2013年北大历史系博士复试名单及录取名单
- 格式:pdf
- 大小:157.94 KB
- 文档页数:3
北京大学2013年硕士生招生复试基本分数线与有关事项通告2013年03月05日 15:08 来源:中国研究生招生信息网根据教育部有关制订分数线的要求,我校按照统考生、联考生等不同类型分别确定复试基本分数线。
考生能否进入复试以各院系所规定的各项单科成绩和总成绩确定的复试名单为准。
我校将按照德、智、体全面衡量,择优录取,保证质量,宁缺毋滥的精神和公开、公正、公平的原则进行复试与录取工作。
一、复试基本分数线:(1)、统考:考试科目学科门类政治外语数学专业课总分哲学 (01)50509090365经济学 (02)55559090380法学 (03)50509090345教育学 (04)5050180360文学 (05)505090340历史学 (06)5050180345理学 (07)50509090320工学 (08)50509090320管理学 (12)50509090350艺术学 (13)505090340(2)、联考:考试科目专业学位政治外语数学专业或综合课总分备注应用统计 02520050509090350法律(法学、非法学)505090360深圳研究生院总分为340社会工作 590100505090350汉语国际教育570100505090335应用心理学 0454005050180325英语580101505090345翻译日语505090360口、笔译两个专业新闻与传播 055200455090345软件工程 20031350458080300报经济类(需考数学),总分降10分;报管理类总分350;报计算机翻译公共课不电子与通信工程 20030950458080300低于50分、专业不低于90分。
公共管理 20090150110175文物与博物馆0651005050180325艺术 550102404090330工程管理125600国家A类分数线提前面试工商管理 200601国家A类分数线提前面试(3)、“强军计划”、“少数民族骨干计划”、“单考班”:复试基本分数线根据教育部相关政策另行确定。
北京大学国际关系学院2013年硕士研究生招生复试与录取工作细则(2013年3月2日)[更新版]根据北京大学研究生院招生办公室《关于2013年硕士研究生招生复试与录取工作的通知》的精神,经本院党政办公会讨论决定,特制定本细则如下。
一、复试与录取工作的原则与指导精神是:德、智、体全面衡量,择优录取,保证质量,宁缺毋滥;公开、公正、公平。
二、为保证此项工作的顺利进行,特成立复试与录取工作领导小组,在学院党政办公会的领导下负责具体事务的处理。
小组成员如下:唐士其、李寒梅、关贵海、虎翼雄、曹丽玮。
唐士其为组长。
三、各专业分别组织5人以上的专家复试组直接负责复试。
每个复试组设秘书一至二名,负责复试记录和协助安排相关事宜。
四、按照学校规定,进入复试名单的考生应在单科、总成绩两方面均达到最低分数线(政治、外语50分;专业课每门90分;总分345)。
“如有特殊情况,须由学院(系、所、中心)向研招办提交书面报告,待批准后方可实行。
”五、按照学校有关规定,我院2013年硕士招生复试采用差额形式。
差额比例为130%。
考生依自己的初试总成绩在所报专业内按此差额比例降序进入复试名单。
如本专业核定复试名额范围内有总成绩相同者,依次确定复试名单,不增加复试人数。
但如最后一名的位置上有总成绩相同者,则为公平起见,一并列入复试名单。
六、复试形式为面试,内容涉及考生所报专业的理论、历史、现实问题,重点考察学生分析问题的能力。
考试成绩采用百分制,60分及格。
考生面试结束后由专家复试组成员现场独立评分,平均分即为考生的面试成绩。
按照学校规定,复试成绩平均分低于60分者即自动丧失录取资格。
留学生、台港澳考生、少数民族高层次骨干人才计划考生根据学校相关规定,按所申请专业参加复试。
推荐免试的同学因已在2012年已通过面试,故此次不再参加复试。
七、复试成绩权重为30%。
按照学校规定,在复试阶段中国大陆考生将进行外语听力考试。
听力考试由学校研招办统一组织,考试时间为3月17日下午2:00—2:30,考生于1:45入场,1:55停止入场,具体安排以北京大学研招办的通知为准,请上网查询。
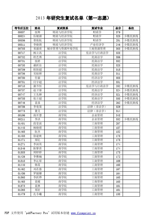
2013年研究生复试名单(第一志愿)考号后五位姓名复试院系复试专业总分备注00037 张辉财政与经济学院财政学37900024 伍娅湄财政与经济学院财政学325 少数民族线00036 普俊航财政与经济学院财政学251 少数民族线00811 李晓莉财政与经济学院产业经济学246 少数民族线00705 易滋南城市管理与资源环境学院土地资源管理303 少数民族线00717 杨立高法学院宪法学与行政法学32800732 程艺博法学院民商法学35600731 张婷法学院民商法学33200738 潘跃佳法学院民商法学32800739 欧阳超法学院民商法学31500736 吴姣娇法学院民商法学31100750 任毅法学院经济法学38500751 付宇超法学院经济法学33100718 康书恒法学院宪法学与行政法学252 少数民族线00737 赵卫蓉法学院民商法学324 少数民族线00747 王先婵法学院经济法学321 少数民族线00735 张立超法学院民商法学338 少数民族线00746 袁泉法学院经济法学262 少数民族线00756 李亳策法学院法律(非法学)32900775 董艾法学院法律(非法学)31400196 商开慧商学院企业管理34800211 李洪商学院企业管理332 少数民族线01401 段莹波商学院工商管理20701448 杨晓萌商学院工商管理18701465 阮杰商学院工商管理18201453 徐建秋商学院工商管理17801471 郑忆商学院工商管理17501271 李润英商学院工商管理17401346 陈黎晋商学院工商管理17401385 周婷婷商学院工商管理17301426 李雅楠商学院工商管理17201318 李沁原商学院工商管理16901440 韩霄商学院工商管理16801462 刘若愚商学院工商管理16701436 罗丽娜商学院工商管理16401368 李跃烨商学院工商管理16301463 袁媛商学院工商管理16301373 袁林商学院工商管理16101265 郑好商学院工商管理16101479 孔令曦商学院工商管理15801317 魏芸商学院工商管理157 01313 张璐商学院工商管理156 01455 张贝敏商学院工商管理153 01383 张炜商学院工商管理152 01458 刘娴商学院工商管理152 01327 周景妍商学院工商管理152 01411 朱洋淇商学院工商管理151 01361 邓永盛商学院工商管理151 01363 黄艳梅商学院工商管理151 01374 张蕊商学院工商管理150 01340 李维龙商学院工商管理150 01421 邹丽玺商学院工商管理150 01289 罗锐商学院工商管理150 01309 李果商学院工商管理148 01412 窦蕾蕾商学院工商管理147 01409 黄伟商学院工商管理147 01304 雷霞商学院工商管理146 01432 李俊商学院工商管理146 01460 刘水商学院工商管理145 00834 钱倩严慧公共管理学院行政管理359 00917 李解公共管理学院公共管理206 01010 沈云东公共管理学院公共管理194 01167 夏凤竹公共管理学院公共管理188 00987 胡娜公共管理学院公共管理187 01046 谭启英公共管理学院公共管理179 01107 魏莉公共管理学院公共管理176 01157 杨木杰公共管理学院公共管理175 00910 彭蔚公共管理学院公共管理172 00861 肖云峰公共管理学院公共管理171 01057 朱颖香公共管理学院公共管理168 00960 王冰丽公共管理学院公共管理164 01102 马丽华公共管理学院公共管理164 01136 楚妍公共管理学院公共管理163 01013 李关保公共管理学院公共管理163 00914 高妍公共管理学院公共管理160 00933 张恒公共管理学院公共管理159 00904 马红梅公共管理学院公共管理158 01116 高阳公共管理学院公共管理158 01168 谢明益公共管理学院公共管理157 00906 周郁燕公共管理学院公共管理155 00981 李钦公共管理学院公共管理155 00882 孙永林公共管理学院公共管理154 01109 施晨公共管理学院公共管理15400913 杨海鹦公共管理学院公共管理15401054 李旭公共管理学院公共管理15301193 甘云公共管理学院公共管理15201142 严晗公共管理学院公共管理15200920 曹伍星公共管理学院公共管理15101165 王娟公共管理学院公共管理15000979 宁芳公共管理学院公共管理15001126 戴凌楠公共管理学院公共管理15001024 朱翠珍公共管理学院公共管理14701058 赵作让公共管理学院公共管理14701099 牛靠公共管理学院公共管理14501199 张菁菁国际工商学院管理科学与工程36300265 张志君会计学院会计学39100235 蒋丽迁会计学院会计学37000214 范书梦会计学院会计学36900300 张欢欢会计学院会计学36300220 杨培蓉会计学院会计学36200234 虞璐会计学院会计学35400219 张祥会计学院会计学34500233 郭衍玮会计学院会计学34400221 王姮民会计学院会计学33700222 施维会计学院会计学313 少数民族线00291 陈绍娥会计学院会计学302 少数民族线00290 李进萍会计学院会计学300 少数民族线00271 徐利红会计学院会计学278 少数民族线00302 杜永川会计学院会计学278 少数民族线00272 杜晶凤会计学院会计学273 少数民族线00269 魏冬晓会计学院会计学263 少数民族线00259 和志琴会计学院会计学258 少数民族线00263 刘莹会计学院会计学285 少数民族线00258 杨瑾会计学院会计学282 少数民族线00329 李小溪会计学院企业管理269 少数民族线00342 赫雁翔会计学院审计学33700663 梁雅爽会计学院会计21300615 金文韵会计学院会计20900357 徐菁会计学院会计20600569 乔倩会计学院会计20400368 姚娜会计学院会计20400424 冯艳新会计学院会计20400517 胡杨会计学院会计20200382 童心会计学院会计19800469 白邱林会计学院会计19700434 许梦芸会计学院会计19600453 吴苑会计学院会计196 00557 王晓娟会计学院会计196 00364 辛启元会计学院会计195 00584 杨李雯会计学院会计195 00399 魏鹏鹏会计学院会计194 00442 胡圣明会计学院会计193 00519 陈俊儒会计学院会计193 00587 吴超会计学院会计193 00525 马苑会计学院会计192 00588 卜俊清会计学院会计192 00558 李振夷会计学院会计192 00566 王婷会计学院会计191 00387 苏同会计学院会计191 00591 向姝会计学院会计191 00415 华斌会计学院会计191 00412 程赛会计学院会计190 00400 王珂会计学院会计190 00527 叶中正会计学院会计190 00386 付晴晴会计学院会计190 00363 兰旭康会计学院会计190 00574 杨晔会计学院会计190 00370 王奕芸会计学院会计189 00500 毕欣会计学院会计189 00391 姜云帆会计学院会计188 00520 杜雅静会计学院会计188 00428 尚琪会计学院会计188 00533 何精智会计学院会计187 00367 韩玮会计学院会计187 00414 姜珊会计学院会计186 00471 崔华会计学院会计186 00545 胡洁会计学院会计186 00407 杨梦珂会计学院会计185 00383 许川会计学院会计185 00395 靳一川会计学院会计185 00454 邢香会计学院会计184 00506 鲁娜会计学院会计183 00392 周珺会计学院会计183 00638 罗晓黎会计学院会计183 00526 李蓓会计学院会计183 00468 邓维会计学院会计183 00555 杨礼维会计学院会计183 00381 宋彭涛会计学院会计182 00573 齐艳会计学院会计18100498 张帆会计学院会计181 00437 马超鹏会计学院会计181 00629 周雪娟会计学院会计178 00610 阳慧会计学院会计178 00614 钟林颖会计学院会计178 00630 刘素丽会计学院会计178 00646 王晶会计学院会计178 00409 肖凡会计学院会计177 00472 向阳会计学院会计176 00665 王雅婧会计学院会计175 00396 李传龙会计学院会计172 00668 庞瑞博会计学院会计172 00457 周偲会计学院会计172 00598 王力会计学院会计172 00448 刘懿德会计学院会计172 00542 崔璐会计学院会计171 00618 吴丽雅会计学院会计170 00537 时颖会计学院会计170 00547 李皎娇会计学院会计170 00568 刘同达会计学院会计170 00562 张晓佳会计学院会计170 00549 张建云会计学院会计169 00660 罗啟蓉会计学院会计169 00362 刘红会计学院会计169 00554 罗降云会计学院会计168 00578 杜燕会计学院会计167 00662 毛艺洋会计学院会计167 00552 毛婷婷会计学院会计167 00563 李欣彤会计学院会计167 00572 马思玮会计学院会计167 00401 王天剑会计学院会计166 00404 柳欣会计学院会计166 00403 李政良会计学院会计166 00611 成兴诚会计学院会计164 00458 蒋林利会计学院会计163 00575 樊金平会计学院会计163 00613 石琳会计学院会计163 00616 杜雯会计学院会计163 00430 席蕊会计学院会计162 00529 陈茜会计学院会计162 00538 陈城然会计学院会计162 00406 郭菁阳会计学院会计162 00644 郭霁漫会计学院会计16200389 聂鹏蕾会计学院会计16200398 刘哲会计学院会计16200535 陈彤会计学院会计16100589 施海霞会计学院会计16100413 邱佳会计学院会计16100583 鲍素冰会计学院会计16000384 李郅会计学院会计16000508 袁立力会计学院会计16000446 夏敬睆会计学院会计16000411 王晨艳会计学院会计16000643 刘筱可会计学院会计15900465 张珊珊会计学院会计15900385 余星恒会计学院会计15900544 彭雪霏会计学院会计15800492 李彤会计学院会计15800423 芮红果会计学院会计15800445 代梦洁会计学院会计15800661 张毕新会计学院会计15800354 王俊超会计学院会计15800609 窦悦芸会计学院会计15700476 刘园媛会计学院会计15700475 王怡丹会计学院会计15700559 李雪梅会计学院会计15700066 何彬金融学院金融学37200137 杨帆金融学院金融学36600128 董彩婷金融学院金融学35700147 杨狄灵金融学院金融学34300109 郭维金融学院金融学34000141 张驰金融学院金融学33700123 李雪冬金融学院金融学33500054 王晓莹金融学院金融学33400143 郭启星金融学院金融学33200060 魏诚宝金融学院金融学33100116 芦靓赤金融学院金融学275 少数民族线00078 周文江金融学院金融学274 少数民族线00100 郑媛金融学院金融学255 少数民族线00167 罗玉韬金融学院金融学245 少数民族线00166 朱珠金融学院金融学245 少数民族线00190 施丽金融学院金融33001520 郭伟经济研究院金融学36201532 孙嘉璐经济研究院社会保障289 少数民族线00671 李昊鹏旅游与服务贸易学院旅游管理278 少数民族线01503 李灵哲学与伦理研究所伦理学34201504 张涛马克思主义学院马克思主义基本原理30501507 杨世奇马克思主义学院马克思主义发展史35901508 徐振翔马克思主义学院马克思主义发展史34001513 张宏鹏马克思主义学院马克思主义中国化研究33601510 周锡龙马克思主义学院马克思主义中国化研究31801515 何振懿马克思主义学院思想政治教育34400681 周子渊统计与数学学院统计学34400690 张馨方统计与数学学院基础数学33800693 何娜统计与数学学院统计学41800689 吴官福统计与数学学院统计学279 少数民族线00698 贺红艳统计与数学学院统计学249 少数民族线00677 杨俊锋统计与数学学院应用统计347注:1、复试分数线以国家公布的B类分数线和少数民族线为准。
2013年博士招生入学考试初审合格名单一、造型艺术研究所(112人)刘商英、徐保亮、肖珊珊、卢攀攀、周望、魏信孟、高牧星、李立山、董泉吴天、陈散吟、胡小刚、刘利波、张健、金杉、胡继宁、姚莉芳、左亮、谢意王子骄、叶甫纳、那新宇、郭彬彬、戚亚红、谷元江、高相发、李良良、杨洋刘文菁、严支胜、姜骊、黄捷、孟繁羽、李广、张小涛、张亮、王海、孟德乡郑维坤、王一妃、张弓、裴丽、尼亚兹·阿吉、王惠东、黄晴、马钰、陈丹青张靓亮、戴海涛、崔琳琳、黄音、张洺贯、陈志奎、艾则热提艾力牙克甫、杨建虎、陈凯、刘双喜、李晓林、张宝珠、王方呈、鲁婷婷、张溪、张雄鹰吴林峰、潘青、林曦、于海亭、范舟、周末、韩社林、黄芳炜、陶华、陈霄翾陈昭、包图雅、张猛、梁治国、高一斐、陈蕾、范功、路奇君、肖宝云、刘丽晶、李竞群、唐钰涵、戴怡添、刘睿、曲丹儿、莫德格、何尹、孟祥霞刘志云、李德海、曹恩东、贺文荣、邓碧文、张一凡、郑格、张欣、仲清华陈佳思、孙华、王宜兰、董慧萍、金瑞、李丹、梁智龙、吕永生、吴善贞(华侨)、梁嫮贞(留)、黎春勇(留)、安雅璘(留);二、人文学院(92人)吴天跃、戢范、严现、赵明、邢陆楠、高嵩、齐驸、王智慧、王康、季海洋陈晓红、李玉、刘永胜、王培、肖寿林、王婷婷、杨梦娇、邵小莉、赵晖、刘祥辉、李鲁鄂、李秋菊、王小维、姜宛君、张晓容、聂茜、李小斌、王照宇刘光喜、任珊珊、李菲、郑娇娇、刘童、王瑜玮、陈刚、陈昀、刘晓丹、谢盈盈、张璞、张爱梅、陈磊、吕海洋、欧群叶、安树成、姜雪、刘丁丁李松朋、赵莎莎、王静、彭盼、孟蕾、朱俊、陈叙良、孙梅戈、宫妮、辛培杨简茹、朱橙、孙鹏、石妙春、孟翠翠、孙美琳、李精明、刘韬、周玉州谷新春、唐宇、付铭、于博、刘伟娜、许路娟、祁姿妤、许彤、刘卓、王鲁光张晨、山川、徐琪歆、王琪、喻理、宋蕊、王媛、于龙成、杨俊芳、王成国张月、彭筠、韩康、邓锋、韩燕(港)、刘莹(港)、朱敉呈(留)三、建筑学院(35人)刘芹、曹仿桔、马冶、肖艺超、张阳、白羽、牟宏毅、余熙文、吴海云、付小利、阚笑文、王健、赵洋、刘晓峰、李淼、杜军、梅云、郑慧铭、丘华恩李子兆、屈伸、黄兆成、陈陆林、李进、田野、袁琨、宫勉、黄翊、张国峰宋丹、陈益阳、梁飞、汤学海、赵倩、乔蓉蓉四、设计学院(57人)王静艳、吴梦诗、米平平、刘兴华、高扬、谢雪泉、蒋同亚、唐然、林力、黄鹂、王维佳、林彤、邢晗、孟拥、李馥佐、李佳、段盛华、邱爱艳、霍俊杰于新颖、宋歌、龚薇、张羽、张瑞琦、黄俐玲、章寿品、吴轶博、徐娜、陈晶李阳、陈鸿雁、赵文静、明娜、宋洋、张效袆、杨洋、金雅婷、佟丽华、程慧波、刘峰、王彦苏、辛丽敏、陈艳、王也、张菡、刘永琴、车岩鑫、米士杰、张明、刘震、曹田、张帅、赵静、张思思、于磊奇、郭超、高萱芳(台)中央美术学院招生办公室2013-3-28。
北京大学历史学系中国史专业考博老师笔记-育明考博一、北京大学历史学系历年考博复试分数线(育明考博课程中心)育明考博辅导中心张老师解析:1、应试生复试成绩占总成绩的30%,初试笔试占总成绩70%。
其中考生资料审查占10%,面试占20%。
2、由参加招生的博士生导师组成3人或3人以上的专家复试组,负责2016年博士研究生的资料审查和面试工作。
3、专家复试小组将依据准备好的试题对申请者进行综合面试,每位考生的面试时间原则上不少于30分钟。
(北京大学历史学系考博资料获取、课程咨询育明教育张老师叩叩:柒柒贰陆,柒捌,伍叁柒)二、北京大学历史学系中国史专业考博考试内容分析(育明考博辅导中心)专业招生人数初试复试内容060200中国史年份公开招考硕博连读1、外语2、专业课(见下表)考生资料审查和面试相结合申请人应向复试组作报告,内容包括个人科研经历和成果介绍、对拟从事研究的领域的了解和看法、本人拟进行的研究工作设想及理由等,以及回答面试小组成员提出的问题。
2013年7人9人2014年10人9人2015年9人10人育明考博辅导中心张老师解析:1、北京大学历史学系中国史专业考博的报录比平均在8:1左右(竞争较激烈)2、本专业有17个研究方向:01.中国历史地理02.古代中外关系史03.先秦史04.秦汉魏晋南北朝史05.隋唐史(含敦煌学)06.宋辽金史07.蒙元史08.明史09.清史10.中国古代政治制度史11.中国古代社会史12.历史文献学13.中国近现代思想文化史14.中华民国史15.中国近代史16.中国现代史17.近现代中外关系史3、同等学力考生须加试报考专业两门硕士专业学位课程和哲学。
4、应试生复试成绩占总成绩的30%,初试笔试占总成绩70%。
其中考生资料审查占10%,面试占20%。
年份复试分数线进入复试人数/录取人数(不含硕博连读)2013年外语50分专业一60分专业二60分23人/14人2014年外语50分专业一60分专业二60分30人/19人2015年外语50分专业一60分专业二60分25人/18人育明教育考博分校针对北京大学中国史专业考博开设的辅导课程有:考博英语课程班·专业课课程班·视频班·复试保过班·高端协议班。
北大考博辅导:北京大学历史学系考博难度解析及经验分享北京大学历史学系2019 年博士研究生招生实行“申请―审核”制,符合《北京大学2019年博士研究生招生简章》中报考条件的申请人提交相关材料,依据考生申请材料的综合评价结果确定差额综合考核名单,经综合考核后择优推荐拟录取。
强军计划、少数民族骨干计划、论文博士等采取相同的办法同时进行。
一、院系简介北京大学历史学系,始于1899年京师大学堂设立之史学堂,是近代中国最早的国立史学高等教育机构。
该系现有世界史、中国古代史、中国近现代史、历史地理学、专门史、史学理论与史学史、历史文献学及考古学8个二级学科。
拥有2个国家重点学科,1个教育部人文社会科学重点研究基地,1个国家基础科学研究与教学人才培养基地,1个历史学博士后流动站。
共有1个系直属科研实体,2个藏书共达20万册并有珍本、善本等特藏的专业图书馆,1个史学文献数字化实验室。
二、招生信息北京大学历史学系博士招生专业有2个:060200 中国史研究方向:01.先秦史;02.秦汉魏晋南北朝史;03.隋唐史;04.宋辽金史;05.蒙元史;06.明史;07.清史;08.中国历史地理;09.历史文献学;10.古代中外关系史;11.中国古代政治制度史;12.中国古代社会史;13.中国古代经济史;14.近代早期全球史;15.中国近代史;16.中华民国史;17.中国现代史;18.近现代中外关系史;19.中国近现代思想文化史06300 世界史研究方向:01.欧洲中世纪史;02.教会史;03.古代东方文明与埃及学;04.艺术史;05.日本史;06.东南亚史与华侨华人史;07.亚太区域史与环境史;08.中东现代史;09.非洲史;10.拉丁美洲史;11.现代化理论与进程研究;12.美国史;13.英国史;14.德国史;15.欧洲学;16.史学理论与史学史三、申请条件1、拥护中国共产党的领导,具有正确的政治方向,热爱祖国,愿意为社会主义现代化建设服务,遵守法律、法规和学校的规章制度,品行端正。
北京大学2013年博士研究生招生简章(校本部)日期:2012-09-04阅读次数:353205次热烈欢迎申请和报考北京大学2013级博士研究生!一、报名考试(一)、报考条件1、拥护中国共产党的领导,愿为社会主义现代化建设服务,品德良好,遵纪守法;2、考生的学位必须符合下述条件之一:(1)已获得硕士或博士学位;(2)应届硕士毕业生须在入学前取得硕士学位;(3)获得学士学位后,在报考学科、专业或相近领域已工作6年或6年以上(从获得学位到录取为博士生当年的9月1日)的人员只能以同等学力资格报考。
3、以同等学力资格报考的考生,须已在报考学科、专业或相近研究领域的全国核心期刊上发表两篇以上学术论文(以第一或第二作者),或已获得省、部级以上与报考学科相关的科研成果奖励(排名前五名);4、年龄一般不超过45周岁;5、健康状况符合北京大学研究生入学体检标准。
(二)、报名办法1、采取网上报名。
具体时间及程序将于10月下旬在北大研究生院主页发布。
2、考生报名前应仔细核对本人是否符合报考条件,资格审查中不符合报考条件的考生将不予录取,相关后果由考生本人承担。
3、缴纳报名费200元。
育明教育【喜报】38人考研状元集训营,20人考上北大、人大、清华、复旦。
【喜报】36人考研冲刺集训营,16人考上北大、清华。
【喜报】“三跨”学员隋JiaLun(378分)36天考上北京师范大学。
【喜报】2013年,育明教育包揽北京大学国际关系(378分)、城环(409分)、政管(402分)共11个专业状元。
【喜报】2013年,育明教育包揽北外汉教、翻硕、法语等6个专业状元。
【喜报】2013年,育明教育共有126人考上北大、人大、中财、贸大、五道口经济金融类研究生,众多学员成绩400+,最高分464分。
【喜报】2013年,育明教育包揽北大(402分)、人大(396分)、北师大(378分)等6大名校行政管理状元。
【喜报】“三跨”学员马Lin(402分)以第一名考上对外经贸大学翻译硕士国际会议传译。
北京大学历史学系接收2013年推免生复试名单公示包晓悦北京大学历史学系鲍欣童华中师范大学历史文化学院曹茜茜北京大学历史学系曹佐燕武汉大学历史学院陈晨辽宁大学历史学院段维维北京大学历史学系董搭光安徽大学历史系郭宇昕南开大学历史学院韩亚威首都师范大学历史学院侯亚杰北京大学历史学系(学工选留,不占名额)黄浩黑龙江大学历史文化旅游学院黄妍琰华中师范大学历史文化学院孔洋南京大学历史系李继东北京大学历史学系李劲竹西北大学历史学院李沁四川大学历史文化学院李晴中山大学历史学系李芸鑫北京大学中国语言文学系梁馨蕾中央民族大学历史文化学院林欢彦北京大学历史学系罗茜四川大学历史文化学院努丽亚•卡迪尔北京大学历史学系潘朝强清华大学人文社科院钱栖榕北京大学历史学系邵琳琳北京大学历史学系(学工选留,不占名额)石如镜武汉大学历史学院史少伟北京大学历史学系宋昊厦门大学人文学院孙梦婕首都师范大学历史学院滕凯炜首都师范大学历史学院田乐浙江大学竺可桢学院田天北京师范大学历史学院王唱北京大学历史学系王沁鸥北京大学历史学系王钰晗兰州大学历史文化学院王圆中北京大学历史学系吴诗雅中国传媒大学外国语学院吴淑敏北京大学历史学系吴帅帅厦门大学人文学院邢承吉清华大学人文学院徐鹏华东师范大学历史学系闫丽辽宁大学历史学院杨雯筠北京师范大学历史学院杨易霏北京大学经济学院杨梓楠北京师范大学历史学院姚舒怡中山大学历史学系俞莉琪浙江大学人文学院袁晶靖北京大学元培学院张柏惠武汉大学历史学院张晨光中央民族大学历史文化学院张璐首都师范大学历史学院张晓慧北京大学历史学系张艺维北京师范大学历史学院章名未北京师范大学历史学院赵伟河南大学历史文化学院朱小巧首都师范大学历史学院庄亚琼中央民族大学历史文化学院请以上57位同学于2012年9月29日(周六)上午8∶30到北京大学历史学系(北京大学二院内)参加复试,复试形式为综合面试。
复试分为中国古代史(包括中国史专业的01-16方向)、中国近现代史(包括中国史专业的17-23方向)、世界史(包括世界史专业的所有方向)三个大组进行。
北京大学历史学系历届研究生名录(1923-2000)2007-01-19/logs/10510106.html版权声明:转载时请以超链接形式标明文章原始出处和作者信息及本声明/logs/10510106.html1923年研究所国学门史学研究生:周怡然董作宾1925年研究所国学门史学研究生:李正奋冯文启韦奋霖1931年研究所国学门史学研究生:刘厚滋张鸿翔盛代儒德玉珍英启良高荣魁1932年:赵泉澄赵何日李光信王维诚1936年北京大学研究院史学研究生:韩景清周辅成曹延亭赵卫邦1939年:王明汪?W 杨志玖阎文儒桑恒康1940年:王永兴李埏王玉哲1941年:魏明经杨向森程溯洛1942年:方龄贵1943年:傅乐淑余培忠刘焕升穆广文1945年:陈庆华张镇邦1948年:漆侠宿白吴应寿谭惠中1949年:郑锐龄安志敏蔡美彪1950年:钟文典1952年:李时岳邹衡1953年:金英淑柏岳若1954年:陈明丽齐文颖罗道芸王文定吴乾兑徐如胡永树张磊赵辉杰周清澍阎美纯何玉畴彭树智李宗和赵清张盛健梁之诫1955年:陈汉时周泽?? 欧阳可彰曾尔慧刘瑜张义德马际昌1956年:林乃荣王德?a 顾菊英杨建芳张宗培张传玺王长文王炳义程庆黹俞伟超马值杰邓瑞王玉笙1959年:杨瑛赵淑慧袁俊卿牛劲功1960年:林被甸颜芙舒之梅徐云龙俞源陈淑琴邹厚本许盘生1961年:唐兆梅李茂祥邓经元卢启勋叶庆雨丘立本郝本性徐自强1962年:张德其郭大顺王仁波孔祥星1963年:李裕民赵春晨叶昌纲1964年胡人瑞蔡少卿胡戟傅玫姚德明廖伟章1978年:黄蕴平马世长晁华山许宛音刘文立马胜利范玉清1979年:张希清陈长年王敬松杨群邓文宽刘俊文赵和平孟繁清李广廉王天有史志宏李世愉谭剑锋袁鸿林孔繁敏葛志毅信立祥佟伟华葛英会连劭名陈英英1980年:胡祥云徐晓光王大贺石泽赵振英谢鹏徐石赵化成刘绪1981年:郭熹微杨光辉胡宝国王飞吴丽娱岑大利王宏治王硕伍跃张执中高毅李微关世杰刘超群王清和满云龙王文建裴安平张小舟齐东方吴玉喜1982年:冷鹏飞岳庆平阎步克薛有红荣新江卢向前金锋邓小南李宝柱马力钟安西卜国群王昭明刘方李毅陈时伟王益牛大勇曹克俭韩平平冯棠韩豫燕叶霖杨志国陈勇夏竞峰李权生王迅王占奎徐天进张辛南玉泉袁家荣郭琦涛周生春(博士生)1983年:刘曙光要瑞芬陈苏镇李鸿宾宁欣郭卫东刘一皋廖宣力王文丁明范琦勇朱晓中龚小夏魏安生裴培王幼平李卫东刘景芝赵辉宋豫秦苏哲薄小莹商全杨若薇(博士生)1984年:李志生孙顺华刘静王小甫刘才赋潘正祥黎风清孙羽常绍民厉荔彭小瑜巫永平李韵琴迟越金炼沈浦娜王秀新杨茂林李寒梅朱浩东孔苈李春玲汪益华刘建同韦勤以下博士生:马胜利陈植锷阎步克高毅1985年:丁一川杨振红牛朴王滨生陈勇刘雪枫牛来颖殷玉梅万明陈杰徐卫国孙业礼邓石郭黎康可佳吕丹中石晓燕胡新军杨玉圣陈加林王莹詹小绢董波董正华刘霞李梁魏阳李培芳周锡娟康沛竹李继东谢小九邱凯祺以下博士生:包伟民杨光辉1986年:何德章胡克森付莲英徐谦江小涛张帆高寿仙李雪慧汪学野王峰缓俞金尧张兰兰陆丹尼郑文鑫靳黎明胡述保吴宏阳王宁姬虹董卉程晓以下博士生:王小甫罗家祥李凭赵世玲1987年:尚?b 张冠梓张连城李锦绣陈爽瞿剑廉湘民宋玮谢志宁周敏之刘侃郑家红钟伟云于友清唐显凯求夏雨张平平吴敬全缪?? 杨超伦陈文寿张宝伟徐健李锐钱乃成赵一兵顾銮斋以下博士生:赵子富谭天星屈超立1988年:张志华刘后滨杨继东张长利杨雨清杨帆王学庆周剑波黄晓坚傅山张屏韩昕秦玉成邓莹张士昌张宪光杨靖筠熊飞云林伟包茂宏陈秀莲鲁虎王晓雯罗永生李盘胜姚子照张雄王向然以下博士生:陈勇王小平严立贤董正华张伟国1989年:金顶兵罗新张建利汪桂平张建华赵呈光朱春林杜晖王成锋刘伟朴红心李茜徐剑梅王其寒万缨徐向梅沈红文宋一夫王铿张明帅杜语汪洪田陈奉林罗会钧梅俊杰杨则瑞薛晓岗李兴王祖茂李雪山石雷以下博士生:何德章张帆陆振兴戈伊尹保云张少华1990年:祈德贵赵建武王文涛于振波韩树峰周致元杨海英王元周苏生文巫云仙孙青刘锋刘光临卢永真徐再荣胡建新闻立欣朱寿庆胡北海王晓焰以下博士生:韩磊玲真水康树1991年:邸永君李新平龚汝富张灿辉巫新华刘如臻尚小明蒋刚苗马玉萍胡绍皆赵文莉展敏郁川虎范鸿姜南王荣军李喻喻苏小松刘立涛胡汉兵王利军贺金颖唐文玉陈斌李大伟以下博士生:陈爽于心华1992年:李志强康大鹏李维刘连安李蓉刘晓丁伟忠吴艳红赵冬梅蔡一平何晋高超群杨兆敏汤钦飞赵树杰肖军李林韩耀清林绍玲陶建定陈通王蕾杨辰起张鑫李红高兵徐波刘宏康慧敏刘静林吴海航杨军以下博士生:罗新孟广林丁一川1993年:何朝晖石彬伦朱清宁映霞李坚李立赵连稳赵学军王生怀孙代刚丛月芬徐栋俊郑现?? 曹艺崔承现刘卫东杜永涛施诚王雪琴刘婷吕录华何元国张冰刘国旺张跃斌牛可邓伟权邹穗龚兵张洁张志东潘华琼陈记运杨新林泉以下博士生:张积蔡峰韩树峰李万生韩久根黄春高1994年:刘彤李昭君赵永来邱新立刘诗平姚崇新雷闻蔡春娟郭庆涛樊延明郭惠丽辛泸江毕可中邱涛杨易片忠范李官炯安秀真白智娟陈昕晔孙刚田岛昭子何正清孟海泉付成双杨跃英顾杭申作鸿余章松高云翔李迪李跃高波孟宪实王丽英许伟中孙红旗莫美霞刘志雄魏建昌黄楚娟以下博士生:王军汪桂海李志生康大鹏吴艳红何晋尚小明马占稳李文刘立涛肖军政李喻喻李隆国于心华都重万赵自勇莫美霞魏建昌黄楚娟1995年:陈怀宇夫臣梁在英潘星辉秋教顺杨烈叶炜尹春根禹成?F 钟铁军谷口惠金容基李永胜林芳林齐模彭国运伍发明周光辉周兆利朱鸿文陈海珠余浚贺希荣侯晓玲李淑红刘杉杉刘小粤陆丽云孙晓红唐飞王苍柏王晓春杨仕文杨跃平曾晓祥赵伟白巍左方刘旭东史纪合王松桥梁玉莲郑来金罗明乐黄永锋陈敬萍叶德昌以下博士生:具圣姬赵冬梅赵连稳牛可吴宏阳燕峰邵丽芙施诚刘后斌卫广来牛大勇戴桂菊1996年:党宝海葛业文姜庆晖翁天兵严雅辉张大伟张继海具滋元李东?? 李章郁王宇霆林金珊李刚李恭忠卢宁骆威谢蔚阙光联张剑李静李霞崇明费秀丽冯杰高原韩克敌洪庆明刘键刘海方彭硕唐利国易秋芳袁卫东岳占仁张振海戴镇南谢成光林雪碧以下博士生:李立李新峰宁映霞李帆戴东阳徐勇张雄薄洁萍白晓红唐孟生刘金才金永丽刘显忠周明圣1997年:陈凌陈奕玲成一农王海华鱼宏亮苏卫国萧弘德宋光勋潘延光吴力旭夏兆营巴会松卢德成谭显宗王宝明徐勇卢在轼郑用重康斌蒋狄青何维保成广金鲍莉炜李相洙刘?i 宋丽萍王立新王秋红杨卫民姚昱张婧张红菊赵挹彬仲剑?| 周伟卢凯望杨芳杨叶春李元烨泷泽绫巴会松卢德成谭显宗王宝明以下博士生:陈志坚陈苏镇和洪勇陶新华全相杰赵永来杨琥付成双高波刘乃亚王新生余章松韩方明孟海泉彭湘兰孙红旗张涛赵成国崔承现付世明顾杭1998年:邓永飞付传侃寿韶峰谭星宇汪小?@ 王静王勖毋有江徐春峰于浩曾明安润姬李玉琳朱杏桂郑荣康吴耀华李航朱孔京张静柳垠再李宽宽孙柏冯翔李达李春志刘子忠聂义峰庞冠群钱家杰钱可威孙瑜田杰亮欧阳城旺王明前张斌绪仲笑林朱晓罕赵宏赵希善千野良基以下博士生:常伯工孟宪实潘星辉杨英叶炜黄根世尹春根禹成?F 闵锐武李存朴王宪明张建华安东黄云静纪廷许刘兰宋霞韦德星夏立安杨光张四齐陈文寿罗爱林王晓菊谭继军许金华蔺志强王利军徐健1999年:易素梅林鹄雄贵平王伟崔志光张志雄郑有华杨晓燕李睿陈爽吴孝娟刘静魏彦彦张朝阳许曼刘永强何岩巍侯晓佳张小萌杨军仕霍红伟董宪薛松王伟胡少诚欧阳烈丹井上桂子王硕赵燕灵雷仕伟林茂李纪余久兴仇朝兵朱步冲张健康赵海文春美朴燕李永春李承德李松涛周礼贤刘方仪陈鼎铮林锦坤周炳荣区永超潘惠祥万德?布什?伊利克以下博士生:李东勋具滋元张硕戴宇湛贵成陈奉林刘婷王燕平孙晓红蒙曼广中智之雷闻党宝海何朝晖姜庆晖张继海官德祥彭国运徐立望杨胜荣窦坤张士昌崇明洪庆明包茂宏宋云伟张洁董经胜林震张淑兰谢丰斋郭灵凤唐利国王立礼张佑如李永玉土居智典2000年:范恩实高柯立顾江龙金周映康鹏郎震李正章林素丽刘聪刘鹏秦素银苏航孙英刚王丽朱丽双高洁胡祥雨黄恩京王晓东杨贤张运君周延胜安蓓陈继静陈炜程建农杜险峰福田忠之刘云莉卢建勇石福铉尚国敏任裕婷彭琦倪婷罗智国宋培军王经智王欣欣习罡华夏洞奇徐尚平周东华中村悟张宇静张新丽杨萍杨立新邹朝春郑奕?? 柯锦媚杨威发连秋兴路易斯?米格以下博士生:陈凌成一农李全德李昭君马长泉马自力倪玉平邱新立宋光勋王勇姚宏杰余欣鱼宏亮郭丽萍李春馥李永胜王存奎张建军李元烨解国良侯颖丽何维保董向荣张永李云飞刘大明刘海方钱金飞宋丽萍王蕾张晓刚张红菊于红游明谦杨仕文王文仙郑翠英朱剑利2001年:黄鹤王颖常越男陈曦陈宇赫荒金治柳浚炯孙家红王锦萍王鹏王抒王媛媛向静张玲庞建国孙明汤宇兵谢晖徐锋薛瑞汉严军杨纪国张世国张殷铭程东金付琳高暖韩伟华何心平胡修雷冀永义乐启良李儒雅李周美刘汉生朴帝炫王涛王兴栋武欣徐乐天杨展昝涛张平张晓莉周红红朱哥姝朱也也李典蓉黄致理何秀霞以下博士生:朱德贵邹水杰史卫余江宁张光辉付庆芬刘新光张翠莲李松涛刘琴丽王静武玉梅胡连成卢在轼林齐模冯夏根顾琪尚微田嵩燕李宝明李伟丽朱昭华刘然玲乔印伟张明亮龚骞胡澎刘子忠李相洙李芝侠刘琳琳赵文莉霍文利庞冠群朱晓罕张孟媛安然王立新冯国华2002年毕琼古丽巍梁科林小异罗玲孙鸿艳王超张爱萍张树盛张炜李芳巧智张?t 朱立峰朱任东朱溢庄小霞王珊崔碧茹中山隆陈丹戴海滨邓金林王光龙王琰王元崇肖光畔徐东张会芳别志雷高峰胡宏贾妍姜言卿李倩梁英华马文丽倪玉珍施霞宋芳芳夏方晓肖瑜邢颖徐利卫袁仕正张杰张善鹏张玉华张在华周莉柳宗秀王一樵江蕾近藤晴香桑特拉李斌李伟亮陈玉珠李宁以下博士生:钟铁军卢宁杨贤杨雨青苏卫国李海叶张小稳高柯立赵中男辛迪苏航张春海毕波刘雅军陈友良胡少诚崔跃峰任智勇崔岷张运君李国芳井上桂子高艳丽卢凯望周爱萍黄艳红孙一萍潘洋赵燕灵夏洞奇张昊文礼朋周东华黄丽安2003年吴元东李明喜刘青吕迅卜庆功曹婷婷陈明星崔焕平方诚峰郭峰季爱民李丹婕王芳伍婷婷尤李张晗刘洪强刘慧娟孟晓旭缪树红史楠汪雪亮王波叶开峰易丙兰于玲玲邹一峥陈贤顺曹磊陈默陈西帆董正茂杜芳方理符莹岩李虎李雯秦川孙利强王洋邬宁宁吴楠徐兴颖余波刘建华金文先李相?F 董威谊陈慧瑜邓铭谦黎伟恒以下博士生:覃影陈长伟何妍王刚张丽顾江龙徐冲康鹏袁良勇向静常越南詹缘端郑子良范恩实胡明?? 王媛媛那晓凌霍红伟蒋刚苗刘宪阁李秉奎丁兆忠吴春丽刘宏尚彬徐冰中村悟肖翠松乐启良赵挹彬周立红付国英福田忠之李翠云彭琦王涛昝涛郑振清陈继静河野吉成博士后欧阳哲生高岱颜海英臧具林陈明朱天麒项玉章周长山尚小明臧云祜雷原马东瑶陈永升刘墨吴莉炜。
2013年北大历史系博士复试名单及录取名单
北京大学历史学系2013年博士研究生复试名单公示
根据北京大学历史学系研究生招生工作领导小组研究确定的复试分数线,现将2012年博士研究生复试名单公示如下:
陈业诗冯鹤昌付马高然郭晨晖郭洪伯郭宁何思源胡莉黄桢蒋凌楠李伟李洋刘芳刘梦佳刘鸣刘祥刘旭卢雅怀罗敏亓民帅邱林
求芝蓉唐笑天王倩王庆帅向伟闫建飞杨朝杨萍尹航岳梦臻詹刚
张慕智张亦冰赵春水赵鹏赵秀宁赵永磊朱义群
(共计40人,其中含硕博连读生17人)
留学生:
窦安德金炳辰YANG LANGTIAN图巴尹淑铉
港澳台生:
關棨勻吾國麟嚴智德赵埜均鍾國昌
【有关复试的时间、地点安排】
面试时间:2013年4月20日9:00
面试地点:北京大学二院历史学系各教研室
集合场所:108会议室
北京大学历史学系
2013年4月11日
育明教育
【喜报】38人考研状元集训营,20人考上北大、人大、清华、复旦。
【喜报】36人考研冲刺集训营,16人考上北大、清华。
【喜报】“三跨”学员隋JiaLun(378分)36天考上北京师范大学。
【喜报】2013年,育明教育包揽北京大学国际关系(378分)、城环(409分)、政管(402分)共11个专业状元。
【喜报】2013年,育明教育包揽北外汉教、翻硕、法语等6个专业状元。
【喜报】2013年,育明教育共有126人考上北大、人大、中财、贸大、五道口经济金融类研究生,众多学员成绩400+,最高分464分。
【喜报】2013年,育明教育包揽北大(402分)、人大(396分)、北师大(378分)等6大名校行政管理状元。
【喜报】“三跨”学员马Lin(402分)以第一名考上对外经贸大学翻译硕士国际会议传译。
北京大学历史学系2013年博士研究生拟录取名单公示
一、内地考生(共计33人,其中含硕博连读生17人、国学院2人(招生名额另计))
陈业诗冯鹤昌付马高然郭晨晖郭洪伯郭宁胡莉黄桢蒋凌楠李伟李洋刘芳刘梦佳刘鸣刘祥刘旭卢雅怀罗敏亓民帅求芝蓉唐笑天王倩王庆帅闫建飞杨萍尹航张慕智张亦冰赵鹏赵秀宁赵永磊朱义群
二、港澳台考生(3人)
關棨勻嚴智德赵埜均
三、留学生(3人)
窦安德金炳辰图巴
我系预计于5月上旬开始进行调档工作,有关档案问题请咨询(010)6275.4281管老师。
北京大学历史学系
2013年4月27日。