工程热力学课后作业答案(第二章)第五版
- 格式:doc
- 大小:138.50 KB
- 文档页数:4
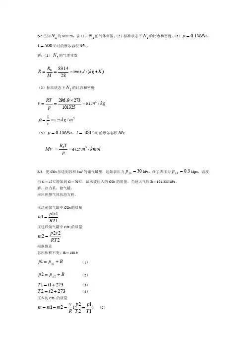
工程热力学(第五版)习题答案工程热力学(第五版)廉乐明 谭羽非等编中国建筑工业出版社第二章 气体的热力性质2-2.已知2N 的M =28,求(1)2N 的气体常数;(2)标准状态下2N 的比容和密度;(3)MPa p 1.0=,500=t ℃时的摩尔容积Mv 。
解:(1)2N 的气体常数2883140==M R R =296.9)/(K kg J ∙(2)标准状态下2N 的比容和密度1013252739.296⨯==p RT v =0.8kg m /3v 1=ρ=1.253/m kg (3)MPa p 1.0=,500=t ℃时的摩尔容积MvMv =p TR 0=64.27kmol m /32-3.把CO2压送到容积3m3的储气罐里,起始表压力301=g p kPa ,终了表压力3.02=g p Mpa ,温度由t1=45℃增加到t2=70℃。
试求被压入的CO2的质量。
当地大气压B =101.325 kPa 。
解:热力系:储气罐。
应用理想气体状态方程。
压送前储气罐中CO2的质量1111RT v p m =压送后储气罐中CO2的质量2222RT v p m =根据题意容积体积不变;R =188.9B p p g +=11 (1)B p p g +=22 (2)27311+=t T (3)27322+=t T(4) 压入的CO2的质量)1122(21T p T p R v m m m -=-= (5)将(1)、(2)、(3)、(4)代入(5)式得m=12.02kg2-5当外界为标准状态时,一鼓风机每小时可送300 m3的空气,如外界的温度增高到27℃,大气压降低到99.3kPa ,而鼓风机每小时的送风量仍为300 m3,问鼓风机送风量的质量改变多少?解:同上题1000)273325.1013003.99(287300)1122(21⨯-=-=-=T p T p R v m m m =41.97kg2-6 空气压缩机每分钟自外界吸入温度为15℃、压力为0.1MPa 的空气3 m3,充入容积8.5 m3的储气罐内。
2-2.已知2N 的M =28,求(1)2N 的气体常数;(2)标准状态下2N 的比容和密度;(3)MPa p 1.0=,500=t ℃时的摩尔容积Mv 。
解:(1)2N 的气体常数2883140==M R R =296.9)/(K kg J ∙(2)标准状态下2N 的比容和密度1013252739.296⨯==p RT v =0.8kg m /3 v 1=ρ=1.253/m kg (3)MPa p 1.0=,500=t ℃时的摩尔容积MvMv =p TR 0=64.27kmol m /32-3.把CO 2压送到容积3m 3的储气罐里,起始表压力301=g p kPa ,终了表压力3.02=g p Mpa ,温度由t1=45℃增加到t2=70℃。
试求被压入的CO 2的质量。
当地大气压B =101.325 kPa 。
解:热力系:储气罐。
应用理想气体状态方程。
压送前储气罐中CO 2的质量1111RT v p m = 压送后储气罐中CO 2的质量 2222RT v p m =根据题意容积体积不变;R =188.9B p p g +=11(1) B p p g +=22(2) 27311+=t T(3) 27322+=t T(4) 压入的CO 2的质量)1122(21T p T p R v m m m -=-= (5)将(1)、(2)、(3)、(4)代入(5)式得m=12.02kg2-5当外界为标准状态时,一鼓风机每小时可送300 m 3的空气,如外界的温度增高到27℃,大气压降低到99.3kPa ,而鼓风机每小时的送风量仍为300 m 3,问鼓风机送风量的质量改变多少?解:同上题1000)273325.1013003.99(287300)1122(21⨯-=-=-=T p T p R v m m m =41.97kg 2-6 空气压缩机每分钟自外界吸入温度为15℃、压力为0.1MPa 的空气3 m 3,充入容积8.5 m 3的储气罐内。
2-2.已知2N 的M =28,求(1)2N 的气体常数;(2)标准状态下2N 的比容和密度;(3)MPa p 1.0=,500=t ℃时的摩尔容积Mv 。
解:(1)2N 的气体常数2883140==M R R =296.9)/(K kg J ∙ (2)标准状态下2N 的比容和密度1013252739.296⨯==p RT v =0.8kg m/3v1=ρ=1.253/m kg (3)MPa p 1.0=,500=t ℃时的摩尔容积MvMv =pT R 0=64.27kmol m/32-3.把CO 2压送到容积3m 3的储气罐里,起始表压力301=g p kPa ,终了表压力3.02=g p Mpa ,温度由t1=45℃增加到t2=70℃。
试求被压入的CO 2的质量。
当地大气压B =101.325 kPa 。
解:热力系:储气罐。
应用理想气体状态方程。
压送前储气罐中CO 2的质量 压送后储气罐中CO 2的质量 根据题意容积体积不变;R =188.9B p p g +=11 (1) B p p g +=22(2) 27311+=t T(3) 27322+=t T(4)压入的CO 2的质量)1122(21T p T p R v m m m -=-= (5)将(1)、(2)、(3)、(4)代入(5)式得 m=12.02kg2-5当外界为标准状态时,一鼓风机每小时可送300 m 3的空气,如外界的温度增高到27℃,大气压降低到99.3kPa ,而鼓风机每小时的送风量仍为300 m 3,问鼓风机送风量的质量改变多少? 解:同上题1000)273325.1013003.99(287300)1122(21⨯-=-=-=T p T p R v m m m =41.97kg2-6 空气压缩机每分钟自外界吸入温度为15℃、压力为0.1MPa 的空气3 m 3,充入容积8.5 m 3的储气罐内。
设开始时罐内的温度和压力与外界相同,问在多长时间内空气压缩机才能将气罐的表压力提高到0.7MPa ?设充气过程中气罐内温度不变。
工程热力学课后习题作业及答案解析(第五版)2-2.已知2N 的M =28,求(1)2N 的气体常数;(2)标准状态下2N 的比容和密度;(3)MPa p 1.0=,500=t ℃时的摩尔容积Mv 。
解:(1)2N 的气体常数2883140==M R R =296.9)/(K kg J ∙(2)标准状态下2N 的比容和密度1013252739.296⨯==p RT v =0.8kg m /3v1=ρ=1.253/m kg (3)MPa p 1.0=,500=t ℃时的摩尔容积MvMv =pT R 0=64.27kmol m /32-3.把CO 2压送到容积3m 3的储气罐里,起始表压力301=g p kPa ,终了表压力3.02=g p Mpa ,温度由t1=45℃增加到t2=70℃。
试求被压入的CO 2的质量。
当地大气压B =101.325kPa 。
解:热力系:储气罐。
应用理想气体状态方程。
压送前储气罐中CO 2的质量1111RT v p m =压送后储气罐中CO 2的质量2222RT v p m =根据题意容积体积不变;R =188.9Bp p g +=11(1)B p p g +=22(2)27311+=t T (3)27322+=t T (4)压入的CO 2的质量)1122(21T p T p R v m m m -=-=(5)将(1)、(2)、(3)、(4)代入(5)式得m=12.02kg2-5当外界为标准状态时,一鼓风机每小时可送300m 3的空气,如外界的温度增高到27℃,大气压降低到99.3kPa ,而鼓风机每小时的送风量仍为300m 3,问鼓风机送风量的质量改变多少?解:同上题1000)273325.1013003.99(287300)1122(21⨯-=-=-=T p T p R v m m m =41.97kg 2-6空气压缩机每分钟自外界吸入温度为15℃、压力为0.1MPa 的空气3m 3,充入容积8.5m 3的储气罐内。
2-2.已知2N 的M =28,求(1)2N 的气体常数;(2)标准状态下2N 的比容和密度;(3)MPa p1.0=,500=t ℃时的摩尔容积Mv 。
解:(1)2N 的气体常数2883140==M R R =296.9)/(K kg J • (2)标准状态下2N 的比容和密度1013252739.296⨯==p RT v =0.8kg m/3v1=ρ=1.253/m kg (3)MPa p 1.0=,500=t ℃时的摩尔容积MvMv =pT R 0=64.27kmol m/32-3.把CO 2压送到容积3m 3的储气罐里,起始表压力301=g p kPa ,终了表压力3.02=g p Mpa ,温度由t1=45℃增加到t2=70℃。
试求被压入的CO 2的质量。
当地大气压B =101.325 kPa 。
解:热力系:储气罐。
应用理想气体状态方程。
压送前储气罐中CO 2的质量1111RT v p m =压送后储气罐中CO 2的质量2222RT v p m =根据题意容积体积不变;R =188.9B p p g +=11 (1) B p p g +=22(2) 27311+=t T (3) 27322+=t T(4)压入的CO 2的质量)1122(21T p T p R v m m m -=-= (5)将(1)、(2)、(3)、(4)代入(5)式得 m=12.02kg2-5当外界为标准状态时,一鼓风机每小时可送300 m 3的空气,如外界的温度增高到27℃,大气压降低到99.3kPa ,而鼓风机每小时的送风量仍为300 m 3,问鼓风机送风量的质量改变多少? 解:同上题1000)273325.1013003.99(287300)1122(21⨯-=-=-=T p T p R v m m m =41.97kg2-6 空气压缩机每分钟自外界吸入温度为15℃、压力为0.1MPa 的空气3 m 3,充入容积8.5 m 3的储气罐。
第一章 基本概念1-1 华氏温标规定在标准大气压(101325 Pa )下纯水的冰点是32F ,汽点是212F (F 是华氏温标温度单位的符号)。
试推导华氏温度与摄氏温度的换算关系。
提示和答案:C F {}0{}32212321000t t ︒︒--=--, F C 9{}{}325t t ︒︒=+。
1-2 英制系统中的兰氏温标(兰氏温标与华氏温标的关系相当于热力学温标与摄氏温标的关系),其温度以符号R 表示。
兰氏温度与华氏温度的关系为{T }°R = {t }°F + 459.67。
已知开尔文温标及朗肯温标在纯水冰点的读数分别是273.15K 和491.67R ;汽点的读数分别是373.15K 和671.67R 。
(1)导出兰氏温度和开尔文温度的关系式;(2)开尔文温标上绝对零度在兰氏温标上是多少度?(3)画出摄氏温标、开尔文温标、华氏温标和兰氏温标之间的对应关系。
提示和答案:RK {}491.67671.67491.67373.15273.15{}273.15T T ︒--=--。
R K {} 1.8{}T T ︒=; R {}0R T ︒=︒;略 1-3 设一新的温标,用符号N 表示温度单位,它的绝对温标用Q 表示温度单位。
规定纯水的冰点和汽点分别是100N 和1000N ,试求:(1)该新温标和摄氏温标的关系;(2)若该温标的绝对温度零度与热力学温标零度相同,则该温标读数为0N 时,其绝对温标读数是多少Q ?提示和答案:(1)N C {}100{}010001001000t t ︒︒--=--;N C {}9{}100t t ︒︒=+(2)Q N C {}{}9{}100T t t ︒︒︒=+=++常数常数,{T } K = 0 K 时, {Q}0Q T ︒=︒ 解得式中常数,代回原式。
;Q N {}{}2358.35T t ︒︒=+, Q {}2358.385N T ︒=︒1-4 直径为1m 的球形刚性容器,抽气后真空度为752.5mmHg ,(1)求容器内绝对压力为多少Pa ;(2)若当地大气压力为0.101MPa ,求容器表面受力多少N? 提示和答案:b v 691.75Pa p p p =-=;600.31510N F A p =∆=⨯。
工程热力学(第五版)课后习题答案(全章节)廉乐明-谭羽非等编工程热力学(第五版)习题答案工程热力学(第五版)廉乐明 谭羽非等编 中国建筑工业出版社第二章 气体的热力性质2-2.已知2N 的M =28,求(1)2N 的气体常数;(2)标准状态下2N 的比容和密度;(3)MPa p 1.0=,500=t ℃时的摩尔容积Mv 。
解:(1)2N 的气体常数2883140==M R R =296.9)/(K kg J •(2)标准状态下2N 的比容和密度1013252739.296⨯==p RT v =0.8kg m /3v 1=ρ=1.253/m kg(3)MPa p 1.0=,500=t ℃时的摩尔容积Mv Mv =p T R 0=64.27kmol m/32-3.把CO2压送到容积3m3的储气罐里,起始表压力301=g p kPa ,终了表压力3.02=g p Mpa ,温度由t1=45℃增加到t2=70℃。
试求被压入的CO2的质量。
当地大气压B =101.325 kPa 。
解:热力系:储气罐。
应用理想气体状态方程。
压送前储气罐中CO2的质量1111RT v p m =压送后储气罐中CO2的质量2222RT v p m =根据题意容积体积不变;R =188.9Bp p g +=11 (1) Bp p g +=22 (2) 27311+=t T(3) 27322+=t T(4)压入的CO2的质量)1122(21T p T p R v m m m -=-=(5)将(1)、(2)、(3)、(4)代入(5)式得 m=12.02kg2-5当外界为标准状态时,一鼓风机每小时可送300 m3的空气,如外界的温度增高到27℃,大气压降低到99.3kPa ,而鼓风机每小时的送风量仍为300 m3,问鼓风机送风量的质量改变多少? 解:同上题1000)273325.1013003.99(287300)1122(21⨯-=-=-=T p T p R v m m m =41.97kg2-6 空气压缩机每分钟自外界吸入温度为15℃、压力为0.1MPa 的空气3 m3,充入容积8.5 m3的储气罐内。
工程热力学答案陶文铨第五版
工程热力学答案陶文铨第五版 1是一本由沈维道等人所编撰的大学相关专业教材图书,该书介绍了热力学的发展简史、相关定律、热力学一般关系式、以及气体动力循环等知识,概念阐述清晰透彻,《工程热力学(第五版)》全书共13章,以能量传递、转移过程中数量守恒和质量蜕变为主线阐述了工程热力学的基本概念、基本定律,气体及蒸汽的热力性质,各种热力过程和循环的分析计算及热力学在化学过程中的应用等内容。
工程热力学答案陶文铨第五版 1pdf下载。
工程热力学答案陶文铨第五版 1pdf是一本非常热门的教学图书。
这本图书是由沈维道等人所编撰的,该书籍介绍了热力学的发展简史、气体动力循环等知识,有兴趣的用户自行下载吧。
工程热力学答案陶文铨第五版 1
《工程热力学(第五版)》全书共13章,以能量传递、转移过程中数量守恒和质量蜕变为主线阐述了工程热力学的基本概念、基本定律,气体及蒸汽的热力性质,各种热力过程和循环的分析计算及热力学在化学过程中的应用等内容。
工程热力学答案陶文铨第五版 2
0—1热能及其利用
0—2热力学发展简史
0—3工程热力学的主要内容及研究方法
第一章基本概念及定义
1—1热能和机械能相互转换的过程
1—2热力系统
1—3工质的热力学状态及其基本状态参数1—4平衡状态、状态方程式、坐标图1—5工质的状态变化过程
1—6过程功和热量
1—7热力循环
本章归纳
思考题
习题
第二章热力学第一定律
2—1热力学第一定律的实质
2—2热力学能和焓
2—3热力学第一定律的基本能量方程式2—4开口系统能量方程式
2—5能量方程式的应用
*2—6人体的能量平衡。
2-2.已知2N 的M =28,求(1)2N 的气体常数;(2)标准状态下2N 的比容和密度;(3)MPa p 1.0=,500=t ℃时的摩尔容积Mv 。
解:(1)2N 的气体常数2883140==M R R =296.9)/(K kg J ∙ (2)标准状态下2N 的比容和密度1013252739.296⨯==p RT v =0.8kg m /3v1=ρ=1.253/m kg (3)MPa p 1.0=,500=t ℃时的摩尔容积MvMv =pT R 0=64.27kmol m/32-3.把CO 2压送到容积3m 3的储气罐里,起始表压力301=g p kPa ,终了表压力3.02=g p Mpa ,温度由t1=45℃增加到t2=70℃。
试求被压入的CO 2的质量。
当地大气压B =101.325 kPa 。
解:热力系:储气罐。
应用理想气体状态方程。
压送前储气罐中CO 2的质量1111RT v p m =压送后储气罐中CO 2的质量2222RT v p m =根据题意容积体积不变;R =188.9B p p g +=11 (1) B p p g +=22(2)27311+=t T (3) 27322+=t T(4)压入的CO 2的质量)1122(21T p T p R v m m m -=-= (5)将(1)、(2)、(3)、(4)代入(5)式得m=12.02kg2-5当外界为标准状态时,一鼓风机每小时可送300 m 3的空气,如外界的温度增高到27℃,大气压降低到99.3kPa ,而鼓风机每小时的送风量仍为300 m 3,问鼓风机送风量的质量改变多少? 解:同上题1000)273325.1013003.99(287300)1122(21⨯-=-=-=T p T p R v m m m =41.97kg2-6 空气压缩机每分钟自外界吸入温度为15℃、压力为0.1MPa 的空气3 m 3,充入容积8.5 m 3的储气罐内。
工程热力学(第五版)习题答案工程热力学(第五版)廉乐明 谭羽非等编第二章 气体的热力性质2-2.已知2N 的M =28,求(1)2N 的气体常数;(2)标准状态下2N 的比容和密度;(3)MPa p 1.0=,500=t ℃时的摩尔容积Mv 。
解:(1)2N 的气体常数2883140==M R R =296.9)/(K kg J ∙(2)标准状态下2N 的比容和密度1013252739.296⨯==p RT v =0.8kg m /3v 1=ρ=1.253/m kg(3)MPa p 1.0=,500=t ℃时的摩尔容积MvMv =pT R 0=64.27kmol m/32-3.把CO2压送到容积3m3的储气罐里,起始表压力301=g p kPa ,终了表压力3.02=g p Mpa ,温度由t1=45℃增加到t2=70℃。
试求被压入的CO2的质量。
当地大气压B =101.325 kPa 。
解:热力系:储气罐。
应用理想气体状态方程。
压送前储气罐中CO2的质量1111RT v p m =压送后储气罐中CO2的质量2222RT v p m =根据题意容积体积不变;R =188.9Bp p g +=11 (1) Bp p g +=22(2) 27311+=t T (3) 27322+=t T(4)压入的CO2的质量)1122(21T p T p R v m m m -=-=(5)将(1)、(2)、(3)、(4)代入(5)式得 m=12.02kg2-5当外界为标准状态时,一鼓风机每小时可送300 m3的空气,如外界的温度增高到27℃,大气压降低到99.3kPa ,而鼓风机每小时的送风量仍为300 m3,问鼓风机送风量的质量改变多少? 解:同上题1000)273325.1013003.99(287300)1122(21⨯-=-=-=T p T p R v m m m =41.97kg2-6 空气压缩机每分钟自外界吸入温度为15℃、压力为0.1MPa 的空气3 m3,充入容积8.5 m3的储气罐内。
2-2.已知2N 的M =28,求(1)2N 的气体常数;(2)标准状态下2N 的比容和密度;(3)MPa p 1.0=,500=t ℃时的摩尔容积Mv 。
解:(1)2N 的气体常数2883140==MR R =296.9)/(K kg J ∙(2)标准状态下2N 的比容和密度1013252739.296⨯==pRT v =0.8kg m /3v1=ρ=1.253/m kg(3)MPa p 1.0=,500=t ℃时的摩尔容积MvMv =pT R 0=64.27kmol m /32-3.把CO 2压送到容积3m 3的储气罐里,起始表压力301=g p kPa ,终了表压力3.02=g p Mpa ,温度由t1=45℃增加到t2=70℃。
试求被压入的CO 2的质量。
当地大气压B =101.325 kPa 。
解:热力系:储气罐。
应用理想气体状态方程。
压送前储气罐中CO 2的质量1111RT v p m =压送后储气罐中CO 2的质量2222RT v p m =根据题意容积体积不变;R =188.9B p p g +=11 (1) B p p g +=22(2)27311+=t T (3) 27322+=t T(4)压入的CO 2的质量)1122(21T p T p R vm m m -=-= (5)将(1)、(2)、(3)、(4)代入(5)式得 m=12.02kg2-5当外界为标准状态时,一鼓风机每小时可送300 m 3的空气,如外界的温度增高到27℃,大气压降低到99.3kPa ,而鼓风机每小时的送风量仍为300 m 3,问鼓风机送风量的质量改变多少? 解:同上题1000)273325.1013003.99(287300)1122(21⨯-=-=-=T p T p R vm m m =41.97kg2-6 空气压缩机每分钟自外界吸入温度为15℃、压力为0.1MPa 的空气3 m 3,充入容积8.5 m 3的储气罐内。
工程热力学(第五版)习题答案2-3.把CO2压送到容积3m3的储气罐里,起始表压力301=g p kPa ,终了表压力3.02=g p Mpa ,温度由t1=45℃增加到t2=70℃。
试求被压入的CO2的质量。
当地大气压B =101.325 kPa 。
解:热力系:储气罐。
应用理想气体状态方程。
压送前储气罐中CO2的质量1111RT v p m =压送后储气罐中CO2的质量2222RT v p m =根据题意容积体积不变;R =188.9Bp p g +=11 (1) Bp p g +=22(2) 27311+=t T(3) 27322+=t T(4)压入的CO2的质量)1122(21T p T p R v m m m -=-= (5)将(1)、(2)、(3)、(4)代入(5)式得 m=12.02kg第二章 气体的热力性质2-2.已知2N 的M =28,求(1)2N 的气体常数;(2)标准状态下2N 的比容和密度;(3)MPa p 1.0=,500=t ℃时的摩尔容积Mv 。
解:(1)2N 的气体常数2883140==M R R =296.9)/(K kg J •(2)标准状态下2N 的比容和密度1013252739.296⨯==p RT v =0.8kg m /3v 1=ρ=1.253/m kg(3)MPa p 1.0=,500=t ℃时的摩尔容积MvMv =p TR 0=64.27kmol m /32-5当外界为标准状态时,一鼓风机每小时可送300 m3的空气,如外界的温度增高到27℃,大气压降低到99.3kPa ,而鼓风机每小时的送风量仍为300 m3,问鼓风机送风量的质量改变多少? 解:同上题1000)273325.1013003.99(287300)1122(21⨯-=-=-=T p T p R v m m m =41.97kg2-6 空气压缩机每分钟自外界吸入温度为15℃、压力为0.1MPa 的空气3 m3,充入容积8.5 m3的储气罐内。
2-2.已知2N 的M =28,求(1)2N 的气体常数;(2)标准状态下2N 的比容和密度;(3)MPa p 1.0=,500=t ℃时的摩尔容积Mv 。
解:(1)2N 的气体常数2883140==M R R =296.9)/(K kg J ∙ (2)标准状态下2N 的比容和密度1013252739.296⨯==p RT v =0.8kg m /3 v1=ρ=1.253/m kg(3)MPa p 1.0=,500=t ℃时的摩尔容积MvMv =pTR 0=64.27kmol m /32-3.把CO 2压送到容积3m 3的储气罐里,起始表压力301=g p kPa ,终了表压力3.02=g p Mpa ,温度由t1=45℃增加到t2=70℃。
试求被压入的CO 2的质量。
当地大气压B =101.325 kPa 。
解:热力系:储气罐。
应用理想气体状态方程。
压送前储气罐中CO 2的质量1111RT v p m =压送后储气罐中CO 2的质量2222RT v p m =根据题意容积体积不变;R =188.9B p p g +=11 (1) B p p g +=22(2)27311+=t T (3) 27322+=t T (4) 压入的CO 2的质量)1122(21T p T p R v m m m -=-= (5)将(1)、(2)、(3)、(4)代入(5)式得 m=12.02kg2-5当外界为标准状态时,一鼓风机每小时可送300 m 3的空气,如外界的温度增高到27℃,大气压降低到99.3kPa ,而鼓风机每小时的送风量仍为300 m 3,问鼓风机送风量的质量改变多少?解:同上题1000)273325.1013003.99(287300)1122(21⨯-=-=-=T p T p R v m m m =41.97kg2-6 空气压缩机每分钟自外界吸入温度为15℃、压力为0.1MPa 的空气3 m 3,充入容积8.5 m 3的储气罐内。
工程热力学(第五版)习题答案工程热力学(第五版)廉乐明 谭羽非等编 中国建筑工业出版社第二章 气体的热力性质2-2.已知2N 的M =28,求(1)2N 的气体常数;(2)标准状态下2N 的比容和密度;(3)MPa p 1.0=,500=t ℃时的摩尔容积Mv 。
解:(1)2N 的气体常数2883140==M R R =296.9)/(K kg J •(2)标准状态下2N 的比容和密度1013252739.296⨯==p RT v =0.8kg m /3v 1=ρ=1.253/m kg(3)MPa p 1.0=,500=t ℃时的摩尔容积MvMv =p T R 0=64.27kmol m/32-3.把CO2压送到容积3m3的储气罐里,起始表压力301=g p kPa ,终了表压力3.02=g p Mpa ,温度由t1=45℃增加到t2=70℃。
试求被压入的CO2的质量。
当地大气压B =101.325 kPa 。
解:热力系:储气罐。
应用理想气体状态方程。
压送前储气罐中CO2的质量1111RT v p m =压送后储气罐中CO2的质量2222RT v p m =根据题意容积体积不变;R =188.9g1(1)g 2 (2) 27311+=t T (3) 27322+=t T(4)压入的CO2的质量)1122(21T p T p R v m m m -=-=(5)将(1)、(2)、(3)、(4)代入(5)式得 m=12.02kg2-5当外界为标准状态时,一鼓风机每小时可送300 m3的空气,如外界的温度增高到27℃,大气压降低到99.3kPa ,而鼓风机每小时的送风量仍为300 m3,问鼓风机送风量的质量改变多少? 解:同上题1000)273325.1013003.99(287300)1122(21⨯-=-=-=T p T p R v m m m =41.97kg2-6 空气压缩机每分钟自外界吸入温度为15℃、压力为0.1MPa 的空气3 m3,充入容积8.5 m3的储气罐内。
2-2.已知2N 的M =28,求(1)2N 的气体常数;(2)标准状态下2N 的比容和密度;(3)MPa p 1.0=,500=t ℃时的摩尔容积Mv 。
解:(1)2N 的气体常数
2883140==M R R =296.9)/(K kg J ∙
(2)标准状态下2N 的比容和密度
101325
2739.296⨯==p RT v =0.8kg m /3 v 1=
ρ=1.253/m kg (3)MPa p 1.0=,500=t ℃时的摩尔容积Mv
Mv =
p T
R 0=64.27kmol m /3
2-3.把CO 2压送到容积3m 3的储气罐里,起始表压力301=g p kPa ,终了表压力3.02=g p Mpa ,温度由t1=45℃增加到t2=70℃。
试求被压入的CO 2的质量。
当地大气压B =101.325 kPa 。
解:热力系:储气罐。
应用理想气体状态方程。
压送前储气罐中CO 2的质量
1
111RT v p m = 压送后储气罐中CO 2的质量 2222RT v p m =
根据题意
容积体积不变;R =188.9
B p p g +=11
(1) B p p g +=22
(2) 27311+=t T
(3) 27322+=t T
(4) 压入的CO 2的质量
)1122(21T p T p R v m m m -=-= (5)
将(1)、(2)、(3)、(4)代入(5)式得
m=12.02kg
2-5当外界为标准状态时,一鼓风机每小时可送300 m 3的空气,如外界的温度增高到27℃,大气压降低到99.3kPa ,而鼓风机每小时的送风量仍为300 m 3,问鼓风机送风量的质量改变多少?
解:同上题
1000)273
325.1013003.99(287300)1122(21⨯-=-=
-=T p T p R v m m m =41.97kg 2-6 空气压缩机每分钟自外界吸入温度为15℃、压力为0.1MPa 的空气3 m 3,充入容积8.5 m 3的储气罐内。
设开始时罐内的温度和压力与外界相同,问在多长时间内空气压缩机才能将气罐的表压力提高到0.7MPa ?设充气过程中气罐内温度不变。
解:热力系:储气罐。
使用理想气体状态方程。
第一种解法:
首先求终态时需要充入的空气质量
288
2875.810722225⨯⨯⨯==RT v p m kg 压缩机每分钟充入空气量
288
28731015⨯⨯⨯==RT pv m kg 所需时间
==m
m t 219.83min 第二种解法
将空气充入储气罐中,实际上就是等温情况下把初压为0.1MPa 一定量的空气压缩为0.7MPa 的空气;或者说0.7MPa 、8.5 m 3的空气在0.1MPa 下占体积为多少的问题。
根据等温状态方程
const pv =
0.7MPa 、8.5 m 3的空气在0.1MPa 下占体积为
5.591
.05.87.01221=⨯==P V p V m 3 压缩机每分钟可以压缩0.1MPa 的空气3 m 3
,59.5 m 3的空气需要的时间 ==
3
5.59τ19.83min 2-8 在一直径为400mm 的活塞上置有质量为3000kg 的物体,气缸中空气的温度为18℃,质量为2.12kg 。
加热后其容积增大为原来的两倍。
大气压力B =101kPa ,问:(1)气缸中空气的终温是多少?(2)终态的比容是多少?(3)初态和终态的密度各是多少?
解:热力系:气缸和活塞构成的区间。
使用理想气体状态方程。
(1)空气终态温度
==11
22T V V T 582K (2)空气的初容积
p=3000×9.8/(πr 2)+101000=335.7kPa
==p
mRT V 110.527 m 3
空气的终态比容
m
V m V v 1222==
=0.5 m 3/kg 或者 ==
p RT v 220.5 m 3/kg (3)初态密度
527
.012.211==V m ρ=4 kg /m 3 ==2
12v ρ 2 kg /m 3
2-9
解:(1)氮气质量
300
8.29605.0107.136⨯⨯⨯==RT pv m =7.69kg (2)熔化温度
8
.29669.705.0105.166⨯⨯⨯==mR pv T =361K
2-14 如果忽略空气中的稀有气体,则可以认为其质量成分为%2.232=go ,%8.762=N g 。
试求空气的折合分子量、气体常数、容积成分及在标准状态下的比容和密度。
解:折合分子量
28768.032232.011+==∑i i M g M =28.86
气体常数
86
.2883140==M R R =288)/(K kg J ∙ 容积成分
2/22Mo M g r o o ==20.9%
=2N r 1-20.9%=79.1%
标准状态下的比容和密度
4.2286.284.22==
M ρ=1.288 kg /m 3 ρ1=
v =0.776 m 3/kg
2-15 已知天然气的容积成分%974=CH r ,%6.062=H C r ,%18.083=H C r ,%18.0104=H C r ,%2.02=CO r ,%83.12=N r 。
试求:
(1) 天然气在标准状态下的密度;
(2) 各组成气体在标准状态下的分压力。
解:(1)密度
100/)2883.1442.05818.04418.0306.01697(⨯+⨯+⨯+⨯+⨯+⨯==∑i i M r M =16.48
30/736.04
.2248.164.22m kg M ===ρ (2)各组成气体在标准状态下分压力 因为:
p r p i i = ==325.101*%974CH p 98.285kPa 同理其他成分分压力分别为:(略)。