直线加速器物理-Part2
- 格式:ppt
- 大小:9.49 MB
- 文档页数:53
2010年医用设备使用人员业务能力考评直线加速器(LA)物理师专业考试大纲(含伽玛刀物理内容)(2009年版)中华人民共和国卫生部人才交流服务中心说明为更好地贯彻落实《大型医用设备管理办法》(卫规财发[2004] 474号文)精神,中华医学会和卫生部人才交流服务中心自2004年开始分别组织对全国医用设备使用人员进行培训和专业技术知识统一考试。
为使应试者了解考试范围,卫生部人才交流服务中心组织有关专家编写了《全国医用设备资格考试大纲》,作为应试者备考的依据。
考试大纲中用黑线标出的为重点内容,命题以考试大纲的重点内容为主。
全国医用设备资格考试直线加速器(LA)物理师专业考试大纲(含伽玛刀物理内容)第一章放射物理基础1.1 介绍基本物理常数重要推导物理常数物理量和单位四种基本作用力基本粒子非电离辐射和电离辐射光子致电离辐射质能关系辐射量和单位1.2 原子与原子核结构原子结构组成和特性卢瑟福原子模型玻尔氢原子模型及四个假定玻尔氢原子模型能级结构多电子原子壳层模型核结构核反应放射性放射性活度放射性衰变衰变常数半衰期比放射性活度平均寿命递次衰变核素活化放射性衰变方式及特点1.3 电子相互作用电子与轨道电子相互作用电子与原子核相互作用阻止本领总质量能量阻止本领质量阻止本领质量碰撞阻止本领质量辐射阻止本领限制性阻止本领质量散射本领传能线密度1.4 光子相互作用间接电离光子辐射光子束衰减性质半价层十分之一价层线性衰减系数质量衰减系数原子和电子衰减系数能量转移系数能量吸收系数光子相互作用类型光电效应相干(瑞利)散射康普顿效应对效应光致核反应各种效应的相对优势第二章剂量学原则,量和单位2.2 光子注量和能量注量粒子注量能量注量粒子注量率能量注量率粒子注量谱能量注量谱;2.3 比释动能比释动能2.4 CEMACema2.5 吸收剂量吸收剂量2.6 阻止本领阻止本领阻止本领比线性阻止本领质量阻止本领非限制性质量碰撞阻止本领限制性质量碰撞阻止本领软性碰撞硬性碰撞2.7 不同剂量学量间的关系能量注量和比释动能的关系碰撞比释动能辐射比释动能总比释动能注量和吸收剂量的关系比释动能和吸收剂量的关系碰撞比释动能和照射量的关系2.8 空腔理论Bragg-Gray 空腔理论 Spencer-Attix 空腔理论 Burlin 空腔理论第三章辐射剂量计3.1 介绍辐射剂量计及剂量测量3.2 剂量计的特点准确度精确度不确定度测量误差A类标准不确定度B类标准不确定度、合成不确定度展伸不确定度剂量响应线性剂量率的依赖性能量依赖性方向依赖性空间分辨率和物理尺寸数据读出的方便性使用的方便性3.3 电离室剂量测定系统电离室辐射束校准电离室的基本结构及特性静电计圆柱形电离室平行板电离室近距离治疗电离室(井形电离室或凹形电离室)外推电离室3.4 胶片剂量计透明度光学密度剂量-OD曲线胶片的gamma 宽容度感光度、辐射显色胶片3.5 发光剂量计发光现象光致发光空穴储存陷阱复合中心热释光剂量计工作原理光致荧光剂量测量系统3.6 半导体剂量计硅半导体剂量测量系统MOSFET剂量测量系统3.7 其它剂量测量系统丙胺酸/电子顺磁共振剂量测量系统塑料闪烁体剂量测量系统金刚石剂量计凝胶剂量测量系统3.8 一级标准一级标准空气比释动能的一级标准水吸收剂量的一级标准水量热计离子浓度测量标准化学剂量测定标准Fricke剂量计辐射化学产额量热法标准石墨量热计江西省崇义县中医医院CT室黄泽政3.9 常用剂量测定系统的总结四种常用剂量计系统的主要优点与缺点第四章辐射监测仪器4.1 介绍外照射检测辐射监测的范围4.2 辐射监测中用到的量环境剂量当量定向剂量当量个人剂量当量4.3 场所辐射测量仪气体探测器的离子电压收集曲线电离室正比计数器中子测量仪GM计数器闪烁探测器半导体探测器的特点场所检测仪的一般特性场所监测计量仪校准的方法和步骤场所监测计量仪的灵敏度能量依赖性方向依赖性剂量当量范围响应时间过载特性长期稳定性区别辐射类型的能力不确定度4.4 个人剂量监测个人胶片剂量计热释光剂量计放射光致发光玻璃系统光释光系统和直读式个人剂量计的特点个人剂量计的校准方法和步骤个人剂量计的特性能量依赖性不确定度当量剂量范围方向依赖性区别不同辐射类型的能力第五章体外照射放射治疗设备5.1 体外放疗设备简介外照射放射治疗设备发展历史5.2 X射线束与X射线机临床使用的X射线束能量范围X射线束的产生X射线的组成5.2.1 特征X射线特征辐射荧光产额特征X射线能谱5.2.2 轫致辐射X射线轫致辐射轫致辐射X射线能谱5.2.3 X射线靶薄靶厚靶浅层X射线深部X射线兆伏级X射线5.2.4 临床X射线束临床X射线能谱X射线束成分入射电子与产生的光子方向5.2.5 X 射线质的描述半价层标称加速电压有效能量江西省崇义县中医医院CT室黄泽政5.2.6 放射治疗机X射线放射治疗X线机组成5.3 伽玛射线束和伽玛射线单位5.3.1 伽玛射线的基本特性外照射放射治疗用同位素特性比活度空气比释动能率远距离外照射放射治疗的γ辐射源5.3.2 远距离治疗机远距离治疗机定义远距离治疗机的组成5.3.3 远距离治疗辐射源常用辐射源强度、半衰期、射线能量5.3.4 远距离治疗辐射源容器(治疗头)治疗头结构辐射源驱动辐射源容器防护要求5.3.5 远距离治疗照射剂量计时器与剂量关系照射时间的计算5.3.6 准直器与半影照射野范围几何半影与辐射源结构关系5.4 粒子加速装置粒子加速的基本条件粒子加速装置分类各种加速器结构与原理5.5 电子直线加速器工作原理发展和更代安全性要求现代电子直线加速器组成各分系统结构、工作原理与要求临床光子射线与电子射线的产生射线束准直系统剂量监测系统5.6 粒子(质子、中子与重离子)放射治疗质子、中子与重离子的产生粒子治疗的优势5.7 外照射放射治疗的防护屏蔽射线类型与屏蔽材料5.8 60钴远距离治疗机与电子直线加速器比较60钴远距离治疗机特点现代电子直线加速器特点5.9 模拟机与CT模拟机模拟定位的作用模拟定位的主要步骤5.9.1 放射治疗模拟定位机模拟机的组成与结构要求现代模拟机功能要求5.9.10 CT模拟机CT模拟机系统组成DRR BEV DCR CT模拟机与模拟机比较5.10 放射治疗设备的培训要求设备培训应包括的重要内容第六章外照射光子射线:物理方面6.1 介绍产生治疗光子射线的主要来源6.2 描述光子的物理量光子的通量和通量率,能量通量和通量率,空气中的比释动能和照射量6.3 光子射线源单能光子线的半价层6.4 平方反比定律平方反比定律6.5 入射到体模或病人的光子射线表面剂量,建成区,最大剂量深度,出射剂量6.6 放射治疗参数射野面积/周长比,准直器因子,峰值散射因子,相对剂量因子6.7 水中的中心轴深度剂量:源皮距摆位百分深度剂量,散射函数6.8 水中的中心轴百分深度剂量:源轴距摆位组织空气比,组织空气比和百分深度剂量之间的关系,空气散射比,组织体模比和组织最大比,组织体模比和百分深度剂量之间的关系,散射最大比6.9 离轴比和射线的等剂量曲线射野剂量曲线的区域定义,散射半影,穿透半影,几何半影和物理半影,射野平坦度和对称性6.10 水体模中的等剂量分布水体模中的等剂量分布的特点6.11 病人的单野剂量分布病人体内的等剂量分布的修正法则,不规则轮廓和斜入射的剂量校正方法,楔形板的作用,楔形角,楔形因子,使用补偿器的作用和影响,组织填充物(Blous)的作用和影响,不均匀组织对剂量的影响和几种经验修正方法6.12 克拉森积分克拉森积分的基本原理6.13 指形电离室测量相对剂量光子射线表面剂量、建成区剂量和最大剂量深度后的剂量测量方法,影响电离室剂量测量的主要因素,6.14 单野照射的剂量传输单野照射的剂量跳数的计算6.16 端效应端效应的计算第七章光子射线外照射放射治疗的临床治疗计划7.2 体积的定义三维治疗计划需要定义的主要的靶区体积,肿瘤区,临床靶区,内靶区、计划靶区和危及器官7.3 剂量规范靶区最小剂量,靶区最大剂量,靶区平均剂量,剂量参考点(剂量规定点)和位置建议7.4 病人数据的获取和模拟需要的病人数据,二维治疗计划,三维治疗计划,治疗模拟的任务,CT模拟和常规模拟机,病人的体位固定方式和作用,照射野几何参数的确定,病人单层或数层层面的获取方式,基于病人数据获取的CT扫描和虚拟模拟,数字重建的射野影像,射野方向观,CT模拟的具体过程,CT模拟和常规模拟的差别,用于治疗计划的核磁共振影像,7.5 光子射线临床应用的思考等剂量线,楔形板的类别和作用,楔形因子的定义,补偿膜的的作用,补偿器厚度的计算,人体曲面修正的方法,不均匀组织的修正方法,多野照射技术的临床应用,旋转照射技术,射野衔接技术,7.6 计划评估等剂量线的评估,剂量统计,剂量-体积直方图,射野胶片和在线射野影像7.7 治疗时间和跳数的计算源皮距摆位技术的治疗时间和跳数计算, 等中心照射技术的治疗跳数和时间的计算, 剂量分布的归一方法,包含在剂量分布中的输出参数,X射线机和钴-60治疗机治疗时间的计算第八章电子束:物理和临床方面8.1 中心轴深度剂量曲线深度剂量曲线、电子与物质的相互作用反平方定律(虚源位置) 高能电子束射野剂量学建成区(表面剂量到最大剂量之间的深度) 不同能量电子束的百分深度剂量曲线8.2 电子束剂量学参数电子线能量说明不同深度的剂量参数百分深度剂量照射野对百分深度剂量的影响斜入射电子束百分深度剂量输出因素R90治疗范围Profiles和离轴比平坦度和对称性8.3 电子束治疗的临床应用剂量说明和报告小射野选择等剂量曲线射野形状低熔点铅档不规则表面修正填充物不均性修正电子束射野衔接电子束弧形照射电子束治疗计划第九章光子和电子束的剂量校准9.1 前言量热法化学剂量计电离室计量计石墨量热计密封水量热计弗瑞克剂量计参考剂量计医用射线束的校准与测量9.2 电离室剂量学系统电离室的构成电离室基本原理指形电离室平行板电离室模体材料水等效9.3 影响电离室剂量校准的参数电离室的方向性电离室的饱和效应电离室的漏电流电离室的杆效应电离室的复合效应电离室的极化效应气压温度修正9.4 使用校准电离室测量吸收剂量电离室吸收剂量测量规程基于空气比释动能的校准系数的规程基于水中吸收剂量的校准系数的规程9.5 阻止本领率电子阻止本领率光子阻止本领率9.6 质能吸收系数率质能吸收系数率9.7 扰动校准因子扰动校准因子有效测量点电离室壁的扰动因子中心电极的扰动因子9.8 射线质的描述低能X线,中低能X线,高能(MV级)X线,高能电子束辐射质9.9 高能光子和电子束的剂量校准高能X线吸收剂量校准高能电子束吸收剂量校准IAEA TRS 277报告 IAEA TRS 398报告9.10 中低能X射线吸收剂量校准中低能X射线吸收剂量校准9.11 电离室测量偏差和不确定性分析不确定性分类校准过程的不确定性第十章验收测试和临床测试10.1 简介放疗设备使用前测试项目10.2 测量设备辐射环境检测仪,离子计型剂量测定设备,胶片,半导体,模体(辐射野分析器和固体水模体)10.3 验收测试安全检查(联锁、警告信号灯和病人监护设备;辐射防护探测准直器和头漏射)机械检查准直轴的旋转轴,灯光与射野的一致性,臂架的旋转,治疗床的旋转,等中心旋转,光距尺,臂架角度,准直器大小指示,治疗床的运动)剂量测量光子射野(能量,射野平坦度和射野对称性,半影),电子射野(能量,电子线污染,均匀性,半影),剂量刻度,弧度治疗10.4 临床测试光子射野测量:中心轴PDD,输出因子,挡块托盘因子,多叶准直器,中心轴楔形野穿透因子,动态楔形板,离轴比曲线/离轴能量改变,入射剂量和界面剂量学,虚源位置电子射野测量:中心轴PDD,输出因子,离轴比曲线,虚源位置10.5 临床测试需要的时间第十一章光子射线外照射计算机治疗计划系统11.1 治疗计划系统的硬件TPS基本硬件组成11.2 治疗计划系统的配置11.3 系统软件和计算算法计算算法:算法的发展,分析模型法,Milan–Bentley模型,Clarkson积分法,卷积方式,蒙特卡罗或随机取样方法,笔形束算法射野修饰的影响:光子束修饰器(光栏,挡块,补偿器,MLC,楔形板)和电子束修饰器(限光筒,挡块,bolus等)组织不均匀修正,图像显示(BEV、REV、DRR、DCR)和剂量体积直方图(积分DVH、微分DVH、natural DVH),优化和MU计算,记录与验证系统,生物模型11.4 数据获取与输入治疗机数据(机械运动与限制、楔形板的限制、MLC、物理补偿的材料、电子窗),射野数据获得和输入,病人数据(影像、输入方式、CT值转换)11.5 临床验证与质量保证错误,验证,抽样调查,归一化和射野权重的选择,剂量体积直方图与优化,培训和归档,定期的质量保证,需注意的特殊技术第十二章放射治疗的质量保证12.1 前言定义放射治疗的质量保证要求精确放射治疗的需求放射治疗事故12.2 质量保证管理指标12.3 放射治疗设备的质量保证钴-60治疗机的质量保证质量控制指标医用加速器的质量保证指标模拟定位机的质量保证指标CT扫描和CT模拟的质量保证指标治疗计划系统的质量保证质量控制指标12.4 治疗实施病历射野成像射野成像技术未来射野影像的发展12.5 质量核查定义实际的质量审核样式放射剂量测量比对在哪一方面质量核查随访应该仔细检查第十三章近距离治疗物理和临床特点13.1 前言近距离治疗的方式近距离治疗的分类近距离治疗的特点13.2 光子放射源特点临床要求光子放射源的物理特性放射源的机械特性参考空气比释动能率空气比释动能强度显活度毫克镭当量β射线源参考吸收剂量率13.3 临床应用和剂量学系统13.3.1 妇科肿瘤腔内近距离治疗放射源的类型曼彻斯特系统ICRU系统直肠和膀胱的剂量监测13.3.2 组织间近距离治疗剂量学系统Patterson-Parker(Manchester)系统Quimby(Memorial)系统巴黎系统巴黎系统设置放射源规则巴黎系统标称(参考)剂量率巴黎系统基准剂量率13.3.3 远距离后装治疗系统远距离后装治疗装置的优点远距离后装治疗系统的基本部件远距离后装治疗装置常用的放射源远距离后装治疗装置类型及特点13.3.4 前列腺的永久性植入治疗前列腺植入治疗的放射源治疗计划技术预计划籽粒植入剂量分布植入后的剂量评估13.3.5 眼敷贴器眼敷贴器治疗技术13.3.6 血管内照射血管内照射技术13.4 剂量定义和报告腔内治疗组织间治疗13.5 放射源周围剂量分布剂量率常数几何因子径向剂量函数各向异性函数Meisberger多项式Sievert 积分13.6 剂量计算过程和方法剂量的手工累加方法放射源的定位剂量分布的优化参考点的选择衰减校正13.7 近距离治疗计算机治疗计划系统的临床应用测试重建过程的检测物理量和单位一致性检测单一放射源计算机与手工剂量计算衰减校正的检测13.8 放射源的临床应用测试接触检测活度的自动放射影像和均匀性检测校准链13.9 质量保证第十四章基础放射生物学14.1 前言放射生物学细胞体细胞胚细胞细胞分裂体细胞的分类组织器官器官系统14.2 放射生物学中辐射的类型线性能量传递(LET) 照射中常用的典型LET值低LET辐射(稀疏电离辐射)高LET辐射(致密电离辐射)14.3 细胞周期和细胞死亡有丝分裂期(M) DNA合成期(S) G1和G2期细胞周期时间细胞死亡14.4 细胞的照射辐射的生物效应辐射对细胞损伤的直接作用辐射对细胞损伤的间接作用受照射细胞的命运14.5 辐射损伤的类型放射的早期效应放射的晚期效应致死损伤亚致死损伤潜在致死损伤躯体效应遗传效应随机效应注定(非随机)效应急性效应晚期效应全身照射反应胎儿的辐射14.6 细胞存活曲线细胞存活曲线线性二次模型α/β比值多靶单击模型14.7 剂量效应曲线剂量效应曲线早反应组织晚反应组织14.8 组织放射损伤的测量克隆形成分析功能分析死亡率分析14.9 正常和肿瘤细胞:治疗比肿瘤控制概率(TCP)正常组织并发症概率( NTCP)治疗比14.10 氧效应氧增强比(OER) 再氧合14.11 相对生物效应相对生物效应(RBE) RBE变化特点14.12 剂量率和分次放射治疗中使用的剂量率5个主要生物学因素(5Rs) 常规分割以增进治疗比为目的分次方案14.13 放射防护剂和放射增敏剂放射防护剂剂量修饰因子(DMF)放射增敏剂含硼化合物第十五章放射治疗特殊技术与方法15.1 概述熟悉临床各种放射治疗技术。
全国医用设备资格考试直线加速器(LA)物理师专业考试大纲(含伽玛刀物理内容)2019-02-14 21:10:44| 分类:基础 | 标签:医用设备资格考试直线加速器物理师|举报|字号订阅说明为更好地贯彻落实《大型医用设备管理办法》(卫规财发[2019]474号文)精神,中华医学会和卫生部人才交流服务中心自2019年开始分别组织对全国医用设备使用人员进行培训和专业技术知识统一考试。
为使应试者了解考试范围,卫生部人才交流服务中心组织有关专家编写了《全国医用设备资格考试大纲》,作为应试者备考的依据。
考试大纲中用黑线标出的为重点内容,命题以考试大纲的重点内容为主。
全国医用设备资格考试直线加速器(LA)物理师专业考试大纲(含伽玛刀物理内容)第一章放射物理基础1.1 介绍基本物理常数重要推导物理常数物理量和单位四种基本作用力基本粒子非电离辐射和电离辐射光子致电离辐射质能关系辐射量和单位1.2 原子与原子核结构原子结构组成和特性卢瑟福原子模型玻尔氢原子模型及四个假定玻尔氢原子模型能级结构多电子原子壳层模型核结构核反应放射性放射性活度放射性衰变衰变常数半衰期比放射性活度平均寿命递次衰变核素活化放射性衰变方式及特点1.3 电子相互作用电子与轨道电子相互作用电子与原子核相互作用阻止本领总质量能量阻止本领质量阻止本领质量碰撞阻止本领质量辐射阻止本领限制性阻止本领质量散射本领传能线密度1.4 光子相互作用间接电离光子辐射光子束衰减性质半价层十分之一价层线性衰减系数质量衰减系数原子和电子衰减系数能量转移系数能量吸收系数光子相互作用类型光电效应相干(瑞利)散射康普顿效应对效应光致核反应各种效应的相对优势第二章剂量学原则,量和单位2.2 光子注量和能量注量粒子注量能量注量粒子注量率能量注量率粒子注量谱能量注量谱;2.3 比释动能比释动能2.4 CEMACema2.5 吸收剂量吸收剂量2.6 阻止本领阻止本领阻止本领比线性阻止本领质量阻止本领非限制性质量碰撞阻止本领限制性质量碰撞阻止本领软性碰撞硬性碰撞2.7 不同剂量学量间的关系能量注量和比释动能的关系碰撞比释动能辐射比释动能总比释动能注量和吸收剂量的关系比释动能和吸收剂量的关系碰撞比释动能和照射量的关系2.8 空腔理论Bragg-Gray 空腔理论Spencer-Attix 空腔理论Burlin 空腔理论第三章辐射剂量计3.1 介绍辐射剂量计及剂量测量3.2 剂量计的特点准确度精确度不确定度测量误差A类标准不确定度B类标准不确定度、合成不确定度展伸不确定度剂量响应线性剂量率的依赖性能量依赖性方向依赖性空间分辨率和物理尺寸数据读出的方便性使用的方便性3.3 电离室剂量测定系统电离室辐射束校准电离室的基本结构及特性静电计圆柱形电离室平行板电离室近距离治疗电离室(井形电离室或凹形电离室)外推电离室3.4 胶片剂量计透明度光学密度剂量-OD曲线胶片的gamma 宽容度感光度、辐射显色胶片3.5 发光剂量计发光现象光致发光空穴储存陷阱复合中心热释光剂量计工作原理光致荧光剂量测量系统3.6 半导体剂量计硅半导体剂量测量系统MOSFET剂量测量系统3.7 其它剂量测量系统丙胺酸/电子顺磁共振剂量测量系统塑料闪烁体剂量测量系统金刚石剂量计凝胶剂量测量系统3.8 一级标准一级标准空气比释动能的一级标准水吸收剂量的一级标准水量热计离子浓度测量标准化学剂量测定标准Fricke剂量计辐射化学产额量热法标准石墨量热计3.9 常用剂量测定系统的总结四种常用剂量计系统的主要优点与缺点第四章辐射监测仪器4.1 介绍外照射检测辐射监测的范围4.2 辐射监测中用到的量环境剂量当量定向剂量当量个人剂量当量4.3 场所辐射测量仪气体探测器的离子电压收集曲线电离室正比计数器中子测量仪GM计数器闪烁探测器半导体探测器的特点场所检测仪的一般特性场所监测计量仪校准的方法和步骤场所监测计量仪的灵敏度能量依赖性方向依赖性剂量当量范围响应时间过载特性长期稳定性区别辐射类型的能力不确定度4.4 个人剂量监测个人胶片剂量计热释光剂量计放射光致发光玻璃系统光释光系统和直读式个人剂量计的特点个人剂量计的校准方法和步骤个人剂量计的特性能量依赖性不确定度当量剂量范围方向依赖性区别不同辐射类型的能力第五章体外照射放射治疗设备5.1 体外放疗设备简介外照射放射治疗设备发展历史5.2 X射线束与X射线机临床使用的X射线束能量范围X射线束的产生 X射线的组成5.2.1 特征X射线特征辐射荧光产额特征X射线能谱5.2.2 轫致辐射X射线轫致辐射轫致辐射X射线能谱5.2.3 X射线靶薄靶厚靶浅层X射线深部X射线兆伏级X射线5.2.4 临床X射线束临床X射线能谱X射线束成分入射电子与产生的光子方向5.2.5 X 射线质的描述半价层标称加速电压有效能量5.2.6 放射治疗机X射线放射治疗X线机组成5.3 伽玛射线束和伽玛射线单位5.3.1 伽玛射线的基本特性外照射放射治疗用同位素特性比活度空气比释动能率远距离外照射放射治疗的γ辐射源5.3.2 远距离治疗机远距离治疗机定义远距离治疗机的组成5.3.3 远距离治疗辐射源常用辐射源强度、半衰期、射线能量5.3.4 远距离治疗辐射源容器(治疗头)治疗头结构辐射源驱动辐射源容器防护要求5.3.5 远距离治疗照射剂量计时器与剂量关系照射时间的计算5.3.6 准直器与半影照射野范围几何半影与辐射源结构关系5.4 粒子加速装置粒子加速的基本条件粒子加速装置分类各种加速器结构与原理5.5 电子直线加速器工作原理发展和更代安全性要求现代电子直线加速器组成各分系统结构、工作原理与要求临床光子射线与电子射线的产生射线束准直系统剂量监测系统5.6 粒子(质子、中子与重离子)放射治疗质子、中子与重离子的产生粒子治疗的优势5.7 外照射放射治疗的防护屏蔽射线类型与屏蔽材料5.8 60钴远距离治疗机与电子直线加速器比较60钴远距离治疗机特点现代电子直线加速器特点5.9 模拟机与CT模拟机模拟定位的作用模拟定位的主要步骤5.9.1 放射治疗模拟定位机模拟机的组成与结构要求现代模拟机功能要求5.9.10 CT模拟机CT模拟机系统组成DRR BEV DCR CT模拟机与模拟机比较5.10 放射治疗设备的培训要求设备培训应包括的重要内容第六章外照射光子射线:物理方面6.1 介绍产生治疗光子射线的主要来源6.2 描述光子的物理量光子的通量和通量率,能量通量和通量率,空气中的比释动能和照射量6.3 光子射线源单能光子线的半价层6.4 平方反比定律平方反比定律6.5 入射到体模或病人的光子射线表面剂量,建成区,最大剂量深度,出射剂量6.6 放射治疗参数射野面积/周长比,准直器因子,峰值散射因子,相对剂量因子6.7 水中的中心轴深度剂量:源皮距摆位百分深度剂量,散射函数6.8 水中的中心轴百分深度剂量:源轴距摆位组织空气比,组织空气比和百分深度剂量之间的关系,空气散射比,组织体模比和组织最大比,组织体模比和百分深度剂量之间的关系,散射最大比6.9 离轴比和射线的等剂量曲线射野剂量曲线的区域定义,散射半影,穿透半影,几何半影和物理半影,射野平坦度和对称性6.10 水体模中的等剂量分布水体模中的等剂量分布的特点6.11 病人的单野剂量分布病人体内的等剂量分布的修正法则,不规则轮廓和斜入射的剂量校正方法,楔形板的作用,楔形角,楔形因子,使用补偿器的作用和影响,组织填充物(Blous)的作用和影响,不均匀组织对剂量的影响和几种经验修正方法6.12 克拉森积分克拉森积分的基本原理6.13 指形电离室测量相对剂量光子射线表面剂量、建成区剂量和最大剂量深度后的剂量测量方法,影响电离室剂量测量的主要因素,6.14 单野照射的剂量传输单野照射的剂量跳数的计算6.16 端效应端效应的计算第七章光子射线外照射放射治疗的临床治疗计划7.2 体积的定义三维治疗计划需要定义的主要的靶区体积,肿瘤区,临床靶区,内靶区、计划靶区和危及器官7.3 剂量规范靶区最小剂量,靶区最大剂量,靶区平均剂量,剂量参考点(剂量规定点)和位置建议7.4 病人数据的获取和模拟需要的病人数据,二维治疗计划,三维治疗计划,治疗模拟的任务,CT模拟和常规模拟机,病人的体位固定方式和作用,照射野几何参数的确定,病人单层或数层层面的获取方式,基于病人数据获取的CT扫描和虚拟模拟,数字重建的射野影像,射野方向观,CT模拟的具体过程,CT模拟和常规模拟的差别,用于治疗计划的核磁共振影像,7.5 光子射线临床应用的思考等剂量线,楔形板的类别和作用,楔形因子的定义,补偿膜的的作用,补偿器厚度的计算,人体曲面修正的方法,不均匀组织的修正方法,多野照射技术的临床应用,旋转照射技术,射野衔接技术,7.6 计划评估等剂量线的评估,剂量统计,剂量-体积直方图,射野胶片和在线射野影像7.7 治疗时间和跳数的计算源皮距摆位技术的治疗时间和跳数计算, 等中心照射技术的治疗跳数和时间的计算, 剂量分布的归一方法,包含在剂量分布中的输出参数,X射线机和钴-60治疗机治疗时间的计算第八章电子束:物理和临床方面8.1 中心轴深度剂量曲线深度剂量曲线、电子与物质的相互作用反平方定律(虚源位置) 高能电子束射野剂量学建成区(表面剂量到最大剂量之间的深度) 不同能量电子束的百分深度剂量曲线8.2 电子束剂量学参数电子线能量说明不同深度的剂量参数百分深度剂量照射野对百分深度剂量的影响斜入射电子束百分深度剂量输出因素R90治疗范围Profiles和离轴比平坦度和对称性8.3 电子束治疗的临床应用剂量说明和报告小射野选择等剂量曲线射野形状低熔点铅档不规则表面修正填充物不均性修正电子束射野衔接电子束弧形照射电子束治疗计划第九章光子和电子束的剂量校准9.1 前言量热法化学剂量计电离室计量计石墨量热计密封水量热计弗瑞克剂量计参考剂量计医用射线束的校准与测量9.2 电离室剂量学系统电离室的构成电离室基本原理指形电离室平行板电离室模体材料水等效9.3 影响电离室剂量校准的参数电离室的方向性电离室的饱和效应电离室的漏电流电离室的杆效应电离室的复合效应电离室的极化效应气压温度修正9.4 使用校准电离室测量吸收剂量电离室吸收剂量测量规程基于空气比释动能的校准系数的规程基于水中吸收剂量的校准系数的规程9.5 阻止本领率电子阻止本领率光子阻止本领率9.6 质能吸收系数率质能吸收系数率9.7 扰动校准因子扰动校准因子有效测量点电离室壁的扰动因子中心电极的扰动因子9.8 射线质的描述低能X线,中低能X线,高能(MV级)X线,高能电子束辐射质9.9 高能光子和电子束的剂量校准高能X线吸收剂量校准高能电子束吸收剂量校准IAEA TRS 277报告IAEA TRS 398报告9.10 中低能X射线吸收剂量校准中低能X射线吸收剂量校准9.11 电离室测量偏差和不确定性分析不确定性分类校准过程的不确定性第十章验收测试和临床测试10.1 简介放疗设备使用前测试项目10.2 测量设备辐射环境检测仪,离子计型剂量测定设备,胶片,半导体,模体(辐射野分析器和固体水模体)10.3 验收测试安全检查(联锁、警告信号灯和病人监护设备;辐射防护探测准直器和头漏射)机械检查准直轴的旋转轴,灯光与射野的一致性,臂架的旋转,治疗床的旋转,等中心旋转,光距尺,臂架角度,准直器大小指示,治疗床的运动)剂量测量光子射野(能量,射野平坦度和射野对称性,半影),电子射野(能量,电子线污染,均匀性,半影),剂量刻度,弧度治疗10.4 临床测试光子射野测量:中心轴PDD,输出因子,挡块托盘因子,多叶准直器,中心轴楔形野穿透因子,动态楔形板,离轴比曲线/离轴能量改变,入射剂量和界面剂量学,虚源位置电子射野测量:中心轴PDD,输出因子,离轴比曲线,虚源位置10.5 临床测试需要的时间第十一章光子射线外照射计算机治疗计划系统11.1 治疗计划系统的硬件TPS基本硬件组成11.2 治疗计划系统的配置11.3 系统软件和计算算法计算算法:算法的发展,分析模型法,Milan–Bentley模型,Clarkson积分法,卷积方式,蒙特卡罗或随机取样方法,笔形束算法射野修饰的影响:光子束修饰器(光栏,挡块,补偿器,MLC,楔形板)和电子束修饰器(限光筒,挡块,bolus等)组织不均匀修正,图像显示(BEV、REV、DRR、DCR)和剂量体积直方图(积分DVH、微分DVH、natural DVH),优化和MU计算,记录与验证系统,生物模型11.4 数据获取与输入治疗机数据(机械运动与限制、楔形板的限制、MLC、物理补偿的材料、电子窗),射野数据获得和输入,病人数据(影像、输入方式、CT值转换)11.5 临床验证与质量保证错误,验证,抽样调查,归一化和射野权重的选择,剂量体积直方图与优化,培训和归档,定期的质量保证,需注意的特殊技术第十二章放射治疗的质量保证12.1 前言定义放射治疗的质量保证要求精确放射治疗的需求放射治疗事故12.2 质量保证管理指标12.3 放射治疗设备的质量保证钴-60治疗机的质量保证质量控制指标医用加速器的质量保证指标模拟定位机的质量保证指标CT扫描和CT模拟的质量保证指标治疗计划系统的质量保证质量控制指标12.4 治疗实施病历射野成像射野成像技术未来射野影像的发展12.5 质量核查定义实际的质量审核样式放射剂量测量比对在哪一方面质量核查随访应该仔细检查第十三章近距离治疗物理和临床特点13.1 前言近距离治疗的方式近距离治疗的分类近距离治疗的特点13.2 光子放射源特点临床要求光子放射源的物理特性放射源的机械特性参考空气比释动能率空气比释动能强度显活度毫克镭当量β射线源参考吸收剂量率13.3 临床应用和剂量学系统13.3.1 妇科肿瘤腔内近距离治疗放射源的类型曼彻斯特系统 ICRU系统直肠和膀胱的剂量监测13.3.2 组织间近距离治疗剂量学系统 Patterson-Parker(Manchester)系统 Quimby(Memorial)系统巴黎系统巴黎系统设置放射源规则巴黎系统标称(参考)剂量率巴黎系统基准剂量率13.3.3 远距离后装治疗系统远距离后装治疗装置的优点远距离后装治疗系统的基本部件远距离后装治疗装置常用的放射源远距离后装治疗装置类型及特点13.3.4 前列腺的永久性植入治疗前列腺植入治疗的放射源治疗计划技术预计划籽粒植入剂量分布植入后的剂量评估13.3.5 眼敷贴器眼敷贴器治疗技术13.3.6 血管内照射血管内照射技术13.4 剂量定义和报告腔内治疗组织间治疗13.5 放射源周围剂量分布剂量率常数几何因子径向剂量函数各向异性函数 Meisberger多项式 Sievert积分13.6 剂量计算过程和方法剂量的手工累加方法放射源的定位剂量分布的优化参考点的选择衰减校正13.7 近距离治疗计算机治疗计划系统的临床应用测试重建过程的检测物理量和单位一致性检测单一放射源计算机与手工剂量计算衰减校正的检测13.8 放射源的临床应用测试接触检测活度的自动放射影像和均匀性检测校准链13.9 质量保证第十四章基础放射生物学14.1 前言放射生物学细胞体细胞胚细胞细胞分裂体细胞的分类组织器官器官系统14.2 放射生物学中辐射的类型线性能量传递(LET)照射中常用的典型LET值低LET辐射(稀疏电离辐射)高LET辐射(致密电离辐射)14.3 细胞周期和细胞死亡有丝分裂期(M)DNA合成期(S)G1和G2期细胞周期时间细胞死亡14.4 细胞的照射辐射的生物效应辐射对细胞损伤的直接作用辐射对细胞损伤的间接作用受照射细胞的命运14.5 辐射损伤的类型放射的早期效应放射的晚期效应致死损伤亚致死损伤潜在致死损伤躯体效应遗传效应随机效应注定(非随机)效应急性效应晚期效应全身照射反应胎儿的辐射14.6 细胞存活曲线细胞存活曲线线性二次模型α/β比值多靶单击模型14.7 剂量效应曲线剂量效应曲线早反应组织晚反应组织14.8 组织放射损伤的测量克隆形成分析功能分析死亡率分析14.9 正常和肿瘤细胞:治疗比肿瘤控制概率(TCP)正常组织并发症概率(NTCP)治疗比14.10 氧效应氧增强比(OER) 再氧合14.11 相对生物效应相对生物效应(RBE)RBE变化特点14.12 剂量率和分次放射治疗中使用的剂量率5个主要生物学因素(5Rs) 常规分割以增进治疗比为目的分次方案14.13 放射防护剂和放射增敏剂放射防护剂剂量修饰因子(DMF)放射增敏剂含硼化合物第十五章放射治疗特殊技术与方法15.1 概述熟悉临床各种放射治疗技术。
直线加速器原理高中动画物理直线加速器是一种利用电磁场加速带电粒子的装置。
其原理是利用电场和磁场对粒子进行引导和加速,使其在直线轨道上获得高能量。
直线加速器的基本组成包括加速器腔体、高频电源、加速电极、聚束磁铁和检测装置等。
当粒子进入加速器腔体后,先通过高频电源产生的电场加速,再通过聚束磁铁的磁场进行聚束,最后在加速电极的作用下获得更高的能量。
具体而言,直线加速器的工作过程如下:1.加速器腔体:加速器腔体是一个真空密封的金属管道,用于提供稳定的工作环境。
粒子在其中运动,避免与空气分子碰撞而损失能量。
2.高频电源:高频电源主要用于产生电场,为粒子提供初始的动能。
电源产生的交变电场会使粒子在电场作用下加速。
电场的大小和方向会根据粒子的电荷性质和运动轨迹进行调整,以便精确控制粒子的加速过程。
3.加速电极:加速电极是直线加速器中的关键部分,由多个金属楔型电极组成。
当粒子通过时,电极施加的电场将加速粒子,使其获得更高的能量。
电场的强度和极性会随着粒子的位置和速度变化,以保证粒子能够稳定地在直线轨道上加速。
4.聚束磁铁:聚束磁铁主要用于控制粒子的轨道,使其保持在直线加速器的中心线上。
磁铁的磁场可以通过粒子的静电荷或者电流对其施加洛伦兹力从而改变粒子的运动轨迹。
通过合理调整磁场的强度和方向,可以实现粒子的聚束和稳定加速。
5.检测装置:检测装置用于监测粒子的能量、速度和位置等参数。
常用的检测方法包括电子学闪烁计数器、微菲涅尔荧光屏、能谱仪等。
检测装置记录和分析粒子的运动信息,以验证加速器的正常运行和精确控制。
直线加速器的加速原理可以通过牛顿力学和电磁学理论来解释。
粒子在电场和磁场的作用下受力,根据牛顿第二定律F=ma可以得出加速度与受力之间的关系。
在直线加速器中,电场和磁场的分布和强度可以通过数学方法进行优化,以达到粒子加速和聚束的目的。
直线加速器的应用十分广泛。
在科学研究领域,直线加速器可用于研究粒子物理学、原子核物理学、高能物理学等领域的问题。
直线加速器案例:医用直线加速器是当代医学界中的一类高精度设备,涉及机械、电子及高能物理等学科的知识,仪器的复杂程度很高.该设备是一放射治疗设备,是目前有效治疗肿瘤的手段之一,所以对设备的工作、运行条件要求很高。
相关章节:1-1 质点运动的描述;3-6 功能原理机械能守恒定律;14-3 狭义相对论的时空观;相关知识点:参考系质点;机械能守恒定律;长度的收缩;原理:(1)图为直线加速器的意图。
(2)如图所示,金属圆管为加速管(又称漂移管),总共有N+1个。
每个漂移管的长度依次递增,排列在奇数或偶数位置的漂移管分别与高频振荡器的两端相连。
带电粒子(重离子或电子)只是处在两管之间的间隙中时才受到电场的加速作用。
在漂移管中,由于为等电势区,电场强度为零,带电粒子在其中作匀速直线运动。
为使粒子在两管的间隙中能得到不断的加速,漂移管长度的设计有严格的要求。
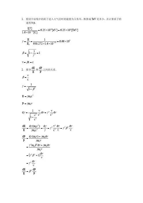
(3)问题1:已知f为振荡频率,V n是粒子通过第n+1个漂移管的速度,则第L n+1个漂移管的长度是多少?答:L n+1=V n t=V n/2f(4)问题2:设入射离子的能量是E0,,经过n个间隙的加速后离子在第n+1个漂移管的能量是多少?(离子质量为m0,速度为V n)答:根据能量守恒定律E n=E0+neZV0=m0c2/√1-(V n/c)2(5)问题3:若该装置为初速度为0 的匀直线加速器,则漂移管之间长度之比应为多少?答:1:3:5.....(2n+1)(6)问题4:若离子的初始速率为v0,给间隙添加一个大小为U的电场,则离子进入第二个漂移管的速率是多少?答:根据能量守恒可得mv02/2=mv2/2+eUv=√v02-2qU/m(7)问题5:静止时看离子直线加速器的长为L,经直线加速器加速后的电子相对其静止的惯性系看直线加速器的总长L,是多少?答:根据洛伦兹变换式可得L,=L√1-β2。
全国医用设备资格考试直线加速器(LA)物理师专业考试大纲(含伽玛刀物理师内容)(2012年版)中华人民共和国卫生部人才交流服务中心说明为更好地贯彻落实《大型医用设备管理办法》(卫规财发[2004]474号文)精神,中华医学会和卫生部人才交流服务中心自2004年开始分别组织对全国医用设备使用人员进行培训和专业技术知识统一考试。
为使应试者了解考试范围,卫生部人才交流服务中心组织有关专家编写了《全国医用设备资格考试大纲》,作为应试者备考的依据。
考试大纲中用黑线标出的为重点内容,命题以考试大纲的重点内容为主。
收集几个有用的群,与大家分享。
放射治疗LA医师交流群93738256放射治疗LA物理师交流群175111172放射治疗LA技师交流群187871501CDFI医师交流群219088941CDFI技师交流群232710356MRI医师交流群211963859MRI技师交流群205691899CT医师交流群232673553CT技师交流群219086547全国医用设备资格考试直线加速器(LA)物理师专业考试大纲(含伽玛刀物理内容)第一章放射物理基础1.1 介绍基本物理常数重要推导物理常数物理量和单位四种基本作用力基本粒子非电离辐射和电离辐射光子致电离辐射质能关系辐射量和单位1.2 原子与原子核结构原子结构组成和特性卢瑟福原子模型玻尔氢原子模型及四个假定玻尔氢原子模型能级结构多电子原子壳层模型核结构核反应放射性放射性活度放射性衰变衰变常数半衰期比放射性活度平均寿命递次衰变核素活化放射性衰变方式及特点1.3 电子相互作用电子与轨道电子相互作用电子与原子核相互作用阻止本领总质量能量阻止本领质量阻止本领质量碰撞阻止本领质量辐射阻止本领限制性阻止本领质量散射本领传能线密度1.4 光子相互作用间接电离光子辐射光子束衰减性质半价层十分之一价层线性衰减系数质量衰减系数原子和电子衰减系数能量转移系数能量吸收系数光子相互作用类型光电效应相干(瑞利)散射康普顿效应对效应光致核反应各种效应的相对优势第二章剂量学原则,量和单位2.2 光子注量和能量注量粒子注量能量注量粒子注量率能量注量率粒子注量谱能量注量谱;2.3 比释动能比释动能2.4 CEMACema2.5 吸收剂量吸收剂量2.6 阻止本领阻止本领阻止本领比线性阻止本领质量阻止本领非限制性质量碰撞阻止本领限制性质量碰撞阻止本领软性碰撞硬性碰撞2.7 不同剂量学量间的关系能量注量和比释动能的关系碰撞比释动能辐射比释动能总比释动能注量和吸收剂量的关系比释动能和吸收剂量的关系碰撞比释动能和照射量的关系2.8 空腔理论Bragg-Gray 空腔理论 Spencer-Attix 空腔理论 Burlin 空腔理论第三章辐射剂量计3.1 介绍辐射剂量计及剂量测量3.2 剂量计的特点准确度精确度不确定度测量误差 A类标准不确定度 B类标准不确定度、合成不确定度展伸不确定度剂量响应线性剂量率的依赖性能量依赖性方向依赖性空间分辨率和物理尺寸数据读出的方便性使用的方便性3.3 电离室剂量测定系统电离室辐射束校准电离室的基本结构及特性静电计圆柱形电离室平行板电离室近距离治疗电离室(井形电离室或凹形电离室)外推电离室3.4 胶片剂量计透明度光学密度剂量-OD曲线胶片的gamma 宽容度感光度、辐射显色胶片3.5 发光剂量计发光现象光致发光空穴储存陷阱复合中心热释光剂量计工作原理光致荧光剂量测量系统3.6 半导体剂量计硅半导体剂量测量系统 MOSFET剂量测量系统3.7 其它剂量测量系统丙胺酸/电子顺磁共振剂量测量系统塑料闪烁体剂量测量系统金刚石剂量计凝胶剂量测量系统3.8 一级标准一级标准空气比释动能的一级标准水吸收剂量的一级标准水量热计离子浓度测量标准化学剂量测定标准 Fricke剂量计辐射化学产额量热法标准石墨量热计3.9 常用剂量测定系统的总结四种常用剂量计系统的主要优点与缺点第四章辐射监测仪器4.1 介绍外照射检测辐射监测的范围4.2 辐射监测中用到的量环境剂量当量定向剂量当量个人剂量当量4.3 场所辐射测量仪气体探测器的离子电压收集曲线电离室正比计数器中子测量仪 GM计数器闪烁探测器半导体探测器的特点场所检测仪的一般特性场所监测计量仪校准的方法和步骤场所监测计量仪的灵敏度能量依赖性方向依赖性剂量当量范围响应时间过载特性长期稳定性区别辐射类型的能力不确定度4.4 个人剂量监测个人胶片剂量计热释光剂量计放射光致发光玻璃系统光释光系统和直读式个人剂量计的特点个人剂量计的校准方法和步骤个人剂量计的特性能量依赖性不确定度当量剂量范围方向依赖性区别不同辐射类型的能力第五章体外照射放射治疗设备5.1 体外放疗设备简介外照射放射治疗设备发展历史5.2 X射线束与X射线机临床使用的X射线束能量范围 X射线束的产生 X射线的组成5.2.1 特征X射线特征辐射荧光产额特征X射线能谱5.2.2 轫致辐射X射线轫致辐射轫致辐射X射线能谱5.2.3 X射线靶薄靶厚靶浅层X射线深部X射线兆伏级X射线5.2.4 临床X射线束临床X射线能谱 X射线束成分入射电子与产生的光子方向5.2.5 X 射线质的描述半价层标称加速电压有效能量5.2.6 放射治疗机X射线放射治疗X线机组成5.3 伽玛射线束和伽玛射线单位5.3.1 伽玛射线的基本特性外照射放射治疗用同位素特性比活度空气比释动能率远距离外照射放射治疗的γ辐射源5.3.2 远距离治疗机远距离治疗机定义远距离治疗机的组成5.3.3 远距离治疗辐射源常用辐射源强度、半衰期、射线能量5.3.4 远距离治疗辐射源容器(治疗头)治疗头结构辐射源驱动辐射源容器防护要求5.3.5 远距离治疗照射剂量计时器与剂量关系照射时间的计算5.3.6 准直器与半影照射野范围几何半影与辐射源结构关系5.4 粒子加速装置粒子加速的基本条件粒子加速装置分类各种加速器结构与原理5.5 电子直线加速器工作原理发展和更代安全性要求现代电子直线加速器组成各分系统结构、工作原理与要求临床光子射线与电子射线的产生射线束准直系统剂量监测系统5.6 粒子(质子、中子与重离子)放射治疗质子、中子与重离子的产生粒子治疗的优势5.7 外照射放射治疗的防护屏蔽射线类型与屏蔽材料5.8 60钴远距离治疗机与电子直线加速器比较60钴远距离治疗机特点现代电子直线加速器特点5.9 模拟机与CT模拟机模拟定位的作用模拟定位的主要步骤5.9.1 放射治疗模拟定位机模拟机的组成与结构要求现代模拟机功能要求5.9.10 CT模拟机CT模拟机系统组成 DRR BEV DCR CT模拟机与模拟机比较5.10 放射治疗设备的培训要求设备培训应包括的重要内容第六章外照射光子射线:物理方面6.1 介绍产生治疗光子射线的主要来源6.2 描述光子的物理量光子的通量和通量率,能量通量和通量率,空气中的比释动能和照射量6.3 光子射线源单能光子线的半价层6.4 平方反比定律平方反比定律6.5 入射到体模或病人的光子射线表面剂量,建成区,最大剂量深度,出射剂量6.6 放射治疗参数射野面积/周长比,准直器因子,峰值散射因子,相对剂量因子6.7 水中的中心轴深度剂量:源皮距摆位百分深度剂量,散射函数6.8 水中的中心轴百分深度剂量:源轴距摆位组织空气比,组织空气比和百分深度剂量之间的关系,空气散射比,组织体模比和组织最大比,组织体模比和百分深度剂量之间的关系,散射最大比6.9 离轴比和射线的等剂量曲线射野剂量曲线的区域定义,散射半影,穿透半影,几何半影和物理半影,射野平坦度和对称性6.10 水体模中的等剂量分布水体模中的等剂量分布的特点6.11 病人的单野剂量分布病人体内的等剂量分布的修正法则,不规则轮廓和斜入射的剂量校正方法,楔形板的作用,楔形角,楔形因子,使用补偿器的作用和影响,组织填充物(Blous)的作用和影响,不均匀组织对剂量的影响和几种经验修正方法6.12 克拉森积分克拉森积分的基本原理6.13 指形电离室测量相对剂量光子射线表面剂量、建成区剂量和最大剂量深度后的剂量测量方法,影响电离室剂量测量的主要因素,6.14 单野照射的剂量传输单野照射的剂量跳数的计算6.16 端效应端效应的计算第七章光子射线外照射放射治疗的临床治疗计划7.2 体积的定义三维治疗计划需要定义的主要的靶区体积,肿瘤区,临床靶区,内靶区、计划靶区和危及器官7.3 剂量规范靶区最小剂量,靶区最大剂量,靶区平均剂量,剂量参考点(剂量规定点)和位置建议7.4 病人数据的获取和模拟需要的病人数据,二维治疗计划,三维治疗计划,治疗模拟的任务,CT模拟和常规模拟机,病人的体位固定方式和作用,照射野几何参数的确定,病人单层或数层层面的获取方式,基于病人数据获取的CT扫描和虚拟模拟,数字重建的射野影像,射野方向观,CT模拟的具体过程,CT模拟和常规模拟的差别,用于治疗计划的核磁共振影像,7.5 光子射线临床应用的思考等剂量线,楔形板的类别和作用,楔形因子的定义,补偿膜的的作用,补偿器厚度的计算,人体曲面修正的方法,不均匀组织的修正方法,多野照射技术的临床应用,旋转照射技术,射野衔接技术,7.6 计划评估等剂量线的评估,剂量统计,剂量-体积直方图,射野胶片和在线射野影像7.7 治疗时间和跳数的计算源皮距摆位技术的治疗时间和跳数计算, 等中心照射技术的治疗跳数和时间的计算, 剂量分布的归一方法,包含在剂量分布中的输出参数,X射线机和钴-60治疗机治疗时间的计算第八章电子束:物理和临床方面8.1 中心轴深度剂量曲线深度剂量曲线、电子与物质的相互作用反平方定律 (虚源位置) 高能电子束射野剂量学建成区 (表面剂量到最大剂量之间的深度) 不同能量电子束的百分深度剂量曲线8.2 电子束剂量学参数电子线能量说明不同深度的剂量参数百分深度剂量照射野对百分深度剂量的影响斜入射电子束百分深度剂量输出因素 R90治疗范围Profiles和离轴比平坦度和对称性8.3 电子束治疗的临床应用剂量说明和报告小射野选择等剂量曲线射野形状低熔点铅档不规则表面修正填充物不均性修正电子束射野衔接电子束弧形照射电子束治疗计划第九章光子和电子束的剂量校准9.1 前言量热法化学剂量计电离室计量计石墨量热计密封水量热计弗瑞克剂量计参考剂量计医用射线束的校准与测量9.2 电离室剂量学系统电离室的构成电离室基本原理指形电离室平行板电离室模体材料水等效9.3 影响电离室剂量校准的参数电离室的方向性电离室的饱和效应电离室的漏电流电离室的杆效应电离室的复合效应电离室的极化效应气压温度修正9.4 使用校准电离室测量吸收剂量电离室吸收剂量测量规程基于空气比释动能的校准系数的规程基于水中吸收剂量的校准系数的规程9.5 阻止本领率电子阻止本领率光子阻止本领率9.6 质能吸收系数率质能吸收系数率9.7 扰动校准因子扰动校准因子有效测量点电离室壁的扰动因子中心电极的扰动因子9.8 射线质的描述低能X线,中低能X线,高能(MV级)X线,高能电子束辐射质9.9 高能光子和电子束的剂量校准高能X线吸收剂量校准高能电子束吸收剂量校准 IAEA TRS 277报告 IAEA TRS 398报告9.10 中低能X射线吸收剂量校准中低能X射线吸收剂量校准9.11 电离室测量偏差和不确定性分析不确定性分类校准过程的不确定性第十章验收测试和临床测试10.1 简介放疗设备使用前测试项目10.2 测量设备辐射环境检测仪,离子计型剂量测定设备,胶片,半导体,模体(辐射野分析器和固体水模体)10.3 验收测试安全检查(联锁、警告信号灯和病人监护设备;辐射防护探测准直器和头漏射)机械检查准直轴的旋转轴,灯光与射野的一致性,臂架的旋转,治疗床的旋转,等中心旋转,光距尺,臂架角度,准直器大小指示,治疗床的运动)剂量测量光子射野(能量,射野平坦度和射野对称性,半影),电子射野(能量,电子线污染,均匀性,半影),剂量刻度,弧度治疗10.4 临床测试光子射野测量:中心轴PDD,输出因子,挡块托盘因子,多叶准直器,中心轴楔形野穿透因子,动态楔形板,离轴比曲线/离轴能量改变,入射剂量和界面剂量学,虚源位置电子射野测量:中心轴PDD,输出因子,离轴比曲线,虚源位置10.5 临床测试需要的时间第十一章光子射线外照射计算机治疗计划系统11.1 治疗计划系统的硬件TPS基本硬件组成11.2 治疗计划系统的配置11.3 系统软件和计算算法计算算法:算法的发展,分析模型法,Milan–Bentley模型,Clarkson 积分法,卷积方式,蒙特卡罗或随机取样方法,笔形束算法射野修饰的影响:光子束修饰器(光栏,挡块,补偿器,MLC,楔形板)和电子束修饰器(限光筒,挡块,bolus等)组织不均匀修正,图像显示(BEV、REV、DRR、DCR)和剂量体积直方图(积分DVH、微分DVH、natural DVH),优化和MU计算,记录与验证系统,生物模型11.4 数据获取与输入治疗机数据(机械运动与限制、楔形板的限制、MLC、物理补偿的材料、电子窗),射野数据获得和输入,病人数据(影像、输入方式、CT值转换)11.5 临床验证与质量保证错误,验证,抽样调查,归一化和射野权重的选择,剂量体积直方图与优化,培训和归档,定期的质量保证,需注意的特殊技术第十二章放射治疗的质量保证12.1 前言定义放射治疗的质量保证要求精确放射治疗的需求放射治疗事故12.2 质量保证管理指标12.3 放射治疗设备的质量保证钴-60治疗机的质量保证质量控制指标医用加速器的质量保证指标模拟定位机的质量保证指标 CT扫描和CT模拟的质量保证指标治疗计划系统的质量保证质量控制指标12.4 治疗实施病历射野成像射野成像技术未来射野影像的发展12.5 质量核查定义实际的质量审核样式放射剂量测量比对在哪一方面质量核查随访应该仔细检查第十三章近距离治疗物理和临床特点13.1 前言近距离治疗的方式近距离治疗的分类近距离治疗的特点13.2 光子放射源特点临床要求光子放射源的物理特性放射源的机械特性参考空气比释动能率空气比释动能强度显活度毫克镭当量β射线源参考吸收剂量率13.3 临床应用和剂量学系统13.3.1 妇科肿瘤腔内近距离治疗放射源的类型曼彻斯特系统 ICRU系统直肠和膀胱的剂量监测13.3.2 组织间近距离治疗剂量学系统 Patterson-Parker(Manchester)系统 Quimby(Memorial)系统巴黎系统巴黎系统设置放射源规则巴黎系统标称(参考)剂量率巴黎系统基准剂量率13.3.3 远距离后装治疗系统远距离后装治疗装置的优点远距离后装治疗系统的基本部件远距离后装治疗装置常用的放射源远距离后装治疗装置类型及特点13.3.4 前列腺的永久性植入治疗前列腺植入治疗的放射源治疗计划技术预计划籽粒植入剂量分布植入后的剂量评估13.3.5 眼敷贴器眼敷贴器治疗技术13.3.6 血管内照射血管内照射技术13.4 剂量定义和报告腔内治疗组织间治疗13.5 放射源周围剂量分布剂量率常数几何因子径向剂量函数各向异性函数 Meisberger多项式Sievert积分13.6 剂量计算过程和方法剂量的手工累加方法放射源的定位剂量分布的优化参考点的选择衰减校正13.7 近距离治疗计算机治疗计划系统的临床应用测试重建过程的检测物理量和单位一致性检测单一放射源计算机与手工剂量计算衰减校正的检测13.8 放射源的临床应用测试接触检测活度的自动放射影像和均匀性检测校准链13.9 质量保证第十四章基础放射生物学14.1 前言放射生物学细胞体细胞胚细胞细胞分裂体细胞的分类组织器官器官系统14.2 放射生物学中辐射的类型线性能量传递(LET) 照射中常用的典型LET值低LET辐射(稀疏电离辐射)高LET辐射(致密电离辐射)14.3 细胞周期和细胞死亡有丝分裂期(M) DNA合成期(S) G1和G2期细胞周期时间细胞死亡14.4 细胞的照射辐射的生物效应辐射对细胞损伤的直接作用辐射对细胞损伤的间接作用受照射细胞的命运14.5 辐射损伤的类型放射的早期效应放射的晚期效应致死损伤亚致死损伤潜在致死损伤躯体效应遗传效应随机效应注定(非随机)效应急性效应晚期效应全身照射反应胎儿的辐射14.6 细胞存活曲线细胞存活曲线线性二次模型α/β比值多靶单击模型14.7 剂量效应曲线剂量效应曲线早反应组织晚反应组织14.8 组织放射损伤的测量克隆形成分析功能分析死亡率分析14.9 正常和肿瘤细胞:治疗比肿瘤控制概率(TCP)正常组织并发症概率( NTCP)治疗比14.10 氧效应氧增强比(OER) 再氧合14.11 相对生物效应相对生物效应(RBE) RBE变化特点14.12 剂量率和分次放射治疗中使用的剂量率 5个主要生物学因素(5Rs) 常规分割以增进治疗比为目的分次方案14.13 放射防护剂和放射增敏剂放射防护剂剂量修饰因子(DMF)放射增敏剂含硼化合物第十五章放射治疗特殊技术与方法15.1 概述熟悉临床各种放射治疗技术。
直线加速器
第二次世界大战结束后,军用技术转为民用,使放疗设备出现了戏剧性的变化。
被限制发展雷达微波设备的德国利用交变磁场对电子的作用开发了感应加速器分支,而英、美等国却充分利用雷达技术发展了行波和驻波直线加速器。
随着高能核物理学的发展,还建造了功率大、能量高的粒子回旋加速器和巨型高能直线加速器,以宏大的设备,研究原子的微观世界。
一、电子直线加速器的基本结构和系统
电子直线加速器是指电子被加速径迹成直线,按微波传输的特点电子直线加速器又分为行波和驻波直线加速器两类。
图1-4-7展示了直线加速器的基本结构和系统,它包括:电子枪、微波功率源(磁控管或速调管)、波导管(隔离器、RF监测器、相移器、RF吸收负载、RF 窗)、DC直流电源(射频发生器、脉冲调制器、枪发射延时电路)、真空系统(真空泵)、伺服系统(聚焦线圈、对中线圈)、偏转系统(偏转室、偏转磁铁)、剂量监测系统、治疗机头、治疗床等。
二、电子在直线加速器中的加速过程
电子被加速的过程分三个阶段:一是电子枪发射初始速度大约为0﹒45倍光速的电子,并被注入加速管;二是聚束段(Bunching Section)电子被持续稳定的加速,速度和能量不断地提升;第三阶段称谓相对论段,当光子接近光速c(300,000,000m/s)时,电子从微波中按相对论方式获取能量,这时电子的速度不再增长,而依质能转换规律使质量不断增加。
例如电子能量从1MeV增至5MeV时,速度仅增长
6%,即由0.94c升至0.996c,而能量却提升了五倍。
直线加速器与粒子加速近代科技的发展使得粒子加速技术越来越重要。
而直线加速器是一种广泛运用于粒子加速的装置。
本文将探讨直线加速器的原理和应用,并展望其未来发展的可能性。
一、直线加速器的原理直线加速器是一种利用电场和磁场加速带电粒子的装置。
其基本原理是通过电场在一直线管道中加速带电粒子,而后利用磁场对其进行聚束,最终加速粒子到高速。
其关键部件主要包括加速管道、电场和磁场控制系统。
加速管道是直线加速器的核心组成部分,通常采用金属或陶瓷材料制成。
在管道内,通过电场的施加,带电粒子将获得加速力,从而不断增加速度,直到达到所需的能量。
电场和磁场控制系统用于控制带电粒子在加速过程中的方向和速度。
电场通过在加速管道中施加电势差,使带电粒子受到电场力,从而加速。
而磁场则用于对带电粒子进行聚束,防止其偏离预期轨道。
二、直线加速器的应用直线加速器的应用广泛,涵盖了许多领域。
以下是其中几个常见的应用领域。
1. 粒子物理研究直线加速器在粒子物理研究中起着至关重要的作用。
例如,欧洲核子研究中心(CERN)的大型强子对撞机(LHC)就是采用了直线加速器技术。
通过将带电粒子加速到极高能量,并使其在对撞点相互碰撞,科学家们可以观察到微观世界更深层次的结构和现象。
2. 医学诊断与治疗直线加速器在医学领域中被广泛应用于诊断和治疗。
在放射治疗中,直线加速器可以用来产生高能量的射线,用于治疗癌症等疾病。
它可以通过集束化的粒子流束向病变组织发射高能粒子,精确杀灭癌细胞,减少对健康组织的损害。
3. 材料研究与分析直线加速器也可以用于材料研究和分析。
通过将带电粒子加速到高速,然后使其与待研究的材料发生碰撞,科学家们可以观察和分析材料的结构和性质。
这种技术在材料科学、化学和生物学等领域中有着广泛的应用。
三、直线加速器的未来发展随着科学技术的不断进步,直线加速器在未来有着更广阔的发展前景。
1. 高能加速器的发展未来,直线加速器的主要发展方向之一是提高加速能力和粒子能量。