设计物料分类编码汇总表
- 格式:xlsx
- 大小:223.59 KB
- 文档页数:1
管道仪表流程图物料代号和缩写词1996-12-15发布 1997-01-01实施中国石化兰州设计院目次1 说明 (1)2 管道仪表流程图上的物料代号 (1)3管道仪表流程图上的缩写词 (6)附加说明 (30)1 说明1.1在本规定中列入的物料代号和缩写字母是最基本的。
当工程设计中需要补充本规定所列以外的物料代号和缩写字母时,不要与本规定相矛盾。
1.2 当必须指明物料代号是供给或返回时,可在物料代号后加S(Supply)表示供给,加R(Return)表示返回。
例如,本文中冷却水供水为CWS,冷却水回水为CWR。
1.3 要指明气相或液相等相特性时,可在物料代号后加G(Gas)表示气相,加L(Liquid)表示液相,例如氨作为冷冻剂,AMG为气氨,AML为液氨。
1.4本规定中,不包括自控专业用的代号和缩写字母,不包括计量单位和符号,不列入单位、协会、标准等的缩写字母。
2 管道仪表流程图上的物料代号2.1分类物料代号用于管道编号,分为工艺物料代号及化学品、辅助物料和公用物料代号两类。
2.2工艺物料代号缩写代号英文中文词义P Process stream 工艺物料(通用代号)PG Process gas 工艺气体PL Process liquid 工艺液体PS Process solid 工艺固体2.3 化学品、辅助物料和公用物料代号缩写代号英文中文词义A Air 空气AC Acid 酸、酸液ACG Acidily gas 酸性气体ACL Acidily liqiud 酸性液体ACS Acidily sewage 酸性污水AD Additive 添加剂AM Ammonia 氨AMG Gaseous ammonia 氨气(作制冷剂)AML Liquid ammonia 液氨(作制冷剂)AMW Ammonia water 氨水BA Blowing Air 鼓风空气BD Blow down 排污BR Brine 盐卤水BW Boiler feed water 锅炉给水C Steamy condensate 水蒸汽凝液CA Caustic 碱、碱液CAG Caustic gas 碱性气体CAL Caustic liquid 碱性液体CAS Caustic sewage 碱性污水CAT Catalyst 催化剂CCA Carrier catalyst Air 催化剂载运空气CDR Chemical Drain 化学污水放净CHW Chilled water 冷冻冷水(指0℃以上)CL Chlorine 氯CM Chemicals 化学品CNS Clean sewage 清净下水CO Cooling oil 冷油(冷却油)COO Carbon dioxide 二氧化碳CRS Contaminated rain and sewage 污染下水(指污染的雨水、冲洗水、放净水、排水)CSW Chilled salt water 冷冻盐水(指0℃以下)CTM Cooling transfer material 冷载体CW Cooling water 冷却水CWR Cooling water return 冷却水回水CWS Cooling water supply 冷却水供水DAW Dealkalized water 脱碱水(用于除盐水系统)DEW Demineralized water 除盐水(脱盐水)DF Dry Flare 干火炬排放气DR Drain 排水、排液DW Domestic water 生活用水、饮用水EA Exhaust air 排出空气ER Ethane(or ethylene)refrigerant 乙烷(或乙烯)冷冻剂ES Exhaust steam 排出蒸汽F Flare exhaust 火炬排放气FA Filling Air 填充空气FG Fuel gas 燃料气FLG Flue gas 烟道气FLW Filtrated water 过滤水FO Fuel oil 燃料油FOS Foaming solution 泡沫液FR Freon refrigerant 氟里昂冷冻剂FT Fused salt 熔盐FW Fire water 消防水GO Gland oil 填料油GW Gased water 加气水、溶气水H Hydrogen 氢气HA Hydrochloric acid 盐酸HC High pressure condensate 高压蒸汽凝液HF Hot Flare 热火炬排放气HO Heating oil 热油、加热油、热载油HS High pressure steam 高压蒸汽HSS High pressure saturated steam 高压饱和蒸汽HSU High pressure super steam 高压过热蒸汽HTM Heat transfer material 热载体HW Hot water 热水HWR Hot water return 热水回水(用于采暖、加热、空调等) HWS Hot water supply 热水给水(用于采暖、加热、空调等) HYL Hydraulic liquid 液压液体HYO Hydraulic oil 液压油HYW Hydraulic water 液压水IA Instrument air 仪表空气ICW Intermadiate cooling water 冷却水二次用水IDW Industrial snd domestic water 生产和生活用水IG Inert gas 惰性气体IS Industrial sewage 生产污水(泛指工艺过程产生的污水)IW Industrial water 生产用水LC Low pressure condensate 低压蒸汽凝液LD Liquid drain 排液(泛指工艺排液)LO Lubricating oil 润滑油LS Low pressure steam 低压蒸汽LSS Low pressure saturated steam 低压饱和蒸汽LSU Low pressure super steam 低压过热蒸汽MC Medium pressure condensate 中压蒸汽凝液MR Methane refrigerant 甲烷冷冻剂MS Medium pressure steam 中压蒸汽MSS Medium pressure saturated steam 中压饱和蒸汽MSU Medium pressure super steam 中压过热蒸汽N Nitrogen 氮气NG Natural gas 天然气OL Oil 油(泛指除原料外的油)OS Oily sewage 含油污水OX Oxygen 氧气PA Plant air 工厂空气PC Process Condensate 工艺冷凝液PR Propane(or propylene)refrigerant 丙烷(或丙烯)冷冻剂PW Polished water 精制水QO Quench Oil 急冷油QW Quench water 急冷水R Refrigerant 冷冻剂、冷媒、制冷剂RAW Raw water 原水RCS Rain water and clean sewage 雨水及清净下水(指清净的雨水、冲洗水、放净水、排水)RW Raw water 雨水S Steam 蒸汽SA Sulphuric acid 硫酸SEW Sea water 海水SFW Soft water 软水(软化水)SG Stack Gas 烟道气SL Sealing liquid 密封液SO Sealing oil 密封油SS Sanitary sewage 生活污水STA Starting Air 开车空气SU Sludge,slurry 污泥、泥浆SW Sealing water 密封水TC Turbine Condensate 透平凝液TW Treated waste water 处理后的废(污)水TWF Filtration Treated Water 过滤水TWP Purified Treated Water 澄清水VE Vacuun exhaust 真空排放气VG Vent gas 放(排)空气体W Water 水WAC Waste acid 废酸WCA Waste caustic 废碱WF Wet Flare 湿火炬排放气WG Waste gas 废气WL Waste liquid 废液WO Waste oil 废油WS Waste solid 废渣WW Waste water 废水(各种污水统称) WWC Chemical Waste Water 化学污水WWP Production Waste Water 生产污水WWS Sanitary Waste Water 生活污水3 管道仪表流程图上的缩写词3.1按英文字母顺序排列的缩写词缩写词用于图纸上的说明和标注。
在途物资原材料——钢材①——配件(机械配件、电子配件)②——外购件(外购转销、委托加工)③——消耗品(螺丝、电子元件)④——包装物⑤——其他⑥低值易耗品——在库——工具⑦——在用——工具⑧——摊销——其他生产成本——基本生产成本制造费用——机物料——修理费——折旧——电力——工资——职工福利费——运杂费——加工费管理费用——研发人员工资物品编号说明【例】编号名称型号属类1010010001 不锈钢板 1.5㎜原材料11010020001 槽钢100㎜原材料11020010001 按钮11X/2 原材料22010011001 白钢刀14*200 低值易耗品工具其中编号“1 01 001 0001”,第一节“1”指原材料,第二节“01”指钢材,第三节“001”指不锈钢,最后“0001”指该型号不锈钢板的编号。
即“1020010001”——“原材料-配件-按钮-11X/2”“2010011001”——“低值易耗品-工具-白钢刀-在库-14*200”其中“低值易耗品-工具”分“在库、在用”,“在库”、“在用”体现在编号上最后一节的首个数字上,“1”为“在库”,“2”为“在用”。
【例】编号名称型号属类2010011001 白钢刀14*200 低值易耗品工具2010022001 电笔低值易耗品工具其中编号“2010011001”——“低值易耗品-工具-白钢刀-在库14*200”“2010022001”——“低值易耗品-工具-电笔-在用(无型号)”。
账本:活页明细账主要包括:库存材料分类账(收、发、存数量金额式);库存材料多栏式分类账(收、发、存数量金额式);低值易耗品明细账(在库、在用);材料采购明细账;材料成本差异明细账;分期收款发出商品明细账;委托加工存货明细账;固定资产明细分类账(登记设备与计算折旧);生产成本明细账;制造费用明细账;管理费用明细账;销售费用明细账;经营费用明细账;工资明细账;产品销售明细账;应交增值税明细账。
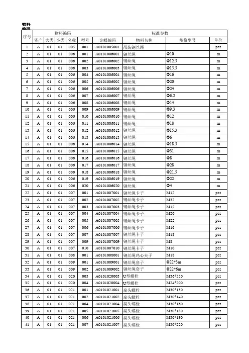
密级:★高★版本:1.0 常见物料分类及编码规则XXX股份有限公司金蝶软件(中国)有限公司2020年4月29日2020-04-29物料分类及编码规则公司所有物料(除固定资产外)实行三级分类管理,划分为大类别、小类别和品种类型,物料编码总长为15位,物料大类、小类、物料品种和物料规格型号之间用英文句号隔开。
基本编码结构如下:物料规格(10位)物料品种类型(2位阿拉伯数字)物料小分类(2位大写英文字母)物料大分类(1位大写英文字母)一、物料大分类及其代码:1、电子材料:用“T”表示电子材料是指以其电性能为主要应用的材料,根据公司目前应用情况看,包括:集成电路类、印刷电路板类、电容器类、电阻器类、电感器类、晶体管类、接插件类、稳压器类、变压器类、充电器类、开关类、电池类、电声器类、电位器类、磁珠类、数据线类和电线电缆类等。
2、光学材料:用“G”表示光学材料是指传输光线的介质材料,包括光学玻璃、光学晶体和光学塑料等光学介质材料,但不包括光电性能一体化应用的光电材料,例如发光二极管、氖灯、日光灯、显像管、液晶屏等光电类材料,该类材料归于电子材料类,3、塑胶材料:用“S”表示塑胶材料是指以高分子合成树脂为主要应用的材料,包括ABS、PVC、PA、PS、PE等塑胶料,但不包括光学与塑胶一体化应用的材料,以及用于产品包装的塑胶材料,例如有机玻璃、玻璃钢、吸塑盒等,该类材料归于光学材料类或包装材料类。
公司目前应用的塑胶材料主要包括数码相机、车载摄像头、网络摄像头等产品的塑胶结构件,例如机壳,以及用于其他用途的PVC线管、塑胶工具、塑胶模具等。
4、金属材料:用“J”表示金属材料是指以钢、铁、铝等为主要应用的材料,公司目前主要包括数码相机、摄像头等产品使用的金属结构件,以及用于其他用途的角铁、金属线管、金属紧固件、金属工具、金属模具等。
5、包装材料:用“B”表示包装材料是指用于产品包装的材料,主要包括包装箱、吸塑盒、胶袋、包装带、封箱胶纸、不干胶标签、防潮剂、合格证等。
物料编码01.墙体材料 (2)01.01砖头 (2)01.02钢筋 (2)02.装饰材料 (2)02.01涂漆 (2)02.02 地板 (2)03.门窗材料 (3)03.01 门 (3)03.02 窗 (3)04.保温材料 (3)04.01 外墙保温材料 (3)04.02 屋面材料 (3)05.防水材料 (4)05.01 防水剂 (4)05.02 防水涂料 (4)06.粘结剂 (4)06.01 瞬干粘结剂 (4)06.02 厌氧粘结剂 (4)07.密封材料 (5)07.01 法兰密封 (5)07.02 汞用密封 (5)01.墙体材料01.01砖头01.01.0001 陶瓷砖01.01.0002 空心砖01.01.0003 多孔砖01.02钢筋01.02.0001 受压钢筋01.02.0002 受拉钢筋01.02.0003 分布钢筋01.02.0004 箍筋02.装饰材料02.01涂漆02.01.0001 低档水容性涂漆02.01.0002乳胶漆02.01.0003 多彩喷漆02.01.0004 仿瓷涂漆02.02 地板02.02.0001 实木地板02.02.0002 复合地板02.02.0003 实木复合地板02.02.0004 地砖02.02.0005 石材板材03.01 门03.01.0001 实木门03.01.0002 竹木门03.01.0003 钢质门03.01.0004 不锈钢移门03.02 窗03.02.0001 铁花门窗03.02.0002 不锈钢门窗03.02.0003 铝合金门窗03.02.0004 玻璃门窗04.保温材料04.01 外墙保温材料04.01.0001硅酸盐保温材料04.01.0002 陶瓷保温材料04.01.0003 胶粉聚苯颗粒04.01.0004钢丝网采水泥泡沫板(舒乐板)04.01.0005 挤塑板XPS04.02 屋面材料04.02.0001陶瓷保温板04.02.0002 EPS泡沫板04.02.0003 珍珠岩及珍珠岩砖04.02.0004蛭石及蛭石砖05.01 防水剂05.01.0001巩固应用通用型防水剂05.01.0002 有机硅防水剂05.01.0003 脂肪酸防水剂05.01.0004 粉状防水剂05.02 防水涂料05.02.0001巩固应用聚氨酯防水涂料05.02.0002 聚合物水泥防水涂料05.02.0003水泥基防水涂料05.02.0004有机硅防水涂料06.粘结剂06.01 瞬干粘结剂06.01.0001触变性(假塑性)氰基丙烯酸酯粘结剂06.01.0002 含改性二氧化硅触变剂的氰基丙烯酸酯无液滴粘结剂06.01.0003 柔韧性氰基丙烯酸酯粘结剂06.01.0004 糊状a-氰基丙烯酸酯粘结剂06.01.0005 高粘度氰基丙烯酸酯粘结剂06.02 厌氧粘结剂06.02.0001 厌气性可固化粘结剂06.02.0002 耐热厌气性丙烯酸粘结剂06.02.0003 耐热水厌气性丙烯酸粘结剂06.02.0004 含取代基糖精的厌气性粘结剂06.02.0005 双组分厌气性粘结剂06.02.0006单组分快固化厌气性粘结剂07.01 法兰密封07.01.0001 垫板07.01.0002 垫片07.02 汞用密封07.02.0001 盘根07.02.0002 机械密封07.02.0003 软填料。
常见品号编码与BOM 架阶示例一.物料编号、物料分类、会计科目之关连1101 原料11261201 原料1126板半成品3010 半成品1128 成品 4586 成品 11291.识别数量及成品 1.统计及汇总存货金额 1.汇总资产总金额2.报表及数据查询排序 如.库存明细表.进耗存统计表.进耗存月计表二.成品编号原则1.编号型态:X X XX XXX XX成 成 序 规 流品 品 码 格 水识 分 序别 类 号码 码2.成品识别码用来区分原料、物料、半成品及成品之区别。
如编号时以 1.原料2.物料3.半成品4.成品5.代销品6.客户供应品3.成品分类码用来分类成品之大或中分类,如以计算机产品中之1.一般计算机2.工业用计算机3.家用计算机如以办公桌来区分1.原木制品2.铁制品3.合成制品4.序号可为机种或型号之代码5.规格可比成品特殊规格之管制项目如颜色、材质、尺寸或表面处理方式编以代码呈现于产品编号上。
如:(1).五金产品中使用钢材的代号属于材质的一种如S2 、8660 等钢材代号。
(2).五金产品中长度之规格如25 长、30 长、20 长,此长度若为一行业间之标准,则可将其作有意义的编号于物料编号上。
(3).零件加工表面处理方式如热处理、喷沙及染黑..等。
6.流水编号编号必须确保一物一料,以上所定义外之其它变动因素,(如产品开发之顺序)均必须编入流水序号。
如果产业有标准化之产品编号者,应尽量延用,无须另行编码。
属于某些特定中心厂之卫星厂,如果相同产品不会销售不同中心厂者,延用中心厂编号,如果相同产品交不同中心厂时,应于公司内制定编号。
属OEM 之公司者,其产品编号可与原厂相同三.原物料及零件编号原则1.编号型态:XXXXXXXXXXX物物序规流料料号格水识分序别类号2.成品识别码:用来区分原料、物料、半成品及成品之区别。
3.物料分类码:用来分类原料之大或中分类。
10:电阻 21:logo11:电容 22:纸箱12:二极管 23:其它包装材料13:其它电子零件4.序号若为专属于机种或型号之零件可将此特性编入,如果无此特性者不编。
密级:★高★版本:1.0 常见物料分类及编码规则XXX股份有限公司金蝶软件(中国)有限公司2022年4月27日2022-04-27物料分类及编码规则公司所有物料(除固定资产外)实行三级分类管理,划分为大类别、小类别和品种类型,物料编码总长为15位,物料大类、小类、物料品种和物料规格型号之间用英文句号隔开。
基本编码结构如下:物料规格(10位)物料品种类型(2位阿拉伯数字)物料小分类(2位大写英文字母)物料大分类(1位大写英文字母)一、物料大分类及其代码:1、电子材料:用“T”表示电子材料是指以其电性能为主要应用的材料,根据公司目前应用情况看,包括:集成电路类、印刷电路板类、电容器类、电阻器类、电感器类、晶体管类、接插件类、稳压器类、变压器类、充电器类、开关类、电池类、电声器类、电位器类、磁珠类、数据线类和电线电缆类等。
2、光学材料:用“G”表示光学材料是指传输光线的介质材料,包括光学玻璃、光学晶体和光学塑料等光学介质材料,但不包括光电性能一体化应用的光电材料,例如发光二极管、氖灯、日光灯、显像管、液晶屏等光电类材料,该类材料归于电子材料类,3、塑胶材料:用“S”表示塑胶材料是指以高分子合成树脂为主要应用的材料,包括ABS、PVC、PA、PS、PE 等塑胶料,但不包括光学与塑胶一体化应用的材料,以及用于产品包装的塑胶材料,例如有机玻璃、玻璃钢、吸塑盒等,该类材料归于光学材料类或包装材料类。
公司目前应用的塑胶材料主要包括数码相机、车载摄像头、网络摄像头等产品的塑胶结构件,例如机壳,以及用于其他用途的PVC线管、塑胶工具、塑胶模具等。
4、金属材料:用“J”表示金属材料是指以钢、铁、铝等为主要应用的材料,公司目前主要包括数码相机、摄像头等产品使用的金属结构件,以及用于其他用途的角铁、金属线管、金属紧固件、金属工具、金属模具等。
5、包装材料:用“B”表示包装材料是指用于产品包装的材料,主要包括包装箱、吸塑盒、胶袋、包装带、封箱胶纸、不干胶标签、防潮剂、合格证等。
BOM编码规则1. 目的完善公司物料和产品管理体系,规范物料和产品编号,确保物料和产品的唯一性、一致性以及可识别性,便于物料信息的管理和相互沟通,便于产品的管理,统一公司的BOM表格式。
2.范围该程序适用于公司开发产品所需的物料、半成品、成品的编码管理,以及产品BOM的管理。
3.职责工程部---负责制定电子物料、结构物料编码规则,且根据规则建立新开发产品的BOM表及其发行。
负责物料编码的编辑、修改,产品BOM管理。
4. 定义物料:指所有成品、半成品、原材料、辅料等与生产有关的物料的统称。
半成品:经一道工序以上加工需入库的各种常用功能件、组件、部件、半成品、点焊组件、焊接组件、铆接组件、插件组件(PCB插件组件)、电线、以及其它前道装配的各种组件。
成品:完成规定的生产和检验流程后,并办理完成入库手续等待销售的产品。
半成品:是指经过一定生产过程并已检验合格交付半成品仓库保管,但尚未制造完工成为产成品,仍需进一步加工的中间产品。
原材料:各种自产或外购(外协件,包装材料除外)的零件,并可以直接用于半成品/成品装配的料件。
包材:用于产品包装的各种包装材料和印刷品。
如:纸箱(外箱和内箱)、隔板、插卡、贴纸、说明书、纸盒和彩盒、胶袋衬托、托盘……5.程序5.1 BOM结构5.2 P/N编码规则:5.2.1成品如:成品为TD TP 432 000 A编码的产品,具体含义如下:TD为公司简称,TP代表铁皮机柜,432代表400×300×200规格的机柜,000代表序列号,不同通讯模式的产品序列号也不同,A代表版本号,如产品升级版本号按英文字母顺序依次升级至Z。
5.2.2半成品如:半成品为S0 TP 432 000 A编码的产品,具体含义如下:S0代表半成品,TP代表铁皮机柜,432代表400×300×200规格的机柜,000代表序列号,不同通讯模式的产品序列号也不同,A代表版本号,如产品升级版本号按英文字母顺序依次升级至Z。
物料编码表备 注:1、误差值表示法:J :±1% B :±5% K :±10% M :±20% C :+20% -10%2、功率表示法:A :1/4W H :1/2W 1:1W3、品牌表示法:统一用两个字母表示“CD ”长电 “FS ”仙童 “MI ”MIC “PH ”PHILIPS “TO ”东芝 “SY ”三友 “SH ”夏普 “CG ” 创格 “TD ” TDK “CH ”MICROCHIP “CL ” 创 力 “AI ”艾华编号具体说明如下:一、 电 阻:1、贴片电阻编号:如:1.2K 0805 ±5%;其编号为:RS08B-0012000NO ;2、贴片电阻编号:如:1.2k 1206 ±1%;其编号为:RS12J-0012000NO;3、水泥电阻编号:如0.3欧姆5W ±10%;其编号为:RN00K-0000003NO;4、氧化膜电阻编号:如:100K 1W ±5%;其编号为:RY10B-1000000NO5、碳膜电阻编号:如:2.2K 1/4W ±5%;其编号为:RTA0B-0022000NO6、热敏电阻编号:如:5D-9;其编号为:THR50-0005090NO7、压敏电阻编号:如:471KD07;其编号为:VR05K-0074710NO备 注:1、1210的封装的贴片的表示方法为: “10”2、有多位小数的在多位小数前加“*”。
如贴片电阻0.11Ω 1210 正负5%;其编号为:RS10B-0000*11NO3、以兆为单位的电阻在编号后加M.如1206贴片电阻2M 正负5%;其编号为:RS12B-00002M0NO 举例说明: R S 08 B 00 1200 0 NO电阻 贴片 0805封装 误差值为正负5% 不够位补“0” 1.2K 小数位 无品牌要求 二、电 容:1、电解电容编号:如:100uF/400V 16*20mm,+20% -10%,品牌为艾华;其编号为:CA16C-1004000AI2、贴片电容编号:如:104/50V 0805 ±20%,品牌为创力;其编号为:CS08M-0104500CL3、X 电容编号:如:224K/275V;其编号为:CX15K-2242750NO4、Y 电容编号:如:222M/250V ;其编号为:CY10M-2222500NO5、瓷片电容编号:如:222M/1KV ;其编号为:CC10M-2221KV0NO举例说明:C A 16 C 100400 0 AI电容电解直径误差值为+20%-10% 规格小数位品牌艾华二、晶体:1、三极管编号:如:13001 TO-92封装,品牌为长电;其编号为:QC920-0130010CD2、开关二极管编号:如:1N4148 DO-35插件开关二极管,品牌为ST;其编号为:DKD35-0041480ST3、快速二极管编号:如:FR1007 DO-41,品牌为MIC;其编号为:DF410-0010070MI4、插件稳压二极管编号:如:15V 1/2W DO-41 , 品牌为ST;其编号为:DW410-000015ST5、贴片稳压二极管编号:如:2V LL34,品牌为ST;其编号为:DW340-0000020ST6、萧特基二极管编号:如:STPR1020CT D0-220,品牌为ST;其编号为:DX220-0001020ST7、发光二极管编号:如:¢5mm RED;其编号为:LE5R0-0000050NO8、整流二极管编号:如:1N4007 DO-41, 品牌为MIC;其编号为:DZ410-0040070MI9、场效应管编号:如:K2996 TO-220封装,品牌为友士;其编号为: M2200-0029960YS10、可控硅编号:如:BT134-600 TO-126封装,品牌为PHILIPS;其编号为:BT126-1346000PH11、双向二极管:如:DB3 ST DO-35封装,品牌为ST;其编号为:DS350-000DB30ST12.温控器编号:如:AMC 5A250V 100℃;其编号为:KT100-0052500NO13.整流桥编号:DB000-举例说明:Q C 92 0 0 13001 0 CD 三极管插件 TO-92封装误差值不够位补“0”规格小数位品牌为长电三、 IC:1、PWM IC编号:如:UC2843 SO-8,品牌为ON;其编号为:ICS80-0028430ON2、控制IC编号:如:TL431 DIP封装,品牌为ST;其编号为:ICD30-0004310ST3、四比较器IC编号:如LM324 SOP-14封装, 品牌为TI;其编号为:ICS14-0003240TI4、光电藕合器编号:如:PC817 DIP-4封装;品牌为SHARP;其编号为:PHD40-0008170SH举例说明:IC S8 0 00 2843 0 ONIC SO-8封装无误差值不够位用0补规格小数位品牌为ON四、变压器:1、变压器编号:如:PQ2620 2006120401其编号为:TRM26-6120401NO2、线性滤波器编号:如:UU10.5;其编号为:LF100-0000105NO3.棒型电感:φ5*12MM 100uH ;其编号为:LF050-0005120NO备注:“M”表示卧式“F”表示立式“NO”没有品牌要求举例说明:TR M 26 6120401 NO变压器卧式 PQ2620封装规格编号无品牌要求六、磁芯:1、铁氧体磁芯编号:如:PQ2620 PC40材质,品牌为TDK;其编号为:TRCO0-0026200TD2、变压器骨架编号:如:EE-30/30 PT(电木)材质,黑色;其编号为:TRBOO-0030300NO3、磁珠编号:如:φ3.5*1.0*3.0MM;其编号为:TRC00-0035130NO举例说明: TR C 00 3513 0变压器类型磁珠不够位用0补规格小数位七、绝缘片:1、矽胶片(散热布)编号:如:27*24*0.12mm矽胶片;其编号为:IS000-2724*12NO2、PET编号:如:200*30*0.2mm PET 绝缘片;其编号为:PET00- 0200302NO举例说明: IS 00 0 2724 *12 NO散热布类型误差值尺寸27*24mm 小数位0.12 无品牌要求八、套管:1、热缩套管编号:如:¢5*15mm;其编号为: GRS000-0005150NO2、铁弗龙套管编号:如:19#*21mm;其编号为:GTEF0-0019210NO举例说明: G RS 000 515 0 NO套管热缩拼音缩写不够位用0补规格φ5*15MM 小数位无品牌要求九、跳线:跳线编号:如:¢0.6*25mm引脚长度:8mm;其编号为:J0006-0002580NO举例说明:J 0 00 6 000 258 0 NO跳线类型封装直径不够位用0补规格25mm 脚长8mm 小数位无品牌要求十、外壳:塑胶外壳编号:如:116*63*38mm外壳;其编号为:WS000-0116630NO举例说明:W S 00 0 0116630 NO外壳塑料封装误差值规格116*63mm(长*宽) 无品牌要求十一、PCB板:1、PCB编号:如:109*56*1.6mm CEM-1单面板;其编号为:CEMD1-1095616NO2、PCB编号:如:109*56*1.6mm FR-4双面板;其编号为:FR4S2-1095616NO 举例说明:CEM D 1 10955616 NOPCB材质单面板 1盎丝铜规格109*56*1.6 无品牌要求十二、螺丝:1、平头螺丝编号:如:3*8mm M3螺纹;其编号为:SP030-0003080NO2、螺母编号:如:M3螺母;其编号为:SM030-0000030NO举例说明:S P 03 0003080 NO螺丝平头 M3螺纹规格3*8mm 无品牌要求十三、线材:1、输出线编号:如:1015 18# 黑线800mm;其编号为:1015B-0188000NO2、电源线编号:如:1500mm 日规线;其编号为:WIJA0-0015000NO举例说明:1015 B 018 8000 NO线材规格黑色 18号线材规格800.0mm 无品牌要求十四、胶纸:MYLAR 胶纸编号:如:65*65mm;其编号为:TAPM0-0065650NO举例说明:TAP M 0 0065650 NO胶纸麦拉误差规格65*65mm 无品牌要求十五、胶水:硅胶编号:如:704;其编号为:GJ000-0007040NO举例说明:GJ 000 0007040 NO硅胶误差规格:704 无品牌要求十六、保险管:1、保险管编号:如:T5A/250V 直径为:3.6mm;其编号为:FT360-0052500NO2、保险管编号:如:F5A/250V 直径为:3.6mm;其编号为:FF360-0052500NO举例说明:F T 36 0 0052500 NO保险管慢断直径误差规格5A/250V 无品牌要求备注:“FT”为慢断保险管“FF”为快断保险管十七、散热片:散热片编号:如:127*29*2.0mm;其编号为:HSL00-1272920NO举例说明:HS L 00 1272920 NO散热片材料:铝补位规格127*29*2.0mm 无品牌要求十八、包材:1、纸箱:1、纸箱编号:如:83*66*77mm礼盒;其编号为:BBOX0-8366770NO2、标签:1、标签编号:如:CM-01 740*60mm;其编号为:BLA01-0740600NO3、青壳纸:1.青壳纸编号:如:78*64*0.3mm;其编号为:BQKZ0-0078643NO举例说明:B LA 01 0740600 NO包材标签机种规格740*60mm 无品牌要求十九、其它1.洗板水编号:SXB00-2.酒精编号:AL000-3.助焊剂编号:HJ000-4.箭头纸编号:LA000-5.导热硅脂编号:ZG000-6.锡条编号:ET000-7.陶瓷上座固定片编号:PGT00-8.吸塑编号:BS000-9.吸盘编号:XIPAO-10.反光罩编号:GFZ00-11.H4-2左滑块编号:H42Z0-12.透明罩编号:H45Z0-13.蛇皮软管编号:RGS00-14.鱼缸灯杯前盖编号:LCQ00-15.黑胶编号:JDZ00-16.陶瓷公座编号:TCGZJ-17.钢化玻璃编号:BLGH0-18.安普头编号:AMP00-19.防水圈编号:QF000-20.毛泡编号:HI000-21.铜插片编号:PCCU0-22.CM-01面板编号:MB010-23.半成品:BCP00-举例说明: P GT片陶瓷比较不规则的一些物料,在不重复的前提下用其拼音或英文的缩写作为编号。
物料编码规则指南及应用案列物料管理对于生产型企业来说非常重要,要想管好物料就必须对物料进行编码。
那么物料编码应该如何编辑,才能更有利于物料的管理呢?编辑物料编码的时候有哪些特别要注意的问题呢?物料编码常用的规则物料编码一般会按照大类-中类-小类-流水号的形式进行编码,这样有利于我们平常打印报表和查询报表,更利于我们对物料进行比较、汇总和统计。
比如:1、图中的x表示物料的大类,比如:成本、原材料、半成品等,我们把大类的物料用0-9中选一位数字代表如图:2、图中的XX表示物料的中类,比如,成品(已生产好,可以直接销售的产品)如图:3、图中的xxxxxxx表示细分类别及规格,比如,成品:机型号-参照机型对照表。
如图:4、图中最后XXX就是流水编号,这样下来一个完整的成品物料编码就形成了。
大类→分类→机型号(参照机型对照表)→颜色→LOGO→流水号。
例如:成品/手机/A206/黑色/X2/流水号,最终的物料1010001020200(1-成品01-手机0001-机型02-颜色02-LOGO 00流水号)通过这样的分类,我们可以保证相同类的物料在做统计分析时是可以排在一起的。
物料编码时应注意的事项1、物料编码必须遵一物一码原则一物一码:不管是物料的发生物理变化还是化学变化,如果物料必须储存在仓库里,就一定要有且只有一个编码。
2、物料编码勿忘字生义在做物料编码时,非专业人基本都会在物料编码中反映某种意义,以便记忆和辨别。
一般常用的方法有英文单词的前几位或者是首字母;或者是把物料的规格、尺寸、颜色等属性在物料编码反映。
在资料量不大情况下,这种方法可能比较方便,用起来也符合人的习惯,但是当资料信息越来越大,物料编码需要反映的信息就会越来越多,记忆起来就很难,这时很做到易记忆、好识别,同时每次编辑物料编码时,为了在物料编码中体现一定的意义,每次都要组织很多部门讨论,耗费大量的人力、物力、和时间,也会给后续新增编码造成很多不便,最终无法继续编码下去。
“ERP系统”物料编码规则(版本号: V1.0)一、物料编码的原则编码的目的在于将物料化繁为简,便于物料的管理和识别,节省阅读、填写、抄录的时间与手续,减少错误机会的,因此,物料编码在应用文字、符号或数字上要力求简单、明了,并遵循简单性、完整性、单一性、分类展开性、一贯性、可伸缩性、组织性、适应计算机管理、充足性和易记性等原则。
二、物料编码的意义(一)物料编码的定义:物料编码是以简短的文字、符号或数字、号码来代表物料、品名、规格或类别及其他有关事项的一种管理工具。
(二)物料编码的意义:1、增强所用物料资料的正确性。
物料的领发、验收、请购、跟催、盘点、储存、记录等一切活动均以物料编码为依据进行查核,因此物料数据更加正确。
杜绝了一物多名,一名多物或物名错乱等现象的发生。
2、提高物料管理的工作效率。
以编码代替文字的记述,使物料更加简便省事,从而提高物料管理工作的效率。
3、利于计算机的管理。
物料管理在彻底推行物料编码之后,才能进一步利用计算机作更有效的处理, 以达到计算机系统管理的效果。
4、降低物料库存和成本。
物料编码既有利于库存量的控制,又利于防止呆料的发生,提高管理工作的效率,从而减少资金的积压,降低管理的成本。
5、防止物料舞弊事件的发生。
物料一经编码后,其记录正确而迅速,储存井然有序,可以减少物料舞弊事件的发生。
6、便于物料的领用。
每一种物料均有正确的统一的编码,对用料部门的物料领用和仓库发料都十分方便。
三、物料编码的规则(一)物料大类分类及编码规则根据财务核算和物流管理的需要,结合工作的实际情况,将现公司的所有物料分为九个大类, 每一大类又分为几个小类,小类之后又根据物料的属性、特征和使用状况进行分类。
每一物料总的编码为12位,共分三层。
第一层为第一大类占第1位,用物料名称第一个汉字的汉语拼音的第一个大写字母代替;第二层为第二类占第2、3位, 用两位数字01,02,03……99代替。
第三层为细分类,占第4至12位,每一位可根据各种物料赋与不同的含义。
包括:一、类、有、变、数、短、长、跳。
一、求唯一通常情况下,只要物料的物理或化学性质有变化,只要物料必须要在仓库中存储,就必须为其指定一个编码,即通常所说的一物一码。
比如某零件要经过冲压成型、钻孔、喷漆三道工序才能完成。
如果该物料的三道工序都在同一车间完成,不更换加工单位,即冲压成型后立即进行钻孔,紧接着进行喷漆,中间没有入库、出库处理,则该物料可取一个代码。
如果该物料的三道工序不在同一个车间完成,其顺序是冲压、入库、领料、钻孔、入库、领料、喷漆、入库,则在库存管理中为了区分该物料的三种状态,必须编制不同的物料编码。
二、分类别在编码时,一般会按一定的分类方式对编号进行分类,这样,在日常的查询或报表列印时,同类的资料才能排在一起,便于我们比较和汇总统计等。
通常我们在对物料进行编码时,会按大类-中类-小类-流水号的形式进行编码,比如,第一码表示大分类,如成品,原材料,半成品等,第二、三码表示中分类,第四、五、六码表示小分类,最后是三位的流水号,通过这样的分类,我们可以保证相同类的物料在做统计分析时是可以排在一起的。
三、勿有意我们在给客户辅导编码时,非专业性的人员通常都要求让编号反映某些意义,使得编号容易记忆或者可以望“字“生义,常常会将英文单词的首几位或缩写字母编在编号上;再有,还要把物料的规格、尺寸等属性也要反映在料号中。
在资料量不大时,这种编码方式的确可能比较方便,使用起来可能会比较符合使用者现时的习惯,但是当资料数量越来越大时,要记忆的东西太多了,实际上已经达不到当初设想的易于记忆的目的了,结果给后续新增编码造成很大的困扰,无法进行新增编码的编制。
在很多企业中,常常就是为了要整理理出有意义的料号体系,而使得编号工作变得非常困难,经常会组织很多部门,来讨论如何才能将这些有意义的东西编到编码中去,耗费了大量的人力、物力和时间,经常是编到一半发现无法编制下去。
比如,我们在编电阻的编码的时候,客户人员常常会要求将阻值、材质加到编码中,甚至将10的几次“方“也要加到编码中,以方便看了编码就知道电阻的阻值和材质。
1 物料分类编号规定
1、目的:规定物料分类编号、规范仓库管理。
2、范围:原辅料、包装材料、成品。
3、责任人:仓库保管员。
4、规定
4.1 物料进厂,仓库管理人员应对货物的包装完整程度、密封性及交货单位与供货单位的标签是否一致进行检查。
进口原辅料应有口岸药检所的检验报告。
4.2 物料核对无误后,由仓库管理人员统一分类编号。
4.2.2 物料分类编号格式
———
分类 代号 物料编号(流水号)
例:Y3-200318
表示:3号原料是20年3月累计第18次进库的。
4.2.3 成品入库分类编号同4.2.2。
如:C3 200318
表示:3号成品是20年3月累计第18次进库的。