椭圆的焦点三角形的性质
- 格式:ppt
- 大小:167.50 KB
- 文档页数:9
椭圆中焦点三角形的性质(含答案)鞍山三中高二文科数学主题1:椭圆中焦点三角形的性质和应用b2性质一:过椭圆焦点的所有弦中通径(垂直于焦点的弦)最短,通径为2ax2y2??1、F1和F2是它们的焦点,以及?f1pf2?60?,例1如果P是椭圆10064求△f1pf2的面积.x2y2??1上的点F1和F2分别是椭圆的左焦点和右焦点,例2我们知道P是椭圆259证明:性质二:已知的椭圆方程是xy??1(a?b?0),两焦点分别为f1,f2,设焦点三角形22ab22若pf1?pf2|pf1|?|pf2|?1,则△f1pf2的面积为()2a.33b.23c.3d.在pf1f2中?f1pf2??,那是什么?f1pf2?B2tan证书:2.33x2y2??1的左焦点和右焦点分别为F1和F2,点P位于椭圆示例3中的已知椭圆上169若p、f1、f2是一个直角三角形的三个顶点,则点p到x轴的距离为()99797A。
b、 C.D.或54477x2y2性质三:已知椭圆方程为2?2?1(a?b?0),两焦点分别为f1,f2,设焦点三角形abx2y2例4.已知f1、f2是椭圆2?2?1(a?b?0)的两个焦点,椭圆上一点p使在abpf1f2中?f1pf2??,那是因为??1.2e2。
f1pf290,求椭圆离心率e的取值范围。
一鞍山三中高二文科数学y2x2??1上一点p与椭圆两个焦点f1、f2的连线互相垂直,1.椭圆则△f1pf2的4924主题2:偏心率的计算:1.若椭圆的两个焦点与它的短轴的两个端点是一个正方形的四个顶点,则椭圆的离心率为()2356a。
2b。
2c。
3d。
三2.若一个椭圆长轴的长度、短轴的长度和焦距成等差数列,则该椭圆的离心率是()4321a.5b.5c.5d.53.如果椭圆的短轴长度为6,且焦点到长轴端点的最近距离为1,则椭圆的偏心率为___x2y24.已知a是椭圆A2+B2=1(a>b>0)上的移动点。
椭圆中焦点三角形的性质及应用
又,故满足:故为直角三角形、说明:考查定义、利用已知、发挥联想,从而解题成功、性质一:已知椭圆方程为两焦点分别为设焦点三角形中则。
性质二:已知椭圆方程为左右两焦点分别为设焦点三角形,若最大,则点P为椭圆短轴的端点。
证明:设,由焦半径公式可知:,在中, = 性质三:过椭圆焦点的所有弦中通径(垂直于焦点的弦)最短,通径为性质四:已知椭圆方程为两焦点分别为设焦点三角形中则证明:设则在中,由余弦定理得:
命题得证。
(2000年高考题)已知椭圆的两焦点分别为若椭圆上存在一点使得求椭圆的离心率的取值范围。
简解:由椭圆焦点三角形性质可知即 ,于是得到的取值范围是性质五:已知椭圆方程为两焦点分别为设焦点三角形,则椭圆的离心率。
由正弦定理得:由等比定理得:而,∴。
已知椭圆的焦点是F1(-1,0)、F2(1,0),P为椭圆上一点,且|F1F2|是|PF1|和|PF2|的等差中项.(1)求椭圆的方程;(2)若点P在第三象限,且∠PF1F2=120,求tanF1PF2.解:(1)由题设2|F1F2|=|PF1|+|PF2|∴2a=4,又2c=2,∴b=∴椭圆的方程为=1.(2)设∠F1PF2=θ,则∠PF2F1=60-θ椭圆的离心率则,整理得:5sinθ=(1+cosθ)∴故,tanF1PF2=tanθ=.
第 1 页共 1 页。
椭圆中焦点三角形的性质及应用教学目标:理解并掌握焦点三角形在椭圆中的作用,并能利用数形结合 的思想解决解析问题教学重点:焦点三角形的结论与推广 新课教学:1.焦点三角形定义:椭圆上任意一点与两焦点所构成的三角形称为焦点三角形。
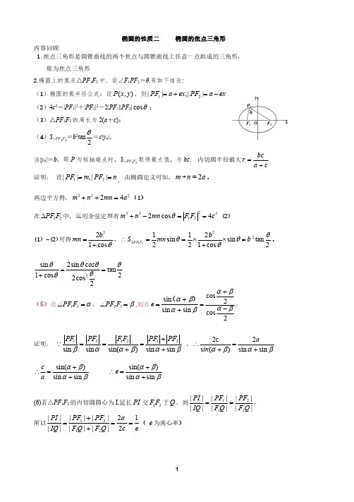
性质一:已知椭圆方程为),0(12222>>=+b a by a x 两焦点分别为,,21F F 设焦点三角形21F PF 中,21θ=∠PF F 则2tan221θb S PF F =∆。
θcos 2)2(2122212212PF PF PF PF F F c -+== )cos 1(2)(21221θ+-+=PF PF PF PFθθθcos 12)cos 1(244)cos 1(24)(222222121+=+-=+-+=∴b c a c PF PF PF PF 1222121sin sin tan 21cos 2F PF b S PF PF b θθθθ∆∴===+ 性质二:已知椭圆方程为),0(12222>>=+b a by a x 左右两焦点分别为,,21F F 设焦点三角形21F PF ,若21PF F ∠最大,则点P 为椭圆短轴的端点。
证明:设),(o o y x P ,由焦半径公式可知:o ex a PF +=1,o ex a PF -=1在21PF F ∆中,2122121212cos PF PF F F PF PF -+=θ21221221242)(PF PF c PF PF PF PF --+=1))((24124422122--+=--=o o ex a ex a b PF PF c a =122222--ox e a b a x a ≤≤-0 22a x o ≤∴性质三:已知椭圆方程为),0(12222>>=+b a by a x 两焦点分别为,,21F F 设焦点三角形21F PF 中,21θ=∠PF F 则.21cos 2e -≥θ证明:设,,2211r PF r PF ==则在21PF F ∆中,由余弦定理得:1222242)(2cos 212221221221212212221--=--+=-+=r r c a r r c r r r r r r F F r r θ.2112221)2(222222222122e a c a r r c a -=--=-+-≥ 命题得证。
椭圆焦点三角形的性质马振保椭圆是现行高中解析几何学的重要内容之一,且圆锥曲线知识既是高中数学的重点,又是难点.而椭圆焦点三角形相关问题.在求解这类问题时,许多学生常常感到束手无策,部分学生由于计算量大的繁锁,产生厌学数学的情绪.为了解除这种困惑,培养或提高学生学习数学的兴趣,让学生掌握一定的解题方法或数学思想是很必要的.在数学中,我们常常是利用性质去讨论问题,因此,文章首先探讨椭圆焦点三角形的性质,然后再讨论这些性质的应用.椭圆上一点与其两焦点所构成的三角形叫做椭圆的焦点三角形.椭圆焦点三角形的性质以椭圆)0(12222>>=+b a by a x 的两个焦点1F ,2F 及椭圆上任意一点P (除长轴上两个端点外)为顶点的21PF F ∆,叫做椭圆的焦点三角形.设21PF F ∠=θ,21F PF ∠=α,12F PF ∠=β,椭圆的离心率为e ,则有以下性质:图1性质1 θcos 12221+=⋅b PF PF . 证明:在21PF F ∆中,由余弦定理,有2221212221)2(cos 2c F F PF PF PF PF ==⋅⋅-+θa PF PF 221=+221222142a PF PF PF PF =⋅++∴2212124cos 224c PF PF PF PF a =⋅⋅-⋅-∴θ整理,得.cos 12221θ+=⋅b PF PF例1 如图2:1F 、2F 分别为椭圆)0(12222>>=+b a by a x 的左、右焦点,点P 在椭圆上,2POF ∆是面积为1的正三角形,求2b 的值.图2分析:此题按常规思路是从12=∆POF S 入手,即=S 224360sin 21c PO OF =⋅︒,求得.3342=c 所以点P 的坐标分别为2c ,c 23.由于点P 在椭圆上,有⎪⎩⎪⎨⎧=+=+22222221434ac b bc a c 解此方程组就可得到2b 的值.但这涉及到解二元二次方程组,计算量很大,非常麻烦.若用性质1求解可使运算得以简化.解:连接,1PF 则︒=∠9021PF F , 有21221PF F POF S S ∆∆=︒⋅⋅⋅=∴90sin 2121121PF PF.290sin 90cos 1241122=∴⋅+⋅=∴︒︒b b 性质2 .2tan221θ⋅=∆b S PF F证明:由性质1得θsin 212121⋅⋅⋅=∆PF PF S PF F .2tan cos 1sin sin cos 1221222θθθθθ⋅=+⋅=⋅+⋅=b b b 例2 已知1F 、2F 是椭圆1256422=+y x 的两个焦点,P 是椭圆上任一点,且321π=∠PF F ,求21PF F ∆的面积.分析:如果设P 点的坐标为),(y x ,由P 点在已知椭圆上且321π=∠PF F ,利用这两个条件,列出关于x ,y 的两个方程,解出x ,y .再求21PF F ∆的面积,这种方法,运算量大且过程繁杂,须另寻捷径.知道321π=∠PF F ,可以直接利用性质2求解,使运算量简化.解:2tan221θ⋅=∆b S PF F.33256tan2521=⋅=∴∆πPF F S 例3已知点),(00y x P )0(0>y 是椭圆)0(12222>>=+b a by a x 上任一点,且θ=∠21PF F .求证:2tan 20θ⋅=c b y . 证明: 0212221211y c h F F S PF F ⋅⋅=⋅⋅=∆ 2tan221θ⋅=∆b S PF F=⋅⋅∴0221y c 2tan 2θ⋅b00>y.2tan 20θ⋅=∴c b y例4 点P 是椭圆14522=+y x 上一点,以点P 以及焦点1F 、2F 为顶点的三角形的面积等于1,求点P 的坐标.分析:要求点P 的坐标,不妨设P 点坐标为),(00y x ,由P 点在已知椭圆上和21PF F ∆的面积等于1,可列两个方程,解方程可得点P 的坐标.此题也可在例3的基础上进行求解.解:设P 点坐标为),(00y x ,则有cc S c b y PF F 12tan 2120==⋅=∆θ122=-=b a c.1100±=∴=∴y y把10±=y 代入14522=+y x 得.2150±=x .1215121512151215),),(,),(,),(,坐标为(点----∴P 性质3)12arccos(22-≤<ab O θ.证明:由正弦定理,有θαβsin sin sin 2121F F PF PF ==)](180sin[sin sin sin sin sin 2121βαβαθβα+-+=+=+∴F F PF PF2cos2sin 22cos2sin2)sin(sin sin βαβαβαβαβαβα+⋅+⋅-+⋅=++=2sin 12cos 12cos 2cosθβαβαβα=+≤+-=θcos 12-= a PF PF 221=+)(44222221b a c F F -==θθcos 12cos 122222222-≤-∴-≤-∴b a a b a a即2222cos aa b -≥θ. 因为πθ<<0,所以 2222arccos a a b -≤θ.当点P 在长轴上的端点时,0=θ,这时,21PF F ∆不存在,因此,)12arccos(022-≤<ab θ.性质4 离心率 .2cos2cosβαβα-+=e 证明:由正弦定理,有)sin(sin sin sin 212121βαθαβ+===F F F F PF PF2cos2sin 22cos2sin2sin sin )sin(2121βαβαβαβαβαβα-⋅++⋅+=++=+∴PF PF F F .2cos2cosβαβα-+==∴e ac例5(2004年福建高考题)已知1F 、2F 是椭圆的两个焦点,过1F 且与椭圆长轴垂直的直线交椭圆于A 、B 两点,若2ABF ∆是正三角形,求这个椭圆的离心率.分析:由2ABF ∆是正三角形可知122AF AF =,根据椭圆的第一定义可求得a AF 2322⋅=.再由22130cos AF F F =︒可求得离心率e.若用性质4解题,求解更简便.解:根据已知条件有.30,902121︒︒=∠=∠A F F F AF (如图3).3330cos 60cos 23090cos23090cos2cos 2cos ==-+=-+=∴︒︒︒︒︒︒βαβαe图3性质5ee+-=⋅112tan2tanβα. 证明:由正弦定理,有θαβsin sin sin 2121F F PF PF ==βαβαβαθsin sin )sin(sin sin sin 2121++=+=+∴PF PF F F=++==∴βαβαsin sin )sin(a c e 2cos2sin 22cos2sin2βαβαβαβα-+++ 2sin2sin 2cos 2cos 2sin2sin 2cos 2cos 2cos 2cosβαβαβαβαβαβα⋅+⋅⋅-⋅=-+= 2tan2tan12tan 2tan 1βαβα⋅+⋅-= ee+-=⋅∴112tan2tanβα. 例 6 如图4,P 是椭圆12222=+by a x 上一点,1F 、2F 是焦点,已知,2,1221αα=∠=∠F PF F PF 求椭圆的离心率.图4分析:知道,2,1221αα=∠=∠F PF F PF 我们可以直接利用性质5解题. 解:由性质5有e e ee +-=⋅=⋅∴+-=⋅11cos 2cos 2sin cos sin 2cos 2sin1122tan 2tan 22αααααααααee +-=+-∴11cos cos cos 122ααα 化简,得.1cos 2-=αe以上五个椭圆焦点三角形的性质是高考考查的重点也是难点,值得我们去重视这部分内容的教学,而双曲线的焦点三角形性质可以类比椭圆的去学习。
椭圆的焦点三角形 基础再现: 已知椭圆22122:1(0)x y C a b a b+=>>的焦点为21,F F ,长轴端点为21,A A ,短轴端点为21,B B ,P 为椭圆上任意一点,O 为坐标原点.1. 焦半径1PF 的范围:[]c a c a +-,.类似的:OP 的范围:[]a b ,.2. 焦点三角形的周长:c a L 22+=.3.[]22221,b c b PF PF -∈⋅,当且仅当P 位于短轴端点时取得22c b -,长轴端点时取得2b . 4. 21PF F ∠在点P 位于短轴端点时取得最大值.类似的:21PA A ∠在点P 位于短轴端点时取得最大值.特别的:过焦点的所有弦中通径通径最短,通径:ab L 22= 5. 焦点三角形的面积: ⅰ.2121sin 21PF F PF PF S ∠⋅⋅=. ⅱ.p y c b b S =⋅=+⋅=2tan cos 1sin 22θθθ,当且仅当点P 位于短轴端点时面积取得最大值bc . 6.22121cos e PF F -≥∠,其中e 为椭圆离心率. 7. PF F F PF PF F e 212121sin sin sin ∠+∠∠=,其中e 为椭圆离心率. 实战演练1.已知椭圆()()221:1,3,0,3,02516x y C A C +=-,B 为椭圆上一点,则在ABC ∆中BC A sin sin sin +的值为 .2.已知21,F F 为椭圆221:12516x y C +=的两个焦点,过1F 的直线交椭圆于B A ,,且1222=+B F A F ,则=AB .3.如图,把椭圆2212516x y +=的长轴AB 分成8分,过每个分点作x 轴的垂线交椭圆的上半部分于1P ,2P ,……7P 七个点,F 是椭圆的一个焦点,则127......PF P F P F +++= .4.已知椭圆()012222>>=+b a b y a x 的左右焦点分别为F ₁(-c ,0)、F ₂(c,0),且椭圆上存在一点P 使得∠F ₁PF ₂ =90°,则椭圆离心率e 的取值范围是: .5.若P 是椭圆16410022=+y x 上的一点,1F 、2F 分别是其左右焦点,且︒=∠6021PF F ,则△21PF F 的面积=S ,点P 的坐标为 .6.已知椭圆1:222=+y ax C (a >1)的左右焦点分别为1F 、2F ,P 为椭圆上一点,且︒=∠6021PF F ,则||||21PF PF ⋅的值为 .7.已知椭圆14:22=+y x C 的左右焦点分别为1F 、2F , P 是椭圆上一点,当△21PF F 的面积为1时,21PF PF ⋅的值为 .8.已知椭圆22194x y +=的左右焦点分别为1F 、2F ,点P 为其上的动点,当12F PF ∠为钝角时,点P 横坐标的取值范围是 .9.已知椭圆221164x y +=的左右焦点分别为1F 、2F ,点M 为其上的动点,当12F MF ∆为直角三角形时,12F MF ∆的面积=S .若将第9题椭圆方程变为2212516x y +=,则12F MF ∆的面积=S . 10.已知椭圆221259x y +=的左右焦点分别为1F 、2F ,点P 为其上的动点,且1260PF F ∠= ,则12F PF ∆的面积=S .11.已知椭圆221259x y +=的左右焦点分别为1F 、2F ,点P 为其上的动点,直线1PF 的斜率为73,则12F PF ∆的面积=S .。
2020年高考数学试题调研之秒杀圆锥曲线压轴题之秒杀题型三:椭圆、双曲线焦点三角形椭圆的焦点三角形:椭圆上任意一点P 与两焦点1F 、2F 构成的三角形:12PF F ∆。
秒杀题型一:性质:1.周长为定值:2()a c +。
2.12,F PF θ∠=当点P 靠近短轴端点时θ增大,当点P 靠近长轴端点时θ减小;与短轴端点重合时θ最大。
类比:(注:椭圆中端点三角形(长轴两端点与椭圆上一点构成)当P 在短轴端点时顶角最大。
)。
1.(2017年新课标全国卷I 文12)设A 、B 是椭圆C 1323=+m y x 长轴的两个端点,若C 上存在点M 满足︒=∠120AMB ,则m 的取值范围是()A.(][)+∞,91,0 B.(][)+∞,93,0 C.(][)+∞,41,0 D.(][)+∞,43,0【解析】:当03m <<时,椭圆的焦点在x 轴上,要使C 上存在点M 满足120AMB ∠=,则tan 60ab≥= ,即≥.得01m <≤;当3m >时,椭圆的焦点在y 轴上,要使C 上存在点M 满足120AMB ∠= ,则tan 60ab ≥= ,≥,得9m ≥,故m 的取值范围为(][)+∞,91,0 ,选A.秒杀题型二:3.三角形面积:212tan 22S c y c y b θ=⨯⨯=⨯=,max ,S bc =即P 与短轴端点重合时面积最大。
1.(高考题)已知1F ,2F 是椭圆1:2222=+by a x C )0(>>b a 的两个焦点,P 为椭圆C 上一点,21PF PF ⊥.若21F PF ∆的面积为9,则b =.【解析】:由椭圆焦点三角形面积公式得:94tanb 22==b π,3=∴b 。
〖母题1〗已知12,F F 是椭圆22195x y +=的焦点,点P 在椭圆上且123F PF π∠=,求12F PF ∆的面积.【解析】:由椭圆定义及余弦定理得:533。
椭圆的焦点三角形一 知识梳理定义:椭圆(双曲线)上一点和两焦点组成的三角形叫焦点三角形;有一个角为直角的焦点三角形叫焦点直角三角形。
性质一:该三角形一边长为焦距,另两边的和为定值。
所以周长为定值2a+2c性质二:已知椭圆方程为),0(12222>>=+b a by a x 两焦点分别为,,21F F 设焦点三角形21F PF 中,21θ=∠PF F 则2tan221θb S PF F =∆. 证明:记2211||,||r PF r PF ==, 由椭圆的第一定义得.4)(,2222121a r r a r r =+∴=+在△21PF F 中,由余弦定理得:2(cos 2212221c r r r r =-+θ配方得:.4cos 22)(22121221c r r r r r r =--+θ即.4)cos 1(242212c r r a =+-θ .cos 12cos 1)(222221θθ+=+-=∴b c a r r 由任意三角形的面积公式得:2tan 2cos 22cos 2sin 2cos 1sin sin 2122222121θθθθθθθ⋅=⋅=+⋅==∆b b b r r S PF F . .2tan 221θb S PF F =∴∆ 性质三:已知椭圆方程为),0(12222>>=+b a by a x 两焦点分别为,,21F F 设焦点三角形21F PF 中,21θ=∠PF F 则.2112cos 222e ab -=-≥θ并且点P 在y 轴上是张角最大。
证明:设,,2211r PF r PF ==则在21PF F ∆中,由余弦定理得:1244242)(2cos 212221221221212212221--=--+=-+=r r c a r r c r r r r r r F F r r θ.21121)2(22222212e a b r r b -=-=-+≥当切仅当21r r =,即点P 在y 轴是θcos 取的最小值,而角θ取得最大值。
定义:椭圆上任意一点与两焦点所构成的三角形称为焦点三角形。
性质一:已知椭圆方程为),0(12222>>=+b a by a x 两焦点分别为,,21F F 设焦点三角形21F PF 中,21θ=∠PF F 则2tan221θb S PF F =∆。
θcos 2)2(2122212212PF PF PF PF F F c -+== )cos 1(2)(21221θ+-+=PF PF PF PFθθθcos 12)cos 1(244)cos 1(24)(222222121+=+-=+-+=∴b c a c PF PF PF PF 2tan cos 1sin 21222121θθθb b PF PF S PF F =+==∴∆ 例1:若P 是椭圆16410022=+y x 上的一点,1F 、2F 是其焦点,且︒=∠6021PF F ,求 △21PF F 的面积练习1:已知椭圆191622=+y x 的左、右焦点分别是1F 、2F ,点P 在椭圆上. 若P 、1F 、2F 是一个直角三角形的三个顶点,则点P 到x 轴的距离为( )A.59 B. 779 C. 49 D. 49或779 练习2:椭圆22194x y +=的焦点为1F 、2F ,点P 为其上的动点,当12F PF ∠为钝角时,点P 横坐标的取值范围是 。
练习3:已知P 是椭圆192522=+y x 上的点,1F 、2F 分别是椭圆的左、右焦点,若21||||2121=⋅⋅PF PF PF PF ,则△21PF F 的面积为( )A. 33B. 32C.3 D.33yF 1 O F 2 xP性质二:已知椭圆方程为),0(12222>>=+b a by a x 左右两焦点分别为,,21F F 设焦点三角形21F PF ,若21PF F ∠最大,则点P 为椭圆短轴的端点证明:设),(o o y x P ,由焦半径公式可知:o ex a PF +=1,o ex a PF -=1 在21PF F ∆中,2122121212cos PF PF F F PF PF -+=θ21221221242)(PF PF c PF PF PF PF --+=1))((24124422122--+=--=o o ex a ex a b PF PF c a =122222--ox e a b a x a ≤≤-0 22a x o ≤∴性质三:已知椭圆方程为),0(12222>>=+b a by a x 两焦点分别为,,21F F 设焦点三角形21F PF 中,21θ=∠PF F 则.21cos 2e -≥θ证明:设,,2211r PF r PF ==则在21PF F ∆中,由余弦定理得:1222242)(2cos 212221221221212212221--=--+=-+=r r c a r r c r r r r r r F F r r θ.2112221)2(222222222122e a c a r r c a -=--=-+-≥ 命题得证。
椭圆焦点三角形性质是椭圆的一个重要性质,它是椭圆的一种特殊的三角形,它的特点是它的三个顶点都在椭圆的焦点上。
椭圆焦点三角形的性质有以下几点:1、椭圆焦点三角形的三个顶点都在椭圆的焦点上,这是椭圆焦点三角形的最大特点。
2、椭圆焦点三角形的三条边都是椭圆的椭圆轴,也就是说,椭圆焦点三角形的三条边都是椭圆的椭圆轴。
3、椭圆焦点三角形的三个内角都是相等的,也就是说,椭圆焦点三角形的三个内角都是相等的。
4、椭圆焦点三角形的三条边都是等长的,也就是说,椭圆焦点三角形的三条边都是等长的。
5、椭圆焦点三角形的三个外角都是相等的,也就是说,椭圆焦点三角形的三个外角都是相等的。
6、椭圆焦点三角形的三个顶点都在椭圆的焦点上,这意味着椭圆焦点三角形的三个顶点都在椭圆的焦点上,而不是在椭圆的椭圆轴上。
7、椭圆焦点三角形的三条边都是等腰的,也就是说,椭圆焦点三角形的三条边都是等腰的。
8、椭圆焦点三角形的三个外角都是相等的,也就是说,椭圆焦点三角形的三个外角都是相等的。
9、椭圆焦点三角形的三个内角都是相等的,也就是说,椭圆焦点三角形的三个内角都是相等的。
10、椭圆焦点三角形的三条边都是等腰的,也就是说,椭圆焦点三角形的三条边都是等腰的。
椭圆焦点三角形的性质是椭圆的一个重要性质,它是椭圆的一种特殊的三角形,它的特点是它的三个顶点都在椭圆的焦点上,而不是在椭圆的椭圆轴上。
椭圆焦点三角形的三条边都是等长的,三个内角和三个外角都是相等的,这是椭圆焦点三角形的特点。
椭圆焦点三角形的性质在几何学中有着重要的应用,它可以用来求解椭圆的焦点,以及椭圆的椭圆轴的长度等问题。
此外,椭圆焦点三角形的性质也可以用来求解椭圆的面积,以及椭圆的周长等问题。
总之,椭圆焦点三角形的性质是椭圆的一个重要性质,它的特点是它的三个顶点都在椭圆的焦点上,而不是在椭圆的椭圆轴上,它的三条边都是等长的,三个内角和三个外角都是相等的,它在几何学中有着重要的应用。
椭圆焦点三角形的性质探究在椭圆的定义中,焦点占有举足轻重的地位,在椭圆的定义性质考查中,或多或少都会和椭圆的焦点联系考查,而椭圆的焦点三角形(椭圆上一点与两焦点所构成的三角形称为焦点三角形。
)又包含了两个焦点作为顶点,因此在高考模考中经常以焦点三角形为背景进行命题。
本文就焦点三角形的一些常见性质进行归纳总结,并在性质背景下对19年的文数高考题进行旧题新解,希望对大家的学习所帮助。
形21F PF 的周长为定值c a 22+.【例1】已知椭圆22221(0)x y a b a b +=>>的左右焦点分别为21,F F ,离心率为43,点P 为椭圆上一点,若 9021=∠PF F ,且21F PF ∆内切圆的半径为1,则椭圆C 的方程为______.【答案】171622=+y x【解析】因为21F PF ∆的周长为c a 22+则1)22(214tan221⨯+==∆c a b S F PF π,即2b c a =+ 又43=a c ,且222c b a +=,解得7,4==b a 即椭圆方程为171622=+y x【证明】记2211||,||r PF r PF ==,由椭圆定义得a r r 2||21=+ ①在△21PF F 中,由余弦定理得:.)2(cos 22212221c r r r r =-+θ 即.4cos 22)(22121221c r r r r r r =--+θ ② 将①式代入②式得.4)cos 1(242212c r r a =+-θ.cos 12cos 1)(222221θθ+=+-=∴b c a r r所以2tan 2cos 22cos2sin2cos 1sin sin 2122222121θθθθθθθ⋅=⋅=+⋅==∆b b b r r S PF F .即.2tan 221θ⋅=∆b S PF F【例2】已知12,F F 为椭圆22221(0)x y a b a b+=>>的左右焦点,P 为椭圆上一点(异于左、右顶点),若存在以c 22为半径的圆内切于21F PF ∆,则椭圆离心率的取值范围是( )A. ]31,0( B.]32,0( C.]32,31( D.)1,32[ 【答案】A 【解析】存在以c 22为半径的圆内切于21F PF ∆,即焦点三角形面积满足: b c r c a S PF F ⨯⨯≤⋅+=∆221)22(2121 即bc c a c ≤+)(22,所以b c a 2)(≤+ 即)(22)(2222c a b c a -=≤+,化简得0)3)((≥-+c a c a 即c a 3≥,故有310≤<e 【2020∙全国Ⅰ卷∙文∙11】设21,F F 是双曲线13:22=-y x C 的两个焦点,O 为坐标原点,点P 在C 上且2=OP ,则21F PF ∆的面积为A.27 B.3 C. 25D.2 【答案】B【解析】在双曲线C 中,易得2=c所以221===OF OF OP ,即21F PF ∆为直角三角形 由引理2易得345cot 2cot2221==⋅=∆ b b S F PF θ(其中θ为21PF F ∠)【2019∙全国Ⅱ卷∙文∙20】已知12,F F 是椭圆2222:1(0)x y C a b a b+=>>的两个焦点,P 为C 上一点,O 为坐标原点.(1)若2POF △为等边三角形,求C 的离心率;(2)如果存在点P ,使得12PF PF ⊥,且12F PF △的面积等于16,求b 的值和a 的取值范围.【解析】(1)连结1PF ,由2POF △为等边三角形可知在12F PF △中,1290F PF ∠=︒,2PF c =,1PF =1221)a PF PF c =+=,故C 的离心率是1ce a==. (2)【解法一】设点为(,)P x y ,则1||2162y c ⋅= ① 222x y c +=,②22221x y a b+=,③ 由②③及222a b c =+得422b y c=,又由①知22216y c =,故4b =.由②③得()22222a x c b c=-,所以22c b ≥,从而2222232,a b c b =+≥=故a ≥所以4b =,a 的取值范围为)+∞.【解法二】由性质二(需要证明)得,1645tan 2tan 2221221===∠⋅=∆b b PF F b S F PF ,所以4b = 又因为y c PFF b S F PF =∠⋅=∆2tan 21221,所以当且仅当点P 位于椭圆上下顶点时,21PF F ∠达到最大,即9021≥∠PF F依题需要12tan21≥=∠bcPF F ,即b c ≥ 所以2222232,a b c b =+≥=故42a ≥.性质三:已知12,F F 为椭圆22221(0)x y a b a b+=>>的两个焦点,P 为椭圆上任意一点,则当点P 为椭圆短轴的端点时,12F PF ∠最大。