现代通信系统与网络课后题答案部分
- 格式:doc
- 大小:23.00 KB
- 文档页数:9
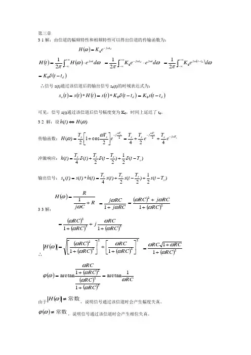
第三章3-1解:由信道的幅频特性和相频特性可以得出信道的传输函数为:()dt j e K H ωω-=0()()ωωπωd e H t H t j ⋅=⎰∞+∞-21ωπωωd e e K t j t j d ⋅=⎰∞+∞--021()ωπωd e K d t t j -∞+∞-⎰=021()d t t K -=δ0∴信号s(t)通过该信道后的输出信号s o (t)的时域表达式为:()()()t H t s t s o *=()()d t t K t s -*=δ0()d t t s K -=0可见,信号s(t)通过该信道后信号幅度变为K 0,时间上延迟了t d 。
3-2 解:设)()(ωH t h ⇔传输函数:sssT j s T js s T j s seT e T T e T TH ωωωωω---++=⎥⎦⎤⎢⎣⎡+=4242cos 12)(22冲激响应:)(21)2(2)(4)(s s s s T t T t T t T t h -+-+=δδδ 输出信号:)(21)2(2)(4)()()(0s s s s T t s T t s T t s T t h t s t s -+-+=*= 3-3解:()R C j RH +=ωω1 RC j RC j ωω+=1()()221RC RC j RC ωωω++=()()()22211RC RCjRC RC ωωωω+++=∴()()()()2222211⎥⎦⎤⎢⎣⎡++⎥⎦⎤⎢⎣⎡+=RC RC RC RC H ωωωωω ()211RC RC RC ωωω++=()()()()RC RC RC RC RC ωωωωωωϕ1arctan11arctan 222=++=由于()常数≠ωH ,说明信号通过该信道时会产生幅度失真。
()常数≠ωϕ,说明信号通过该信道时会产生相位失真。
3-4 图(a)的传输特性为:()212R R R H a +=ω∴有()212R R R H a +=ω()0=ωϕa()0=∆Φωωϕd d a a =可见,该系统的()常数=ωa H 、=常数∆Φ,因此,信号通过该系统时不会产生群延迟。
现代通信原理课后思考题答案第⼀章1、什么是数字信号和模拟信号,俩者的区别是什么?凡信号参量的取值连续(不可数,⽆穷多),则称为模拟信号。
凡信号参量只可能取有限个值,则称为数字信号。
区别在于信号参量的取值2、何谓数字通信,简述数字通信系统的主要优缺点数字通信系统是利⽤数字信号来传递信息的通信系统。
优点:抗⼲扰能⼒强、差错可控、易于与各种数字终端接⼝、易于集成化、易于加密处理。
缺点:占⽤频带宽,需要同步3(1)、画出数字通信系统的⼀般模型,简述各⽅框的主要功能1) 信源编码与译码数据压缩(减少码元数⽬和降低码元速率),减⼩传输带宽,提⾼通信的有效性。
模/数转换,当信息源给出的是模拟语⾳信号时,信源编码器将其转换成数字信号,以实现模拟信号的数字传输。
2)信道编码与译码通过加⼊监督码元(纠错/检错)提⾼通信的可靠性。
3)加密与解密通过加扰保证所传信息的安全性。
4)数字调制与解调把数字基带信号转换成适合信道传输的频带信号。
3(2)、画出模拟通信系统的⼀般模型3、(3)画出通信系统的⼀般模型,简述各⽅框的主要功能信息源:把各种消息转换成原始电信号。
发送设备:将信源和信道匹配起来。
接收设备:放⼤和反变换,其⽬的是从受到⼲扰和减损的接收信号中正确恢复出原始电信号。
受信者:将复原的原始电信号还原成相应信息。
4、在数字通信系统中,其可靠性和有效性指的是什么,各有哪些重要指标?有效性——传输速率(传码率、传信率,频带利⽤率)可靠性——差错率(误码率、误信率)5、按信号的流向和时间分类,通信⽅式有哪些?单⼯、半双⼯、全双⼯6、何谓码元速率和信息速率?他们之间的关系如何?单位时间内传输码元的数⽬,单位时间内传递的平均信息量或⽐特数。
Rb=RB·H (b/s)第⼆章1、什么是随机过程,它具有哪些基本特征?⽆穷多个样本函数的总体叫随机过程。
其⼀,他是时间函数;其⼆,在固定的某⼀观察时刻t1, s(t1)是⼀个不含t变化的随机变量2、随机过程的期望、⽅差和⾃相关函数描述了随机过程的什么性质?期望表⽰随机过程的n个样本函数曲线的摆动中⼼。
文档说明:本文档只有现代交换与通信技术课后习题的部分答案,所以仅供参考,并且只有前七章的哦,可用于考试复习。
第一章1.在通信网中为什么要引入交换功能?为实现多个终端之间的通信,引入交换节点.各个用户终端不在是两两互连 , 而是分别精油一条通信线路连接到交换节点上,在通信网中,交换就是通信的源和目的终端之间建立通信信道,实现通信信息传送的过程引入交换节点后, 用户终端只需要一对线与交换机相连,接生线路投资,组网灵活.2.构成通信网的三要素是:交换设备. 传输设备 , 用户终端.3.目前通信网中存在的交换方式有哪几种?分别属于哪种传送模式?电路交换.多速率电路交换.快速电路交换. 分组交换.帧交换. 帧中继.ATM交换.IP交换.光交换.软交换.电路交换. 多速率电路交换 .快速电路交换. 属于电路传送模式, 分组交换 .帧交换. 帧中继/属于分组传送模式 ATM交换属于异步传送模式4.电路传送模式.分组传送模式,和异步传送模式的特点是什么?(1)信息传送的最小单元是时隙(2)面向连接的工作方式(3)同步时分复用(4)信息传送无差错控制(5)信息具有透明性(6)基于呼叫损失的流量控制分组特点: (1)面向连接的工作方式的特点(2)无连接的工作方式特点(3)统计时分复用(4)信息传送有差错控制(5)信息传送不具有透明性(6)基于呼叫延迟的流量控制异步传送特点: (1)固定长度单元的信元和简化的信头(2)采用了异步时分复用方式(3)采用了面向连接的工作方式5.电路交换. 分组交换的虚电路方式以及ATM交换都采用面向连接的工作方式,它们有何异同?相同点:都具有连接建立数据传送和链路拆除三个阶段. 不同; 电路交换的面向连接的工作方式是一条物理连接通路.而虚电路方式以及ATM交换方式都属于逻辑连接.6.同步时分复用和异步时分复用的特点是什么?同步时分复用的基本原理是把时间划分为等长的基本单位,一般称为帧,没帧再划分为更小单位叫时隙.对每一条同步时分复用的告诉数字信道,采用这种时间分割的方法.依据数字信号在每一帧的时间位置来确定它是第几路子信道.这些子信道又可以称为位置化信道.通过时间位置来识别每路信道异步时分复用是采用动态分配带宽的,各路通信按需使用. 异步时分复用将时间划分为等长的时间片,用于传送固定长度的信元.异步时分是依据信头标志来区别哪路通信信元,而不是靠时间位置来识别。
参考答案第1章一、填空题1、信元交换、帧交换、端口交换。
2、内桥、远程桥、外桥。
3、ADSL Modem、Cable Modem。
4、QPSK、64QAM。
5、调制协议(Modulation Protocols)、差错控制协议(Error Control Protocols)、数据压缩协议(Data Compression Protocols)。
6、CDMA2000无线上网卡、TD、WCDMA。
7、PCMCIA、USB、CF、SD。
8、网络层(Network Layer)、安全层(Security Layer)、应用层(Application Layer)。
二、名词术语解释1、飞蜂窝(英文为Femtocell)是近年来根据3G发展和移动宽带化趋势推出的超小型化移动基站。
飞蜂窝使用IP协议,通过用户已有的ADSL、LAN等宽带电路连接,远端由专用网关实现从IP网到移动网的联通。
2、AP是无线局域网中将无线用户接入并连接广域网的一种网络接入设备。
无线AP是无线网和有线网之间沟通的桥梁。
3、意为中断请求,每一个设备都有一个IRQ,用以向CPU发送服务请求,称为中断。
4、英文全称为“Network Interface Card”,简称“NIC”,网卡是局域网中最基本的部件之一,它是连接计算机与网络的硬件设备。
5、网关(Gateway)就是一个网络连接到另一个网络的“关口”。
6、所谓“线速路由器”就是完全可以按传输介质带宽进行通畅传输,基本上没有间断和延时。
三、判断题四、简答题1、如图所示:图1.2 双绞线原理这里设与纸垂直的方向有电磁干扰,则电磁干扰对于每段导线形成的电动势如图箭头所示。
对于双绞线而言,①、②、③、④线段对应的电动势大小相等方向如图(a)所示。
这样对x线来说②、③方向相反,互相抵消,①、④也一样,因此不会产生差模噪声。
对于平行线,对应⑤、⑥、⑦、⑧线段对应的电动势大小相等,方向如图(b)所示。
1、什么就是通信网?人们常说得“三网”指得就是什么?就是由一定数量得节点(包括终端设备与交换设备)与连接节点得传输链路相互有机地组合在一起,以实现两个或多个规定点间信息传输得通信体系。
电信网,广播电视网,宽带网2、通信网在硬件设备得构成要素就是什么?硬件包括终端设备、传输链路及交换设备3通信网得基本结构有哪些?网形网星形网复合形网总线形网环形网树形网(前三种应用最多)4 存储-转发交换最基本得思想就是什么?分组交换5 什么就是固定通信网得等级结构?等级结构得固定电话网中通常采用什么拓扑结构?等级结构就就是将全网得交换局划分为若干个等级。
低等级得交换局与管辖它得交换局相连、形成多级汇接辐射网即星形网得拓扑结构;而最高等级得交换局则直接相连,形成网形网得拓扑结构。
从整体来瞧,整个电话网呈现复合形网得拓扑结构。
7 、国内长途电话网分为两极,DC1 与DC2 分别指什么?功能就是什么?省级交换中心(DC1):汇接全省(含终端)长途来话、去话话务本地网交换中心(DC2):职能就是汇接本地网长途终端话务。
8 、本地网得概念就是什么?扩大本地网得特点与主要类型有哪些?概念:本地电话网简称本地网,就是指在同一个长途编号区范围内,由若干个端局、汇接局、局间中继线、长市中继线,以及用户线、电话机组成得电话网。
用来疏通接续本长途编号区范围内任何两个用户间得电话呼叫与长途发话、来话业务。
特点:分区汇接①分区单汇接②分区双汇接全覆盖汇接类型:(1)特大与大城市本地网:用于直辖市、省会或经济发达人口众多得省级城市得组网。
(2)中等城市本地网:用于地级市城市组网。
9 、试画出本地网四种汇接方式得示意图。
集中汇接来话汇接去话汇接来去话汇接10 、简述长途网得路由选择规则。
1、网中任一长途交换中心呼叫另一长途交换中心得所选路邮局最多为3个;2、同一汇接区内得话务应在该汇接区内疏通;3、发话区得路由选择方向为自下而上,受话区得路由选择方向为自上而下;4、按照“自远而近”得原则设置选路顺序,即首选直达路由,次选迂回路由,最后选最终路由。
“现代通信系统第4版”习题参考答案第1章程控交换系统1.请说明什么是端局,什么是汇接局?答:端局是直接连接用户的交换局;汇接局是转接处理各端局送来话务量的交换局,它不直接连接用户,只连接端局、长途局或其他汇接局。
2.什么是直达路由?何时可以开设直达路由?答:一个端局与其他端局之间建立的直达中继线,叫作“直达路由”。
一个端局通过汇接局连接到其他端局的路由(即多段中继线)叫作“汇接路由”。
当两个端局之间话务量较大时,可以申请架设直达路由。
3.程控交换机的基本组成包括那些单元电路?答:程控交换系统的基本组成可以分为两个子系统:话路子系统和控制子系统。
其中,话路子系统由交换网络、用户电路、中继电路、信号终端等几部分组成;控制子系统的硬件是由扫描器、驱动器、中央处理器、存储器、输入输出设备等几部分构成。
4.为什么话音信号的抽样频率通常定为8000Hz?答:一路电话信号的频带为300~3400Hz,根据抽样定理知:抽样频率f S ≥2×3400=6800Hz。
考虑到其他一些因素,一般经常选定f S =2f H =8000Hz,T S =1/f S =125μs。
5.什么是量化和均匀量化?均匀量化的量化级差、量化范围、量化级数和PCM 编码位数间的相互关系如何?答:“量化”就是对抽样值分级取整,最常用的取整法是“四舍五入”;“均匀量化”就是均匀地分级。
在量化范围固定的情况下,量化级差分得细一些,可以减少量化误差。
但量化级数多了,就要求有更多位数码,这意味着要产生更高的传码率。
(量化范围固定→量化级差↓→量化误差↓→量化级数↑→编码位数↑→传码率↑)每一个量化级对应一个二进制代码,量化级数M 与编码位数N 的关系是固定的,即M=2N。
在数字电话通信中,标准编码位数N=8,故量化级数应为M=28=256。
6.常见语音信号的二进制码组有几种?各自有什么特点?答:常用二进制码组是自然码、折叠码、格雷码等,三种码组的编码规则见下表。
现代通信网课后习题答案现代通信网课后习题答案随着科技的飞速发展,现代通信网已经成为我们生活中不可或缺的一部分。
然而,在学习过程中,我们常常会遇到一些难题,需要寻找答案。
本文将为大家提供一些现代通信网课后习题的答案,以帮助大家更好地理解和掌握这一领域的知识。
一、基础知识题1. 什么是现代通信网?现代通信网是指利用先进的通信技术和网络设备,将信息传输和交换的系统。
它包括了各种通信设备、传输媒介和通信协议,能够实现人与人、人与物、物与物之间的信息传递和交流。
2. 现代通信网的主要组成部分有哪些?现代通信网主要由以下几个组成部分构成:- 用户终端设备:如手机、电脑等。
- 传输媒介:如光纤、铜线等。
- 交换设备:如交换机、路由器等。
- 传输协议:如TCP/IP协议等。
- 服务提供商:如电信运营商等。
3. 现代通信网的分类有哪些?现代通信网可以根据不同的标准进行分类,常见的分类有以下几种:- 按照传输介质分类:有光纤通信网、有线电视网等。
- 按照传输速率分类:有宽带通信网、窄带通信网等。
- 按照网络拓扑结构分类:有星型网络、环形网络等。
- 按照网络覆盖范围分类:有局域网、城域网、广域网等。
二、应用题1. 请解释什么是光纤通信网?光纤通信网是利用光纤作为传输媒介的通信网络。
它通过将信息转化为光信号,利用光纤的高速传输特性,将信号从发送端传输到接收端。
光纤通信网具有传输速度快、传输距离远、抗干扰能力强等优点,被广泛应用于电话、互联网、有线电视等领域。
2. 请简要介绍无线通信网的工作原理。
无线通信网是利用无线电波进行信息传输的通信网络。
它通过将信息转化为无线电波,利用天线进行发送和接收,实现信号的传输和交换。
无线通信网的工作原理主要包括信号调制、信号传输、信号解调等步骤。
3. 请解释什么是云计算在通信网中的应用?云计算是一种通过互联网实现资源共享和按需使用的计算模式。
在通信网中,云计算可以应用于存储、计算和服务等方面。
现代通信技术课后习题答案第一章1.简述通信系统模型中各个组成成分的含义,并举例说明。
答:课本P4-52.如何理解现代通信网络的分层结构及各层的作用?学术界一开始设定的七层的OSI模型(物理层、数据链路层、网络层、传输层、会话层、表示层、应用层),但后来在实际发展中TCP/IP作为五层协议模型(物理层、数据链路层、网络层、传输层、应用层)发展了起来。
其中:物理层和链路层:解决相邻节点的单跳接入问题,就是保证相连(有线网络)或者相邻(无线网络)的节点可以相互发送数据比特;网络层:负责多跳的路由选择问题(也就是收到一个数据包后判断是否是自己的,如果不是应该发往相连的哪个节点);传输层:只在目的和源两个节点起作用,用于保证传输质量、流量控制、跟上层应用交互等;引用层:主要是各种应用程序(或者说操作系统中进行通信的进程),比如浏览器浏览网页、qq通信、电子邮件等。
3.分析通信网络中各种拓扑结构的特点4.举例说明日常生活中遇到的通信业务以及对应的通信终端。
(自己编)5.如何理解通信网络与通信技术之间的关系?答:通信技术侧重通信接入技术,主要是物理层和数据链路层,比如OFDM、CDMA等技术;通信网侧重通信网络管理和控制,主要网络层、传输层,比如TCP/IP、ATM等。
6.就未来通信发展趋势谈谈想法。
(自己编)7.什么是三网融合?你认为实现的技术基础是什么?答:(1)三网融合是指电信网、广播电视网、互联网在向宽带通信网、数字电视网、下一代互联网演进过程中,三大网络通过技术改造,其技术功能趋于一致,业务范围趋于相同,网络互联互通、资源共享,能为用户提供语音、数据和广播电视等多种服务。
三合并不意味着三大网络的物理合一,而主要是指高层业务应用的融合。
三网融合应用广泛,遍及智能交通、环境保护、政府工作、公共安全、平安家居等多个领域。
以后的手机可以看电视、上网,电视可以打电话、上网,电脑也可以打电话、看电视。
三者之间相互交叉,形成你中有我、我中有你的格局。
第一章1.1 以无线广播和电视为例,说明图 1-1 模型中的信息源,受信者及信道包含的具体内容是什么?在无线电广播中,信息源包括的具体内容为从声音转换而成的原始电信号,收信者中包括的具体内容就是从复原的原始电信号转换乘的声音;在电视系统中,信息源的具体内容为从影像转换而成的电信号。
收信者中包括的具体内容就是从复原的原始电信号转换成的影像;二者信道中包括的具体内容分别是载有声音和影像的无线电波1.2 何谓数字信号,何谓模拟信号,两者的根本区别是什么?数字信号指电信号的参量仅可能取有限个值;模拟信号指电信号的参量可以取连续值。
他们的区别在于电信号参量的取值是连续的还是离散可数的。
1.3 何谓数字通信,数字通信有哪些优缺点?传输数字信号的通信系统统称为数字通信系统;优缺点: 1.抗干扰能力强;2.传输差错可以控制;3.便于加密处理,信息传输的安全性和保密性越来越重要,数字通信的加密处理比模拟通信容易的多,以话音信号为例,经过数字变换后的信号可用简单的数字逻辑运算进行加密,解密处理;4.便于存储、处理和交换;数字通信的信号形式和计算机所用的信号一致,都是二进制代码,因此便于与计算机联网,也便于用计算机对数字信号进行存储,处理和交换,可使通信网的管理,维护实现自动化,智能化;5. 设备便于集成化、微机化。
数字通信采用时分多路复用,不需要体积较大的滤波器。
设备中大部分电路是数字电路,可用大规模和超大规模集成电路实现,因此体积小,功耗低;6. 便于构成综合数字网和综合业务数字网。
采用数字传输方式,可以通过程控数字交换设备进行数字交换,以实现传输和交换的综合。
另外,电话业务和各种非话务业务都可以实现数字化,构成综合业务数字网;缺点:占用信道频带较宽。
一路模拟电话的频带为 4KHZ 带宽,一路数字电话约占64KHZ。
1.4 数字通信系统的一般模型中的各组成部分的主要功能是什么?数字通行系统的模型见图1-4 所示。
第1章通信网络概论及数学基础1.1通信网络有哪些基本要素组成?试举例列出五种常用的通信网络。
1.2常用的通信链路有哪些?其主要特征是什么?1.3试简述分组交换网的要点。
1.4什么叫做虚电路?它与传统电话交换网中的物理链路有何差异?1.5 A TM信元与分组有何差别?ATM网络是如何支持不同种类业务的?1.6分层的基本概念是什么?什么是对等层?1.7试述OSI七层模型和TCP/IP协议体系的区别和联系。
1.8一个典型的通信网络可由哪些物理子网构成?路由器在该网络中的作用是什么?1.9通信网络要研究的基本理论问题有哪些?1.10 设随机过程定义为:,其中Y是离散随机变量,且。
试求该过程在时的均值,和时的自相关函数值。
1.11 设随机过程是一个随机相位信号,即,式中A和w c为常量, 是一个均匀分布的随机变量,其概率密度函数为。
试求的均值函数和自相关函数。
并讨论其平稳性和各态历经性。
1.12 试求Poisson过程的均值函数,方差函数和相关函数。
1.13 设到达某商店的顾客组成强度为的Poisson流,每个顾客购买商品的概率为p,各顾客是否购买商品与其它顾客无关,分别用和表示购买商品顾客和未购买商品顾客的顾客流过程,请证明他们分别是强度为和的Poisson流。
1.14 设某办公室来访的顾客数组成Poisson流,平均每小时到访的顾客数为3人,求:(1)一上午(8到12点)没有顾客来访的概率;(2)下午(2点到6点)第一个顾客到达的时间分布。
图1-25习题1-16图1.15 设有三个黑球和三个白球,把这六个球任意分给甲乙两人,并把甲拥有的白球数定义为该过程的状态,则有四种状态0,1,2,3。
现每次从甲乙双方各取一球,然后相互交换。
经过n次交换后过程的状态记为,试问该过程是否是马氏链?如是,试计算其一步转移概率矩阵,并画出其状态转移图。
1.16分别利用Prim-Dijkstra算法和Kruskal算法求解图1-25中的最小重量生成树。
第一章1.你对信息技术如何理解?信息时代的概念是什么?答:信息技术是研究完成信息采集、加工、处理、传递、再生和控制的技术,是解放、扩展人的信息功能的技术。
概念是信息技术为核心推动经济和社会形态发生重大变革。
2.NII GII的含义是什么?答:NII国家信息基础结构行动计划。
GII全球信息基础设施。
3.现代通信的基本特征是什么?它的核心是什么?答:现代通信的基本特征是数字化,核心是计算机技术。
4.数字通信与模拟通信的主要区别是什么?试举例说明人们日常生活中的信息服务,哪些是模拟通信,哪些是数字通信。
答:模拟信号的电信号在时间上、瞬时值上是连续的,模拟信号技术简单,成本低,缺点是干扰严重,频带不宽、频带利用率不高、信号处理难、不易集成和设备庞大等。
数字信号在时间,瞬时值上是离散的,编为1或0的脉冲信号。
5.数字通信的主要特点有哪些?答:数字通信便于存储、处理;数字信号便于交换和传输;数字信号便于组成多路通信系统;便于组成数字网;数字化技术便于通信设备小型化、微型化;数字通信抗干扰性强,噪声不积累。
6.为什么说数字通信抗干扰性强?噪声不积累?答:在模拟通信中,由于传输的信号是模拟信号,因此很难把噪声干扰分开而去掉,随着传输距离的增加,信号的传输质量会越来越恶化。
在数字通信中,传输的是脉冲信号,这些信号在传输过程中,也同样会有能量损失,受到噪声干扰,当信噪比还未恶化到一定程度时,可在适当距离或信号终端经过再生的方法,使之恢复原来的脉冲信号,消除干扰和噪声积累,就可以实现长距离高质量的通信。
7.你对网络全球化如何理解?它对人类生活将带来什么样的影响?答:我认为网络全球化是以内特网为全球范围的公共网,用户数量与日俱增,全球各大网络公司抢占内特网网络资源,各国政府高度重视,投资研发的网络,全球网络化的发展趋势是即能实现各国国情的应用服务,又能实现突破地区、国家界限的世界服务,使世界越来越小。
8.什么是现代通信?它与信息网关系如何?答:现代通信就是数字通信系统与计算机融合,实现信源到信宿之间完成数字信号处理、传输和交换全过程。
现代通信网习题及参考答案发布时间:2009-10-14 18:53:32 浏览次数:5084《现代通信网技术》习题及答案说明:以下答案为05级通信专业同学完成,不完全对,只供参考。
第1章概论1.何为通信网?人们通常所说的“三网”指的是哪三种网络?答:能够将各种语言、声音、图像、图表、文字、数据、视像等媒体变换成电信号并且在任何两地间的任何两个人、两个通信终端设备、人和通信终端设备之间,按照预先约定的规则(或称协议等)进行传输和交换的网络,就称为通信网。
“三网”指电信网、计算机网和广播电视网。
2.通信网络常用的复用技术主要有哪几种?答:通信网络常用的复用技术主要有:频分复用(FDM)、时分复用(TDM)、统计时分复用(STDM)、频分多址(FDMA)、时分多址(TDMA)、码分多址(CDMA)。
3.简述中国电信网目前的分类情况。
答:中国电信网目前有两大类共14个网。
⑴业务网:公用电话交换网(PSTN)、公用分组数据交换网(PSPDN)、公用陆地移动通信网(PLMN)、窄带综合业务数字网(N-ISDN)、宽带综合业务数字网(B-ISDN)、智能网(IN)、接入网(AN)、多媒体通信网、计算机互联网(Extranet and Intranet)、数字数据网(DDN)、同步数字系列传送网(SDH)。
⑵支撑网:七号公共信道信令网(No. 7 CCS)、数字同步网、电信管理网(TMN)。
4.结合书上讲的内容,发表自己对现代通信网及系统技术发展趋势预测的观点。
答:网络业务数据化,网络传输光纤化,网络结构宽带化,网络接入多样化,网络交换分组化,网络融合快速化,网络设备管理集中化,网络信令协议优选化,网络分布合理化,网络经营专业化,网络接口标准化,网络通信个人化,网络运行维护人员高层次化,网络管理综合化,网络服务一体化,网络收费市场化,网络终端多功能化,网络信息服务真人化,网络选择自由化,网络增值业务智能化。
第2章电话网1.简述PSTN的网络发展情况,何为本地局?答:目前,PSTN不仅提供高质量、高可靠性的语音通信,而且还具有几十种新业务附加功能,但随着用户对电话网所能提供新业务需求的增长,就需要不断的改进每一部交换机的功能来得到满足,这显然是很难完成的。
1、什么是通信网?人们常说的“三网”指的是什么?是由一定数量的节点(包括终端设备和交换设备)和连接节点的传输链路相互有机地组合在一起,以实现两个或多个规定点间信息传输的通信体系。
电信网,广播电视网,宽带网2、通信网在硬件设备的构成要素是什么?硬件包括终端设备、传输链路及交换设备3通信网的基本结构有哪些?网形网星形网复合形网总线形网环形网树形网(前三种应用最多)4 存储-转发交换最基本的思想是什么?分组交换5 什么是固定通信网的等级结构?等级结构的固定电话网中通常采用什么拓扑结构?等级结构就是将全网的交换局划分为若干个等级。
低等级的交换局与管辖它的交换局相连、形成多级汇接辐射网即星形网的拓扑结构;而最高等级的交换局则直接相连,形成网形网的拓扑结构。
从整体来看,整个电话网呈现复合形网的拓扑结构。
7 、国内长途电话网分为两极,DC1 和DC2 分别指什么?功能是什么?省级交换中心(DC1):汇接全省(含终端)长途来话、去话话务本地网交换中心(DC2):职能是汇接本地网长途终端话务。
8 、本地网的概念是什么?扩大本地网的特点和主要类型有哪些?概念:本地电话网简称本地网,是指在同一个长途编号区范围内,由若干个端局、汇接局、局间中继线、长市中继线,以及用户线、电话机组成的电话网。
用来疏通接续本长途编号区范围内任何两个用户间的电话呼叫和长途发话、来话业务。
特点:分区汇接①分区单汇接②分区双汇接全覆盖汇接类型:(1)特大和大城市本地网:用于直辖市、省会或经济发达人口众多的省级城市的组网。
(2)中等城市本地网:用于地级市城市组网。
9 、试画出本地网四种汇接方式的示意图。
集中汇接来话汇接去话汇接来去话汇接10 、简述长途网的路由选择规则。
1、网中任一长途交换中心呼叫另一长途交换中心的所选路邮局最多为3个;2、同一汇接区内的话务应在该汇接区内疏通;3、发话区的路由选择方向为自下而上,受话区的路由选择方向为自上而下;4、按照“自远而近”的原则设置选路顺序,即首选直达路由,次选迂回路由,最后选最终路由。
现代通信⽹习题-及解答@现代通信⽹⼀、单选1. PSTN⽹的构成要素中,(交换设备)是构成通信⽹的核⼼要素。
A.交换设备B.终端C.传输系统D.电源2.⽹形通信⽹中若有8个节点,则需要(28)条传输链路。
;3.在以下⼏种⽹络结构中,(总线型)⽹络的可靠性最差。
A.⽹状⽹B.星型⽹C.环形⽹D.总线型4.电话⽹接续质量是⽤(时延、呼损)来衡量。
A.响度B.清晰度C.逼真度D.时延、呼损5.我国多级汇接辐射式电话⽹的⽹络结构为(复合形)。
A.复合型B. 星型⽹.C. 环形⽹D.⽹状⽹6.业务交换节点(SSP)是电信⽹与智能⽹的连接点,7.本地电话⽹是指在同⼀个长途编号区内所有的终端、传输、(交换设备)的集合。
A.信源B.信道C.发送器D.交换设备8.以下业务中对时延敏感,但对差错不⼗分敏感的是(话⾳)。
}A.数据B.图像C.多媒体D.话⾳9.按服务范围,部队、⽯油、铁路和⼤企事业单位的通信⽹可称为(专⽤通信⽹)A.专⽤通信⽹B.本地⽹C.长途⽹D.市话⽹10.为了安全,在以下⼏种⽹络结构中,(⽹形)⽹络的结构形式最好A.⽹状⽹B.树型⽹C.星型⽹D.总线型、11.我国SDH传输⽹的省际⼲线平⾯所采⽤的⽹络结构为(⽹孔型)A.⽹状⽹B.环形⽹C.总线型D.⽹孔型12.我国数字同步⽹采⽤等级主从同步⽅式按照时钟等级可分为(4)级13.在下列⼏种⽹络结构中(环形)⽹络的可靠性最差A.⽹状⽹B.星型⽹【C.复合型D.环形14.有线介质⽬前常⽤的有双绞线、同轴电缆和( 光纤 )A.激光B.微波C.红外线D.光纤15.同轴电缆通常能提供(500~750 MHz)的带宽~750 MHz⼆.填空、1.当通过增加电路的⽅式对低呼损直达路由模量化时,会使其路由类型(不变)2.以下业务对时延不敏感但对差错⼗分敏感的是(数据传输)3.长途⽹中对⼀个呼叫连接允许串接的电路数⼀般不超过(7段)4.我国数字⽹采⽤的同步⽹为(主从同步⽹)5.信令⽹采⽤三级结构。
现代通信网概述课后答案杨武军郭娟等第一章1、构成现代通信网的要素有哪些?它们各自完成什么功能?它们之间相互通信通过什么机制实现?答:(1)从硬件结构来看:由终端节点、变换节点、业务节点、传输系统构成。
功能:完成接入交换网的控制、管理、运营和维护。
(2)从软件结构来看:它们有信令、协议、控制、管理、计费等。
功能:完成通信协议以及网络管理来实现相互间的协调通信。
(3)通过保持帧同步和位同步、遵守相同的传输体制。
2、在通信网中交换节点主要完成哪些功能?无连接网络中交换节点实现交换的方式与面向连接的网络中交换节点的实现方式有什么不同?分组交换型网络与电路交换型网络节点实现交换的方式有什么不同?答:(1)完成任意入线的信息到指定出线的交换功能(2)无连接型网络不用呼叫处理和记录连接状态,但是面向连接的网络需要。
(3)电路交换的交换节点直接在预先建立的连接上进行处理、时延小,分组交换以“存储—转发”方式工作,时延大。
3、现代通信网为什么要采用分层结构?画出对等层之间的通信过程?答:(1)降低网络设计的复杂度、方便异构网络间的相互连通、增强网络的可升级性、促进了竞争和设备制造商的分工。
(2)图略第二章1.简述几种主要传输介质的特点及应用场合.双绞线:便宜易安装,抗干扰能力差,复用度不高,带宽窄。
应用场合:电话用户线,局域网中。
同轴电缆:抗干扰强于双绞线,适合高频宽带传输,成本高,不易安装埋设。
应用场合:CATV,光纤同轴混合接入网。
光纤:大容量,体积小,重量轻,低衰减,抗干扰能力强,安全保密性好。
应用场合:接入网,局域网,城域网,广域网。
无线介质:1.无线电:长距离传输,能穿越建筑物,其传输特性与频率有关。
应用场合:公众无线广播,电视发射,无线专用网。
2.微波:在空间沿直线传输。
应用场合:卫星通信,陆地蜂窝,无线接入网,专用网络等.3.红外线:不能穿越同体,短距离,小范围内通信。
应用场合:家电产品,通信接口等。
第一章1、您对信息技术如何理解?信息时代的概念就是什么?答:信息技术就是研究完成信息采集、加工、处理、传递、再生与控制的技术,就是解放、扩展人的信息功能的技术。
概念就是信息技术为核心推动经济与社会形态发生重大变革。
2、NII GII的含义就是什么?答:NII国家信息基础结构行动计划。
GII全球信息基础设施。
3、现代通信的基本特征就是什么?它的核心就是什么?答:现代通信的基本特征就是数字化,核心就是计算机技术。
4、数字通信与模拟通信的主要区别就是什么?试举例说明人们日常生活中的信息服务,哪些就是模拟通信,哪些就是数字通信。
答:模拟信号的电信号在时间上、瞬时值上就是连续的,模拟信号技术简单,成本低,缺点就是干扰严重,频带不宽、频带利用率不高、信号处理难、不易集成与设备庞大等。
数字信号在时间,瞬时值上就是离散的,编为1或0的脉冲信号。
5、数字通信的主要特点有哪些?答:数字通信便于存储、处理;数字信号便于交换与传输;数字信号便于组成多路通信系统;便于组成数字网;数字化技术便于通信设备小型化、微型化;数字通信抗干扰性强,噪声不积累。
6、为什么说数字通信抗干扰性强?噪声不积累?答:在模拟通信中,由于传输的信号就是模拟信号,因此很难把噪声干扰分开而去掉,随着传输距离的增加,信号的传输质量会越来越恶化。
在数字通信中,传输的就是脉冲信号,这些信号在传输过程中,也同样会有能量损失,受到噪声干扰,当信噪比还未恶化到一定程度时,可在适当距离或信号终端经过再生的方法,使之恢复原来的脉冲信号,消除干扰与噪声积累,就可以实现长距离高质量的通信。
7、您对网络全球化如何理解?它对人类生活将带来什么样的影响?答:我认为网络全球化就是以内特网为全球范围的公共网,用户数量与日俱增,全球各大网络公司抢占内特网网络资源,各国政府高度重视,投资研发的网络,全球网络化的发展趋势就是即能实现各国国情的应用服务,又能实现突破地区、国家界限的世界服务,使世界越来越小。
8、什么就是现代通信?它与信息网关系如何?答:现代通信就就是数字通信系统与计算机融合,实现信源到信宿之间完成数字信号处理、传输与交换全过程。
信息网就是多种通信系统综合应用的产物,信息网源于通信系统,但高于通信系统,通信系统就是各种网不可缺少的物质基础。
通信系统可以独立地存在并组成网络,而通信网不可能离开系统而单独存在。
9、信息网的网络拓扑结构有哪几种类型,各自有何特点?答:有星型网,以一中点向四周辐射,现在的程控交换局与其所在的各电话用户的连线就就是这种结构。
网型网:任意结点间都有线相连接,在实际通信中的大区一级干线网以及市话网大量采用。
环型网:首尾相接的闭合网络。
网络结构简单,有自愈功能,稳定性高。
总线型网:结点都连接在一条公共的传输线上,就是一种并联的网络,此种网络增减结点很方便,设置的传输链路少。
复合型网:以上网组合而成,称为复合型网。
10.信息网的分类方法有哪些?从网络功能作用来瞧,可分为几种类型的信息网?答:按传输介质分为有线网与无线网;按传输信号分为数字网与模拟网;按业务用途分为电话网、广播电视网、移动通信网;按服务范围分为长途、本地通信网;按网络功能分为公用网、支撑网、专用网。
第二章1、画出数字通信系统模型框图,并简要解释各功能方框作用。
2、数字图像相对于模拟图像传输的主要优点就是什么?答:抗干扰性强,提高功率利用率;可将信源编码与信道编码结合设计,提高频谱、功率利用率;采用数字滤波与数字存储,容易使用简单方法消除噪声,改善图像的信噪比,可大大提高视频图像质量;利用数字处理容易实现加密,有利于视频信号的保密传输;与数字宽带传输技术匹配,适合于未来的多媒体通信。
第三章1、在通信系统中信源编码与信道编码的主要区别就是什么?答:信源编码就是把人类的话音以及机器产生的如文字、图表及图像等模拟信号转换成数字信号。
信道编码就是完成多路数字信号复接为宽带信号数字信号之后,把此宽带数字信号送到传输信道中去2、为什么说电缆信道一般传送的速率偏低,而不作为长距离传输信道?答:以为金属电缆具有传输衰耗大,容易受噪声的干扰特点。
3、现在数字通信系统主要采用哪些传输信道?其主要特点就是什么?答:按物理介质分为有线信道(电缆、光缆、明线)与无线信道;按照距离分为用户线与中继或长途传输信道(光缆、微波、与卫星信道)。
第四章1、简述电话交换的发展过程、现状与趋势。
答:第一阶段人工交换阶段;第二阶段就是机电式自动交换阶段;第三阶段就是电子式自动交换阶段;第四阶段信息包交换发展阶段。
信息包交换不仅仅要求以程控交换为代表的电路交换,还需要适合非话业务的信息包交换,信息包交换技术的发展,标志着交换技术有了进一步的革命性的发展,使交换技术能够适应各种信息交换的要求,为多媒体通信与宽带通信网的发展奠定了基础。
未来还有软交换概念2、何为程控交换,简述数字程控交换的原理与主要优点?答:随着计算机与大规模集成电路的发展,计算机技术应用于交换机的控制系统,出现了程控交换机,实现了程控交换。
原理就是在一条数字复用线进行时隙交换,在复用线之间进行相同时隙的空间交换。
第五章1、什么就是光纤通信,光纤通信的特点就是什么?答:光纤通信就是以激光作为数字信息载体,以光纤作为传输媒介传送数字信息的一种通信方式。
特点就是传输频带宽,通信容量大;损耗极低,传输距离长;线径细,重量轻;不受电磁干扰,放腐蚀性好,不会锈蚀;不怕高温,防爆、防火性能强;保密性好。
2、数字光纤通信系统由哪几部分组成、各完成什么样的功能?答:由发送设备、传输信道、接收设备构成。
数字信号发射端机实现电向光的转换。
光接收机实现光向电的转换。
8、SDH的含义就是什么?主要特点?答:含义就是光同步数字传输系统。
特点就是:有标准光接口;同步字节复用;强大的网络管理功能;有世界统一的数字信号速率与帧结构标准;SDH与PDH网络具有完全的兼容性。
19、SDH系统网同步的概念就是什么?答:要保证发端在发送数字脉冲信号时,将脉冲放在特定的时间位置上,而收端要能在特定时间位置处将该脉冲提取解读,以保证收发两段的正常通信。
第六章1、什么就是微波通信,它有什么特点,使用什么频段?答:微波通信就是依靠空间电磁波来传递信息的一种通信方式,属于无线通信范畴。
频率在0、3到300GHz范围的电磁波。
特点频段频率高,不易受天电干扰、工业噪声及太阳黑子变化影响,因此通信可靠性高;微波通信称为接力通信;微波频带宽,传输信息容量大。
2、微波接力系统由哪几部分组成?各起什么作用?答:微波接力系统由端站、枢纽站、分路站及若干中继站组成。
3、简述卫星通信系统的组成及工作过程。
答:通信部分与保障部分组成。
卫星通信主要包括发端地球站、收端地球站、上行线、下行线、与通信卫星组成。
甲地首先把本站的信号组成基带信号,经过调制器变换为中频信号,经过上变频变为微波信号,经高功放放大后,经天线发向卫星,卫星收到地球站的上行信号经放大处理,变换为下行微波信号。
乙地收端站收到卫星传送来的信号,经过处理送到各用户。
4、什么叫同步通信卫星?答:在同步轨道上运行的卫星,当卫星运行方向与地球自转方向相同,即为同步卫星。
5、什么叫卫星的姿态保持与控制?答:卫星的位置要控制,保持在预定位置,卫星天线波束指向覆盖区中心,卫星的天阳能电池板正对太阳。
6、通信卫星天线波束主要有哪几种?答:球波束天线;半球波束天线;点波束天线;赋形波束天线。
7、数字卫星地球站主要由哪几部分组成?答:天馈系统、发射系统、接收系统、通信系统、监控管理及电源系统。
第七章1、什么叫移动通信?移动通信有哪些特点?答:移动通信就就是指通信双方,至少有一方在移动中进行信息交流。
特点:电波传播条件恶劣;在强干扰下工作;具有多普勒频移效应;移动用户经常移动。
3、目前移动通信使用哪几个频段。
答:150MHz,450,800,900,1、8GHz4、什么就是码分多址?答:码分多址就就是利用不同的地址码型来区分用户的一种移动通信系统。
5、GPRS的概念就是什么?为什么称它为2、5G?答:就是通用无线分组业务的缩写,就是介于第二代与第三代之间的一种技术。
6、第三代移动通信的发展目标。
答:具有终端设备及其移动用户个人的任意移动性;移动终端业务的多样性、移动网宽带化及全球性。
7、第四代移动通信与第三代移动通信有什么区别?答:高速化、宽带化,灵活性强、兼容性好、业务多样性。
第八章1、如何理解现代通信网络的分层结构及各层的作用?答:现代通信网络采用分层的结构形式,每层都有不同的支撑技术,这些支撑技术就是网络中的核心技术,并构成了现代通信的技术基础,使各种通信技术与通信网络有机融合,并能清晰地显现各种通信技术在网络中的位置与作用。
分为信息应用,业务网,接入与传送网。
2、数据网中数据交换网与广播网有什么不同?答:交换网由交换结点与通信链路组成。
用户之间的通信要经过交换设备。
广播网,每个数据站的收发信机共享同一传输媒质。
3、互联网中为什么要使用IP地址?它与物理地址有什么不同?答:IP地址就就是给每个连接在互联网上的主机分配一个在全世界范围内唯一的30字节地址可以使我们很方便的寻址。
在网络层及以上使用的就是IP地址,而链路层及以下使用的就是硬件地址。
第九章1、接入网的定义就是什么?它由哪些接口来界定?答:接入网就是指从本地交换局到用户之间的信息传送网。
第十一章1、什么就是网络安全问题,网络安全的重要性就是什么?答:网络安全重要性:大的方面关系到国家主权安全、社会的稳定、民族文化的继承与发扬;小的方面关系到公私财务与个人隐私安全因此要加强网络安全建设。
2、安全服务包括那些方面?答:安全服务包括机密性、完整性、鉴别、非否认性、访问控制、可用性。
3、有哪两种安全模型?其主要解决什么类型的问题?答:大多数信息安全涉及到网络传输的信息安全与计算机系统中的信息安全。
网络安全模型就是保护动态数据安全,网络访问安全模型就是保护静态数据安全。