《线性代数与概率统计》作业题(答案)~2015.03
- 格式:doc
- 大小:419.00 KB
- 文档页数:11
一、单选( 每题参考分值2.5分)1、设随机变量的分布函数为,则()A.B.C.D.正确答案:【B】2、设总体为参数的动态分布,今测得的样本观测值为0.1,0.2,0.3,0.4,则参数的矩估计值为()A.0.2B.0.25C.1D.4正确答案:【B】3、A.B.C.D.正确答案:【B】4、设均为阶方阵,,且恒成立,当()时,A.秩秩B.C.D.且正确答案:【D】5、设是方程组的基础解系,则下列向量组中也可作为的基础解系的是()A.B.C.D.正确答案:【D】6、盒中放有红、白两种球各若干个,从中任取3个,设事件,,则事件()A.B.C.D.正确答案:【A】7、已知方阵相似于对角阵,则常数()A.B.C.D.正确答案:【A】8、掷一枚骰子,设,则下列说法正确的是()A.B.C.D.正确答案:【B】9、设为二维连续随机变量,则和不相关的充分必要条件是()A.和相互独立B.C.D.正确答案:【C】10、袋中有5个球(3新2旧),每次取1个,无放回的抽取2次,则第2次取到新球的概率为()A.B.C.D.正确答案:【A】11、A.B.C.D.正确答案:【D】12、设和是阶矩阵,则下列命题成立的是()A.和等价则和相似B.和相似则和等价C.和等价则和合同D.和相似则和合同正确答案:【B】13、二次型是()A.正定的B.半正定的C.负定的D.不定的正确答案:【A】14、矩阵与的关系是()A.合同但不相似B.合同且相似C.相似但不合同D.不合同也不相似正确答案:【B】15、随机变量X在下面区间上取值,使函数成为它的概率密度的是()A.B.C.D.正确答案:【A】16、A.全不非负B.不全为零C.全不为零D.全大于零正确答案:【C】17、随机变量的概率密度则常数()A.1B.2C.D.正确答案:【B】18、设二维随机变量的概率密度函数为,则()A.B.C.D.正确答案:【B】19、设随机变量的方差,利用切比雪夫不等式估计的值为()A.B.C.D.正确答案:【B】20、A.每一向量不B.每一向量C.存在一个向量D.仅有一个向量正确答案:【C】21、A.B.C.D.正确答案:【C】22、设,则()A.B.C.D.正确答案:【B】23、设随机变量的数学期望,方差,则由切比雪夫不等式有()A.B.C.D.正确答案:【B】24、以下结论中不正确的是()A.若存在可逆矩阵,使,则是正定矩阵B.二次型是正定二次型C.元实二次型正定的充分必要条件是的正惯性指数为D.阶实对称矩阵正定的充分必要条件是的特征值全为正数正确答案:【B】25、设总体服从两点分布:为其样本,则样本均值的期望()A.B.C.D.正确答案:【A】26、设是二阶矩阵的两个特征,那么它的特征方程是()A.B.C.D.正确答案:【D】27、已知,则()A.必有一特征值B.必有一特征值C.必有一特征值D.必有一特征值正确答案:【D】28、设是来自总体的样本,其中已知,但未知,则下面的随机变量中,不是统计量的是()A.B.C.D.正确答案:【D】29、矩阵的秩为,则()A.的任意一个阶子式都不等于零B.的任意一个阶子式都不等于零C.的任意个列向量必线性无关对于任一维列向量,矩阵的秩都为正确答案:【D】30、设向量组;向量组,则()A.相关相关B.无关无关C.无关无关D.无关相关正确答案:【B】31、A.交换2、3两行的变换B.交换1、2两行的变换C.交换2、3两列的变换D.交换1、2两列的变换正确答案:【A】32、设是矩阵,则下列()正确A.若,则中5阶子式均为0B.若中5阶子式均为0,则C.若,则中4阶子式均非0D.若中有非零的4阶子式,则正确答案:【A】33、分别是二维随机变量的分布函数和边缘分布函数,分别是的联合密度和边缘密度,则()A.B.C.和独立时,D.正确答案:【C】34、A.B.C.D.正确答案:【D】35、设随机变量的概率密度为,则()A.B.C.D.正确答案:【B】36、设是阶正定矩阵,则是()A.实对称矩阵B.正定矩阵C.可逆矩阵D.正交矩阵正确答案:【C】37、某学习小组有10名同学,其中7名男生,3名女生,从中任选3人参加社会活动,则3人全为男生的概率为()A.B.C.D.正确答案:【A】38、从0、1、2、…、9十个数字中随机地有放回的接连抽取四个数字,则“8”至少出现一次的概率为()A.0.1B.0.3439C.0.4D.0.6561正确答案:【B】39、A.B.C.正确答案:【D】40、设矩阵其中均为4维列向量,且已知行列式,则行列式()A.25B.40C.41D.50正确答案:【B】41、若都存在,则下面命题中正确答案的是()A.B.C.D.正确答案:【D】42、与矩阵相似的矩阵是()A.B.C.D.正确答案:【B】43、A.B.C.D.正确答案:【B】44、某种动物活20年的概率为0.8,活25年的概率为0.6,现有一只该动物已经活了20年,它能活到25年的概率是()A.0.48B.0.6C.0.8D.0.75正确答案:【D】45、设4维向量组中的线性相关,则()A.可由线性表出B.是的线性组合C.线性相关D.线性无关正确答案:【C】46、设为阶方阵,且(为正数),则()A.B.的特征值全部为零C.的特征值全部为零D.存在个线性无关的特征向量正确答案:【C】47、若连续型随机变量的分布函数,则常数的取值为()A.B.C.D.正确答案:【B】48、A.B.C.D.正确答案:【C】49、设,则~()A.B.C.D.正确答案:【B】50、设是未知参数的一个估计量,若,则是的()A.极大似然估计B.矩估计C.有效估计D.有偏估计正确答案:【D】一、单选(共计100分,每题2.5分)1、A.B.C.D.正确答案:【D】2、已知线性无关则()A.必线性无关B.若为奇数,则必有线性无关C.若为偶数,则线性无关D.以上都不对正确答案:【C】3、A.B.C.D.正确答案:【D】4、A.B.C.D.正确答案:【D】5、矩阵()是二次型的矩阵A.B.C.D.正确答案:【C】6、设为二维连续随机变量,则和不相关的充分必要条件是()A.和相互独立B.C.D.正确答案:【C】7、设是参数的两个相互独立的无偏估计量,且若也是的无偏估计量,则下面四个估计量中方差最小的是()A.B.C.D.正确答案:【A】8、设二维随机变量,则()A.B.3C.18D.36正确答案:【B】9、已知是非齐次方程组的两个不同解,是的基础解系,为任意常数,则的通解为()A.B.C.D.正确答案:【B】10、下列矩阵中,不是二次型矩阵的是()A.B.C.D.正确答案:【D】11、若总体为正态分布,方差未知,检验,对抽取样本,则拒绝域仅与()有关A.样本值,显著水平B.样本值,显著水平,样本容量C.样本值,样本容量D.显著水平,样本容量正确答案:【D】12、在假设检验中,设服从正态分布,未知,假设检验问题为,则在显著水平下,的拒绝域为()A.B.C.D.正确答案:【B】13、A.B.C.D.正确答案:【C】14、已知4阶行列式中第1行元依次是-4,0,1,3, 第3行元的余子式依次为-2,5,1,x ,则X=A.0B.3C. -3D.2正确答案:【B】15、设是阶正定矩阵,则是()A.实对称矩阵B.正定矩阵C.可逆矩阵D.正交矩阵正确答案:【C】16、设总体服从泊松分布:,其中为未知参数,为样本,记,则下面几种说法正确答案的是()A.是的无偏估计B.是的矩估计C.是的矩估计D.是的矩估计正确答案:【D】17、下列函数中可以作为某个二维随机变量的分布函数的是()A.B.C.D.正确答案:【D】18、A.B.C.D.正确答案:【A】19、若都存在,则下面命题正确答案的是()与独立时,B.与独立时,C.与独立时,D.正确答案:【C】20、设是从正态总体中抽取的一个样本,记则服从()分布A.B.C.D.正确答案:【C】21、设随机变量,则()A.B.C.D.正确答案:【A】22、已知向量,若可由线性表出那么()A.,B.,C.,D.,正确答案:【A】23、设,则()A.A和B不相容B.A和B相互独立C.或D.正确答案:【A】24、设总体,为样本均值,为样本方差,样本容量为,则以下各式服从标准正态分布的是()A.B.C.D.正确答案:【A】25、为三阶矩阵,为其特征值,当()时,A.B.C.D.正确答案:【C】26、某种商品进行有奖销售,每购买一件有的中奖概率。
线性代数部分第一章 行列式一、单项选择题1.=0001001001001000( ).(A) 0 (B)1- (C) 1 (D) 22. =0001100000100100( ).(A) 0 (B)1- (C) 1 (D) 2 3.若a a a a a =22211211.则=21112212ka a ka a ( ).(A)ka (B)ka - (C)a k 2 (D)a k 2-4. 已知4阶行列式中第1行元依次是3,1,0,4-, 第3行元的余子式依次为x ,1,5,2-, 则=x ( ).(A) 0 (B)3- (C) 3 (D) 25. k 等于下列选项中哪个值时.齐次线性方程组⎪⎩⎪⎨⎧=++=++=++000321321321x x kx x kx x kx x x 有非零解.( )(A)1- (B)2- (C)3- (D)06.设行列式na a a a =22211211.m a a a a =21231113.则行列式232221131211--a a a a a a 等于()A. m n -B.)(-n m +C. n m +D.n m -二、填空题1. 行列式=0100111010100111.2.行列式010 (00)02...0.........000 (10)0 0n n =-.3.如果M a a a a a a a a a D ==333231232221131211.则=---=323233312222232112121311133333 3a a a a a a a a a a a a D .4.行列式=--+---+---1111111111111111x x x x .5.已知三阶行列式中第二列元素依次为1,2,3, 其对应的余子式依次为3,2,1.则该行列式的值为.6.齐次线性方程组⎪⎩⎪⎨⎧=+-=+=++0020232121321x x x kx x x x kx 仅有零解的充要条件是.7.若齐次线性方程组⎪⎩⎪⎨⎧=+--=+=++0230520232132321kx x x x x x x x 有非零解.则k =.三、计算题2.y x yx x y x y y x y x+++;3.解方程0011011101110=x x xx ;6. 111...1311...1112...1.........111...(1)b b n b----7. 11111222123111...1..................nb a a a b b a a b b b a ; 8.121212123.....................n nn x a a a a x a a a a x a a a a x;四、证明题1.设1=abcd .证明:011111111111122222222=++++dddd c c c c b b b b a a a a .2.3332221112333332222211111)1(c b a c b a c b a x c b x a x b a c b x a x b a c b x a xb a -=++++++.3.))()()()()()((111144442222d c b a c d b d b c a d a c a b d c b a dcbad c b a +++------=.第二章 矩阵一、单项选择题1. A 、B 为n 阶方阵.则下列各式中成立的是( )。
福师《线性代数与概率统计》在线作业二
一,单选题
1. 设有六张字母卡片,其中两张是e,两张是s,一张是r,一张是i, 混合后重新排列,求正好得到series的概率是()
A. 3/160
B. 1/140
C. 1/180
D. 1/160
?
正确答案:C
2. 设随机变量X服从二点分布,如果P{X=1}=0.3,则{X=0}的概率为()
A. 0.2
B. 0.3
C. 0.8
D. 0.7
?
正确答案:D
3. 已知事件A与B相互独立,且P(B)>0,则P(A|B)=()
A. P(A)
B. P(B)
C. P(A)/P(B)
D. P(B)/P(A)
?
正确答案:A
4. 假设事件A和B满足P(A∣B)=1,则
A. A、B为对立事件
B. A、B为互不相容事件
C. A是B的子集
D. P(AB)=P(B)
?
正确答案:D
5. 设试验E为某人打靶,连续射击二次,只观察射击的结果。
试判别E的样本空间为( )
A. {射中一次,射中二次}
B. {射中0次,射中一次,射中二次}
C. {射中0次}
D. {射中0次,射中2次}
?。
线性代数与概率统计1、设二维随机变量,则()A. B. 3 C. 18 D. 36答案:【B】2、下列矩阵是正定矩阵的是()A. B.C. D.答案:【C】3、某人射击3次,以表示事件“第次击中目标”,则事件“至多击中目标1次”的正确表示为()A. B.C. D.答案:【B】4、设A与B互为对立事件,且,,则下列各式中错误的是()A. B.C. D.答案:【A】5、C. 全不为零D. 全为正数答案:【C】6、设是矩阵,是非齐次线性方程组,则必有()A. 当时,有无穷多个解B. 当时,有惟一解C. 有无穷多解只有零解D. 有解向量可由的列向量组线性表示答案:【D】7、设是参数的两个相互独立的无偏估计量,且若也是的无偏估计量,则下面四个估计量中方差最小的是()A. B.C. D.答案:【A】8、设是从正态总体中抽取的一个样本,记则服从()分布A. B.C. D.答案:【C】9、设总体的概率密度为为来自总体样,为样本均值,则()答案:【A】10、已知为阶方阵,以下说法错误的是()A.B. 的全部特征向量为的全部解C. 若有个互不相同的特征值,则必有个线性无关的特征向量D. 若可逆,而矩阵的属于特征值的特征向量也是矩阵属于特征值的特征向量答案:【B】11、设二维随机变量的概率密度函数为,则()A. B.C. D.答案:【B】12、两个独立事件A和B发生的概率分别为和,则其中之一发生的概率为()A. B.C. D.答案:【D】13、已知,则为()A. B.C. D.答案:【D】14、A. 2B.C.D.答案:【D】15、设是来自正态总体的样本,是来自正态总体的样本且与相互独立,则服从的分布为()A. B.C. D.答案:【C】16、设是随机向量的联合分布函数,则关于的边际分布函数为()A. B.C. D.答案:【D】17、A. B.C. D.答案:【A】18、设相互独立,且则下列结论正确的是()A. B.C. D.答案:【D】19、下列各式中有()等于A. B.C. D.答案:【D】20、极大似然估计必然是()C. 似然方程的根D. 无偏估计答案:【B】21、设随机变量独立同分布,且,则()A. B. C. D. 1答案:【A】22、为任意两事件,若之积为不可能事件,则称与()C. 互为独立事件D. 为样本空间的一个部分答案:【B】23、设,则()C. 或D.答案:【A】24、矩阵()是二次型的矩阵A. B.C. D.答案:【C】25、若总体为正态分布,方差未知,检验,对抽取样本,则拒绝域仅与()有关A. 样本值,显著水平B. 样本值,显著水平,样本容量C. 样本值,样本容量D. 显著水平,样本容量答案:【D】26、设是方程组的基础解系,则下列向量组中也可作为的基础解系的是()A. B.C. D.答案:【D】27、某种商品进行有奖销售,每购买一件有的中奖概率。
《线性代数与概率统计》作业题及其解答一、计算题1.答案:原式=18.2.计算行列式133353664x x x ---+---. 答案:原式=31216x x --.3.计算行列式1214012110130131D -=. 答案:原式= -7.4.设1213A ⎛⎫= ⎪⎝⎭,1012B ⎛⎫= ⎪⎝⎭,求AB 与BA .答案:1213AB ⎛⎫= ⎪⎝⎭1012⎛⎫⎪⎝⎭3446⎛⎫= ⎪⎝⎭, 1012BA ⎛⎫= ⎪⎝⎭1213⎛⎫ ⎪⎝⎭1238⎛⎫= ⎪⎝⎭.5.设2()21f x x x =-+,1101A ⎛⎫= ⎪⎝⎭,求矩阵A 的多项式()f A .(密封线内不答题)解:因为 2111112010101A AA ⎛⎫⎛⎫⎛⎫=== ⎪⎪ ⎪⎝⎭⎝⎭⎝⎭,所以,2121110()22010101f A A A E ⎛⎫⎛⎫⎛⎫=-+=-+ ⎪ ⎪ ⎪⎝⎭⎝⎭⎝⎭=2302⎛⎫⎪⎝⎭.6.设矩阵263113111,112011011A B ⎡⎤⎡⎤⎢⎥⎢⎥==⎢⎥⎢⎥⎢⎥⎢⎥-⎣⎦⎣⎦,求AB .解:AB =A B ⋅=(5)15-⋅=-.7.设101111211A ⎛⎫ ⎪=- ⎪ ⎪-⎝⎭,求逆矩阵1-A .解:因为 ()101100111010211001A E ⎛⎫ ⎪=- ⎪ ⎪-⎝⎭23132100211010312001111r r r r --⎛--⎫⎪−−−→-- ⎪ ⎪-⎝⎭.所以 1211312111A ---⎛⎫⎪=-- ⎪⎪-⎝⎭.8.求224114113021121113312211422608A ⎛⎫ ⎪---- ⎪⎪= ⎪--- ⎪ ⎪---⎝⎭的秩.答案:原式=5.9.解线性方程组 123123123214254225x x x x x x x x x -+=⎧⎪++=⎨⎪++=⎩.解 :12323321246x x x x x x -+=⎧⎪+=⎨⎪=-⎩.这样,就容易求出方程组的解为123656x x x =⎧⎪=⎨⎪=-⎩.10.解线性方程组 ⎪⎩⎪⎨⎧=+=++=+-622452413231321321x x x x x x x x .解用初等行变换将增广矩阵(,)A b 化为行阶梯形矩阵,2131(,)42542026A b -⎛⎫⎪= ⎪ ⎪⎝⎭1323r r r r -+−−−→100901010016⎛⎫ ⎪- ⎪ ⎪-⎝⎭. 这个行最简形矩阵对应的线性方程组为⎪⎩⎪⎨⎧-=++-=++=++610010109001321321321x x x x x x x x x , 所以此线性方程组的唯一解为 ⎪⎩⎪⎨⎧-=-==619321x x x .11.甲、乙二人依次从装有7个白球,3个红球的袋中随机地摸1个球,求甲、乙摸到不同颜色球的概率.解:11732107()15C C P A C ==.12. 一箱中有50件产品,其中有5件次品,从箱中任取10件产品,求恰有两件次品的概率.解 由概率的古典定义,事件A 的概率为2854510505!45!50!()/0.20982!3!8!37!10!40!C C P A C ==⋅=.13.设有甲、乙两批种子,发芽率分别为0.9和0.8,在两批种子中各随机取一粒,求:(1)两粒都发芽的概率; (2)至少有一粒发芽的概率; (3)恰有一粒发芽的概率.解: (1)()P AB =()()P A P B =0.9⨯0.8=0.72(2)()()()()()P A B P A P B P A P B +=+-=0.9+0.8-0.72=0.98 (3)()()()()()P AB AB P A P B P A P B +=+0.90.20.10.80.26=⨯+⨯=14.某工厂生产一批商品,其中一等品点12,每件一等品获利3元;二等品占13,每件二等品获利1元;次品占16,每件次品亏损2元。
第一章 行列式第一节二阶与三阶行列式 第二节全排列及其逆序数第三节n 阶行列式的定义第四节对换1.求下列各排列的逆序数:(1) 134785692 (2) 139782645 (3) 13…(2n-1)24…(2n) (4) 13…(2n-1)(2n)(2n-2)…2 (11;17;2)1(-n n ;)1(-n n ) 2. 已知排列9561274j i 为偶排列,则=),(j i (8,3) .3.计算下列各阶行列式:(1) 600300301395200199204100103 (2)0d 0c 0b 0a 0 (3)efcfbfde cd bd aeac ab --- [2000; 0; 4abcdef] 4. 设xx x x xD 111123111212-=,则D 的展开式中3x 的系数为 -1 .5 求二次多项式()x f ,使得()61=-f ,()21=f ,()32=f解 设()c bx ax x f ++=2,于是由()61=-f ,()21=f ,()32=f 得⎪⎩⎪⎨⎧=++=++=+-32426c b a c b a c b a 求c b a ,,如下: 06124111111≠-=-=D ,61231121161-=-=D ,121341211612==D ,183242116113-=-=D 所以 11==D D a ,22-==D Db ,33==DD c故()322+-=x x x f 为所求。
第五节 行列式的性质 第六节 行列式按行(列)展开 第七节克拉默法则1.n 阶行列式ij a D =,则展开式中项11342312n n n a a a a a - 的符号为( D ). (A )- (B )+ (C )n)1(- (D )1)1(--n2.如果1a a a a a a a a a D 333231232221131211==,求333231312322212113121111a a 3a 2a 4a a 3a 2a 4a a 3a 2a 4--- [-12] 3. 已知4521011130112101--=D ,计算44434241A A A A +++ [-1]4. 计算行列式3833262290432231---- [-50]5.计算下列各行列式(D k 为k 阶行列式)(1)a11a,其中对角线上元素都是a ,未写出的元素都是0; [2--n naa ](2) aaaa x a aax; [1)(--n a x a ](3)n1n 321a xxxxx a x x x x x a x x x x xa xx x x x a- [利用递推公式来求]递推公式为1121)()())((---+---=n n n n D x a x a x a x a x Dn D =)1)(())((2121xa xx a x x a x x a x a x a n n -++-+-+--- (4) n2222232222222221[)!2(-n ](5)β+ααββ+αβ+ααββ+ααββ+ααββ+α1000000100001000010000[n n n n βαββαα++++--11]6.问λ,μ取何值时,齐次方程组⎪⎩⎪⎨⎧=+μ+=+μ+=++λ0x x 2x 0x x x 0x x x 321321321有非零解? [0;1==μλ]求每类商品的销售利润率。
最新优选介绍 _____________________________________________________15春福师?线性代数与概率统计?在线作业两套福师?线性代数与概率统计?在线作业一一、单项选择题〔共50 道试题,共100 分。
〕1.利用样本观察值对整体未知参数的估计称为 ( ) A.点估计B.区间估计C.参数估计D.极大似然估计正确答案: C2.甲乙两人投篮,命中率分别为 0.7 ,0.6 ,每人投三次,那么甲比乙进球数多的概率是A.B.C.D.正确答案: C3.市场上某种商品由三个厂家同时供货,其供给量,第一个厂家为第二个厂家的 2 倍,第二、三两个厂家相等,而且各厂产品的次品率依次为2% 、2% 、4% ,那么市场上供给的该商品的次品率为〔〕正确答案: C4.一袋中装有 10 个相同大小的球, 7 个红的, 3 个白的。
设试验 E 为在袋中摸2 个球,观察球的颜色试问以下事件哪些不是根本领件( )A. { 一红一白 }B. { 两个都是红的 }C. { 两个都是白的 }D. { 白球的个数小于3}正确答案: D5.一个装有 50 个球的袋子中,有白球 5 个,其他的为红球,从中依次抽取两个,那么抽到的两球均是红球的概率是〔〕A.B.C.D.正确答案: B6.电路由元件 A 与两个并联的元件 B、C 串通而成,假设 A、 B、 C 损坏与否是相互独立的,且它们损坏的概率依次为, 0.2 ,0.1 ,那么电路断路的概率是A.B.C.D.正确答案: D7. 事件 A 与 B 相互独立,且 P〔 B〕> 0,那么 P〔A|B〕=〔〕A.P〔A〕B.P〔B〕C.P〔A〕/P〔B〕D.P〔B〕/P〔A〕正确答案: A8. 正态分布是〔〕A.对称分布B.不对称分布C.关于 X对称D.以上都不对正确答案: A9.现抽样检验某车间生产的产品,抽取 100 件产品,发现有 4 件次品, 60 件一等品, 36 件二等品。
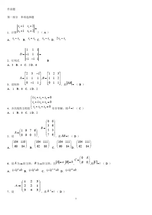
《线性代数与概率统计》作业题第一部分 单项选择题 1.计算11221212x x x x ++=++?(A )A .12x x -B .12x x +C .21x x -D .212x x -2.行列式111111111D =-=--(B)A .3B .4C .5D .63.设矩阵231123111,112011011A B -⎡⎤⎡⎤⎢⎥⎢⎥==⎢⎥⎢⎥⎢⎥⎢⎥-⎣⎦⎣⎦,求AB =?(B) A .-1B .0C .1D .24.齐次线性方程组123123123000x x x x x x x x x λλ++=⎧⎪++=⎨⎪++=⎩有非零解,则λ=?(C )A .-1B .0C .1D .25.设⎪⎪⎭⎫ ⎝⎛=50906791A ,⎪⎪⎪⎪⎪⎭⎫⎝⎛=67356300B ,求AB =?(D ) A .1041106084⎛⎫⎪⎝⎭B .1041116280⎛⎫⎪⎝⎭C .1041116084⎛⎫ ⎪⎝⎭D .1041116284⎛⎫⎪⎝⎭6.设A 为m 阶方阵,B 为n 阶方阵,且A a =,B b =,00A C B⎛⎫=⎪⎝⎭,则C =?( D ) A .(1)mab - B .(1)n ab - C .(1)n m ab +-D .(1)nmab -7.设⎪⎪⎪⎭⎫⎝⎛=343122321A ,求1-A =?(D )A .13235322111⎛⎫ ⎪ ⎪-- ⎪ ⎪-⎝⎭B .132********-⎛⎫⎪ ⎪- ⎪ ⎪-⎝⎭ C .13235322111-⎛⎫ ⎪⎪- ⎪ ⎪-⎝⎭ D .13235322111-⎛⎫⎪ ⎪-- ⎪ ⎪-⎝⎭8.设,A B 均为n 阶可逆矩阵,则下列结论中不正确的是(B )A .111[()]()()T T T AB A B ---=B .111()A B A B ---+=+C .11()()k k A A --=(k 为正整数)D .11()(0)n kA k A k ---=≠ (k 为正整数)9.设矩阵m n A ⨯的秩为r ,则下述结论正确的是(D ) A .A 中有一个r+1阶子式不等于零B .A 中任意一个r 阶子式不等于零C .A 中任意一个r-1阶子式不等于零D .A 中有一个r 阶子式不等于零10.初等变换下求下列矩阵的秩,321321317051A --⎛⎫⎪=- ⎪ ⎪-⎝⎭的秩为?(D )B .1C .2D .311.写出下列随机试验的样本空间及下列事件的集合表示:掷一颗骰子,出现奇数点。
《线性代数与概率统计》作业题(答案)~2015.03[推荐]第一篇:《线性代数与概率统计》作业题(答案)~2015.03[推荐] 《线性代数与概率统计》作业题第一部分单项选择题1.计算x1+1x1+2=?(A)x2+1x2+2A.x1-x2B.x1+x2C.x2-x1D.2x2-x112.行列式D=-11111=?(B)-1-11A.3B.4C.5 D.6⎡23-1⎤⎡123⎤⎥,B=⎢112⎥,求1113.设矩阵A=⎢AB=?(B)⎢⎥⎢⎥⎢⎢⎣0-11⎥⎦⎣011⎥⎦A.-1B.0C.1D.2⎧λx1+x2+x3=0⎪4.齐次线性方程组⎨x1+λx2+x3=0有非零解,则λ=?(C)⎪x+x+x=0⎩123A.-1B.0C.1 D.2⎛0⎫5.设A=⎛19766⎪⎫0⎪⎝0905⎪⎪3⎭,B=53⎪,求AB=?(D) ⎝76⎪⎪⎭A.⎛104110⎫⎝6084⎪⎭B. ⎛104111⎫⎝6280⎪⎭C.⎛104111⎫⎝6084⎪⎭D. ⎛104111⎫⎝6284⎪⎭6.设A为m阶方阵,B为n阶方阵,且A=a,B=b,C=⎛0⎝BA.(-1)mabB.(-1)nabC.(-1)n+mabD.(-1)nmab⎛123⎫7.设A=221⎪⎪,求A-1=?(D) ⎝343⎪⎭2A⎫0⎪⎭,则C=?(D)⎛132⎫A. -3-35⎪22⎪⎪⎝11-1⎪⎭⎛13-2⎫ B. 35⎪-3⎪22⎪⎝11-1⎪⎭⎛13-2⎫ C. 3-35⎪2⎪⎪2⎝11-1⎪⎭⎛13-2⎫⎪D. 3 --35 22⎪⎪⎝11-1⎪⎭8.设A,B均为n阶可逆矩阵,则下列结论中不正确的是(B)A.[(AB)T]-1=(A-1)T(B-1)TB.(A+B)-1=A-1+B-1C.(Ak)-1=(A-1)k(k为正整数)D.(kA)-1=k-nA-1(k≠0)(k为正整数)9.设矩阵Am⨯n的秩为r,则下述结论正确的是(D)A.A中有一个r+1阶子式不等于零B.A中任意一个r阶子式不等于零C.A中任意一个r-1阶子式不等于零D.A中有一个r阶子式不等于零⎛-1-3⎫10.初等变换下求下列矩阵的秩,A=32 2-131⎪⎝705-1⎪的秩为?(⎪⎭3D)A.0 B.1C.2 D.311.写出下列随机试验的样本空间及下列事件的集合表示:掷一颗骰子,出现奇数点。
作业题第一部分 单项选择题1.计算11221212x x x x ++=++( A ) A .12x x - B .12x x + C .21x x - D .212x x -2.行列式111111111D =-=-- BA .3B .4C .5D .63.设矩阵231123111,112011011A B -⎡⎤⎡⎤⎢⎥⎢⎥==⎢⎥⎢⎥⎢⎥⎢⎥-⎣⎦⎣⎦,求AB = ( B ) A .-1 B .0 C .1 D .24.齐次线性方程组123123123000x x x x x x x x x λλ++=⎧⎪++=⎨⎪++=⎩有非零解,则λ=?( C )A .-1B .0C .1D .25.设⎪⎪⎭⎫ ⎝⎛=50906791A ,⎪⎪⎪⎪⎪⎭⎫⎝⎛=67356300B ,求AB =?( D )A .1041106084⎛⎫⎪⎝⎭ B .1041116280⎛⎫ ⎪⎝⎭ C .1041116084⎛⎫ ⎪⎝⎭D .1041116284⎛⎫ ⎪⎝⎭6.设A 为m 阶方阵,B 为n 阶方阵,且A a =,B b =,0A C B ⎛⎫=⎪⎝⎭,则C =?( D )A .(1)m ab -B .(1)n ab -C .(1)n m ab +-D .(1)nmab -7.设⎪⎪⎪⎭⎫ ⎝⎛=343122321A ,求1-A =?( D )A .13235322111⎛⎫ ⎪ ⎪-- ⎪ ⎪-⎝⎭B .132********-⎛⎫ ⎪ ⎪- ⎪ ⎪-⎝⎭C .13235322111-⎛⎫⎪ ⎪- ⎪ ⎪-⎝⎭D .13235322111-⎛⎫ ⎪ ⎪-- ⎪ ⎪-⎝⎭8.设,A B 均为n 阶可逆矩阵,则下列结论中不正确的是( B )A .111[()]()()T T T AB A B ---= B .111()A B A B ---+=+C .11()()k kA A --=(k 为正整数) D .11()(0)n kA k A k ---=≠ (k 为正整数)9.设矩阵m nA ⨯的秩为r ,则下述结论正确的是( D )A .A 中有一个r+1阶子式不等于零B .A 中任意一个r 阶子式不等于零C .A 中任意一个r-1阶子式不等于零D .A 中有一个r 阶子式不等于零10.初等变换下求下列矩阵的秩,321321317051A --⎛⎫⎪=- ⎪ ⎪-⎝⎭的秩为?( C )A .0B .1C .2D .311.写出下列随机试验的样本空间及下列事件的集合表示:掷一颗骰子,出现奇数点。
福师《线性代数与概率统计》在线作业二一、单选题(共 50 道试题,共 100 分。
)1. 设随机变量的数学期望(ξ)=μ,均方差为σ,则由切比雪夫不等式,有{P(|ξ-μ|≥3σ)}≤(). 1/9. 1/8. 8/9. 7/8正确答案:2. 袋内装有5个白球,3个黑球,从中一次任取两个,求取到的两个球颜色不同的概率. 15/28. 3/28. 5/28. 8/28正确答案:3. 进行n重伯努利试验,X为n次试验中成功的次数,若已知X=12.8,X=2.56则试验的成功率p=(). 0.5. 0.6. 0.8. 0.9正确答案:4. 设随机变量X在区间(,)的分布密度f(x)=,在其他区间为f(x)=0,欲使变量X服从均匀分布则的值为( ). 1/(-). -. 1-(-). 0正确答案:5. 市场供应的某种商品中,甲厂生产的产品占50%,乙厂生产的产品占30%,丙厂生产的产品占20%,甲、乙、丙产品的合格率分别为90%、85%、和95%,则顾客买到这种产品为合格品的概率是(). 0.24. 0.64. 0.895. 0.985正确答案:6. 一台仪表是以0.2为刻度的,读数时选取最靠近的那个刻度,则实际测量值与读数之偏差小于0.04概率为(). 0.4. 0.5. 0.6. 0.7正确答案:7. 在参数估计的方法中,矩法估计属于()方法. 点估计. 非参数性. 、极大似然估计. 以上都不对正确答案:8. 下列哪个符号是表示必然事件的. θ. δ. Ф. Ω正确答案:9. 正常人的脉膊平均为72次/分,今对某种疾病患者10人测其脉膊为54,68,77,70,64,69,72,62,71,65 (次/分),设患者的脉膊次数X服从正态分布,则在显著水平为时,检验患者脉膊与正常人脉膊( )差异。
. 有. 无. 不一定. 以上都不对正确答案:10. 一大批产品的优质品率是30%,每次任取一件,连续抽取五次,则取到的五件产品中恰有两件是优质品的概率是(). 0.684. 0.9441. 0.3087. 0.6285正确答案:11. 设一百件产品中有十件次品,每次随机地抽取一件,检验后放回去,连续抽三次,计算最多取到一件次品的概率(). 0.45. 0.78. 0.972. 0.25正确答案:12. 下列哪个符号是表示不可能事件的. θ. δ. Ф. Ω正确答案:13. 在长度为的线段内任取两点将其分成三段,则它们可以构成一个三角形的概率是. 1/4. 1/2. 1/3. 2/3正确答案:14. 设服从正态分布的随机变量X的数学期望和均方差分别为10和2,则变量X落在区间(12,14)的概率为(). 0.1359. 0.2147. 0.3481. 0.2647正确答案:15. 设、、三个事件两两独立,则、、相互独立的充分必要条件是. 与独立. 与∪独立. 与独立. ∪与∪独立正确答案:16. 点估计( )给出参数值的误差大小和范围. 能. 不能. 不一定. 以上都不对正确答案:17. 电话交换台有10条外线,若干台分机,在一段时间内,每台分机使用外线的概率为10%,则最多可装()台分机才能以90%的把握使外线畅通. 59. 52. 68. 72正确答案:18. 某地区全年发生案件300件,破案率为30﹪,则所破案件为(). 90. 270. 210. 30正确答案:19. 射手每次射击的命中率为为0.02,独立射击了400次,设随机变量X为命中的次数,则X的期望为(). 8. 10. 20. 6正确答案:20. 事件与相互独立的充要条件为. +=Ω. P()=P()P(). =Ф. P(+)=P()+P()正确答案:21. 射手每次射击的命中率为为0.02,独立射击了400次,设随机变量X为命中的次数,则X的方差为(). 8. 10. 20. 6正确答案:22. 有六箱产品,各箱产品的合格率分别为0.99,0.95,0.96,0.98,0.94,0.97,今从每箱中任取一件产品,求全部是合格品的概率是(). 0.8068. 0.5648. 0.6471. 0.8964正确答案:23. 根据其赖以存在的条件,事先准确地断定它们未来的结果,称之为. 确定现象. 随机现象. 自然现象. 认为现象正确答案:24. 利用样本观察值对总体未知参数的估计称为( ). 点估计. 区间估计. 参数估计. 极大似然估计正确答案:25. 设随机变量X服从二点分布,如果P{X=1}=0.3,则{X=0}的概率为(). 0.2. 0.3. 0.8. 0.7正确答案:26. 在区间(2,8)上服从均匀分布的随机变量的数学期望为(). 5. 6. 7. 8正确答案:27. 如果有试验:投掷一枚硬币,重复试验1000次,观察正面出现的次数。
一.问答题1.叙述n 阶行列式的余子式和代数余子式的定义,并写出二者之间的关系。
答:定义:在n 阶行列式D 中划去a ij 所在的第i 行和第j 列的元素后,剩下的元素按原来相对位置所组成的(n-1)阶行列式,称为a ij 的余子式,记为M ij ,即nn j n j n n ni j i j i i n i j i j i i n j j ij a a a a a a a a a a a a a a a a M ,1,1,1,,11,11,11,1,11,11,11,111,11,11,1+-+++-++-+----+-=()ij j i M ⨯-+1称为a ij 的代数余子式,记为A ij ,即()ij j i ij M A ⨯-=+12.叙述矩阵的秩的定义。
答:定义:设A 为n m ⨯矩阵。
如果A 中不为零的子式最高阶为r ,即存在r 阶子式不为零,而任何r+1阶子式皆为零,则称r 为矩阵A 的秩,记作(秩)=r 或R(A)=r 。
3.齐次线性方程组的基础解系是什么?答:定义:设T 是⎪⎪⎩⎪⎪⎨⎧=+++=+++=+++0...............................................0...0...221122221211212111n nn n n nn n n x a x a x a x a x a x a x a x a x a 的所有解的集合,若T 中存在一组非零解s v v v ,...,,21,满足(1)s v v v ,...,,21线性无关;(2)任意T v ∈,都可用s v v v ,...,,21,线性表出则称s v v v ,...,,21,是此方程组的一个基础解系4.试写出条件概率的定义。
答:条件概率的定义:在事件B 发生的条件下事件A 发生的概率定义为())0)(()()(>=B P B P AB P B A p5.试写出全概率公式和贝叶斯公式这两个定理。
线性代数部分第一章 行列式一、单项选择题1.=0001001001001000 .A 0B 1-C 1D 22.=0001100000100100 .A 0B 1-C 1D 2 3.若a a a a a =22211211,则=21112212ka a ka a .A kaB ka -C a k 2D a k 2-4. 已知4阶行列式中第1行元依次是3,1,0,4-, 第3行元的余子式依次为x ,1,5,2-, 则=x .A 0B 3-C 3D 25. k 等于下列选项中哪个值时,齐次线性方程组⎪⎩⎪⎨⎧=++=++=++000321321321x x kx x kx x kx x x 有非零解.A 1-B 2-C 3-D 06.设行列式na a a a =22211211,m a a a a =21231113,则行列式232221131211--a a a a a a 等于A. m n -B.)(-n m +C. n m +D.n m -二、填空题1. 行列式=0100111010100111.2.行列式010...0002...0.........000 (10)0 0n n =-.3.如果M a a a a a a a a a D ==333231232221131211,则=---=323233312222232112121311133333 3a a a a a a a a a a a a D .4.行列式=--+---+---1111111111111111x x x x .5.已知三阶行列式中第二列元素依次为1,2,3, 其对应的余子式依次为3,2,1,则该行列式的值为.6.齐次线性方程组⎪⎩⎪⎨⎧=+-=+=++0020232121321x x x kx x x x kx 仅有零解的充要条件是.7.若齐次线性方程组⎪⎩⎪⎨⎧=+--=+=++0230520232132321kx x x x x x x x 有非零解,则k =.三、计算题2.yxyx x y x y y x y x+++;3.解方程0011011101110=x x xx ;6. 111...1311...1112 (1).........111...(1)b b n b----7. 11111222123111...1..................nb a a a b b a a b b b a ; 8.121212123.....................n nn x a a a a x a a a a x a a a a x;四、证明题1.设1=abcd ,证明:011111111111122222222=++++dddd c c c c b b b b a a a a .2.3332221112333332222211111)1(c b a c b a c b a x c b x a x b a c b x a x b a c b x a xb a -=++++++.3.))()()()()()((111144442222d c b a c d b d b c a d a c a b d c b a dcbad c b a +++------=.第二章 矩阵一、单项选择题1. A 、B 为n 阶方阵,则下列各式中成立的是 ;a 22A A =b ))((22B A B A B A +-=- c AB A A B A -=-2)( d T T T B A AB =)( 2.设方阵A 、B 、C 满足AB=AC,当A 满足 时,B=C;a AB =BAb 0≠Ac 方程组AX=0有非零解d B 、C 可逆 3.若A 为n 阶方阵,k 为非零常数,则=kA ;a A kb A kc A k nd A k n4.设A 为n 阶方阵,且0=A ,则 ;a A 中两行列对应元素成比例b A 中任意一行为其它行的线性组合c A 中至少有一行元素全为零d A 中必有一行为其它行的线性组合 5.设A 为n 阶方阵,*A 为A 的伴随矩阵,则 ; (a) a 1*-=A A b A A =* c 1*+=n AA d 1*-=n AA6. 设A ,B 为n 阶方矩阵,22B A =,则下列各式成立的是 ; a B A = b B A -= c B A = d 22B A = 7.设A 为n 阶可逆矩阵,则下面各式恒正确的是 ; a T A A 22= b 112)2(--=A Ac 111])[(])[(---=T T T A Ad T T T T A A ])[(])[(11--=8.已知⎪⎪⎪⎭⎫ ⎝⎛=113022131A ,则 ;a A A T =b *1A A =-c ⎪⎪⎪⎭⎫ ⎝⎛=⎪⎪⎪⎭⎫ ⎝⎛113202311010100001Ad ⎪⎪⎪⎭⎫⎝⎛=⎪⎪⎪⎭⎫ ⎝⎛113202311010100001A9.设I C B A ,,,为同阶方阵,I 为单位矩阵,若I ABC =,则 ;a I ACB =b I CAB =c I CBA =d I BAC = 10.n 阶矩阵A 可逆的充要条件是 ; a A 的每个行向量都是非零向量 b A 中任意两个行向量都不成比例c A 的行向量中有一个向量可由其它向量线性表示d 对任何n 维非零向量X ,均有0≠AX 11. 设矩阵A=1,2,B=⎪⎪⎭⎫ ⎝⎛4321,C⎪⎪⎭⎫⎝⎛=654321则下列矩阵运算中有意义的是A .ACB B .ABC C .BACD .CBA 12.设矩阵A,B 均为可逆方阵,则以下结论正确的是DA .⎪⎪⎭⎫ ⎝⎛B A 可逆,且其逆为⎪⎪⎭⎫ ⎝⎛--11B AB .⎪⎪⎭⎫ ⎝⎛B A 不可逆 C .⎪⎪⎭⎫ ⎝⎛B A 可逆,且其逆为⎪⎪⎭⎫ ⎝⎛--11A BD .⎪⎪⎭⎫ ⎝⎛B A 可逆,且其逆为⎪⎪⎭⎫ ⎝⎛--11B A13.已知向量TT )0,3,4,1(23,)1,2,2,1(2--=β+α---=β+α,则β+α=AA .T)1,1,2,0(-- B.T)1,1,0,2(-- C .T)0,2,1,1(-- D .T)1,5,6,2(---14.设A 和B 为n 阶方阵,下列说法正确的是CA. 若AB AC =,则B C =B. 若0AB =,则0A =或0B =C. 若0AB =,则0A =或0B =D. 若0A E -=,则A E =6、设两事件A二、填空题1.设A 为n 阶方阵,I 为n 阶单位阵,且I A =2,则行列式=A _______2.行列式=---000c b c a ba_______3.设A 为5阶方阵,*A 是其伴随矩阵,且3=A ,则=*A _______4.设4阶方阵A 的秩为2,则其伴随矩阵*A 的秩为_______ 三、计算题1.解下列矩阵方程X 为未知矩阵.1 223221103212102X ⎛⎫⎛⎫ ⎪ ⎪-= ⎪ ⎪ ⎪ ⎪--⎝⎭⎝⎭ ;2 0101320100211100110X ⎛⎫⎛⎫⎛⎫ ⎪ ⎪=- ⎪ ⎪ ⎪-⎝⎭ ⎪ ⎪⎝⎭⎝⎭ ; 3 2AX A X =+,其中423110123A ⎛⎫⎪= ⎪⎪-⎝⎭;2.设A 为n 阶对称阵,且20A =,求A .3.设11201A ⎛⎫= ⎪⎝⎭,23423A ⎛⎫= ⎪⎝⎭,30000A ⎛⎫= ⎪⎝⎭,41201A ⎛⎫= ⎪⎝⎭,求1234A A A A ⎛⎫⎪⎝⎭.4.设211011101,121110110A B ⎛⎫⎛⎫ ⎪ ⎪== ⎪ ⎪ ⎪ ⎪⎝⎭⎝⎭,求非奇异矩阵C ,使T A C BC =.四、证明题1. 设A 、B 均为n 阶非奇异阵,求证AB 可逆.2. 设0k A =k 为整数, 求证I A -可逆.4. 设n 阶方阵A 与B 中有一个是非奇异的,求证矩阵AB 相似于BA .5. 证明可逆的对称矩阵的逆也是对称矩阵.第三章 向量一、单项选择题1. 321,,ααα, 21,ββ都是四维列向量,且四阶行列式m =1321βααα,n =2321ααβα,则行列式)(21321=+ββαααn m a +)( n m b -)( n m c +-)( n m d --)(2. 设A 为n 阶方阵,且0=A ,则 ;成比例中两行(列)对应元素A a )( 线性组合中任意一行为其它行的A )b ( 零中至少有一行元素全为A c )( 线性组合中必有一行为其它行的A )d (3. 设A 为n 阶方阵,n r A r <=)(,则在A 的n 个行向量中 ;个行向量线性无关必有r a )(个行向量线性无关任意r )b (性无关组个行向量都构成极大线任意r c )(个行向量线性表示其它任意一个行向量都能被r )d (4. n 阶方阵A 可逆的充分必要条件是n r A r a <=)()( n A b 的列秩为)(零向量的每一个行向量都是非)(A c 的伴随矩阵存在)(A d5. n 维向量组12,,...,s ααα线性无关的充分条件是)(a 12,,...,s ααα都不是零向量)(b 12,,...,s ααα中任一向量均不能由其它向量线性表示 )(c 12,,...,s ααα中任意两个向量都不成比例 )(d 12,,...,s ααα中有一个部分组线性无关二、填空题1. 若T )1,1,1(1=α,T )3,2,1(2=α,T t ),3,1(3=α线性相关,则t=▁▁▁▁;2. n 维零向量一定线性▁▁▁▁关;3. 向量α线性无关的充要条件是▁▁▁▁;4. 若321,,ααα线性相关,则12,,...,s ααα)3(>s 线性▁▁▁▁关;5. n 维单位向量组一定线性▁▁▁▁;三、计算题 1. 设T )1,1,1(1λα+=,T )1,1,1(2λα+=,T )1,1,1(3λα+=,T),,0(2λλβ=,问1λ为何值时,β能由321,,ααα唯一地线性表示2λ为何值时,β能由321,,ααα线性表示,但表达式不唯一 3λ为何值时,β不能由321,,ααα线性表示 2. 设T )3,2,0,1(1=α,T )5,3,1,1(2=α,T a )1,2,1,1(3+=α,T a )8,4,2,1(4+=α,T b )5,3,1,1(+=β问: 1b a ,为何值时,β不能表示为4321,,,αααα的线性组合 2b a ,为何值时,β能唯一地表示为4321,,,αααα的线性组合 3. 求向量组T )4,0,1,1(1-=α,T )6,5,1,2(2=α,T )2,5,2,1(3=α,T )0,2,1,1(4--=α,T )14,7,0,3(5=α的一个极大线性无关组,并将其余向量用该极大无关组线性表示; 四、证明题1. 设2131222112,3,ααβααβααβ-=-=+=,试证321,,βββ线性相关;2. 设12,,...,n ααα线性无关,证明12231,,...,n αααααα+++在n 为奇数时线性无关;在n 为偶数时线性相关;第四章 线性方程组一、单项选择题1.设n 元齐次线性方程组0AX =的系数矩阵的秩为r ,则0AX =有非零解的充分必要条件是A r n =B r n <C r n ≥D r n >2.设A 是m n ⨯矩阵,则线性方程组AX b =有无穷解的充要条件是A ()r A m <B ()r A n <C ()()r Ab r A m =<D ()()r Ab r A n =<3.设A 是m n ⨯矩阵,非齐次线性方程组AX b =的导出组为0AX =,若m n <,则A AX b =必有无穷多解B AX b =必有唯一解C 0AX =必有非零解D 0AX =必有唯一解4.方程组1232332422(2)(3)(4)(1)x x x x x x λλλλ+-=⎧⎪+=⎨⎪-=----⎩无解的充分条件是λ=A 1B 2C 3D 45.方程组12323331224(1)(3))(1))x x x x x x x λλλλλλ++=-⎧⎪-=-⎪⎨=-⎪⎪-=---⎩有唯一解的充分条件是λ=A 1B 2C 3D 4 二、填空题1. 设A 为100阶矩阵,且对任意100维的非零列向量X ,均有0AX ≠,则A 的秩为 .2. 线性方程组1231212320200kx x x x kx x x x ++=⎧⎪+=⎨⎪-+=⎩仅有零解的充分必要条件是 .3. 设12,,s X X X 和1122s s c X c X c X +++均为非齐次线性方程组AX b =的解12,,s c c c 为常数,则12s c c c +++= .4. 若线性方程组AX b =的导出组与0(())BX r B r ==有相同的基础解系,则()r A = .5. 若线性方程组m n A X b ⨯=的系数矩阵的秩为m ,则其增广矩阵的秩为 .三、计算题1. 已知123,,ααα是齐次线性方程组0AX =的一个基础解系,问122331,,αααααα+++是否是该方程组的一个基础解系 为什么2. 设54331012263211311111A -⎡⎤⎢⎥⎢⎥=⎢⎥-⎢⎥⎣⎦,12010560011210012320B --⎡⎤⎢⎥-⎢⎥=⎢⎥-⎢⎥--⎣⎦,已知B 的行向量都是线性方程组0AX =的解,试问B 的四个行向量能否构成该方程组的基础解系 为什么3. 设四元齐次线性方程组为 Ι:122400x x x x +=⎧⎨-=⎩1求Ι的一个基础解系2如果12(0,1,1,0)(1,2,2,1)T T k k +-是某齐次线性方程组II 的通解,问方程组Ι和II 是否有非零的公共解 若有,求出其全部非零公共解;若无,说明理由;第五章 特征值与特征向量一、单项选择题1. 设001010100A ⎛⎫ ⎪= ⎪ ⎪⎝⎭,则A 的特征值是 ;a -1,1,1b 0,1,1c -1,1,2d 1,1,22. 设110101011A ⎛⎫ ⎪= ⎪ ⎪⎝⎭,则A 的特征值是 ;a 0,1,1b 1,1,2c -1,1,2d -1,1,1 3. 设A 为n 阶方阵, 2A I =,则 ;a ||1A =b A 的特征根都是1c ()r A n =d A 一定是对称阵4. 若12,x x 分别是方阵A 的两个不同的特征值对应的特征向量,则1122k x k x +也是A 的特征向量的充分条件是 ;a 1200k k ==且b 1200k k ≠≠且c 120k k =d 1200k k ≠=且 5. 若n 阶方阵,A B 的特征值相同,则 ;a A B =b ||||A B =c A 与B 相似d A 与B 合同二、填空题1. n 阶零矩阵的全部特征值为_______;2. 设A 为n 阶方阵,且I A =2,则A 的全部特征值为_______;3. 设A 为n 阶方阵,且0=m A m 是自然数,则A 的特征值为_______;4. 若A A =2,则A 的全部特征值为_______;5. 若方阵A 与I 4相似,则=A _______;三、计算题1. 若n 阶方阵A 的每一行元素之和都等于a ,试求A 的一个特征值及该特征值对应的一个特征向量.2. 求非奇异矩阵P ,使1P AP -为对角阵.1 2112A ⎛⎫= ⎪⎝⎭2 112131201A -⎛⎫⎪=-- ⎪ ⎪--⎝⎭四、证明题1. 设A 是非奇异阵, λ是A 的任一特征根,求证1λ是1A -的一个特征根,并且A 关于λ的特征向量也是1A -关于1λ的特征向量. 2. 设2A E =,求证A 的特征根只能是1±.3. 设n 阶方阵A 与B 中有一个是非奇异的,求证矩阵AB 相似于BA .4. 证明:相似矩阵具有相同的特征值.5. 设n 阶矩阵A E ≠,如果()()r A E r A E n ++-=,证明:-1是A 的特征值;6. 设A B ,证明kk A B ;7. 设12,αα是n 阶矩阵A 分别属于12,λλ的特征向量,且12λλ≠,证明12αα+不是A 的特征向量;概率论部分一、填空:每题3分,共15分1. 假设,A B 是两独立的事件,()0.7,()0.3P A B P A ⋃==,则()P B =_________; 2. 设A,B 是两事件,(|)1/4,()1/3P A B P B ==,则()P AB =__________; 3. 若二维随机变量(X,Y)满足()()()E XY E X E Y =,则X Y 与________; 4. 随机变量~(0,1),23,~X N Y X Y =+则_________; 5. 设总体)1,0(~N X ,1210,,,X X X 是来自总体X 的样本,则X 服从_________分布;二、选择:每题3分,共15分1. 如果成立,则事件,A B 互为对立事件....()()1A AB B AB C AB A B D P A P B =Φ=Ω=Φ⋃=Ω+=且2. 若X 的概率密度为02()4240x x f x xx ≤≤⎧⎪=-≤≤⎨⎪⎩其它,则{3}P X ≤= .3/2A .5/2B .7/2C .4D3. 设随机变量),(~p n B X ,则方差var()X =.A np .(1)B n p - 2.C np .(1)D np p -4. 下列结论正确的是A .X 与Y 相互独立,则X 与Y 不相关B .X 与Y 不独立,则X 与Y 相关C .X 与Y 不相关,则X 与Y 相互独立D .X 与Y 相关,则X 与Y 相互独立5. 设n X X X ,,,21 为来自正态总体2~(,)X N μσ的一个样本,其中μ已知,2σ未知,则下面不是统计量的是 ()A 1X ()B 221()ni i X μσ=-∑()C 211()n i i X n μ=-∑ ()D 211()1n i i X X n =--∑ 三、计算:共70分1.15分甲乙两袋,甲袋中有两白球一个黑球,乙袋中有一个白球两个黑球;先从甲袋中取一球放到乙袋中,再从乙袋中取一球,1求从乙袋中取出的是白球的概率;2已发现从乙袋中取出的是白球,问从甲袋中取出放入乙袋中的球为白球的概率;2.10分设随机变量X 的密度函数为2,02()0,cx x f x ⎧<<=⎨⎩其它,试求:(1)常数c ;(2){11}P X -<<;3.10分设随机变量X 的密度函数为2,01;()0,x x f x <<⎧=⎨⎩其他,,求 2X Y =的概率密度;4.10分一袋中装有5只球,编码为1,2,3,4,5,在袋中同时取3只,以X 表示取出的3只球中的最小号码,求随机变量X 的分布律与数学期望.5.15分设随机变量X,Y 的概率密度为 6,01(,)0,x y x f x y <<<⎧=⎨⎩其它1试求关于X 及Y 的边缘概率密度;2判断X 与Y 是否相互独立,并说明理由.6.10分总体X 的概率密度函数为220(),00x x f x θθθ⎧<<⎪=>⎨⎪⎩其它是未知参数,求未知参数θ的矩估计量,并验证未知参数θ的矩估计量是θ的有偏还是无偏估计量;线性代数部分参考答案第一章 行列式一、单项选择题1. C .2. C .3.B.4 C .5. A 6.C二.填空题1.0;2.!)1(1n n --;3.M 3-;4.4x ;5.2-;6.3,2-≠k ;7.7=k 三.计算题 1. )(233y x +-; 2. 1,0,2-=x ;3 (2)(1)...((2))b b n b -+---;4 ∏=--nk k kna b1)()1(;5 ∏∑==-+nk k nk k a x a x 11)()(;第二章参考答案一:1. a ;2. b ;3.c ;4.d ; 5.d ; 6.d ; 7.d ; 8.c ;9.b ; 10.d.11.B 12.D13.A14.C二.1. 1或-1;2. 0; 5. 81;6. 0;三、1.1、⎪⎪⎪⎭⎫⎝⎛---016213010;2、⎪⎪⎪⎪⎪⎭⎫⎝⎛-02132121; 3、⎪⎪⎪⎭⎫⎝⎛------9122692683. 2. 0; 3.⎪⎪⎪⎪⎪⎭⎫ ⎝⎛---1000210012100121; 4.⎪⎪⎪⎭⎫⎝⎛100001010;第三章向量参考答案一、 单项选择1.b2.d3.a4.b5.b 二、填空题1. 52.相关3. 0≠α4.相关三、解答题1. 解:设332211αααβx x x ++=则对应方程组为⎪⎩⎪⎨⎧=+++=+++=+++2321321321)1()1(0)1(λλλλλx x x x x x x x x其系数行列式)3(1111111112+=+++=λλλλλA1当3,0-≠≠λλ时,0≠A ,方程组有唯一解,所以β可由3,21,ααα唯一地线性表示;2当0=λ时,方程组的增广阵 ⎪⎪⎪⎭⎫ ⎝⎛=011101110111A ⎪⎪⎪⎭⎫ ⎝⎛→000000000111,31)()(<==A r A r ,方程组有无穷多解,所以β可由3,21,ααα线性表示,但表示式不唯一;3当3-=λ时,方程组的增广阵⎪⎪⎪⎭⎫ ⎝⎛----=921131210112A ⎪⎪⎪⎭⎫⎝⎛-----→18000123303121,)()(A r A r ≠,方程组无解,所以β不能由3,21,ααα线性表示; 2.解:以βαααα,,,,4321为列构造矩阵⎪⎪⎪⎪⎪⎭⎫ ⎝⎛+++58153342321211011111a b a →⎪⎪⎪⎪⎪⎪⎭⎫⎝⎛--+-b a a 41000041100121101111121时,且当01≠±=b a β不能表示为4321,,,αααα的线性组合; 2任意时,当b a ,1±≠β能唯一地表示为4321,,,αααα的线性组合;3.解:=),,,,(54321ααααα⎪⎪⎪⎪⎪⎭⎫⎝⎛---140264725500121131121⎪⎪⎪⎪⎪⎭⎫⎝⎛--→000110001011020101 421,,ααα为一个极大无关组,且31240αααα=-++, 42152αααα-+=四、证明题1.证:∵0)2(4)(33121=--+ββββ∴0435321=++-βββ ∴321,,βββ线性相关2.证:设0)()()(1322211=++++++ααααααn n k k k则0)()()(122111=+++++-n n n n k k k k k k ααα ∵n ααα,,,21 线性无关∴⎪⎪⎩⎪⎪⎨⎧=+=+=+-0001211n n n k k k k k k 其系数行列式1100001000001100001110001 =⎩⎨⎧=-++为偶数为奇数n n n ,0,2)1(11∴当n 为奇数时,n k k k ,,,21 只能为零,n ααα,,,21 线性无关; 当n 为偶数时,n k k k ,,,21 可以不全为零,n ααα,,,21 线性相关;参考答案一、单项选择题 1.B 2.D 3.C 4.B 5.A二、填空题1.1002.23k k ≠-≠且3.14.r5.m三、计算题 1. 是 2. 不能3. 112(0,0,1,0),(1,1,0,1)T T v v ==- 2(1,1,1,1)()T k k -其中为任意非零常数第五章 参考答案一、单项选择题 1.a 2.c 3.c 4.d 5.b二、填空题1.02.1,-13.04.0,15.4I三、计算题 1.,(1,1,,1)T a2.11111-⎛⎫ ⎪⎝⎭ 2113211122-⎛⎫⎪- ⎪ ⎪⎝⎭四. 证明题 略概率论部分一、填空每题3分共15分1. 4/7;2. 1/12 ;3. 不相关;4. ~(3,4)Y N ;5. (0,1/10)N 二、选择每题3分共15分1.C ; 2. C ; 3. D ; 4. A ; 5. B 三、计算 1. 15分解:设12{}{}A A ==第一次从甲袋中摸的是黑球第一次从甲袋中摸的是白球{}B =从乙袋中摸的是白球(1) 由全概率公式11221212()(|)()(|)()31212(),(),(|)(|)3344P B P B A P A P B A P A P A P A P B A P B A =+====分所以PB=1/12+4/12=5/12 (3)分2要求2(|)P A B ,由贝叶斯公式分分25451232425)()()|()|(222 =⨯⨯==B P A P A B P B A P2. (10)分解:(1)由()1f x dx +∞-∞=⎰,得220813cx dx c ==⎰,所以38c =, ……4分 (2)11231010311{11}()888P X f x dx x dx x --<<====⎰⎰,……6分 3.10分解:1 2Y X =分别在(,0)-∞∞和(0,+)单调,所以''(|(|||,01()0,,X X Y f f y f y ⎧+<<⎪=⎨⎪⎩其他. ……4分,01,01y ⎧+=<<⎪=⎨⎪⎩其他0, ……6分,或利用分布函数法:2(){}{}{{0Y F y P Y y P X y P X P X =≤=≤=≤≤=<≤……4分20,01xdx x y y ===<<,……4分1,01()()0,Y Y y f y F y <<⎧'∴==⎨⎩其他……2分 4. 10分解:X =1,2,3 ………2分22343335556311{1},{2},{3}101010C C P X P X P X C C C ========= ,5分………6分631()123101010E X =⨯+⨯+⨯ =1.5… 12分5.15分解: 1()(,)X f x f x y dy ∞-∞=⎰06,010,x xdy x ⎧<<⎪=⎨⎪⎩⎰其它26,010,x x ⎧<<=⎨⎩其它 ………6分()(,)Y f y f x y dx ∞-∞=⎰16,010,y xdx y ⎧<<⎪=⎨⎪⎩⎰其它23(1),010,y y ⎧-<<=⎨⎩其它 ………6分2X 与Y 不相互独立,因为(,)()()X Y f x y f x f y ≠ ………3分 6.10分解:1222()3xEX xf x dx xdx θθθ+∞-∞===⎰⎰,···3分,X =θ32···2分,__^3,2X θ=所以···2分 由于__^3322E E X E X θθ===, 所以θ的矩估计量为无偏估计;···············3分。
工程数学(线性代数与概率统计)习题三1、2、3、略4、)1,0,1()1,1,0()0,1,1(21-=-=-αα)2,1,0()0,4,3()1,1,0(2)0,1,1(323321=-+=-+ααα5、)523(61)(5)(2)(3321321αααααααααα-+=→+=++-6、设存在一组数r k k k ,,,21 使得 0)()()()(02212121212112211=++++++++=+++++++==+++r r r r r r r r k k k k k k k k k k k k αααααααααβββ因r ααα ,,21线性无关,有⎪⎪⎩⎪⎪⎨⎧==++=+++000221rr r k k k k k k 即021====r k k k ,所以r βββ ,,21线性无关。
7、设存在一组数4321,,,k k k k 使得044332211=+++ββββk k k k 有0)()()()(443332221141=+++++++ααααk k k k k k k k 因0000000043322141=k k k k k k k k ,且不全为0,所以4321,,,ββββ线性相关。
8、讨论向量组相关性。
(本题的特点是向量组的个数等于向量的维数, 其判断法是求向量组成的行列式值是否为0)(1)052520111631520111321===ααα,相关 (2)02102011321≠==ααα,无关 9、由向量组组成的行列式为 1221011131321111321-==t tααα(1)如果,5,41=→=-t t 行列式等于0,向量组线性相关, (2)如果,5,41≠→≠-t t 行列式不等于0,向量组线性无关, (3)当5=t 时,向量组相关,设22113αααk k += 即⎩⎨⎧=-=⇒⎪⎪⎪⎭⎫ ⎝⎛+⎪⎪⎪⎭⎫ ⎝⎛=⎪⎪⎪⎭⎫ ⎝⎛213211115312121k k k k 10、用矩阵的秩判别向量组的相关性(方法是求由向量组构成的矩阵的秩r 与向量组个数关系) (1)()⎪⎪⎪⎪⎪⎭⎫⎝⎛---→⎪⎪⎪⎪⎪⎭⎫⎝⎛----−−→−⎪⎪⎪⎪⎪⎭⎫⎝⎛---==--01502601401051562641401041242031111323213321c c c c A ααα所以 2)(=A R ,相关。
05级《线性代数与概率统计》期末考试试题(A卷〉2006学年(1)学期姓名:_____________ 学号: _______________ 分数: ______________ 一、是非题(下列叙述正确的打“厂,错误的打“X”)(共10分)1、若4是n阶方阵(n$2),则A = -A 0( X )2、在样本空间S中存在两个事件A、B满足An B = ^P(AB) = P(A)P(B)o(J )3、若向量组a p a2,a3,...,a m线性无关,则$必可由a2,a3,...,a lu线性表出。
(x )4、设A是mXn矩阵,若ms,则AX=0有无穷多个解。
(V )5、对于随机变量X、Y,若P XY HO,则X与Y必定不相互独立。
(V )6、在圆周上任意放置三个点,则该三点构成各种三角形的概率必定大于0。
(X )7、将一枚硬币抛掷10000次,出现正面5800次,认为这枚硬币不均匀是合理。
(J )8、已^11 (A + B)( A + B)+ A + B + A+ B = C,则C=万。
( V ) 9、设mXn 矩阵BHO,且BX=BY,则X=Y。
( X ) 10、对于矩阵A、B,若矩阵A满秩,贝iJr(AB)=r(B)o( V )二、选择题(20 分)1、已知A、B、C为某随机试验中的事件,则下列各式一定正确的是(D )(A)(A-B)+B = A; (B) (A + B)-C = A + (B-C);(C) A + C = B + C=>A=B;(D)以上答案都不一定正确2、设均为可逆矩阵,且AB = BA9贝ij ( B )(A)A13=8^A;(B) AB1 = B ,A;(C) AB=B1A l;(D) |(A」+〃T)(4+B)|H03、 某人射击时,中靶的概率为3/4,如果射击直到中靶为止,则射击次数为3的概率为(C )3 3 1 13 1 (A) (-/;(B) (-)2X-;(C) (-)2X-;(D) (-)344 44 444、 下列说法不正确的是(A )(A) 对于事件A,若P (A) =1,则事件A 必定为必然事件; (B) 极大无关组中的解向量一定线性无关;(C) 交换行列式的某两行,行列式的值变为相反数;(D) 满秩矩阵一定可逆,且可以化为若干个初等矩阵的乘积。
《线性代数与概率统计》作业题第一部分 单项选择题 1.计算11221212x x x x ++=++?(A )A .12x x -B .12x x +C .21x x -D .212x x -2.行列式111111111D =-=--?(B) A .3 B .4 C .5 D .63.设矩阵231123111,112011011A B -⎡⎤⎡⎤⎢⎥⎢⎥==⎢⎥⎢⎥⎢⎥⎢⎥-⎣⎦⎣⎦,求AB =?(B) A .-1B .0C .1D .24.齐次线性方程组123123123000x x x x x x x x x λλ++=⎧⎪++=⎨⎪++=⎩有非零解,则λ=?(C )A .-1B .0C .1D .25.设⎪⎪⎭⎫ ⎝⎛=50906791A ,⎪⎪⎪⎪⎪⎭⎫⎝⎛=67356300B ,求AB =?(D ) A .1041106084⎛⎫ ⎪⎝⎭B .1041116280⎛⎫⎪⎝⎭C .1041116084⎛⎫ ⎪⎝⎭D .1041116284⎛⎫⎪⎝⎭6.设A 为m 阶方阵,B 为n 阶方阵,且A a =,B b =,00A C B ⎛⎫=⎪⎝⎭,则C =?( D ) A .(1)mab - B .(1)n ab - C .(1)n m ab +-D .(1)nmab -7.设⎪⎪⎪⎭⎫⎝⎛=343122321A ,求1-A =?(D )A .13235322111⎛⎫ ⎪ ⎪-- ⎪ ⎪-⎝⎭B .132********-⎛⎫⎪ ⎪- ⎪ ⎪-⎝⎭ C .13235322111-⎛⎫ ⎪⎪- ⎪ ⎪-⎝⎭ D .13235322111-⎛⎫⎪ ⎪-- ⎪ ⎪-⎝⎭8.设,A B 均为n 阶可逆矩阵,则下列结论中不正确的是(B )A .111[()]()()T TTAB A B ---= B .111()A B A B ---+=+C .11()()k k A A --=(k 为正整数)D .11()(0)n kA k A k ---=≠ (k 为正整数)9.设矩阵m n A ⨯的秩为r ,则下述结论正确的是(D ) A .A 中有一个r+1阶子式不等于零B .A 中任意一个r 阶子式不等于零C .A 中任意一个r-1阶子式不等于零D .A 中有一个r 阶子式不等于零10.初等变换下求下列矩阵的秩,321321317051A --⎛⎫⎪=- ⎪ ⎪-⎝⎭的秩为?(D )B .1C .2D .311.写出下列随机试验的样本空间及下列事件的集合表示:掷一颗骰子,出现奇数点。
(D )A .样本空间为{1,2,3,4,5,6}Ω=,事件“出现奇数点”为{2,4,6}B .样本空间为{1,3,5}Ω=,事件“出现奇数点”为{1,3,5}C .样本空间为{2,4,6}Ω=,事件“出现奇数点”为{1,3,5}D .样本空间为{1,2,3,4,5,6}Ω=,事件“出现奇数点”为{1,3,5}12.向指定的目标连续射击四枪,用i A 表示“第i 次射中目标”,试用i A 表示四枪中至少有一枪击中目标(C ):A .1234A A A AB .12341A A A A -C .1234A A A A +++D .113.一批产品由8件正品和2件次品组成,从中任取3件,则这三件产品全是正品的概率为(B )A .25 B .715C .815D .3514.甲乙两人同时向目标射击,甲射中目标的概率为0.8,乙射中目标的概率是0.85,两人同时射中目标的概率为0.68,则目标被射中的概率为(C )B .0.85C .0.97D .0.9615.袋中装有4个黑球和1个白球,每次从袋中随机的摸出一个球,并换入一个黑球,继续进行,求第三次摸到黑球的概率是(D )A .16125B .17125C .108125D .10912516.设A ,B 为随机事件,()0.2P A =,()0.45P B =,()0.15P AB =,(|)P A B =(B)A .16B .13C .12D .2317.市场供应的热水瓶中,甲厂的产品占50%,乙厂的产品占30%,丙厂的产品占20%,甲厂产品的合格率为90%,乙厂产品的合格率为85%,丙厂产品的合格率为80%,从市场上任意买一个热水瓶,则买到合格品的概率为(D )A .0.725B .0.5C .0.825D .0.86518.有三个盒子,在第一个盒子中有2个白球和1个黑球,在第二个盒子中有3个白球和1个黑球,在第三个盒子中有2个白球和2个黑球,某人任意取一个盒子,再从中任意取一个球,则取到白球的概率为(C )A .3136B .3236C .2336D .343619.观察一次投篮,有两种可能结果:投中与未投中。
令1,;0,X ⎧=⎨⎩投中未投中.试求X 的分布函数()F x 。
(C)A .0,01(),0121,1x F x x x <⎧⎪⎪=≤<⎨⎪>⎪⎩B .0,01(),0121,1x F x x x ≤⎧⎪⎪=<<⎨⎪≥⎪⎩C .0,01(),0121,1<⎧⎪⎪=≤<⎨⎪≥⎪⎩x F x x xD .0,01(),0121,1x F x x x <⎧⎪⎪=≤≤⎨⎪>⎪⎩20.设随机变量X 的分布列为===(),1,2,3,4,515kP X k k ,则或===(12)PX X ?(C ) A .115 B .215C .15D .415第二部分 计算题1.设矩阵231123111,112011011A B -⎡⎤⎡⎤⎢⎥⎢⎥==⎢⎥⎢⎥⎢⎥⎢⎥-⎣⎦⎣⎦,求AB .解:AB =231123111112011011-⎡⎤⎡⎤⎢⎥⎢⎥⎢⎥⎢⎥⎢⎥⎢⎥-⎣⎦⎣⎦=5611246101⎡⎤⎢⎥⎢⎥⎢⎥--⎣⎦||AB =5611246101--=61156(1)4624-+-=02.已知行列式2512371446125927-----,写出元素43a 的代数余子式43A ,并求43A 的值.解:43A =4343(1)M +-252374462-=---743437(2(5)2)624246--=---+--=543.设1100010000100021A ⎡⎤⎢⎥⎢⎥=⎢⎥⎢⎥-⎣⎦,求2A . 解:2A =1100110012000100010001000010001000100210210001AA ⎡⎤⎡⎤⎡⎤⎢⎥⎢⎥⎢⎥⎢⎥⎢⎥⎢⎥==⎢⎥⎢⎥⎢⎥⎢⎥⎢⎥⎢⎥--⎣⎦⎣⎦⎣⎦4.求矩阵25321585431742041123A -⎡⎤⎢⎥-⎢⎥=⎢⎥-⎢⎥-⎣⎦的秩.解:2211334145124332432253211742017420585432532109521174204112302715634112358543027156317420095210000000000r r r r r r r r r r r r r r A -←−→--←−→-----⎡⎤⎡⎤⎡⎤⎢⎥⎢⎥⎢⎥----⎢⎥⎢⎥⎢⎥=−−−−→−−−→⎢⎥⎢⎥⎢⎥----⎢⎥⎢⎥⎢⎥----⎣⎦⎣⎦⎣⎦-⎡⎢--−−−→⎣⎤⎥⎢⎥⎢⎥⎢⎥⎦所以,矩阵的秩r(A)=25.解线性方程组12312312331331590x x x x x x x x x +-=⎧⎪--=⎨⎪+-=⎩.解: 用初等变换将增广矩阵(A ,B )化为行阶梯矩阵231321312212113111311131(,)313104620231159004610003110002310003r r r r r r r r r A A B -+-+---⎛⎫⎛⎫⎛⎫⎪ ⎪ ⎪==--−−−→--−−−→-- ⎪ ⎪ ⎪⎪ ⎪ ⎪----⎝⎭⎝⎭⎝⎭-⎛⎫⎪−−−→-- ⎪ ⎪-⎝⎭由于r(A)=3 r(A )=2 r(A )≠r(A ) 故原线性方程无解6..解齐次线性方程组123412341234123424023450413140750x x x x x x x x x x x x x x x x --++=⎧⎪+--=⎪⎨--+=⎪⎪--+=⎩.解:对增广矩阵A 作初等变换,化成行最简形阶形矩阵22131411122236243212140121402345001230(,)14131400612180117500369012140105200123001230000000000000000000r r r r r r r r r r r r r r A A O +++---++----⎛⎫⎛⎫ ⎪ ⎪----⎪ ⎪==−−−→⎪ ⎪---- ⎪⎪----⎝⎭⎝⎭---⎛⎫⎪-- ⎪−−−→−−−→⎪⎪⎝⎭0⎛⎫⎪ ⎪ ⎪⎪⎝⎭系数矩阵的秩r(A)= r(A )=2<4=n,所以原方程组有无穷多组解,与原方程组同解的方程组为:134234520230x x x x x x -+=⎧⎨+-=⎩ 所以:方程组的一般解为1342345223x x x x x x =-⎧⎨=-+⎩(其中3x 、4x 为自由变量) 7.袋中有10个球,分别编有号码1到10,从中任取一球,设A={取得球的号码是偶数},B={取得球的号码是奇数},C={取得球的号码小于5},问下列运算表示什么事件:(1)A+B ;(2)AB ;(3)AC ;(4)AC ;(5)B C +;(6)A-C.解:(1)Ω;(2)φ;(3){2,4};(4){1,3,5,6,7,8,9,10};(5){6,8,10};(6){6,8,10};8.一批产品有10件,其中4件为次品,现从中任取3件,求取出的3件产品中有次品的概率。
解:样本点总数310n C =. 设A={取出的3件产品中有次品}.363105()1()16C P A P A C =-=-=.9.设A ,B ,C 为三个事件,1P(A)=P(B)=P(C)=4,()()0P AB P BC ==,1()8P AC =,求事件A ,B ,C 至少有一个发生的概率。
解:0()()0ABC ABP ABC P AB ⊂∴≤≤=所以P(ABC)=0故所求的概率为()()()()()()()()P A B C P A P B P C P AB P BC P AC P ABC =++---+=1/4+1/4+1/4-0-0-1/8+0 =5/810.一袋中有m 个白球,n 个黑球,无放回地抽取两次,每次取一球,求: (1)在第一次取到白球的条件下,第二次取到白球的条件概率; (2)在第一次取到黑球的条件下,第二次取到白球的条件概率。
解:用A 表示“第一次取到白球”,B 表示“第二次取到白球”。
(1)袋中原有m+n 个球,其中m 个白球。