学)61 56 101 104 322牛亚琼107366620901383教育学院045104学科教学(数学)69 48 89 126 332张文107366620901384教育学院045104学科教学(数学)64 60 104 125 353理类联考白若雪107366620901388教育学院045104学科教学(数学)69 62 120 124 375杨静107366620901393教育学院045104学科教学(数学)70 63 100 113 346马小琴107366620901397教育学院045104学科教学(数学)76 62 117 109 364 少数民族骨干专项计划王彤107366620901398教育学院045104学科教学(数学)70 61 114 107 352高玲玲107366620901399教育学院045104学科教学(数学)67 58 121 124 370马伟民107366620901406教育学院045104学科教学(数学)69 50 94 106 319锁建军107366620901407教育学院045104学科教学(数学)65 24 84 107 280 少数民族骨干专项计划曾永菲107366620901409教育学院045104学科教学(数学)63 44 104 123 334马云107366620901412教育学院045104学科教学(数学)70 67 103 102 342任景涛107366620901430教育学院045106学科教学(化学)73 71 113 129 386张爱萍107366620901440教育学院045106学科教学(化学)61 55 113 124 353陈德叶107366620901442教育学院045106学科教学(化学)68 50 95 111 324王敏107366620901443教育学院045106学科教学(化学)61 64 106 121 352马燕飞107366620901444教育学院045106学科教学(化学)56 59 94 122 331豆彤彤107366620901454教育学院045107学科教学(生物)68 51 85 106 310马梦如107366620901455教育学院045107学科教学(生物)65 33 93 111 302 少数民族骨干专项计划扈甜107366620901461教育学院045107学科教学(生物)70 67 107 120 364张永强107366620901462教育学院045109学科教学(历史)65 48 100 102 315易莎莎107366620901464教育学院045109学科教学(历史)69 54 106 104 333杨欢107366620901465教育学院045109学科教学(历史)75 62 121 121 379段琼瑶107366620901473教育学院045109学科教学(历史)70 58 108 114 350周思佳107366620901475教育学院045109学科教学(历史)75 43 95 99 312闫慧芳107366620901478教育学院045110学科教学(地理)76 58 112 137 383尚文婷107366620901479教育学院045110学科教学(地理)74 68 102 110 354理类联考吴让谦107366620901480教育学院045110学科教学(地理)64 48 105 107 324李亚倩107366620901483教育学院045110学科教学(地理)75 66 123 130 394钱永强107366620901488教育学院045110学科教学(地理)69 44 111 99 323王佳佳107366620901500教育学院045110学科教学(地理)66 61 96 120 343折灵飞107366620901501教育学院045110学科教学(地理)73 49 91 101 314王佳音107366620901504教育学院045110学科教学(地理)59 46 105 114 324侯美娟107366620901505教育学院045110学科教学(地理)71 61 71 114 317董菁107366620901511教育学院045110学科教学(地理)73 70 123 131 397张军爱107366620901512教育学院045110学科教学(地理)77 59 122 122 380马建平107366620901513教育学院045110学科教学(地理)67 52 113 103 335李丽丽107366620901519教育学院045118学前教育65 43 123 96 327王彩艳107366620901524教育学院045118学前教育60 47 92 113 312 少数民族骨干专项计划李佳璇107366620901528教育学院045118学前教育73 50 103 120 346申涵子107366620901535教育学院045118学前教育68 56 94 123 341马娇107366620901541教育学院045118学前教育57 50 106 103 316康丽君107366620901550教育学院045118学前教育68 49 108 112 337陈瑞107366620901562教育学院045118学前教育70 61 127 120 378吴煜107366620901588教育学院045118学前教育59 48 125 106 338李红玲107366620901592教育学院045118学前教育57 24 102 93 276 少数民族骨干专项计划魏丹107366620901596教育学院045118学前教育70 52 124 100 346李景107366620901600教育学院045118学前教育77 53 113 116 359李慧107366620901605教育学院045118学前教育63 49 107 119 338张焱107366620901606教育学院045118学前教育55 45 113 108 321薛雅婷107366620901607教育学院045118学前教育75 58 124 100 357理类联考张瑛107366620901613教育学院045119特殊教育65 50 100 132 347 魏晓玲107366620901614教育学院120403教育经济与管理70 64 117 107 358 黄静妍107366620901617教育学院120403教育经济与管理58 51 117 117 343 曾骋107366620901619教育学院120403教育经济与管理73 48 137 140 398 张玮凌107366620901621教育学院120403教育经济与管理55 60 136 135 386 毛金莲107366620901625教育学院120403教育经济与管理69 55 112 112 348 殷琪107366620901626教育学院120403教育经济与管理61 46 115 116 338 李昌凯107366620901629教育学院120403教育经济与管理72 54 123 123 372 李少东107366620901630心理学院040201基础心理学79 55 203 0 337 王海恩107366620901634心理学院040201基础心理学81 64 245 0 390 潘超超107366620901643心理学院040201基础心理学77 70 237 0 384 梁婷107366620901651心理学院040202发展与教育心理学70 56 236 0 362 刘小青107366620901660心理学院040202发展与教育心理学66 50 224 0 340 雒姌107366620901671心理学院040202发展与教育心理学68 70 244 0 382 王帆107366620901674心理学院040202发展与教育心理学67 67 235 0 369 薛西107366620901682心理学院040202发展与教育心理学64 66 239 0 369 汪李玲107366620901685心理学院040202发展与教育心理学66 66 208 0 340 付军军107366620901686心理学院040202发展与教育心理学80 70 224 0 374 信同童107366620901691心理学院040203应用心理学76 61 234 0 371 曹黎107366620901695心理学院040203应用心理学72 57 211 0 340 石莹波107366620901701心理学院040203应用心理学69 70 201 0 340 车娜娜107366620901704心理学院040203应用心理学62 64 206 0 332 苏红婷107366620901711心理学院040203应用心理学75 68 203 0 346 高丹107366620901729心理学院040203应用心理学73 60 200 0 333理类联考何圆圆107366620901743心理学院040203应用心理学67 63 226 0 356丁爱玲107366620901744心理学院040203应用心理学70 60 208 0 338王斌强107366620901745心理学院040203应用心理学73 66 217 0 356张雪清107366620901755心理学院045116心理健康教育67 58 94 120 339张静107366620901757心理学院045116心理健康教育60 57 91 106 314张琼107366620901761心理学院045116心理健康教育51 30 69 134 284 少数民族骨干专项计划郭佳星107366620901762心理学院045116心理健康教育53 50 80 132 315叶建霞107366620901766心理学院045116心理健康教育66 63 82 146 357金得华107366620901769心理学院045116心理健康教育72 54 115 145 386石倩107366620901773心理学院045116心理健康教育51 47 80 135 313张晓琴107366620901775心理学院045400应用心理72 61 212 0 345王芳平107366620901776心理学院045400应用心理71 54 255 0 380薛海丽107366620901777心理学院045400应用心理71 54 195 0 320于新悦107366620901778心理学院045400应用心理70 68 224 0 362夏瑞洲107366620901779心理学院045400应用心理68 57 189 0 314丁亚琴107366620901781心理学院045400应用心理61 51 204 0 316马莉107366620901782心理学院045400应用心理64 48 208 0 320孙柏107366620901787心理学院045400应用心理58 50 213 0 321刘红梅107366620901788心理学院045400应用心理72 61 240 0 373李全喜107366620901789心理学院045400应用心理68 45 229 0 342刘平107366620901790心理学院045400应用心理55 55 205 0 315姚东伟107366620901792心理学院045400应用心理73 62 203 0 338周琦107366620901794心理学院045400应用心理55 43 244 0 342王思雅107366620901797心理学院045400应用心理55 51 240 0 346理类联考麻馨允107366620901802心理学院045400应用心理63 55 231 0 349任静107366620901808心理学院045400应用心理59 52 239 0 350马永瑞107366620901816心理学院045400应用心理65 52 212 0 329刘凯荣107366620901817心理学院045400应用心理68 43 215 0 326高彩烨107366620901818心理学院045400应用心理66 49 220 0 335朱春艳107366620901823心理学院045400应用心理66 54 246 0 366杨文华107366620901825心理学院045400应用心理64 43 216 0 323范琪107366620901830心理学院045400应用心理63 36 166 0 265 退伍大学生士兵专项计划牛雅萍107366620901836心理学院045400应用心理67 66 217 0 350张艺琼107366620901841心理学院045400应用心理61 52 215 0 328崔子祺107366620901843心理学院045400应用心理71 56 214 0 341马熙凤107366620901844心理学院045400应用心理57 34 256 0 347 少数民族骨干专项计划马玫暄107366620901855心理学院045400应用心理66 55 264 0 385赵佳妮107366620901861心理学院045400应用心理54 46 225 0 325韦祎107366620901865心理学院045400应用心理61 66 236 0 363令有为107366620901866心理学院045400应用心理53 53 225 0 331桑广德107366620901868心理学院045400应用心理66 51 199 0 316李永强107366620901871马克思主义学院010101马克思主义哲学60 38 106 67 271马永霞107366620901875马克思主义学院010101马克思主义哲学55 54 103 66 278黄亚莉107366620901877马克思主义学院010101马克思主义哲学65 60 115 109 349何紫菱107366620901878马克思主义学院010101马克思主义哲学59 43 102 73 277宋有博107366620901879马克思主义学院010101马克思主义哲学72 64 109 104 349周娜107366620901885马克思主义学院010101马克思主义哲学71 50 118 98 337杨芮107366620901886马克思主义学院010101马克思主义哲学64 53 115 108 340理类联考祁金凤107366620901888马克思主义学院010101马克思主义哲学62 37 109 88 296马继107366620901890马克思主义学院010101马克思主义哲学72 45 105 105 327 少数民族骨干专项计划田华107366620901892马克思主义学院010101马克思主义哲学58 52 96 78 284李雅瑾107366620901896马克思主义学院010102中国哲学62 59 115 112 348康冬冬107366620901902马克思主义学院010102中国哲学56 61 116 118 351刘婷107366620901903马克思主义学院010102中国哲学63 38 120 126 347张海霞107366620901907马克思主义学院010102中国哲学69 38 122 109 338李新灵107366620901908马克思主义学院010102中国哲学70 66 110 122 368张伟鹏107366620901911马克思主义学院010102中国哲学69 34 102 98 303张永祯107366620901912马克思主义学院010102中国哲学60 33 124 105 322苏朋朋107366620901913马克思主义学院010102中国哲学73 33 115 109 330丁继惠107366620901914马克思主义学院010102中国哲学60 53 118 104 335马伟107366620901915马克思主义学院010102中国哲学60 20 106 113 299 少数民族骨干专项计划徐芳雁107366620901920马克思主义学院010103外国哲学58 41 95 91 285李文浩107366620901923马克思主义学院010103外国哲学54 40 101 119 314郑伟召107366620901926马克思主义学院010103外国哲学74 44 128 107 353罗鹏107366620901930马克思主义学院010105伦理学65 35 130 126 356李臻107366620901934马克思主义学院030201政治学理论66 51 104 107 328朱荣荣107366620901937马克思主义学院030201政治学理论69 56 98 93 316胡田田107366620901938马克思主义学院030206国际政治65 39 111 98 313 退伍大学生士兵专项计划刘鹏107366620901941马克思主义学院030206国际政治60 57 112 92 321李雪艳107366620901949马克思主义学院030501马克思主义基本原理78 62 133 108 381张鑫107366620901951马克思主义学院030501马克思主义基本原理70 27 114 97 308 少数民族骨干专项计划邢质颖107366620901954马克思主义学院030501马克思主义基本原理86 59 111 100 356理类联考张成恩107366620901958马克思主义学院030501马克思主义基本原理80 74 123 105 382韩丽娟107366620901961马克思主义学院030501马克思主义基本原理64 51 87 88 290 少数民族骨干专项计划张巧君107366620901981马克思主义学院030503马克思主义中国化研究68 76 114 94 352赵鹏107366620901982马克思主义学院030503马克思主义中国化研究72 44 121 104 341雷阿芳107366620901987马克思主义学院030503马克思主义中国化研究68 68 122 104 362旦知草107366620901994马克思主义学院030505思想政治教育75 49 119 100 343 少数民族骨干专项计划张莹红107366620901999马克思主义学院030505思想政治教育74 53 107 101 335王淑红107366620902000马克思主义学院030505思想政治教育79 68 113 97 357卞倩雯107366620902006马克思主义学院030505思想政治教育69 72 102 98 341安静107366620902009马克思主义学院030505思想政治教育75 55 108 93 331张金红107366620902013马克思主义学院030505思想政治教育76 63 109 103 351辛天莉107366620902022马克思主义学院030505思想政治教育78 62 125 98 363贺亚楠107366620902024马克思主义学院030505思想政治教育65 72 103 98 338张换萍107366620902028马克思主义学院030505思想政治教育74 62 113 98 347黄露露107366620902029马克思主义学院030505思想政治教育73 61 116 97 347蒙蕾蕾107366620902039马克思主义学院030505思想政治教育70 51 122 98 341徐大祥107366620902041马克思主义学院030505思想政治教育78 49 112 103 342向丽107366620902044马克思主义学院030505思想政治教育73 66 112 97 348梁竞研107366620902045马克思主义学院030505思想政治教育79 64 110 102 355吴莹107366620902046马克思主义学院030505思想政治教育85 69 127 97 378刘晨阳107366620902047马克思主义学院030505思想政治教育66 54 118 100 338邹思良107366620902052马克思主义学院030505思想政治教育67 29 120 102 318 少数民族骨干专项计划齐婧媛107366620902055马克思主义学院030505思想政治教育65 63 109 95 332才华草107366620902056马克思主义学院030505思想政治教育67 29 108 96 300 少数民族骨干专项计划理类联考付嘉文107366620902063马克思主义学院030505思想政治教育77 58 128 101 364王鑫鑫107366620902065马克思主义学院030505思想政治教育75 65 120 102 362彭旭平107366620902070马克思主义学院030505思想政治教育68 51 130 98 347周建翔107366620902078马克思主义学院030505思想政治教育70 49 127 106 352郭文107366620902079马克思主义学院030505思想政治教育73 68 106 99 346李红107366620902080马克思主义学院030505思想政治教育70 67 116 104 357刘娜娜107366620902086社会发展与公共管理学院030301社会学71 55 129 129 384韩凤莹107366620902088社会发展与公共管理学院030301社会学74 65 141 132 412张得辉107366620902090社会发展与公共管理学院030301社会学62 46 118 115 341张弛107366620902092社会发展与公共管理学院030301社会学73 60 135 135 403谢亚兰107366620902094社会发展与公共管理学院030301社会学73 67 137 141 418常天旭107366620902096社会发展与公共管理学院030301社会学78 48 125 119 370李春晓107366620902097社会发展与公共管理学院030301社会学58 54 109 134 355马会玲107366620902098社会发展与公共管理学院035200社会工作70 32 104 109 315 少数民族骨干专项计划崔淼淼107366620902106社会发展与公共管理学院035200社会工作67 58 103 136 364潘浩107366620902111社会发展与公共管理学院035200社会工作78 52 130 142 402梁浩107366620902112社会发展与公共管理学院035200社会工作73 58 137 133 401朱志刚107366620902114社会发展与公共管理学院035200社会工作72 48 119 124 363尕松巴毛107366620902115社会发展与公共管理学院035200社会工作52 25 112 99 288 少数民族骨干专项计划李敏慧107366620902117社会发展与公共管理学院035200社会工作62 47 122 119 350沈亚东107366620902123社会发展与公共管理学院035200社会工作74 42 127 101 344王龙闪107366620902124社会发展与公共管理学院120401行政管理70 47 136 114 367李金成107366620902129社会发展与公共管理学院120401行政管理78 47 143 134 402张靓107366620902130社会发展与公共管理学院120401行政管理64 49 140 131 384理类联考杨超107366620902131社会发展与公共管理学院120401行政管理74 44 129 129 376张薇107366620902144社会发展与公共管理学院120401行政管理64 62 145 134 405马小萍107366620902149社会发展与公共管理学院120401行政管理69 37 123 108 337 少数民族骨干专项计划白佳忆107366620902158社会发展与公共管理学院120401行政管理77 60 145 124 406田菲菲107366620902166社会发展与公共管理学院120401行政管理71 57 140 109 377王倩107366620902171社会发展与公共管理学院120401行政管理62 47 133 131 373翟婧107366620902175社会发展与公共管理学院120401行政管理78 75 134 137 424鱼小敏107366620902180社会发展与公共管理学院120401行政管理76 44 137 130 387张小玲107366620902182社会发展与公共管理学院120401行政管理67 76 127 135 405魏艳琴107366620902183社会发展与公共管理学院120401行政管理67 64 138 138 407金成丽107366620902184社会发展与公共管理学院120401行政管理58 29 115 123 325 少数民族骨干专项计划仇鹏娟107366620902186社会发展与公共管理学院120401行政管理66 67 142 133 408郭琳107366620902193社会发展与公共管理学院120404社会保障61 65 140 121 387马娜107366620902195社会发展与公共管理学院120404社会保障79 43 142 141 405邹明洋107366620902196社会发展与公共管理学院120404社会保障79 45 144 128 396祁淑玲107366620902201社会发展与公共管理学院120404社会保障73 64 129 118 384冯一伟107366620902207社会发展与公共管理学院120404社会保障70 58 130 121 379袁茵107366620902216社会发展与公共管理学院125200公共管理105 72 0 0 177王柯107366620902225社会发展与公共管理学院125200公共管理102 78 0 0 180魏锦秀107366620902229社会发展与公共管理学院125200公共管理92 64 0 0 156张晓博107366620902242社会发展与公共管理学院125200公共管理117 61 0 0 178刘洋107366620902254社会发展与公共管理学院125200公共管理111 56 0 0 167王彤107366620902265社会发展与公共管理学院125200公共管理115 41 0 0 156张晓婷107366620902269社会发展与公共管理学院125200公共管理112 63 0 0 175理类联考秦莎莎107366620902273社会发展与公共管理学院125200公共管理114 42 0 0 156张雷雷107366620902281社会发展与公共管理学院125200公共管理110 54 0 0 164孟婕107366620902282社会发展与公共管理学院125200公共管理119 59 0 0 178杜汭汭107366620902283社会发展与公共管理学院125200公共管理108 58 0 0 166吴雯107366620902297社会发展与公共管理学院125200公共管理127 52 0 0 179刘治宏107366620902298社会发展与公共管理学院125200公共管理111 52 0 0 163周亚红107366620902312社会发展与公共管理学院125200公共管理116 47 0 0 163王晓雯107366620902330社会发展与公共管理学院125200公共管理84 75 0 0 159白万萍107366620902334法学院030101法学理论70 58 94 83 305张静107366620902339法学院030101法学理论73 61 109 110 353史舒元107366620902348法学院030105民商法学67 47 104 102 320陈如玉107366620902353法学院030105民商法学71 74 113 118 376滕环环107366620902355法学院030105民商法学70 49 103 126 348陈凯华107366620902357法学院030105民商法学64 43 111 88 306张丽婷107366620902361法学院030105民商法学69 48 107 93 317董怡雯107366620902362法学院030105民商法学73 65 116 97 351裴婉玉107366620902363法学院030105民商法学68 53 92 96 309谈红婵107366620902364法学院030105民商法学74 63 94 86 317张艺馨107366620902365法学院030105民商法学71 60 97 86 314肖玉明107366620902366法学院030105民商法学56 43 105 98 302 少数民族骨干专项计划刘博107366620902369法学院030106诉讼法学66 54 103 96 319张悦107366620902370法学院030106诉讼法学66 53 106 97 322岳振霞107366620902372法学院030106诉讼法学60 43 102 121 326马翠萍107366620902373法学院030106诉讼法学58 62 114 107 341理类联考俞昊鹏107366620902375法学院030106诉讼法学78 68 116 110 372王青107366620902380法学院030106诉讼法学65 57 108 94 324武荣107366620902387法学院030106诉讼法学73 52 112 90 327陈钰107366620902415法学院035101法律(非法学)64 61 110 106 341刘志强107366620902460经济学院020204金融学70 65 92 116 343张雄刚107366620902465经济学院020204金融学65 67 83 125 340梁文霞107366620902491经济学院027000统计学65 53 101 121 340梁顺强107366620902494商学院020205产业经济学79 56 72 128 335郭靖韬107366620902517商学院125300会计127 44 0 0 171 退伍大学生士兵专项计划闫耀国107366620902519商学院125300会计119 50 0 0 169刘爽杰107366620902522商学院125300会计123 48 0 0 171林响107366620902525商学院125300会计135 49 0 0 184冯雅琪107366620902526商学院125300会计111 63 0 0 174常钦荣107366620902532商学院125300会计127 42 0 0 169刘阳107366620902547商学院125300会计123 61 0 0 184蔡凌波107366620902549商学院125300会计130 53 0 0 183强楠107366620902550商学院125300会计124 57 0 0 181高梅107366620902552商学院125300会计118 51 0 0 169刘梦107366620902559商学院125300会计125 66 0 0 191李丹107366620902560商学院125300会计147 64 0 0 211赵康旭107366620902562商学院125300会计124 51 0 0 175王文鹤107366620902567商学院125300会计120 49 0 0 169张琦107366620902568商学院125300会计132 63 0 0 195曹璇107366620902569商学院125300会计114 58 0 0 172理类联考宋洋洋107366620902571商学院125300会计130 47 0 0 177 马博闻107366620902575商学院125300会计154 52 0 0 206 张昊107366620902578商学院125300会计123 49 0 0 172 刘致源107366620902580商学院125300会计128 59 0 0 187 闫静慧107366620902582商学院125300会计126 47 0 0 173 张孜敏107366620902588商学院125300会计118 70 0 0 188 李振国107366620902594商学院125300会计122 48 0 0 170 龚雪媛107366620902596商学院125300会计146 57 0 0 203 高乾德107366620902607商学院125300会计108 68 0 0 176 郭哲浩107366620902609商学院125300会计121 51 0 0 172 车颖107366620902610商学院125300会计121 52 0 0 173 汪旭强107366620902623商学院125300会计113 61 0 0 174 田花花107366620902624商学院125300会计120 66 0 0 186 王妍107366620902632商学院125300会计134 64 0 0 198 王雷107366620902635商学院125300会计133 54 0 0 187 景觉灵107366620902640商学院125300会计137 71 0 0 208 侯丹107366620902651商学院125300会计126 48 0 0 174 薛砚文107366620902657商学院125300会计123 66 0 0 189 郝瑞琪107366620902660商学院125300会计133 62 0 0 195 阎晨光107366620902663商学院125300会计140 43 0 0 183 张驰107366620902665商学院125300会计134 64 0 0 198 刘文霞107366620902667商学院125300会计125 46 0 0 171 徐佳107366620902670商学院125300会计121 66 0 0 187 姜国姣107366620902671商学院125300会计125 53 0 0 178理类联考赵璐莹107366620902675商学院125300会计122 54 0 0 176 郭宝婷107366620902680商学院125300会计134 49 0 0 183 吴静宜107366620902685商学院125300会计131 50 0 0 181 张雅如107366620902686商学院125300会计133 81 0 0 214 卜婷婷107366620902687商学院125300会计131 52 0 0 183 邓辉清107366620902694商学院125300会计112 62 0 0 174 王生东107366620902697商学院125300会计125 60 0 0 185 文瑞107366620902702商学院125300会计122 57 0 0 179 刘思航107366620902710商学院125300会计128 44 0 0 172 赵雅雯107366620902715商学院125300会计132 58 0 0 190 许承玲107366620902722外国语学院040102课程与教学论71 73 175 0 319 孙亮亮107366620902726外国语学院040102课程与教学论56 74 200 0 330 张金慧107366620902736外国语学院040102课程与教学论64 71 191 0 326 王皓107366620902741外国语学院040102课程与教学论67 85 164 0 316 魏慧辉107366620902746外国语学院040102课程与教学论70 65 182 0 317 刘雯107366620902747外国语学院040102课程与教学论70 67 179 0 316 吕倩倩107366620902766外国语学院040102课程与教学论73 59 178 0 310 杨明托107366620902767外国语学院040102课程与教学论70 71 209 0 350 张小花107366620902778外国语学院040102课程与教学论70 59 200 0 329 王蕾107366620902781外国语学院040102课程与教学论69 78 176 0 323 张艳107366620902788外国语学院040102课程与教学论68 87 209 0 364 周盼107366620902799外国语学院040102课程与教学论67 75 189 0 331 谭梦婷107366620902803外国语学院045108学科教学(英语)70 64 118 99 351 华晓莉107366620902808外国语学院045108学科教学(英语)75 74 114 115 378。
哲学与政府管理学院010101马克思主义哲学107188612200518王雨晨3886957131131全日制哲学与政府管理学院010101马克思主义哲学107188141307068杨虹3877256124135全日制哲学与政府管理学院010101马克思主义哲学107188612200515赵蕊3796445131139全日制哲学与政府管理学院010101马克思主义哲学107188612200514祁曼3726746128131全日制哲学与政府管理学院010101马克思主义哲学107188620414178王致轩3607065110115全日制哲学与政府管理学院010102中国哲学107188431012130高方勇3888162121124全日制哲学与政府管理学院010102中国哲学107188412311144王田田3796963126121全日制哲学与政府管理学院010102中国哲学107188321708957李东升3737357120123全日制哲学与政府管理学院010102中国哲学107188414111438张聪3736856133116全日制哲学与政府管理学院010102中国哲学107188501312802刘彧言3676262120123全日制哲学与政府管理学院010103外国哲学107188130205311王大双3816568125123全日制哲学与政府管理学院010103外国哲学107188612200530焦旭鑫3756957123126全日制哲学与政府管理学院010103外国哲学107188140806297崔雅鑫3456851109117全日制哲学与政府管理学院010103外国哲学107188153108107陈佳鑫3457252110111全日制哲学与政府管理学院010103外国哲学107188612200529江星辰3435853109123全日制哲学与政府管理学院010105伦理学107188612200536杨卓文3827050128134全日制哲学与政府管理学院030101法学理论107188620614272李硕3416150125105全日制哲学与政府管理学院030101法学理论107188612200549严融3406148114117全日制哲学与政府管理学院030105民商法学107188620614273孙艳萍3906764133126全日制哲学与政府管理学院030105民商法学107188612200550刘浈3847263138111全日制哲学与政府管理学院030105民商法学107188620614274张晓亮3837249137125全日制哲学与政府管理学院030105民商法学107188612200555郭莉3666569132100全日制哲学与政府管理学院030105民商法学107188140205869霍颜365686813198全日制哲学与政府管理学院030105民商法学107188341109194李然3627151120120全日制哲学与政府管理学院030105民商法学107188612200553辛若梅3355953118105全日制哲学与政府管理学院030201政治学理论107188153108145朱虹玮3797358123125全日制哲学与政府管理学院030201政治学理论107188612201618李雯婷3216251107101全日制哲学与政府管理学院030301社会学107188612200568孔清清3507156122101全日制哲学与政府管理学院030301社会学107188511213070张文文329735010997全日制哲学与政府管理学院030302人口学107188422412005闫文慧3336655101111全日制哲学与政府管理学院030302人口学107188430212080张静雯318675610590全日制哲学与政府管理学院035200社会工作107188614313753唐梦雨4196874139138全日制哲学与政府管理学院035200社会工作107188620614321郝小媚4147581131127全日制哲学与政府管理学院035200社会工作107188360709511李珠3986872130128全日制哲学与政府管理学院035200社会工作107188612201705郑裕盈3967675129116全日制哲学与政府管理学院035200社会工作107188612201702易怡文3817263127119全日制哲学与政府管理学院035200社会工作107188612201707潘宇佳3776872122115全日制哲学与政府管理学院035200社会工作107188612201709王卓文3686973113113全日制哲学与政府管理学院035200社会工作107188140606179裴思媛3677871115103全日制哲学与政府管理学院035200社会工作107188231608713周郑武3656767118113全日制哲学与政府管理学院035200社会工作107188131605726李亚奇341776511188全日制哲学与政府管理学院035200社会工作107188150207815艾媛3416163114103全日制哲学与政府管理学院035200社会工作107188620214062王慧338676311296全日制哲学与政府管理学院035200社会工作107188612201714江丹332657010691全日制哲学与政府管理学院035200社会工作107188612201711王芮316586410787全日制哲学与政府管理学院120401行政管理107188612200655张舒涵4077574140118全日制哲学与政府管理学院120401行政管理107188542813531相佳杨3987363130132全日制哲学与政府管理学院120401行政管理107188612200643梁明明3857154134126全日制哲学与政府管理学院120401行政管理107188360109401师艺文3847159127127全日制哲学与政府管理学院120401行政管理107188612200618范小草3817063124124全日制哲学与政府管理学院120401行政管理107188321208915朱向宁3776862128119全日制哲学与政府管理学院120401行政管理107188211308372李绚3766861131116全日制哲学与政府管理学院120401行政管理107188415411762熊艳萍3757060123122全日制国际商学院020101政治经济学107188612200117王玮334696472129全日制107188612200127张小倩342715584132全日制国际商学院020106人口、资源与环境经济国际商学院020201国民经济学107188120505263金云鹤3706959103139全日制国际商学院020201国民经济学107188612200150高方园365806492129全日制国际商学院020201国民经济学107188612200140郭静怡3636865112118全日制国际商学院020201国民经济学107188612200157宋二行356715588142全日制国际商学院020201国民经济学107188612200151刘鑫332616577129全日制国际商学院020203财政学107188612200159吕晓文366756490137全日制国际商学院020203财政学107188612200162田亥337814768141全日制国际商学院020204金融学107188612200184付约361747076141全日制国际商学院020204金融学107188411711030周梦356696296129全日制国际商学院020204金融学107188612200180王洁怡353716585132全日制国际商学院020204金融学107188612200187赵婧331716774119全日制国际商学院020205产业经济学107188612200188张馨之355756289129全日制国际商学院020205产业经济学107188612200205李航340705484132全日制国际商学院020205产业经济学107188612200204王丽巧335745582124全日制国际商学院020208统计学107188621214708李乐乐3416352103123全日制国际商学院120201会计学107188612200218任娟358756098125全日制国际商学院120201会计学107188612200248张颖培347675298130全日制国际商学院120201会计学107188612200220白晨阳3427060107105全日制国际商学院120201会计学107188612200243周思梦339745775133全日制国际商学院120201会计学107188415411760平凌云336606985122全日制国际商学院120201会计学107188612200217吕丹335735582125全日制国际商学院120201会计学107188612200229刘芳3316754102108全日制国际商学院120201会计学107188621214709赵婉辰331676979116全日制国际商学院120202企业管理107188612200258方嘉锐363717195126全日制国际商学院120202企业管理107188612200280杨璇359676096136全日制国际商学院120202企业管理107188612200282马家豪3596860114117全日制国际商学院120202企业管理107188612200284周怡欣344656194124全日制国际商学院120202企业管理107188141106643潘贺桥340685693123全日制国际商学院120202企业管理107188140505975刘晓鑫337716574127全日制国际商学院120202企业管理107188140906323王钰涵335746774120全日制107188612200660朱昱璇4157374135133全日制国际商学院120402社会医学与卫生事业管国际商学院120402社会医学与卫生事业管107188612200663李晓路3787362130113全日制国际商学院120404社会保障107188612200667陈园3757354117131全日制国际商学院120404社会保障107188140105818首琪3746757129121全日制国际商学院120404社会保障107188140405938张道凯3717845122126全日制国际商学院120404社会保障107188371110128王莹3576957121110全日制国际商学院120405土地资源管理107188612200669丁金鹏3917068124129全日制国际商学院120405土地资源管理107188370209794杨蕊3637250117124全日制国际商学院120405土地资源管理107188370910086李令磊3546644120124全日制国际商学院120405土地资源管理107188612200668朱镕康3406046120114全日制教育学院040101教育学原理107188141106650葛薇36969692310全日制教育学院040101教育学原理107188350509302张珊36569742220全日制教育学院040101教育学原理107188460412657焦龙保36273702190全日制教育学院040101教育学原理107188140105792孙瑞芳36072642240全日制教育学院040101教育学原理107188141106647王娟35970652240全日制教育学院040101教育学原理107188140305891王丽娜35776712100全日制教育学院040101教育学原理107188370109558康丽35780602170全日制教育学院040101教育学原理107188612203911吕经35572792040全日制教育学院040101教育学原理107188611513549马春晖35569762100全日制教育学院040102课程与教学论107188612204013闫佳惠35670612250全日制教育学院040102课程与教学论107188612204031洪晨35369622220全日制教育学院040102课程与教学论107188231808738彭诗媛35271762050全日制教育学院040102课程与教学论107188431412162杨薇34768652140全日制教育学院040102课程与教学论107188360209468曹鸿34671532220全日制教育学院040102课程与教学论107188410510731胡慧芳34669732040全日制教育学院040102课程与教学论107188412311133张纪亮34674502220全日制教育学院040102课程与教学论107188510812913何丽34674672050全日制教育学院040103教育史107188612204061靳雪瑞36574632280全日制教育学院040103教育史107188460312626王哲文36070662240全日制教育学院040103教育史107188612204056赵越35266702160全日制教育学院040103教育史107188220608512李玲玉35170642170全日制教育学院040104比较教育学107188350109268王怡颖37370762270全日制教育学院040104比较教育学107188142207720郭倩倩36276622240全日制教育学院040104比较教育学107188370709978周玉晴36171782120全日制教育学院040104比较教育学107188131505656李子月35876652170全日制教育学院040104比较教育学107188611513551张薇35875672160全日制教育学院040105学前教育学107188411611000游玉琪38276722340全日制教育学院040105学前教育学107188214108417曹金金37376782190全日制教育学院040105学前教育学107188410510749张璐36981602280全日制教育学院040105学前教育学107188614113591张艳36983682180全日制教育学院040105学前教育学107188410510746刘蕊36880652230全日制教育学院040105学前教育学107188130305367李欣然36681632220全日制教育学院040105学前教育学107188411711038石才英36475662230全日制教育学院040105学前教育学107188410510741詹子漪36277682170全日制教育学院040105学前教育学107188612204121苏维36178612220全日制教育学院040105学前教育学107188322209011徐丽35676592210全日制教育学院040105学前教育学107188411510967张丹35679642130全日制教育学院040106高等教育学107188411611001曹冬瑞37985642300全日制教育学院040106高等教育学107188140105800白娟37870692390全日制教育学院040106高等教育学107188620213992苏琼35877612200全日制教育学院040106高等教育学107188131705732贾乃霞34873692060全日制教育学院040106高等教育学107188500312745谭凤34360702130全日制教育学院040108职业技术教育学107188410310651郭湘婕37075712240全日制教育学院040108职业技术教育学107188612204240刘昕荷35368652200全日制教育学院040108职业技术教育学107188413911306齐跃丽35376682090全日制教育学院040108职业技术教育学107188140405921贾卓翰34869732060全日制教育学院040108职业技术教育学107188142007555张青青34876572150全日制教育学院040109特殊教育学107188422412001翟珊珊36775692230全日制教育学院040109特殊教育学107188413911307赵鑫鑫36580702150全日制教育学院040109特殊教育学107188150407888付锦霞35175562200全日制教育学院040109特殊教育学107188140606035张慧33874622020全日制教育学院040109特殊教育学107188130205306赵丽春33476552030全日制107188621314818杨怡宁34658442440全日制教育学院0401Z4少年儿童组织与思想意教育学院045114现代教育技术107188612202054贺甜甜4046766129142全日制教育学院045114现代教育技术107188614113648侯晔3956475126130全日制教育学院045114现代教育技术107188432912284冯鑫3947076122126全日制教育学院045114现代教育技术107188130405409焦瑞3906966124131全日制教育学院045114现代教育技术107188612202065王昱3876472114137全日制教育学院045114现代教育技术107188140906483卫童3856075130120全日制教育学院045114现代教育技术107188141207002史静3817071110130全日制教育学院045114现代教育技术107188621114674周曌3806779113121全日制教育学院045114现代教育技术107188414111469石颖昕379698895127全日制教育学院045114现代教育技术107188612202055杨晗3725477116125全日制教育学院045114现代教育技术107188620614325张英鹏3716451124132全日制教育学院045114现代教育技术107188372510434沈通3696372106128全日制教育学院045114现代教育技术107188120405246李艳如3676567122113全日制教育学院045114现代教育技术107188640115033余琴3676468128107全日制教育学院045114现代教育技术107188612202077高杨昕3666772109118全日制教育学院045114现代教育技术107188612202062李禄容3626356111132全日制教育学院045114现代教育技术107188131405648程婴3576157121118全日制教育学院045114现代教育技术107188612202068何宁宁3546669100119全日制教育学院045114现代教育技术107188614313762王雪352726598117全日制教育学院045114现代教育技术107188414111470罗亚萍349715495129全日制教育学院045114现代教育技术107188612202060南舒琪3475563123106全日制教育学院045115小学教育107188141106799赵桐4238172140130全日制教育学院045115小学教育107188415811799苏诗童4197884134123全日制教育学院045115小学教育107188153108150貟伟华4108080127123全日制教育学院045115小学教育107188612201820严蓉4066282141121全日制教育学院045115小学教育107188500212728邱蒙4027578122127全日制教育学院045115小学教育107188513113243邹丽3997481115129全日制教育学院045115小学教育107188141106796陈菲3987075133120全日制教育学院045115小学教育107188141307158李瑞雪3986878128124全日制教育学院045115小学教育107188612201883潘媛3978278129108全日制教育学院045115小学教育107188614113641赵文静3926970127126全日制教育学院045115小学教育107188512213202杨颖莹3907171121127全日制教育学院045115小学教育107188140606187曹艳珍3876566141115全日制教育学院045115小学教育107188131505700胡慧萍3857572135103全日制教育学院045115小学教育107188131505699申迎迎3847668129111全日制教育学院045115小学教育107188141907493郭文婧3826465133120全日制教育学院045115小学教育107188416311833贾飞3816677129109全日制教育学院045115小学教育107188612201848孙悦3797078114117全日制教育学院045115小学教育107188153108147王云飞3797472117116全日制教育学院045115小学教育107188370409874赵思萌3796864121126全日制教育学院045115小学教育107188511313101敬川3797074113122全日制教育学院045115小学教育107188612201857景萌3786863130117全日制教育学院045115小学教育107188612201899刘蝶3786665130117全日制教育学院045118学前教育107188130805565屈桂宇3997074140115全日制教育学院045118学前教育107188511413125周睿3827275121114全日制教育学院045118学前教育107188612203210薛亚楠3787667130105全日制教育学院045118学前教育107188530913469郭皓玉3776664131116全日制教育学院045118学前教育107188130805564李昕3746976128101全日制教育学院045118学前教育107188614113673周明英3746965123117全日制教育学院045118学前教育107188612203299雷丽莎3737068124111全日制教育学院045118学前教育107188612203295王蒙3706360118129全日制教育学院045118学前教育107188614413926宋敏3707161127111全日制教育学院045118学前教育107188140906520王凯丽3696768131103全日制教育学院045118学前教育107188370409878徐希玲369716813298全日制教育学院045118学前教育107188612203269王莹莹3686970128101全日制教育学院045118学前教育107188130405421王子华366747012993全日制教育学院045118学前教育107188612203267侯彤3646766122109全日制教育学院045118学前教育107188410510780孙妍3646773112112全日制教育学院045118学前教育107188612203238张月圆3636360126114全日制教育学院045118学前教育107188612203219刘莉莉3616765123106全日制教育学院045118学前教育107188612203236刘二娜3617476109102全日制教育学院045118学前教育107188612203261樊欢欢3617067119105全日制教育学院045118学前教育107188612203307王晓超3616663123109全日制教育学院045118学前教育107188414111481张秋丽3606865125102全日制教育学院045119特殊教育107188612203312高龙4096972128140全日制教育学院045119特殊教育107188412211124武伟3996873125133全日制教育学院045119特殊教育107188152107945胡艾新3967568118135全日制教育学院045119特殊教育107188621114690牛燕3937759122135全日制教育学院045119特殊教育107188130405423肖曼玉3916567122137全日制教育学院045119特殊教育107188340109128唐樾3916378120130全日制教育学院045119特殊教育107188370109758梁乐飞3906460129137全日制教育学院045119特殊教育107188612203316任楷文3826766117132全日制教育学院045120职业技术教育107188620214103刘文全4168370128135全日制教育学院045120职业技术教育107188130205357程亚茹4037668134125全日制教育学院045120职业技术教育107188614113675刘鹏飞3826762118135全日制教育学院045120职业技术教育107188612203311王艳343606497122全日制教育学院047101教育经济与管理107188612204509杜越38976582550全日制教育学院047101教育经济与管理107188415211723王俊娣37471612420全日制教育学院047101教育经济与管理107188612204511杨琬钰36979682220全日制教育学院047101教育经济与管理107188612204516阮琪36763612430全日制教育学院047101教育经济与管理107188141106696杜珊35576582210全日制教育学院047101教育经济与管理107188640114965李福泉33065542110全日制教育学院047101教育经济与管理107188410310670田彦博32966552080全日制教育学院078401教育技术学107188612201566李莎莎4057865131131全日制教育学院078401教育技术学107188414111465郭倩茹3776867112130全日制教育学院078401教育技术学107188612201572郑妍3707157124118全日制教育学院078401教育技术学107188614413880侯甜3647355112124全日制教育学院078401教育技术学107188614313750王荣荣3587662117103全日制教育学院078401教育技术学107188214108425刘成凤357677396121全日制教育学院078401教育技术学107188412311167周倩3546353118120全日制教育学院078401教育技术学107188130305387张晓妍3476747119114全日制教育学院078401教育技术学107188141206977王旭347755798117全日制教育学院078401教育技术学107188612201571伏俊兴3437558104106全日制教育学院078401教育技术学107188620614319李静静3417159107104全日制教育学院078401教育技术学107188130605504张洁338715795115全日制教育学院078401教育技术学107188414311542任慧3386251110115全日制新闻与传播学院0501Z1文艺与文化传播学107188612200680李欣童3857057122136全日制新闻与传播学院0501Z1文艺与文化传播学107188131005596任文肖3737262119120全日制新闻与传播学院0501Z1文艺与文化传播学107188414011348吴女3667571117103全日制新闻与传播学院050301新闻学107188614313704付金花3827267125118全日制新闻与传播学院050301新闻学107188140606065张艺瑜3766761124124全日制新闻与传播学院050301新闻学107188415211725秦宗杰3748258126108全日制新闻与传播学院050301新闻学107188612200694薛皎3537165113104全日制新闻与传播学院050301新闻学107188612200689殷璇349696311899全日制新闻与传播学院050301新闻学107188342909244范双武3496657124102全日制新闻与传播学院050301新闻学107188140505981周晓宇3467258115101全日制新闻与传播学院050302传播学107188412211111张倩3877174130112全日制新闻与传播学院050302传播学107188120105179周雨坤3807468128110全日制新闻与传播学院050302传播学107188612200736张思平3727356134109全日制新闻与传播学院050302传播学107188414611615程盼婷3697865117109全日制新闻与传播学院050302传播学107188612200764安萌3647555124110全日制新闻与传播学院050302传播学107188120405229贺珊珊3626969110114全日制新闻与传播学院050302传播学107188411510980许楠3627266117107全日制新闻与传播学院050302传播学107188140505982付新媛3587367111107全日制新闻与传播学院050302传播学107188612200718张南3577257120108全日制新闻与传播学院050302传播学107188612200728宋静3527265110105全日制新闻与传播学院050302传播学107188371310176李捷3517264115100全日制新闻与传播学院050302传播学107188531113478张力文3487059107112全日制新闻与传播学院050302传播学107188612200745王靖雯3476660114107全日制新闻与传播学院055200新闻与传播107188612203318张佳眉3937182116124全日制新闻与传播学院055200新闻与传播107188612203326李涵怡3927883121110全日制新闻与传播学院055200新闻与传播107188614413930闫斌3857469122120全日制新闻与传播学院055200新闻与传播107188612203393常心如3827171130110全日制新闻与传播学院055200新闻与传播107188140606228张静3827478120110全日制新闻与传播学院055200新闻与传播107188140606231许菲3807173120116全日制新闻与传播学院055200新闻与传播107188612203405周静宜3796971125114全日制新闻与传播学院055200新闻与传播107188120605282党安宁3797280123104全日制新闻与传播学院055200新闻与传播107188614313788张倩3786875122113全日制新闻与传播学院055200新闻与传播107188612203363刘慧敏3777684111106全日制新闻与传播学院055200新闻与传播107188370109759陈沛东3766773120116全日制新闻与传播学院055200新闻与传播107188140806315李丹阳3746583113113全日制新闻与传播学院055200新闻与传播107188141106858李茹碧3747279123100全日制新闻与传播学院055200新闻与传播107188612203370袁雨晨3737570110118全日制新闻与传播学院055200新闻与传播107188131505713韩飞3737366123111全日制新闻与传播学院055200新闻与传播107188140906523杨晨炜3737778113105全日制新闻与传播学院055200新闻与传播107188413311246武玥3737373119108全日制新闻与传播学院055200新闻与传播107188614113676葛梦琦3736177117118全日制新闻与传播学院055200新闻与传播107188612203342赵娟娟3726968117118全日制新闻与传播学院055200新闻与传播107188421611924夏晗雨3716362125121全日制新闻与传播学院055200新闻与传播107188612203394张雅云3696863118120全日制新闻与传播学院055200新闻与传播107188140606229李皓玉3697971116103全日制新闻与传播学院055200新闻与传播107188371410240韩晓妮3696776119107全日制新闻与传播学院055200新闻与传播107188413011217陈红凯3698075105109全日制新闻与传播学院055300出版107188612203429宋晓灿4137678128131全日制新闻与传播学院055300出版107188371110151李瑞阳4027877136111全日制新闻与传播学院055300出版107188370609962赵英彤3957180126118全日制新闻与传播学院055300出版107188370109762高美望3886281122123全日制新闻与传播学院055300出版107188612203431薛少华3876256133136全日制新闻与传播学院055300出版107188371110152马静文3856467124130全日制新闻与传播学院055300出版107188370209827孟刘钰3837073119121全日制新闻与传播学院055300出版107188612203419李婉婷3797063124122全日制新闻与传播学院055300出版107188370109763张雪珂3757559114127全日制新闻与传播学院055300出版107188612203420郭梦玉3697570120104全日制新闻与传播学院055300出版107188511313113张安捷3697865116110全日制新闻与传播学院055300出版107188130605513王俊明3656874114109全日制新闻与传播学院055300出版107188322309025章志香3656379113110全日制新闻与传播学院055300出版107188130605512张信3627465117106全日制新闻与传播学院055300出版107188341009191戴仁杰3596876102113全日制新闻与传播学院055300出版107188360309483徐雅君3585565122116全日制新闻与传播学院055300出版107188612203418高鑫3545962117116全日制新闻与传播学院055300出版107188612203421陈佳琪351686312298全日制新闻与传播学院055300出版107188411811072卢蕊351637311798全日制新闻与传播学院130300戏剧与影视学107188511012970罗兰4017275126128全日制新闻与传播学院130300戏剧与影视学107188512213190殷若涵3827251129130全日制新闻与传播学院130300戏剧与影视学107188612200768薛利霞3817652122131全日制新闻与传播学院130300戏剧与影视学107188612200785艾米佳3816940139133全日制新闻与传播学院130300戏剧与影视学107188510812924卜凡凡3817046133132全日制新闻与传播学院130300戏剧与影视学107188141106700薛杨3766348134131全日制新闻与传播学院130300戏剧与影视学107188370309837马梦真3756560125125全日制新闻与传播学院130300戏剧与影视学107188414511576王永涛3757746126126全日制新闻与传播学院130300戏剧与影视学107188431812222李爱红3747538132129全日制新闻与传播学院130300戏剧与影视学107188612200780崔瑶琳3736848134123全日制新闻与传播学院130300戏剧与影视学107188414911679张幸慧3716558120128全日制新闻与传播学院130300戏剧与影视学107188141106699扈誉之3706242135131全日制新闻与传播学院130300戏剧与影视学107188612203946郭元30575429890全日制单考新闻与传播学院135105广播电视107188612203559李宇潮4066679125136全日制新闻与传播学院135105广播电视107188371110155韩梦婷4027873120131全日制新闻与传播学院135105广播电视107188501112791杨宏霞3937472107140全日制新闻与传播学院135105广播电视107188341209227王茹3876861123135全日制新闻与传播学院135105广播电视107188141006623阎婷3866974107136全日制新闻与传播学院135105广播电视107188321508941谢佳珂3867775106128全日制新闻与传播学院135105广播电视107188370109773段慧宁3847167125121全日制新闻与传播学院135105广播电视107188360109458王朝霞3828262123115全日制新闻与传播学院135105广播电视107188612203527张雯倩3816962121129全日制新闻与传播学院135105广播电视107188414911694雷宇3757058113134全日制新闻与传播学院135105广播电视107188612203614郝倩3726771102132全日制新闻与传播学院135105广播电视107188140606242柏瑾3726774107124全日制新闻与传播学院135105广播电视107188141106876杨杰3727872105117全日制新闻与传播学院135105广播电视107188620414226胡满江3726873106125全日制新闻与传播学院135105广播电视107188120305220李蕾3716170118122全日制新闻与传播学院135105广播电视107188612203587何旺3706438129139全日制新闻与传播学院135105广播电视107188612203538孙萌3676651129121全日制新闻与传播学院135105广播电视107188612203546安然3676568122112全日制新闻与传播学院135105广播电视107188141006624许梦瑶3667162102131全日制新闻与传播学院135105广播电视107188371110154杨洁3656867113117全日制新闻与传播学院135105广播电视107188640115092周永丹3656762107129全日制新闻与传播学院135105广播电视107188612203576刘畅3625943124136全日制新闻与传播学院135105广播电视107188612203566杨丽3586254122120全日制新闻与传播学院135105广播电视107188612203605李雯婷3586251120125全日制新闻与传播学院135105广播电视107188131505717任妍3586754108129全日制国际汉学院045300汉语国际教育107188142007566刘宇4057572140118全日制国际汉学院045300汉语国际教育107188612200427孙思涵3957774126118全日制国际汉学院045300汉语国际教育107188612200364王子佩3937371133116全日制国际汉学院045300汉语国际教育107188141907361王舒平3907673125116全日制国际汉学院045300汉语国际教育107188415211720亢梦真3908169122118全日制国际汉学院045300汉语国际教育107188141507216武晋蓉3897367133116全日制国际汉学院045300汉语国际教育107188450212557秦尚文3897572127115全日制国际汉学院045300汉语国际教育107188612200350王萍3876768130122全日制国际汉学院045300汉语国际教育107188214208433王露3877765130115全日制国际汉学院045300汉语国际教育107188621314808李欣珺3857063133119全日制国际汉学院045300汉语国际教育107188511112986黄锐3847667124117全日制国际汉学院045300汉语国际教育107188232208815张艳欣3837274126111全日制国际汉学院045300汉语国际教育107188412011091宋怡璠3836672130115全日制国际汉学院045300汉语国际教育107188612200379张曦3826660125131全日制国际汉学院045300汉语国际教育107188513113242曾华瑞3827957124122全日制国际汉学院045300汉语国际教育107188620614265路凯3807658129117全日制国际汉学院045300汉语国际教育107188614313700吴博芳3797567126111全日制国际汉学院045300汉语国际教育107188620914485刘岩3797270126111全日制国际汉学院045300汉语国际教育107188150107747张若松3757365118119全日制国际汉学院045300汉语国际教育107188511513130周昱衫3757861125111全日制国际汉学院045300汉语国际教育107188612200369吴婷婷3747273116113全日制国际汉学院045300汉语国际教育107188141307061续玳瑞3747259126117全日制国际汉学院045300汉语国际教育107188620814413高佳佳3747951126118全日制国际汉学院045300汉语国际教育107188612200334寄倩倩3737655128114全日制国际汉学院045300汉语国际教育107188612200414王攀3726967117119全日制国际汉学院045300汉语国际教育107188141307060任贵霞3726866124114全日制国际汉学院045300汉语国际教育107188350309287李波波3726760123122全日制国际汉学院045300汉语国际教育107188232108797米舒悦3697262123112全日制国际汉学院045300汉语国际教育107188413611283马晓慧3697662119112全日制国际汉学院045300汉语国际教育107188612200401田晓琴3686862123115全日制国际汉学院045300汉语国际教育107188621114644杜嘉荣3686662122118全日制国际汉学院045300汉语国际教育107188612200429赵亚雯3677265123107全日制国际汉学院045300汉语国际教育107188431912236邓飞3676966119113全日制国际汉学院045300汉语国际教育107188414311523方妍3656960122114全日制国际汉学院045300汉语国际教育107188612200357丁巧3646775117105全日制国际汉学院045300汉语国际教育107188612200384张劲草3647664120104全日制国际汉学院045300汉语国际教育107188141307067侯晓敏3647355125111全日制国际汉学院045300汉语国际教育107188371410210王爽心3647958123104全日制国际汉学院045300汉语国际教育107188612200370岳欢3636172122108全日制国际汉学院045300汉语国际教育107188231008652宋爽3636964125105全日制国际汉学院045300汉语国际教育107188612200389张怀瑾3626959123111全日制国际汉学院045300汉语国际教育107188612200348蔡欢欢3617563122101全日制国际汉学院045300汉语国际教育107188612200391王秋晨3616870121102全日制国际汉学院045300汉语国际教育107188141507214关小婷3617251126112全日制国际汉学院045300汉语国际教育107188620214004郭婧3616854126113全日制国际汉学院045300汉语国际教育107188612200333马小艳3606659124111全日制国际汉学院045300汉语国际教育107188612200349韩慧3597065117107全日制国际汉学院045300汉语国际教育107188141307064田思雨3596950130110全日制国际汉学院045300汉语国际教育107188150107745王乐冉3596269126102全日制国际汉学院045300汉语国际教育107188220708548王玮3587653122107全日制国际汉学院045300汉语国际教育107188414311522苏莉莉3587457114113全日制国际汉学院045300汉语国际教育107188130305374井海萍3577056122109全日制国际汉学院045300汉语国际教育107188612200330杨彦豪3567553117111全日制国际汉学院045300汉语国际教育107188612200342邓志君3567451121110全日制国际汉学院045300汉语国际教育107188612200362何颖3567161109115全日制国际汉学院045300汉语国际教育107188130305372裴凯真3567267113104全日制国际汉学院045300汉语国际教育107188130305373王娇3566260126108全日制国际汉学院045300汉语国际教育107188142007564霍林燕3567658116106全日制国际汉学院045300汉语国际教育107188412211106周航宇3567169114102全日制国际汉学院045300汉语国际教育107188414511571张亚3566546125120全日制国际汉学院050102语言学及应用语言学107188411310918邢亚南3877272126117全日制国际汉学院050102语言学及应用语言学107188612200796梁卫婧3477361101112全日制体育学院040301体育人文社会学107188413411258陈亚欢35663512420全日制体育学院040301体育人文社会学107188120205196赵新帮34755572350全日制体育学院040301体育人文社会学107188512613230李洪春34665422390全日制体育学院040301体育人文社会学107188413411259黄培培34069392320全日制体育学院040301体育人文社会学107188620714382石心博31863532020全日制体育学院040301体育人文社会学107188612204725陈书俏31166422030全日制体育学院040301体育人文社会学107188440812466邬晓诗30963382080全日制体育学院040302运动人体科学107188612204825陈建刚40279692540全日制体育学院040302运动人体科学107188141206963戴高远34767502300全日制体育学院040302运动人体科学107188141206961王璐璐34261502310全日制体育学院040302运动人体科学107188140205876李博文33959512290全日制体育学院040302运动人体科学107188612204737强家豪33662562180全日制体育学院040302运动人体科学107188612204823张泽洲31463392120全日制体育学院040302运动人体科学107188141507263高丽红30764441990全日制体育学院040302运动人体科学107188612204824陈宏超30053362110全日制体育学院040303体育教育训练学107188612204745罗毅歌38276602460全日制体育学院040303体育教育训练学107188372910458郗来军37662502640全日制体育学院040303体育教育训练学107188620814433陈靖36967512510全日制体育学院040303体育教育训练学107188361009542张文强35668402480全日制体育学院040303体育教育训练学107188614313737成康35174472300全日制体育学院040303体育教育训练学107188612204752朱莉霞34958532380全日制体育学院040303体育教育训练学107188612204760郑瑞娜34961372510全日制体育学院040303体育教育训练学107188500412756李先飞34969442360全日制体育学院040303体育教育训练学107188142207727郭锦鹏34671462290全日制体育学院040303体育教育训练学107188620914542贺锋34559382480全日制体育学院040303体育教育训练学107188410510775王鹏34270412310全日制体育学院040303体育教育训练学107188620414196许磊34064412350全日制体育学院040303体育教育训练学107188612204781陈金博33757442360全日制体育学院040304民族传统体育学107188512313215刘杨35166402450全日制体育学院040304民族传统体育学107188612204788姚雷振34471452280全日制体育学院040304民族传统体育学107188612204790余志宏32660372290全日制体育学院040304民族传统体育学107188612204791张琦29358461890全日制体育学院040304民族传统体育学107188140906452庞玲玲28355371910全日制体育学院045201体育教学107188372310258任圣玥39069622590全日制体育学院045201体育教学107188140606232高广宏38863672580全日制体育学院045201体育教学107188321408931王肖35867652260全日制体育学院045201体育教学107188612204832崔龙35572392440全日制体育学院045201体育教学107188370109766桑瑜35468682180全日制体育学院045201体育教学107188141006618白浩34966512320全日制体育学院045201体育教学107188414611645程珍珍34562542290全日制体育学院045201体育教学107188612204829刘利利34459552300全日制体育学院045201体育教学107188131005626范小坤34264452330全日制体育学院045201体育教学107188612204836侯瑶33868542160全日制体育学院045201体育教学107188141907529庞耀辉33870741940全日制体育学院045201体育教学107188370409879张琪33767392310全日制体育学院045201体育教学107188614113677李萌33757632170全日制体育学院045201体育教学107188140606233乔蕾33660442320全日制体育学院045201体育教学107188131105637王甜33363652050全日制体育学院045201体育教学107188612204853吕义言33253452340全日制体育学院045201体育教学107188640115082雍晶32661422230全日制体育学院045201体育教学107188612204828余欢32359512130全日制体育学院045201体育教学107188612204857刘英杰32249422310全日制体育学院045201体育教学107188612204830陈辰32160492120全日制体育学院045201体育教学107188650215165滕宗琪31861512060全日制体育学院045201体育教学107188140906526武侠31657502090全日制体育学院045201体育教学107188612204835向茹31351542080全日制体育学院045201体育教学107188414011421任旭宝31363422080全日制体育学院045201体育教学107188414911693范俊涛31364531960全日制体育学院045202运动训练107188422612065郭志恒38474562540全日制体育学院045202运动训练107188612204868王小苹35967602320全日制体育学院045202运动训练107188412311183牛晓晨35465422470全日制体育学院045202运动训练107188372310260郑丽华34865652180全日制体育学院045202运动训练107188412211126张壮34573532190全日制。
陕西师范大学教育学院考博信息汇总【海翔智库独家提供】2016年教育学院学术型博士招生信息汇总学术型博士采用普通招考,实际录取5人,招生专业目录如下:带“*”号的导师仅限招收少数民族高层次骨干人才计划博士研究生。
学术型博士考试的有关内容参考2017年的有关通知;2016年教育博士招生人数为6人,实际录取人数7人,招生专业有学学校课程与教学等。
教育博士招生采用申请——审核制度,具体信息请查阅(陕西师范大学2016年“申请-考核”制博士生招生工作办法)/index.php?m=content&c=index&a=show&catid=30&id= 3702017年教育学院学术型博士招生信息简介教育学院拟招生6人,其中1人为硕博连读,实际招生人数为5人。
教育学院博士招生实行普通招考。
招生专业目录带“*”号的导师仅限招收少数民族高层次骨干人才计划博士研究生。
带◇的导师同时依托教师教育协同创新中心招收研究生。
初试均为笔试,考试时间3小时①政治理论课(同等学力考生必考)②外国语(不含听力)③业务课2门(详见招生专业目录)复试复试名单确定原则学校根据各招生专业的初试情况,确定初试最低控制基准分数线(见下表),同专业每位导师名下的上线考生,按初试总成绩排位前5的进入复试(教育博士和各类专项计划考生除外),复试未被录取以及未进复试的上线考生可在其所报专业相近学科内申请校内调剂(具体缺额信息可咨询相关学院),并按相关要求进行调剂复试。
复试主要内容1、综合素质考核和心理健康测评:其中综合素质考核包括思想政治素质和品德考核,主要内容包括考生的政治态度、思想表现、学习(工作)态度、道德品质、遵纪守法、诚实守信等方面。
综合素质考核及心理健康测评由复试小组以提问、材料审查等形式进行考察,给出合格或不合格的结论。
不合格考生不得进入专业复试。
2、专业知识考查评分(含外语听力及口语):满分50分。
根据专业要求,考察考生对本学科(专业)理论知识和应用技能掌握程度、利用所学理论知识发现、分析解决问题的能力、对本学科发展动态的了解以及是否具备博士生培养的潜质。
107186100010003王国兵政治经济学院马克思主义哲学2099582.33 107186100010023葛夏政治经济学院中国哲学1858874.83 107186100010028邓凌政治经济学院中国哲学1869076对口支援107186100010036杜雄飞政治经济学院外国哲学2178779.67 107186100010039罗绂成政治经济学院外国哲学1998374.67少民骨干107186100010049董喆政治经济学院马克思主义基本原理2299083.17 107186100010054刘玲霞政治经济学院马克思主义基本原理2208981.17 107186100010062罗晶政治经济学院马克思主义基本原理1969278.67两课教师专项107186100010064陈景聚政治经济学院马克思主义基本原理2289183.5两课教师专项107186100010065慕怀琴政治经济学院马克思主义基本原理2039279.83两课教师专项107186100010074郝苏君政治经济学院马克思主义发展史2079582 107186100010094白清平政治经济学院马克思主义发展史2219182.33两课教师专项107186100010096崔利萍政治经济学院马克思主义发展史1959178两课教师专项107186100010088左伟尘政治经济学院马克思主义中国化研究1918473.83少民骨干107186100010156皇甫闪政治经济学院思想政治教育2109180.5对口支援107186100010103蒲丽霞政治经济学院思想政治教育2219383.33少民骨干107186100010108张洁政治经济学院思想政治教育2238579.67辅导员专项107186100010110杨仁财政治经济学院思想政治教育1979379.33辅导员专项107186100010113王改红政治经济学院思想政治教育1999279.17辅导员专项107186100010120张君博政治经济学院思想政治教育2069179.83辅导员专项107186100010132相凯宇政治经济学院思想政治教育2109080辅导员专项107186100010082李斌政治经济学院中国近现代史基本问题研究2059481.17“1023”107186100010091马文多政治经济学院社会发展与制度文明1729576.17少民骨干107186100020176李娟国际商学院政治经济学21385.4378.22 107186100020183赵娜国际商学院政治经济学19784.5775.12 107186100020164曹献雨国际商学院经济史22281.2977.65 107186100020165王萌国际商学院经济史20289.2978.31 107186100020167宋振东国际商学院西方经济学2018978 107186100020187麦志英国际商学院人口、资源与环境经济学19693.1479.24对口支援107186100020175王怡国际商学院国民经济学1999379.67 107186100020179李甜甜国际商学院世界经济18393.5777.29“1023”107186100030198张笛教育学院教育学原理20385.676.63 107186100030191向天成教育学院教育学原理22795.485.53少民骨干107186100030194马芳教育学院教育学原理17592.675.47少民骨干107186100030195蒙泽察教育学院教育学原理24194.887.57少民骨干107186100031114高文涛教育学院教育学原理000硕博连读107186100030260徐波教育学院课程与教学论21487.879.57 107186100030277刘红芳教育学院课程与教学论17373.465.53对口支援107186100030274何勇刚教育学院课程与教学论20680.874.73少民骨干107186100030200陈琪教育学院教育史2369385.83 107186100030989李妍教育学院高等教育学2299083.17 107186100030209田雪芹教育学院教育管理学24080.6780.34 107186100030218再乃拜尔教育学院教育管理学21795.3483.84少民骨干第 1 页,共 7 页107186100030220王彩云教育学院学校课程与教学22882.6779.34 107186100030221蒋雪祥教育学院学校课程与教学20691.3480 107186100031148赵继光教育学院学校课程与教学09595申请考核107186100030233文慧教育学院教育领导与管理2409386.5 107186100030235黄体锐教育学院教育领导与管理18792.6677.5 107186100030242雷伟教育学院教育领导与管理23394.6786.17 107186100030243杨建峰教育学院教育领导与管理1909277.67 107186100030253杨孝峰教育学院教育领导与管理2309585.83 107186100030331张靖教育学院教育技术学20173.470.2“1023”107186100030333李秀明教育学院教育技术学21977.875.4“1023”107186100030334陈佳教育学院教育技术学2116869.17“1023”107186100030337裴正华教育学院教育技术学24868.475.53对口支援107186100030338保吉春教育学院教育技术学20775.472.2对口支援107186100030341刘君玲教育学院教育技术学21678.875.4对口支援107186100030355沈霞娟教育学院教育技术学25687.686.47 107186100030339强枫教育学院教育技术学20176.271.6少民骨干107186100040320张聪新闻与传播学院媒介与社会变迁22488.481.53 107186100040329李文学新闻与传播学院媒介与社会变迁22391.682.97少民骨干107186100040299李婉丽新闻与传播学院文艺与文化传播学24490.685.97 107186100060283曹乐意体育学院课程与教学论1958474.5对口支援107186100060282殷鼎体育学院课程与教学论2149382.17少民骨干107186100060362贾单单体育学院运动生物学2299686.17 107186100070384毋杉文学院文艺学2418582.67 107186100070391葛爱华文学院语言学及应用语言学2279384.33对口支援107186100071149李文亮文学院语言学及应用语言学09494申请考核107186100070390张军文学院语言学及应用语言学2359687.17少民骨干107186100070398刘影文学院汉语言文字学2129683.33 107186100070400张璐文学院汉语言文字学2269484.67 107186100070414孙彦波文学院汉语言文字学25092.687.97 107186100070418陈哓梅文学院汉语言文字学20593.480.87 107186100070399贾红文学院汉语言文字学2009681.33少民骨干107186100070424岳洋峰文学院中国古代文学2439085.5 107186100070438曹祎黎文学院中国古代文学2329385.17 107186100070446李春霞文学院中国古代文学2329385.17 107186100070459韩少春文学院中国古代文学2469387.5 107186100070470胡伟栋文学院中国古代文学2429085.33 107186100070454马倩文学院中国古代文学2309384.83少民骨干107186100070464张旭文学院中国古代文学2138980少民骨干107186100070465向德俊文学院中国古代文学2029480.67少民骨干107186100070478王爱军文学院中国古代文学2529187.5少民骨干107186100070508王鑫文学院中国现当代文学2629490.67 107186100070512刘雪娥文学院中国现当代文学2449588.17 107186100070514王爱红文学院中国现当代文学2299083.17第 2 页,共 7 页107186100070515田松林文学院中国现当代文学2569188.17 107186100070527荀羽琨文学院中国现当代文学2459990.33 107186100070531张敏文学院中国现当代文学2449588.17少民骨干107186100070533买莉文学院中国现当代文学2209986.17少民骨干107186100070543石燕文学院比较文学与世界文学2608887.33 107186100070550张文琪文学院比较文学与世界文学2609691.33 107186100070562王银萍文学院比较文学与世界文学2469488 107186100080571牛海洋外国语学院跨语言文化研究2449085.67 107186100081072轩慧芳外国语学院跨语言文化研究1818673.15对口支援107186100081091杨华外国语学院跨语言文化研究2318480.5 107186100081099刘铭爽外国语学院跨语言文化研究2179081.17 107186100081109陈庆欣外国语学院跨语言文化研究2208981.17 107186100081053荆丹外国语学院跨语言文化研究2108477少民骨干107186100081086斯代克江·塔西拜克外国语学院跨语言文化研究2088778.17少民骨干107186100100500马冬梅美术学院艺术文化史2348883对口支援107186100100501胡晋峰美术学院艺术文化史1739073.83对口支援107186100100580曹阳美术学院艺术文化史2439085.5 107186100100586张坤美术学院艺术文化史2349084 107186100100498陈彦平美术学院艺术文化史2279082.83少民骨干107186100100604瑞雪美术学院艺术文化史2229082少民骨干107186100110642燕星辰西北历史环境与经济社会发展研究院人口、资源与环境经济学2158377.3 107186100110646刘莎西北历史环境与经济社会发展研究院人口、资源与环境经济学21384.477.7 107186100110609徐冉西北历史环境与经济社会发展研究院中国史20484.676.3 107186100110612吴洋西北历史环境与经济社会发展研究院中国史21782.477.37 107186100110613周明帅西北历史环境与经济社会发展研究院中国史21585.278.44 107186100110625张开西北历史环境与经济社会发展研究院中国史1938876.17 107186100110632赵淑清西北历史环境与经济社会发展研究院中国史20185.476.2 107186100120653王淼中国西部边疆研究院中国少数民族史20281.574.42“1023”107186100120654惠萌中国西部边疆研究院中国少数民族史20180.6773.84 107186100120659马琳娜中国西部边疆研究院中国少数民族史20783.576.25“1023”107186100120661张钦中国西部边疆研究院中国少数民族史2218679.83 107186100120668王志斌中国西部边疆研究院中国少数民族史20384.8476.25 107186100120669郑杰中国西部边疆研究院中国少数民族史23382.6680.16 107186100120670刘再营中国西部边疆研究院中国少数民族史18980.5171.76“1023”107186100121087刘治海中国西部边疆研究院中国少数民族史21682.577.25“1023”107186100121088张瑞敏中国西部边疆研究院中国少数民族史21180.8475.59“1023”107186100121111马新国中国西部边疆研究院中国少数民族史19282.8473.42“1023”107186100120676马永龙中国西部边疆研究院中国少数民族史19086.574.92少民骨干107186100130683杨欢历史文化学院中国史2549388.83 107186100130687刘薇历史文化学院中国史2669290.33 107186100130689党斌历史文化学院中国史20483.875.9 107186100130693马珂历史文化学院中国史25087.685.47 107186100130699杨冰华历史文化学院中国史23188.682.8第 3 页,共 7 页107186100130701张少娜历史文化学院中国史23388.883.23 107186100130709石宏夫历史文化学院中国史19589.677.3 107186100130718冯雷历史文化学院中国史19967.466.87 107186100130729张森历史文化学院中国史21993.283.1 107186100130740李佳佳历史文化学院中国史19992.479.37“1023”107186100130742谢飞历史文化学院中国史2288379.5“1023”107186100131078王玫历史文化学院中国史25788.487.03 107186100130745杨松历史文化学院世界史2068978.83 107186100130747高阳历史文化学院世界史2438281.5 107186100140964于鹏数学与信息科学学院基础数学2208579.17 107186100140968王琦数学与信息科学学院基础数学2139382 107186100140970杨莹数学与信息科学学院基础数学2369385.83 107186100140972孔亮数学与信息科学学院基础数学1959580 107186100140973黄永峰数学与信息科学学院基础数学2419286.17对口支援107186100140974张韶煜数学与信息科学学院基础数学2409487 107186100140975哈书敏数学与信息科学学院基础数学2269384.17少民骨干107186100140749白羽数学与信息科学学院计算数学2199684.5 107186100140751闫琴玲数学与信息科学学院应用数学2279585.33 107186100141115曹倩数学与信息科学学院应用数学000硕博连读107186100141116白晨明数学与信息科学学院应用数学000硕博连读107186100150756张春物理学与信息技术学院理论物理23985.482.6 107186100151117樊华伟物理学与信息技术学院理论物理000硕博连读107186100150760冯中营物理学与信息技术学院原子与分子物理2518684.8 107186100151118王亚峰物理学与信息技术学院原子与分子物理000硕博连读107186100150761杨艳物理学与信息技术学院凝聚态物理2378079.5 107186100150762刘远物理学与信息技术学院凝聚态物理24088.384.1 107186100230960冷德营物理学与信息技术学院凝聚态物理2177774.7 107186100151119杨芃焘物理学与信息技术学院凝聚态物理000硕博连读107186100151120徐洁物理学与信息技术学院声学000硕博连读107186100151121尹冠军物理学与信息技术学院声学000硕博连读107186100150758罗小东物理学与信息技术学院光学25987.386.8 107186100150759吐达洪·阿巴物理学与信息技术学院光学24096.288.1少民骨干107186100160767李永鹏化学化工学院无机化学25483.484.03 107186100160769孙强强化学化工学院无机化学24271.275.93 107186100160772李夏亮化学化工学院无机化学20689.879.23 107186100160773郭晓军化学化工学院无机化学22481.878.23 107186100160775卢晓慧化学化工学院分析化学24091.485.7 107186100160785王军化学化工学院分析化学20785.277.1少民骨干107186100161123乔亚丽化学化工学院分析化学000硕博连读107186100161124李南化学化工学院分析化学000硕博连读107186100161125高红方化学化工学院分析化学000硕博连读107186100161126王冰化学化工学院分析化学000硕博连读107186100160788范津铭化学化工学院有机化学21791.481.87第 4 页,共 7 页107186100160787李建龙化学化工学院有机化学17889.474.37少民骨干107186100161127杨奕辉化学化工学院有机化学000硕博连读107186100161128徐静文化学化工学院有机化学000硕博连读107186100160792陈东平化学化工学院物理化学2548986.83 107186100161150刘科化学化工学院物理化学09191申请考核107186100161129祁彦宇化学化工学院物理化学000硕博连读107186100161130范俊梅化学化工学院物理化学000硕博连读107186100161131张明会化学化工学院物理化学000硕博连读107186100161132李苑莹化学化工学院物理化学000硕博连读107186100160765杨发翠化学化工学院高分子化学与物理1939579.67 107186100161122程瑞栋化学化工学院高分子化学与物理000硕博连读107186100160794王力化学化工学院应用化学21586.178.88 107186100160796王建化学化工学院应用化学21788.380.32 107186100170802南国卫旅游与环境学院自然地理学2188578.83 107186100170804李超旅游与环境学院自然地理学21892.282.43 107186100170808姬霖旅游与环境学院自然地理学21687.879.9 107186100170809刘铮瑶旅游与环境学院自然地理学20978.674.13 107186100170829王东华旅游与环境学院人文地理学24091.585.75 107186100170835王辉旅游与环境学院人文地理学22892.284.1“1023”107186100170841代兰海旅游与环境学院人文地理学25482.583.58“1023”107186100170842宋永永旅游与环境学院人文地理学24093.386.65 107186100170849李怀霄旅游与环境学院地图学与地理信息系统21285.277.93 107186100170853韩红珠旅游与环境学院地图学与地理信息系统21492.882.07 107186100170822井静旅游与环境学院区域环境学2459387.33 107186100170857黄小刚旅游与环境学院生态学23286.281.77少民骨干107186100170862包军军旅游与环境学院旅游管理2428884.33 107186100170888李中建旅游与环境学院旅游管理2348782.5 107186100170879马晶旅游与环境学院旅游管理19485.875.23少民骨干107186100170880杨莹莹旅游与环境学院旅游管理19787.476.53少民骨干107186100170883田晓辉旅游与环境学院旅游管理20784.676.8少民骨干107186100180296刘杨生命科学学院课程与教学论2278982.33 107186100180898耿方东生命科学学院植物学21190.580.42 107186100180901王会琴生命科学学院植物学20490.8379.42 107186100181133白群伟生命科学学院植物学000硕博连读107186100181134郑博文生命科学学院植物学000硕博连读107186100180902冯晓磊生命科学学院动物学2359586.67 107186100180906王丽敏生命科学学院生理学23890.6785 107186100180907陈涛生命科学学院水生生物学23182.6779.84少民骨干107186100180917李旺生命科学学院神经生物学24282.6781.67 107186100181040王元生命科学学院遗传学20680.6774.67少民骨干107186100181137王李阳生命科学学院发育生物学000硕博连读107186100180913马爱瑛生命科学学院细胞生物学20482.8475.42少民骨干107186100181138李忠光生命科学学院细胞生物学000硕博连读第 5 页,共 7 页107186100181139贾亚丽生命科学学院细胞生物学000硕博连读107186100180918张俊河生命科学学院生物化学与分子生物学24390.6785.84 107186100180920石磊生命科学学院生物化学与分子生物学20884.8377.08少民骨干107186100180912李敏生命科学学院生态学20989.8479.75 107186100181136王小蕊生命科学学院生态学000硕博连读107186100191032吴秋食品工程与营养科学学院食品化学19890.7178.36 107186100191035张维敏食品工程与营养科学学院食品化学20188.2977.65 107186100190925吴应梅食品工程与营养科学学院食品化学22091.7182.52少民骨干107186100191033杨曦食品工程与营养科学学院植物学23092.5784.62 107186100191039王自超食品工程与营养科学学院植物学20493.5780.79对口支援107186100191037卢跃红食品工程与营养科学学院植物学2159482.83少民骨干107186100200933黄梅娟计算机科学学院计算机软件与理论23893.1786.25 107186100200935樊春燕计算机科学学院计算机软件与理论24287.584.08 107186100200936赵杰计算机科学学院计算机软件与理论22892.6384.32 107186100200938申亚丽计算机科学学院计算机软件与理论25392.8488.59 107186100200927吴霞计算机科学学院计算机软件与理论24591.1786.42少民骨干107186100200928颜军计算机科学学院计算机软件与理论23488.6783.34少民骨干107186100200930冶忠林计算机科学学院计算机软件与理论21491.581.42少民骨干107186100201141林亚光计算机科学学院计算机软件与理论000硕博连读107186100201142周素芳计算机科学学院计算机软件与理论000硕博连读107186100220944宁艳红宗教研究中心宗教学24189.684.95 107186100230950刘咚材料科学与工程学院材料物理与化学23183.480.2 107186100230951白娟材料科学与工程学院材料物理与化学23889.284.27 107186100230952折辽娜材料科学与工程学院材料学24486.183.72 107186100230954陈碧材料科学与工程学院材料学21685.578.75 107186100230958吴颖材料科学与工程学院材料学22786.581.08 107186100230962王卓睿材料科学与工程学院材料学23982.180.88 107186100231143孟丽娜材料科学与工程学院材料学000硕博连读107186100231144张崇材料科学与工程学院材料学000硕博连读107186100230961李晶材料科学与工程学院历史文化遗产保护与工程21781.777.02 107186100241001狄美琳心理学院基础心理学2359184.67 107186100241013尹朋飞心理学院基础心理学2088778.17 107186100241028赵雪艳心理学院基础心理学2239182.67“1023”107186100241146赵荣心理学院基础心理学000硕博连读107186100241000吴国强心理学院发展与教育心理学2118276.17 107186100241016杜军心理学院发展与教育心理学2459186.33 107186100241027张礼娟心理学院发展与教育心理学2139080.5少民骨干107186100241029苏小路心理学院发展与教育心理学2189081.33少民骨干107186100240963卢天娇心理学院航空航天心理学2049079 107186100250978邵发仙现代教学技术教育部重点实验室科学教育学2339385.33少民骨干107186100251145谢丹现代教学技术教育部重点实验室发展与教育心理学000硕博连读107186100180904吴宇蔚现代教学技术教育部重点实验室神经生物学2308279.34 107186100251135李永丰现代教学技术教育部重点实验室神经生物学000硕博连读第 6 页,共 7 页107186100251140李菁菁现代教学技术教育部重点实验室计算机软件与理论000硕博连读107186100270979贺心悦教育实验经济研究所实验经济学2418984.67 107186100270980王楠教育实验经济研究所实验经济学19587.6776.34 107186100270983唐彬教育实验经济研究所实验经济学25090.6687 107186100291147周文西北濒危药材资源开发国家工程实验室植物学000硕博连读第 7 页,共 7 页。
考生编号姓名报考专业报考学院总分政治理论外国语业务课一业务课二107185411305701范晶马克思主义哲学政治经济学院3375642112127 107185612200444闫璐璐马克思主义哲学政治经济学院3616560113123 107185612200445胡潇马克思主义哲学政治经济学院3546653110125 107185650205715王文娟马克思主义哲学政治经济学院324666111582 107185140605692任春磊中国哲学政治经济学院323615011696 107185140605693白洁中国哲学政治经济学院302684410288 107185140905694郭秋桂中国哲学政治经济学院3646259110133 107185612200447裘伟健中国哲学政治经济学院3416842113118 107185612200448许肖思雪中国哲学政治经济学院3285947117105 107185612200449彭潇中国哲学政治经济学院313614410999 107185612200450张囡中国哲学政治经济学院3466347119117 107185612200451张群中国哲学政治经济学院3526063111118 107185612200452张青中国哲学政治经济学院3347054107103 107185612200455王强外国哲学政治经济学院3477151115110 107185612200456曹文豪外国哲学政治经济学院327655811193 107185612200457刘顺来外国哲学政治经济学院3396650118105 107185612200460王俊杰外国哲学政治经济学院3187137107103 107185612200462马乐外国哲学政治经济学院3356552114104 107185620405708孙蕊外国哲学政治经济学院28462419685 107185620305707王颖娟伦理学政治经济学院3316056113102 107185650605716邹章华伦理学政治经济学院281594210971 107185130605689李翔科学技术哲学政治经济学院293614310287 107185612200474刘楠科学技术哲学政治经济学院320614495120 107185612200475马丽雅法学理论政治经济学院3416044126111 107185612200477陈芳法学理论政治经济学院3606451128117 107185321105719杨露怡民商法学政治经济学院3516762115107 107185330108947宋静文民商法学政治经济学院3556362130100 107185612200480罗友民商法学政治经济学院4046866131139 107185612200481李翔民商法学政治经济学院3616253138108 107185612200482洪博民商法学政治经济学院3987252144130 107185140505727郑鲜丽政治学理论政治经济学院3897458125132 107185370105735刘晓静政治学理论政治经济学院3666756118125 107185612200483窦欢政治学理论政治经济学院3786951126132 107185612200490贾帮飞政治学理论政治经济学院3656843124130 107185410505738靳亚辉科学社会主义与国际共政治经济学院3466944108125 107185360905733柴娇中共党史政治经济学院3455947115124 107185612200493王华中共党史政治经济学院3667142128125 107185612200496齐春晓国际政治政治经济学院3456344114124 107185620205751史岩松国际政治政治经济学院3356744100124 107185360105756朱诚社会学政治经济学院314684389114 107185411505757郜小珍社会学政治经济学院320625794107 107185612200499马望午社会学政治经济学院3407149110110 107185612200501万少颖社会学政治经济学院311544397117 107185614305760王蓉社会学政治经济学院3936755143128 107185614305761孔繁星社会学政治经济学院3587258100128 107185620205763孙小娟社会学政治经济学院3796562127125 107185141105784韩彩艳马克思主义基本原理政治经济学院3567656109115 107185141605797裴洁马克思主义基本原理政治经济学院3626959123111 107185142005804荀丹丹马克思主义基本原理政治经济学院3607252116120 107185410505815李静马克思主义基本原理政治经济学院3667455124113 107185410505816何高龙马克思主义基本原理政治经济学院3787468123113 107185411605822李梅马克思主义基本原理政治经济学院3686949129121 107185501705829金倩马克思主义基本原理政治经济学院3677352122120 107185612200505闵春旖马克思主义基本原理政治经济学院3617249118122 107185640105854王蕾马克思主义基本原理政治经济学院3737160124118政治经济学院3637055117121 107185141105782赵小芳马克思主义中国化研究107185150205806刘亚亚马克思主义中国化研究政治经济学院3868148131126政治经济学院3636953124117 107185350505811石琳马克思主义中国化研究政治经济学院3717464123110 107185370605812刘蓉马克思主义中国化研究政治经济学院3647849130107 107185410705818王春芳马克思主义中国化研究政治经济学院3667358124111 107185431405826王晓彤马克思主义中国化研究107185141605796田晓晓思想政治教育政治经济学院3687556117120107185350105809程英思想政治教育政治经济学院3857065129121 107185511905830胡娜思想政治教育政治经济学院3607459115112 107185612200532康岳思想政治教育政治经济学院3796762121129政治经济学院3497260112105 107185370905813李代弟中国近现代史基本问题107185612200533胡偌菲中国近现代史基本问题政治经济学院3957955124137政治经济学院3486752114115 107185612200534陈娉娉中国近现代史基本问题107185612200536刘鑫中国近现代史基本问题政治经济学院320684892112 107185120309012李丰华社会工作政治经济学院3595743128131 107185150209014冯伟社会工作政治经济学院332695094119 107185231109015王永星社会工作政治经济学院3986666141125 107185410309017王苏紧社会工作政治经济学院3666368111124 107185410509018巴朝双社会工作政治经济学院318616191105 107185410709019王瑞社会工作政治经济学院355596799130 107185412309020李文焕社会工作政治经济学院316546292108 107185413109021任文杰社会工作政治经济学院314605787110 107185422209022杨梦婷社会工作政治经济学院321566696103 107185441109023刘春乐社会工作政治经济学院306585278118 107185450209024王译若社会工作政治经济学院3786157144116 107185501409025杨娅倩社会工作政治经济学院3836463120136 107185612201517寇苗苗社会工作政治经济学院331605492125 107185612201518王译梵社会工作政治经济学院3556152132110 107185612201519张培渊社会工作政治经济学院324624492126 107185612201521余英社会工作政治经济学院3606443132121 107185614309026尚欢社会工作政治经济学院3536248115128 107185321704245田晶课程与教学论政治经济学院32364482110 107185120409068温晓雅学科教学(思政)政治经济学院350697097114 107185141009072王丽红学科教学(思政)政治经济学院3947673115130 107185141209074韩丽娟学科教学(思政)政治经济学院354696697122 107185142009077张云芳学科教学(思政)政治经济学院3556659118112 107185210509081易佳辰学科教学(思政)政治经济学院3746977110118 107185214109082张倩学科教学(思政)政治经济学院3586563106124 107185500209089刘洋学科教学(思政)政治经济学院3677265112118 107185612201558王玉立学科教学(思政)政治经济学院3576558111123 107185612201569李玉婷学科教学(思政)政治经济学院3846765129123 107185612201571段坤坤学科教学(思政)政治经济学院3586358124113 107185612201573孙瑞杰学科教学(思政)政治经济学院3716674125106 107185612201578田璐娜学科教学(思政)政治经济学院3877166126124 107185612201581文佳慧学科教学(思政)政治经济学院3536569117102 107185614309091王肖肖学科教学(思政)政治经济学院3577065109113 107185141105877李梦行政管理政治经济学院3677153122121 107185141205878宋哲超行政管理政治经济学院3507462110104 107185153105891李红红行政管理政治经济学院3666153133119 107185322205897周媛行政管理政治经济学院351716897115 107185372505911候术山行政管理政治经济学院3606752130111 107185410805915尹媛媛行政管理政治经济学院349706311997 107185412305922张杨子行政管理政治经济学院3627561118108 107185612200540高英行政管理政治经济学院353725612699 107185612200552周子茵行政管理政治经济学院3867260127127 107185612200561白杨行政管理政治经济学院3556249129115 107185612200568曹彩转行政管理政治经济学院3475951115122 107185612200575岳鑫行政管理政治经济学院3477061104112 107185612200576苏敏行政管理政治经济学院3626959118116 107185612200578李梦娜行政管理政治经济学院3706758125120 107185612200581薛霞飞行政管理政治经济学院3647054126114 107185612200589张瑶行政管理政治经济学院3677050125122 107185612200605高敏行政管理政治经济学院3647755108124 107185612203657沈忱公共管理政治经济学院1791215800 107185612203658高敏公共管理政治经济学院1761027400 107185612203659朱博涛公共管理政治经济学院1731066700 107185612203669张倩公共管理政治经济学院1631125100 107185530203770洪欣钰人口、资源与环境经济国际商学院337706484119国际商学院3466862112104 107185612200097王佳惠人口、资源与环境经济107185612200106杨历国民经济学国际商学院3627157109125107185612200110马媛区域经济学国际商学院3696966107127 107185411603760刘娟金融学国际商学院3436949106119 107185412903762路璐金融学国际商学院3537059112112 107185413103765杨晓宇金融学国际商学院338655891124 107185422603767李朝鹏金融学国际商学院3597269108110 107185612200118寇煜坤金融学国际商学院3435354111125 107185612200128张偲琪金融学国际商学院3647068101125 107185612200132靳珍金融学国际商学院3366850102116 107185612200138武珊金融学国际商学院339666297114 107185612200139柯蕊金融学国际商学院3736963110131 107185612200141陈芳产业经济学国际商学院331675188125 107185412903763刘莹国际贸易学国际商学院3657157108129 107185612200147任洁琼国际贸易学国际商学院347706193123 107185210703786郭晶婧会计学国际商学院3356960102104 107185370103798张夙夙会计学国际商学院3466646108126 107185441203819李知臻会计学国际商学院3637265107119 107185612200160陈天妍会计学国际商学院346645299131 107185612200162朱梅芳会计学国际商学院4106678141125 107185612200166吕磊会计学国际商学院3787165131111 107185612200178王娇会计学国际商学院3636749128119 107185620403832段莉会计学国际商学院3916562131133 107185360103796张萍企业管理国际商学院358726697123 107185410403803李洋企业管理国际商学院3567354110119 107185410603807王成改企业管理国际商学院3826360133126 107185411103809魏金婵企业管理国际商学院336685788123 107185431403818王瑞平企业管理国际商学院348646389132 107185612200199张涛企业管理国际商学院337715981126 107185614103826岳星星企业管理国际商学院337735883123 107185511705987向琼社会医学与卫生事业管国际商学院3636749129118国际商学院3626648126122 107185612200609张姗姗社会医学与卫生事业管107185370605976张瑞芳社会保障国际商学院3666454125123 107185413105983赵艳芳社会保障国际商学院3726552131124 107185422005984杨雯凤社会保障国际商学院3485951121117 107185612200610王忠环社会保障国际商学院3666747129123 107185612200618张菀煜社会保障国际商学院3646849126121 107185510705986杨勇土地资源管理国际商学院3596456118121 107185612200623田野土地资源管理国际商学院3476052121114 107185612200626李哲土地资源管理国际商学院3797057129123 107185612203543崔文韬工商管理国际商学院1721135900 107185612203547张洋工商管理国际商学院1771086900 107185612203551刘宗芹工商管理国际商学院1641135100 107185612203554杨舟工商管理国际商学院1631036000 107185612203555刘哲炜工商管理国际商学院1791334600 107185612203557黄旭工商管理国际商学院1771195800 107185612203559张惠然工商管理国际商学院1951276800 107185612203560晁阳工商管理国际商学院166996700 107185612203564陈戈工商管理国际商学院1711086300 107185612203566陈璐工商管理国际商学院167937400 107185612203567陈思诚工商管理国际商学院1681036500 107185612203568高俏工商管理国际商学院2021267600 107185612203569张佳路工商管理国际商学院1611204100 107185612203571刘言工商管理国际商学院1731037000 107185612203581张智伦工商管理国际商学院1601134700 107185612203582魏振工商管理国际商学院1851166900 107185612203584李亚非工商管理国际商学院1661016500 107185612203591黄金华工商管理国际商学院1791087100 107185612203598王连旨工商管理国际商学院1821127000 107185612203609孙严严工商管理国际商学院1791116800 107185612203610武春苗工商管理国际商学院1771176000 107185612203613常焕坦工商管理国际商学院1771106700 107185612203615王希工商管理国际商学院164966800 107185612203618王峰涛工商管理国际商学院1971267100 107185612203622吕硕工商管理国际商学院160986200107185612203629张琦欣工商管理国际商学院2091357400 107185612203630宋森工商管理国际商学院2151427300 107185612203636陈腾工商管理国际商学院1661046200 107185612203640武琦工商管理国际商学院1691105900 107185612203648马永兴工商管理国际商学院163927100 107185612203649杨雨龙工商管理国际商学院1811206100 107185612203650樊珍工商管理国际商学院1711007100 107185130603963贾晨教育学原理教育学院36767682320 107185131804001张雅静教育学原理教育学院34769572210 107185140904050曹晓婷教育学原理教育学院35674542280 107185321904249王欣教育学原理教育学院35474632170 107185341204274沈艳艳教育学原理教育学院35865632300 107185342204276刘恒美教育学原理教育学院36571752190 107185370104317罗翠翠教育学原理教育学院34269472260 107185410704496张亚娟教育学原理教育学院35576602190 107185411604529刘梦华教育学原理教育学院36268592350 107185412204568李方慧教育学原理教育学院34670582180 107185612202748潘小芳教育学原理教育学院36169632290 107185612202751张卓教育学原理教育学院34371542180 107185620404829李晓燕教育学原理教育学院34662522320 107185130603964王默课程与教学论教育学院35568582290 107185141604134樊鹏丽课程与教学论教育学院35070652150 107185220604210段婷婷课程与教学论教育学院35773562280 107185372504399沈霞课程与教学论教育学院34962662210 107185411604539王亚杰课程与教学论教育学院35074522240 107185412204578陈丹课程与教学论教育学院36270532390 107185501204703王悦婷课程与教学论教育学院36768712280 107185511904741张子燕课程与教学论教育学院35376612160 107185612202775白雪双课程与教学论教育学院35871582290 107185612202792白彬课程与教学论教育学院36967572450 107185612202800陈渝课程与教学论教育学院35667692200 107185612202805王园园课程与教学论教育学院34974602150 107185612202813陈春怡课程与教学论教育学院35472502320 107185612202820刘晓芸课程与教学论教育学院35163642240 107185614304786陈雪云课程与教学论教育学院35570632220 107185142004143尚晓雪教育史教育学院34270562160 107185370104308李君教育史教育学院34175562100 107185410704493王岩教育史教育学院36271552360 107185411604533孙白鹤教育史教育学院36174622250 107185612202887吕芳教育史教育学院35269622210 107185211304200朱艺丹比较教育学教育学院33667552140 107185460404689薛丹比较教育学教育学院34669592180 107185612202892毛歆比较教育学教育学院34068552170 107185612202894张小桢比较教育学教育学院33662602140 107185612202898王燕子比较教育学教育学院34562522310 107185120403919余瑶学前教育学教育学院35273512280 107185131503987白兴圆学前教育学教育学院36567652330 107185140604032毛珺学前教育学教育学院36567662320 107185141504126江艳学前教育学教育学院35273562230 107185310604239张卓然学前教育学教育学院35276542220 107185340104259张扬学前教育学教育学院36570602350 107185340404264张克丽学前教育学教育学院35668582300 107185372504397孔虔学前教育学教育学院35371532290 107185410204425翟晓婷学前教育学教育学院35470652190 107185410504472张阿茜学前教育学教育学院35373602200 107185411604530曹巧利学前教育学教育学院36377582280 107185411704543陈鑫学前教育学教育学院36974542410 107185612202697高敏莉学前教育学教育学院37066732310 107185612202911许花学前教育学教育学院35568632240 107185612202942刘夏鸽学前教育学教育学院35670492370 107185120103909张小钰高等教育学教育学院35870662220 107185141104067田阳高等教育学教育学院34761612250 107185411704553黄娟高等教育学教育学院34667552240107185612203001刘中玲高等教育学教育学院37277672280 107185612203004曹馨月高等教育学教育学院34766572240 107185612203017常静高等教育学教育学院35371492330 107185612203020张佳乐高等教育学教育学院35163532350 107185612203023惠绒高等教育学教育学院34566582210 107185612203024陈雪高等教育学教育学院35967612310 107185612203025张凡高等教育学教育学院34572622110 107185370204326薛寒职业技术教育学教育学院34973592170 107185371404389王雷职业技术教育学教育学院35167592250 107185410504453任雪园职业技术教育学教育学院34572512220 107185410504455程湘月职业技术教育学教育学院34575602100 107185412204577卫姣职业技术教育学教育学院34267722030 107185130403955张萌特殊教育学教育学院33869612080 107185140904057吉伟伟特殊教育学教育学院34672502240 107185141008940梁璇特殊教育学教育学院35164742130 107185340604268王磊特殊教育学教育学院34768492300 107185350304283刘丝特殊教育学教育学院34474602100 107185372904419周宪惠特殊教育学教育学院34268492250 107185620604841马巧茸特殊教育学教育学院35262602300 107185612203452周璐少年儿童组织与思想意教育学院33160462250 107185211309147张凤现代教育技术教育学院320625683119 107185350109148李晨阳现代教育技术教育学院3365856102120 107185411609153陈雨现代教育技术教育学院3736851119135 107185612201641康欣欣现代教育技术教育学院3475955112121 107185612201644王莉现代教育技术教育学院3536860105120 107185612201645白雪现代教育技术教育学院342636911298 107185612201647李纯现代教育技术教育学院3556557120113 107185612201649王维娜现代教育技术教育学院3466548110123 107185612201650胡晓密现代教育技术教育学院3866959124134 107185612201651武美丽现代教育技术教育学院3936875132118 107185612201652卫青现代教育技术教育学院348596994126 107185612201653李丹现代教育技术教育学院328624789130 107185620209158张小辉现代教育技术教育学院330616792110 107185141109102卢娴小学教育教育学院3477068103106 107185231009116杨娜小学教育教育学院3396464108103 107185350109119柳琳小学教育教育学院3646757115125 107185370109121张凤至小学教育教育学院3626965117111 107185370109122孙书珊小学教育教育学院3486865114101 107185370809125宋文杰小学教育教育学院3386572100101 107185412209128杨雪小学教育教育学院3567370111102 107185422409130齐明月小学教育教育学院3747067111126 107185422409131周雨小学教育教育学院3627469115104 107185612201593吴婷小学教育教育学院3506756116111 107185612201595祝琳小学教育教育学院3686076120112 107185612201596王葭萌小学教育教育学院344676811396 107185612201601孙旭滨小学教育教育学院3907070124126 107185612201618耿小溪小学教育教育学院3466968100109 107185612201620王雅琪小学教育教育学院335636886118 107185612201623李维亚小学教育教育学院3686475105124 107185614309137许强小学教育教育学院3767473112117 107185614309138梁飞鸟小学教育教育学院337595612498 107185130210011陈延芳学前教育教育学院320695810489 107185140910014邢智智学前教育教育学院3517162116102 107185141510017高亚男学前教育教育学院3607170117102 107185210710018李曼曼学前教育教育学院3425959119105 107185410310026宋红姣学前教育教育学院3246245112105 107185412310028马煜学前教育教育学院3405747109127 107185422410030杨洋学前教育教育学院3386270104102 107185432510031邓彦妮学前教育教育学院326665411591 107185501410032谭越月学前教育教育学院346747388111 107185520110035沈思敏学前教育教育学院3556566119105 107185612202253杨子娟秀学前教育教育学院3635363123124 107185612202264张海宇学前教育教育学院328686195104107185612202274李帆帆学前教育教育学院3256058107100 107185612202276田凤娟学前教育教育学院3537069110104 107185612202277张海欧学前教育教育学院3487057118103 107185612202279贾翠霞学前教育教育学院3276151106109 107185620410040冉姣姣学前教育教育学院333725710599 107185620610041胡悦学前教育教育学院3626752114129 107185131005995陈慧慧教育经济与管理教育学院36665532480 107185150205996宋可昕教育经济与管理教育学院35963482480 107185231805997乔媛教育经济与管理教育学院32551532210 107185371305998孙强教育经济与管理教育学院33959472330 107185411706000周晓莹教育经济与管理教育学院34664512310 107185611506002张妍教育经济与管理教育学院36464522480 107185612203230王君妍教育经济与管理教育学院39474532670 107185612203232高源教育经济与管理教育学院34757442460 107185612203233马晓彤教育经济与管理教育学院32155562100 107185614306004王璇教育经济与管理教育学院36472522400 107185640106006魏平西教育经济与管理教育学院37672582460 107185130608765王永超教育技术学教育学院328664891123 107185130608766田佳教育技术学教育学院3365863107108 107185140508770赵晓慧教育技术学教育学院3316953105104 107185140608771吴晨光教育技术学教育学院324665494110 107185140908776郭敏敏教育技术学教育学院371836198129 107185140908778王美茹教育技术学教育学院3436948102124 107185140908779刘璐教育技术学教育学院336655399119 107185140908783裴培教育技术学教育学院3516557107122 107185140908784师亚媛教育技术学教育学院3526150116125 107185140908785苑新美教育技术学教育学院3326153109109 107185140908788石苗苗教育技术学教育学院3407548107110 107185140908790陈云杰教育技术学教育学院3416055105121 107185141208791张英教育技术学教育学院320644511497 107185141208792赵盼教育技术学教育学院3325851110113 107185220708801张美芬教育技术学教育学院327614911899 107185371108805刘巧教育技术学教育学院323645111197 107185372508806张莎莎教育技术学教育学院3576557114121 107185410508811赵雪飞教育技术学教育学院3206054101105 107185411608817梁巧玲教育技术学教育学院329615293123 107185422408822唐静萍教育技术学教育学院326606210797 107185612201462李序佳教育技术学教育学院328615195121 107185612201469潘瑞教育技术学教育学院334655597117 107185650208837张小雪教育技术学教育学院320715610192 107185612200628金昭羽文艺与文化传播学新闻与传播学院3656561114125 107185140806025苏伟娜新闻学新闻与传播学院3486557106120 107185211306041牛佳佳新闻学新闻与传播学院3677272115108 107185612200643李岩新闻学新闻与传播学院3526763104118 107185612200647朱云新闻学新闻与传播学院3546760116111 107185612200656应瑞奇新闻学新闻与传播学院353725995127 107185140306017张雅婷传播学新闻与传播学院3826768120127 107185140606019张瑾瑶传播学新闻与传播学院3777262116127 107185141006029成云传播学新闻与传播学院3517053118110 107185370806052万雨思传播学新闻与传播学院346716611099 107185410206057贾林迤传播学新闻与传播学院3677171109116 107185612200671尹丽萍传播学新闻与传播学院3556853117117 107185612200673马瑞馥传播学新闻与传播学院3626952119122 107185612200683张凤传播学新闻与传播学院3596856113122 107185612200691王润溪传播学新闻与传播学院3576970100118 107185620706114孙琪传播学新闻与传播学院3547165103115 107185650106120张继民传播学新闻与传播学院3607462108116 107185131510044杨森新闻与传播新闻与传播学院3726066122124 107185131710046周鑫新闻与传播新闻与传播学院3827165127119 107185131810048李婷新闻与传播新闻与传播学院3787671129102 107185140210050白馨蒨新闻与传播新闻与传播学院3796675127111 107185140910052邓舒方新闻与传播新闻与传播学院4046673128137 107185141210060赵瑞新闻与传播新闻与传播学院3766968123116107185141310064候宏清新闻与传播新闻与传播学院3737068132103 107185141510066张子欣新闻与传播新闻与传播学院3856769121128 107185321110073李光盈新闻与传播新闻与传播学院3716859120124 107185340410077王冬冬新闻与传播新闻与传播学院3676871119109 107185371410082崔晶新闻与传播新闻与传播学院3856475125121 107185410210087张宏怡新闻与传播新闻与传播学院3716769121114 107185411310097王倩倩新闻与传播新闻与传播学院3897175120123 107185412310103赵贞旎新闻与传播新闻与传播学院3936783119124 107185501110111高鸽新闻与传播新闻与传播学院3666363128112 107185612202307王明媚新闻与传播新闻与传播学院4027467129132 107185612202314王薇新闻与传播新闻与传播学院4026079140123 107185612202321朱莉新闻与传播新闻与传播学院3756463125123 107185612202331周阿萌新闻与传播新闻与传播学院3856569133118 107185612202336王怡新闻与传播新闻与传播学院3835867128130 107185612202340王曦新闻与传播新闻与传播学院3766962124121 107185612202343牛青瑞新闻与传播新闻与传播学院3746564119126 107185612202363张博文新闻与传播新闻与传播学院3766671108131 107185620910118石璐新闻与传播新闻与传播学院3726256128126 107185650610125孙哲新闻与传播新闻与传播学院3937177131114 107185370210129郑雪洁出版新闻与传播学院4127476127135 107185370610130陈一琛出版新闻与传播学院3616768111115 107185410410131张军花出版新闻与传播学院3826968128117 107185612202373查秀婷出版新闻与传播学院3796366119131 107185612202374李钰出版新闻与传播学院4276481135147 107185612202376李园出版新闻与传播学院345646912290 107185612202380张雅君出版新闻与传播学院4126262141147 107185612202381殷雨欣出版新闻与传播学院3906871118133 107185141208951原茜戏剧与影视学新闻与传播学院3636554117127 107185141606137程可戏剧与影视学新闻与传播学院3595854129118 107185411606167钟允允戏剧与影视学新闻与传播学院3807360133114 107185411607481张世勋戏剧与影视学新闻与传播学院3636240134127 107185412306174郭佳慧戏剧与影视学新闻与传播学院3596655126112 107185542806184刘晨阳戏剧与影视学新闻与传播学院3645958129118 107185542806185魏显勇戏剧与影视学新闻与传播学院3715950137125 107185612200720李宁戏剧与影视学新闻与传播学院3896749137136 107185612200728王秦博戏剧与影视学新闻与传播学院3656862133102 107185612200745方钰莹戏剧与影视学新闻与传播学院3625936141126 107185612200746王怡楠戏剧与影视学新闻与传播学院3646651133114 107185612200754马婉婉戏剧与影视学新闻与传播学院3917061137123 107185612201061黄静戏剧与影视学新闻与传播学院3755743139136 107185612202711高博文戏剧与影视学新闻与传播学院3746873121112 107185370210301陈菲广播电视新闻与传播学院3646156125122 107185531110306康慧广播电视新闻与传播学院3316254108107 107185540110307邢雅静广播电视新闻与传播学院3476746124110 107185612202451刘今广播电视新闻与传播学院3266044116106 107185612202452赵力子广播电视新闻与传播学院3466666108106 107185612202457白岩广播电视新闻与传播学院3406034117129 107185612202459姚婧广播电视新闻与传播学院3786468127119 107185612202469王瑞芬广播电视新闻与传播学院3326659106101 107185612202475邢兆星广播电视新闻与传播学院3516437125125 107185612202476何雨宸广播电视新闻与传播学院3455848127112 107185612202477高洁广播电视新闻与传播学院3496565113106 107185620210308刘舒婷广播电视新闻与传播学院3556146122126 107185620910311程心沁广播电视新闻与传播学院3426353115111 107185120405328薛丽文汉语国际教育国际汉学院3997168127133 107185130605331寇玲燕汉语国际教育国际汉学院3675852128129 107185130605332高晓杰汉语国际教育国际汉学院3806057137126 107185131105334何焕丽汉语国际教育国际汉学院3796660126127 107185140105336刘婷汉语国际教育国际汉学院3725948131134 107185140905340屈曼琳汉语国际教育国际汉学院3696568119117 107185220405356史天鑫汉语国际教育国际汉学院3615955132115 107185231105359董晓妍汉语国际教育国际汉学院3916360137131 107185231105361安鑫汉语国际教育国际汉学院3887363128124107185231205362韦雨嘉汉语国际教育国际汉学院3716850123130 107185231205363武正莹汉语国际教育国际汉学院3646457118125 107185231605364鄢凤云汉语国际教育国际汉学院3806565122128 107185231605365张萌汉语国际教育国际汉学院3977162129135 107185231708932刘馨泽汉语国际教育国际汉学院3946476129125 107185370205372王静汉语国际教育国际汉学院3717056125120 107185370605373惠燕妮汉语国际教育国际汉学院3867155129131 107185370605374李佳栩汉语国际教育国际汉学院3696648125130 107185410305378石林汉语国际教育国际汉学院3606846123123 107185410405380柳晓飞汉语国际教育国际汉学院3716251133125 107185410705387董丽靖汉语国际教育国际汉学院3736649134124 107185411305388屈蕾蕾汉语国际教育国际汉学院3666749123127 107185411305389刘晓洁汉语国际教育国际汉学院3736353130127 107185411905394贺文哲汉语国际教育国际汉学院3696961115124 107185412208944刘璐辰汉语国际教育国际汉学院3756359131122 107185412305395丁丽娜汉语国际教育国际汉学院3806656129129 107185412905398陈娜汉语国际教育国际汉学院3857852128127 107185422105405刘俊汉语国际教育国际汉学院3966663139128 107185430205408杨瑶汉语国际教育国际汉学院3616451128118 107185431405409王晓楠汉语国际教育国际汉学院3867353133127 107185450805413崔璨汉语国际教育国际汉学院3806364129124 107185460505415董姣汉语国际教育国际汉学院3686359117129 107185500105416胡君乔汉语国际教育国际汉学院3987165134128 107185510805420李尘汉语国际教育国际汉学院3766557126128 107185510805421李婉仪汉语国际教育国际汉学院3767556121124 107185612200231魏榕汉语国际教育国际汉学院3856664132123 107185612200232李昭汉语国际教育国际汉学院3786857120133 107185612200233耿密汉语国际教育国际汉学院3606253127118 107185612200236尹丹汉语国际教育国际汉学院4047369135127 107185612200238王梦琪汉语国际教育国际汉学院3676059125123 107185612200243刘园汉语国际教育国际汉学院3666248128128 107185612200244刘梁影汉语国际教育国际汉学院3606054126120 107185612200246张少臣汉语国际教育国际汉学院3727148127126 107185612200247李洋溢汉语国际教育国际汉学院3766352134127 107185612200249黄豆汉语国际教育国际汉学院3736853125127 107185612200253卢艺茹汉语国际教育国际汉学院3827357129123 107185612200255徐泽方汉语国际教育国际汉学院3665961119127 107185612200257何安然汉语国际教育国际汉学院3696453129123 107185612200259秦园园汉语国际教育国际汉学院3846557130132 107185612200263黄琬瑛汉语国际教育国际汉学院3726656122128 107185612200265杨美林汉语国际教育国际汉学院3616850118125 107185612200270杨柳青汉语国际教育国际汉学院3766457130125 107185612200272周剑青汉语国际教育国际汉学院3747455120125 107185612200273段誉洁汉语国际教育国际汉学院3896167131130 107185612200278张露汉语国际教育国际汉学院3616252121126 107185612200283李霄梅汉语国际教育国际汉学院3806264134120 107185612200284常晓晓汉语国际教育国际汉学院3706956124121 107185612200285孔聪聪汉语国际教育国际汉学院3636750122124 107185612200287李岚瑾汉语国际教育国际汉学院3717059116126 107185612200289张雅涵汉语国际教育国际汉学院3886661132129 107185612200296白若然汉语国际教育国际汉学院3736663127117 107185612200297田培培汉语国际教育国际汉学院3636946125123 107185612200298刘鸽汉语国际教育国际汉学院3706260129119 107185612200299白淞毓汉语国际教育国际汉学院3676459125119 107185612200301白星汉语国际教育国际汉学院3787056125127 107185612200302姜金秀汉语国际教育国际汉学院3937261128132 107185612200303张晓华汉语国际教育国际汉学院4167767138134 107185612200304邱越汉语国际教育国际汉学院3636954120120 107185612200307陈旭汉语国际教育国际汉学院3706155128126 107185612200316刘宇欣汉语国际教育国际汉学院3606856127109 107185612200317于洋汉语国际教育国际汉学院3906361133133 107185612200318闻梦宇汉语国际教育国际汉学院3665366125122 107185612200319周梦娜汉语国际教育国际汉学院3916862134127107185612200320马佳玲汉语国际教育国际汉学院3716752126126 107185612200327徐婧汉语国际教育国际汉学院3886163130134 107185612200330吴梦珂汉语国际教育国际汉学院3616751122121 107185612200334侯淑珍汉语国际教育国际汉学院3756654127128 107185612200337曹聪聪汉语国际教育国际汉学院3906964133124 107185612200338屈梅汉语国际教育国际汉学院3826363131125 107185612200341何楠楠汉语国际教育国际汉学院3786554130129 107185612200351刘荣汉语国际教育国际汉学院3796849132130 107185612200354孙彤汉语国际教育国际汉学院3716848122133 107185612200355李春梅汉语国际教育国际汉学院3956768131129 107185612200356蔡靖汉语国际教育国际汉学院3716561123122 107185612202702高子涵汉语国际教育国际汉学院3786966124119 107185614305430郭燕妮汉语国际教育国际汉学院3657146123125 107185620205436马千里汉语国际教育国际汉学院3967267131126 107185620308946孙早娟汉语国际教育国际汉学院3787358123124 107185620805448康小明汉语国际教育国际汉学院3637150120122 107185612200783陈晨语言学及应用语言学国际汉学院3546152127114 107185131408040甄程体育人文社会学体育学院30666421980 107185140908043南秀玲体育人文社会学体育学院34962542330 107185140908048胜男体育人文社会学体育学院30163372010 107185140908052齐乐体育人文社会学体育学院30658352130 107185141308083宋莹体育人文社会学体育学院29861381990 107185142008099姜秉义体育人文社会学体育学院33162452240 107185142008101刘月体育人文社会学体育学院32756472240 107185411508143孟伟杰体育人文社会学体育学院32658432250 107185421808152段瑞瑞体育人文社会学体育学院33367472190 107185511408159杨一帆体育人文社会学体育学院36069582330 107185612203399翟玉欣体育人文社会学体育学院31364452040 107185110708029闵瑞欣运动人体科学体育学院31867482030 107185110808030方向龙运动人体科学体育学院29764521810 107185140908045候璐运动人体科学体育学院34268542200 107185140908049尹博运动人体科学体育学院32260432190 107185141208078陈世文运动人体科学体育学院32561472170 107185210208104刘纽运动人体科学体育学院34558552320 107185370908120杜丽运动人体科学体育学院36673512420 107185422508154李陈鹏运动人体科学体育学院31665482030 107185520108161黄珊珊运动人体科学体育学院34355592290 107185620108167王亚明运动人体科学体育学院30252392110 107185140908046孙玥体育教育训练学体育学院34067432300 107185141108060费洋体育教育训练学体育学院34065422330 107185141508093史岩体育教育训练学体育学院36371462460 107185141508094金娜体育教育训练学体育学院33752462390 107185142008096刘鹏体育教育训练学体育学院34766492320 107185142008097陈敏洁体育教育训练学体育学院32963452210 107185142008100常敏体育教育训练学体育学院33768402290 107185342208114于倩倩体育教育训练学体育学院32964472180 107185342208115刘梦佳体育教育训练学体育学院35168542290 107185370108117张绪生体育教育训练学体育学院33768502190 107185370708118邵兵兵体育教育训练学体育学院34070452250 107185372308125王瑞杰体育教育训练学体育学院33258492250 107185372308126张花云体育教育训练学体育学院32960452240 107185612203408路超凡体育教育训练学体育学院35369382460 107185612203417唐婉莹体育教育训练学体育学院33360472260 107185612203418杨鹏程体育教育训练学体育学院33858442360 107185612203421雷恒星体育教育训练学体育学院34066382360 107185612203425朱小琳体育教育训练学体育学院34360492340 107185612203433余普体育教育训练学体育学院35262532370 107185612203436王秀平体育教育训练学体育学院34265372400 107185612203437马长飞体育教育训练学体育学院32975462080 107185620208168李德武体育教育训练学体育学院34063492280 107185620408178韦永春体育教育训练学体育学院36068522400 107185141208074陈岚民族传统体育学体育学院31462442080 107185141208077霍羿伶民族传统体育学体育学院27664361760。
政治经济学院010101马克思主义哲学107186620611892王晓珍3636163129110政治经济学院010102中国哲学107186431410305李雯4217966135141政治经济学院010102中国哲学107186620611894张玉艳4127469131138政治经济学院010102中国哲学107186140905277张红梅3967667125128政治经济学院010102中国哲学107186231607165张冰霜3947255130137政治经济学院010102中国哲学107186542811214王梓珺3906866126130政治经济学院010102中国哲学107186612200508彭潇3777252117136政治经济学院010102中国哲学107186612200509刘印3777463115125政治经济学院010102中国哲学107186620611893马万里3777142134130政治经济学院010103外国哲学107186612200515陈露航3675873111125政治经济学院010103外国哲学107186620912209许海龙3635360132118政治经济学院010103外国哲学107186620611895王煜杰322644413381政治经济学院010105伦理学107186214306961刘雨薇4127470134134政治经济学院010105伦理学107186620912210曲蕙3916764142118政治经济学院010108科学技术哲学107186421110078杨辉南3957346136140政治经济学院010108科学技术哲学107186140705218刘春313705585103政治经济学院010108科学技术哲学107186140504984刘亚鸽304554382124政治经济学院030105民商法学107186612200530朱淑华3687259117120政治经济学院030105民商法学107186510810807杨汝娇341657295109政治经济学院030105民商法学107186231607166畅继轩3376846104119政治经济学院030105民商法学107186141205822郝路军316615810196政治经济学院030201政治学理论107186131704795张瑶瑶3998670119124政治经济学院030201政治学理论107186153106763杨君3977567135120政治经济学院030201政治学理论107186120404324王晋晋350756896111政治经济学院030201政治学理论107186130604556刘洁341766096109政治经济学院030201政治学理论107186612200533林琛332677311181政治经济学院030204中共党史107186140605040崔细雨4008970124117政治经济学院030204中共党史107186347007610王蕾3748063125106政治经济学院030206国际政治107186153106764高瑞3818072120109政治经济学院030206国际政治107186415809951郭子瑞3788061127110政治经济学院030301社会学107186415109889李丹4288179138130政治经济学院030301社会学107186345707598吕雕4177977141120政治经济学院030301社会学107186140304912毕研慧4168366132135政治经济学院030301社会学107186614311393任灵4087962134133政治经济学院030301社会学107186612200546高丽媛3857454130127政治经济学院030301社会学107186640112301张梦尧3827170117124政治经济学院030501马克思主义基本原理107186140605041王甜甜4128572128127政治经济学院030501马克思主义基本原理107186460310576纪方雄4008667129118政治经济学院030501马克思主义基本原理107186130204392赵雪3998171132115政治经济学院030501马克思主义基本原理107186612200551罗言山3958861129117政治经济学院030501马克思主义基本原理107186511410950秦爱雯3948768127112政治经济学院030501马克思主义基本原理107186131704797赵丹阳3927676123117政治经济学院030501马克思主义基本原理107186141105654张琪3828362122115第 1 页,共 54 页政治经济学院030501马克思主义基本原理107186412209205任仕坤3817968110124政治经济学院030503马克思主义中国化研究107186414109577吕亚楠4228578128131政治经济学院030503马克思主义中国化研究107186612200564李丹3897869122120政治经济学院030503马克思主义中国化研究107186414309691任宁3808168113118政治经济学院030503马克思主义中国化研究107186612200566张璐3717455120122政治经济学院030503马克思主义中国化研究107186612200567岳攀3717859121113政治经济学院030505思想政治教育107186131504729李杨4048677123118政治经济学院030505思想政治教育107186510810808王凡4038673131113政治经济学院030505思想政治教育107186612200570任丽3807770122111政治经济学院030506中国近现代史基本问题研究107186141305933陈琪璇3948467116127政治经济学院030506中国近现代史基本问题研究107186431410307雷英挑3858161125118政治经济学院030506中国近现代史基本问题研究107186140905280支丽3787668122112政治经济学院035200社会工作107186371408359李海琴4007166146117政治经济学院035200社会工作107186614311436姚凤3897757127128政治经济学院035200社会工作107186231107133李慧鹏3888364140101政治经济学院035200社会工作107186414609826袁良芳3886868128124政治经济学院035200社会工作107186612201621李鸿3827156134121政治经济学院035200社会工作107186231507157吴慢3757857127113政治经济学院035200社会工作107186421910139李林波3727653128115政治经济学院035200社会工作107186140304913邓俏3717560126110政治经济学院035200社会工作107186620612003刘婷婷3707160122117政治经济学院035200社会工作107186153206823薛吉康3677861121107政治经济学院035200社会工作107186370107930鲜安平364706013599政治经济学院035200社会工作107186152306684武栋354815013984政治经济学院035200社会工作107186620111499杜芳秀3476649123109政治经济学院035200社会工作107186612201616贠琪翔3456865109103政治经济学院045102学科教学(思政)107186360707783刘丽4118064134133政治经济学院045102学科教学(思政)107186440410391邓君玲3988565121127政治经济学院045102学科教学(思政)107186614111322李淑瑛3898161128119政治经济学院045102学科教学(思政)107186140605181鲍倩3877665119127政治经济学院045102学科教学(思政)107186370608103杜靖辉3877465125123政治经济学院045102学科教学(思政)107186612201661轩雪蕊3868760116123政治经济学院045102学科教学(思政)107186500210662晏龙星3838070122111政治经济学院045102学科教学(思政)107186510810841杨华丽3838071105127政治经济学院045102学科教学(思政)107186612201666梁启明3757367120115政治经济学院045102学科教学(思政)107186210706876沈娅静373837712390政治经济学院045102学科教学(思政)107186612201672梁芬芳3697956115119政治经济学院045102学科教学(思政)107186371108289李晓婷3676958116124政治经济学院045102学科教学(思政)107186210706875张倩3657665119105政治经济学院045102学科教学(思政)107186131004677赵庆霞3647069117108政治经济学院120401行政管理107186612200630程仕桃4038062130131政治经济学院120401行政管理107186414309693李敏4038376108136政治经济学院120401行政管理107186612200622赵怡宁4018167125128第 2 页,共 54 页政治经济学院120401行政管理107186612200617夏珊珊3977773134113政治经济学院120401行政管理107186612200592黄昌飞3938070126117政治经济学院120401行政管理107186111004261马晨3938975113116政治经济学院120401行政管理107186612200627马晓宇3907055127138政治经济学院120401行政管理107186413409416李瑶3858064121120政治经济学院120401行政管理107186120504349柴睿3836255129137政治经济学院120401行政管理107186612200605刘小曼3817462131114政治经济学院120401行政管理107186141205824李盈3807871117114政治经济学院120401行政管理107186612200607张琳3767669121110政治经济学院120401行政管理107186416009989朱杰3766362125126政治经济学院120401行政管理107186420510065屈静茹375848111199政治经济学院125200公共管理107186371408354张越21514471---政治经济学院125200公共管理107186141306000王婷20013664---政治经济学院125200公共管理107186141306001王漫19913168---政治经济学院125200公共管理107186370107919郭元龙19714057---政治经济学院125200公共管理107186372508587牛一辰19413064---政治经济学院125200公共管理107186141305998付晓瑞18913257---政治经济学院125200公共管理107186612204233何敏18312063---政治经济学院125200公共管理107186612204234苏丹妮18212854---政治经济学院125200公共管理107186612204210杨彩18111962---政治经济学院125200公共管理107186372508584齐鹏瑞17911366---政治经济学院125200公共管理107186370107926张偲17813642---政治经济学院125200公共管理107186372908702冯希晨17312647---政治经济学院125200公共管理107186612204208龚恒昱17011159---政治经济学院125200公共管理107186612204235高佩渝17012050---政治经济学院125200公共管理107186370808207王雅婷17012446---政治经济学院125200公共管理107186372508585郑越16811652---政治经济学院125200公共管理107186612204212袁璐琳16711453---政治经济学院125200公共管理107186370308023刘晓彤16711453---政治经济学院125200公共管理107186450110480颜靖人16710661---政治经济学院125200公共管理107186612204219于大伟16612442---国际商学院020104西方经济学107186140604997芦婷婷357767489118国际商学院020106人口、资源与环境经济学107186612200114王琪3866862120136国际商学院020106人口、资源与环境经济学107186612200110周忆南339736092114国际商学院020106人口、资源与环境经济学107186612200113赵靖国326796578104国际商学院020203财政学107186612200119杨艳349686699116国际商学院020203财政学107186340307465王政334755888113国际商学院020204金融学107186612200133艾倩倩3897668122123国际商学院020204金融学107186140805227李梦婕3817872101130国际商学院020204金融学107186410308755张赛赛3727758117120国际商学院020204金融学107186612200147胡梦芸3636575103120国际商学院020204金融学107186140805228刘聪350706996115国际商学院020204金融学107186612200149徐娜344737078123第 3 页,共 54 页国际商学院020204金融学107186612200134刘妍343766093114国际商学院020204金融学107186612200162杜荣342757393101国际商学院020204金融学107186612200161彭依文340637973125国际商学院020204金融学107186416410020任晨妍333756674118国际商学院020205产业经济学107186612200170张丹丹330736085112国际商学院120201会计学107186612200206黄悦瑞364847082128国际商学院120201会计学107186410208739郎方方3637265123103国际商学院120201会计学107186411909106屈延363817482126国际商学院120201会计学107186612200197吴楠3576866108115国际商学院120201会计学107186415309918安婧3577663110108国际商学院120201会计学107186612200203兰佳佳345747382116国际商学院120201会计学107186612200178杨荣343747493102国际商学院120201会计学107186414409707赵方方343726996106国际商学院120202企业管理107186411509008刘畅3737463123113国际商学院120202企业管理107186612200228赵亚楠358727288126国际商学院120202企业管理107186410308757包志鹏351767091114国际商学院120202企业管理107186140905249张丽家347847072121国际商学院120202企业管理107186371108263滕新玉346768285103国际商学院120202企业管理107186511710979吴易琼344658292105国际商学院120202企业管理107186612200223黄师平342716483124国际商学院120202企业管理107186414009487罗喆339706190118国际商学院120202企业管理107186612200227徐弘337647195107国际商学院120202企业管理107186612200234梁之卓336696380124国际商学院120402社会医学与卫生事业管理107186612200649张楠3648258122102国际商学院120404社会保障107186140905282刘艳敏4068076120130国际商学院120404社会保障107186140605045冯亚江3928065128119国际商学院120404社会保障107186370708132曹英琪3908255123130国际商学院120404社会保障107186612200658景越颖3566862107119国际商学院120404社会保障107186612200663张阳阳3416351102125国际商学院120404社会保障107186140805233柴樱桃340665498122国际商学院120404社会保障107186640112303肖坤美3406470105101国际商学院120405土地资源管理107186612200669马雨薇3766767115127国际商学院120405土地资源管理107186140404952姚星宇3557074110101国际商学院125100工商管理107186372508457张梦迪22315568---国际商学院125100工商管理107186372508508闫家安21915762---国际商学院125100工商管理107186612204200马浩月21514768---国际商学院125100工商管理107186372908636耿晋21515758---国际商学院125100工商管理107186372508474徐媛媛20914762---国际商学院125100工商管理107186372508467翟丹丹20313766---国际商学院125100工商管理107186372508505于永刚20313964---国际商学院125100工商管理107186372508526陈炳旭20214854---国际商学院125100工商管理107186372508541李霖清20113764---国际商学院125100工商管理107186372508573赵炳楠20013961---第 4 页,共 54 页国际商学院125100工商管理107186372508459赵人杰19813959---国际商学院125100工商管理107186372508521程亮19813365---国际商学院125100工商管理107186372508582衣存良19713166---国际商学院125100工商管理107186372508498姚海琳19612769---国际商学院125100工商管理107186372508546刘在锰19512768---国际商学院125100工商管理107186372908671季勐19512966---国际商学院125100工商管理107186372908666闫大伟19313261---国际商学院125100工商管理107186372508574张燃19111675---国际商学院125100工商管理107186372508466靳晨蕾19013060---国际商学院125100工商管理107186372508513杜安镇19013951---国际商学院125100工商管理107186372508515白莹19012367---国际商学院125100工商管理107186372908644张海滨19012862---国际商学院125100工商管理107186372908669赵岩19013159---国际商学院125100工商管理107186372908697赵楠18912069---国际商学院125100工商管理107186372508496韩军辉18812959---国际商学院125100工商管理107186372508569贾善坤18813256---国际商学院125100工商管理107186372908633李腾18812464---国际商学院125100工商管理107186372508445褚博18712166---国际商学院125100工商管理107186372908647曾爽18712562---国际商学院125100工商管理107186370408040邵治程18613551---国际商学院125100工商管理107186372508522王琪18611769---国际商学院125100工商管理107186372508572姜宇涵18611472---国际商学院125100工商管理107186372508548吕航18513253---国际商学院125100工商管理107186372908634张宝成18512362---国际商学院125100工商管理107186372908699刘慧18512857---国际商学院125100工商管理107186372508446赵慧18412064---国际商学院125100工商管理107186372908639冯琦18412262---国际商学院125100工商管理107186612204201黄静18312657---国际商学院125100工商管理107186372508436王文存18311370---国际商学院125100工商管理107186372508456徐焕军18312063---国际商学院125100工商管理107186372908668宋念君18312954---国际商学院125100工商管理107186621012228张维斌18312360---国际商学院125100工商管理107186372508448宋庆山18212458---国际商学院125100工商管理107186372508551卓其博18212953---国际商学院125100工商管理107186372908642张天贺18211567---国际商学院125100工商管理107186372508552周欢18111863---国际商学院125100工商管理107186372908653田丽18112754---国际商学院125100工商管理107186612204185缪雯婷18011862---国际商学院125100工商管理107186372508543梁康18012852---国际商学院125100工商管理107186372908657周波18012555---国际商学院125100工商管理107186322107374樊徐迪17912455---国际商学院125100工商管理107186372508469马凯17911960---国际商学院125100工商管理107186372508563范玉刚17911663---第 5 页,共 54 页国际商学院125100工商管理107186372908692谢之隆17912158---国际商学院125100工商管理107186370508058李文双17811662---国际商学院125100工商管理107186372508480李杨17812652---国际商学院125100工商管理107186372508487任倩倩17812058---国际商学院125100工商管理107186372508455宋存浩17713047---国际商学院125100工商管理107186372908640李语非1779681---国际商学院125100工商管理107186372908689任远哲17712255---国际商学院125100工商管理107186370107909杨波17512748---国际商学院125100工商管理107186372508510柳晶17510570---国际商学院125100工商管理107186372508509蒋倩17412351---国际商学院125100工商管理107186372508567王军17413539---国际商学院125100工商管理107186370808206张奎17311261---国际商学院125100工商管理107186372508454田亚飞17312845---国际商学院125100工商管理107186372508579吴则良17311756---国际商学院125100工商管理107186372508463马远17211656---国际商学院125100工商管理107186372908694秦磊17212151---国际商学院125100工商管理107186372908680乔潇17111556---国际商学院125100工商管理107186372508479张庆波16811256---国际商学院125100工商管理107186372508565吕鹏宇1689573---国际商学院125100工商管理107186372908679韩钊16811256---国际商学院125100工商管理107186612204176杜怡16710067---国际商学院125100工商管理107186612204191郝腾16711255---国际商学院125100工商管理107186372508481张璐16711948---国际商学院125100工商管理107186372508545张翔16712146---国际商学院125100工商管理107186372508560宋令坤16711750---国际商学院125100工商管理107186372908672李军凯16711453---国际商学院125100工商管理107186372508483王卉婷16610759---国际商学院125100工商管理107186612204177王圣杰16510164---国际商学院125100工商管理107186372508517梁晴16511253---国际商学院125100工商管理107186372508557赵晨16511748---教育学院040101教育学原理107186412309254聂娇3828269231--教育学院040101教育学原理107186130904633张雅静3638278203--教育学院040101教育学原理107186430410264崔洁3557980196--教育学院040101教育学原理107186130604545李文丽3487975194--教育学院040101教育学原理107186612203231刘丛灵3478064203--教育学院040101教育学原理107186370107831于欣3447977188--教育学院040101教育学原理107186141305918李娜3378465188--教育学院040101教育学原理107186640112277曹莹3377477186--教育学院040101教育学原理107186612203236吕丹3348275177--教育学院040101教育学原理107186412209135李方慧3347865191--教育学院040101教育学原理107186620111468常领焕3347959196--教育学院040101教育学原理107186341207554刘文倩3317773181--教育学院040101教育学原理107186130604546杜丹丹3297765187--第 6 页,共 54 页教育学院040101教育学原理107186347007603王毛文3297270187--教育学院040102课程与教学论107186140104841梁艳3637976208--教育学院040102课程与教学论107186612203276郭怡3568585186--教育学院040102课程与教学论107186612203273杨谦3557678201--教育学院040102课程与教学论107186370107834温双3528070202--教育学院040102课程与教学论107186321307292张欣鑫3497575199--教育学院040102课程与教学论107186612203284王怡怡3438076187--教育学院040102课程与教学论107186140905256刘晓青3427860204--教育学院040102课程与教学论107186350107626文童3428166195--教育学院040102课程与教学论107186612203287张园苑3417768196--教育学院040102课程与教学论107186411609025聂彩虹3407977184--教育学院040102课程与教学论107186412209144徐龙晓3407876186--教育学院040103教育史107186141506031任丽琼3688165222--教育学院040103教育史107186140104844罗菊芳3467875193--教育学院040103教育史107186141105628段鑫睿3417970192--教育学院040103教育史107186410508820陈虎3318566180--教育学院040104比较教育学107186612203381秦佳辰3647975210--教育学院040104比较教育学107186130504514张漫3638167215--教育学院040104比较教育学107186612203387韩蕾3548072202--教育学院040104比较教育学107186150206521褚慧3518169201--教育学院040104比较教育学107186131004674张雨荷3478065202--教育学院040105学前教育学107186612203473张海欧3627667219--教育学院040105学前教育学107186140605012孟莎莎3617972210--教育学院040105学前教育学107186511410943张颖莉3588274202--教育学院040105学前教育学107186130404453王策3568964203--教育学院040105学前教育学107186630112242沈润青3568079197--教育学院040105学前教育学107186370808164李喜元3557971205--教育学院040105学前教育学107186411609039张迪3548066208--教育学院040105学前教育学107186612203470余晓3508373194--教育学院040105学前教育学107186612203471宋文3477576196--教育学院040105学前教育学107186620511839田甜3468179186--教育学院040105学前教育学107186231907243余熙悦3437870195--教育学院040105学前教育学107186410208744史晓琼3438262199--教育学院040106高等教育学107186511310912李秋菊3488472192--教育学院040106高等教育学107186140905262何杏彤3447858208--教育学院040106高等教育学107186140404936李美珍3408462194--教育学院040106高等教育学107186612203504乔娜3377975183--教育学院040106高等教育学107186410708890李佳霖3376867202--教育学院040106高等教育学107186612203527张菁3347966189--教育学院040106高等教育学107186370207972熊晓容3347370191--教育学院040106高等教育学107186410508833张馨尹3337871184--教育学院040108职业技术教育学107186330107390杨文杰3627962221--教育学院040108职业技术教育学107186411609044彭娜3488871189--第 7 页,共 54 页教育学院040108职业技术教育学107186410508835高路路3437873192--教育学院040108职业技术教育学107186140905268刘淑云3427775190--教育学院040108职业技术教育学107186322007354王佳昕3428170191--教育学院040109特殊教育学107186511911006刘华兰3778379215--教育学院040109特殊教育学107186130204385张梁3428473185--教育学院040109特殊教育学107186370908233朱馨馨3427169202--教育学院040109特殊教育学107186410508838陈静3417666199--教育学院040109特殊教育学107186511410946罗环3418168192--教育学院045101教育管理107186612201771苏丽3756966104136教育学院045101教育管理107186540111207陈小利351755891127教育学院045101教育管理107186511310929李晓燕330625289127教育学院045114现代教育技术107186614311439高倩倩3936771136119教育学院045114现代教育技术107186414109622王滨3798363115118教育学院045114现代教育技术107186612201791王远3717565109122教育学院045114现代教育技术107186612201794王洁3697560109125教育学院045114现代教育技术107186612201781杨肖娜3666954109134教育学院045114现代教育技术107186612201785王娇娇3556361105126教育学院045114现代教育技术107186612201795张诏晨354705897129教育学院045114现代教育技术107186411208962丁瑾348736988118教育学院045114现代教育技术107186370908249唐晶晶3416653105117教育学院045114现代教育技术107186612201793潘瑞娟340655496125教育学院045115小学教育107186612201721王星月4148271135126教育学院045115小学教育107186370107936李凤4098463129133教育学院045115小学教育107186422410216周丹4078277129119教育学院045115小学教育107186612201727曹芳芳4007465135126教育学院045115小学教育107186410408795薛玉4007673126125教育学院045115小学教育107186422410215潘倩4007676127121教育学院045115小学教育107186612201723李娜3998168144106教育学院045115小学教育107186612201743王亚男3997665132126教育学院045115小学教育107186431410311贺静3906374137116教育学院045115小学教育107186614311438张文靖3888156136115教育学院045115小学教育107186612201708赵效楠3868174118113教育学院045115小学教育107186612201704何萍3847558121130教育学院045115小学教育107186511310928粟慧敏3847677120111教育学院045115小学教育107186612201715闵娜3838162129111教育学院045115小学教育107186220607021严美霞3818165129106教育学院045115小学教育107186612201754郭倩倩3807162124123教育学院045115小学教育107186141906325李莎莎3766971122114教育学院045115小学教育107186612201698徐娜3748371116104教育学院045118学前教育107186612202684何含姣4007659137128教育学院045118学前教育107186130204412曹云云3807373112122教育学院045118学前教育107186612202640寇苗苗3796966126118教育学院045118学前教育107186412209243史楠3797364120122第 8 页,共 54 页教育学院045118学前教育107186612202641吕欢欢3767455135112教育学院045118学前教育107186612202642张杨3737354128118教育学院045118学前教育107186140905491郭琴3717156128116教育学院045118学前教育107186210906904陈玉玉3718065119107教育学院045118学前教育107186612202661吕曦子3707651116127教育学院045118学前教育107186612202685和佳3687653133106教育学院045118学前教育107186612202648黄瑜3656768121109教育学院045118学前教育107186612202659曾梦瑶3656747119132教育学院045118学前教育107186141506212文静3647860111115教育学院045118学前教育107186612202663张晓凤3607866102114教育学院045118学前教育107186614111334王辉洪3587849114117教育学院045118学前教育107186612202686韩佳怡3576654120117教育学院045118学前教育107186612202650许苗苗3557461115105教育学院045118学前教育107186131704812刘迎润3547354112115教育学院045118学前教育107186350307658张馨桐350795712193教育学院045118学前教育107186521111121许翔3507255114109教育学院045118学前教育107186612202636卢春歌3486352106127教育学院045118学前教育107186612202688崔自芳3487350114111教育学院047101教育经济与管理107186612203790景馨禾3937558260--教育学院047101教育经济与管理107186612203789康韩笑3886657265--教育学院047101教育经济与管理107186640112305陈慧慧3828063239--教育学院047101教育经济与管理107186612203784秦奕斐3817353255--教育学院047101教育经济与管理107186330207406杨宁宁3807971230--教育学院047101教育经济与管理107186130404467王楠楠3797265242--教育学院047101教育经济与管理107186612203783魏翠娟3756450261--教育学院047101教育经济与管理107186432610349丁丽婧3617076215--教育学院047101教育经济与管理107186414809852程千原3576566226--教育学院047101教育经济与管理107186612203781王茜3547559220--教育学院047101教育经济与管理107186140404954杜珊3517358220--教育学院078401教育技术学107186612201561李昂3998670109134教育学院078401教育技术学107186130604585张璐3977680114127教育学院078401教育技术学107186612201562谢佳睿3897575122117教育学院078401教育技术学107186210706874高琪3887772116123教育学院078401教育技术学107186650612551王群利3827661121124教育学院078401教育技术学107186612201564缪茜3818161110129教育学院078401教育技术学107186130604584刘暖玉3806872118122教育学院078401教育技术学107186140905444卢晓琦3687262106128教育学院078401教育技术学107186140605168白晓保3667460106126教育学院078401教育技术学107186614311432万欣琦3656961107128教育学院078401教育技术学107186612201558雷媛3597552102130教育学院078401教育技术学107186612201553张琳涓3547157105121教育学院078401教育技术学107186140905446杨新丽3548058105111教育学院078401教育技术学107186372508433郭静3546954109122第 9 页,共 54 页教育学院078401教育技术学107186140905443杨坤萧353746085134教育学院078401教育技术学107186153106786刘燕清3536564112112教育学院078401教育技术学107186612201565胡丽霞352747684118教育学院078401教育技术学107186140605163苏帅3496266109112教育学院078401教育技术学107186140905440苗苏348727198107教育学院078401教育技术学107186612201554胡彦云343666295120教育学院078401教育技术学107186140605165李雪婷342795988116新闻与传播学院0501Z1文艺与文化传播学107186612200677孔文越4078073123131新闻与传播学院0501Z1文艺与文化传播学107186612200674石腾腾4047571129129新闻与传播学院0501Z1文艺与文化传播学107186612200678郑湘宜4008572116127新闻与传播学院0501Z1文艺与文化传播学107186612200676王琪3857171137106新闻与传播学院0501Z1文艺与文化传播学107186612200680朱紫薇3828073122107新闻与传播学院0501Z1文艺与文化传播学107186612200681雷捷3607353123111新闻与传播学院050301新闻学107186511310917陈秋霖4128681125120新闻与传播学院050301新闻学107186210706865杨柳青4038374128118新闻与传播学院050301新闻学107186612200688徐龙超4017670130125新闻与传播学院050301新闻学107186501010715贾凯璐3917966118128新闻与传播学院050301新闻学107186612200695刘曼玉3907074122124新闻与传播学院050301新闻学107186650212464马峤3867267132115新闻与传播学院050301新闻学107186330207407康一麟3837878127100新闻与传播学院050301新闻学107186612200691许桐菁3817965112125新闻与传播学院050301新闻学107186141205826张明珠3817565116125新闻与传播学院050301新闻学107186612200700苗舒菊3807268110130新闻与传播学院050301新闻学107186510810811余璧玲3806878123111新闻与传播学院050301新闻学107186140104861高焱3777659116126新闻与传播学院050301新闻学107186612200685叶美娟3747459118123新闻与传播学院050302传播学107186640112308李晶4228074132136新闻与传播学院050302传播学107186141105662王晓芬4108075126129新闻与传播学院050302传播学107186371108280陈梦雪4048676124118新闻与传播学院050302传播学107186410508851李莹4007564138123新闻与传播学院050302传播学107186410608862侯智臻3998069129121新闻与传播学院050302传播学107186430210256唐丽霞3988081132105新闻与传播学院050302传播学107186421810109景瑶3977874117128新闻与传播学院050302传播学107186422510227陈思雨3977577115130新闻与传播学院050302传播学107186140605049杜风鹏3947784117116新闻与传播学院050302传播学107186140905285解振华3948166127120新闻与传播学院050302传播学107186141005528杨巧玲3947769126122新闻与传播学院050302传播学107186141105663丁彤3937876119120新闻与传播学院050302传播学107186612200738程苗苗3916984125113新闻与传播学院050302传播学107186141205827李夏3898068127114新闻与传播学院050302传播学107186140605047李洁3858171126107新闻与传播学院050302传播学107186370608078孟昱彤3827861129114新闻与传播学院050302传播学107186340107455张士伟381857412498第 10 页,共 54 页新闻与传播学院050302传播学107186612200712段鸣阳3797267122118新闻与传播学院050302传播学107186612200729艾怡坤3798070120109新闻与传播学院050302传播学107186612200731宋昕月3798164126108新闻与传播学院050302传播学107186140805237李田玉3737464113122新闻与传播学院050302传播学107186153106767田婷3738273114104新闻与传播学院050302传播学107186612203211曹江涛328717478105单独考试新闻与传播学院055200新闻与传播107186410108730臧小景4058570133117新闻与传播学院055200新闻与传播107186432710359黄林凤3967863137118新闻与传播学院055200新闻与传播107186411409006赵会杰3948568119122新闻与传播学院055200新闻与传播107186612202706王莹3907467132117新闻与传播学院055200新闻与传播107186612202733姜郁文3908756130117新闻与传播学院055200新闻与传播107186430910282张妮妮3867566125120新闻与传播学院055200新闻与传播107186141506223曲凯华3827365123121新闻与传播学院055200新闻与传播107186330107402严垲3807460127119新闻与传播学院055200新闻与传播107186347007623蔡怡3797174122112新闻与传播学院055200新闻与传播107186612202700张凯文3747276115111新闻与传播学院055200新闻与传播107186140905492郑小荣3748062113119新闻与传播学院055200新闻与传播107186612202698袁甜甜3737854118123新闻与传播学院055200新闻与传播107186612202718祁梅杰3737161130111新闻与传播学院055200新闻与传播107186612202750惠珊3727660124112新闻与传播学院055200新闻与传播107186140104890江泽燕3727561123113新闻与传播学院055200新闻与传播107186371108297贾嫱3718158125107新闻与传播学院055200新闻与传播107186620311757孙早娟3716870113120新闻与传播学院055200新闻与传播107186612202726赵子旗3707362122113新闻与传播学院055200新闻与传播107186140404975丁晓京3707370113114新闻与传播学院055200新闻与传播107186612202725鲁筱沛3646462127111新闻与传播学院055200新闻与传播107186330107401江昱妍3647358119114新闻与传播学院055200新闻与传播107186141105785王琳茸363807697110新闻与传播学院055200新闻与传播107186612202752董妍3626760121114新闻与传播学院055200新闻与传播107186612202739杨景朝3617469111107新闻与传播学院055200新闻与传播107186131404710吴天方3607278110100新闻与传播学院055200新闻与传播107186141506220王萌3607461113112新闻与传播学院055200新闻与传播107186231807236牛硕珂3607962118101新闻与传播学院055200新闻与传播107186414509772马亚楠3607359116112新闻与传播学院055300出版107186612202785赵立凡4107567131137新闻与传播学院055300出版107186612202779张弓鸣4097557133144新闻与传播学院055300出版107186422110170何宇炀3917770116128新闻与传播学院055300出版107186410308777郭真真3797559114131新闻与传播学院055300出版107186310607261杜瑜3767165111129新闻与传播学院055300出版107186612202768王熠凡3727574102121新闻与传播学院130300戏剧与影视学107186612200789路瑶4057975130121新闻与传播学院130300戏剧与影视学107186612200760张越4027466129133新闻与传播学院130300戏剧与影视学107186612200746谢鑫4008184116119第 11 页,共 54 页新闻与传播学院130300戏剧与影视学107186612200751王帆3987273138115新闻与传播学院130300戏剧与影视学107186612201120孙洁3947361132128新闻与传播学院130300戏剧与影视学107186612200770李亚文3878160124122新闻与传播学院130300戏剧与影视学107186140104867李佳希3847169126118新闻与传播学院130300戏剧与影视学107186141105665孙晓潇3837374128108新闻与传播学院130300戏剧与影视学107186370608091王凯3837847130128新闻与传播学院130300戏剧与影视学107186640112309黄亮3837964130110新闻与传播学院130300戏剧与影视学107186414909856闫娜3827757134114新闻与传播学院130300戏剧与影视学107186612200759强立横3807162133114新闻与传播学院130300戏剧与影视学107186612200784郭萌3787558127118新闻与传播学院130300戏剧与影视学107186140104868吉姿姿3786869127114新闻与传播学院130300戏剧与影视学107186370608079刘晓宇3787957132110新闻与传播学院135105广播电视107186612202879米思雨3948457130123新闻与传播学院135105广播电视107186131504780刘桃3848069115120新闻与传播学院135105广播电视107186612202892蒋志强3827255134121新闻与传播学院135105广播电视107186120104285夏溦泽3826964128121新闻与传播学院135105广播电视107186510810860张铭芳3817755129120新闻与传播学院135105广播电视107186612202868侯鑫3808163124112新闻与传播学院135105广播电视107186612202918谢欣榕3736647136124新闻与传播学院135105广播电视107186612202925赵雅琼3687851126113新闻与传播学院135105广播电视107186620111511孙沛达3687869110111新闻与传播学院135105广播电视107186340807548郏赐兵3677364108122新闻与传播学院135105广播电视107186414109642苏航3676559125118新闻与传播学院135105广播电视107186612202890徐小峰3635668121118新闻与传播学院135105广播电视107186612202911刘小锋3637046127120新闻与传播学院135105广播电视107186414309704王莹3637254127110新闻与传播学院135105广播电视107186370107960宋佳霖3627958105120新闻与传播学院135105广播电视107186612202901刘红3607758111114新闻与传播学院135105广播电视107186141105796刘鑫3596153120125新闻与传播学院135105广播电视107186612202932杨思宇3568456114102新闻与传播学院135105广播电视107186620612049兰晓霞3567058122106新闻与传播学院135105广播电视107186612202893王敏瑶3546651126111新闻与传播学院135105广播电视107186612202898赵立3526242124124新闻与传播学院135105广播电视107186612202881温卓方3507255114109新闻与传播学院135105广播电视107186414209677武娟娟3507043125112新闻与传播学院135105广播电视107186612202887李瑞3456037121127新闻与传播学院135105广播电视107186370208006孟晓3456850117110国际汉学院045300汉语国际教育107186500110629李齐豫4138172137123国际汉学院045300汉语国际教育107186612200301王琳4088177136114国际汉学院045300汉语国际教育107186141305930齐文艳4088168135124国际汉学院045300汉语国际教育107186340807536栗锐4088170135122国际汉学院045300汉语国际教育107186612200313杨柳青4057876128123国际汉学院045300汉语国际教育107186410408789范娟4058270130123第 12 页,共 54 页国际汉学院045300汉语国际教育107186612200316程越4008870128114国际汉学院045300汉语国际教育107186612200322彭思漪3987175131121国际汉学院045300汉语国际教育107186130604554张雪莹3988081120117国际汉学院045300汉语国际教育107186612200362周任芳3978368133113国际汉学院045300汉语国际教育107186612200378王艺晓3968070129117国际汉学院045300汉语国际教育107186612200325贾亚婷3947471130119国际汉学院045300汉语国际教育107186230607082崔天晓3947967132116国际汉学院045300汉语国际教育107186612200342李云娇3936972132120国际汉学院045300汉语国际教育107186612200365寇静3937563130125国际汉学院045300汉语国际教育107186413909450王菊阳3938568126114国际汉学院045300汉语国际教育107186612200304程桥3927870128116国际汉学院045300汉语国际教育107186612200389庄丽3926777129119国际汉学院045300汉语国际教育107186153106760王海霞3898167123118国际汉学院045300汉语国际教育107186220707039靳晓玮3897765135112国际汉学院045300汉语国际教育107186130504519黄涵若3888461130113国际汉学院045300汉语国际教育107186214106938常鑫3887372134109国际汉学院045300汉语国际教育107186350307651范鸽3887658135119国际汉学院045300汉语国际教育107186430310262许雅洁3877874131104国际汉学院045300汉语国际教育107186431410304李娜3878368123113国际汉学院045300汉语国际教育107186500910707周文婷3877379125110国际汉学院045300汉语国际教育107186410308759卢艺茹3867571123117国际汉学院045300汉语国际教育107186612200411张珂3857463127121国际汉学院045300汉语国际教育107186130404463杨满3857673127109国际汉学院045300汉语国际教育107186412909352袁言涛3857668122119国际汉学院045300汉语国际教育107186441210432秦薇3857462129120国际汉学院045300汉语国际教育107186431410303张佳祥3847573121115国际汉学院045300汉语国际教育107186415209896马倩3837864119122国际汉学院045300汉语国际教育107186412209201刘晓瑞3827363126120国际汉学院045300汉语国际教育107186414609783付裕3826665130121国际汉学院045300汉语国际教育107186612200283张译丹3817868120115国际汉学院045300汉语国际教育107186612200321关媚3817867121115国际汉学院045300汉语国际教育107186612200329张梦莹3817872119112国际汉学院045300汉语国际教育107186612200406贾惠婷3816873127113国际汉学院045300汉语国际教育107186612200422吴晨辉3817472121114国际汉学院045300汉语国际教育107186141506051赵星星3807369121117国际汉学院045300汉语国际教育107186411709080杨迪3807561124120国际汉学院045300汉语国际教育107186340407481刘泽龙3797268128111国际汉学院045300汉语国际教育107186412309285董永坤3797962125113国际汉学院045300汉语国际教育107186415009866牛乐平3798276117104国际汉学院045300汉语国际教育107186612200367常雯雯3787366122117国际汉学院045300汉语国际教育107186612200407常晓晓3786975127107国际汉学院045300汉语国际教育107186612200413刘雨菡3787777118106国际汉学院045300汉语国际教育107186321107266徐婷婷3787564124115第 13 页,共 54 页。