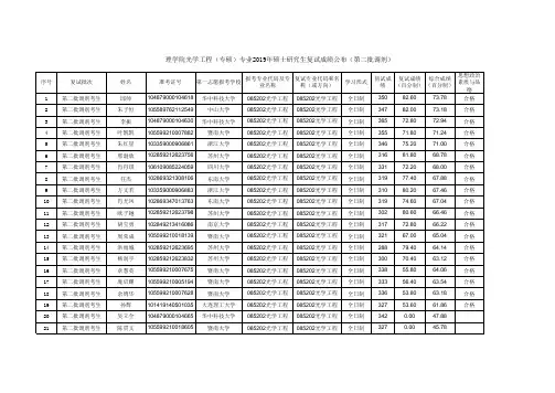
浙江工业大学理学院物理学专业2019年硕士研究生复试成绩公布(第二批调剂)
- 格式:xls
- 大小:25.00 KB
- 文档页数:2
序号复试批次姓名准考证号第一志愿报考
学校
报考专业代码及
专业名称
复试专业代码和
名称(或方向)
学习形式初试成绩
复试成绩
(百分制)
综合成绩
(百分制)
思想政治素
质与品德
备注
1第一批调
剂生
郭志红103469210000688杭州师范大学
045108学科教学
(英语)
045101教育管理非全日制33482.4574.63合格
2第一批调
剂生
文颖104149045108224江西师范大学
045108学科教学
(英语)
045101教育管理非全日制32583.3874.19合格
3第一批调
剂生
蒋会君105339431517675中南大学
045108学科教学
(英语)
045101教育管理非全日制33481.4274.11合格
4第一批调
剂生
赵赟潇100669124501841
天津职业技术
师范大学
045120职业技术
教育
045101教育管理非全日制35876.0073.80合格
教科学院教育管理专业2019年硕士研究生复试成绩公布。
浙江工业大学2020年硕士研究生招生调剂
公告
各位考生:
2020年硕士研究生招生考试初试成绩、国家线已经公布,我校生源富余的学科专业在国家线(A区)基础上,再划定了复试分数线,根据分专业复试分数线情况,我校部分专业拟接收调剂,具体见附件,欢迎广大优秀考生调剂报考我校。
“全国硕士生招生调剂服务系统”将于5月20日左右开通,有调剂意愿的考生,请及时登录调剂系统和相关学院网站,查询调剂工作办法、计划余额等相关信息,按要求调整正式志愿。
具体时间、调剂名额等以各学院正式通知为准。
附件:浙江工业大学2020年拟接收调剂的专业(以下拟调剂情况仅供考生参考,最终请以各招生学院官方网站通知为准。
)。
浙江工业大学人文学院中国语言文学专业2019年硕士研究生第二批调剂复试公告
一、拟调剂人数
二、学院通过“全国硕士研究生招生调剂服务系统”接受调剂考生信息的时间为2019年3月28日下午16:30起至2019年3月29日上午9:00止。
三、其他调剂复试事项遵照2019年3月21日发布的《浙江工业大学2019年硕士研究生复试、调剂、录取工作办法》和《人文学院2019年硕士研究生复试、调剂、录取工作方案》执行。
四、特别提醒:2019年3月21日18:00--2019年3月22日13:30期间申请人文学院中国语言文学专业调剂复试的考生均已解锁,如要参加第二批调剂复试,仍需在本公告规定的时间(2019年3月28日下午16:30起至2019年3月29日上午9:00止)重新在“全国硕士研究生招生调剂服务系统”申请调剂复试。
人文学院
2019年3月28日。
理学院2019级研究生二次复试时间及地点
笔试时间:2019年4月8日,13:30-15:30
笔试地点:办公楼B609
面试时间:2019年4月9日,14:00
面试地点:
化学工程:办公楼C618
数学:公教楼E506
凝聚态物理:办公楼A617
面试时考生请携带:
1.加盖学校教务部门公章的在校期间历年学习成绩表
2.各类证书、奖状及近三年发表的论文原件及复印件一份;
体检时间:4月9日上午6:40之前带贴好照片的体检表、体检用品和身份证
体检地点:河北科技大学新校区校医院(生活区6A楼)。
注意事项:考生在体检前应保持空腹,不吃饭,不饮水。