2007数一真题大全及答案
- 格式:pdf
- 大小:571.53 KB
- 文档页数:12
2007年硕士研究生入学考试数学一试题及答案解析一、选择题:(本题共10小题,每小题4分,共40分. 每小题给出的四个选项中,只有一项符合题目要求,把所选项前的字母填在题后的括号内)(1) 当0x +→(A) 1-. (B) ln. (C)1. (D) 1-.[ B ]【分析】 利用已知无穷小量的等价代换公式,尽量将四个选项先转化为其等价无穷小量,再进行比较分析找出正确答案.【详解】 当0x +→时,有1(1)~-=--1~2111~.22x -= 利用排除法知应选(B).(2) 曲线1ln(1)x y e x=++,渐近线的条数为(A) 0. (B) 1. (C) 2. (D) 3. [ D ]【分析】 先找出无定义点,确定其是否为对应垂直渐近线;再考虑水平或斜渐近线。
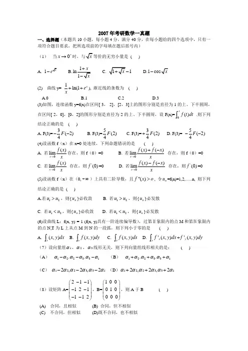
【详解】 因为01lim[ln(1)]x x e x→++=∞,所以0x =为垂直渐近线;又 1lim [ln(1)]0x x e x→-∞++=,所以y=0为水平渐近线;进一步,21ln(1)ln(1)lim lim[]lim x x x x x y e e x x x x →+∞→+∞→+∞++=+==lim11xx x e e →+∞=+, 1l i m [1]l i m [l n (1)]x x x y xe x x→+∞→+∞-⋅=++-=lim[ln(1)]x x e x →+∞+-=lim[ln (1)]lim ln(1)0x x x x x e e x e --→+∞→+∞+-=+=,于是有斜渐近线:y = x . 故应选(D).(3) 如图,连续函数y =f (x )在区间[−3,−2],[2,3]上的图形分别是直径为1的上、下半圆周,在区间[−2,0],[0,2]的图形分别是直径为2的上、下半圆周,设0()().xF x f t dt =⎰则下列结论正确的是(A) 3(3)(2)4F F =--. (B) 5(3)(2)4F F =.(C) )2(43)3(F F =-. (D))2(45)3(--=-F F .[ C ]【分析】 本题考查定积分的几何意义,应注意f (x )在不同区间段上的符号,从而搞清楚相应积分与面积的关系。
2007年考研数学一真题一、选择题(110小题,每小题4分,共40分。
下列每题给出的四个选项中,只有一个选项是符合题目要求的。
)(1)当时,与等价的无穷小量是(A)(B)(C)(D)【答案】B。
【解析】时几个不同阶的无穷小量的代数和,其阶数由其中阶数最低的项来决定。
综上所述,本题正确答案是B。
【考点】高等数学—函数、极限、连续—无穷小量的性质及无穷小量的比较(2)曲线渐近线的条数为(A)0(B)1(C)2(D)3【答案】D。
【解析】由于,则是曲线的垂直渐近线;又所以是曲线的水平渐近线;斜渐近线:由于一侧有水平渐近线,则斜渐近线只可能出现在一侧。
则曲线有斜渐近线,故该曲线有三条渐近线。
综上所述,本题正确答案是D。
【考点】高等数学—一元函数微分学—函数图形的凹凸性、拐点及渐近线(3)如图,连续函数在区间上的图形分别是直径为1的上、下半圆周,在区间上的图形分别是直径为2的下、上半圆周,设,则下列结论正确的是(A)(B)(C)(D)【答案】C。
【解析】-3-2-10123【方法一】四个选项中出现的在四个点上的函数值可根据定积分的几何意义确定则【方法二】由定积分几何意义知,排除(B)又由的图形可知的奇函数,则为偶函数,从而显然排除(A)和(D),故选(C)。
综上所述,本题正确答案是C。
【考点】高等数学—一元函数积分学—定积分的概念和基本性质,定积分的应用(4)设函数在处连续,下列命题错误..的是(A)若存在,则(B)若存在,则(C)若存在,则存在(D)若存在,则存在【答案】D。
【解析】(A):若存在,因为,则,又已知函数在处连续,所以,故,(A)正确;(B):若存在,则,则,故(B)正确。
(C)存在,知,则则存在,故(C)正确(D)存在,不能说明存在例如在处连续,存在,但是不存在,故命题(D)不正确。
综上所述,本题正确答案是D。
【考点】高等数学—一元函数微分学—导数和微分的概念(5)设函数在内具有二阶导数,且,令,则下列结论正确的是 (A)若,则必收敛(B)若,则必发散 (C)若,则必收敛(D)若,则必发散【答案】D 。
2007年考研数学一真题一、选择题(本题共10小题,每小题4分,满分40分,在每小题给的四个选项中,只有一项符合题目要求,把所选项前的字母填在题后括号内) (1) 当0x +→时,与x 等价的无穷小量是 ( ) A. 1xe- B.1ln1xx+- C. 11x +- D.1cos x -(2) 曲线y=1ln(1x e x++), 渐近线的条数为 ( ) A.0 B.1 C.2 D.3(3)如图,连续函数y=f(x)在区间[-3,-2],[2,3]上的图形分别是直径为1的上、下半圆周,在区间[-2,0],[0,2]的图形分别是直径为2的上、下半圆周,设F(x)=0()xf t dt ⎰.则下列结论正确的是 ( ) A. F(3)=3(2)4F -- B. F(3)=5(2)4F C. F(3)=3(2)4F + D. F(3)= 5(2)4F --(4)设函数f (x )在x=0处连续,下列命题错误的是 ( )A. 若0()limx f x x →存在,则f (0)=0 B. 若0()()lim x f x f x x→+- 存在,则f (0)=0C. 若0()lim x f x x → 存在,则'(0)f =0D. 若0()()lim x f x f x x→-- 存在,则'(0)f =0(5)设函数f (x )在(0, +∞)上具有二阶导数,且"()f x o >, 令n u =f(n)=1,2,…..n, 则下列结论正确的是 ( )A.若12u u >,则{n u }必收敛B. 若12u u >,则{n u }必发散C. 若12u u <,则{n u }必收敛D. 若12u u <,则{n u }必发散(6)设曲线L :f(x, y) = 1 (f(x, y)具有一阶连续偏导数),过第Ⅱ象限内的点M 和第Ⅳ象限内的点N,T 为L 上从点M 到N 的一段弧,则下列小于零的是 ( ) A.(,)rx y dx ⎰ B. (,)rf x y dy ⎰C.(,)rf x y ds ⎰D.'(,)'(,)x y rf x y dx f x y dy +⎰(7)设向量组1α,2α,3α线形无关,则下列向量组线形相关的是: ( ) (A ),,122331αααααα--- (B ) ,,122331αααααα+++(C ) 1223312,2,2αααααα--- (D )1223312,2,2αααααα+++(8)设矩阵A=211121112--⎛⎫ ⎪-- ⎪ ⎪--⎝⎭,B=100010000⎛⎫ ⎪⎪ ⎪⎝⎭,则A 于B ( )(A) 合同,且相似(B) 合同,但不相似 (C) 不合同,但相似(D)既不合同,也不相似(9)某人向同一目标独立重复射击,每次射击命中目标的概率为p ()01p <<,则此人第4次射击恰好第2次命中目标的概率为: ( ) (A )23(1)p p - (B)26(1)p p - (C) 223(1)p p -(D) 226(1)p p -(10) 设随即变量(X ,Y )服从二维正态分布,且X 与Y 不相关,()X f x ,()Y f y 分别表示X ,Y 的概率密度,则在Y =y 的条件下,X 的条件概率密度|(|)X Yf x y 为 ( )(A )()X f x(B) ()Y f y(C) ()X f x ()Y f y(D)()()X Y f x f y 二.填空题:11-16小题,每小题4分,共24分,请将答案写在答题纸指定位置上 (11)31211x e dx x⎰=_______. (12)设(,)f u v 为二元可微函数,(,)y xz f x y =,则zx∂∂=______. (13)二阶常系数非齐次线性方程2''4'32x y y y e -+=的通解为y =____________. (14)设曲面∑:||||||1x y z ++=,则(||)x y ds ∑+⎰⎰=_____________.(15)设矩阵A =0100001000010000⎛⎫ ⎪⎪ ⎪ ⎪⎝⎭,则3A 的秩为________. (16)在区间(0,1)中随机地取两个数,则这两个数之差的绝对值小于12的概率为________. 三.解答题:17~24小题,共86分.请将解答写在答题纸指定的位置上.解答应写出文字说明、证明过程或演算步骤.222222(,)2{(,)4,0}f x y x y x y D x y x y y =+-=+≤≥(17)(本题满分11分)求函数在区域上的最大值和最小值。
2007年考研数学一真题一、选择题(本题共10小题,每小题4分,满分40分,在每小题给的四个选项中,只有一项符合题目要求,把所选项前的字母填在题后括号内)(1) 当0x +→( )A. 1-B.C. 1D.1-(2) 曲线y=1ln(1x e x++), 渐近线的条数为 ( ) A.0 B.1 C.2 D.3(3)如图,连续函数y=f(x)在区间[-3,-2],[2,3]上的图形分别是直径为1的上、下半圆周,在区间[-2,0],[0,2]的图形分别是直径为2的上、下半圆周,设F(x)=0()xf t dt ⎰.则下列结论正确的是 ( )A. F(3)=3(2)4F -- B. F(3)=5(2)4F C. F(3)=3(2)4F + D. F(3)= 5(2)4F -- (4)设函数f (x )在x=0处连续,下列命题错误的是 ( )A. 若0()limx f x x →存在,则f (0)=0 B. 若0()()lim x f x f x x→+- 存在,则f (0)=0C. 若0()lim x f x x → 存在,则'(0)f =0D. 若0()()lim x f x f x x→-- 存在,则'(0)f =0(5)设函数f (x )在(0, +∞)上具有二阶导数,且"()f x o >, 令n u =f(n)=1,2,…..n, 则下列结论正确的是 ( ) A.若12u u >,则{n u }必收敛 B. 若12u u >,则{n u }必发散 C. 若12u u <,则{n u }必收敛 D. 若12u u <,则{n u }必发散(6)设曲线L :f(x, y) = 1 (f(x, y)具有一阶连续偏导数),过第Ⅱ象限内的点M 和第Ⅳ象限内的点N,T 为L 上从点M 到N 的一段弧,则下列小于零的是 ( ) A.(,)rx y dx ⎰ B. (,)rf x y dy ⎰C.(,)rf x y ds ⎰D.'(,)'(,)x y rf x y dx f x y dy +⎰(7)设向量组1α,2α,3α线形无关,则下列向量组线形相关的是: ( ) (A ),,122331αααααα--- (B ) ,,122331αααααα+++(C ) 1223312,2,2αααααα--- (D )1223312,2,2αααααα+++(8)设矩阵A=211121112--⎛⎫ ⎪-- ⎪ ⎪--⎝⎭,B=100010000⎛⎫ ⎪⎪ ⎪⎝⎭,则A 于B ( )(A) 合同,且相似(B) 合同,但不相似 (C) 不合同,但相似(D)既不合同,也不相似(9)某人向同一目标独立重复射击,每次射击命中目标的概率为p ()01p <<,则此人第4次射击恰好第2次命中目标的概率为: ( ) (A )23(1)p p - (B)26(1)p p - (C) 223(1)p p -(D) 226(1)p p -(10) 设随即变量(X ,Y )服从二维正态分布,且X 与Y 不相关,()X f x ,()Y f y 分别表示X ,Y 的概率密度,则在Y =y 的条件下,X 的条件概率密度|(|)X Yf x y 为 ( )(A )()X f x(B) ()Y f y(C) ()X f x ()Y f y(D)()()X Y f x f y 二.填空题:11-16小题,每小题4分,共24分,请将答案写在答题纸指定位置上 (11)31211x e dx x⎰=_______. (12)设(,)f u v 为二元可微函数,(,)y xz f x y =,则zx∂∂=______. (13)二阶常系数非齐次线性方程2''4'32x y y y e -+=的通解为y =____________. (14)设曲面∑:||||||1x y z ++=,则(||)x y ds ∑+⎰⎰=_____________.(15)设矩阵A =0100001000010000⎛⎫ ⎪ ⎪ ⎪ ⎪⎝⎭,则3A 的秩为________. (16)在区间(0,1)中随机地取两个数,则这两个数之差的绝对值小于12的概率为________. 三.解答题:17~24小题,共86分.请将解答写在答题纸指定的位置上.解答应写出文字说明、证明过程或演算步骤.222222(,)2{(,)4,0}f x y x y x y D x y x y y =+-=+≤≥(17)(本题满分11分)求函数在区域上的最大值和最小值。
2007 年全年硕士研究生入学统一考试数学一试题一、选择题: 1~ 10 小题 , 每小题 4 分, 共 40 分, 下列每题给出的四个选项中 , 只有一个选项符合题目要求 , 请将所选项前的字母填在答题纸 指定位置上....(1) 当 x 0 时 , 与 x 等价的无穷小量是 ( )(A)1 e x.(B)ln1x . (C)1x1. (D)1 cos x .1x答案: (B) .(2) 曲线 y1 ln(1 e x ) 渐近线的条数为 ( )0 x1.23(A) . (B)(C).(D).答案: (D) .(3) 如图 , 连续函数 yf ( x) 在区间 3, 2 , 2,3 上的图形分别是直径为1 的上、下半圆周 , 在区2,0 ,0,2 上的图形分别是直径为xf (t)dt , 则下列结论正确间2 的上、下半圆周 , 设 F ( x)的是( )(A) F (3)3 F( 2).(B)F (3)5F(2) .44(C) F( 3)3F(2).(D)F( 3)5F ( 2) .44答案: (C) .(4) 设函数 f ( x) 在 x0 处连续 , 则下列命题错误 的是 ( )..(A) 若 limx 0(C) 若 limx 0答案: (D) .(5) 设函数 f ( x) 确的是() f ( x) 存在 , 则 f (0) 0 .(B)若 lim f ( x)f ( x)存在 , 则 f (0)0 .xx 0xf ( x)存在 , 则 f (0) 存在 .(D)若 lim f (x)f ( x)存在 , 则 f (0) 存在 .xx 0x在 (0, ) 上具有二阶导数 , 且 f ( x)0 , 令 u n f (n) (n 1,2, ) , 则下列结论正(A)若 u 1 u 2 , 则 u n 必收敛 .(B) 若 u 1 u 2 , 则 u n 必发散 . (C) 若 uu , 则 u 必收敛 .(D)若 uu , 则 u必发散 .12n12n答案: (D) .(6) 设曲线 L : f ( x, y)1( f ( x, y) 具有一阶连续偏导数 ), 过第Ⅱ象限内的点 M 和第Ⅳ象限内的点 N , 为 L 上从点 M 到点 N 的一段弧 , 则下列积分小于零 的是 ( )...(A)f (x, y)dx . (B)f ( x, y)dy .(C)f (x, y)ds .(D)f x (x, y)dx f y (x, y) dy .答案: (B) .(7) 设向量组1,2,3线性无关 , 则下列向量组线性相关 的是( ).... (A)(C)12 ,23,31 . (B) 12 ,23 ,31 .12 2 ,223 ,32 1 .(D)12 2 ,223 ,32 1 .答案: (A) .21 1 1 0 0(8) 设矩阵 A12 1 , B 0 1 0 ,则 A 与B ( ) 1120 0 0(A) 合同, 且相似 .(C) 不合同 , 但相似 . (B) 合同 , 但不相似 . (D)既不合同 , 也不相似 .答案: (B) .(9) 某人向同一目标独立重复射击 , 每次射击命中目标的概率为p(0p 1) , 则此人第 4 次射击恰好第 2 次命中目标的概率为( )(A)3 p(1 p) 2 . (B)6 p(1 p)2 .(C)3p 2 (1p)2 .(D)6p 2 (1 p)2 .答案: (C) .(10) 设随机变量 ( X ,Y) 服从二维正态分布 ,且 X 与Y 不相关 , f X ( x), f Y ( y) 分别表示 X , Y 的概率密度,则在Yy 条件下 , X 的条件概率密度 f X Y ( x y) 为 ( )(A)f X ( x) . (B)f Y ( y) .(C)f X ( x) f Y ( y) . (D)f X( x).f Y ( y)答案: (A) .二、填空题: 11~ 16 小题 , 每小题 4 分 , 共 24 分 , 请将答案写在答题纸 指定位置上 .... 21 1 .(11)x 3e xdx1答案: e .2(12)设 f (u, v) 为二元可微函数,z f ( x y , y x ), 则z.z x答案:f1 ( x y , y x ) yx y1f2 (x y , y x ) y x ln yx.(13)二阶常系数非齐次线性微分方程y4y3y2e2x的通解为y.答案:非齐次线性微分方程的通解为y C1e x C2e3 x2e2 x.(14)设曲面: x y z1,则( x y )dS.答案:( x y )dS1443. y dS3330 1 00(15)设距阵 A00 1 0,则A3的秩为.000 1000 0答案: r A3 1.(16)在区间 (0,1) 中随机地取两个数,则这两数之差的绝对值小于1的概率为. 23答案:.三、解答题:17~ 24 小题 , 共 86 分 . 请将解答写在答题纸指定的位置上. 解答应写出文字说明、...证明过程或演算步骤.(17)( 本题满分 11 分)求函数 f (x, y) x22y2x2 y2, 在区域 D (x, y) x2y24, y0 上的最大值和最小值.答案:函数在 D 上的最大值为 f (0, 2) 8 ,最小值为 f (0,0)0 .(18) (本题满分10分)计算曲面积分 I xzdydz 2zydzdx 3xydxdy, 其中为曲面 z 1 x2 y2(0 z 1)的上侧.4答案:I.(19)( 本题满分 11 分)设函数 f ( x) , g (x) 在a, b 上连续,在(a, b)内二阶可导且存在相等的最大值, 又f ( a)=g (a) , f (b) = g(b) ,证明:存在(a,b), 使得 f ''( )g ''( ).证明:设(x) f (x) g( x) ,由题设 f ( x), g ( x) 存在相等的最大值, 设x1(a,b) ,x2(a, b)使 f ( x1 ) max f ( x) g( x2 ) max g( x) .[ a .b][ a.b ]若x1x2,即f ( x)与g( x)在同一点取得最大值, 此时 , 取x1,有f ( )g ( ) ;若 x1x2,不妨设 x1x2,则( x1 ) f (x1) g (x1) 0 ,(x2 ) f (x2 ) g( x2 ) 0 ,且( x) 在a,b 上连续,则由零点定理得存在(a, b), 使得( ) 0 ,即 f ( ) g( ) ;由题设 f (a) = g (a) , f (b) = g (b) ,则(a) 0(b) ,结合( ) 0 ,且(x) 在a, b 上连续 , 在(a, b)内二阶可导 , 应用两次使用罗尔定理知:存在1(a, ), 2 ( , b),使得( 1)=0, ( 2)0.在[ 1,2 ] 再由罗尔定理,存在( 1, 2),使( )0 .即 f ( ) g ( ) .(20)( 本题满分 10 分)设幂级数a n x n在 (,)内收敛,其和函数 y(x) 满足 y 2xy 4y 0, y(0) 0, y (0) 1.n 0(I) 证明a n22a n , n1,2, .n1(II)求 y( x) 的表达式.答案: (I)证明:对 y ax n n , 求一阶和二阶导数, 得y na n x n 1, y n(n 1)a n x n 2 ,n 0n 1n 2代入 y2xy 4 y 0 ,得n( n 1)a n x n 22x na n x n 1 4 a n x n0 .n 2n 1n 0即(n 1)(n 2) a n 2 x n2na n x n4a n x n0 .n 0n 1n 0于是2a 2 4a 0 00, n 1,2,,从而an 22a n , n 1,2, .1)a2an 1 (nn 2 n(II) yxe x 2.(21) ( 本题满分 11 分 )x 1 x 2 x 3 0设线性方程组x 1 2x 2 ax 30 (1) 与 方程 x 12x 2 x 3a 1 (2) 有公共解 , 求 a 得x 14x 2 a 2 x 3 0值及所有公共解 .1 1 1 0答案:当 a 1 时, ( A b)0 1 0 0 , 所以方程组的通解为 k (1,0, 1)T , k 为任意常数 , 此即为0 0 0 00 0 0方程组 (1) 与 (2) 的公共解 .1 11 0当 a2 时 , ( A b)1 1 0 , 此时方程组有唯一解(0,1, 1)T , 此即为方程组 (1) 与1 10 00 0(2) 的公共解 .(22) ( 本题满分11 分)设 3 阶实对称矩阵A 的特征值 1 1, 2 2, 3 2, 1 (1, 1,1)T是 A 的属于1 的一个特征向量 .记 BA 5 4 A 3 E ,其中 E 为3 阶单位矩阵 .(I)验证 1 是矩阵 B 的特征向量 , 并求 B 的全部特征值与特征向量; (II)求矩阵 B .答案:(I) 由 A 11 , 可得 A k1A k 1 ( A 1)A k 1 11 , k 是正整数 , 则B 1 (A 5 4A 3 E) 1 A 5 14A 31E 114112 1 ,于是 1 是矩阵 B 的属于特征值12特征向量 .所以 B 的所有的特征向量为:对应于12 的全体特征向量为 k 11 ,其中k 1 是非零任意常1k , k200011 (II)BP010P 110 1 .001110 (23) (本题满分11 分 )设二维随机变量( X ,Y) 的概率密度为 f ( x, y)2x y,0 x 1,0 y 1, 0,其他 ,(I)求PX 2Y;(II)求 Z X Y 的概率密度f Z(z).答案:111 5 x7(I)P X2Y dx xx y)dy2 ) dx.2 (2( x008242z z2 ,0z1,(II) f Z (z)z24z4,1z2,0,其他 .(24) (本题满分11 分)1,0 x,2设总体 X 的概率密度为 f (x; )1,x 1, 其中参数 (01) 未2(1)0,其他知,X1, X 2 ,... X n是来自总体X的简单随机样本,X是样本均值.(I)求参数的矩估计量;(II)判断 4X 22的无偏估计量 , 并说明理由 .是否为答案:(I)12X;222是否成立即可 .(II) 只须验证E(4 X )E(4X ) 4E(X ) 4(DX (EX )2) 4( 1DX (EX )2) ,22nE(X )1 1 , E(X 2)1(12 2),4 2 6D(X) E(X 2) (EX )25 12 1 2 ,代入得 E(4 X)5 3n 3n 14812 ,所以4X 不是2的无偏估计量 .3n 1 2 22212n 3n3n。
2007年硕士研究生入学考试数学一试题及答案解析一、选择题:(本题共10小题,每小题4分,共40分. 每小题给出的四个选项中,只有一项符合题目要求,把所选项前的字母填在题后的括号内)(1) 当0x +→等价的无穷小量是(A) 1- (B) ln(C) 1. (D) 1- [ B ]【分析】 利用已知无穷小量的等价代换公式,尽量将四个选项先转化为其等价无穷小量,再进行比较分析找出正确答案.【详解】 当0x +→时,有1(1)~-=--1~;2111~.22x -= 利用排除法知应选(B). (2) 曲线1ln(1)x y e x=++,渐近线的条数为 (A) 0. (B) 1. (C) 2. (D) 3. [ D ]【分析】 先找出无定义点,确定其是否为对应垂直渐近线;再考虑水平或斜渐近线。
【详解】 因为01lim[ln(1)]xx e x→++=∞,所以0x =为垂直渐近线;又 1lim[ln(1)]0xx e x→-∞++=,所以y=0为水平渐近线;进一步,21ln(1)ln(1)lim lim []lim x x x x x y e e x x x x →+∞→+∞→+∞++=+==lim 11xx x e e→+∞=+, 1lim[1]lim[ln(1)]x x x y x e x x→+∞→+∞-⋅=++-=lim[ln(1)]xx e x →+∞+-=lim[ln (1)]lim ln(1)0x x xx x e e x e --→+∞→+∞+-=+=,于是有斜渐近线:y = x . 故应选(D).(3) 如图,连续函数y =f (x )在区间[−3,−2],[2,3]上的图形分别是直径为1的上、下半圆周,在区间[−2,0],[0,2]的图形分别是直径为2的上、下半圆周,设0()().xF x f t dt =⎰则下列结论正确的是(A) 3(3)(2)4F F =--. (B) 5(3)(2)4F F =. (C) )2(43)3(F F =-. (D) )2(45)3(--=-F F . [ C ]【分析】 本题考查定积分的几何意义,应注意f (x )在不同区间段上的符号,从而搞清楚相应积分与面积的关系。
2007年硕士研究生入学考试数学一试题及答案解析一、选择题:(本题共10小题,每小题4分,共40分. 每小题给出的四个选项中,只有一项符合题目要求,把所选项前的字母填在题后的括号内)(1) 当0x +→(A) 1- (B) ln(C) 1. (D) 1- [ B ]【分析】 利用已知无穷小量的等价代换公式,尽量将四个选项先转化为其等价无穷小量,再进行比较分析找出正确答案.【详解】 当0x +→时,有1(1)~-=--1~;2111~.22x -= 利用排除法知应选(B). (2) 曲线1ln(1)x y e x=++,渐近线的条数为 (A) 0. (B) 1. (C) 2. (D) 3. [ D ] 【分析】 先找出无定义点,确定其是否为对应垂直渐近线;再考虑水平或斜渐近线。
【详解】 因为01lim[ln(1)]xx e x→++=∞,所以0x =为垂直渐近线;又 1lim [ln(1)]0xx e x→-∞++=,所以y=0为水平渐近线;进一步,21ln(1)ln(1)lim lim[]lim x x x x x y e e x x x x→+∞→+∞→+∞++=+==lim11xx x e e →+∞=+, 1lim [1]lim [ln(1)]x x x y x e x x→+∞→+∞-⋅=++-=lim[ln(1)]xx e x →+∞+-=lim [ln (1)]lim ln(1)0x xxx x e e x e --→+∞→+∞+-=+=,于是有斜渐近线:y = x . 故应选(D).(3) 如图,连续函数y =f (x )在区间[−3,−2],[2,3]上的图形分别是直径为1的上、下半圆周,在区间[−2,0],[0,2]的图形分别是直径为2的上、下半圆周,设0()().xF x f t dt =⎰则下列结论正确的是(A) 3(3)(2)4F F =--. (B) 5(3)(2)4F F =. (C) )2(43)3(F F =-. (D) )2(45)3(--=-F F . [ C ]【分析】 本题考查定积分的几何意义,应注意f (x )在不同区间段上的符号,从而搞清楚相应积分与面积的关系。
2007年硕士研究生入学考试数学一试题及答案解析一、选择题:(本题共10小题,每小题4分,共40分. 每小题给出的四个选项中,只有一项符合题目要求,把所选项前的字母填在题后的括号内)(1) 当0x +→等价的无穷小量是(A) 1- (B) ln(C) 1. (D) 1- [ B ]【分析】 利用已知无穷小量的等价代换公式,尽量将四个选项先转化为其等价无穷小量,再进行比较分析找出正确答案.【详解】 当0x +→时,有1(1)~-=--1~;2111~.22x -= 利用排除法知应选(B). (2) 曲线1ln(1)x y e x=++,渐近线的条数为 (A) 0. (B) 1. (C) 2. (D) 3. [ D ]【分析】 先找出无定义点,确定其是否为对应垂直渐近线;再考虑水平或斜渐近线。
【详解】 因为01lim[ln(1)]xx e x→++=∞,所以0x =为垂直渐近线;又 1lim[ln(1)]0xx e x→-∞++=,所以y=0为水平渐近线;进一步,21ln(1)ln(1)lim lim []lim x x x x x y e e x x x x →+∞→+∞→+∞++=+==lim 11xx x e e→+∞=+, 1lim[1]lim[ln(1)]x x x y x e x x→+∞→+∞-⋅=++-=lim[ln(1)]xx e x →+∞+-=lim[ln (1)]lim ln(1)0x x xx x e e x e --→+∞→+∞+-=+=,于是有斜渐近线:y = x . 故应选(D).(3) 如图,连续函数y =f (x )在区间[−3,−2],[2,3]上的图形分别是直径为1的上、下半圆周,在区间[−2,0],[0,2]的图形分别是直径为2的上、下半圆周,设0()().xF x f t dt =⎰则下列结论正确的是(A) 3(3)(2)4F F =--. (B) 5(3)(2)4F F =. (C) )2(43)3(F F =-. (D) )2(45)3(--=-F F . [ C ]【分析】 本题考查定积分的几何意义,应注意f (x )在不同区间段上的符号,从而搞清楚相应积分与面积的关系。
2007年考研数学一真题一、选择题(本题共10小题,每小题4分,满分40分,在每小题给的四个选项中,只有一项符合题目要求,把所选项前的字母填在题后括号内) (1) 当0x +→( )A. 1-B.C. 1D.1-(2) 曲线y=1ln(1x e x++), 渐近线的条数为 ( ) A.0 B.1 C.2 D.3(3)如图,连续函数y=f(x)在区间[-3,-2],[2,3]上的图形分别是直径为1的上、下半圆周,在区间[-2,0],[0,2]的图形分别是直径为2的上、下半圆周,设F(x)=0()xf t dt ⎰.则下列结论正确的是 ( ) A. F(3)=3(2)4F -- B. F(3)=5(2)4F C. F(3)=3(2)4F + D. F(3)= 5(2)4F -- (4)设函数f (x )在x=0处连续,下列命题错误的是 ( )A. 若0()limx f x x →存在,则f (0)=0 B. 若0()()lim x f x f x x→+- 存在,则f (0)=0C. 若0()lim x f x x → 存在,则'(0)f =0D. 若0()()lim x f x f x x→-- 存在,则'(0)f =0(5)设函数f (x )在(0, +∞)上具有二阶导数,且"()f x o >, 令n u =f(n)=1,2,…..n, 则下列结论正确的是 ( )A.若12u u >,则{n u }必收敛B. 若12u u >,则{n u }必发散C. 若12u u <,则{n u }必收敛D. 若12u u <,则{n u }必发散(6)设曲线L :f(x, y) = 1 (f(x, y)具有一阶连续偏导数),过第Ⅱ象限内的点M 和第Ⅳ象限内的点N,T 为L 上从点M 到N 的一段弧,则下列小于零的是 ( ) A.(,)rx y dx ⎰ B. (,)rf x y dy ⎰C.(,)rf x y ds ⎰D.'(,)'(,)x y rf x y dx f x y dy +⎰(7)设向量组1α,2α,3α线形无关,则下列向量组线形相关的是: ( ) (A ),,122331αααααα--- (B ) ,,122331αααααα+++(C ) 1223312,2,2αααααα--- (D )1223312,2,2αααααα+++(8)设矩阵A=211121112--⎛⎫ ⎪-- ⎪ ⎪--⎝⎭,B=100010000⎛⎫ ⎪⎪ ⎪⎝⎭,则A 于B ( )(A) 合同,且相似(B) 合同,但不相似 (C) 不合同,但相似(D)既不合同,也不相似(9)某人向同一目标独立重复射击,每次射击命中目标的概率为p ()01p <<,则此人第4次射击恰好第2次命中目标的概率为: ( ) (A )23(1)p p - (B)26(1)p p - (C) 223(1)p p -(D) 226(1)p p -(10) 设随即变量(X ,Y )服从二维正态分布,且X 与Y 不相关,()X f x ,()Y f y 分别表示X ,Y 的概率密度,则在Y =y 的条件下,X 的条件概率密度|(|)X Yf x y 为 ( )(A )()X f x(B) ()Y f y(C) ()X f x ()Y f y(D)()()X Y f x f y 二.填空题:11-16小题,每小题4分,共24分,请将答案写在答题纸指定位置上 (11)31211x e dx x⎰=_______. (12)设(,)f u v 为二元可微函数,(,)y xz f x y =,则zx∂∂=______. (13)二阶常系数非齐次线性方程2''4'32x y y y e -+=的通解为y =____________. (14)设曲面∑:||||||1x y z ++=,则(||)x y ds ∑+⎰⎰=_____________.(15)设矩阵A =0100001000010000⎛⎫ ⎪⎪ ⎪ ⎪⎝⎭,则3A 的秩为________. (16)在区间(0,1)中随机地取两个数,则这两个数之差的绝对值小于12的概率为________. 三.解答题:17~24小题,共86分.请将解答写在答题纸指定的位置上.解答应写出文字说明、证明过程或演算步骤.222222(,)2{(,)4,0}f x y x y x y D x y x y y =+-=+≤≥(17)(本题满分11分)求函数在区域上的最大值和最小值。
2007年考研数学一真题40分,在每小题给的四个选项中,只有一项符合题目要A. 1 e XB.ln 1 x1X[0 , 2]的图形分别是直径为 2的上、下半圆周,设F(x)= 0 f(t)dt .则下列结论正确的是且f"(x) o ,令u n =f( n)=1,2,…..n,则下列结论正确的是 ()A.若U 1 U 2,则{U n }必收敛B.若U 1 U 2,则{U n }必发散C.若U 1U 2,则{ U n }必收敛 D.若U 1U 2,则{ U n }必发散⑹设曲线L : f(x, y) = 1 (f(x, y)具有一阶连续偏导数),过第H 象限内的点 M 和第W 象限内的点 N,T 为L 上 从点M 到N 的一段弧,则下列小于零的是()A. r (x, y)dxB. r f (x,y)dyC. r f(x,y)dsD.」'x (x,y)dx f 'y (x,y)dy(1)当 x 0时,与-X 等价的无穷小量是⑵曲线y=1ln(1e x ),渐近线的条数为xA.0 (3)如图,连续函数y=f(x)在区间[-3 , -2], [2 , 3]上的图形分别是直径为1的上、下半圆周,在区间[-2 , 0],B.1C.2D.3 (A) 12,23,31(B )1 2,2 3,31(C )12 2, 22 3,3 2 1( D )12 2, 2 2 3,3 212 1 1 1 0 0(8) 设矩阵 A= 1 2 1 ,B= 0 1 0 ,则 A 于 B()1 1 20 0 0(A) 合同,且相似(B)合同,但不相似(C) 不合同,但相似(D)既不合同,也不相似(7)设向量组 1 , 2 , 3线形无关,则下列向量组线形相关的是:()(9 )某人向同一目标独立重复射击,每次射击命中目标的概率为一、选择题(本题共10小题,每小题4分,满分 求,把所选项前的字母填在题后括号内)D. 1 COS i X3 _ .A. F(3)= F( 2) 4⑷设函数f (x )在x=0处连续,下列命题错误的是A.若lim 丄凶存在,则f (0) =0Xx C.若 lim f (x)存在,则 f (0) =0Xx5 3 B. F(3)= - F (2) C. F(3)= -F(2) 4 4()B.若lim f(x) f( x) Xxf (x) f ( x)D.若00「」D. F(3)=存在,则 存在,则 扣(2)4f (0) =0 f (0) =0⑸设函数f (x)在(0, +)上具有二阶导数, p 0 p 1,则此人第4次射击恰好第2 2(A) 3p(1 p) (B)6p(1 p) 2 2 2 2(C) 3p (1 p) (D) 6p (1 p)(10)设随即变量(X ,丫)服从二维正态分布,且 X 与Y 不相关,f x (x) , f Y (y)分别表示X , Y 的概率密 度,则在Y = y 的条件下,X 的条件概率密度f x IY (X | y)为填空题:11 - 16小题,每小题4分,共24分,请将答案写在答题纸指定位置上(12) ______________________________________________________ 设 f (u, v)为二元可微函数,z f (x y , y x ),则一Z = ____________________________________________ .x(13) 二阶常系数非齐次线性方程 y 4y' 3y 2e 2x 的通解为y = __________________(14)设曲面:|x| | y | |z| 1,贝V(x | y|)ds = ____________0 10 0 0 0 10 3(15) 设矩阵A =,则A 的秩为0 0 0 1 ---------------------------------- 0 0 0 01(16)在区间(0, 1)中随机地取两个数,则这两个数之差的绝对值小于一的概率为2三•解答题:17~24小题,共86分.请将解答写在答题纸指定的位置上 •解答应写出文字说明、证明过程或演算步骤•(17) (本题满分 11 分)求函数 f(x, y) x 2 2y 2 x 2y 2在区域 D {(x, y) x 2 y 24,y 0}上的最大值和最小值。
2007年全国硕士研究生入学统一考试数学一试题一、 选择题:110:小题,每小题4分,共40分,下列每题给出的四个选项中,只有一个选项符合题目要求的,请将所选项前的字母填在答题纸指定位置上.(1) 当0x +→)A.1-B1C.1D -【答案】(B)【考点】等价无穷小 【难易度】★★【详解】解析:方法1:排斥法:由几个常见的等价无穷小,当0x +→0→,所以1(1-::211,2-:可以排除A 、C 、D ,所以选(B ). 方法2:==ln 1⎛⎫+ ⎝ 当0x +→时,11→0→,又因为0x →时,()ln 1x x +:,所以)ln 1~~1~x ⎛= ⎝B ).方法3:0lim x +→00lim x x →→'洛1lim lim 1x x ++→→==1A x=+(()111A B x x ++=- 对应系数相等得:1A B = =,所以原式00lim lim 1x x x ++→→⎡⎤==+⎢+⎣0lim lim 011x x x ++→→=+=++1=,选(B ).(2) 曲线1ln(1)x y e x=++渐近线的条数为( ) .A 0 .B 1 .C 2 .D 3【答案】( D)【考点】函数图形的渐近线 【难易度】★★★【详解】解析:001lim lim ln(1)x x x y e x →→⎛⎫=++⎪⎝⎭=∞,所以0x =是一条铅直渐近线;1lim lim ln(1)x x x y e x →-∞→-∞⎛⎫=++ ⎪⎝⎭1lim lim ln(1)000x x x e x →-∞→-∞=++=+=,所以0y =是沿x →-∞方向的一条水平渐近线;令21ln(1)1ln(1)lim lim lim x x x x x e y e x a x x x x →+∞→+∞→+∞++⎛⎫+===+ ⎪⎝⎭21ln(1)lim lim x x x e x x →+∞→+∞+=+ln(1)0lim x x e x →+∞+=+1lim 11xx x e e →+∞+ =洛必达法则令()1lim lim ln(1)x x x b y a x e x x →+∞→+∞⎛⎫=-⋅=++- ⎪⎝⎭()()1limlim ln(1)0lim ln(1)x x x x x e x e x x →+∞→+∞→+∞=++-=++- ()1ln lim ln(1)ln lim ln()xxxxx x x e x e e e e→+∞→+∞+ = +-=lim ln(1)ln10x x e -→+∞=+==所以y ax b x =+=是曲线的斜渐近线,所以共有3条,选择(D )(3) 如下图,连续函数()y f x =在区间[][]3,2,2,3--上的图形分别是直径为1的上、下半圆周,在区间[][]2,0,0,2-上图形分别是直径为2的上、下半圆周,设0()(),xF x f t dt =⎰则下列结论正确的是( ).A (3)F 3(2)4F =-- .B (3)F 5(2)4F = .C (3)F - 3(2)4F = .D (3)F -5(2)4F =--【答案】( C)【考点】定积分的概念、定积分的基本性质,积分上限的函数及其导数 【难易度】★★★【详解】解析:由题给条件知,()f x 为x 的奇函数,则()()f x f x -=-,由0()(),xF x f t dt =⎰知()()()()()()()()xx xF x f t dt t u f u d u f u f u f u du F x --= =- -- -=- =⎰⎰⎰,故()F x 为x 的偶函数,所以(3)(3).F F -=而2(2)()F f t dt =⎰表示半径1R =的半圆的面积,所以22(2)()22R F f t dt ππ===⎰,32302(3)()()()F f t dt f t dt f t dt ==+⎰⎰⎰,其中32()f t dt ⎰表示半径12r =的半圆的面积的负值,所以22321()2228r f t dt πππ⎛⎫=-=-⋅=- ⎪⎝⎭⎰所以3232333(3)()()()(2)288424F f t dt f t dt f t dt F ππππ==+=-==⋅=⎰⎰⎰ 所以3(3)(3)(2)4F F F -==,选择( C)(4) 设函数()f x 在0x =处连续,则下列命题错误的是( ).A 若0()limx f x x →存在,则(0)0f = .B 若0()()lim x f x f x x →+-存在,则(0)0f =.C 若0()lim x f x x →存在,则(0)f '存在 .D 若0()()lim x f x f x x→--存在,则(0)f '存在【答案】( D)【考点】极限的四则运算,函数连续的概念,导数的概念【难易度】★★【详解】解析:方法1:论证法,证明..A B C 都正确,从而只有.D 不正确。
2007年硕士研究生入学考试数学一试题及答案解析一、选择题:(本题共10小题,每小题4分,共40分. 每小题给出的四个选项中,只有一项符合题目要求,把所选项前的字母填在题后的括号内)(2) 曲线1ln(1)x y e x=++,渐近线的条数为_______ 【详解】 因为01lim[ln(1)]xx e x→++=∞,所以0x =为垂直渐近线;又 1lim[ln(1)]0xx e x→-∞++=,所以y=0为水平渐近线;进一步,21ln(1)ln(1)lim lim []lim x x x x x y e e x x x x →+∞→+∞→+∞++=+==lim 11xx x e e→+∞=+, 1lim[1]lim[ln(1)]x x x y x e x x→+∞→+∞-⋅=++-=lim[ln(1)]xx e x →+∞+-=lim[ln (1)]lim ln(1)0x x xx x e e x e --→+∞→+∞+-=+=,于是有斜渐近线:y = x . 故3条(8) 设矩阵⎪⎪⎪⎭⎫ ⎝⎛------=211121112A , ⎪⎪⎪⎭⎫ ⎝⎛=000010001B , 则A 与B_______(填是否合同,相似)【详解】 由0||=-A E λ 得A 的特征值为0, 3, 3, 而B 的特征值为0, 1, 1,从而A 与B 不相似.又r (A )=r (B )=2, 且A 、B 有相同的正惯性指数, 因此A 与B 合同.二、填空题:(11-16小题,每小题4分,共24分. 把答案填在题中横线上)(11)12311x e dx x⎰=_______ 【分析】 先作变量代换,再分部积分。
【详解】111213213211211()t xt txe dx t e dt te dt x t ==-=⎰⎰⎰ =111121112221.2tt t tdetee dt e =-=⎰⎰(12) 设f (u ,v )为二元可微函数,(,)yxz f x y =,则zx∂∂=_______ 【详解】 利用复合函数求偏导公式,有z x∂∂=112ln .y xf yx f y y -''⋅+⋅ (13) 二阶常系数非齐次线性微分方程2432xy y y e'''-+=的通解为_______ 其中21,C C 为任意常数.【详解】 特征方程为2430λλ-+=,解得121, 3.λλ== 可见对应齐次线性微分方程430y y y '''-+=的通解为 312.x xy C e C e =+设非齐次线性微分方程2432xy y y e'''-+=的特解为*2xy ke=,代入非齐次方程可得k= −2. 故通解为32122.x x xy C e C e e =+-(14) 设曲面:1x y z ∑++=,则dS y x ⎰⎰∑+|)|(= _______【详解】 由于曲面∑关于平面x =0对称,因此dS x ⎰⎰∑=0. 又曲面:1x y z ∑++=具有轮换对称性,于是dS y x ⎰⎰∑+|)|(=dS y ⎰⎰∑||=dS x ⎰⎰∑||=dS z ⎰⎰∑||=dS z y x ⎰⎰∑++|)||||(|31=dS ⎰⎰∑3123831⨯⨯==43.3 (15) 设矩阵⎪⎪⎪⎪⎪⎭⎫ ⎝⎛=0000100001000010A , 则3A 的秩为_______. 【详解】 依矩阵乘法直接计算得 ⎪⎪⎪⎪⎪⎭⎫ ⎝⎛=00000000000010003A , 故r (3A )=1. 三、解答题:(17-24小题,共86分. ) (17) (本题满分11分)求函数2222(,)2f x y x y x y =+-在区域22{(,)4,0}D x y x y y =+≤≥上的最大值和最小值。
2007年数学一一、选择题:(本题共10小题,每小题4分,共40分. 每小题给出的四个选项中,只有一项符合题目要求,把所选项前的字母填在题后的括号内)(1) 当0x +→时,等价的无穷小量是(A ) 1- (B )(C) 1. (D) 1- [ B ] 【分析】 利用已知无穷小量的等价代换公式,尽量将四个选项先转化为其等价无穷小量,再进行比较分析找出正确答案.【详解】 当0x +→时,有1(1)~-=--1~;2111~.22x -= 利用排除法知应选(B). (2) 曲线1ln(1)x y e x=++,渐近线的条数为 (A ) 0. (B ) 1. (C ) 2. (D ) 3. [ D ]【分析】 先找出无定义点,确定其是否为对应垂直渐近线;再考虑水平或斜渐近线。
【详解】 因为01lim[ln(1)]xx e x →++=∞,所以0x =为垂直渐近线; 又 1lim[ln(1)]0xx e x →-∞++=,所以y=0为水平渐近线; 进一步,21ln(1)ln(1)lim lim []lim x x x x x y e e x x x x →+∞→+∞→+∞++=+==lim 11xx x e e→+∞=+, 1lim[1]lim[ln(1)]x x x y x e x x →+∞→+∞-⋅=++-=lim[ln(1)]xx e x →+∞+- =lim[ln (1)]lim ln(1)0x x xx x e e x e --→+∞→+∞+-=+=, 于是有斜渐近线:y = x. 故应选(D).(3) 如图,连续函数y =f (x )在区间[−3,−2],[2,3]上的图形分别是直径为1的上、下半圆周,在区间[−2,0],[0,2]的图形分别是直径为2的上、下半圆周,设0()().x F x f t dt =⎰则下列结论正确的是 (A) 3(3)(2)4F F =--. (B) 5(3)(2)4F F =. (C ) )2(43)3(F F =-. (D) )2(45)3(--=-F F . [ C ] 【分析】 本题考查定积分的几何意义,应注意f(x)在不同区间段上的符号,从而搞清楚相应积分与面积的关系。